Networked control and Power management
in AC/DC Hybrid Microgrids
Presented by-
Satabdy Jena
PROGRESS PRESENTATION
Under the supervision of:
Dr. N P Padhy
• High efficiency, high reliability and ease of interconnection of renewables.
• Telecom, automotive, portable power, power supply for WAN/LAN, vehicular and distributed
power systems.
• In order to achieve safe and reliable MG performance, its dynamic stability needs to be
ensured in all operating conditions.
• The purpose of the Smart Distributed Energy Storage Devices project is to develop safe, low-
cost, efficient, plug-and-play devices to support traditional grids. Modular storage devices.
• AC and DC MGs are key elements for integrating DERs and DESs.
• The trend of the electrical grid is to become more and more distributed.
• The use of distributed generation makes no sense without using distributed storage systems.
• In decentralized control, the probability of instability of network is high because each
converter takes a decision based on the local measurement.
• So decentralized without cooperation is unstable.
• Cooperative control is modular where plug-n-play can be realized at both the cyber and
physical domains.
• There is no single point of failure.
• Cooperative system can balance the system variables , even if communication link/converter
failure occurs, via other links as long as the communication graph follows certain basic
properties.
7/8/2018 2
2. introduction
3. CONVERTER analysis
• State space averaging
Where,
7/8/2018 3
.
g
g
x Ax Bv
y Ex Fv
= +
= +
1 1 2 2* *A A D A D= +
1 1 2 2* *B B D B D= +
1 1 2 2* *E E D E D= +
1 1 2 2* *F F D F D= +
2 1(1 )D D= −
(1)
The steady state analysis of the
converter is reached when inductor
voltage-second balance and capacitor
charge-second balance is obeyed.
Need for a small-signal model:
1. The averaged equations obtained for
the converter are non-linear because of
the involvement of multiplication of
time varying quantities which generates
harmonics.
2. Most of the analysis techniques for ac
circuits such as Laplace transform and
other frequency domain methods are
not useful for non-linear systems and so
we need to linearize it by constructing a
small signal model.
• Small signal analysis
• Assuming that deviations are sufficiently small that the
non-linear and second order terms can be neglected, it
results in a small-signal linear model
7/8/2018 4
g g g
x X x
v V v
= +
= +
g zx Ax Bv mi Pd= + + +
1 2 1 2 1 2( ) ( ) ( )g zP A A X B B V M M I= − + − + −
1
( )
x
sI A P
d
−
= −
(2)
(3)
(4)
(5)
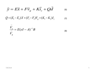
7/8/2018 5
g zy Ex Fv Ki Qd= + + +
1 2 1 2 1 2( ) ( ) ( )g zQ E E X F F V K K I= − + − + −
1
( )o
g
V
E sI A B
V
−
= −
(6)
(7)
(8)
Design and Effect of Input Filter on DC/DC Converter
Requirement of input filter:
• High frequency switching of DC/DC Converters leads to input source voltage
ripple and reflected input current ripple.
Design difference between input and EMI filter:
• Mismatch between source and input impedance of filter and mismatch between
load and out impedance of filter to ensure strong reflection rate are considered
in EMI filter design but not in input filter.
• EMI filter design targets to a frequency upto 30 MHz for conduction emission
+ radiated EMI. (noise from DC-DC converter are of two types: radiated and
conducted. EMI < 30 MHz--conduction noise and higher frequencies--radiation
noise) Input filter focuses on a much narrower range of emission only.
7/8/2018 6
• EMI filter's performance is highly related to parasitic parameters.
• Input filter's performance is much less affected by parameter parasitics.
• EMI filter considers both differential and common mode noise.
• Input filter only considers differential mode noise.
• (Differential mode emissions include the basic switching current
waveform and harmonics as well as periodic spikes arising due to
switching frequency. Common mode emissions consist of periodic current
spikes through chassis ground caused by rapidly switched voltage across
parasitic capacitance.)
7/8/2018 7
Self-resonant frequency:
• Every capacitor or inductor can be practically shown as a RLC circuit
combination, and hence they have a self resonant frequency beyond which
inductors behave as capacitors whereas capacitors behave as inductances.
RHS Zero Pair:
• RHS Zero pair occurs due to cascading of converters.
• Addition of input filter leads to addition of RHS zero pair.
Problem:
• The RHS zero pairs are the cause of instability in the closed loop and can
cause oscillations in the DC Circuit.
7/8/2018 8
Reason:
1. As input voltage increases, the PWM control circuitry cuts back the duty
cycle of the controlled switch to maintain constant output voltage. This
causes the averaged input current to decrease. Since the average input
current decreases in response to increase in voltage, the converter behaves
as a negative dynamic resistance.
2. Deriving the characteristic polynomial of the converter, there is a negative
term which causes an unbounded unstable system.
3. Thus addition of a lightly damped or un-damped input filter to the negative
resistance model causes to form a negative oscillator circuit. This explains
why addition of input filter causes instability.
7/8/2018 9
Solution:
• Damping can solve the problem. However internal circuit losses are not
sufficient to damp the oscillations. And hence external damping needs to
be included.
• Resistance should not be included in the input filter as it would lead to
increase in resistive losses.
• Design procedure is to include a DC blocking capacitor branch with
appropriate damping resistor whose capacitance is chosen very large as
compared to input filter capacitance. This enables less current to flow
through the branch and hence less resistive losses.
• This aids in bringing RHP zeroes to LHP by proper damping.
7/8/2018 10
Exceptions:
• DC/DC Converters have however been successfully implemented using
simple LC input filters due to the following reasons:
1. The LC input filter components may include sufficient parasitic resistance.
2. The resonant frequency of the input filter is above the converter gain-
bandwidth.
3. The gain-bandwidth of the converter may be relatively low than the
converter switching frequency.
• Hence the region of negative resistance is below input filter resonant
frequency.
7/8/2018 11
Margin for stability:
• The output impedance of filter = Input impedance of converter.
• (Higher ratio of ; higher is the stability)
Stability Analysis:
• The converter is modelled by averaging and then this averaged model is
used for stability analysis.
• But the model becomes inaccurate in high frequency since averaging
models reach their limitation once the frequency is above the half of the
switching frequency.
• Routh-Hurwitz criterion can be used to check the stability of the complete
system (converter and input filter) .
7/8/2018 12
Input impedance of converter
Output impedance of input filter
7/8/2018 13
Energy Storage systems are needed for the storage of PV energy owing to its intermittent nature.
Battery is a device that converts chemical energy to electrical energy.
𝐸 = 𝐸 𝑜 + 𝐾
𝑄 𝑜
𝑄−𝑄 𝑜
+ 𝐴𝑒−𝐵𝑄
(9)
𝑄 = 𝑄𝑖𝑛𝑖𝑡 + ‫׬‬0
𝑡
−𝐼 𝑏 𝑑𝑡 (10)
𝑉𝑏 = E − 𝐼 𝑏 𝑅𝑖𝑛𝑡 (11)
Fig.8. Mathematical model of battery
Modeling of battery
+
-
E
E
Eqn (23) Eqn (24)
Rint
+
-
Vb
Ib
Symbol Terminology Description
E Battery voltage at no-load
Eo Battery constant voltage
K Polarization voltage
Ib Battery current
Vb Battery terminal voltage
Q Actual battery capacity
Qo Rated capacity
Rint Internal resistance of battery
A Exponential zone amplitude
B Exponential zone time constant
Table. Battery terminology
Design equations
7/8/2018 14
,
,
i b b
b
b L b
V D
L
f i
=
 /
op
o
sw o p
I D
C
f V
=

