BY
Dr. Gurumeet.C.Wadhawa
DEPARTMENT OF CHEMISTRY
K. B. P. College,Vashi,Navimumbai
Schmidt Rearrangement
Schmidt reaction
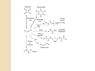
The Schmidt reaction is an organic reaction in which
an azide reacts with a carbonyl derivative, usually a aldehyde,
ketone, or carboxylic acid, under acidic conditions to give
an amine or amide, with expulsion of nitrogen.It is named after Karl
Friedrich Schmidt (1887–1971), who first reported it in 1924 by
successfully converting benzophenone and hydrazoic
acid to benzanilide.Surprisingly, the intramolecular reaction was not
reported until 1991but has become important in the synthesis of
natural products
History
In 1923, K.F. Schmidt reported that heating hydrazoic acid (HN3)
with benzophenone in the presence of sulfuric acid, afforded
benzanilide in quantitative yield.1 Later this transformation was
shown to be general for ketones, aldehydes, and carboxylic acids
that underwent similar reactions with HN3 to give amides, nitriles,
and amines, respectively. The reaction of carbonyl compounds with
hydrazoic acid or alkyl azides in the presence of acid catalysts is
known as the Schmidt reaction.
The general features of the Schmidt reaction are:
1) the transformation occurs in a single stageFrom carboxylic acids unlike
the related Curtius and Hoffmann rearrangements;
2) 2) the reaction conditions are mild,
the reagents are readily available, the procedure is simple, and does not
require special equipment;
3) protic acids are used as acid catalysts (e.g., H2SO4, PPA, trichloroacetic
acid/H2SO4, TFA, TFAA), and sulfuric acid is by far the
most widely used;
4) hydrogen azide is handled either as a solution in an inert solvent (e.g.,
CHCl3) or generated in situ by adding NaN3 to the acidic reaction mixture;
5) HN3 is known to be toxic and explosive (especially on large
scale);
6) in the case of carboxylic acids, the best results are obtained with aliphatic
and sterically hindered aromatic substrates;
7) the product amines are one-carbon shorter homologs of the substrates
due the loss of CO2;
8)aromatic acids with electron-withdrawing groups require the use of very
strong acid catalysts (e.g., conc. H2SO4 oroleum) and very electron-poor
heterocyclic acids usually do not react;
9) the α-stereocenter remains unaffected andthe product amine is obtained
with retention of configuration;
10) carboxylic acids that are fully alkyl or aryl substituted at the α-position
(have no α hydrogen atom) may undergo side reactions due to the
decarboxylation of the acid to astable carbocation;
11) 1,3-dicarboxylic acids react at only one of the carboxylic acid fuctional
groups; 12) α-amino acids do not react;
13) α,β-unsaturated carboxylic acids are not good substrates, since they
give rise to complex reaction mixtures;
14) aldehydes and ketones react with hydrazoic acid faster than carboxylic
acids so good chemoselectivity can be achieved with keto acids;
15) aliphatic aldehydes are unstable in sulfuric acid, so mainly aromatic
aldehydes are used;
16) the main product with aldehydes is the corresponding nitrile, but the
formation of formamides is often a side reaction;
17) symmetrical ketones give rise to N-substituted amides; 18) in
unsymmetrical
ketones such as alkyl aryl ketones, the aryl group migrates preferentially
so N-aryl amides are obtained;
19) Cyclic ketones undergo ring-enlargement to afford cyclic amides;
20) Lewis acids are effective catalysts when alkyl azides are employed;
and
21) the reaction works efficiently intramolecularly and affords N-
substituted lactams
Enantioselective Variants
The Schmidt reaction has been applied for the desymmetrization of
symmetric ketones containing enantiotopic α-carbon atoms.
