Power management in DC -Grid
Presented by-
Satabdy Jena
PhD (Power Electronics)
Reg. No. 2017EEZ8158
Indian Institute of Technology Delhi
SEMESTER PROGRESS PRESENTATION
Under the supervision of
Prof. M. Veerachary
Professor, Indian Institute of Technology
Delhi
Contents
1. Courses
2. Introduction
3. Converter topologies
4. Conclusion and future scope
5. Bibliography
12/26/2017 2
1. Courses outline
12/26/2017 3
Coursework Credits Obtained
GPA
1. Power Electronic Converters
(ELL751)
3
2. Non Linear Systems
(ELL702)
3
• High efficiency, high reliability and ease of interconnection of renewable
• Telecom, automotive, portable power, power supply for WAN/LAN,
vehicular and distributed power systems
• In order to achieve safe and reliable MG performance, its dynamic stability
needs to be ensured in all operating conditions.
12/26/2017 4
2. introduction
3. CONVERTER analysis
• State space averaging
Where,
12/26/2017 5
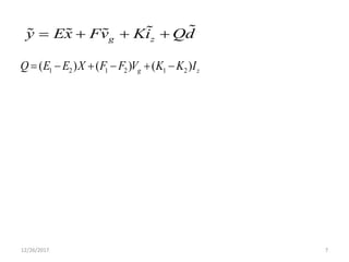
.
g
g
x Ax Bv
y Ex Fv
 
 
1 1 2 2* *A A D A D 
1 1 2 2* *B B D B D 
1 1 2 2* *E E D E D 
1 1 2 2* *F F D F D 
2 1(1 )D D 
(1)
• Small signal analysis
• Assuming that deviations are sufficiently small that the
non-linear and second order terms can be neglected, it
results in a small-signal linear model
12/26/2017 6
g g g
x X x
v V v
 
 
g zx Ax Bv mi Pd   
1 2 1 2 1 2( ) ( ) ( )g zP A A X B B V M M I     
1
( )
x
sI A P
d

 
(2)
(3)
(4)
(5)
12/26/2017 7
g zy Ex Fv Ki Qd   
1 2 1 2 1 2( ) ( ) ( )g zQ E E X F F V K K I     
4. Converter topologies
• KY Boost Converter
• Sepic and Cuk Converter
• Cascade 2 stage (with and without undamped input filter)
Converter
12/26/2017 8
12/26/2017 9
(i) KY-Boost Converter
Fig. 1. KY-Boost converter
12/26/2017 10
Fig. 2. Mode-1 operation
Fig.3. Mode-2 operation
12/26/2017 11
c1
1 c1 c2 1 c1 c2 1 c1 c2 1
c1
2 c1 c2 2 c1 c2 2 c1 c2
3 c3 3
1
1
2
c1 c1 c1
2 2 c1 c2 2 c1 c2 2 c3 c1 c2 2
r-1 1 1
0 0
(C (r +r )) (C (r +r )) (C (r +r )) C
-r1 -1
0 0
(C (r +r )) (C (r +r )) (C (r +r ))
-1 1
0 0 0A1=
(C *(R+r )) C
-r
0 0 0 0
L
r r (r )1 -R
0
L (L (r +r )) (L (r +r )) (L (R+r )) ((r +r )L )

 c12
2 2
rr
L L
 
 
 
 
 
 
 
 
 
 
 
 
 
  
  
T
1
B1= 0 0 0 0
L1
 
   c3
R
E1 0 0 0 0
(R+r )
 
  
 
 F1 0
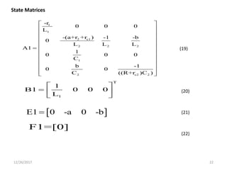
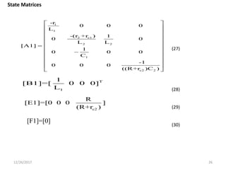
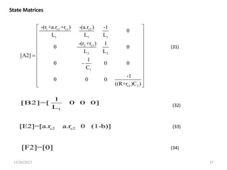
State Matrices
(7)
(8) (9)
(10)
12/26/2017 12
1 1
2
3 c3 3
c1 1 c1
1 1 1
c1 c2 2 c1
2 2 2 c3 2 2
1 -1
0 0 0
C C
-1
0 0 0 0
C
-1 1
0 0 0A2=
(C (R+r )) C
-(r +r ) r-1
0 0
L L L
r (r +r +r )1 1 -R
0
L L (L (R+r )) L L
 
 
 
 
 
 
 
 
 
 
 
 
 
 
 
T
1
B2= 0 0 0 0
L1
 
  
c3
R
E2 0 0 0 0
(R+r )
 
  
 
 F2 0
State Matrices
(11)
(12)
(13)
(14)
12/26/2017 13
Parameters Values Parameters Values
rc1 0.1 Ω r1 0.01Ω
rc2 0.1 Ω r2 0.01Ω
rc3 0.1 Ω R 20Ω
C1 1000 µF L1 15 µH
C2 680 µF L2 15 µH
C3 470 µF D1 0.5
Vg 12 V fsw 195 kHz
Voltages and
currents
Values in Matlab Values in PSIM
Vc1 23.54 V 23.19 V
Vc2 23.02 V 23.19 V
Vc3 35.12 V 34.94 V
iL1 5.2427 A 5.24 A
iL2 1.7476 A 1.74 A
Table I. Values of state parameters
Table II. Voltages and currents in the steady state
12/26/2017 14
Fig.5. Step response of Gvo_d
The pole-zero map of the converter output voltage to duty transfer function
depicts a pole as shown in Fig.4 due to which there is inversion of response in
the step response shown in Fig.5
Fig. 4. Pole-zero map of Gvo_d
12/26/2017 15
Fig.6. Frequency response of iL1 to duty
4 3 2
5 4 3 2iL1_d
2.281 5 1.07 10 5.412 13 1.176 18 2.392 20
4.847 04 3.667 08 6.935
G =
12 8.898 15 2.62 19
e s e s e s e s e
s e s e s e s e s e
   