The transistors need to handle this peak current stress, and have low output
capacitance and on-state minimum resistance to minimize loss of the converter.
Slightly higher capacitance to account for added ripple due to ESR of
capacitance.
Frequency response of the boost converter employed for microgrid
• D=0.54;
• Vg=24, rl1=0.35, L1=1.8e-3, rc1=10e-3, C1=100e-6, rc2=60e-3,
C2=200e-6, R=6;
7/8/2018 15
7/8/2018 16
-8.842e30 s^2 - 8.83e36 s + 8.781e39
= ---------------------------------------------------------------------------
1.547e26 s^3 + 1.549e32 s^2 + 1.602e35 s + 1.159e38
-5.714e04 s^2 - 5.706e10 s + 5.675e13
= -------------------------------------------------------------
s^3 + 1.001e06 s^2 + 1.035e09 s + 7.491e11
1.057e34 s + 1.539e40
= -------------------------------------------------------------------------
1.563e28 s^3 + 1.565e34 s^2 + 1.618e37 s + 1.171e40
o
ˆv
ˆd
c2
ˆv
ˆd
o
g
ˆv
ˆv
Audio susceptibility of the converter
-100
-50
0
Magnitude(dB)
System:vo_vg
GainMargin(dB):70.6
Atfrequency(rad/s):5.76e+04
Closedloopstable?Yes
10
1
10
2
10
3
10
4
10
5
-225
-180
-135
-90
-45
0
System:vo_vg
PhaseMargin(deg):81.9
DelayMargin(sec):0.00152
Atfrequency(rad/s):942
Closedloopstable?Yes
Phase(deg)
BodeDiagram
Frequency (rad/s)
7/8/2018 17
-12 -10 -8 -6 -4 -2 0 2
x 10
5
-500
0
500 System:sysx2
Pole:-517+694i
Damping:0.598
Overshoot(%):9.61
Frequency (rad/s):866
System:sysx2
Zero:993
Damping:-1
Overshoot(%):0
Frequency (rad/s):993
Pole-ZeroMap
RealAxis(seconds-1
)
ImaginaryAxis(seconds-1
)
Circuit representation of DC microgrid
7/8/2018 18
+ +
- -
rd rd
R
R1 R2
u+d1 u+d2
+ +
- -
V1 V2
i1 i2
Gcv Gci 1/Vm Gid Gvi
H1
H2
+ +
--
iL VoVref
o/p o/p LbL
id
2 2b
b o/p
o/p
sC V +I 2(1-D)i
G = =
Ld s L C +s +(1-D)
R
o/p
o/p
(1-D)
G =
1
sC +
R
vi
Control loop transfer function
• Problem statement:
• To verify the contribution of load current sharing and average voltage regulation with varying
droop gains between two DC sources sharing a local load at converter 1 connected by tie-
lines. The tie line resistance has an effect on the voltage regulation and proportionate current
sharing.
7/8/2018 19
7/8/2018 20
Case -1
Source-1: 4.38 A
Source 2: 3.24 A
Droop: 0.0267
Voltage: 47.58 V
DC Source: 24 V
7/8/2018 21
Case-2
0
20
40
Vo
20
30
40
50
Vdc1 Vdc2
0 0.2 0.4 0.6 0.8 1
Time(s)
0
2
4
I(RL4) I(RL5)
Source-1: 4.01A
Source 2: 3.29 A
Droop: 0.267
Voltage: 45.57 V
• Inference
• It is herewith inferred that by having lower droop gains the voltage regulation
is low but the proportional current sharing deviation is large whereas by
employing larger droop gains the voltage regulation is poor but the current
deviations is notably improved.
• Furthermore, it can also be deduced that for maintaining tight boundaries of
current sharing and voltage regulation the droop controllers are ineffective and
hence the requirement of communication channel has to be invoked to meet the
desired energy management.
• The droop resistance is only used for limiting circulating current and achieving
acceptable voltage regulation in the transient and not to achieve current sharing
in steady state.
• Secondary control---i. Voltage Regulation
• ii. Accurate power sharing
• Droop resistance is a control parameter internal to the power converter and
hence does not dissipate power.
7/8/2018 22
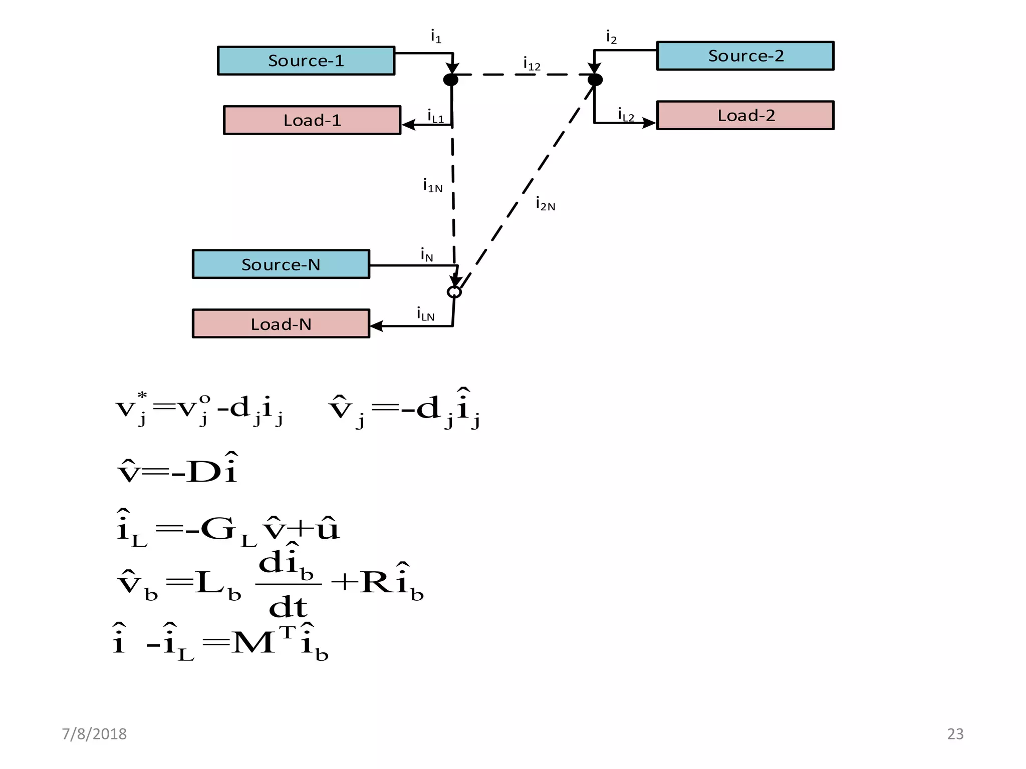
7/8/2018 23
Source-1
Load-1
Source-2
Load-2
Source-N
Load-N
i1
iL1
i2
iL2
iLN
iN
i12
i1N
i2N
* o
j j j jv =v -d i j j j
ˆˆv =-d i
ˆˆv=-Di
L L
ˆ ˆ ˆi =-G v+u
b
b b b
ˆdi ˆˆv =L +Ri
dt
T
L b
ˆ ˆ ˆi -i =M i
7/8/2018 24
b b
ˆ ˆ ˆi =Ai +Bu
T -1 -1 -1
b l
-1 -1 -1
b l
A=-M ML {D -G }
B=-L M{D -G }
Sensitivity analysis:
Considering a Lyapunov function candidate :
Which is positive definite considering P to be a positive definite matrix.
Substituting for , and further simplifying we get:
where is the Lyapunov equation.
This simplification is achieved by assuming that the perturbation in load current
to be:
ˆx
T
ˆ ˆV=x Px
T
ˆ ˆV=x Px
T
ˆ ˆV=-x Qx T
-Q=A P+PA
-1 T
ˆ ˆu=B A x
7/8/2018 25
2T
min 2
ˆ ˆ ˆx Qx λ (Q) x
2
min 2
V<-λ (Q) x
 
min
T -1 -1 -1 T T -1 -1 -1
min b L b L
λ (Q) > 0
λ (-M ML (D -G ) ) P +P(-M ML (D -G ) ) 0
max
1
D
G

Choice of droop gains
Effect of parameter variations due to ageing
ˆ ˆ ˆx=(A+d)x+Bu
Choosing a Lyapunov candidate
Taking its derivative and differentiating we get
Assuming
We get,
Q is a positive definite matrix
So we get a locally asymptotically stable result.
7/8/2018 26
T
ˆ ˆV=x Px
-1 T
ˆ ˆu=(B A x)
min
d <
Q
P

• The oscillation would continue until all the energy is dissipated.
• Since LC filter has fairly small resistance due to winding resistance of
inductor but the negative resistance of the load will tend to reduce the
filter resistance producing an oscillatory system.
• With a sufficiently large CPL , system would become unstable , oscillations
would grow exponentially.
• By changing the resistance, from R= 2 ohms to 22.5 ohms the above curve
is obtained.
7/8/2018 27
The effect of damping on the system poles :
• i. The poles move further left thereby enhancing relative stability.
• (Gvo_d --- system without damping
• Gvo_d1---system with damping R=2 ohms
• Gvo_d2----system with damping R=22.5 ohms)
7/8/2018 28
• The Middlebrook criterion : to ensure that converter dynamics are not
changed by the addition of an input filter.
• Causes of instability: When two stable subsystem are combined or
integrated together there is no guarantee that the combined system will be
stable. There maybe interaction between the interconnected sub-systems
which can result in instability in the system. Even though the system maybe
well designed for stand-alone operation, the possible interactions may still
occur once the subsystem are integrated.
• But nowadays since the cost has reduced, switching regulators are more
widely used. There is potential for load-source interaction. When source
voltage falls, then operation of the internal controller will result in drawing
more current.
• The oscillation can be predicted when input and output impedance of
converter are known.
• At the resonance frequency , phase passes through zero degree.
Furthermore if the resistance is very small, the poles of the system will
almost lie on the imaginary axis in complex plane, implying that the natural
response of the circuit would exhibit slowly decaying oscillations.
7/8/2018 29
7/8/2018 30
out _B in_B
AB A B A B
in_ A in_B out _ A mlg
V Z 1
G G G ( ) G G ( )
V Z Z 1 T
= = =
+ +
out _ A
mlg
in _ B
Z
T
Z
=
Where, Tmlg is the minor loop gain responsible for stability and is expressed
as in the following equation:
Since GA, GB are stable transfer functions the stability thus depends on the Tmlg
which must satisfy the Nyquist Criterion, i.e. Tmlg should not enclose the (-1,0)
point. Therefore the stability region of radius of 1/GM.
+ + + +
- - - -
in _ AV
out_B
B
in_B
V
G
V
=out _ AV in_AV
out_AZ in _ BZ
out_BV
out_A
A
in_A
V
G
V
=
ESAC
Criterion Re
Im
1/GM
Unit circle
Middlebrook
criterion
Opposing Argument
Criterion
GMPM
Criterion
(-1,0)
Application of Graph theory
• Cooperative control: synchronization and tracking. A consensus problem is to
find a distributed control protocol that drives all states to the same values
• 1 equation and 2 theorems are always needed in graph theory
Theorem 1:
If there is a spanning tree in the communication graph, consensus control can be
reached and the Laplacian matrix ‘L’ has a simple zero eigen value and all other
eigen values have positive real parts.
Theorem 2:
If there is a spanning tree in the communication graph and a root node ‘i’
satisfying , all agents’ states will converge to external control signal , ‘v’.
These theorems are often used in consensus control to analyze the stability of the
microgrid systems. Almost all the algorithms based on graph theory satisfy eqn. to
ensure the selected variable to be equal to a known parameter in the steady
state.
7/8/2018 31
( )
i
i i i j j i
j N
x u a x x

