Random-Number Generation,
Random-Variate Generation
Unit 3
contents
• Random number generation
• Properties of random numbers
• Generation of pseudo-random numbers
• Techniques for generating random numbers
• Tests for Random Numbers
• Random-Variate Generation:
• Inverse transform technique
• Acceptance-Rejection technique
• Special properties
2
Random-Number Generation
Properties of random numbers
• the main properties of random numbers are
• Uniformity
• Independence
• Maximum density
• Maximum period
• Maximum density means that the gaps between random numbers
should not be large, can be achieved by having maximum period.
• Maximum period refers the length of the sequence of random
numbers which are going to repeat after a certain random numbers.
4
• Each random number Ri must be an independent sample drawn from
a continuous uniform distribution between zero and 1
• The pdf of the given by
• f(x)=
1 , 0 ≤ 𝑥 ≤ 1
0, 𝑜𝑡ℎ𝑒𝑟𝑤𝑖𝑠𝑒
• The expected value of each is given by
• E( R) = 0
1
𝑥 𝑑𝑥 =
1
2
5
• The variance is given by
• V( R) = 0
1
𝑥2
− [𝐸 𝑅 ]2
=
1
12
• The following figure shows the pdf for random numbers
6
Generation of pseudo Random Numbers
• Pseudo means false , here it implies generating random numbers by
known method to remove the potential for true randomness.
• If the method is known then set of random numbers can be repeated.
• Which means that numbers are not random
• The main goal of random generation technique is to produce a
sequence of numbers between 0 and 1 that simulates or imitates the
ideal properties of uniform distribution and independence
• Random numbers are generated by digital computer as part of
simulation, there are numerous ways to generate these values
7
• The following are few important considerations
• The method should be fast, simulation process requires millions of random
numbers hence it has to be fast
• The method has to be portable to different computer
• The method should have sufficiently long cycle, means there should be long
gap between the random numbers once generated getting repeated.
• The random numbers should be repeatable
• The generated random numbers should closely approximate the ideal
statistical properties of uniformity and independence
8
Errors or departures of pseudo random
numbers
• The generated random numbers might not be uniformly distributed.
• Generated numbers might be discrete value instead of continuous
value.
• The mean of generated random numbers might be too high or too
low
• The variance of generated numbers might be too high or too low
• There might be dependence
• Authentication between numbers
• Numbers successively higher or lower than adjacent numbers
• Several numbers above the mean followed by several numbers below the
mean.
9
Techniques for generating random numbers
• Linear congruential method
• Combined linear congruential generators
• Random number streams
10
Linear congruential method
• Proposed by Lehmer, produces a sequences of integer numbers X1,X2 ,
… between zero and m-1 by following the recursive relationship:
• X i+1= (aXi+c) mod m, i=0,1,2,3…
• The initial value i.e. x0 is called seed
• a is called multiplier
• c is called the increment
• m is called the modulus
11
• If c ≠ 𝟎 then form is called mixed congruential method
• When c=0, the form is called multiplicative congruential method
• The selection of the values for a, c, m and X0 affects the statistical
properties and the cycle length.
• Random numbers Ri between 0 and 1 can be generated by setting
• Ri =
𝑿 𝒊
𝒎
, i=1,2,…
12
examples
13
Combined linear congruential generators
• Combine two or more multiplicative congruential generators in such a
way that the combined generator has good statistical properties and
longer period.
• The following result from L’ Ecuyer suggest how this can be done:
14
Combined linear congruential
generators
15
Combined linear congruential generators
• The maximum possible period is given by
16
examples
17
Tests for random numbers
• Number of tests are performed to check the uniformity and independence
of random numbers
• Two types of tests are
• Frequency test : compares the distribution of the set of numbers
generated to a uniform distribution. Few are:
• Kolmogorov-Smirnov Test
• Chi-square Test
• Autocorrelation test: tests the correlation between the two numbers and
compares the sample correlation to the desired correlation, zero
• Runs test
• Gap test
• Pokers test
18
Kolmogorov- Smirnov Test –for uniformity (Procedure)
1. Formulate the hypothesis
H0:Ri ~U[0,1]
H1:Ri ~U[0,1]
2. Rank the data from smallest to largest
R(1)≤R(2) ≤R(3)…
3. Calculate the values of D+ and D-
19
4. Find D=max(D+,D-)
5. Find the critical value Dα from the K-S table
6. If D> Dα then
reject the hypothesis H0
else If D < Dα then
accept the hypothesis H0
20
K-S TABLE
21
examples
22
Chi-square Test –for uniformity (Procedure)
1. Formulate the hypothesis
H0:Ri ~U[0,1]
H1:Ri ~U[0,1]
2. Divide the data into different class intervals of equal intervals
3. Find out how many random numbers lie in each interval and hence find Oi
(observed frequency) & expected frequency Ei using the formula
Ei =
𝑁
𝑛
where N is the total no of observation
n is the no of class interval
L=n-1 is known as degree of freedom
23
4. Calculate
24
Chi-Square table
25
examples
26
Tests for autocorrelation (Test for
independence of random numbers)
• The test for autocorrelation are concerned with the dependence
between numbers in a sequence.
