SOAL STATISTIKA
1. Tebel dibawah ini menunjukkan nilai-nilai yang diperoleh siswa kelas XI IPA 1 dalam
suatu ulangan. Banyak siswa yang nilainya 61 atau lebih adalah ….
Nilai Frekuensi
41 – 50 8
51 – 60 9
61 – 70 10
71 – 80 7
81 – 90 6
91 – 100 4
Jawaban : 10 + 7 + 6 + 4 = 27 siswa
2. Dari 120 siswa terdapat 39 siswa mempunyai ukuran 38, sebanyak 61 siswa mempunyai
ukuran sepatu 39, dan sisanya mempunyai ukuran sepatu 40. Apabila data tersebut dibuat
diagram lingkaran, maka juring lingkaran untuk siswa yang mempunyai ukuran sepatu 40
sebesar ….
Jawaban : Jumlah siswa 120
Ukuran 38 ada 39 siswa
Ukuran 39 ada 61 siswa
Ukuran 40 ada 20 siswa
Ukuran 40 =
00
60360
120
20
=x
3.
Data pada tabel berikut menunjukkan tinggi badan peserta seleksi pramugari. Peserta yang
lulus seleksi adalah mereka yang memiliki tinggi badan lebih dari 156 cm. Banyak peserta
yang lulus seleksi adalah ….
Jabawan :
N = L + f
fxX −
156 = 154,5 + 5.
10
6−X
1,5 = 5 




 −
10
6X
Tinggi Badan Frekuensi
150 – 154
155 – 159
160 – 164
165 – 169
170 – 174
6
10
18
22
4
X – 6 = 3
X = 9
Banyak peserta yang lulus seleksi adalah 60 – 9 = 51 orang
4. Modus dari data 6, 6, 4, 6, 2, 5, 5, 6, 7, 6, 8 adalah ….
Jawaban : Mo = 6, karena 6 paling sering muncul
5.
Data diatas adalah hasil tes calon pegawai suatu instansi. Peserta dinyatakan lulus dan
diterima bila mempunyai nilai 71 atau lebih. Banyak calon yang tidak diterima adalah ….
Jawaban : 24 + 26 + 17 + 30 + 19 + 18 = 134
6. Median dari data 4, 3, 5, 4, 6, 3, 6, 7, 8, 7, 8, 8 adalah ….
Jawaban :
Me = 8,8,8,7,7,6,6,5,4,4,3,3
2
1
1
22








+
+
nn xx
= ( )76
2
1
xx +
=
2
1
(6 + 6) = 6
7. Nilai rata-rata matematika dari 39 siswa adalah 45. Jika nilai Ahmad digabungkan, maka
nilai rata-ratanya menjadi 46. Nilai ulangan Ahmad adalah ….
Jawaban :
x 1 = 45 n1 = 39
x 2 = 46 n2 = 90
x 1 =
n
x∑ 1
∑1x = n . x 1 = 39(45) = 1.755
x 2 =
n
x∑ 2
∑ 2x = n . x 2 = 40(46) = 1.840
Nilai Ahmad = 1.840 – 1.755 = 85
Nilai Frekuensi
41 – 45 18
46 – 50 19
51 – 55 30
56 – 60 17
61 – 65 26
66 – 70 24
71 – 75 28
76 – 80 35
81 – 85 20
Nilai Frekuensi
5
6
7
8
9
10
3
5
4
6
1
1
8.
Data diatas adalah nilai ujian mata pelajaran. Jika nilai siswa yang lebih rendah dari rata-
rata dinyatakan tidak lulus, maka banyaknya siswa yang lulus adalah ….
Jawaban :
Nilai Frekuensi f x nilai
5 3 15
6 5 30
7 4 28
8 6 48
9 1 9
10 1 10
Jumlah 20 140
Nilai rata-rata = 7
20
140
==
∑
∑
f
nilaixf
Karena siswa yang lebih rendah dari rata-rata dinyatakan tidak lulus, maka :
a. Siswa yang tidak lulus yang mendapat nilai dibawah 7 = 3 + 5 = 8 orang
b. Jumlah siswa yang lulus = 20 – 8 = 12 orang
9. Suatu keluarga mempunyai 8 anak. Anak A berumur x + 1 tahun dan anak B berumur 2x
+ 1 tahun. Enam anak yang lain berturut-turut berumur x + 2, x + 3, x + 4, …, x + 7
(dalam tahun). Apabila rata-rata umur kedelapan anak tersebut 7 tahun, umur anak A
adalah ….
Jawaban :
x =
7
8
)7()6()5()4()3()2()12()1(
=
+++++++++++++++ xxxxxxxx
7
8
299
=
+x
9x + 29 = 56
9x = 27
x = 3
Umur A = (x + 1) tahun
= 3 + 1 = 4 tahun
10. Tiga buah data rataannya 13, jangkauannya 6, statistik maksimumnya 18, maka median
dari data tersebut adalah ….
Jawaban :
15
3
321
=
++ xxx
x3 – x1 = 6
x1 = 18 – 6 = 12
15
3
321
=
++ xxx
x1 + x2 + x3 = 15(3)
x2 = 45 – 18 – 12
x2 = 15
Jadi, median = 15
11. Dari angka-angka 1, 2, 4, 6 akan disusun bilangan ribuan ganjil, maka banyak bilangan
yang dapat disusun bila angka boleh diulang adalah ….
Jawaban :
4 4 4 1
Banyak bilangan ribuan ganjil yang bisa dibentuk ada 4 x 4 x 4 x 1 = 64 bilangan
12. Banyak bilangan asli ratusan ganjil yang dapat dibuat dari angka-angka 1, 2, 3, 4, dan 5
(angka tidak boleh diulang) adalah ….
Jawaban :
4 4 4 1
4(3)(3) = 36 bilangan
13. Dalam babak penyisihan suatu turnamen, 25 pecatur satu sama lain bertanding satu kali.
Banyaknya pertandingan yang terjadi adalah ….
Jawaban : Banyak pertandinganb yang terjadi :
25
2C = 300
2
600
!2!23
!232425
!2!23
!25
===
xx
14. Banyaknya susunan huruf berbeda yang dapat dibentuk dari huruf-huruf “MALAKA”
adalah ….
Jawaban : 120
!3
!3456
!3
!6
==
xxx
15. Dari angka-angka 2, 3, 5, 6, 7, dan 9 dibuat bilangan yang terdiri dari tiga angka yang
berlainan. Banyaknya bilangan yang dapat dibuat yang lebih kecil dari 400 adalah ….
Jawaban :
Angka-angka 2, 3, 5, 6, 7, dan 9 akan dibuat bilangan yang terdiri atas 3 angka yang
berlainan yang nilainya lebih kecil dari 400.
Ratusan Puluhan Satuan
2 5 4
Banyak angka yang mungkin = 2 x 5 x 4 = 40
16. Di kelas XI akan diadakan pemilihan pengurus kelas yang terdiri atas ketua, wakil ketua,
sekretaris, dan bendahara kelas. Jika hanya ada 7 siswa yang kompeten, banyak cara
pemilihan tersebut adalah ….