= = −
Bi 
i jx x=
u Lx= −
7/8/2018 32
Node
1
2
N
i
Cooperative control
offers interaction of control plants in a dynamical multi-agent system.
exchanges data with some other agents on a communication network and processes
the data to control its associated system.
The communication network is sparse.
synchronization and tracking problems.
every agent has a specific local variable which is desired to be synchronized with that
of other agents.
The synchronization problem can be stated as achieving consensus in all elements of
the global vector. Lx=0 at the steady state. Therefore the only feasible steady-state
value of is x=c, which guarantees the consensus for the elements of vector x.
• Laplacian matrix is very important in the stability of MAS.
• According to Gersgorin disc theorem, all non zero eigenvalues of L are
located within a disk in the complex plane centered at dmax and having
radius dmax.
7/8/2018 33
0
( ) ( ) ( ( ) ( ))
i
t
i i i j j i
j N
v t v t a v v d  

= + −
( )
i
pu pu
i ij j i
j N
ca i i

= −
Hi
Gi ri
+
+ ++
+-
Ѱ
vi
ref
dvi1
dvi2 ii
ref
ii
δPI PI+
- -
• The goal of the cooperative tracking problem is to have
consensus for the agent variables. However unlike the
synchronization problem, the consensus value is a control objective
usually provided by the leader. The tracking problem can be stated
as x=1xref, where xref is the reference value determined by the
leader.
• The leader is connected to a limited number of agents. A pinned
graph is used to model the tracking problem. To reach consensus at
the reference value, the graph should contain at least one pinned
root node. Since all eigenvalues of (L+G) have positive real
values, the equation results in the desired tracking
performance at the steady state. It is noteworthy that the
reference value can also have dynamics. However to have
acceptable tracking performance for all agents, the dynamics of the
tracking agents should be much faster than the reference.
7/8/2018 34
7/8/2018 35
* '
dc dc i 1V =V -d i +dv
1 i ij j idv =H ( c a (i -i ))  
Addition of a current observer
The dual loop control appended with a current observer helps in achieving both voltage
regulation and proportionate current sharing irrespective of the tie-line resistance.
The reference voltage now reduces to:
where Hi is a PI controller transfer function
Perron Discrete-Time Systems
This is the global input
And the global dynamics
( 1) ( ) ( ( ) ( ))
i
i i ij j i
j N
i k i k c a i k i k

+ = + −
u(k)=-cLi(k)
( 1) ( ) ( )
( )
ii k I cL i k
I cL P
+ = −
− =
Sufficient condition for P to have all eigen
values in the unit circle is:
c < 1/dmax
7/8/2018 36
7/8/2018 37
For smaller coupling gains: c=0.005
0
0.4
0.8
d1 d2
25
50
Vdc1 Vdc2
0
2
4
I(RL4) I(RL5)
0 0.2 0.4 0.6 0.8 1
Time(s)
0
50
Vo
7/8/2018 38
For larger coupling gains: c=0.15
0
0.4
0.8
d1 d2
25
50
Vdc1 Vdc2
0
2
4
I(RL4) I(RL5)
0 0.2 0.4 0.6 0.8 1
Time(s)
0
50
Vo
7/8/2018 39
Load sharing between dc/dc converters in Simulink
Correlation to AC Microgrids
• Frequency , voltage stability and power sharing
• For limited range of frequency deviations, the droop coefficients has to be
small, which violates sharing active power.
• Although a larger droop coefficients can improve active power sharing
performance, it would result in a higher voltage deviation from the nominal
value.
• Only the equivalent active power sharing can be guaranteed in conventional
droop control under inductive feeder impedance scenario.
• However active power sharing accuracy may be compromised and P and Q
coupling may exist in resistive lines.
• As different types of DG may exist the conventional droop control cannot
reduce the generation cost for the considered MG.
• Therefore the droop control for P should be further improved to get an
accurate and robust active power sharing for MGs, and the details and
characteristics of various control.
7/8/2018 40
• In order to get high disturbance rejection performance of P sharing
controllers against voltage disturbances and eliminate voltage and
frequency deviations, adaptive droop has been adopted.
• Normalize the frequency and power in ac microgrids:
7/8/2018 41
max min
pu
max min
f-0.5(f +f )
f =
0.5(f -f )
dc dc,max dc,min
dc,pu
dc,max dc,min
V -0.5(V +V )
V =
0.5(V -V )
Vpu fpu
Pdc,max Pdc,max
Vmax
Vmin
fmax
fmin
Grid connected mode of operation
7/8/2018 42
CONVERTER
DC-μgrid AC-μgrid
ILC
AC-Bus
2
i PCC i Li i PCC i
i 2 2
( )( cos - V )+(R +R )E V sin
P =
( ) ( )
i Li i PCC
i Li i Li
X X EV
X X R R
 +
+ + +
2
i PCC i Li i PCC i
i 2 2
( )( cos - V ) - (R +R )E V sin
Q =
( ) ( )
i Li i PCC
i Li i Li
X X EV
X X R R
 +
+ + +
i
( )
Q =
( )
PCC i PCC
i Li
V E V
X X
−
+
iP =
( )
PCC i i
i Li
V E
X X

+
7/8/2018 43
Stand-alone mode of operation
DC-μgrid AC-μgrid
ILC
Droop
Controlled
DC-Source
Inter-
linking
Converter
Droop
Controlled
AC-Source
+
-
AC
Load
Lf Lg
Cf
Energy
Source
DC
Load
Pdc
PLdc
Pd
PLac
Pac
dc Ldc d
ac d Lac
P =P +P
P +P =P
Networked systems
• A leader node can be added to a strongly connected graph and be connected
to atleast one node by unidirectional edge. The nodes connected to the leader
node and the corresponding connecting edge are called pinned (controlled)
nodes and pinning edges respectively. The resulting graph is also called the
pinned graph.
• The pinning gain is zero for an unpinned node. The pinning matrix is defined to
carry all the pinning gains of the graph.
7/8/2018 44
D4
D1 D3
D2
ILC
A2
A1
A4
A3
DC
Microgrid
AC
Microgrid
Leader node
Mathematical modeling
• Follower node dynamics:
• Leader node dynamics:
• Objective is that :
• States of all agents synchronize to the state of the command
generator.
7/8/2018 45
, ,i i i ix Ax Bu y Cx i N= + = 
,o o o ox Ax y Cx= =
lim ( ( ) ( )) 0i o
t
x t x t
→
− =
1 1- ( - )- sgn( ( - ))i ij i j i j i ju a x x a x x =  
Laplacian matrix for the system
A =a*[ 0 90 0 0
90 0 0 0
0 0 0 100
0 0 100 0]
D =[ 90 0 0 0
0 90 0 0
0 0 100 0
0 0 0 100]
7/8/2018 46
L =[90 -90 0 0
-90 90 0 0
0 0 100 -100
0 0 -100 100]
Eig(L)=
0
258.1665
41.8335
274.2686
35.7314
Consensus will be reached at the second eigen value known as the Fiedler Eigen value. It
is important in determining the speed of interaction of dynamic systems on graphs. It is
also known as the graph algebraic connectivity.
The system dynamics depends on the graph topology i.e. the manner in which the
nodes communicate.
Properties
• G=diag(g)
• L is not invertible. However (L+G) is invertible.
• Eigen values of (L+G) has positive real parts.
• The consensus value is a control objective provided by the leader. The
tracking equation becomes:
• The reference value has dynamics but the tracking equation should be
much faster than that of the reference to have acceptable tracking.
7/8/2018 47
refx=-(L+G)(x-1x )
Pinning graph
• A graph is strongly connected if there is a path between every two nodes.
If a graph has a spanning tree the Laplacian matrix eigen value =0 is a
simple eigenvalue. L has a rank of N-1,
• A leader node can be added to a strongly connected graph and be
connected to atleast one node by unidirectional edges. The nodes
connected to the leader node and the corresponding connecting edge are
called pinned nodes and pinning edge respectively. The direction of the
pinning edge implies the unidirectional information flow from the leader
node to node i. The pinning gain is zero for the unpinned nodes. The
pinning matrix is defined to carry all the pinning gains of the graph.
• In synchronization problem the value at which the variables reach
consensus is not a control objective and is dictated by the plant
parameters.
7/8/2018 48
7/8/2018 49
max min
pu
max min
f-0.5(f +f )
f =
0.5(f -f )
dc dc,max dc,min
dc,pu
dc,max dc,min
V -0.5(V +V )
V =
0.5(V -V )
+
- PI
id*
+
-
PI
P*
P
k dc,maxV -V
Q=