    
0
-10
10
20
30
40
50
amp(il1_fr)
1 10 100 1000 10000 100000
Frequency(Hz)
0
-50
-100
-150
-200
50
100
phase(il1_fr)
(15)
12/26/2017 16
Fig.7. Frequency response of IL2 to duty
4 3 2
5 4 3 2iL2_d
1.695 05 7.511 09 5.405 12 2.458 17 4.912 19
4.847 04 3.667 08 6.935 12 8.898 15 2.62 1
G
9
=
e s e s e s e s e
s e s e s e s e s e
    
    
0
-10
10
20
30
40
amp(il2_fr)
10 1000 100000
Frequency(Hz)
0
-100
-200
-300
100
phase(il2_fr)
12/26/2017 17
Fig.9. Frequency response of VC1 to duty
4 3 2
5 4 3 2VC1_d
2942 1.006 08 1.49 13 8.708 15 2.468 20
4.847 04 3.667 08 6.935 12 8.8
G
98 15 2.62 19
s e s e s e s e
s e s e s e s e s e
   
  

 
0
-10
-20
10
20
30
amp(Vc1_fr)
1 10 100 1000 10000 100000
Frequency(Hz)
0
-50
-100
-150
-200
-250
phase(Vc1_fr)
(16)
12/26/2017 18
Fig.10. Frequency response of VC2 to duty
4 3 2
5 4 3 2VC2_d
2942 1.006 08 1.49 13 8.708 15 2.468 20
4.847 04 3.667 08 6.93
G =
5 12 8.898 15 2.62 19
s e s e s e s e
s e s e s e s e s e
   
    
0
-10
-20
-30
10
20
30
amp(Vc2_fr)
1 10 100 1000 10000 100000
Frequency(Hz)
0
-50
-100
-150
-200
50
phase(Vc2_fr)
(17)
12/26/2017 19
Fig.8. Frequency response of VC3 to duty
3 2
5 43 d 3 2VC _
1.688 08 7.448 12 3.9 15 2.456 20
4.847 04 3.667 08 6.935 12 8.898 15 2.62
G =
19
e s e s e s e
s e s e s e s e s e
   
    
0
-10
10
20
30
40
amp(il2_fr)
1 10 100 1000 10000 100000
Frequency(Hz)
0
-100
-200
-300
100
phase(il2_fr)
(18)
12/26/2017 20
Vg
r1, L1
S1
rc1, C1
D1
r2, L2
rc2,C2
R
Vo
Fig. 11. Cuk converter
(Ii) Sepic and Cuk converter
12/26/2017 21
Fig.12. Circuit diagram for mode-1 operation
Fig.13. Circuit diagram for mode-2 operation
12/26/2017 22
1
1
2 c1
2 2 2
1
2 c2 2
-r
0 0 0
L
-(a+r +r ) -1 -b
0
L L L
A1
1
0 0 0
C
b -1
0 0
C ((R+r )C )
 
 
 
 
 
 
 
 
 
 
 
 
T
1
1
B1 0 0 0
L
 
  
 
 E1 0 -a 0 -b
F1=[0]
State Matrices
(19)
(20)
(21)
(22)
12/26/2017 23
1 c1
1 1
2
2 2
1
2 c2 2
-(r +r ) 1
0 0
L L
-(a+r ) -b
0 0
L L
[A2]
1
0 0 0
C
b -1
0 0
C ((R+r )C )
 
 
 
 
 
 
 
 
 
 
 
 
T
1
1
[B2]=[ 0 0 0]
L
[E2]=[0 -a 0 -b]
[F2]=[0]
c2
c2
(R.r )
a=
(R+r )
c2
R
b=
(R+r )
State Matrices
(23)
(24)
(25)
(26)
12/26/2017 24
Fig.14. Circuit diagram for SEPIC converter
12/26/2017 25
Fig.15. Circuit diagram for mode-1 operation
Fig.16. Circuit diagram for mode-2 operation
12/26/2017 26
1
1
2 c1
2 2
1
c2 2
-r
0 0 0
L
-(r +r ) 1
0 0
L L
[A1]
1
0 0 0
C
-1
0 0 0
((R+r )C )
 
 
 
 
 
 
 
 
 
 
 
 
T
1
1
[B1]=[ 0 0 0]
L
c2
R
[E1]=[0 0 0 ]
(R+r )
[F1]=[0]
State Matrices
(27)
(28)
(29)
(30)
12/26/2017 27
1 c2 c1 c2
1 1 1
2 c1
2 2
1
c2 2
-(r +a.r +r ) -(a.r ) -1
0
L L L
-(r +r ) 1
0 0
L L
[A2]
1
0 0 0
C
-1
0 0 0
((R+r )C )
 
 
 
 
 
 
 
 
 
 
 
 
1
1
[B2]=[ 0 0 0]
L
c2 c2[E2]=[a.r a.r 0 (1-b)]
[F2]=[0]
State Matrices
(31)
(32)
(33)
(34)
12/26/2017 28
Parameters Values Parameters Values
rc1 0.1 Ω r1 0.01Ω
rc2 0.1 Ω r2 0.01Ω
C1 1000 µF R 20Ω
C2 680 µF L1 15 µH
Vg 12 V L2 15 µH
fsw 195 kHz D1 0.5
Voltages and
currents
Values in Matlab
(SEPIC/CUK)
Values in PSIM
(SEPIC/CUK)
Vc1 11.865/45.43 V 11.58/45.6977 V
Vc2 33.7406/-33.86 V 33.7406/-34.88 V
iL1 2.5305/2.62 A 2.6163/2.4316 A
iL2 0.8435/-0.808 A 0.7675/-0.8721 A
Table IV.Voltages and currents in the steady state
Table III. Values of state parameters
12/26/2017 29
12/26/2017 30
12/26/2017 31
Fig.17. Steady state comparison for cuk and sepic
12/26/2017 32
Fig.18. Frequency response analysis of iL1 to duty
3 2
4iL1 d 2c_ 3
2.339 05 7.702 08 2.045 13 6.085 15
4007 8.324 07
G =
1.1 11 2.336 14
e s e s e s e
s s e s e s e
  
