Формулы для вычисления площадей 
различных треугольников 
.
ВВ СС 
АА 
DD 
bb 
aa
1 
S = a × ha 
2 
1 
1 
S S S CD h DB h 
= + = × + × = 
ABC ADC ADB a a 
CD DB h СB h 1 
a h 
( ) 1 
2 
= + = × = × 
a a a 
2 
2 
1 
2 
2
sing 
S =1 ab × 
2 
A 
ɣ 
c 
hа 
b 
С B 
a D 
1 
треугольника ADC h sin , 1 
g sing 
2 
, но из прямоугольного 
2 
a = × = × 
= × 
b S ab 
S a h 
ABC 
ABC a
АА 
BB 
CC 
OO 
. 
rr 
S S S S AB r ABC BOC AOB AOC 
1 
1 
AC r BC r a b c r 
+ × + × = + + × 
( ) 
2 
1 
2 
1 
2 
2 
r = 
радиус вписанной окружности 
= + + = × +
AA 
BB 
= × × 
OO R 
CC 
S a b c 
4 
abc 
R 
знаем, что S 1 
ABC 
= = = = 
R abc 
R 
Мы ab C 
, S 1 
2 2 4 
2 ; sin C c 
2R 
с 
sin C 
sin ; sin C найдем из соотношения 
2 
ABC 
= × 
RR
BB 
сс 
aa 
AA CC 
bb 
S = p( p - a)( p - b)( p - c)
Доказательство: По теореме косинусов можно записать: 
2 2 2 
= + - × 
c a b 2ab cosγ 
2 2 2 
× = + - 
2ab cosγ a b c , 
2 2 2 
= + - 
cosγ a b c 
÷ ö 
æ + ÷ø 
+ - 2 2 2 2 2 2 
sin γ 1 cos γ (1 cos )(1 cos ) 1 a b c 
= - - + × 2ab + a + b - c 
= c - (a - b) 
× + - = 
2 2 
2ab a b c 
(c a b)(c a b)(a b c)(a b c). 
1 
4a b 
1 a b c 
(a b) c 
2ab 
2ab 
2ab 
2ab 
2ab 
2ab 
. 
2ab 
2 2 
2 2 2 2 2 2 2 2 2 2 
= - + + - + - + + 
ö 
= ÷ ÷ø 
ç çè 
ç çè æ + - = - = - + = - 
g g 
Т.К. 
a + b + c = 
p 
a + b - c = a + b + c - 2 c = 2 p - 
2 
c 
c + a - b = c + a + b - 2 b = 2 p - 
2 
b 
2 2 2 , 
2 
c - a + b = c + b + a - a = p - 
a 
то 
(2p 2a)(2p 2b)(2p 2c) 2p 16 
sin 1 
g = × - - - × = - - - × = 
= - - - × 
(p a)(p b)(p c) p. 
= × - - - 
p(p a)(p b)(p c) p(p a)(p b)(p c). 
4 
sinγ 2 
ab 2 
2 
ab 
S. 1 
p (p a)(p b)(p c). 
ab 
a b 
(p a)(p b)(p c) p 
4a b 
4a b 
2 2 
2 2 2 2 
2 
= × - - - = - - - 
ч.т.д.
ГЕРОН АЛЕКСАНДРИЙСКИЙ 
(Heronus Alexandrinus) 
Герон Александрийский – греческий учёный, 
работавший в Александрии,(даты рождения и смерти 
неизвестны, вероятно, I – II вв. н. э. ). 
Математические работы Герона являются 
энциклопедией античной прикладной математики. В 
"Метрике" даны правила и формулы для точного и 
приближённого расчёта различных геометрических 
фигур, например формула Герона для определения 
площади треугольника по трём сторонам, правила 
численного решения квадратных уравнений и 
приближённого извлечения квадратных и кубических 
корней. В основном изложение в математических 
трудах Герона догматично – правила часто не 
выводятся, а только выясняются на примерах. 