iq*+
- PI
Q
Q*
Interlinking converter (between DC and AC)
ILC control
7/8/2018 50
Standalone mode (Decentralized)
INVERTER
AC
LOADPCC
iabc vabc
id
iq
vd
vq
Vd*
Vq*
id*
iq*
ωLs
ωLs
+
+
-
vd
vq
ud
uq
uabc
PWM
vabc iabc
dq
dqdq
PI
PIPI
PI +
+
-
- -
-+
+
abc
abc abc
2
fmax
Kac P*
P
++- -
Power
Calculation
Vdc
Ls
Cs
7/8/2018 51
7/8/2018 52
dc s
2 2
s
0.5V (L +r)
(L +r) +(ωL)
dc s
2 2
s
0.5V (L +r)
(L +r) +(ωL)
dc
2 2
s
0.5V ωL
(L +r) +(ωL)
dc
2 2
s
0.5V ωL
(L +r) +(ωL)
+
-
+
+
PI
PI+
+
-
-Id*
Iq*
Iq
Id
2 2
ˆ 0.5
ˆ ( ) ( )
d dc
q
I V L
sL r Ld


=
+ +
2 2
ˆ 0.5 ( )
ˆ ( ) ( )
d dc
d
I V sL r
sL r Ld 
+
=
+ +
2 2
ˆ 0.5 ( )
ˆ ( ) ( )
q dc
q
I V sL r
sL r Ld 
+
=
+ +
2 2
ˆ 0.5
ˆ ( ) ( )
q dc
d
I V L
sL r Ld


=
+ +
7/8/2018 53
+
-
+
Voltage estimator
Reactive power regulator
Active power regulator
PCC
Cyber
Communication
Network
Tertiary
control
Power/Voltage
Measurement
Hi(s)
Gi(s)
+
Ѱi=[Ei*, Qi*,Pi*]
i-th
Inverter
Energy Source
Ei
ωi
ω*i
δωi*
( * *)
i
ij j i
j N
ca P P

−
( * *)
i
ij j i
j N
ba Q Q

−Qj*
Pj*
jE
iE
δEi
1
δEi
2
Ѱ=[E*,ω*]
Ѱj=[Ej*, Qj*,Pj*]
Ѱi=[Ei*,ωi*]
Ei*
Global Reference
LCL Filter
0
*( ) * 2 sin( *( ) )
t
i i iv t e d  = 
Standalone mode (Distributed)
Operational conditions for autonomous mode
• Power flow should be zero if both AC and DC subgrids are under-loaded /
over-loaded.
• The power-flow should be from an under-loaded to over-loaded grid.
• If demand increases in under-loaded grid, its power flow to overloaded grid
should also be gradually reduced.
7/8/2018 54
Network stability analysis
• Modeling of inverters for the purpose of network stability analysis is a
trending topic.
• i. Grid forming mode: Main relevant operation mode in the context of
network control and stability analysis. Hence a suitable model of a grid
forming inverter represented by a controllable AC voltage source.
ii. In grid connected mode, the ac side can be viewed as an infinite bus,
therefore the deviation of the voltage amplitude and frequency can be
ignored. In this case the bidirectional ac/dc converter only needs to regulate
the DC bus voltage, In order to operate in unity power factor iq=0; controller
needs to control only id to regulate the active power through the converter.
7/8/2018 55
Plug-in for inclusion of Energy Storages
• If energy storage are added to the IC for ride through purpose, a plug-in scheme for
charging and discharging coordination must be added to the main scheme.
Scenarios:
• If one of the subgrids is capable of providing the charging power fully without
requesting for energy transfer between the subgrids only the converter tied to that
subgrid should operate. (either dc/dc or dc/ac).Converter of other subgrid is then not
activated since it neither charges the storages nor transfers power between the
subgrids. Operating losses of the inactive converter are therefore avoided leading to a
higher overall efficiency.
• A second scenario is possible whereby both subgrids are capable of individually
charging the storages without triggering energy transfer between them. Some
governing rules must therefore be defined for choosing the appropriate subgrid. The
choice made here is to draw the charging power from the DC subgrid since operating
DC/AC involves 6 switches.
• The third scenario occurs when both subgrids cannot provide the demanded charging
power fully. Operating any of them will trigger power transfer between the subgrids
and hence causing both dc/dc and dc/ac converters to operate.
• Since operating one converter only is not possible , charging power to the storages
should be divided between the subgrids based on their remaining excess generation
capacities.
• Realizing the scenarios physically would require mathematical formulations, beginning
with the determination of the appropriate amount of charging power.
7/8/2018 56
Pulsed loads
• The pulsed loads draw high currents during a short period of time which
can cause considerable voltage and frequency fluctuation. These
disturbances can trip other normal loads offline, causing a serious outage.
• System stability and coordination control of PECs during islanded
operation modes within the influence of pulsed loads is still an open issue.
• During the islanded mode, the ac side can no longer be viewed as an
infinite bus that results in load variations adversely affecting the frequency
and voltage of the system.
• P and Q power flow should be balanced between the ac and dc sides to
maintain stability on both sides of the grid.
7/8/2018 57
Choice of droop gain
• The virtual impedance ‘ZD’ is designed to be bigger than the output
impedance of the (inverter+line) impedance.
• This way the equivalent output impedance is dominated by the virtual
impedance. Stability of droop controlled microgrids has traditionally been
carried out by means of numerical and small signal analysis as well as
extensive simulations and experimental studies, aimed at providing a range
for the droop gains to guarantee system stability.
• Most research on stability and power sharing of microgrids have focused
on inverter based systems.
• However from practical concerns and future approaches, networks of
mixed generation structure including SGs , inverter interfaced DERs.
• Analysis is restricted to 1st order inverter models
• Stability of microgrids with meshed topologies and decentralized controlled
units is an open area.
7/8/2018 58
Channel capacity
• Bandwidth= 2*data-rate(bps) Hz
• Greater the bandwidth , higher the data rate.
• Achievable data rate is influenced more by the channel’s bandwidth and
noise characteristics.
7/8/2018 59
Cooperative control
• Variables I any other controller will adapt with respect to the values of its own
controller.
• Every MG has a dedicated secondary controller that are able to exchange information
with its neighbors using communication infrastructure known as Networked Control
Systems.
• To make the level of awareness of an LC similar to that of CC, a consensus algorithm
can be used. In its basic form, a consensus algo is a simple protocol installed within
every LC which continuously adds up algebraic differences of variables of interest
present in the LC and those present in LCs adjacent to it. It can be analytically proved
that if the communication network is connected, all variables values will converge to a
common average after a certain amount of time.
• Dynamic consensus to optimize the global efficiency of droop controlled DC MGs.
• Complexity of analytical performance--Assessment of convergence speed and stability
margins in non ideal environments characterized by communication time delays and
measurement errors.
• The ability of consensus to share info. In such a manner has wider applicability than
simple data averaging.
• The topology of the graph Laplacian represents the communication network and it is
also possible to design the weights of the respective matrix to control the convergence
speed.
• Objectives such as output current sharing, voltage restoration, global efficiency
enhancement, SoC balancing, etc can be realized.
7/8/2018 60
Stability analysis and stabilization methods for DC MGs
• A typical cause of instability in DC MGs is impedance mismatch between lightly
damped filters on the source side and tightly regulated power converters on the load
side.
• These converters are commonly referred to as the CPLs, that introduce a negative
impedance characteristic in low frequency range that tends to oscillate with the output
impedance of power supply filter.
• Averaging and linearization is the most common approach for modeling and analysis
of switching power converters in DC MGs.
• The resulting small signal models are valid for frequencies of upto around half of the
switching frequencies. However as the bandwidths of practical converters are typically
in the range of one-tenth of the switching frequency, the method provides quite
accurate analysis around the quiescent operating point.
• Models of individual components are assembled into a full system model which is then
typically broken down into two subsystems at an arbitrary point.
• The impedance based approach has a key advantage when compared to classical
stability analysis tools used in large power systems. It allows the definition of
straightforward stability criteria fr every individual subsystem through convenient
impedance specifications.
• First specification was proposed by Middlebrook in 1976 and others followed it up in
subsequent years that can largely simplify the dynamic analysis and design of DC MGs.
7/8/2018 61
• The stability results for impedance criteria rely heavily on the selection of the
point in the system where it is broken into a load and source subsystem.
Moreover the criteria provides only sufficient stability conditions and they
implicitly assume unidirectional power flow which makes them inapplicable to
systems where ESSs are used in the load side. Since only a minor loop gain is
considered, the system should be well tuned before the application of a filter. In
cases where these conditions are not met a full order state space approach can be
used as an alternative.
• The purpose of the line filter is to flatten the current drawn from the supply side
and attenuate the high frequency variations at the input terminals of POL
converter.
• However the supply side filter brings in additional dynamics which might induce
undesirable interactions with the POL converter.
• Ideal voltage controllers however do not exist and only at frequencies well below
the crossover frequency negative impedance/resistance is exhibited.
• When going towards and above the crossover frequency, the gain of the voltage
controller declines, causing the change of effective resistance from negative to
positive.
• Therefore it is important to obtain exact analytical expression for closed loop
input impedance of POL converter in order to describe the dynamics of load
subsystem and quantify its interaction with the supply side.
7/8/2018 62
• Method for steady state analysis and small-signal analysis.
• The effect of input filter interactions with the converter rendering
instability was shown with the help of frequency response.
• Graph theory and its correlation to DC and AC microgrids.
• Challenges with Energy Storage.
7/8/2018 63
Conclusion
Thank you
7/8/2018 64