   
4 3 2
4 3_d 2IL1S
0.4186 2.324 05 5.571 08 1.275 13 5.922 15
3635 5.515 07 1.008 11 2.3 7 14
G
4
s e s e s e s e
s s e s e s e
    
   

-40
-20
0
20
40
60
Magnitude(dB)
10
-3
10
-2
10
-1
10
0
10
1
10
2
10
3
10
4
-180
-135
-90
-45
0
45
90
Phase(deg)
Bode Diagram
Frequency (kHz)
GIL1c_d
GIL1s_d
GIL1c_d
GIL1s_d
(35)
(36)
12/26/2017 33
Fig.19. Frequency response analysis of iL2 to duty
3 2
4 3i _d 2L2c
1.514 05 2.381 07 3.915 12 9.724 14
4007 8.324 07 1.1 11 2.336 1
G =
4
e s e s e s e
s s e s e s e
   
   
4 3 2
4 3_d 2IL2S
0.4186 1.499 05 2.716 07 3.802 12 8.524 14
3635 5.515 07 1.008 11 2.3 7 14
G
4
s e s e s e s e
s s e s e s e
    
   

-40
-20
0
20
40
Magnitude(dB)
10
-3
10
-2
10
-1
10
0
10
1
10
2
10
3
-720
-540
-360
-180
0
180
Phase(deg)
Bode Diagram
Frequency (kHz)
GIL2c_d
GIL2s_d
GIL2c_d
GIL2s_d
(37)
(38)
12/26/2017 34
Fig. 20. Frequency response analysis of GVC1 to duty
3 2
4 3V _d 2C1c
7.212 04 1.461 09 2.287 12 3.836 16
4007 8.324 07 1.1 11 2.336 1
G =
4
e s e s e s e
s s e s e s e
   
   
4 3 2
4 3_d 2VC1s
0.4186 7.331 04 1.457 09 1.717 12 6.305 14
3635 5.515 07 1.008 11 2.3 7 14
G
4
s e s e s e s e
s s e s e s e
    
   

-40
-20
0
20
40
60
Magnitude(dB)
10
-3
10
-2
10
-1
10
0
10
1
10
2
10
3
-360
-270
-180
-90
0
Phase(deg)
Bode Diagram
Frequency (kHz)
GVC1c_d
GVC1s_d
GVC1c_d
GVC1s_d
(39)
(40)
12/26/2017 35
Fig.21 Frequency response analysis of GVC2 to duty
2
4 3VC c d 22 _
1.503 09 1.365 11 3.89 16
4007 8.324 07 1.1 11 2.33
G =
6 14
e s e s e
s s e s e s e
  
   
4 3 2
4 3_d 2VC2S
0.4186 3.501 04 8.198 08 5.341 11 3.793 16
3635 5.515 07 1.008 11 2.3 7 14
G
4
s e s e s e s e
s s e s e s e
    
   

-100
-50
0
50
Magnitude(dB)
10
-2
10
-1
10
0
10
1
10
2
10
3
-720
-540
-360
-180
0
Phase(deg)
Bode Diagram
Frequency (kHz)
GVC2c_d
GVC2s_d
GVC2c_d
GVC2s_d
(41)
(42)
12/26/2017 36
-6 -5 -4 -3 -2 -1 0 1 2 3 4
x 10
4
-1
-0.8
-0.6
-0.4
-0.2
0
0.2
0.4
0.6
0.8
1
x 10
4
Pole-Zero Map
Real Axis (seconds-1
)
ImaginaryAxis(seconds-1)
Fig.22. Pole-zero map of Sepic and Cuk
(iii) Cascade 2 stage converter
12/26/2017 37
Fig.24. Cascade 2 stage buck converter
Fig.25. Cascade 2 stage buck converter with input filter
Design and Effect of Input Filter on DC/DC Converter
Requirement of input filter:
• High frequency switching of DC/DC Converters leads to input source voltage
ripple and reflected input current ripple.
Design difference between input and EMI filter:
• Mismatch between source and input impedance of filter and mismatch between
load and out impedance of filter to ensure strong reflection rate are considered
in EMI filter design but not in input filter.
• EMI filter design targets to a frequency upto 30 MHz for conduction emission
+ radiated EMI. (noise from DC-DC converter are of two types: radiated and
conducted. EMI < 30 MHz--conduction noise and higher frequencies--radiation
noise) Input filter focuses on a much narrower range of emission only.
12/26/2017 38
• EMI filter's performance is highly related to parasitic parameters.
• Input filter's performance is much less affected by parameter parasitics.
• EMI filter considers both differential and common mode noise.
• Input filter only considers differential mode noise.
• (Differential mode emissions include the basic switching current
waveform and harmonics as well as periodic spikes arising due to
switching frequency. Common mode emissions consist of periodic current
spikes through chassis ground caused by rapidly switched voltage across
parasitic capacitance.)
12/26/2017 39
Self-resonant frequency:
• Every capacitor or inductor can be practically shown as a RLC circuit
combination, and hence they have a self resonant frequency beyond which
inductors behave as capacitors whereas capacitors behave as inductances.
RHS Zero Pair:
• RHS Zero pair occurs due to cascading of converters.
• Addition of input filter leads to addition of RHS zero pair.
Problem:
• The RHS zero pairs are the cause of instability in the closed loop and can
cause oscillations in the DC Circuit.
12/26/2017 40
Reason:
1. As input voltage increases, the PWM control circuitry cuts back the duty
cycle of the controlled switch to maintain constant output voltage. This
causes the averaged input current to decrease. Since the average input
current decreases in response to increase in voltage, the converter behaves
as a negative dynamic resistance.
2. Deriving the characteristic polynomial of the converter, there is a negative
term which causes an unbounded unstable system.
3. Thus addition of a lightly damped or un-damped input filter to the negative
resistance model causes to form a negative oscillator circuit. This explains
why addition of input filter causes instability.
12/26/2017 41
Solution:
• Damping can solve the problem. However internal circuit losses are not
sufficient to damp the oscillations. And hence external damping needs to
be included.
• Resistance should not be included in the input filter as it would lead to
increase in resistive losses.
• Design procedure is to include a DC blocking capacitor branch with
appropriate damping resistor whose capacitance is chosen very large as
compared to input filter capacitance. This enables less current to flow
through the branch and hence less resistive losses.
• This aids in bringing RHP zeroes to LHP by proper damping.
12/26/2017 42
Exceptions:
• DC/DC Converters have however been successfully implemented using
simple LC input filters due to the following reasons:
1. The LC input filter components may include sufficient parasitic resistance.
2. The resonant frequency of the input filter is above the converter gain-
bandwidth.
3. The gain-bandwidth of the converter may be relatively low than the
converter switching frequency.
• Hence the region of negative resistance is below input filter resonant
frequency.
12/26/2017 43
Margin for stability:
• The output impedance of filter = Input impedance of converter.
• (Higher ratio of ; higher is the stability)
Stability Analysis:
• The converter is modelled by averaging and then this averaged model is
used for stability analysis.
• But the model becomes inaccurate in high frequency since averaging
models reach their limitation once the frequency is above the half of the
switching frequency.
• Routh-Hurwitz criterion can be used to check the stability of the complete
system (converter and input filter) .
12/26/2017 44
Input impedance of converter
Output impedance of input filter
12/26/2017 45
CASCADE 2 STAGE (WITHOUT INPUT FILTER)
Fig.27. Cascade buck two stage Mode 2
Fig.26. Cascade buck two stage Mode-1
Mode-1 Operation (S1,S2-ON, D1,D2-OFF)
Mode-2 Operation (S1,S2-OFF, D1,D2-ON)
12/26/2017 46
1 c1 c1
1 1 1
c1 2 2 c2 c2
2 2 2 2
1 1
1 2
-(r +r ) r 1
0
L L L
r (r +r +b.r ) b.r1 1
( 1)
L L L L R
1 -1
0 0[A1]=
C C
b b
0 0
R.CC
 