Jawaban : 8407
3 =P
17. Dari huruf a, b, c, d, dan e akan disusun menjadi kelompok yang terdiri atas 3 huruf.
Banyak kelompok yang terbentuk ada ….
Jawaban :
!2
!2.3.4.5
!)35(
!55
3 =
−
=P = 60 kelompok
18. Nilai n yang memenuhi 42
!)2(
!
=
−n
n
adalah ….
Jawaban :
42
!)2(
!
=
−n
n
42
!)2(
!)2)(1(
=
−
−−
n
nnn
n2
– n – 42 = 0
(n - 7)(n + 6) = 0
n = 0
19. Banyak bilangan kurang dari 200 yang dapat dibentuk dari angka-angka 1, 2, 3, 4 adalah
…. (angka boleh berulang)
Jawaban :
4 4 1
Banyak bilangan kurang dari 200 yang dapat dibentuk ada 1 x 4 x 4 = 16 bilangan
20. Banyak cara penyusunan kata dari data “PENDIDIK” adalah ….
Jawaban :
080.10
2.2
1.2.3.4.5.6.7.8
!2!2
!8
==
SOAL STATISTIKA
1. Dari data berikut ini rata-ratanya adalah ….
Nilai Frekuensi
41 – 45
46 – 50
51 – 55
56 – 60
61 – 65
8
5
6
7
4
Jawaban :
x1 f1 f1x1
43
48
53
58
63
8
5
6
7
4
343
240
318
406
252
Jumlah 30 1560
x = 52
30
560.1
=
2. Nilai rata-rata tes matematika dari kelompok siswa dan kelompok siswi di suatu kelas
berturut-turut adalah 5 dan 7. jika nilai rata-rata di kelas tersebut adalah 6,2 : maka
perbandingan banyak siswa dan siswi adalah ….
Jawaban :
x1 = 5, x2 = 7, x = 6,2
1
12
2
1
xx
xx
n
n
−
−
=
3
2
2,1
8,0
52,6
2,67
2
1
==
−
−
=
n
n
3. Diketahui data sebagai berikut : 7,0; 7,2; 6,9; 6,7; 5,4; 6,0; 4,9; 7,5; 5,9; 6,3
Nilai D5 dari data berikut adalah ….
Jawaban :
Nilai D5
Data diurutkan : 4,9 5,4 5,9 6,0 6,3 6,7 6,9 7,0 7,2 7,5
50% dari 10 adalah 510
100
50
=x
D5 merupakan ukuran ke- 5 dan ke- 6
D5 = 5,6)7,63,6(
2
1
=+
4. Berat badan rata-rata 8 orang adalah 40 kg, berat badan rata-rata 6 orang adalah 45 kg,
dan berat rata-rata 4 orang 50 kg. jika 18 orang tersebut digabungkan, maka berat rata-
ratanya menjadi ….
Jawaban :
x 1 = 40, n = 8 → x1 =
1
1
n
x∑
= 8 . 40 = 320
x 2 = 45, n = 6 → x2 =
2
2
n
x∑
= 6 . 45 = 270
x 3 =
3
3
n
x∑
x 3= 50, n3 = 4
∑ 2x = 4(50) = 200
x t =
18
790
468
200270320
=
++
++
=
∑
t
t
n
x
x tot = 43,89
5. Nilai rata-rata 40 siswa adalah 50. Jika 5 orang siswa yang nilainya sama tidak diikutkan
maka nilai rata-ratanya menjadi 55. nilai 5 orang tersebut masing-masing adalah ….
Jawaban :
x =
n
n∑
50 =
40
1∑x
→ 000.21 =∑x
55 =
35
21∑ − xx
1925 = 2000 – x2
xL = 2000 – 1925 = 75
Jadi, nilai lima siswa tersebut adalah 75
6. Diketahui data 51, 35, 29, 57, 21, 40, 25, 47, 25, 53, 48, 43, 27, 34, 37. Desil ke- 3 data
tersebut adalah ….
Jawaban :
21, 25, 25, 27, 29, 34, 35, 37, 40, 43, 47, 48, 51, 53, 57
n = 15
D3 =
10
)1(3 +nx
=
10
)16(3x
= x4,8
= x4 + )(
10
8
45 xx −
= 27 + )2729(
10
8
−
= 27 + )2(
10
8
= 27 + 1,6
= 28,6
7. Jangkauan dari data 20, 21, 19, 17, 20, 21, 23, 24, 25 adalah ….
Jawaban :
J = Xmaks – Xmin = 25 – 17 = 8
8. Simpangan kuartil dari data 20, 23, 23, 19, 21, 20, 20, 25, 26, 27, 26 adalah ….
Jawaban :
19, 20, 20, 21, 22, 23, 25, 26, 26, 27
Q1 =
203
4
12
4
1 ===+ xxxn
Q3 = x4 26
4
1
9 ==




 +
x
n
Simpangan kuartil =
2
1
(Q3 – Q1)
= 3)2026(
2
1
=−
9. Ragam dan simpangan baku dari data 130, 131, 131, 132, 132, 132, 133 adalah ….
Jawaban :
x = 132
8
056.1
=
S2
=
8
)132135()132133()132132()132132(
)132132()132131()132131()132130(
2222
2222
−+−+−+−
+−+−+−+−
=
8
91000114 +++++++
= 2
8
16
=
Sd = S = 2
S = 2
10. Pendapatan ratarata karyawan suatu perusahaan Rp. 300.000,00 per bulan. Jika
pendapatan rata-rata karyawan pria Rp. 320.000,00 dan karyawan wanita Rp. 285.000,00
maka perbandingan jumlah karywan pria dan wanita adalah ….
Jawaban :
300 = nm
nm
+
+285320
300m + 300n = 320m + 285n
15n = 20m
m : n = 15 : 20
= 3 : 4
11. Seorang murid diminta mengerjakan 9 dari 10 soal ulangan, tetapi soal nomor 1 sampai 5
harus dikerjakan. Banyaknya pilihan yang dapat diambil murid tersebut adalah ….
Jawaban :
5
2
5
!4!1
!4.5
!4)!45(
!55
4 ===
−
=C
12. Dari 12 pemain bulutangkis pria akan disusun pemain ganda. Banyak susunan pemain
ganda yang dapat dibentuk adalah ….
66
!10.1.2
!10.11.12
!12!10
!1212
2 ===C cara
13. Seorang siswa ingin membeli 2 buku IPA dan 3 buku IPS dari seorang temannya yang
mempunyai 4 buku IPA dan 5 buku IPS. Banyak cara yang dapat dipilih oleh siswa
tersebut adalah ….
Jawaban :
6010.6
2
4.5
.
!2!2
!2.3.4
!3!2
!5
.
!2!2
!4
. 5
3
4
2 ====CC
14. Dalam sebuah pertemuan terdapat sejumlah orang yang saling bersalaman. Jika terjadi
190 kali salaman, maka jumlah orang tersebut adalah ….