Ppt iitr

  • 1.
    Networked control andPower management in AC/DC Hybrid Microgrids Presented by- Satabdy Jena PROGRESS PRESENTATION Under the supervision of: Dr. N P Padhy
  • 2.
    • High efficiency,high reliability and ease of interconnection of renewables. • Telecom, automotive, portable power, power supply for WAN/LAN, vehicular and distributed power systems. • In order to achieve safe and reliable MG performance, its dynamic stability needs to be ensured in all operating conditions. • The purpose of the Smart Distributed Energy Storage Devices project is to develop safe, low- cost, efficient, plug-and-play devices to support traditional grids. Modular storage devices. • AC and DC MGs are key elements for integrating DERs and DESs. • The trend of the electrical grid is to become more and more distributed. • The use of distributed generation makes no sense without using distributed storage systems. • In decentralized control, the probability of instability of network is high because each converter takes a decision based on the local measurement. • So decentralized without cooperation is unstable. • Cooperative control is modular where plug-n-play can be realized at both the cyber and physical domains. • There is no single point of failure. • Cooperative system can balance the system variables , even if communication link/converter failure occurs, via other links as long as the communication graph follows certain basic properties. 7/8/2018 2 2. introduction
  • 3.
    3. CONVERTER analysis •State space averaging Where, 7/8/2018 3 . g g x Ax Bv y Ex Fv = + = + 1 1 2 2* *A A D A D= + 1 1 2 2* *B B D B D= + 1 1 2 2* *E E D E D= + 1 1 2 2* *F F D F D= + 2 1(1 )D D= − (1) The steady state analysis of the converter is reached when inductor voltage-second balance and capacitor charge-second balance is obeyed. Need for a small-signal model: 1. The averaged equations obtained for the converter are non-linear because of the involvement of multiplication of time varying quantities which generates harmonics. 2. Most of the analysis techniques for ac circuits such as Laplace transform and other frequency domain methods are not useful for non-linear systems and so we need to linearize it by constructing a small signal model.
  • 4.
    • Small signalanalysis • Assuming that deviations are sufficiently small that the non-linear and second order terms can be neglected, it results in a small-signal linear model 7/8/2018 4 g g g x X x v V v = + = + g zx Ax Bv mi Pd= + + + 1 2 1 2 1 2( ) ( ) ( )g zP A A X B B V M M I= − + − + − 1 ( ) x sI A P d − = − (2) (3) (4) (5)
  • 5.
    7/8/2018 5 g zyEx Fv Ki Qd= + + + 1 2 1 2 1 2( ) ( ) ( )g zQ E E X F F V K K I= − + − + − 1 ( )o g V E sI A B V − = − (6) (7) (8)
  • 6.
    Design and Effectof Input Filter on DC/DC Converter Requirement of input filter: • High frequency switching of DC/DC Converters leads to input source voltage ripple and reflected input current ripple. Design difference between input and EMI filter: • Mismatch between source and input impedance of filter and mismatch between load and out impedance of filter to ensure strong reflection rate are considered in EMI filter design but not in input filter. • EMI filter design targets to a frequency upto 30 MHz for conduction emission + radiated EMI. (noise from DC-DC converter are of two types: radiated and conducted. EMI < 30 MHz--conduction noise and higher frequencies--radiation noise) Input filter focuses on a much narrower range of emission only. 7/8/2018 6
  • 7.
    • EMI filter'sperformance is highly related to parasitic parameters. • Input filter's performance is much less affected by parameter parasitics. • EMI filter considers both differential and common mode noise. • Input filter only considers differential mode noise. • (Differential mode emissions include the basic switching current waveform and harmonics as well as periodic spikes arising due to switching frequency. Common mode emissions consist of periodic current spikes through chassis ground caused by rapidly switched voltage across parasitic capacitance.) 7/8/2018 7
  • 8.
    Self-resonant frequency: • Everycapacitor or inductor can be practically shown as a RLC circuit combination, and hence they have a self resonant frequency beyond which inductors behave as capacitors whereas capacitors behave as inductances. RHS Zero Pair: • RHS Zero pair occurs due to cascading of converters. • Addition of input filter leads to addition of RHS zero pair. Problem: • The RHS zero pairs are the cause of instability in the closed loop and can cause oscillations in the DC Circuit. 7/8/2018 8
  • 9.
    Reason: 1. As inputvoltage increases, the PWM control circuitry cuts back the duty cycle of the controlled switch to maintain constant output voltage. This causes the averaged input current to decrease. Since the average input current decreases in response to increase in voltage, the converter behaves as a negative dynamic resistance. 2. Deriving the characteristic polynomial of the converter, there is a negative term which causes an unbounded unstable system. 3. Thus addition of a lightly damped or un-damped input filter to the negative resistance model causes to form a negative oscillator circuit. This explains why addition of input filter causes instability. 7/8/2018 9
  • 10.
    Solution: • Damping cansolve the problem. However internal circuit losses are not sufficient to damp the oscillations. And hence external damping needs to be included. • Resistance should not be included in the input filter as it would lead to increase in resistive losses. • Design procedure is to include a DC blocking capacitor branch with appropriate damping resistor whose capacitance is chosen very large as compared to input filter capacitance. This enables less current to flow through the branch and hence less resistive losses. • This aids in bringing RHP zeroes to LHP by proper damping. 7/8/2018 10
  • 11.
    Exceptions: • DC/DC Convertershave however been successfully implemented using simple LC input filters due to the following reasons: 1. The LC input filter components may include sufficient parasitic resistance. 2. The resonant frequency of the input filter is above the converter gain- bandwidth. 3. The gain-bandwidth of the converter may be relatively low than the converter switching frequency. • Hence the region of negative resistance is below input filter resonant frequency. 7/8/2018 11
  • 12.
    Margin for stability: •The output impedance of filter = Input impedance of converter. • (Higher ratio of ; higher is the stability) Stability Analysis: • The converter is modelled by averaging and then this averaged model is used for stability analysis. • But the model becomes inaccurate in high frequency since averaging models reach their limitation once the frequency is above the half of the switching frequency. • Routh-Hurwitz criterion can be used to check the stability of the complete system (converter and input filter) . 7/8/2018 12 Input impedance of converter Output impedance of input filter
  • 13.
    7/8/2018 13 Energy Storagesystems are needed for the storage of PV energy owing to its intermittent nature. Battery is a device that converts chemical energy to electrical energy. 𝐸 = 𝐸 𝑜 + 𝐾 𝑄 𝑜 𝑄−𝑄 𝑜 + 𝐴𝑒−𝐵𝑄 (9) 𝑄 = 𝑄𝑖𝑛𝑖𝑡 + ‫׬‬0 𝑡 −𝐼 𝑏 𝑑𝑡 (10) 𝑉𝑏 = E − 𝐼 𝑏 𝑅𝑖𝑛𝑡 (11) Fig.8. Mathematical model of battery Modeling of battery + - E E Eqn (23) Eqn (24) Rint + - Vb Ib Symbol Terminology Description E Battery voltage at no-load Eo Battery constant voltage K Polarization voltage Ib Battery current Vb Battery terminal voltage Q Actual battery capacity Qo Rated capacity Rint Internal resistance of battery A Exponential zone amplitude B Exponential zone time constant Table. Battery terminology
  • 14.
    Design equations 7/8/2018 14 , , ib b b b L b V D L f i =  / op o sw o p I D C f V =  The transistors need to handle this peak current stress, and have low output capacitance and on-state minimum resistance to minimize loss of the converter. Slightly higher capacitance to account for added ripple due to ESR of capacitance.
  • 15.
    Frequency response ofthe boost converter employed for microgrid • D=0.54; • Vg=24, rl1=0.35, L1=1.8e-3, rc1=10e-3, C1=100e-6, rc2=60e-3, C2=200e-6, R=6; 7/8/2018 15
  • 16.
    7/8/2018 16 -8.842e30 s^2- 8.83e36 s + 8.781e39 = --------------------------------------------------------------------------- 1.547e26 s^3 + 1.549e32 s^2 + 1.602e35 s + 1.159e38 -5.714e04 s^2 - 5.706e10 s + 5.675e13 = ------------------------------------------------------------- s^3 + 1.001e06 s^2 + 1.035e09 s + 7.491e11 1.057e34 s + 1.539e40 = ------------------------------------------------------------------------- 1.563e28 s^3 + 1.565e34 s^2 + 1.618e37 s + 1.171e40 o ˆv ˆd c2 ˆv ˆd o g ˆv ˆv