Герон занимался геометрией, механикой, 
гидростатикой, оптикой.
a 
b 
c 
S = 1 ab - a + b - c 
4 ( )2 
4 
p = a + b + c 
2 
ö 
æ 
b a b c 
æ 
ö 
æ 
= + + + + - 
b c b c a a b c a b c 
= + + + - - + + - = 
b c a b c a a b c a b c 
= + - + - - - + - = 
b c a a b c b bc c a a b bc c 
= + - - - = + + - - + - = 
2 
a a b c 
a b c 
S a b c 
(( ) 2 )( ( ) 2 
1 
4bc (b c a) 
(2 ( ))(2 ( )) 1 
4 
1 
1 
1 
1 
4 
( 2 )( 2 ) 
4 
4 
(( ) )(( ) )( ( ))( ( )) 
4 
( a )( )( )( ) 
4 
c 
2 
2 
2 
2 
= + + - - + - = - + - 
ö 
= ÷ ÷ø 
ç çè 
+ + - 
÷ ÷ø 
ç çè 
+ + - 
÷ ÷ø 
ç çè 
bc b c a bc b c a 
BB 
AA CC
Итак, мы получили II формулу Герона. И если стороны 
треугольника а,b,с , то запишем ее в виде: 
S = 1 a b - a + b - c 
4 2 2 ( 2 2 2 )2 
4 
CC 
cc 
BB 
bb 
aa 
AA
Найти площадь треугольника со сторонами 17 20 13 
17 
S = 1 a b - a + b - c 
4 2 2 ( 2 2 2 )2 
4 
1 2 S = × × - + - = - = = 
1040 256 1 
4 
784 7 
4 
4 13 20 (13 20 17) 1 
4 
20 
13 
, ,
Формулы медиан треугольника 
2 2 2 
а 
2 
AADD-- ммееддииааннаа.. 
2 2 2 
2 2 2 
2 2 
m a c b 
1 
2 
= + - 
2 2 
1 
2 
2 2 
1 
2 
m a b c 
m b c a 
c 
b 
a 
= + - 
= + - 
Из треугольника ACD по теореме косинусов: 
cosγ a 
2 
= + - × × = + - × 
a 4b 4m 
b m 
m b a 
a 
Из треугольника АВС по теореме косинусов: 
2 2 2 
= + - × 
с a b 2ab cosγ 
2 2 2 
= + - 
cosγ a b c 
Приравнивая формулы (1) и (2) получаем: 
a b c a 
+ - = + - 
= + - - + 
2b a b c 
2m a 
2m b a 
= - + 
m 1 
2 = 2 + 2 - 
2 
a 
(2b 2c a ) 
4 
2 2 2 
m 1 
a 
2 
2 
2 2 
a 
2 2 2 2 
2 
2 
a 
2 
a 
2 
2 
2 2 2 
2 
a 
2 2 
2 
a 
2 
2 
2 
2 2 
2 
a 
2b 2c a 
2 
c 
2 
2 
2b 2m 
2 
(2) 
2ab 
(1) 
4ab 
ab 
4 
cosγ 
b ab cosγ 
4 
2b a 
4 
= + - 
= + - 
+ - 
= 
BB 
АА CC 
bb 
aa 
cc 
DD 
а m 
g
hc 
По второй формуле Герона: 
2 2 2 2 2 2 
) S ( ) ( ) (( ) ( ) ( ) ) 
= × × - + - = 
196 14 
2 
10 
1 
5 2 
520 324 1 
Проведем высоту СК h , 
7 
= + - 
10 5 13 
2 5 2 
1 1 
4 10 13 ( 10 13 5 ) 
1 
2) 
= = × = 
h S 
2 2 3 5 
2 2 2 
) B = a + c - 
b 
2 
B = ( ) + ( ) - 
( ) 
1 
cos 10 5 13 
2 10 5 
3 cos 
2 2 2 
= = 
× 
× × 
, 
ac 
5 26 
14 
= × × = × × 
5 10 13 
4 = 
S , 
4 3 5 
4 
× 
) R a b c 
Дано треугольник 
: ABC 
= 
с 5 
10 
13 
а 
в 
= 
= 
Найти 
S 
1) . 
ABC 
h 
2) . 
: 
c 
3) cos B. 
4) R( радиус описанной окружности). 
26 10 10 26 
2 
7 
2 ( 13) 2 ( 5) ( 10) 1 
2 
= 
5) Проведем медиану AD m 
2b 2c a , m 1 
2 
m 1 
2 
2 2 2 
a 
2 2 2 
a 
a 
= + - = × + × - = + - = 
5) Медиану AD 
3,5 
2 
4 
4 
4 
4 
4 10 13 10 13 5 
4 
2 
× × - + - = - = = = = 
5 
5 
= 
; h , 
с 
c c 
c 
C 
13 
D 
10 
A 5 B
Найти площадь треугольника АВС если, А(0;6) B(4;-2) C( 2;18) 
Из построения видно, что треугольник АВС разносторонний, и ни одна из высот не 
параллельна оси координат. 