Jawaban :
19010
2 =C
190
!2)!2(
!
=
−n
n
380
)!2(
)!2)(1(
=
−
−−
n
nnn
n2
– n – 380 = 0
(n + 19)(n – 20) = 0
n = 20
Jadi, ada 20 orang
15. Ada 6 orang pria dan 3 wanita. Mereka akan membentuk sebuah panitia yang terdiri atas 5
orang. Banyak cara panitia dapat dibentuk bila harus terdiri 3 pria dan 2 wanita adalah ….
Jawaban :
60
!2!3.1.2.3
!2.3!3.4.5.6
!1!2
!3
.
!3!3
!6
. 3
2
6
3 ===CC cara
16. Dalam sebuah pertemuan ada 15 orang laki-laki dan 10 orang perempuan saling
bersalaman (laki-laki tidak bersalaman dengan perempuan). Banyak salaman ada ….
Jawaban :
15045105
!8.1.2
!8.9.10
!13.1.2
!13.14.15
!8!2
!10
!3!2
!1510
2
15
2 =+=+=+=+CC sal
aman
17. Diketahui ada 7 orang yang akan duduk melingkar mengharap sebuah meja. Banyak cara
duduk ada ….
Jawaban :
(7 - 1)! = 6 . 5 . 4 . 3 . 2 . 1 = 720 cara
18. Sebuah dadu dilempar 108 kali, maka frekuensi harapan muncul angka yang kurang dari 3
adalah ….
Jawaban :
A = kejadian muncul angka kurang dari 3
= {1,2}
n(A)= 2
n(s) = 6
n = 108 kali
Fh = 36108.
6
2
= kali
19. Dua buah mata uang logam dan dua dadu dilempar bersama, maka banyak ruang
sampelnya adalah ….
Jawaban :
22
. 62
= 4 . 6
= 144
20. Dua buah dadu dilempar bersama sebanyak 360 kali, maka frekuensi harapan muncul
angka yang berjumlah lebih dari 4 adalah ….
Jawaban :
P (jumlah kurang dari = 4) =
36
6
P (jumlah lebih dari 4) = 1 –
6
5
36
30
36
6
==
Fh = 300)360(
6
5
=
SOAL STATISTIK
1.
70
60
50
40
30
20
10
Jan Feb Mar Apr Mei
Diagram garis diatas menunjukkan hasil penjualan gula di Toko Sejahtera pada periode
Januari – Mei 2008. Berdasarkan diagram di samping, jumlah penjualan gula pada bulan
April adalah ….
Jawaban :
Dari diagram garis dapat diketahui jumlah penjualan beras pada bulan April adalah 50 ton.
2. Median dari data dibawah ini adalah ….
Nilai 6 7 8 9 10
Frekuensi 6 8 9 5 4
Jawaban :
Median =






+
+ 1
22
2
1
nn xx
n = 6 + 8 + 9 + 5 + 4 = 32
Mo =
1
2
32
2
32 ++ xx
= }{
2
1
1713 xx + = }88{
2
1
+ = 8
3.
Modus dari data diatas adalah ….
Jawaban :
Jumlah(ton)
Bulan
Nilai Frekuensi Kumulatif
3 atau lebih 25
4 atau lebih 20
5 atau lebih 19
6 atau lebih 12
7 atau lebih 6
8 atau lebih 3
9 atau lebih 0
Nilai f
3
4
5
6
7
8
9
5
1
7
6
3
3
0
Modus = 5
4. Rataan hitung dari data yang disajikan pada tabel dibawah ini adalah 35, maka nilai x
adalah ….
Nilai Frekuensi
20
25
30
35
40
2
4
8
10
x
Jawaban :
35 = x
x
+
++++
24
4035024010040
840 + 35x = 730 40x
110 = 5x
x = 22
5.
Kuartil bawah dari data diatas adalah ….
Jawaban :
10
4
40
4
==
n
letak Q1 = interval (23 – 25)
Q1 = 22,5 + 3 




 −
7
810
= 22,5 +
7
6
= 23,4
Nilai Frekuensi
20 – 22
23 – 25
26 – 28
29 – 31
32 – 34
35 – 37
8
7
11
9
2
3
6. Modus dari data pada tabel dibawah ini adalah ….
Nilai Frekuensi
40 – 44
45 – 49
50 – 54
55 – 59
60 – 64
2
6
16
30
32
Jawaban :
Mo = 54,5 + 5 





+124
4
= 54,5 + 5 





16
4
= 54,5 + 1,25 = 55,75
7.
Ragam (variansi) dari data pada tabel diatas adalah ….
Jawaban :
x1 f (x1 - x) f1 (x1 - x)2
31
34
37
40
3
4
7
10
36
9
0
9
108
36
0
90
234
x = 37
Ragam =
24
234
8.
Perhatikan tabel diatas !
Dari data tersebut, tentukan rata-ratanya !
Jawaban :
Nilai Frekuensi
30 – 32
33 – 35
36 – 38
39 – 41
42 – 44
2
7
13
3
5
Nilai Frekuensi
1 – 5
6 – 10
11 – 15
16 – 20
21 – 25
4
15
7
5
5
x1 f1 f1x1
3
8
13
18
23
4
15
7
5
5
12
120
91
90
115
x = 88,11
36
42811
==
∑
∑
f
xf
9. Nilai rata-rata suatu bilangan adalah 5,9. empat anak dari kelas lain mempunyai nilai rata-
rata 7. jika nilai rata-rata mereka setelah digabung menjadi 6, maka tentukan banyaknya
anak sebelum digabung dengan empat anak tersebut.
Jawaban :
x 1 = 5,9 x = 6
x 2 = 7 n2 = 4
x =
11
2211 ..
nn
xnxn
+
+
6 =
4
7,49,5.