• The autocorrelation between every m numbers starting with ith
number i.e. Ri,Ri+m,Ri+2m, … , Ri+(m+1)m is ρ im
• The value M is the largest integer such that i+(m+1)≤N where N is
the total number of values in the sequence
• A non-zero autocorrelation implies a lack of independence
H0: ρ im = 0
H1: ρ im ≠ 0
27
• For large value of M, the distribution of the estimator of ρ im is
denoted as ρ im
• the test statistics is as follows
• Which is distributed normally with a mean of 0 and variance of
28
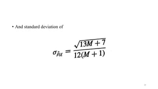
• And standard deviation of
29
• After computing Z0, do not reject the null hypothesis of independence
if
• −𝑧 𝛼
2
≤ Z0 ≤ 𝑧 𝛼
2
where is the level of significance and
• 𝑧 𝛼
2
is obtained from a following table A-3
30
Runs test
• Definition: The runs test is defined as sequence of similar preceded
and followed by different events
• Eg. Suppose tossing a coin 10 times results in the following sequence
• H H T T T H T H T T
• Here are 6 runs, first one of length 2, 2nd length of 3, 3rd ,4th ,5th of
length 1 and 6th of length 2
• Two points to be considered while performing runs test
• No of runs
• Length of each run
31
Runs up and runs down
32
• A run is said to be up if its followed by a bigger number and down if
the number is followed by a smaller number
• Since last number is not followed by any number, the maximum
number of runs is n-1 where n is the number of observation
• Procedure of the runs up and runs down is as follows
• Step 1 :
H0: Ri is independent
H1: Ri is not independent
• Step 2: find runs up and runs down by assigning the + sign to every
random number that is followed by bigger number and – sign to a
number that is followed by a smaller number
• Step 3: find the total number of runs (a)
• Step 4: calculate 𝑍 =
𝑎−𝜇 𝑎
𝜎 𝑎
where 𝜇 𝑎=(2N-1)/3 and
𝜎 𝑎=sqrt((16N-29)/90) where N is total number of observation
• Step 5: find the critical value 𝑧 𝛼
2
from the normal table
• Step 6: reject H0 if |Z|≥ 𝑧 𝛼
2
otherwise accept H0
33
examples
34
Random-Variate Generation
Inverse-transform technique
• It can be used to sample from the exponential , uniform, Weibull and
triangular distributions and from empirical distributions.
• Underlying principle for sampling from a wide variety of discrete
distributions.
• Most straightforward but not always efficient technique. Few are
• Exponential distribution
• Uniform distribution
• Weibull distribution
• Triangular distribution
• Empirical discrete distribution
• Discrete uniform distribution
• Geometric distribution
36
Exponential distribution
• Probability density function (pdf) is given by
• 𝑓 𝑥 = λ𝑒−λ𝑥 , 𝑥 ≥ 0
0, 𝑥 < 0
• The cumulative distribution function (cdf) is given by
• F(x)= −∞
𝑥
𝑓 𝑡 𝑑𝑡 = 1 − 𝑒−λ𝑥, 𝑥 ≥ 0
0 , 𝑥 < 0
37
Procedure for inverse transform technique
38
39
40
examples
41
Uniform distribution
• Consider a random variable X i.e. uniformly distributed on the interval
[a,b].