2 2 
= - + - - = 
AB (4 0) ( 2 6) 80 
2 2 
= - + + = 
BC (2 4) (18 2) 404 
2 2 
= - + - = + = 
AC (2 0) (18 6) 4 144 148 
Найдем площадь треугольника по II формуле Герона.. 
66 S = 1 4 × 80 × 404 - (80 + 404 - 148) 2 
= 1 
- = 
16384 1 
4 
128 32 
4 
Как мы видим здесь очень громоздкие вычисления и без 
калькулятора не обойтись. Тогда встает вопрос . А нет ли 
какой-нибудь формулы попроще, чтоб посчитать площадь 
треугольника в прямоугольной системе координат? И вот 
эта формула. 
1 
129280 112896 
4 
4 
= = × = 
00 
-22 
44 
1188 
y 
xx
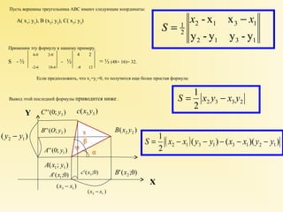
Пусть вершины треугольника АВС имеют следующие координаты: 
А( х1; у1), В (х2; у2), С( х3; у3) 
Применим эту формулу к нашему примеру. 
4-0 2-0 4 2 
S = ½ = ½ = ½ (48+ 16)= 32. 
-2-6 18-6 -8 12 
1 
у - у у - у 
Если предположить, что х1=у1=0, то получится еще более простая формула: 
Вывод этой последней формулы приводится ниже . 
2 1 3 1 
2 1 3 1 
2 
х - х х х 
S 
- 
= 
( ) 3 3 с х у 
( ) 2 2 В х у 
''(0; ) 3 С у 
''( ; ) 2 В O у 
''(0; ) 1 А у 
( ; ) 1 1 А х у 
( ) 2 1 у - у 
'( ;0) 1 А х '( ;0) 3 с х '( ;0) 2 В х 
( ) 2 1 х - х 
( ) 3 1 х - х 
XX 
YY 
1 
S = 1 x y - x y 
2 3 3 2 2 
( )( ) ( )( ) 
2 
2 1 3 1 3 1 2 1 S = x - x y - y - x - x y - y
Пусть требуется найти площадь S треугольника АВС с вершинами А (х1; у1), В( х2; у2), С( х3; у3). 
Пусть АВ= с, АС = b, а углы, образованные этими сторонами осью Ох, соответственно равны α и β 
А' B' = cx= c cos α= x2-x1 (1) 
A’’B’’= cy= c sin α = y2-y1 
А' C' = bx= b cos B= x3-x1 (2) 
A’’C’’= by= b sin B = y3-y1 
Прямоугольная система координат на плоскости: 
Пусть ф = угол САВ; очевидно 
ф = β – α 
По известной формуле тригонометрии получаем: 
S= ½ bc sin ф = ½ bc sin (β – α) = ½ bc(sin β cos α- cosβ sinα ) = ½(by cx- bx cy) (3) 
Отсюда в силу (1) (2) имеем: 
S= ½ [(y3-y1) (x2-x1) – (x3-x1) (y2-y1)] (4) 
Заметим, что формула (4) при ином расположении вершин может дать площадь треугольника S со знаком минус. 
Поэтому формулу для площади треугольника обычно пишут в виде: 
S= +/- ½ [(x2-x1) (y3-y1) – (x3-x1) (y2-y1)] (4’) 
Где знак выбирается так, чтобы для площади получалось положительное число. 
Формулу (4) можно записать в удобном для запоминания форме: 
х2-х1 х3-х1 
S= ½ 
у2-у1 у3-у1
Восемь формул для нахождения 
площадей различных треугольников. 