1
1
+
+
n
n
6n1 = 5,9 . n1 + 28
0,1.n1 = 4
n1 = 40
Jadi, banyaknya anak sebelum digabung dengan empat anak dari klas lain adalah 40 orang
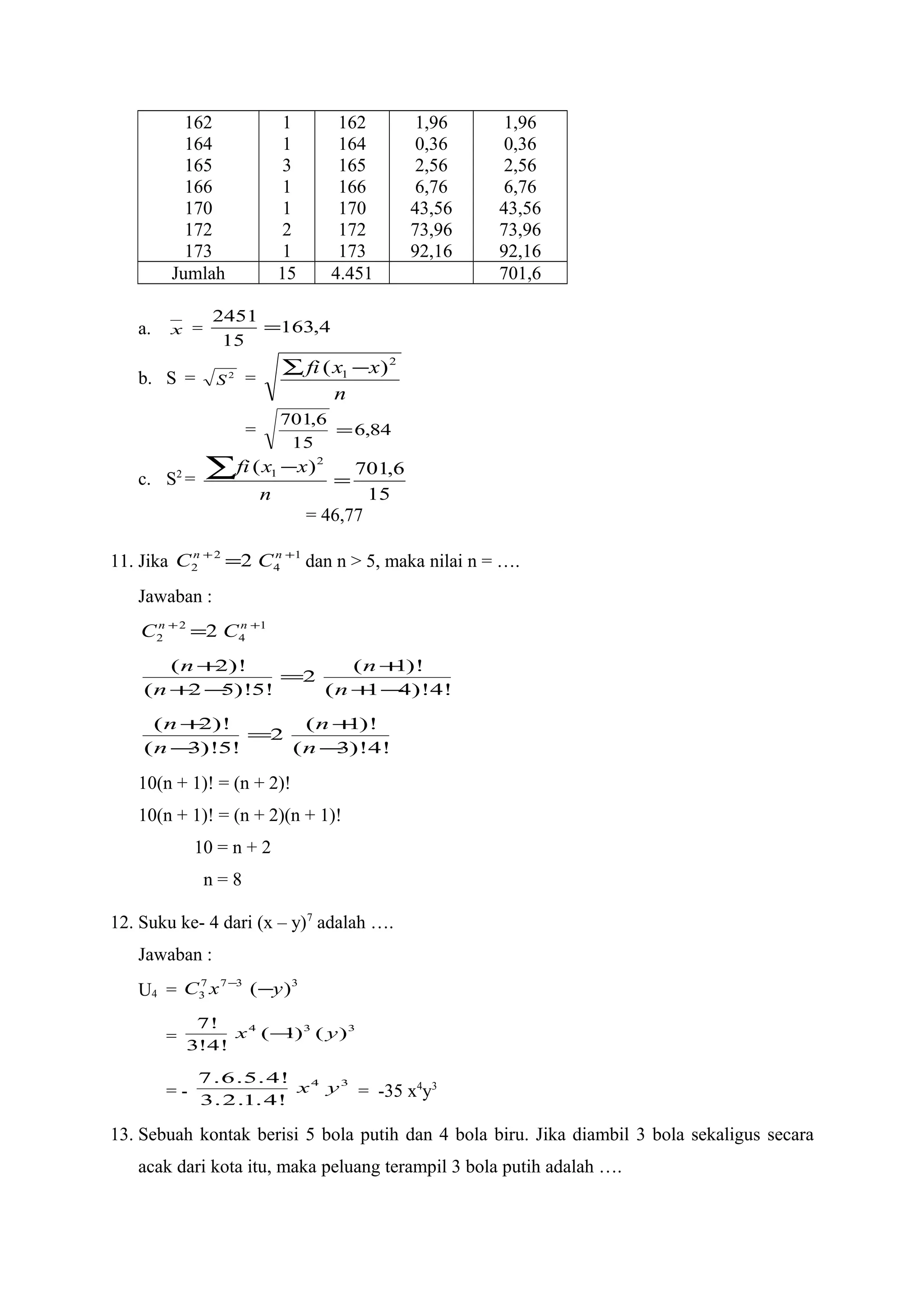
10. Dari 50 orang siswa diambil sampel secara acak 15 orang untuk diukur tinggi badannya,
diperoleh data sebagai berikut :
157 172 165 148 173 166 165 160
155 172 157 162 164 165 170
Hitunglah :
a. Rataaan hitung,
b. Imapangan baku, dan
c. Variansinya
Jawaban :
Tinggi badan f X . f (x1 – x)2
f (x1 – x)2
148
155
157
160
1
1
2
1
148
155
157
160
237,16
70,56
40,96
11,56
237,16
70,56
81,56
11,56
162
164
165
166
170
172
173
1
1
3
1
1
2
1
162
164
165
166
170
172
173
1,96
0,36
2,56
6,76
43,56
73,96
92,16
1,96
0,36
2,56
6,76
43,56
73,96
92,16
Jumlah 15 4.451 701,6
a. x = 4,163
15
2451
=
b. S = 2
S =
n
xxfi 2
1 )( −∑
= 84,6
15
6,701
=
c. S2
=
15
6,701)( 2
1
=
−∑
n
xxfi
= 46,77
11. Jika 1
4
2
2 2 ++
= nn
CC dan n > 5, maka nilai n = ….
Jawaban :
1
4
2
2 2 ++
= nn
CC
!4!)41(
!)1(
2
!5!)52(
!)2(
−+
+
=
−+
+
n
n
n
n
!4!)3(
!)1(
2
!5!)3(
!)2(
−
+
=
−
+
n
n
n
n
10(n + 1)! = (n + 2)!
10(n + 1)! = (n + 2)(n + 1)!
10 = n + 2
n = 8
12. Suku ke- 4 dari (x – y)7
adalah ….
Jawaban :
U4 =
3377
3 )( yxC −−
=
334
)()1(
!4!3
!7
yx −
= -
34
!4.1.2.3
!4.5.6.7
yx = -35 x4
y3
13. Sebuah kontak berisi 5 bola putih dan 4 bola biru. Jika diambil 3 bola sekaligus secara
acak dari kota itu, maka peluang terampil 3 bola putih adalah ….
Jawaban :
n(S) = 84
6
789
!3!6
!6789
!3!6
!99
3 ====
xxxxx
C
n(A) = 10
2
20
!0!4
!4
!3!2
!5
04
5
3 === xCxC
P(A) =
42
5
84
10
)(
)(
==
Sn
An
14. Sebuah dadu dan sebuah mata uang dilempar bersama, peluang muncul angka ganjil pada
dadu dan gambar pada uang adalah ….
Jawaban :
Dadu
Uang
1 2 3 4 5 6
A (A, 1) (A, 2) (A, 3) (A, 4) (A, 5) (A, 6)
G (G, 1) (G, 2) (G, 3) (G, 4) (G, 5) (G, 6)
A = {kejadian muncul ganjil, pada dadu, dan gambar pada uang}
= {(G,1), (G,3), (G,6)}
n(A) = 3
n(5) = 8
P(A) =
8
3
)(
)(
=
sn
An
15. Tiga mata uang dilempar bersama. Peluang muncul 2 angka dan 1 gambar adalah ….
Jawaban :
n(5) = 23
= 8
n(5) = {AAA, AAG, AGA, AGG, GAA, GAG, GGA, GGG}
A = kejadian 2 angka 1 gambar
= {AAG, AGA, GAA}
n(A) = 3
A
A
A
G
G
A
G
A
A
A
G
G
A
G
P(2 angka, 1 gambar) =
8
3
16. Dua buah dadu dilempar bersama, maka peluang kejadian jumlah mata dadu yang muncul
4 atau 8 adalah ….
Jawaban :
A = kejadian muncul mata dadu yang berjumlah 4
= {(3,1), (2,2), (1,3)}
n(A) = 3 → P(A) =
36
3
B = kejadian muncul mata dadu yang berjumlah 8
= {(6,2), (5,3), (4,4), (3,5), (2,6)}
n(B) = 5 → P(B) =
36
5
P(A∪ B) = P(A) + P(B)
=
9
2
36
8
36
5
36
3
==+
17. Dua buah dadu dilempar bersama, maka peluang muncul angka 2 pada dadu pertama atau
angka 6 pada dadu kedua adalah ….