 
 
 
 
 
 
 
 
 
 
 
 
 
 
T
1
1
[B1]=[ 0 0 0 ]
L
[E1]=[0 a 0 b]
[F1]=0
(43)
(44)
(45)
(46)
12/26/2017 47
1 c1 c1
1 1 1
2
2 2
1
2 2
-(r +r ) r -1
0
L L L
-(r +a) -b
0 0
L L
[A2]=
1
0 0 0
C
b -b
0 0
C (RC )
 
 
 
 
 
 
 
 
 
 
 
 
T
[B2]=[0 0 0 0]
[E2]=[0 a 0 b]
[F2]=0
(47)
(48)
(49)
(50)
12/26/2017 48
CASCADE TWO STAGE (WITH UNDAMPED INPUT FILTER)
Vg
r1, L1 r3, L3
rc1,C1
rc3,C3
R
r2, L2
rc2,C2
+
+
+
+
+
+
+
-
-- -
- --
ic1
ic2
ic3
i1 i2 i3
io
Vg
r1, L1 r3, L3
rc1,C1
rc3,C3
R
r2, L2
rc2,C2
+
+
+
+
+
+
+
-
-- -
- --
ic1
ic2
ic3
i1 i2 i3
io
Vo
Mode-1 Operation (S1,S2-ON, D1,D2-OFF)
Fig.28. Cascade buck two stage with input filter MODE-1
Mode-2 Operation (S1,S2-OFF, D1,D2-ON)
Fig.29. Cascade buck two stage with input filter MODE-2
12/26/2017 49
Parameters Values Parameters Values
rc1 0 Ω r1 0.5 Ω
rc2 0 Ω r2 0.75 Ω
rc3 0 Ω r3 0.75 Ω
C1 1 µF L1 15 µH
C2 1 µF L2 15 µH
C3 1 µF D1 0.5
Vg 48 V R 33 Ω
Table V. Values of parameters used
12/26/2017 50
-16000 -14000 -12000 -10000 -8000 -6000 -4000 -2000 0 2000 4000
-1.5
-1
-0.5
0
0.5
1
1.5
x 10
5
0.0120.0240.0380.0540.080.115
0.18
0.35
0.0120.0240.0380.0540.080.115
0.18
0.35
5
10
15
20
5
10
15
20
Pole-Zero Map
Real Axis(seconds-1
)
ImaginaryAxis(seconds-1)
WITHUNDAMPEDINPUT FILTER
WITHOUT FILTER
Fig.30. Pole-zero plot of cascade converter with and without input filter
RHP Complex Conjugate zero pairs
12/26/2017 51
-50
0
50
Magnitude(dB)
10
-1
10
0
10
1
10
2
10
3
-900
-720
-540
-360
-180
0
Phase(deg)
Bode Diagram
Frequency (kHz)
WITHOUT UNDAMPEDINPUT FILTER
WITHOUT INPUT FILTER
Fig.31. Frequency response of the cascade two stage converter with and without
input filter
Converter-1 dynamics
Converter-2
dynamics
Input filter
Glitch due to RHP complex
conjugate zero pairs
• Method for steady state analysis and small-signal analysis.
• The effect of input filter interactions with the converter rendering
instability was shown with the help of frequency response.
• Further analysis has to be done on the effect of damping employed to
the filter in order to shift the RHP poles.
12/26/2017 52
Conclusion
Bibliography
• [1] M.Usman Iftikhar, A. Bilal, D.Sadarnac, P. Lefranc and C. Karimi, "Analysis of
Input filter interactions in cascade buck converters", in proceedings of IEEE
International Conference on Industrial Technology, 2008. ICIT 2008.
• [2] Xiaoyan Yu, and Maurizio Salato, " An optimum minimum component DC-DC
converter input filter design and its stability analysis", IEEE Transactions on Power
Electronics, 29(2), pp.829-840,2014.
• [3] Filter Network Design for VI Chip® DC-DC Converter Modules
• [4] Daniel M Mitchell, "Power line filter design considerations for DC-DC
converters", IEEE Industry Applications Magazine,pp.16-26,1999.
• [5] Slobodan Cuk, 'Modelling, analysis, and design of switching converters',
California Institute of Technology,1977.
12/26/2017 53
Thank you for your patience
Suggestions please
12/26/2017 54