= 1 
S ab 
1 
S = 1 ab × 
х - х у 
- 
у 
1 0 1 0 
2 0 2 0 
1 
2 
у - у 
х х 
S 
- 
= 
2 
S = a × ha 
2 
S = 1 a b - a + b - c 
S = (a + b + c)× r 2 
sing 
2 
S = p( p - a)( p - b)( p - c) 
4 2 2 ( 2 2 2 )2 
4 
1 
S = a × b × 
c 
R 
4
С 
а 
в 
α β 
с 
Ɣ 
А В 
2 sin sin 
S c α β 
= × 
a b 
sin sin 
2sin( ) 
S c α β 
(α + 
β) 
= × 
= ° - + 
Из a b c a c b c 
= × 
2sin 
(α β) 
= × = × × × = × × = × 
+ 
a b 
sin sin 
b 
2sin(180 ( )) 
, sin 
следует sin 
a 
g a b 
sin sin sin 
2sin 
sin 
sin 
g a b 
g sin 
a 
sin 
sin sin 
Доказательство : 
180 ( ) 
sin 1 
2 
1 
2 
sin 
sin 
sin sin sin 
(1) 
2sin 
2 2 2 
2 
a b 
a b 
g 
b 
g 
g 
g 
g 
a b g 
+ 
° - + 
= = = × = × 
S ab c c c c c
Ɣ 
α β 
А 
С 
В 
а 
с 
в 
Доказательство : 
a b a b a b 
+ = × + × = 
Т.к. sin( ) sin cos cos sin 
S c 
sin sin ( ). 
a 
cos 
sin 
= a × b æ b 
+ 
sin sin cos 
sin 
ö 
Подставляя в формулу (1), получим: 
2 2 
= × × 
a b 
sin sin 
c 
a b a b a b 
. 
S c 
2( ) 
. 
2sin sin ( ) 2( ) 
2 
a b 
a b a b 
a 
b 
ctg ctg 
ctg ctg 
ctg ctg 
S c 
ctg ctg 
+ 
= 
+ 
= 
× + 
+ × = ÷ ÷ø 
ç çè 
. 
2 
ctga + 
ctgb 
2( ) 
=
S = 2R2 sina ×sinb ×sing . 
a b c 2 
R 
Доказательство : 
= = = 
a b g 
sin sin sin 
a R b R 
= = × 
a b 
получим 2 sin , 2 sin . Подставим в формулу 
1 
S ab 
= × 
2 
1 
sin 
g 
S R R R 
2 sin 2 sin sin 2 sin sin sin . 
2 
Из 
a b g 2 a b g 
= × × = × × 
AA 
BB 
CC 
OO
S = a2 sin ×sin 
b g 
2sin 
a 
A 
Ɣ 
а 
в 
a b c b a 
S ab S a a a 
g sin b sin 
g 
sin 
sin 1 
2 
= = = × 
g sin 
b 
sin 
имеем sin 
sin ; 1 
2 
Доказательство : 
Подставим в формулу 1 
2 
sin 
sin sin sin 
Из 
2 
a 
a 
b 
a b g 
= × = × × × = × 
С 
α β 
А В
Вычисление площади треугольника через радиусы 
вневписанных окружностей. 
Oa 
Ob 
Oc 
β 
a 
Ɣ b 
c 
α 
Вневписанная окружность- это 
окружность, касающаяся одной 
стороны треугольника и продолжения 
двух других сторон. 
S = r p - a = r p - b = r p - 
c 
( ) ( ) ( ) 
a b c 
S = r × r × r × 
r 
a b c 
r , r , 
r радиусывневписанных окружностей 
a b c 
p - 
полупериметр 
- 
с r 
b r 
а r
Интернет-ресурсы 
• Сайт http://www.webmath.ru 
• Вычисление площади треугольника 
• Формула площади треугольника, онлайн 
сервис для расчета площади 
треугольника. Нахождение площади 
треугольника 7-ю методами, всего за 
несколько секунд Вы найдете площадь 
треугольника.

площади треугольника

  • 1.
    Формулы для вычисленияплощадей различных треугольников .
  • 2.
    ВВ СС АА DD bb aa
  • 3.
    1 S =a × ha 2 1 1 S S S CD h DB h = + = × + × = ABC ADC ADB a a CD DB h СB h 1 a h ( ) 1 2 = + = × = × a a a 2 2 1 2 2
  • 4.
    sing S =1ab × 2 A ɣ c hа b С B a D 1 треугольника ADC h sin , 1 g sing 2 , но из прямоугольного 2 a = × = × = × b S ab S a h ABC ABC a
  • 5.