Jawaban :
A = kejadian muncul 2 pada dadu I
= {(2,1), (2,2), (2,3), (2,4), (2,5), (2,6)}
n(A) = 6
B = kejadian muncul 6 pada dadu II
= {(1,6), (2,6), (3,6), (4,6), (5,6), (6,6)}
n(B) = 6
A∩ B = {2,6} → n(A∩B) = 1
P(A∪ B) = P(A) + P(B) – P(A∩B)
=
36
11
36
11
36
6
36
6
=−+
18. Dalam sebuah kota terdapat 6 bola merah, 4 bola putih, dan 2 bola hijau. Jika diambil 3
bola sekaligus, maka peluang terampil bola 2 merah dan 1 hijau adalah ….
Jawaban :
6 bola merah
4 bola putih 12 bola
2 bola hijau
diambil 3 bola sekaligus
P(2 merah, 1 hijau) = 12
3
2
1
6
2 .
C
CC
= 22
3
10.11.2
2.15
=
19. Sebuah kartu diambil secara acak dari seperangkat kartu bridge, maka peluang terampil
kartu Queen atau kartu berwarna hitam adalah ….
Jawaban :
P(Queen) =
52
4
)(
)(
=
Sn
Queenn
P(Hitam) =
52
26
)(
)(
=
Sn
Hitamn
P(Queen ∩ Hitam) =
52
2
)(
)(
=
∩
Sn
HitamQueenn
P(Queen atau Hitam) = P(Queen) + P(Hitam) – P(Queen ∩ Hitam)
=
52
28
52
2
52
26
52
4
=−+
20. Sebuah kotak berisi 10 kelereng, 4 diantaranya berwarna biru dan 6 diantaranya berwarna
merah. Dua kelereng diambil dari dalam kotak itu sekaligus. Peluang terambil 1 kelereng
biru dan 1 kelereng merah adalah ….
Jawaban :
n(s) = 45
!2!8
!1010
2 ==C
n(A) = !1!5
!6
!1!3
!46
1
4
1 xCxC = = 4 x 6 = 24
P(A) =
15
8
45
24
)(
)(
==
sn
An
Peluang terampil 1 kelereng biru dan 1 kelereng merah adalah
15
8

Soal dan pembahasan statika

  • 1.
    SOAL STATISTIKA 1. Tebeldibawah ini menunjukkan nilai-nilai yang diperoleh siswa kelas XI IPA 1 dalam suatu ulangan. Banyak siswa yang nilainya 61 atau lebih adalah …. Nilai Frekuensi 41 – 50 8 51 – 60 9 61 – 70 10 71 – 80 7 81 – 90 6 91 – 100 4 Jawaban : 10 + 7 + 6 + 4 = 27 siswa 2. Dari 120 siswa terdapat 39 siswa mempunyai ukuran 38, sebanyak 61 siswa mempunyai ukuran sepatu 39, dan sisanya mempunyai ukuran sepatu 40. Apabila data tersebut dibuat diagram lingkaran, maka juring lingkaran untuk siswa yang mempunyai ukuran sepatu 40 sebesar …. Jawaban : Jumlah siswa 120 Ukuran 38 ada 39 siswa Ukuran 39 ada 61 siswa Ukuran 40 ada 20 siswa Ukuran 40 = 00 60360 120 20 =x 3. Data pada tabel berikut menunjukkan tinggi badan peserta seleksi pramugari. Peserta yang lulus seleksi adalah mereka yang memiliki tinggi badan lebih dari 156 cm. Banyak peserta yang lulus seleksi adalah …. Jabawan : N = L + f fxX − 156 = 154,5 + 5. 10 6−X 1,5 = 5       − 10 6X Tinggi Badan Frekuensi 150 – 154 155 – 159 160 – 164 165 – 169 170 – 174 6 10 18 22 4
  • 2.
    X – 6= 3 X = 9 Banyak peserta yang lulus seleksi adalah 60 – 9 = 51 orang 4. Modus dari data 6, 6, 4, 6, 2, 5, 5, 6, 7, 6, 8 adalah …. Jawaban : Mo = 6, karena 6 paling sering muncul 5. Data diatas adalah hasil tes calon pegawai suatu instansi. Peserta dinyatakan lulus dan diterima bila mempunyai nilai 71 atau lebih. Banyak calon yang tidak diterima adalah …. Jawaban : 24 + 26 + 17 + 30 + 19 + 18 = 134 6. Median dari data 4, 3, 5, 4, 6, 3, 6, 7, 8, 7, 8, 8 adalah …. Jawaban : Me = 8,8,8,7,7,6,6,5,4,4,3,3 2 1 1 22         + + nn xx = ( )76 2 1 xx + = 2 1 (6 + 6) = 6 7. Nilai rata-rata matematika dari 39 siswa adalah 45. Jika nilai Ahmad digabungkan, maka nilai rata-ratanya menjadi 46. Nilai ulangan Ahmad adalah …. Jawaban : x 1 = 45 n1 = 39 x 2 = 46 n2 = 90 x 1 = n x∑ 1 ∑1x = n . x 1 = 39(45) = 1.755 x 2 = n x∑ 2 ∑ 2x = n . x 2 = 40(46) = 1.840 Nilai Ahmad = 1.840 – 1.755 = 85 Nilai Frekuensi 41 – 45 18 46 – 50 19 51 – 55 30 56 – 60 17 61 – 65 26 66 – 70 24 71 – 75 28 76 – 80 35 81 – 85 20 Nilai Frekuensi 5 6 7 8 9 10 3 5 4 6 1 1
  • 3.
    8. Data diatas adalahnilai ujian mata pelajaran. Jika nilai siswa yang lebih rendah dari rata- rata dinyatakan tidak lulus, maka banyaknya siswa yang lulus adalah …. Jawaban : Nilai Frekuensi f x nilai 5 3 15 6 5 30 7 4 28 8 6 48 9 1 9 10 1 10 Jumlah 20 140 Nilai rata-rata = 7 20 140 == ∑ ∑ f nilaixf Karena siswa yang lebih rendah dari rata-rata dinyatakan tidak lulus, maka : a. Siswa yang tidak lulus yang mendapat nilai dibawah 7 = 3 + 5 = 8 orang b. Jumlah siswa yang lulus = 20 – 8 = 12 orang 9. Suatu keluarga mempunyai 8 anak. Anak A berumur x + 1 tahun dan anak B berumur 2x + 1 tahun. Enam anak yang lain berturut-turut berumur x + 2, x + 3, x + 4, …, x + 7 (dalam tahun). Apabila rata-rata umur kedelapan anak tersebut 7 tahun, umur anak A adalah …. Jawaban : x = 7 8 )7()6()5()4()3()2()12()1( = +++++++++++++++ xxxxxxxx 7 8 299 = +x 9x + 29 = 56 9x = 27 x = 3 Umur A = (x + 1) tahun
  • 4.