  • 17.
    Audio susceptibility ofthe converter -100 -50 0 Magnitude(dB) System:vo_vg GainMargin(dB):70.6 Atfrequency(rad/s):5.76e+04 Closedloopstable?Yes 10 1 10 2 10 3 10 4 10 5 -225 -180 -135 -90 -45 0 System:vo_vg PhaseMargin(deg):81.9 DelayMargin(sec):0.00152 Atfrequency(rad/s):942 Closedloopstable?Yes Phase(deg) BodeDiagram Frequency (rad/s) 7/8/2018 17 -12 -10 -8 -6 -4 -2 0 2 x 10 5 -500 0 500 System:sysx2 Pole:-517+694i Damping:0.598 Overshoot(%):9.61 Frequency (rad/s):866 System:sysx2 Zero:993 Damping:-1 Overshoot(%):0 Frequency (rad/s):993 Pole-ZeroMap RealAxis(seconds-1 ) ImaginaryAxis(seconds-1 )
  • 18.
    Circuit representation ofDC microgrid 7/8/2018 18 + + - - rd rd R R1 R2 u+d1 u+d2 + + - - V1 V2 i1 i2 Gcv Gci 1/Vm Gid Gvi H1 H2 + + -- iL VoVref o/p o/p LbL id 2 2b b o/p o/p sC V +I 2(1-D)i G = = Ld s L C +s +(1-D) R o/p o/p (1-D) G = 1 sC + R vi Control loop transfer function
  • 19.
    • Problem statement: •To verify the contribution of load current sharing and average voltage regulation with varying droop gains between two DC sources sharing a local load at converter 1 connected by tie- lines. The tie line resistance has an effect on the voltage regulation and proportionate current sharing. 7/8/2018 19
  • 20.
    7/8/2018 20 Case -1 Source-1:4.38 A Source 2: 3.24 A Droop: 0.0267 Voltage: 47.58 V DC Source: 24 V
  • 21.
    7/8/2018 21 Case-2 0 20 40 Vo 20 30 40 50 Vdc1 Vdc2 00.2 0.4 0.6 0.8 1 Time(s) 0 2 4 I(RL4) I(RL5) Source-1: 4.01A Source 2: 3.29 A Droop: 0.267 Voltage: 45.57 V
  • 22.
    • Inference • Itis herewith inferred that by having lower droop gains the voltage regulation is low but the proportional current sharing deviation is large whereas by employing larger droop gains the voltage regulation is poor but the current deviations is notably improved. • Furthermore, it can also be deduced that for maintaining tight boundaries of current sharing and voltage regulation the droop controllers are ineffective and hence the requirement of communication channel has to be invoked to meet the desired energy management. • The droop resistance is only used for limiting circulating current and achieving acceptable voltage regulation in the transient and not to achieve current sharing in steady state. • Secondary control---i. Voltage Regulation • ii. Accurate power sharing • Droop resistance is a control parameter internal to the power converter and hence does not dissipate power. 7/8/2018 22
  • 23.
    7/8/2018 23 Source-1 Load-1 Source-2 Load-2 Source-N Load-N i1 iL1 i2 iL2 iLN iN i12 i1N i2N * o jj j jv =v -d i j j j ˆˆv =-d i ˆˆv=-Di L L ˆ ˆ ˆi =-G v+u b b b b ˆdi ˆˆv =L +Ri dt T L b ˆ ˆ ˆi -i =M i
  • 24.
    7/8/2018 24 b b ˆˆ ˆi =Ai +Bu T -1 -1 -1 b l -1 -1 -1 b l A=-M ML {D -G } B=-L M{D -G } Sensitivity analysis: Considering a Lyapunov function candidate : Which is positive definite considering P to be a positive definite matrix. Substituting for , and further simplifying we get: where is the Lyapunov equation. This simplification is achieved by assuming that the perturbation in load current to be: ˆx T ˆ ˆV=x Px T ˆ ˆV=x Px T ˆ ˆV=-x Qx T -Q=A P+PA -1 T ˆ ˆu=B A x
  • 25.
    7/8/2018 25 2T min 2 ˆˆ ˆx Qx λ (Q) x 2 min 2 V<-λ (Q) x   min T -1 -1 -1 T T -1 -1 -1 min b L b L λ (Q) > 0 λ (-M ML (D -G ) ) P +P(-M ML (D -G ) ) 0 max 1 D G  Choice of droop gains Effect of parameter variations due to ageing ˆ ˆ ˆx=(A+d)x+Bu
  • 26.
    Choosing a Lyapunovcandidate Taking its derivative and differentiating we get Assuming We get, Q is a positive definite matrix So we get a locally asymptotically stable result. 7/8/2018 26 T ˆ ˆV=x Px -1 T ˆ ˆu=(B A x) min d < Q P 
  • 27.
    • The oscillationwould continue until all the energy is dissipated. • Since LC filter has fairly small resistance due to winding resistance of inductor but the negative resistance of the load will tend to reduce the filter resistance producing an oscillatory system. • With a sufficiently large CPL , system would become unstable , oscillations would grow exponentially. • By changing the resistance, from R= 2 ohms to 22.5 ohms the above curve is obtained. 7/8/2018 27
  • 28.
    The effect ofdamping on the system poles : • i. The poles move further left thereby enhancing relative stability. • (Gvo_d --- system without damping • Gvo_d1---system with damping R=2 ohms • Gvo_d2----system with damping R=22.5 ohms) 7/8/2018 28
  • 29.
    • The Middlebrookcriterion : to ensure that converter dynamics are not changed by the addition of an input filter. • Causes of instability: When two stable subsystem are combined or integrated together there is no guarantee that the combined system will be stable. There maybe interaction between the interconnected sub-systems which can result in instability in the system. Even though the system maybe well designed for stand-alone operation, the possible interactions may still occur once the subsystem are integrated. • But nowadays since the cost has reduced, switching regulators are more widely used. There is potential for load-source interaction. When source voltage falls, then operation of the internal controller will result in drawing more current. • The oscillation can be predicted when input and output impedance of converter are known. • At the resonance frequency , phase passes through zero degree. Furthermore if the resistance is very small, the poles of the system will almost lie on the imaginary axis in complex plane, implying that the natural response of the circuit would exhibit slowly decaying oscillations. 7/8/2018 29
  • 30.
    7/8/2018 30 out _Bin_B AB A B A B in_ A in_B out _ A mlg V Z 1 G G G ( ) G G ( ) V Z Z 1 T = = = + + out _ A mlg in _ B Z T Z = Where, Tmlg is the minor loop gain responsible for stability and is expressed as in the following equation: Since GA, GB are stable transfer functions the stability thus depends on the Tmlg which must satisfy the Nyquist Criterion, i.e. Tmlg should not enclose the (-1,0) point. Therefore the stability region of radius of 1/GM. + + + + - - - - in _ AV out_B B in_B V G V =out _ AV in_AV out_AZ in _ BZ out_BV out_A A in_A V G V = ESAC Criterion Re Im 1/GM Unit circle Middlebrook criterion Opposing Argument Criterion GMPM Criterion (-1,0)
  • 31.
    Application of Graphtheory • Cooperative control: synchronization and tracking. A consensus problem is to find a distributed control protocol that drives all states to the same values • 1 equation and 2 theorems are always needed in graph theory Theorem 1: If there is a spanning tree in the communication graph, consensus control can be reached and the Laplacian matrix ‘L’ has a simple zero eigen value and all other eigen values have positive real parts. Theorem 2: If there is a spanning tree in the communication graph and a root node ‘i’ satisfying , all agents’ states will converge to external control signal , ‘v’. These theorems are often used in consensus control to analyze the stability of the microgrid systems. Almost all the algorithms based on graph theory satisfy eqn. to ensure the selected variable to be equal to a known parameter in the steady state. 7/8/2018 31 ( ) i i i i j j i j N x u a x x  = = − Bi  i jx x= u Lx= −
  • 32.
    7/8/2018 32 Node 1 2 N i Cooperative control offersinteraction of control plants in a dynamical multi-agent system. exchanges data with some other agents on a communication network and processes the data to control its associated system. The communication network is sparse. synchronization and tracking problems. every agent has a specific local variable which is desired to be synchronized with that of other agents. The synchronization problem can be stated as achieving consensus in all elements of the global vector. Lx=0 at the steady state. Therefore the only feasible steady-state value of is x=c, which guarantees the consensus for the elements of vector x.
  • 33.
    • Laplacian matrixis very important in the stability of MAS. • According to Gersgorin disc theorem, all non zero eigenvalues of L are located within a disk in the complex plane centered at dmax and having radius dmax. 7/8/2018 33 0 ( ) ( ) ( ( ) ( )) i t i i i j j i j N v t v t a v v d    = + − ( ) i pu pu i ij j i j N ca i i  = − Hi Gi ri + + ++ +- Ѱ vi ref dvi1 dvi2 ii ref ii δPI PI+ - -
  • 34.