    АА BB CC OO . rr S S S S AB r ABC BOC AOB AOC 1 1 AC r BC r a b c r + × + × = + + × ( ) 2 1 2 1 2 2 r = радиус вписанной окружности = + + = × +
  • 6.
    AA BB =× × OO R CC S a b c 4 abc R знаем, что S 1 ABC = = = = R abc R Мы ab C , S 1 2 2 4 2 ; sin C c 2R с sin C sin ; sin C найдем из соотношения 2 ABC = × RR
  • 7.
    BB сс aa AA CC bb S = p( p - a)( p - b)( p - c)
  • 8.
    Доказательство: По теоремекосинусов можно записать: 2 2 2 = + - × c a b 2ab cosγ 2 2 2 × = + - 2ab cosγ a b c , 2 2 2 = + - cosγ a b c ÷ ö æ + ÷ø + - 2 2 2 2 2 2 sin γ 1 cos γ (1 cos )(1 cos ) 1 a b c = - - + × 2ab + a + b - c = c - (a - b) × + - = 2 2 2ab a b c (c a b)(c a b)(a b c)(a b c). 1 4a b 1 a b c (a b) c 2ab 2ab 2ab 2ab 2ab 2ab . 2ab 2 2 2 2 2 2 2 2 2 2 2 2 = - + + - + - + + ö = ÷ ÷ø ç çè ç çè æ + - = - = - + = - g g Т.К. a + b + c = p a + b - c = a + b + c - 2 c = 2 p - 2 c c + a - b = c + a + b - 2 b = 2 p - 2 b 2 2 2 , 2 c - a + b = c + b + a - a = p - a то (2p 2a)(2p 2b)(2p 2c) 2p 16 sin 1 g = × - - - × = - - - × = = - - - × (p a)(p b)(p c) p. = × - - - p(p a)(p b)(p c) p(p a)(p b)(p c). 4 sinγ 2 ab 2 2 ab S. 1 p (p a)(p b)(p c). ab a b (p a)(p b)(p c) p 4a b 4a b 2 2 2 2 2 2 2 = × - - - = - - - ч.т.д.
  • 9.
    ГЕРОН АЛЕКСАНДРИЙСКИЙ (HeronusAlexandrinus) Герон Александрийский – греческий учёный, работавший в Александрии,(даты рождения и смерти неизвестны, вероятно, I – II вв. н. э. ). Математические работы Герона являются энциклопедией античной прикладной математики. В "Метрике" даны правила и формулы для точного и приближённого расчёта различных геометрических фигур, например формула Герона для определения площади треугольника по трём сторонам, правила численного решения квадратных уравнений и приближённого извлечения квадратных и кубических корней. В основном изложение в математических трудах Герона догматично – правила часто не выводятся, а только выясняются на примерах. Герон занимался геометрией, механикой, гидростатикой, оптикой.
  • 10.
    a b c S = 1 ab - a + b - c 4 ( )2 4 p = a + b + c 2 ö æ b a b c æ ö æ = + + + + - b c b c a a b c a b c = + + + - - + + - = b c a b c a a b c a b c = + - + - - - + - = b c a a b c b bc c a a b bc c = + - - - = + + - - + - = 2 a a b c a b c S a b c (( ) 2 )( ( ) 2 1 4bc (b c a) (2 ( ))(2 ( )) 1 4 1 1 1 1 4 ( 2 )( 2 ) 4 4 (( ) )(( ) )( ( ))( ( )) 4 ( a )( )( )( ) 4 c 2 2 2 2 = + + - - + - = - + - ö = ÷ ÷ø ç çè + + - ÷ ÷ø ç çè + + - ÷ ÷ø ç çè bc b c a bc b c a BB AA CC
  • 11.
    Итак, мы получилиII формулу Герона. И если стороны треугольника а,b,с , то запишем ее в виде: S = 1 a b - a + b - c 4 2 2 ( 2 2 2 )2 4 CC cc BB bb aa AA
  • 12.
    Найти площадь треугольникасо сторонами 17 20 13 17 S = 1 a b - a + b - c 4 2 2 ( 2 2 2 )2 4 1 2 S = × × - + - = - = = 1040 256 1 4 784 7 4 4 13 20 (13 20 17) 1 4 20 13 , ,
  • 13.