• Step 1 : the cdf is given by
F(x) =
0, 𝑥 < 𝑎
𝑥−𝑎
𝑏−𝑎
, 𝑎 ≤ 𝑥 ≤ 𝑏
1, 𝑥 > 𝑏
• Step 2: Set F(x)=
𝑥−𝑎
𝑏−𝑎
= R
• Step 3: on solving we get , X=a+(b-a)R which is the equation for
random variate generation using uniform distribution
42
Weibull distribution
• The pdf is given
43
Triangular distribution
44
45
examples
46
A discrete
uniform
distribution
47
48
Geometric
distribution
49
50
51
Acceptance – rejection technique
• Devising a method for generating random numbers ‘X’ uniformly
distributed between ¼ and 1 follows three steps
1. Generate a random number R
2. a) If R ≥ ¼ accept X=R the goto step 3
2. b) if R < ¼ reject R and return to step 1
3. If another uniform random variate on [1/4,1] is needed, repeat the
procedure beginning at step 1 , if not stop.
52
Poisson distribution
• Step 1 : Set n=0, P=1
• Step 2 : generate a random number Rn+1 , replace P by P.Rn+1
• Step 3: If P < 𝑒−𝛼
then accept N=n, otherwise reject the current n, increase n by
one and return to step 2
• With N=n poison of average number is given by
E(N+1)=α+1
53
examples
54
Non stationary Poisson Process
55
• For the arrival function in the table generate the 1st two arrival times
t(mins) mean time b/n Arrival rate
arrival (mins) A(t)
0 15 1/15
60 12 1/12
120 17 1/17
180 5 1/5
240 8 1/8
300 10 1/10
Given the random no’s are: 0.2130, 0.8830, 0.5530, 0.0240, 0.0001, 0.1443
56
Gamma Distribution
57
Special properties
• They are variate generation techniques that are based on features of
particular family of probability distributions , rather than general
purpose techniques like inverse transform or acceptance-rejection
technique.
• Direct transformation for the normal and lognormal distributions
• Convolution method
• Erlang distribution
58
Direct transformation for the normal and
lognormal distributions
• The standard normal cdf is given by
ɸ (x) = −∞
𝑥 1
√2𝜋
𝑒
𝑡2
2 𝑑𝑡 , −∞ < 𝑥 < ∞
59
Convolution method
• The probability distribution of a sum of two or more independent
random variable is called convolution of distribution of the original
variable
• The convolution method refers to adding together two or more
random variables to obtain a new random variable with a desired
distribution
60
Erlang distribution
61
End of unit 3
Thank you 
62

Unit 3 random number generation, random-variate generation

  • 1.
  • 2.
    contents • Random numbergeneration • Properties of random numbers • Generation of pseudo-random numbers • Techniques for generating random numbers • Tests for Random Numbers • Random-Variate Generation: • Inverse transform technique • Acceptance-Rejection technique • Special properties 2
  • 3.
  • 4.
    Properties of randomnumbers • the main properties of random numbers are • Uniformity • Independence • Maximum density • Maximum period • Maximum density means that the gaps between random numbers should not be large, can be achieved by having maximum period. • Maximum period refers the length of the sequence of random numbers which are going to repeat after a certain random numbers. 4
  • 5.
    • Each randomnumber Ri must be an independent sample drawn from a continuous uniform distribution between zero and 1 • The pdf of the given by • f(x)= 1 , 0 ≤ 𝑥 ≤ 1 0, 𝑜𝑡ℎ𝑒𝑟𝑤𝑖𝑠𝑒 • The expected value of each is given by • E( R) = 0 1 𝑥 𝑑𝑥 = 1 2 5
  • 6.
    • The varianceis given by • V( R) = 0 1 𝑥2 − [𝐸 𝑅 ]2 = 1 12 • The following figure shows the pdf for random numbers 6
  • 7.
    Generation of pseudoRandom Numbers • Pseudo means false , here it implies generating random numbers by known method to remove the potential for true randomness. • If the method is known then set of random numbers can be repeated. • Which means that numbers are not random • The main goal of random generation technique is to produce a sequence of numbers between 0 and 1 that simulates or imitates the ideal properties of uniform distribution and independence • Random numbers are generated by digital computer as part of simulation, there are numerous ways to generate these values 7
  • 8.
    • The followingare few important considerations • The method should be fast, simulation process requires millions of random numbers hence it has to be fast • The method has to be portable to different computer • The method should have sufficiently long cycle, means there should be long gap between the random numbers once generated getting repeated. • The random numbers should be repeatable • The generated random numbers should closely approximate the ideal statistical properties of uniformity and independence 8
  • 9.