    = 3 +1 = 4 tahun 10. Tiga buah data rataannya 13, jangkauannya 6, statistik maksimumnya 18, maka median dari data tersebut adalah …. Jawaban : 15 3 321 = ++ xxx x3 – x1 = 6 x1 = 18 – 6 = 12 15 3 321 = ++ xxx x1 + x2 + x3 = 15(3) x2 = 45 – 18 – 12 x2 = 15 Jadi, median = 15 11. Dari angka-angka 1, 2, 4, 6 akan disusun bilangan ribuan ganjil, maka banyak bilangan yang dapat disusun bila angka boleh diulang adalah …. Jawaban : 4 4 4 1 Banyak bilangan ribuan ganjil yang bisa dibentuk ada 4 x 4 x 4 x 1 = 64 bilangan 12. Banyak bilangan asli ratusan ganjil yang dapat dibuat dari angka-angka 1, 2, 3, 4, dan 5 (angka tidak boleh diulang) adalah …. Jawaban : 4 4 4 1 4(3)(3) = 36 bilangan 13. Dalam babak penyisihan suatu turnamen, 25 pecatur satu sama lain bertanding satu kali. Banyaknya pertandingan yang terjadi adalah …. Jawaban : Banyak pertandinganb yang terjadi : 25 2C = 300 2 600 !2!23 !232425 !2!23 !25 === xx 14. Banyaknya susunan huruf berbeda yang dapat dibentuk dari huruf-huruf “MALAKA” adalah …. Jawaban : 120 !3 !3456 !3 !6 == xxx
  • 5.
    15. Dari angka-angka2, 3, 5, 6, 7, dan 9 dibuat bilangan yang terdiri dari tiga angka yang berlainan. Banyaknya bilangan yang dapat dibuat yang lebih kecil dari 400 adalah …. Jawaban : Angka-angka 2, 3, 5, 6, 7, dan 9 akan dibuat bilangan yang terdiri atas 3 angka yang berlainan yang nilainya lebih kecil dari 400. Ratusan Puluhan Satuan 2 5 4 Banyak angka yang mungkin = 2 x 5 x 4 = 40 16. Di kelas XI akan diadakan pemilihan pengurus kelas yang terdiri atas ketua, wakil ketua, sekretaris, dan bendahara kelas. Jika hanya ada 7 siswa yang kompeten, banyak cara pemilihan tersebut adalah …. Jawaban : 8407 3 =P 17. Dari huruf a, b, c, d, dan e akan disusun menjadi kelompok yang terdiri atas 3 huruf. Banyak kelompok yang terbentuk ada …. Jawaban : !2 !2.3.4.5 !)35( !55 3 = − =P = 60 kelompok 18. Nilai n yang memenuhi 42 !)2( ! = −n n adalah …. Jawaban : 42 !)2( ! = −n n 42 !)2( !)2)(1( = − −− n nnn n2 – n – 42 = 0 (n - 7)(n + 6) = 0 n = 0 19. Banyak bilangan kurang dari 200 yang dapat dibentuk dari angka-angka 1, 2, 3, 4 adalah …. (angka boleh berulang) Jawaban : 4 4 1 Banyak bilangan kurang dari 200 yang dapat dibentuk ada 1 x 4 x 4 = 16 bilangan
  • 6.
    20. Banyak carapenyusunan kata dari data “PENDIDIK” adalah …. Jawaban : 080.10 2.2 1.2.3.4.5.6.7.8 !2!2 !8 ==
  • 7.
    SOAL STATISTIKA 1. Daridata berikut ini rata-ratanya adalah …. Nilai Frekuensi 41 – 45 46 – 50 51 – 55 56 – 60 61 – 65 8 5 6 7 4 Jawaban : x1 f1 f1x1 43 48 53 58 63 8 5 6 7 4 343 240 318 406 252 Jumlah 30 1560 x = 52 30 560.1 = 2. Nilai rata-rata tes matematika dari kelompok siswa dan kelompok siswi di suatu kelas berturut-turut adalah 5 dan 7. jika nilai rata-rata di kelas tersebut adalah 6,2 : maka perbandingan banyak siswa dan siswi adalah …. Jawaban : x1 = 5, x2 = 7, x = 6,2 1 12 2 1 xx xx n n − − = 3 2 2,1 8,0 52,6 2,67 2 1 == − − = n n 3. Diketahui data sebagai berikut : 7,0; 7,2; 6,9; 6,7; 5,4; 6,0; 4,9; 7,5; 5,9; 6,3 Nilai D5 dari data berikut adalah …. Jawaban : Nilai D5 Data diurutkan : 4,9 5,4 5,9 6,0 6,3 6,7 6,9 7,0 7,2 7,5 50% dari 10 adalah 510 100 50 =x D5 merupakan ukuran ke- 5 dan ke- 6 D5 = 5,6)7,63,6( 2 1 =+
  • 8.
    4. Berat badanrata-rata 8 orang adalah 40 kg, berat badan rata-rata 6 orang adalah 45 kg, dan berat rata-rata 4 orang 50 kg. jika 18 orang tersebut digabungkan, maka berat rata- ratanya menjadi …. Jawaban : x 1 = 40, n = 8 → x1 = 1 1 n x∑ = 8 . 40 = 320 x 2 = 45, n = 6 → x2 = 2 2 n x∑ = 6 . 45 = 270 x 3 = 3 3 n x∑ x 3= 50, n3 = 4 ∑ 2x = 4(50) = 200 x t = 18 790 468 200270320 = ++ ++ = ∑ t t n x x tot = 43,89 5. Nilai rata-rata 40 siswa adalah 50. Jika 5 orang siswa yang nilainya sama tidak diikutkan maka nilai rata-ratanya menjadi 55. nilai 5 orang tersebut masing-masing adalah …. Jawaban : x = n n∑ 50 = 40 1∑x → 000.21 =∑x 55 = 35 21∑ − xx 1925 = 2000 – x2 xL = 2000 – 1925 = 75 Jadi, nilai lima siswa tersebut adalah 75 6. Diketahui data 51, 35, 29, 57, 21, 40, 25, 47, 25, 53, 48, 43, 27, 34, 37. Desil ke- 3 data tersebut adalah …. Jawaban : 21, 25, 25, 27, 29, 34, 35, 37, 40, 43, 47, 48, 51, 53, 57
  • 9.
    n = 15 D3= 10 )1(3 +nx = 10 )16(3x = x4,8 = x4 + )( 10 8 45 xx − = 27 + )2729( 10 8 − = 27 + )2( 10 8 = 27 + 1,6 = 28,6 7. Jangkauan dari data 20, 21, 19, 17, 20, 21, 23, 24, 25 adalah …. Jawaban : J = Xmaks – Xmin = 25 – 17 = 8 8. Simpangan kuartil dari data 20, 23, 23, 19, 21, 20, 20, 25, 26, 27, 26 adalah …. Jawaban : 19, 20, 20, 21, 22, 23, 25, 26, 26, 27 Q1 = 203 4 12 4 1 ===+ xxxn Q3 = x4 26 4 1 9 ==      + x n Simpangan kuartil = 2 1 (Q3 – Q1) = 3)2026( 2 1 =− 9. Ragam dan simpangan baku dari data 130, 131, 131, 132, 132, 132, 133 adalah …. Jawaban : x = 132 8 056.1 = S2 = 8 )132135()132133()132132()132132( )132132()132131()132131()132130( 2222 2222 −+−+−+− +−+−+−+−
  • 10.