Employing a chiral hydroxyalkyl azide resulted in highly
diastereoselective migration, and subsequent removal of the nitrogen
substituent produced the lactam as a single enantiomer
Reactions of Hydrazoic Acid
The Schmidt reaction is most commonly used to convert differentially
substituted ketones to amides or lactams. The most common problems
with this reaction are site selectivity and tetrazole formation, although
the latter can be controlled by changing reaction conditions. Steric
hindrance to nucleophilic addition lowers yields somewhat, but site
selectivity is improved when the substituents of the carbonyl are of
different sizes. The less substituted carbon rarely migrate
References
1. (a) Schmidt, K. F. Angew. Chem. 1923, 36, 511. Karl Friedrich Schmidt
(1887-1971)
collaborated with Curtius at the University of Heidelberg, where Schmidt
became a
Professor of Chemistry after 1923. (b) Schmidt, K. F. Ber. 1924, 57, 704-
706.
2. Wolff, H. Org. React. 1946, 3, 303-336. (Review).
3. Tanaka, M.; Oba, M.; Tamai, K.; Suemune, H. J. Org. Chem. 2001, 66,
2667-2573.
4. Golden, J. E.; Aubé, J. Angew. Chem. Int. Ed. 2002, 41, 4316-4318.
5. Johnson, P. D.; Aristoff, P. A.; Zurenko, G. E.; Schaadt, R. D.; Yagi, B. H.;
Ford, C.
W.; Hamel, J. C.; Stapert, D.; Moerman, J. K. Bioorg. Med. Chem. Lett.
2003, 13,
4197-4200.
6. Wrobleski, A.; Sahasrabudhe, K.; Aubé, J. J. Am. Chem. Soc. 2004, 126,
5475-5481.
7. Gorin, D. J.; Davis, N. R.; Toste, F. D. J. Am. Chem. Soc. 2005, 127,
11260-11261.
8. Iyengar, R.; Schidknegt, K.; Morton, M.; Aubé, J. J. Org. Chem. 2005, 70,
10645-0652.
9. Amer, F. A.; Hammouda, M.; El-Ahl, A. A. S.; Abdel-Wahab, B. F. Synth.

Schmidt reaction

  • 1.
    BY Dr. Gurumeet.C.Wadhawa DEPARTMENT OFCHEMISTRY K. B. P. College,Vashi,Navimumbai Schmidt Rearrangement
  • 2.
    Schmidt reaction The Schmidtreaction is an organic reaction in which an azide reacts with a carbonyl derivative, usually a aldehyde, ketone, or carboxylic acid, under acidic conditions to give an amine or amide, with expulsion of nitrogen.It is named after Karl Friedrich Schmidt (1887–1971), who first reported it in 1924 by successfully converting benzophenone and hydrazoic acid to benzanilide.Surprisingly, the intramolecular reaction was not reported until 1991but has become important in the synthesis of natural products History
  • 3.
    In 1923, K.F.Schmidt reported that heating hydrazoic acid (HN3) with benzophenone in the presence of sulfuric acid, afforded benzanilide in quantitative yield.1 Later this transformation was shown to be general for ketones, aldehydes, and carboxylic acids that underwent similar reactions with HN3 to give amides, nitriles, and amines, respectively. The reaction of carbonyl compounds with hydrazoic acid or alkyl azides in the presence of acid catalysts is known as the Schmidt reaction. The general features of the Schmidt reaction are: 1) the transformation occurs in a single stageFrom carboxylic acids unlike the related Curtius and Hoffmann rearrangements; 2) 2) the reaction conditions are mild, the reagents are readily available, the procedure is simple, and does not require special equipment; 3) protic acids are used as acid catalysts (e.g., H2SO4, PPA, trichloroacetic acid/H2SO4, TFA, TFAA), and sulfuric acid is by far the most widely used; 4) hydrogen azide is handled either as a solution in an inert solvent (e.g., CHCl3) or generated in situ by adding NaN3 to the acidic reaction mixture; 5) HN3 is known to be toxic and explosive (especially on large scale);
  • 4.