    • The goalof the cooperative tracking problem is to have consensus for the agent variables. However unlike the synchronization problem, the consensus value is a control objective usually provided by the leader. The tracking problem can be stated as x=1xref, where xref is the reference value determined by the leader. • The leader is connected to a limited number of agents. A pinned graph is used to model the tracking problem. To reach consensus at the reference value, the graph should contain at least one pinned root node. Since all eigenvalues of (L+G) have positive real values, the equation results in the desired tracking performance at the steady state. It is noteworthy that the reference value can also have dynamics. However to have acceptable tracking performance for all agents, the dynamics of the tracking agents should be much faster than the reference. 7/8/2018 34
  • 35.
    7/8/2018 35 * ' dcdc i 1V =V -d i +dv 1 i ij j idv =H ( c a (i -i ))   Addition of a current observer The dual loop control appended with a current observer helps in achieving both voltage regulation and proportionate current sharing irrespective of the tie-line resistance. The reference voltage now reduces to: where Hi is a PI controller transfer function Perron Discrete-Time Systems This is the global input And the global dynamics ( 1) ( ) ( ( ) ( )) i i i ij j i j N i k i k c a i k i k  + = + − u(k)=-cLi(k) ( 1) ( ) ( ) ( ) ii k I cL i k I cL P + = − − = Sufficient condition for P to have all eigen values in the unit circle is: c < 1/dmax
  • 36.
  • 37.
    7/8/2018 37 For smallercoupling gains: c=0.005 0 0.4 0.8 d1 d2 25 50 Vdc1 Vdc2 0 2 4 I(RL4) I(RL5) 0 0.2 0.4 0.6 0.8 1 Time(s) 0 50 Vo
  • 38.
    7/8/2018 38 For largercoupling gains: c=0.15 0 0.4 0.8 d1 d2 25 50 Vdc1 Vdc2 0 2 4 I(RL4) I(RL5) 0 0.2 0.4 0.6 0.8 1 Time(s) 0 50 Vo
  • 39.
    7/8/2018 39 Load sharingbetween dc/dc converters in Simulink
  • 40.
    Correlation to ACMicrogrids • Frequency , voltage stability and power sharing • For limited range of frequency deviations, the droop coefficients has to be small, which violates sharing active power. • Although a larger droop coefficients can improve active power sharing performance, it would result in a higher voltage deviation from the nominal value. • Only the equivalent active power sharing can be guaranteed in conventional droop control under inductive feeder impedance scenario. • However active power sharing accuracy may be compromised and P and Q coupling may exist in resistive lines. • As different types of DG may exist the conventional droop control cannot reduce the generation cost for the considered MG. • Therefore the droop control for P should be further improved to get an accurate and robust active power sharing for MGs, and the details and characteristics of various control. 7/8/2018 40
  • 41.
    • In orderto get high disturbance rejection performance of P sharing controllers against voltage disturbances and eliminate voltage and frequency deviations, adaptive droop has been adopted. • Normalize the frequency and power in ac microgrids: 7/8/2018 41 max min pu max min f-0.5(f +f ) f = 0.5(f -f ) dc dc,max dc,min dc,pu dc,max dc,min V -0.5(V +V ) V = 0.5(V -V ) Vpu fpu Pdc,max Pdc,max Vmax Vmin fmax fmin
  • 42.
    Grid connected modeof operation 7/8/2018 42 CONVERTER DC-μgrid AC-μgrid ILC AC-Bus 2 i PCC i Li i PCC i i 2 2 ( )( cos - V )+(R +R )E V sin P = ( ) ( ) i Li i PCC i Li i Li X X EV X X R R  + + + + 2 i PCC i Li i PCC i i 2 2 ( )( cos - V ) - (R +R )E V sin Q = ( ) ( ) i Li i PCC i Li i Li X X EV X X R R  + + + + i ( ) Q = ( ) PCC i PCC i Li V E V X X − + iP = ( ) PCC i i i Li V E X X  +
  • 43.
    7/8/2018 43 Stand-alone modeof operation DC-μgrid AC-μgrid ILC Droop Controlled DC-Source Inter- linking Converter Droop Controlled AC-Source + - AC Load Lf Lg Cf Energy Source DC Load Pdc PLdc Pd PLac Pac dc Ldc d ac d Lac P =P +P P +P =P
  • 44.
    Networked systems • Aleader node can be added to a strongly connected graph and be connected to atleast one node by unidirectional edge. The nodes connected to the leader node and the corresponding connecting edge are called pinned (controlled) nodes and pinning edges respectively. The resulting graph is also called the pinned graph. • The pinning gain is zero for an unpinned node. The pinning matrix is defined to carry all the pinning gains of the graph. 7/8/2018 44 D4 D1 D3 D2 ILC A2 A1 A4 A3 DC Microgrid AC Microgrid Leader node
  • 45.
    Mathematical modeling • Followernode dynamics: • Leader node dynamics: • Objective is that : • States of all agents synchronize to the state of the command generator. 7/8/2018 45 , ,i i i ix Ax Bu y Cx i N= + =  ,o o o ox Ax y Cx= = lim ( ( ) ( )) 0i o t x t x t → − = 1 1- ( - )- sgn( ( - ))i ij i j i j i ju a x x a x x =  
  • 46.
    Laplacian matrix forthe system A =a*[ 0 90 0 0 90 0 0 0 0 0 0 100 0 0 100 0] D =[ 90 0 0 0 0 90 0 0 0 0 100 0 0 0 0 100] 7/8/2018 46 L =[90 -90 0 0 -90 90 0 0 0 0 100 -100 0 0 -100 100] Eig(L)= 0 258.1665 41.8335 274.2686 35.7314 Consensus will be reached at the second eigen value known as the Fiedler Eigen value. It is important in determining the speed of interaction of dynamic systems on graphs. It is also known as the graph algebraic connectivity. The system dynamics depends on the graph topology i.e. the manner in which the nodes communicate.
  • 47.
    Properties • G=diag(g) • Lis not invertible. However (L+G) is invertible. • Eigen values of (L+G) has positive real parts. • The consensus value is a control objective provided by the leader. The tracking equation becomes: • The reference value has dynamics but the tracking equation should be much faster than that of the reference to have acceptable tracking. 7/8/2018 47 refx=-(L+G)(x-1x )
  • 48.
    Pinning graph • Agraph is strongly connected if there is a path between every two nodes. If a graph has a spanning tree the Laplacian matrix eigen value =0 is a simple eigenvalue. L has a rank of N-1, • A leader node can be added to a strongly connected graph and be connected to atleast one node by unidirectional edges. The nodes connected to the leader node and the corresponding connecting edge are called pinned nodes and pinning edge respectively. The direction of the pinning edge implies the unidirectional information flow from the leader node to node i. The pinning gain is zero for the unpinned nodes. The pinning matrix is defined to carry all the pinning gains of the graph. • In synchronization problem the value at which the variables reach consensus is not a control objective and is dictated by the plant parameters. 7/8/2018 48
  • 49.
    7/8/2018 49 max min pu maxmin f-0.5(f +f ) f = 0.5(f -f ) dc dc,max dc,min dc,pu dc,max dc,min V -0.5(V +V ) V = 0.5(V -V ) + - PI id* + - PI P* P k dc,maxV -V Q=  iq*+ - PI Q Q* Interlinking converter (between DC and AC)
  • 50.
  • 51.
    Standalone mode (Decentralized) INVERTER AC LOADPCC iabcvabc id iq vd vq Vd* Vq* id* iq* ωLs ωLs + + - vd vq ud uq uabc PWM vabc iabc dq dqdq PI PIPI PI + + - - - -+ + abc abc abc 2 fmax Kac P* P ++- - Power Calculation Vdc Ls Cs 7/8/2018 51
  • 52.
    7/8/2018 52 dc s 22 s 0.5V (L +r) (L +r) +(ωL) dc s 2 2 s 0.5V (L +r) (L +r) +(ωL) dc 2 2 s 0.5V ωL (L +r) +(ωL) dc 2 2 s 0.5V ωL (L +r) +(ωL) + - + + PI PI+ + - -Id* Iq* Iq Id 2 2 ˆ 0.5 ˆ ( ) ( ) d dc q I V L sL r Ld   = + + 2 2 ˆ 0.5 ( ) ˆ ( ) ( ) d dc d I V sL r sL r Ld  + = + + 2 2 ˆ 0.5 ( ) ˆ ( ) ( ) q dc q I V sL r sL r Ld  + = + + 2 2 ˆ 0.5 ˆ ( ) ( ) q dc d I V L sL r Ld   = + +
  • 53.
    7/8/2018 53 + - + Voltage estimator Reactivepower regulator Active power regulator PCC Cyber Communication Network Tertiary control Power/Voltage Measurement Hi(s) Gi(s) + Ѱi=[Ei*, Qi*,Pi*] i-th Inverter Energy Source Ei ωi ω*i δωi* ( * *) i ij j i j N ca P P  − ( * *) i ij j i j N ba Q Q  −Qj* Pj* jE iE δEi 1 δEi 2 Ѱ=[E*,ω*] Ѱj=[Ej*, Qj*,Pj*] Ѱi=[Ei*,ωi*] Ei* Global Reference LCL Filter 0 *( ) * 2 sin( *( ) ) t i i iv t e d  =  Standalone mode (Distributed)
  • 54.
    Operational conditions forautonomous mode • Power flow should be zero if both AC and DC subgrids are under-loaded / over-loaded. • The power-flow should be from an under-loaded to over-loaded grid. • If demand increases in under-loaded grid, its power flow to overloaded grid should also be gradually reduced. 7/8/2018 54
  • 55.