    Errors or departuresof pseudo random numbers • The generated random numbers might not be uniformly distributed. • Generated numbers might be discrete value instead of continuous value. • The mean of generated random numbers might be too high or too low • The variance of generated numbers might be too high or too low • There might be dependence • Authentication between numbers • Numbers successively higher or lower than adjacent numbers • Several numbers above the mean followed by several numbers below the mean. 9
  • 10.
    Techniques for generatingrandom numbers • Linear congruential method • Combined linear congruential generators • Random number streams 10
  • 11.
    Linear congruential method •Proposed by Lehmer, produces a sequences of integer numbers X1,X2 , … between zero and m-1 by following the recursive relationship: • X i+1= (aXi+c) mod m, i=0,1,2,3… • The initial value i.e. x0 is called seed • a is called multiplier • c is called the increment • m is called the modulus 11
  • 12.
    • If c≠ 𝟎 then form is called mixed congruential method • When c=0, the form is called multiplicative congruential method • The selection of the values for a, c, m and X0 affects the statistical properties and the cycle length. • Random numbers Ri between 0 and 1 can be generated by setting • Ri = 𝑿 𝒊 𝒎 , i=1,2,… 12
  • 13.
  • 14.
    Combined linear congruentialgenerators • Combine two or more multiplicative congruential generators in such a way that the combined generator has good statistical properties and longer period. • The following result from L’ Ecuyer suggest how this can be done: 14
  • 15.
  • 16.
    Combined linear congruentialgenerators • The maximum possible period is given by 16
  • 17.
  • 18.
    Tests for randomnumbers • Number of tests are performed to check the uniformity and independence of random numbers • Two types of tests are • Frequency test : compares the distribution of the set of numbers generated to a uniform distribution. Few are: • Kolmogorov-Smirnov Test • Chi-square Test • Autocorrelation test: tests the correlation between the two numbers and compares the sample correlation to the desired correlation, zero • Runs test • Gap test • Pokers test 18
  • 19.
    Kolmogorov- Smirnov Test–for uniformity (Procedure) 1. Formulate the hypothesis H0:Ri ~U[0,1] H1:Ri ~U[0,1] 2. Rank the data from smallest to largest R(1)≤R(2) ≤R(3)… 3. Calculate the values of D+ and D- 19
  • 20.
    4. Find D=max(D+,D-) 5.Find the critical value Dα from the K-S table 6. If D> Dα then reject the hypothesis H0 else If D < Dα then accept the hypothesis H0 20
  • 21.
  • 22.
  • 23.
    Chi-square Test –foruniformity (Procedure) 1. Formulate the hypothesis H0:Ri ~U[0,1] H1:Ri ~U[0,1] 2. Divide the data into different class intervals of equal intervals 3. Find out how many random numbers lie in each interval and hence find Oi (observed frequency) & expected frequency Ei using the formula Ei = 𝑁 𝑛 where N is the total no of observation n is the no of class interval L=n-1 is known as degree of freedom 23
  • 24.
  • 25.
  • 26.
  • 27.
    Tests for autocorrelation(Test for independence of random numbers) • The test for autocorrelation are concerned with the dependence between numbers in a sequence. • The autocorrelation between every m numbers starting with ith number i.e. Ri,Ri+m,Ri+2m, … , Ri+(m+1)m is ρ im • The value M is the largest integer such that i+(m+1)≤N where N is the total number of values in the sequence • A non-zero autocorrelation implies a lack of independence H0: ρ im = 0 H1: ρ im ≠ 0 27
  • 28.
    • For largevalue of M, the distribution of the estimator of ρ im is denoted as ρ im • the test statistics is as follows • Which is distributed normally with a mean of 0 and variance of 28
  • 29.
    • And standarddeviation of 29
  • 30.
    • After computingZ0, do not reject the null hypothesis of independence if • −𝑧 𝛼 2 ≤ Z0 ≤ 𝑧 𝛼 2 where is the level of significance and • 𝑧 𝛼 2 is obtained from a following table A-3 30
  • 31.
    Runs test • Definition:The runs test is defined as sequence of similar preceded and followed by different events • Eg. Suppose tossing a coin 10 times results in the following sequence • H H T T T H T H T T • Here are 6 runs, first one of length 2, 2nd length of 3, 3rd ,4th ,5th of length 1 and 6th of length 2 • Two points to be considered while performing runs test • No of runs • Length of each run 31
  • 32.
    Runs up andruns down 32 • A run is said to be up if its followed by a bigger number and down if the number is followed by a smaller number • Since last number is not followed by any number, the maximum number of runs is n-1 where n is the number of observation • Procedure of the runs up and runs down is as follows • Step 1 : H0: Ri is independent H1: Ri is not independent
  • 33.
