Head
Tail
Head
Isoprene
The terpenoids form a large and structurally diverse family
of natural products derived from C5 isoprene units joined
in a head to- tail fashion.
Tail to tail
Tail to tail
IPP is isomerized to the other isoprene unit, DMAPP, by an
isomerase enzyme which stereospecifically removes the pro-
R proton (HR) from C-2, and incorporates a proton from
water on to C-4.
While the isomerization is reversible, the equilibrium lies
heavily on the side of DMAPP.
MONOTERPENES (C10)
Combination of DMAPP and IPP via the enzyme prenyl transferase
yields geranyl diphosphate (GPP).
This is believed to involve ionization of DMAPP to the allylic
cation, addition to the double bond of IPP, followed by loss of
a proton.
Stereochemically, the proton lost (HR) is analogous to that lost on
the isomerization of IPP to DMAPP.
This produces a monoterpene diphosphate, geranyl PP, in which the
new double bond is trans (E).
Linalyl PP and neryl PP are isomers of geranyl PP, and are
likely to be formed from geranyl PP by ionization to the allylic
cation,which can thus allow a change in attachment of the
diphosphate group (to the tertiary carbon in linalyl PP) or a
change in stereochemistry at the double bond (to Z in neryl PP)
SESQUITERPENES (C15)
•Addition of a further C5 IPP unit to geranyl diphosphate in an
extension of the prenyl transferase reaction leads to the
fundamental sesquiterpene precursor, farnesyl diphosphate
(FPP).
• Again, an initial ionization of GPP seems likely, and the proton
lost from C-2 of IPP is stereochemically analogous to that lost in
the previous isoprenylation step.
• FPP can then give rise to linear and cyclic sesquiterpenes.
•Because of the increased chain length and additional double
bond, the number of possible cyclization modes is also increased,
and a huge range of mono-, bi-, and tri-cyclic structures can
result.
•The stereochemistry of the double bond nearest the
diphosphate can adopt an E configuration (as in FPP), or a Z
configuration via ionization, as found with geranyl/neryl PP.
DITERPENES (C20)
The diterpenes arise from geranylgeranyl diphosphate
(GGPP), which is formed by addition of a further IPP molecule to
farnesyl diphosphate in the same manner as described for the
lower terpenoids.
One of the simplest and most important of the diterpenes is
phytol, a reduced form of geranylgeraniol,which forms the
lipophilic side-chain of the chlorophylls, e.g. chlorophyll a.
Related haem molecules, porphyrin components of haemoglobin,
lack such lipophilic side-chains.
Available evidence suggests that geranylgeranyl diphosphate is
involved in forming the ester linkage, and the three reduction
steps necessary to form the phytol ester occur after attachment to
the chlorophyll molecule.
TRITERPENES (C30)
•Triterpenes are not formed by an extension of the now familiar
process of adding IPP to the growing chain.
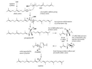
• Instead, two molecules of farnesyl PP are joined tail to tail to yield
the hydrocarbon squalene, originally isolated from
the liver oil of shark (Squalus sp.).
•Squalene was subsequently found in rat liver and yeast, and these
systems were used to study its biosynthetic role.
•As a precursor of triterpenes and steroids; several seed oils are
now recognized as quite rich sources of squalene, e.g.
Amaranthus cruentus (Amaranthaceae).
TETRATERPENES (C40)
•The tetraterpenes are represented by only one group of
compounds, the carotenoids, though several hundred natural
structural variants are known.
•These compounds play a role in photosynthesis, but they are
also found in non-photosynthetic plant tissues, in fungi and
bacteria.
• Formation of the tetraterpene skeleton, e.g. phytoene,
involves tail-to-tail coupling of two molecules of
geranylgeranyl diphosphate (GGPP) in a sequence
essentially analogous to that seen for squalene and triterpenes.
• A cyclopropyl compound, prephytoene diphosphate
(compare presqualene diphosphate,)is an intermediate in the
sequence, and the main difference between the tetraterpene
and triterpene pathways is how the resultant allylic cation is
discharged.
• For squalene formation, the allylic cation accepts a hydride
ion from NADPH, but for phytoene biosynthesis, a proton is
lost, generating a double bond in the centre of the molecule,
and thus a short conjugated chain is developed .
• In plants and fungi, this new double bond has the Z (cis)
configuration, whilst in bacteria, it is E (trans).
•This triene system prevents the type of cyclization seen with
squalene.
Conjugation is extended then by a sequence of desaturation
reactions, removing pairs of hydrogens alternately from each side
of the triene system, giving eventually lycopene , which,in
common with the majority of carotenoids, has the all-trans
configuration.
•The extended π-electron system confers colour to the
carotenoids, and accordingly they contribute yellow, orange, and
red pigmentations to plant tissues.
• Lycopene is the characteristic carotenoid pigment in ripe tomato
fruit (Lycopersicon esculente; Solanaceae).
•The orange colour of carrots (Daucus carota;
Umbelliferae/Apiaceae) is caused by β-carotene , though this
compound is widespread in higher plants.