Progress 1st sem

  • 1.
    Power management inDC -Grid Presented by- Satabdy Jena PhD (Power Electronics) Reg. No. 2017EEZ8158 Indian Institute of Technology Delhi SEMESTER PROGRESS PRESENTATION Under the supervision of Prof. M. Veerachary Professor, Indian Institute of Technology Delhi
  • 2.
    Contents 1. Courses 2. Introduction 3.Converter topologies 4. Conclusion and future scope 5. Bibliography 12/26/2017 2
  • 3.
    1. Courses outline 12/26/20173 Coursework Credits Obtained GPA 1. Power Electronic Converters (ELL751) 3 2. Non Linear Systems (ELL702) 3
  • 4.
    • High efficiency,high reliability and ease of interconnection of renewable • Telecom, automotive, portable power, power supply for WAN/LAN, vehicular and distributed power systems • In order to achieve safe and reliable MG performance, its dynamic stability needs to be ensured in all operating conditions. 12/26/2017 4 2. introduction
  • 5.
    3. CONVERTER analysis •State space averaging Where, 12/26/2017 5 . g g x Ax Bv y Ex Fv     1 1 2 2* *A A D A D  1 1 2 2* *B B D B D  1 1 2 2* *E E D E D  1 1 2 2* *F F D F D  2 1(1 )D D  (1)
  • 6.
    • Small signalanalysis • Assuming that deviations are sufficiently small that the non-linear and second order terms can be neglected, it results in a small-signal linear model 12/26/2017 6 g g g x X x v V v     g zx Ax Bv mi Pd    1 2 1 2 1 2( ) ( ) ( )g zP A A X B B V M M I      1 ( ) x sI A P d    (2) (3) (4) (5)
  • 7.
    12/26/2017 7 g zyEx Fv Ki Qd    1 2 1 2 1 2( ) ( ) ( )g zQ E E X F F V K K I     
  • 8.
    4. Converter topologies •KY Boost Converter • Sepic and Cuk Converter • Cascade 2 stage (with and without undamped input filter) Converter 12/26/2017 8
  • 9.
    12/26/2017 9 (i) KY-BoostConverter Fig. 1. KY-Boost converter
  • 10.
    12/26/2017 10 Fig. 2.Mode-1 operation Fig.3. Mode-2 operation
  • 11.
    12/26/2017 11 c1 1 c1c2 1 c1 c2 1 c1 c2 1 c1 2 c1 c2 2 c1 c2 2 c1 c2 3 c3 3 1 1 2 c1 c1 c1 2 2 c1 c2 2 c1 c2 2 c3 c1 c2 2 r-1 1 1 0 0 (C (r +r )) (C (r +r )) (C (r +r )) C -r1 -1 0 0 (C (r +r )) (C (r +r )) (C (r +r )) -1 1 0 0 0A1= (C *(R+r )) C -r 0 0 0 0 L r r (r )1 -R 0 L (L (r +r )) (L (r +r )) (L (R+r )) ((r +r )L )   c12 2 2 rr L L                                 T 1 B1= 0 0 0 0 L1      c3 R E1 0 0 0 0 (R+r )         F1 0 State Matrices (7) (8) (9) (10)
  • 12.
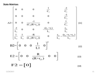
    12/26/2017 12 1 1 2 3c3 3 c1 1 c1 1 1 1 c1 c2 2 c1 2 2 2 c3 2 2 1 -1 0 0 0 C C -1 0 0 0 0 C -1 1 0 0 0A2= (C (R+r )) C -(r +r ) r-1 0 0 L L L r (r +r +r )1 1 -R 0 L L (L (R+r )) L L                               T 1 B2= 0 0 0 0 L1      c3 R E2 0 0 0 0 (R+r )         F2 0 State Matrices (11) (12) (13) (14)
  • 13.
    12/26/2017 13 Parameters ValuesParameters Values rc1 0.1 Ω r1 0.01Ω rc2 0.1 Ω r2 0.01Ω rc3 0.1 Ω R 20Ω C1 1000 µF L1 15 µH C2 680 µF L2 15 µH C3 470 µF D1 0.5 Vg 12 V fsw 195 kHz Voltages and currents Values in Matlab Values in PSIM Vc1 23.54 V 23.19 V Vc2 23.02 V 23.19 V Vc3 35.12 V 34.94 V iL1 5.2427 A 5.24 A iL2 1.7476 A 1.74 A Table I. Values of state parameters Table II. Voltages and currents in the steady state
  • 14.
    12/26/2017 14 Fig.5. Stepresponse of Gvo_d The pole-zero map of the converter output voltage to duty transfer function depicts a pole as shown in Fig.4 due to which there is inversion of response in the step response shown in Fig.5 Fig. 4. Pole-zero map of Gvo_d
  • 15.
    12/26/2017 15 Fig.6. Frequencyresponse of iL1 to duty 4 3 2 5 4 3 2iL1_d 2.281 5 1.07 10 5.412 13 1.176 18 2.392 20 4.847 04 3.667 08 6.935 G = 12 8.898 15 2.62 19 e s e s e s e s e s e s e s e s e s e          0 -10 10 20 30 40 50 amp(il1_fr) 1 10 100 1000 10000 100000 Frequency(Hz) 0 -50 -100 -150 -200 50 100 phase(il1_fr) (15)
  • 16.
    12/26/2017 16 Fig.7. Frequencyresponse of IL2 to duty 4 3 2 5 4 3 2iL2_d 1.695 05 7.511 09 5.405 12 2.458 17 4.912 19 4.847 04 3.667 08 6.935 12 8.898 15 2.62 1 G 9 = e s e s e s e s e s e s e s e s e s e           0 -10 10 20 30 40 amp(il2_fr) 10 1000 100000 Frequency(Hz) 0 -100 -200 -300 100 phase(il2_fr)
  • 17.
    12/26/2017 17 Fig.9. Frequencyresponse of VC1 to duty 4 3 2 5 4 3 2VC1_d 2942 1.006 08 1.49 13 8.708 15 2.468 20 4.847 04 3.667 08 6.935 12 8.8 G 98 15 2.62 19 s e s e s e s e s e s e s e s e s e           0 -10 -20 10 20 30 amp(Vc1_fr) 1 10 100 1000 10000 100000 Frequency(Hz) 0 -50 -100 -150 -200 -250 phase(Vc1_fr) (16)