    • Step 2:find runs up and runs down by assigning the + sign to every random number that is followed by bigger number and – sign to a number that is followed by a smaller number • Step 3: find the total number of runs (a) • Step 4: calculate 𝑍 = 𝑎−𝜇 𝑎 𝜎 𝑎 where 𝜇 𝑎=(2N-1)/3 and 𝜎 𝑎=sqrt((16N-29)/90) where N is total number of observation • Step 5: find the critical value 𝑧 𝛼 2 from the normal table • Step 6: reject H0 if |Z|≥ 𝑧 𝛼 2 otherwise accept H0 33
  • 34.
  • 35.
  • 36.
    Inverse-transform technique • Itcan be used to sample from the exponential , uniform, Weibull and triangular distributions and from empirical distributions. • Underlying principle for sampling from a wide variety of discrete distributions. • Most straightforward but not always efficient technique. Few are • Exponential distribution • Uniform distribution • Weibull distribution • Triangular distribution • Empirical discrete distribution • Discrete uniform distribution • Geometric distribution 36
  • 37.
    Exponential distribution • Probabilitydensity function (pdf) is given by • 𝑓 𝑥 = λ𝑒−λ𝑥 , 𝑥 ≥ 0 0, 𝑥 < 0 • The cumulative distribution function (cdf) is given by • F(x)= −∞ 𝑥 𝑓 𝑡 𝑑𝑡 = 1 − 𝑒−λ𝑥, 𝑥 ≥ 0 0 , 𝑥 < 0 37
  • 38.
    Procedure for inversetransform technique 38
  • 39.
  • 40.
  • 41.
  • 42.
    Uniform distribution • Considera random variable X i.e. uniformly distributed on the interval [a,b]. • Step 1 : the cdf is given by F(x) = 0, 𝑥 < 𝑎 𝑥−𝑎 𝑏−𝑎 , 𝑎 ≤ 𝑥 ≤ 𝑏 1, 𝑥 > 𝑏 • Step 2: Set F(x)= 𝑥−𝑎 𝑏−𝑎 = R • Step 3: on solving we get , X=a+(b-a)R which is the equation for random variate generation using uniform distribution 42
  • 43.
  • 44.
  • 45.
  • 46.
  • 47.
  • 48.
  • 49.
  • 50.
  • 51.
  • 52.
    Acceptance – rejectiontechnique • Devising a method for generating random numbers ‘X’ uniformly distributed between ¼ and 1 follows three steps 1. Generate a random number R 2. a) If R ≥ ¼ accept X=R the goto step 3 2. b) if R < ¼ reject R and return to step 1 3. If another uniform random variate on [1/4,1] is needed, repeat the procedure beginning at step 1 , if not stop. 52
  • 53.
    Poisson distribution • Step1 : Set n=0, P=1 • Step 2 : generate a random number Rn+1 , replace P by P.Rn+1 • Step 3: If P < 𝑒−𝛼 then accept N=n, otherwise reject the current n, increase n by one and return to step 2 • With N=n poison of average number is given by E(N+1)=α+1 53
  • 54.
  • 55.
  • 56.
    • For thearrival function in the table generate the 1st two arrival times t(mins) mean time b/n Arrival rate arrival (mins) A(t) 0 15 1/15 60 12 1/12 120 17 1/17 180 5 1/5 240 8 1/8 300 10 1/10 Given the random no’s are: 0.2130, 0.8830, 0.5530, 0.0240, 0.0001, 0.1443 56
  • 57.
  • 58.
    Special properties • Theyare variate generation techniques that are based on features of particular family of probability distributions , rather than general purpose techniques like inverse transform or acceptance-rejection technique. • Direct transformation for the normal and lognormal distributions • Convolution method • Erlang distribution 58
  • 59.
    Direct transformation forthe normal and lognormal distributions • The standard normal cdf is given by ɸ (x) = −∞ 𝑥 1 √2𝜋 𝑒 𝑡2 2 𝑑𝑡 , −∞ < 𝑥 < ∞ 59
  • 60.
    Convolution method • Theprobability distribution of a sum of two or more independent random variable is called convolution of distribution of the original variable • The convolution method refers to adding together two or more random variables to obtain a new random variable with a desired distribution 60
  • 61.
  • 62.
    End of unit3 Thank you  62