    Network stability analysis •Modeling of inverters for the purpose of network stability analysis is a trending topic. • i. Grid forming mode: Main relevant operation mode in the context of network control and stability analysis. Hence a suitable model of a grid forming inverter represented by a controllable AC voltage source. ii. In grid connected mode, the ac side can be viewed as an infinite bus, therefore the deviation of the voltage amplitude and frequency can be ignored. In this case the bidirectional ac/dc converter only needs to regulate the DC bus voltage, In order to operate in unity power factor iq=0; controller needs to control only id to regulate the active power through the converter. 7/8/2018 55
  • 56.
    Plug-in for inclusionof Energy Storages • If energy storage are added to the IC for ride through purpose, a plug-in scheme for charging and discharging coordination must be added to the main scheme. Scenarios: • If one of the subgrids is capable of providing the charging power fully without requesting for energy transfer between the subgrids only the converter tied to that subgrid should operate. (either dc/dc or dc/ac).Converter of other subgrid is then not activated since it neither charges the storages nor transfers power between the subgrids. Operating losses of the inactive converter are therefore avoided leading to a higher overall efficiency. • A second scenario is possible whereby both subgrids are capable of individually charging the storages without triggering energy transfer between them. Some governing rules must therefore be defined for choosing the appropriate subgrid. The choice made here is to draw the charging power from the DC subgrid since operating DC/AC involves 6 switches. • The third scenario occurs when both subgrids cannot provide the demanded charging power fully. Operating any of them will trigger power transfer between the subgrids and hence causing both dc/dc and dc/ac converters to operate. • Since operating one converter only is not possible , charging power to the storages should be divided between the subgrids based on their remaining excess generation capacities. • Realizing the scenarios physically would require mathematical formulations, beginning with the determination of the appropriate amount of charging power. 7/8/2018 56
  • 57.
    Pulsed loads • Thepulsed loads draw high currents during a short period of time which can cause considerable voltage and frequency fluctuation. These disturbances can trip other normal loads offline, causing a serious outage. • System stability and coordination control of PECs during islanded operation modes within the influence of pulsed loads is still an open issue. • During the islanded mode, the ac side can no longer be viewed as an infinite bus that results in load variations adversely affecting the frequency and voltage of the system. • P and Q power flow should be balanced between the ac and dc sides to maintain stability on both sides of the grid. 7/8/2018 57
  • 58.
    Choice of droopgain • The virtual impedance ‘ZD’ is designed to be bigger than the output impedance of the (inverter+line) impedance. • This way the equivalent output impedance is dominated by the virtual impedance. Stability of droop controlled microgrids has traditionally been carried out by means of numerical and small signal analysis as well as extensive simulations and experimental studies, aimed at providing a range for the droop gains to guarantee system stability. • Most research on stability and power sharing of microgrids have focused on inverter based systems. • However from practical concerns and future approaches, networks of mixed generation structure including SGs , inverter interfaced DERs. • Analysis is restricted to 1st order inverter models • Stability of microgrids with meshed topologies and decentralized controlled units is an open area. 7/8/2018 58
  • 59.
    Channel capacity • Bandwidth=2*data-rate(bps) Hz • Greater the bandwidth , higher the data rate. • Achievable data rate is influenced more by the channel’s bandwidth and noise characteristics. 7/8/2018 59
  • 60.
    Cooperative control • VariablesI any other controller will adapt with respect to the values of its own controller. • Every MG has a dedicated secondary controller that are able to exchange information with its neighbors using communication infrastructure known as Networked Control Systems. • To make the level of awareness of an LC similar to that of CC, a consensus algorithm can be used. In its basic form, a consensus algo is a simple protocol installed within every LC which continuously adds up algebraic differences of variables of interest present in the LC and those present in LCs adjacent to it. It can be analytically proved that if the communication network is connected, all variables values will converge to a common average after a certain amount of time. • Dynamic consensus to optimize the global efficiency of droop controlled DC MGs. • Complexity of analytical performance--Assessment of convergence speed and stability margins in non ideal environments characterized by communication time delays and measurement errors. • The ability of consensus to share info. In such a manner has wider applicability than simple data averaging. • The topology of the graph Laplacian represents the communication network and it is also possible to design the weights of the respective matrix to control the convergence speed. • Objectives such as output current sharing, voltage restoration, global efficiency enhancement, SoC balancing, etc can be realized. 7/8/2018 60
  • 61.
    Stability analysis andstabilization methods for DC MGs • A typical cause of instability in DC MGs is impedance mismatch between lightly damped filters on the source side and tightly regulated power converters on the load side. • These converters are commonly referred to as the CPLs, that introduce a negative impedance characteristic in low frequency range that tends to oscillate with the output impedance of power supply filter. • Averaging and linearization is the most common approach for modeling and analysis of switching power converters in DC MGs. • The resulting small signal models are valid for frequencies of upto around half of the switching frequencies. However as the bandwidths of practical converters are typically in the range of one-tenth of the switching frequency, the method provides quite accurate analysis around the quiescent operating point. • Models of individual components are assembled into a full system model which is then typically broken down into two subsystems at an arbitrary point. • The impedance based approach has a key advantage when compared to classical stability analysis tools used in large power systems. It allows the definition of straightforward stability criteria fr every individual subsystem through convenient impedance specifications. • First specification was proposed by Middlebrook in 1976 and others followed it up in subsequent years that can largely simplify the dynamic analysis and design of DC MGs. 7/8/2018 61
  • 62.
    • The stabilityresults for impedance criteria rely heavily on the selection of the point in the system where it is broken into a load and source subsystem. Moreover the criteria provides only sufficient stability conditions and they implicitly assume unidirectional power flow which makes them inapplicable to systems where ESSs are used in the load side. Since only a minor loop gain is considered, the system should be well tuned before the application of a filter. In cases where these conditions are not met a full order state space approach can be used as an alternative. • The purpose of the line filter is to flatten the current drawn from the supply side and attenuate the high frequency variations at the input terminals of POL converter. • However the supply side filter brings in additional dynamics which might induce undesirable interactions with the POL converter. • Ideal voltage controllers however do not exist and only at frequencies well below the crossover frequency negative impedance/resistance is exhibited. • When going towards and above the crossover frequency, the gain of the voltage controller declines, causing the change of effective resistance from negative to positive. • Therefore it is important to obtain exact analytical expression for closed loop input impedance of POL converter in order to describe the dynamics of load subsystem and quantify its interaction with the supply side. 7/8/2018 62
  • 63.
    • Method forsteady state analysis and small-signal analysis. • The effect of input filter interactions with the converter rendering instability was shown with the help of frequency response. • Graph theory and its correlation to DC and AC microgrids. • Challenges with Energy Storage. 7/8/2018 63 Conclusion
  • 64.