    = 8 91000114 +++++++ = 2 8 16 = Sd= S = 2 S = 2 10. Pendapatan ratarata karyawan suatu perusahaan Rp. 300.000,00 per bulan. Jika pendapatan rata-rata karyawan pria Rp. 320.000,00 dan karyawan wanita Rp. 285.000,00 maka perbandingan jumlah karywan pria dan wanita adalah …. Jawaban : 300 = nm nm + +285320 300m + 300n = 320m + 285n 15n = 20m m : n = 15 : 20 = 3 : 4 11. Seorang murid diminta mengerjakan 9 dari 10 soal ulangan, tetapi soal nomor 1 sampai 5 harus dikerjakan. Banyaknya pilihan yang dapat diambil murid tersebut adalah …. Jawaban : 5 2 5 !4!1 !4.5 !4)!45( !55 4 === − =C 12. Dari 12 pemain bulutangkis pria akan disusun pemain ganda. Banyak susunan pemain ganda yang dapat dibentuk adalah …. 66 !10.1.2 !10.11.12 !12!10 !1212 2 ===C cara 13. Seorang siswa ingin membeli 2 buku IPA dan 3 buku IPS dari seorang temannya yang mempunyai 4 buku IPA dan 5 buku IPS. Banyak cara yang dapat dipilih oleh siswa tersebut adalah …. Jawaban : 6010.6 2 4.5 . !2!2 !2.3.4 !3!2 !5 . !2!2 !4 . 5 3 4 2 ====CC 14. Dalam sebuah pertemuan terdapat sejumlah orang yang saling bersalaman. Jika terjadi 190 kali salaman, maka jumlah orang tersebut adalah …. Jawaban : 19010 2 =C
  • 11.
    190 !2)!2( ! = −n n 380 )!2( )!2)(1( = − −− n nnn n2 – n –380 = 0 (n + 19)(n – 20) = 0 n = 20 Jadi, ada 20 orang 15. Ada 6 orang pria dan 3 wanita. Mereka akan membentuk sebuah panitia yang terdiri atas 5 orang. Banyak cara panitia dapat dibentuk bila harus terdiri 3 pria dan 2 wanita adalah …. Jawaban : 60 !2!3.1.2.3 !2.3!3.4.5.6 !1!2 !3 . !3!3 !6 . 3 2 6 3 ===CC cara 16. Dalam sebuah pertemuan ada 15 orang laki-laki dan 10 orang perempuan saling bersalaman (laki-laki tidak bersalaman dengan perempuan). Banyak salaman ada …. Jawaban : 15045105 !8.1.2 !8.9.10 !13.1.2 !13.14.15 !8!2 !10 !3!2 !1510 2 15 2 =+=+=+=+CC sal aman 17. Diketahui ada 7 orang yang akan duduk melingkar mengharap sebuah meja. Banyak cara duduk ada …. Jawaban : (7 - 1)! = 6 . 5 . 4 . 3 . 2 . 1 = 720 cara 18. Sebuah dadu dilempar 108 kali, maka frekuensi harapan muncul angka yang kurang dari 3 adalah …. Jawaban : A = kejadian muncul angka kurang dari 3 = {1,2} n(A)= 2 n(s) = 6 n = 108 kali Fh = 36108. 6 2 = kali
  • 12.
    19. Dua buahmata uang logam dan dua dadu dilempar bersama, maka banyak ruang sampelnya adalah …. Jawaban : 22 . 62 = 4 . 6 = 144 20. Dua buah dadu dilempar bersama sebanyak 360 kali, maka frekuensi harapan muncul angka yang berjumlah lebih dari 4 adalah …. Jawaban : P (jumlah kurang dari = 4) = 36 6 P (jumlah lebih dari 4) = 1 – 6 5 36 30 36 6 == Fh = 300)360( 6 5 =
  • 13.
    SOAL STATISTIK 1. 70 60 50 40 30 20 10 Jan FebMar Apr Mei Diagram garis diatas menunjukkan hasil penjualan gula di Toko Sejahtera pada periode Januari – Mei 2008. Berdasarkan diagram di samping, jumlah penjualan gula pada bulan April adalah …. Jawaban : Dari diagram garis dapat diketahui jumlah penjualan beras pada bulan April adalah 50 ton. 2. Median dari data dibawah ini adalah …. Nilai 6 7 8 9 10 Frekuensi 6 8 9 5 4 Jawaban : Median =       + + 1 22 2 1 nn xx n = 6 + 8 + 9 + 5 + 4 = 32 Mo = 1 2 32 2 32 ++ xx = }{ 2 1 1713 xx + = }88{ 2 1 + = 8 3. Modus dari data diatas adalah …. Jawaban : Jumlah(ton) Bulan Nilai Frekuensi Kumulatif 3 atau lebih 25 4 atau lebih 20 5 atau lebih 19 6 atau lebih 12 7 atau lebih 6 8 atau lebih 3 9 atau lebih 0
  • 14.
    Nilai f 3 4 5 6 7 8 9 5 1 7 6 3 3 0 Modus =5 4. Rataan hitung dari data yang disajikan pada tabel dibawah ini adalah 35, maka nilai x adalah …. Nilai Frekuensi 20 25 30 35 40 2 4 8 10 x Jawaban : 35 = x x + ++++ 24 4035024010040 840 + 35x = 730 40x 110 = 5x x = 22 5. Kuartil bawah dari data diatas adalah …. Jawaban : 10 4 40 4 == n letak Q1 = interval (23 – 25) Q1 = 22,5 + 3       − 7 810 = 22,5 + 7 6 = 23,4 Nilai Frekuensi 20 – 22 23 – 25 26 – 28 29 – 31 32 – 34 35 – 37 8 7 11 9 2 3
  • 15.