    6) in thecase of carboxylic acids, the best results are obtained with aliphatic and sterically hindered aromatic substrates; 7) the product amines are one-carbon shorter homologs of the substrates due the loss of CO2; 8)aromatic acids with electron-withdrawing groups require the use of very strong acid catalysts (e.g., conc. H2SO4 oroleum) and very electron-poor heterocyclic acids usually do not react; 9) the α-stereocenter remains unaffected andthe product amine is obtained with retention of configuration; 10) carboxylic acids that are fully alkyl or aryl substituted at the α-position (have no α hydrogen atom) may undergo side reactions due to the decarboxylation of the acid to astable carbocation; 11) 1,3-dicarboxylic acids react at only one of the carboxylic acid fuctional groups; 12) α-amino acids do not react; 13) α,β-unsaturated carboxylic acids are not good substrates, since they give rise to complex reaction mixtures; 14) aldehydes and ketones react with hydrazoic acid faster than carboxylic acids so good chemoselectivity can be achieved with keto acids;
  • 5.
    15) aliphatic aldehydesare unstable in sulfuric acid, so mainly aromatic aldehydes are used; 16) the main product with aldehydes is the corresponding nitrile, but the formation of formamides is often a side reaction; 17) symmetrical ketones give rise to N-substituted amides; 18) in unsymmetrical ketones such as alkyl aryl ketones, the aryl group migrates preferentially so N-aryl amides are obtained; 19) Cyclic ketones undergo ring-enlargement to afford cyclic amides; 20) Lewis acids are effective catalysts when alkyl azides are employed; and 21) the reaction works efficiently intramolecularly and affords N- substituted lactams
  • 23.
    Enantioselective Variants The Schmidtreaction has been applied for the desymmetrization of symmetric ketones containing enantiotopic α-carbon atoms. Employing a chiral hydroxyalkyl azide resulted in highly diastereoselective migration, and subsequent removal of the nitrogen substituent produced the lactam as a single enantiomer
  • 24.
    Reactions of HydrazoicAcid The Schmidt reaction is most commonly used to convert differentially substituted ketones to amides or lactams. The most common problems with this reaction are site selectivity and tetrazole formation, although the latter can be controlled by changing reaction conditions. Steric hindrance to nucleophilic addition lowers yields somewhat, but site selectivity is improved when the substituents of the carbonyl are of different sizes. The less substituted carbon rarely migrate
  • 27.
    References 1. (a) Schmidt,K. F. Angew. Chem. 1923, 36, 511. Karl Friedrich Schmidt (1887-1971) collaborated with Curtius at the University of Heidelberg, where Schmidt became a Professor of Chemistry after 1923. (b) Schmidt, K. F. Ber. 1924, 57, 704- 706. 2. Wolff, H. Org. React. 1946, 3, 303-336. (Review). 3. Tanaka, M.; Oba, M.; Tamai, K.; Suemune, H. J. Org. Chem. 2001, 66, 2667-2573. 4. Golden, J. E.; Aubé, J. Angew. Chem. Int. Ed. 2002, 41, 4316-4318. 5. Johnson, P. D.; Aristoff, P. A.; Zurenko, G. E.; Schaadt, R. D.; Yagi, B. H.; Ford, C. W.; Hamel, J. C.; Stapert, D.; Moerman, J. K. Bioorg. Med. Chem. Lett. 2003, 13, 4197-4200. 6. Wrobleski, A.; Sahasrabudhe, K.; Aubé, J. J. Am. Chem. Soc. 2004, 126, 5475-5481. 7. Gorin, D. J.; Davis, N. R.; Toste, F. D. J. Am. Chem. Soc. 2005, 127, 11260-11261. 8. Iyengar, R.; Schidknegt, K.; Morton, M.; Aubé, J. J. Org. Chem. 2005, 70, 10645-0652. 9. Amer, F. A.; Hammouda, M.; El-Ahl, A. A. S.; Abdel-Wahab, B. F. Synth.