    Формулы медиан треугольника 2 2 2 а 2 AADD-- ммееддииааннаа.. 2 2 2 2 2 2 2 2 m a c b 1 2 = + - 2 2 1 2 2 2 1 2 m a b c m b c a c b a = + - = + - Из треугольника ACD по теореме косинусов: cosγ a 2 = + - × × = + - × a 4b 4m b m m b a a Из треугольника АВС по теореме косинусов: 2 2 2 = + - × с a b 2ab cosγ 2 2 2 = + - cosγ a b c Приравнивая формулы (1) и (2) получаем: a b c a + - = + - = + - - + 2b a b c 2m a 2m b a = - + m 1 2 = 2 + 2 - 2 a (2b 2c a ) 4 2 2 2 m 1 a 2 2 2 2 a 2 2 2 2 2 2 a 2 a 2 2 2 2 2 2 a 2 2 2 a 2 2 2 2 2 2 a 2b 2c a 2 c 2 2 2b 2m 2 (2) 2ab (1) 4ab ab 4 cosγ b ab cosγ 4 2b a 4 = + - = + - + - = BB АА CC bb aa cc DD а m g
  • 14.
    hc По второйформуле Герона: 2 2 2 2 2 2 ) S ( ) ( ) (( ) ( ) ( ) ) = × × - + - = 196 14 2 10 1 5 2 520 324 1 Проведем высоту СК h , 7 = + - 10 5 13 2 5 2 1 1 4 10 13 ( 10 13 5 ) 1 2) = = × = h S 2 2 3 5 2 2 2 ) B = a + c - b 2 B = ( ) + ( ) - ( ) 1 cos 10 5 13 2 10 5 3 cos 2 2 2 = = × × × , ac 5 26 14 = × × = × × 5 10 13 4 = S , 4 3 5 4 × ) R a b c Дано треугольник : ABC = с 5 10 13 а в = = Найти S 1) . ABC h 2) . : c 3) cos B. 4) R( радиус описанной окружности). 26 10 10 26 2 7 2 ( 13) 2 ( 5) ( 10) 1 2 = 5) Проведем медиану AD m 2b 2c a , m 1 2 m 1 2 2 2 2 a 2 2 2 a a = + - = × + × - = + - = 5) Медиану AD 3,5 2 4 4 4 4 4 10 13 10 13 5 4 2 × × - + - = - = = = = 5 5 = ; h , с c c c C 13 D 10 A 5 B
  • 15.
    Найти площадь треугольникаАВС если, А(0;6) B(4;-2) C( 2;18) Из построения видно, что треугольник АВС разносторонний, и ни одна из высот не параллельна оси координат. 2 2 = - + - - = AB (4 0) ( 2 6) 80 2 2 = - + + = BC (2 4) (18 2) 404 2 2 = - + - = + = AC (2 0) (18 6) 4 144 148 Найдем площадь треугольника по II формуле Герона.. 66 S = 1 4 × 80 × 404 - (80 + 404 - 148) 2 = 1 - = 16384 1 4 128 32 4 Как мы видим здесь очень громоздкие вычисления и без калькулятора не обойтись. Тогда встает вопрос . А нет ли какой-нибудь формулы попроще, чтоб посчитать площадь треугольника в прямоугольной системе координат? И вот эта формула. 1 129280 112896 4 4 = = × = 00 -22 44 1188 y xx
  • 16.
    Пусть вершины треугольникаАВС имеют следующие координаты: А( х1; у1), В (х2; у2), С( х3; у3) Применим эту формулу к нашему примеру. 4-0 2-0 4 2 S = ½ = ½ = ½ (48+ 16)= 32. -2-6 18-6 -8 12 1 у - у у - у Если предположить, что х1=у1=0, то получится еще более простая формула: Вывод этой последней формулы приводится ниже . 2 1 3 1 2 1 3 1 2 х - х х х S - = ( ) 3 3 с х у ( ) 2 2 В х у ''(0; ) 3 С у ''( ; ) 2 В O у ''(0; ) 1 А у ( ; ) 1 1 А х у ( ) 2 1 у - у '( ;0) 1 А х '( ;0) 3 с х '( ;0) 2 В х ( ) 2 1 х - х ( ) 3 1 х - х XX YY 1 S = 1 x y - x y 2 3 3 2 2 ( )( ) ( )( ) 2 2 1 3 1 3 1 2 1 S = x - x y - y - x - x y - y
  • 17.