    6. Modus daridata pada tabel dibawah ini adalah …. Nilai Frekuensi 40 – 44 45 – 49 50 – 54 55 – 59 60 – 64 2 6 16 30 32 Jawaban : Mo = 54,5 + 5       +124 4 = 54,5 + 5       16 4 = 54,5 + 1,25 = 55,75 7. Ragam (variansi) dari data pada tabel diatas adalah …. Jawaban : x1 f (x1 - x) f1 (x1 - x)2 31 34 37 40 3 4 7 10 36 9 0 9 108 36 0 90 234 x = 37 Ragam = 24 234 8. Perhatikan tabel diatas ! Dari data tersebut, tentukan rata-ratanya ! Jawaban : Nilai Frekuensi 30 – 32 33 – 35 36 – 38 39 – 41 42 – 44 2 7 13 3 5 Nilai Frekuensi 1 – 5 6 – 10 11 – 15 16 – 20 21 – 25 4 15 7 5 5
  • 16.
    x1 f1 f1x1 3 8 13 18 23 4 15 7 5 5 12 120 91 90 115 x= 88,11 36 42811 == ∑ ∑ f xf 9. Nilai rata-rata suatu bilangan adalah 5,9. empat anak dari kelas lain mempunyai nilai rata- rata 7. jika nilai rata-rata mereka setelah digabung menjadi 6, maka tentukan banyaknya anak sebelum digabung dengan empat anak tersebut. Jawaban : x 1 = 5,9 x = 6 x 2 = 7 n2 = 4 x = 11 2211 .. nn xnxn + + 6 = 4 7,49,5. 1 1 + + n n 6n1 = 5,9 . n1 + 28 0,1.n1 = 4 n1 = 40 Jadi, banyaknya anak sebelum digabung dengan empat anak dari klas lain adalah 40 orang 10. Dari 50 orang siswa diambil sampel secara acak 15 orang untuk diukur tinggi badannya, diperoleh data sebagai berikut : 157 172 165 148 173 166 165 160 155 172 157 162 164 165 170 Hitunglah : a. Rataaan hitung, b. Imapangan baku, dan c. Variansinya Jawaban : Tinggi badan f X . f (x1 – x)2 f (x1 – x)2 148 155 157 160 1 1 2 1 148 155 157 160 237,16 70,56 40,96 11,56 237,16 70,56 81,56 11,56
  • 17.
    162 164 165 166 170 172 173 1 1 3 1 1 2 1 162 164 165 166 170 172 173 1,96 0,36 2,56 6,76 43,56 73,96 92,16 1,96 0,36 2,56 6,76 43,56 73,96 92,16 Jumlah 15 4.451701,6 a. x = 4,163 15 2451 = b. S = 2 S = n xxfi 2 1 )( −∑ = 84,6 15 6,701 = c. S2 = 15 6,701)( 2 1 = −∑ n xxfi = 46,77 11. Jika 1 4 2 2 2 ++ = nn CC dan n > 5, maka nilai n = …. Jawaban : 1 4 2 2 2 ++ = nn CC !4!)41( !)1( 2 !5!)52( !)2( −+ + = −+ + n n n n !4!)3( !)1( 2 !5!)3( !)2( − + = − + n n n n 10(n + 1)! = (n + 2)! 10(n + 1)! = (n + 2)(n + 1)! 10 = n + 2 n = 8 12. Suku ke- 4 dari (x – y)7 adalah …. Jawaban : U4 = 3377 3 )( yxC −− = 334 )()1( !4!3 !7 yx − = - 34 !4.1.2.3 !4.5.6.7 yx = -35 x4 y3 13. Sebuah kontak berisi 5 bola putih dan 4 bola biru. Jika diambil 3 bola sekaligus secara acak dari kota itu, maka peluang terampil 3 bola putih adalah ….
  • 18.
    Jawaban : n(S) =84 6 789 !3!6 !6789 !3!6 !99 3 ==== xxxxx C n(A) = 10 2 20 !0!4 !4 !3!2 !5 04 5 3 === xCxC P(A) = 42 5 84 10 )( )( == Sn An 14. Sebuah dadu dan sebuah mata uang dilempar bersama, peluang muncul angka ganjil pada dadu dan gambar pada uang adalah …. Jawaban : Dadu Uang 1 2 3 4 5 6 A (A, 1) (A, 2) (A, 3) (A, 4) (A, 5) (A, 6) G (G, 1) (G, 2) (G, 3) (G, 4) (G, 5) (G, 6) A = {kejadian muncul ganjil, pada dadu, dan gambar pada uang} = {(G,1), (G,3), (G,6)} n(A) = 3 n(5) = 8 P(A) = 8 3 )( )( = sn An 15. Tiga mata uang dilempar bersama. Peluang muncul 2 angka dan 1 gambar adalah …. Jawaban : n(5) = 23 = 8 n(5) = {AAA, AAG, AGA, AGG, GAA, GAG, GGA, GGG} A = kejadian 2 angka 1 gambar = {AAG, AGA, GAA} n(A) = 3 A A A G G A G A A A G G A G
  • 19.
    P(2 angka, 1gambar) = 8 3 16. Dua buah dadu dilempar bersama, maka peluang kejadian jumlah mata dadu yang muncul 4 atau 8 adalah …. Jawaban : A = kejadian muncul mata dadu yang berjumlah 4 = {(3,1), (2,2), (1,3)} n(A) = 3 → P(A) = 36 3 B = kejadian muncul mata dadu yang berjumlah 8 = {(6,2), (5,3), (4,4), (3,5), (2,6)} n(B) = 5 → P(B) = 36 5 P(A∪ B) = P(A) + P(B) = 9 2 36 8 36 5 36 3 ==+ 17. Dua buah dadu dilempar bersama, maka peluang muncul angka 2 pada dadu pertama atau angka 6 pada dadu kedua adalah …. Jawaban : A = kejadian muncul 2 pada dadu I = {(2,1), (2,2), (2,3), (2,4), (2,5), (2,6)} n(A) = 6 B = kejadian muncul 6 pada dadu II = {(1,6), (2,6), (3,6), (4,6), (5,6), (6,6)} n(B) = 6 A∩ B = {2,6} → n(A∩B) = 1 P(A∪ B) = P(A) + P(B) – P(A∩B) = 36 11 36 11 36 6 36 6 =−+ 18. Dalam sebuah kota terdapat 6 bola merah, 4 bola putih, dan 2 bola hijau. Jika diambil 3 bola sekaligus, maka peluang terampil bola 2 merah dan 1 hijau adalah …. Jawaban : 6 bola merah 4 bola putih 12 bola
  • 20.
    2 bola hijau diambil3 bola sekaligus P(2 merah, 1 hijau) = 12 3 2 1 6 2 . C CC = 22 3 10.11.2 2.15 = 19. Sebuah kartu diambil secara acak dari seperangkat kartu bridge, maka peluang terampil kartu Queen atau kartu berwarna hitam adalah …. Jawaban : P(Queen) = 52 4 )( )( = Sn Queenn P(Hitam) = 52 26 )( )( = Sn Hitamn P(Queen ∩ Hitam) = 52 2 )( )( = ∩ Sn HitamQueenn P(Queen atau Hitam) = P(Queen) + P(Hitam) – P(Queen ∩ Hitam) = 52 28 52 2 52 26 52 4 =−+ 20. Sebuah kotak berisi 10 kelereng, 4 diantaranya berwarna biru dan 6 diantaranya berwarna merah. Dua kelereng diambil dari dalam kotak itu sekaligus. Peluang terambil 1 kelereng biru dan 1 kelereng merah adalah …. Jawaban : n(s) = 45 !2!8 !1010 2 ==C n(A) = !1!5 !6 !1!3 !46 1 4 1 xCxC = = 4 x 6 = 24 P(A) = 15 8 45 24 )( )( == sn An Peluang terampil 1 kelereng biru dan 1 kelereng merah adalah 15 8