  • 18.
    12/26/2017 18 Fig.10. Frequencyresponse of VC2 to duty 4 3 2 5 4 3 2VC2_d 2942 1.006 08 1.49 13 8.708 15 2.468 20 4.847 04 3.667 08 6.93 G = 5 12 8.898 15 2.62 19 s e s e s e s e s e s e s e s e s e          0 -10 -20 -30 10 20 30 amp(Vc2_fr) 1 10 100 1000 10000 100000 Frequency(Hz) 0 -50 -100 -150 -200 50 phase(Vc2_fr) (17)
  • 19.
    12/26/2017 19 Fig.8. Frequencyresponse of VC3 to duty 3 2 5 43 d 3 2VC _ 1.688 08 7.448 12 3.9 15 2.456 20 4.847 04 3.667 08 6.935 12 8.898 15 2.62 G = 19 e s e s e s e s e s e s e s e s e          0 -10 10 20 30 40 amp(il2_fr) 1 10 100 1000 10000 100000 Frequency(Hz) 0 -100 -200 -300 100 phase(il2_fr) (18)
  • 20.
    12/26/2017 20 Vg r1, L1 S1 rc1,C1 D1 r2, L2 rc2,C2 R Vo Fig. 11. Cuk converter (Ii) Sepic and Cuk converter
  • 21.
    12/26/2017 21 Fig.12. Circuitdiagram for mode-1 operation Fig.13. Circuit diagram for mode-2 operation
  • 22.
    12/26/2017 22 1 1 2 c1 22 2 1 2 c2 2 -r 0 0 0 L -(a+r +r ) -1 -b 0 L L L A1 1 0 0 0 C b -1 0 0 C ((R+r )C )                         T 1 1 B1 0 0 0 L         E1 0 -a 0 -b F1=[0] State Matrices (19) (20) (21) (22)
  • 23.
    12/26/2017 23 1 c1 11 2 2 2 1 2 c2 2 -(r +r ) 1 0 0 L L -(a+r ) -b 0 0 L L [A2] 1 0 0 0 C b -1 0 0 C ((R+r )C )                         T 1 1 [B2]=[ 0 0 0] L [E2]=[0 -a 0 -b] [F2]=[0] c2 c2 (R.r ) a= (R+r ) c2 R b= (R+r ) State Matrices (23) (24) (25) (26)
  • 24.
    12/26/2017 24 Fig.14. Circuitdiagram for SEPIC converter
  • 25.
    12/26/2017 25 Fig.15. Circuitdiagram for mode-1 operation Fig.16. Circuit diagram for mode-2 operation
  • 26.
    12/26/2017 26 1 1 2 c1 22 1 c2 2 -r 0 0 0 L -(r +r ) 1 0 0 L L [A1] 1 0 0 0 C -1 0 0 0 ((R+r )C )                         T 1 1 [B1]=[ 0 0 0] L c2 R [E1]=[0 0 0 ] (R+r ) [F1]=[0] State Matrices (27) (28) (29) (30)
  • 27.
    12/26/2017 27 1 c2c1 c2 1 1 1 2 c1 2 2 1 c2 2 -(r +a.r +r ) -(a.r ) -1 0 L L L -(r +r ) 1 0 0 L L [A2] 1 0 0 0 C -1 0 0 0 ((R+r )C )                         1 1 [B2]=[ 0 0 0] L c2 c2[E2]=[a.r a.r 0 (1-b)] [F2]=[0] State Matrices (31) (32) (33) (34)
  • 28.
    12/26/2017 28 Parameters ValuesParameters Values rc1 0.1 Ω r1 0.01Ω rc2 0.1 Ω r2 0.01Ω C1 1000 µF R 20Ω C2 680 µF L1 15 µH Vg 12 V L2 15 µH fsw 195 kHz D1 0.5 Voltages and currents Values in Matlab (SEPIC/CUK) Values in PSIM (SEPIC/CUK) Vc1 11.865/45.43 V 11.58/45.6977 V Vc2 33.7406/-33.86 V 33.7406/-34.88 V iL1 2.5305/2.62 A 2.6163/2.4316 A iL2 0.8435/-0.808 A 0.7675/-0.8721 A Table IV.Voltages and currents in the steady state Table III. Values of state parameters
  • 29.
  • 30.
  • 31.
    12/26/2017 31 Fig.17. Steadystate comparison for cuk and sepic
  • 32.
    12/26/2017 32 Fig.18. Frequencyresponse analysis of iL1 to duty 3 2 4iL1 d 2c_ 3 2.339 05 7.702 08 2.045 13 6.085 15 4007 8.324 07 G = 1.1 11 2.336 14 e s e s e s e s s e s e s e        4 3 2 4 3_d 2IL1S 0.4186 2.324 05 5.571 08 1.275 13 5.922 15 3635 5.515 07 1.008 11 2.3 7 14 G 4 s e s e s e s e s s e s e s e           -40 -20 0 20 40 60 Magnitude(dB) 10 -3 10 -2 10 -1 10 0 10 1 10 2 10 3 10 4 -180 -135 -90 -45 0 45 90 Phase(deg) Bode Diagram Frequency (kHz) GIL1c_d GIL1s_d GIL1c_d GIL1s_d (35) (36)
  • 33.
    12/26/2017 33 Fig.19. Frequencyresponse analysis of iL2 to duty 3 2 4 3i _d 2L2c 1.514 05 2.381 07 3.915 12 9.724 14 4007 8.324 07 1.1 11 2.336 1 G = 4 e s e s e s e s s e s e s e         4 3 2 4 3_d 2IL2S 0.4186 1.499 05 2.716 07 3.802 12 8.524 14 3635 5.515 07 1.008 11 2.3 7 14 G 4 s e s e s e s e s s e s e s e           -40 -20 0 20 40 Magnitude(dB) 10 -3 10 -2 10 -1 10 0 10 1 10 2 10 3 -720 -540 -360 -180 0 180 Phase(deg) Bode Diagram Frequency (kHz) GIL2c_d GIL2s_d GIL2c_d GIL2s_d (37) (38)
  • 34.
    12/26/2017 34 Fig. 20.Frequency response analysis of GVC1 to duty 3 2 4 3V _d 2C1c 7.212 04 1.461 09 2.287 12 3.836 16 4007 8.324 07 1.1 11 2.336 1 G = 4 e s e s e s e s s e s e s e         4 3 2 4 3_d 2VC1s 0.4186 7.331 04 1.457 09 1.717 12 6.305 14 3635 5.515 07 1.008 11 2.3 7 14 G 4 s e s e s e s e s s e s e s e           -40 -20 0 20 40 60 Magnitude(dB) 10 -3 10 -2 10 -1 10 0 10 1 10 2 10 3 -360 -270 -180 -90 0 Phase(deg) Bode Diagram Frequency (kHz) GVC1c_d GVC1s_d GVC1c_d GVC1s_d (39) (40)