    Пусть требуется найтиплощадь S треугольника АВС с вершинами А (х1; у1), В( х2; у2), С( х3; у3). Пусть АВ= с, АС = b, а углы, образованные этими сторонами осью Ох, соответственно равны α и β А' B' = cx= c cos α= x2-x1 (1) A’’B’’= cy= c sin α = y2-y1 А' C' = bx= b cos B= x3-x1 (2) A’’C’’= by= b sin B = y3-y1 Прямоугольная система координат на плоскости: Пусть ф = угол САВ; очевидно ф = β – α По известной формуле тригонометрии получаем: S= ½ bc sin ф = ½ bc sin (β – α) = ½ bc(sin β cos α- cosβ sinα ) = ½(by cx- bx cy) (3) Отсюда в силу (1) (2) имеем: S= ½ [(y3-y1) (x2-x1) – (x3-x1) (y2-y1)] (4) Заметим, что формула (4) при ином расположении вершин может дать площадь треугольника S со знаком минус. Поэтому формулу для площади треугольника обычно пишут в виде: S= +/- ½ [(x2-x1) (y3-y1) – (x3-x1) (y2-y1)] (4’) Где знак выбирается так, чтобы для площади получалось положительное число. Формулу (4) можно записать в удобном для запоминания форме: х2-х1 х3-х1 S= ½ у2-у1 у3-у1
  • 18.
    Восемь формул длянахождения площадей различных треугольников. = 1 S ab 1 S = 1 ab × х - х у - у 1 0 1 0 2 0 2 0 1 2 у - у х х S - = 2 S = a × ha 2 S = 1 a b - a + b - c S = (a + b + c)× r 2 sing 2 S = p( p - a)( p - b)( p - c) 4 2 2 ( 2 2 2 )2 4 1 S = a × b × c R 4
  • 19.
    С а в α β с Ɣ А В 2 sin sin S c α β = × a b sin sin 2sin( ) S c α β (α + β) = × = ° - + Из a b c a c b c = × 2sin (α β) = × = × × × = × × = × + a b sin sin b 2sin(180 ( )) , sin следует sin a g a b sin sin sin 2sin sin sin g a b g sin a sin sin sin Доказательство : 180 ( ) sin 1 2 1 2 sin sin sin sin sin (1) 2sin 2 2 2 2 a b a b g b g g g g a b g + ° - + = = = × = × S ab c c c c c
  • 20.
    Ɣ α β А С В а с в Доказательство : a b a b a b + = × + × = Т.к. sin( ) sin cos cos sin S c sin sin ( ). a cos sin = a × b æ b + sin sin cos sin ö Подставляя в формулу (1), получим: 2 2 = × × a b sin sin c a b a b a b . S c 2( ) . 2sin sin ( ) 2( ) 2 a b a b a b a b ctg ctg ctg ctg ctg ctg S c ctg ctg + = + = × + + × = ÷ ÷ø ç çè . 2 ctga + ctgb 2( ) =
  • 21.
    S = 2R2sina ×sinb ×sing . a b c 2 R Доказательство : = = = a b g sin sin sin a R b R = = × a b получим 2 sin , 2 sin . Подставим в формулу 1 S ab = × 2 1 sin g S R R R 2 sin 2 sin sin 2 sin sin sin . 2 Из a b g 2 a b g = × × = × × AA BB CC OO
  • 22.
    S = a2sin ×sin b g 2sin a A Ɣ а в a b c b a S ab S a a a g sin b sin g sin sin 1 2 = = = × g sin b sin имеем sin sin ; 1 2 Доказательство : Подставим в формулу 1 2 sin sin sin sin Из 2 a a b a b g = × = × × × = × С α β А В
  • 23.
    Вычисление площади треугольникачерез радиусы вневписанных окружностей. Oa Ob Oc β a Ɣ b c α Вневписанная окружность- это окружность, касающаяся одной стороны треугольника и продолжения двух других сторон. S = r p - a = r p - b = r p - c ( ) ( ) ( ) a b c S = r × r × r × r a b c r , r , r радиусывневписанных окружностей a b c p - полупериметр - с r b r а r
  • 24.
    Интернет-ресурсы • Сайтhttp://www.webmath.ru • Вычисление площади треугольника • Формула площади треугольника, онлайн сервис для расчета площади треугольника. Нахождение площади треугольника 7-ю методами, всего за несколько секунд Вы найдете площадь треугольника.