Terpenes and their Classification

  • 5.
    Head Tail Head Isoprene The terpenoids forma large and structurally diverse family of natural products derived from C5 isoprene units joined in a head to- tail fashion.
  • 7.
  • 11.
    IPP is isomerizedto the other isoprene unit, DMAPP, by an isomerase enzyme which stereospecifically removes the pro- R proton (HR) from C-2, and incorporates a proton from water on to C-4. While the isomerization is reversible, the equilibrium lies heavily on the side of DMAPP.
  • 12.
    MONOTERPENES (C10) Combination ofDMAPP and IPP via the enzyme prenyl transferase yields geranyl diphosphate (GPP). This is believed to involve ionization of DMAPP to the allylic cation, addition to the double bond of IPP, followed by loss of a proton. Stereochemically, the proton lost (HR) is analogous to that lost on the isomerization of IPP to DMAPP. This produces a monoterpene diphosphate, geranyl PP, in which the new double bond is trans (E).
  • 14.
    Linalyl PP andneryl PP are isomers of geranyl PP, and are likely to be formed from geranyl PP by ionization to the allylic cation,which can thus allow a change in attachment of the diphosphate group (to the tertiary carbon in linalyl PP) or a change in stereochemistry at the double bond (to Z in neryl PP)
  • 15.
    SESQUITERPENES (C15) •Addition ofa further C5 IPP unit to geranyl diphosphate in an extension of the prenyl transferase reaction leads to the fundamental sesquiterpene precursor, farnesyl diphosphate (FPP). • Again, an initial ionization of GPP seems likely, and the proton lost from C-2 of IPP is stereochemically analogous to that lost in the previous isoprenylation step. • FPP can then give rise to linear and cyclic sesquiterpenes. •Because of the increased chain length and additional double bond, the number of possible cyclization modes is also increased, and a huge range of mono-, bi-, and tri-cyclic structures can result.
  • 16.
    •The stereochemistry ofthe double bond nearest the diphosphate can adopt an E configuration (as in FPP), or a Z configuration via ionization, as found with geranyl/neryl PP.
  • 17.
    DITERPENES (C20) The diterpenesarise from geranylgeranyl diphosphate (GGPP), which is formed by addition of a further IPP molecule to farnesyl diphosphate in the same manner as described for the lower terpenoids. One of the simplest and most important of the diterpenes is phytol, a reduced form of geranylgeraniol,which forms the lipophilic side-chain of the chlorophylls, e.g. chlorophyll a. Related haem molecules, porphyrin components of haemoglobin, lack such lipophilic side-chains. Available evidence suggests that geranylgeranyl diphosphate is involved in forming the ester linkage, and the three reduction steps necessary to form the phytol ester occur after attachment to the chlorophyll molecule.
  • 19.
    TRITERPENES (C30) •Triterpenes arenot formed by an extension of the now familiar process of adding IPP to the growing chain. • Instead, two molecules of farnesyl PP are joined tail to tail to yield the hydrocarbon squalene, originally isolated from the liver oil of shark (Squalus sp.). •Squalene was subsequently found in rat liver and yeast, and these systems were used to study its biosynthetic role. •As a precursor of triterpenes and steroids; several seed oils are now recognized as quite rich sources of squalene, e.g. Amaranthus cruentus (Amaranthaceae).
  • 21.
    TETRATERPENES (C40) •The tetraterpenesare represented by only one group of compounds, the carotenoids, though several hundred natural structural variants are known. •These compounds play a role in photosynthesis, but they are also found in non-photosynthetic plant tissues, in fungi and bacteria. • Formation of the tetraterpene skeleton, e.g. phytoene, involves tail-to-tail coupling of two molecules of geranylgeranyl diphosphate (GGPP) in a sequence essentially analogous to that seen for squalene and triterpenes.
  • 22.
    • A cyclopropylcompound, prephytoene diphosphate (compare presqualene diphosphate,)is an intermediate in the sequence, and the main difference between the tetraterpene and triterpene pathways is how the resultant allylic cation is discharged. • For squalene formation, the allylic cation accepts a hydride ion from NADPH, but for phytoene biosynthesis, a proton is lost, generating a double bond in the centre of the molecule, and thus a short conjugated chain is developed .
  • 23.
    • In plantsand fungi, this new double bond has the Z (cis) configuration, whilst in bacteria, it is E (trans). •This triene system prevents the type of cyclization seen with squalene. Conjugation is extended then by a sequence of desaturation reactions, removing pairs of hydrogens alternately from each side of the triene system, giving eventually lycopene , which,in common with the majority of carotenoids, has the all-trans configuration.
  • 24.
    •The extended π-electronsystem confers colour to the carotenoids, and accordingly they contribute yellow, orange, and red pigmentations to plant tissues. • Lycopene is the characteristic carotenoid pigment in ripe tomato fruit (Lycopersicon esculente; Solanaceae). •The orange colour of carrots (Daucus carota; Umbelliferae/Apiaceae) is caused by β-carotene , though this compound is widespread in higher plants.