  • 35.
    12/26/2017 35 Fig.21 Frequencyresponse analysis of GVC2 to duty 2 4 3VC c d 22 _ 1.503 09 1.365 11 3.89 16 4007 8.324 07 1.1 11 2.33 G = 6 14 e s e s e s s e s e s e        4 3 2 4 3_d 2VC2S 0.4186 3.501 04 8.198 08 5.341 11 3.793 16 3635 5.515 07 1.008 11 2.3 7 14 G 4 s e s e s e s e s s e s e s e           -100 -50 0 50 Magnitude(dB) 10 -2 10 -1 10 0 10 1 10 2 10 3 -720 -540 -360 -180 0 Phase(deg) Bode Diagram Frequency (kHz) GVC2c_d GVC2s_d GVC2c_d GVC2s_d (41) (42)
  • 36.
    12/26/2017 36 -6 -5-4 -3 -2 -1 0 1 2 3 4 x 10 4 -1 -0.8 -0.6 -0.4 -0.2 0 0.2 0.4 0.6 0.8 1 x 10 4 Pole-Zero Map Real Axis (seconds-1 ) ImaginaryAxis(seconds-1) Fig.22. Pole-zero map of Sepic and Cuk
  • 37.
    (iii) Cascade 2stage converter 12/26/2017 37 Fig.24. Cascade 2 stage buck converter Fig.25. Cascade 2 stage buck converter with input filter
  • 38.
    Design and Effectof Input Filter on DC/DC Converter Requirement of input filter: • High frequency switching of DC/DC Converters leads to input source voltage ripple and reflected input current ripple. Design difference between input and EMI filter: • Mismatch between source and input impedance of filter and mismatch between load and out impedance of filter to ensure strong reflection rate are considered in EMI filter design but not in input filter. • EMI filter design targets to a frequency upto 30 MHz for conduction emission + radiated EMI. (noise from DC-DC converter are of two types: radiated and conducted. EMI < 30 MHz--conduction noise and higher frequencies--radiation noise) Input filter focuses on a much narrower range of emission only. 12/26/2017 38
  • 39.
    • EMI filter'sperformance is highly related to parasitic parameters. • Input filter's performance is much less affected by parameter parasitics. • EMI filter considers both differential and common mode noise. • Input filter only considers differential mode noise. • (Differential mode emissions include the basic switching current waveform and harmonics as well as periodic spikes arising due to switching frequency. Common mode emissions consist of periodic current spikes through chassis ground caused by rapidly switched voltage across parasitic capacitance.) 12/26/2017 39
  • 40.
    Self-resonant frequency: • Everycapacitor or inductor can be practically shown as a RLC circuit combination, and hence they have a self resonant frequency beyond which inductors behave as capacitors whereas capacitors behave as inductances. RHS Zero Pair: • RHS Zero pair occurs due to cascading of converters. • Addition of input filter leads to addition of RHS zero pair. Problem: • The RHS zero pairs are the cause of instability in the closed loop and can cause oscillations in the DC Circuit. 12/26/2017 40
  • 41.
    Reason: 1. As inputvoltage increases, the PWM control circuitry cuts back the duty cycle of the controlled switch to maintain constant output voltage. This causes the averaged input current to decrease. Since the average input current decreases in response to increase in voltage, the converter behaves as a negative dynamic resistance. 2. Deriving the characteristic polynomial of the converter, there is a negative term which causes an unbounded unstable system. 3. Thus addition of a lightly damped or un-damped input filter to the negative resistance model causes to form a negative oscillator circuit. This explains why addition of input filter causes instability. 12/26/2017 41
  • 42.
    Solution: • Damping cansolve the problem. However internal circuit losses are not sufficient to damp the oscillations. And hence external damping needs to be included. • Resistance should not be included in the input filter as it would lead to increase in resistive losses. • Design procedure is to include a DC blocking capacitor branch with appropriate damping resistor whose capacitance is chosen very large as compared to input filter capacitance. This enables less current to flow through the branch and hence less resistive losses. • This aids in bringing RHP zeroes to LHP by proper damping. 12/26/2017 42
  • 43.
    Exceptions: • DC/DC Convertershave however been successfully implemented using simple LC input filters due to the following reasons: 1. The LC input filter components may include sufficient parasitic resistance. 2. The resonant frequency of the input filter is above the converter gain- bandwidth. 3. The gain-bandwidth of the converter may be relatively low than the converter switching frequency. • Hence the region of negative resistance is below input filter resonant frequency. 12/26/2017 43
  • 44.
    Margin for stability: •The output impedance of filter = Input impedance of converter. • (Higher ratio of ; higher is the stability) Stability Analysis: • The converter is modelled by averaging and then this averaged model is used for stability analysis. • But the model becomes inaccurate in high frequency since averaging models reach their limitation once the frequency is above the half of the switching frequency. • Routh-Hurwitz criterion can be used to check the stability of the complete system (converter and input filter) . 12/26/2017 44 Input impedance of converter Output impedance of input filter
  • 45.
    12/26/2017 45 CASCADE 2STAGE (WITHOUT INPUT FILTER) Fig.27. Cascade buck two stage Mode 2 Fig.26. Cascade buck two stage Mode-1 Mode-1 Operation (S1,S2-ON, D1,D2-OFF) Mode-2 Operation (S1,S2-OFF, D1,D2-ON)
  • 46.
    12/26/2017 46 1 c1c1 1 1 1 c1 2 2 c2 c2 2 2 2 2 1 1 1 2 -(r +r ) r 1 0 L L L r (r +r +b.r ) b.r1 1 ( 1) L L L L R 1 -1 0 0[A1]= C C b b 0 0 R.CC                               T 1 1 [B1]=[ 0 0 0 ] L [E1]=[0 a 0 b] [F1]=0 (43) (44) (45) (46)
  • 47.
    12/26/2017 47 1 c1c1 1 1 1 2 2 2 1 2 2 -(r +r ) r -1 0 L L L -(r +a) -b 0 0 L L [A2]= 1 0 0 0 C b -b 0 0 C (RC )                         T [B2]=[0 0 0 0] [E2]=[0 a 0 b] [F2]=0 (47) (48) (49) (50)
  • 48.
    12/26/2017 48 CASCADE TWOSTAGE (WITH UNDAMPED INPUT FILTER) Vg r1, L1 r3, L3 rc1,C1 rc3,C3 R r2, L2 rc2,C2 + + + + + + + - -- - - -- ic1 ic2 ic3 i1 i2 i3 io Vg r1, L1 r3, L3 rc1,C1 rc3,C3 R r2, L2 rc2,C2 + + + + + + + - -- - - -- ic1 ic2 ic3 i1 i2 i3 io Vo Mode-1 Operation (S1,S2-ON, D1,D2-OFF) Fig.28. Cascade buck two stage with input filter MODE-1 Mode-2 Operation (S1,S2-OFF, D1,D2-ON) Fig.29. Cascade buck two stage with input filter MODE-2
  • 49.
    12/26/2017 49 Parameters ValuesParameters Values rc1 0 Ω r1 0.5 Ω rc2 0 Ω r2 0.75 Ω rc3 0 Ω r3 0.75 Ω C1 1 µF L1 15 µH C2 1 µF L2 15 µH C3 1 µF D1 0.5 Vg 48 V R 33 Ω Table V. Values of parameters used
  • 50.
    12/26/2017 50 -16000 -14000-12000 -10000 -8000 -6000 -4000 -2000 0 2000 4000 -1.5 -1 -0.5 0 0.5 1 1.5 x 10 5 0.0120.0240.0380.0540.080.115 0.18 0.35 0.0120.0240.0380.0540.080.115 0.18 0.35 5 10 15 20 5 10 15 20 Pole-Zero Map Real Axis(seconds-1 ) ImaginaryAxis(seconds-1) WITHUNDAMPEDINPUT FILTER WITHOUT FILTER Fig.30. Pole-zero plot of cascade converter with and without input filter RHP Complex Conjugate zero pairs
  • 51.
    12/26/2017 51 -50 0 50 Magnitude(dB) 10 -1 10 0 10 1 10 2 10 3 -900 -720 -540 -360 -180 0 Phase(deg) Bode Diagram Frequency(kHz) WITHOUT UNDAMPEDINPUT FILTER WITHOUT INPUT FILTER Fig.31. Frequency response of the cascade two stage converter with and without input filter Converter-1 dynamics Converter-2 dynamics Input filter Glitch due to RHP complex conjugate zero pairs
  • 52.
    • Method forsteady state analysis and small-signal analysis. • The effect of input filter interactions with the converter rendering instability was shown with the help of frequency response. • Further analysis has to be done on the effect of damping employed to the filter in order to shift the RHP poles. 12/26/2017 52 Conclusion
  • 53.
    Bibliography • [1] M.UsmanIftikhar, A. Bilal, D.Sadarnac, P. Lefranc and C. Karimi, "Analysis of Input filter interactions in cascade buck converters", in proceedings of IEEE International Conference on Industrial Technology, 2008. ICIT 2008. • [2] Xiaoyan Yu, and Maurizio Salato, " An optimum minimum component DC-DC converter input filter design and its stability analysis", IEEE Transactions on Power Electronics, 29(2), pp.829-840,2014. • [3] Filter Network Design for VI Chip® DC-DC Converter Modules • [4] Daniel M Mitchell, "Power line filter design considerations for DC-DC converters", IEEE Industry Applications Magazine,pp.16-26,1999. • [5] Slobodan Cuk, 'Modelling, analysis, and design of switching converters', California Institute of Technology,1977. 12/26/2017 53
  • 54.
    Thank you foryour patience Suggestions please 12/26/2017 54