Dr. Shivakumar B. N.
Assistant Professor
Department of Mathematics
CMR Institute of Technology
Bengaluru
Concepts Discussed
• Basic concepts- Trail, Sample space, Event, Types of
events; Definitions of probability;
• Addition and multiplication rules of probability;
Conditional probability;
• Baye’s theorem;
• Random variables;
• Expectation.
• Probability is the way of expressing knowledge of belief that an event
will occur on chance.
• Did You Know? Probability originated from the Latin word meaning
approval.
The word ‘probability’ or ‘chance’ is very commonly used in day-to-day
conversation and generally people have a vague idea about its meaning. For
example, we come across statements like “Probably it may rain today”; “The
chances of teams A and B winning a certain match are equal”; “Probably you are
right”. All these terms – possible, probably, likely, etc., convey the same sense,
i.e., the event is not certain to take place or, in other words, there is uncertainty
about happening of the event in question.
The theory of probability has its origin in the
games of chance related to gambling such as
throwing a die, tossing a coin, drawing cards
from a pack of cards, etc. Probability theory is
being applied in the solution of social,
economic, political, insurance industry, game,
and business problems.
Introduction
People use the term probability many
times each day. For example, physician
says that a patient has a 50-50 chance of
surviving a certain operation. Another
physician may say that she is 95%
certain that a patient has a particular
disease
Definition
If an event can occur in N mutually exclusive and equally
likely ways, and if m of these possess a trait, E, the
probability of the occurrence of E is read as
n
m
cases
likely
equally
of
number
Total
cases
favourable
of
Number
A
p =
=
)
(
For example, if a coin is tossed, there are two equally
likely results, a head or a tail, hence the probability of
a head is ½.
Similarly, if a die is thrown, the probability of
obtaining an even number is 3/6 or ½ since three of
the six equally possible results are even numbers.
Definition
Experiment ==> any planned process of data
collection. It consists of a number of trials
(replications) under the same condition.
Basic Definitions
Experiment:
Any activity that yields a result or an outcome is called an
experiment.
There are two types of experiment:
1. Deterministic Experiment. (or Non Random Experiment).
2. Non-deterministic Experiment (or Random Experiment).
Deterministic Experiment:
The experiment in which the outcome can be predicted in advance under essentially
homogeneous condition is known as deterministic experiment.
Example:
The pressure of a perfect gas is inversely proportional to its volume.
Non-deterministic Experiment:
The experiment in which the outcome cannot be predicted in advance is known as non-
deterministic experiment or Random Experiment.
Example:
The experiment of tossing a coin may result in either one of the two outcomes – ‘head’ and ‘tail’.
Sample space: collection of unique, non-overlapping possible
outcomes of a random circumstance.
Example:
i. In tossing of coins simultaneously the sample space is 𝑆 = 𝐻𝐻, 𝐻𝑇, 𝑇𝐻, 𝑇𝑇
ii. In rolling of a die experiment the sample space is 𝑆 = 1,2,3,4,5,6
Definition
Event: An event is a subset of the sample space, often written as A, B, C,
and so on
Examples:
i. In the rolling of a die experiment, the event of getting a even number is
𝐴 = 2,4,6
which is the subset of the sample space 𝑆 = 1,2,3,4,5,6
ii. In the tossing of two coins the event of getting heads only is
𝐴 = 𝐻𝐻 ,
which is the subset of the sample space 𝑆 = 𝐻𝐻, 𝐻𝑇, 𝑇𝐻, 𝑇𝑇
Note:
• An event which does not contain any outcome is a null event
(impossible event). For example in the rolling of a die experiment the
event of getting a ‘7’ is a null event.
• An event which has only one outcome is called an elementary event
or simple event.
• An event which has more than one outcomes of the sample space is
called a compound event.
Complement: sometimes, we want to know the probability that an event
will not happen, an event opposite to the event of interest is called a
complementary event.
If A is an event, its complement is The probability of the complement is AC
or A
Example: The complement of male event is the female
P(A) + P(AC) = 1
Definition
Objective of Probability:
Classical
• It is well known that the probability of flipping a fair
coin and getting a “tail” is 0.50.
• If a coin is flipped 10 times, is there a guarantee, that
exactly 5 tails will be observed
• If the coin is flipped 100 times? With 1000 flips?
• As the number of flips becomes larger, the proportion
of coin flips that result in tails approaches 0.50
n
m
cases
likely
equally
of
number
Total
cases
favourable
of
Number
A
p =
=
)
(
Example 1: Find the probability of ‘Tails’ in a toss of a fair coin
Solution:
The sample space for this experiment is 𝑆 = 𝐻, 𝑇
i.e., there are 𝑛 = 2, equally likely, mutually exclusive and exhaustive outcomes.
Let event A: toss results in ‘tails’
The number of outcomes favourable to thus event is 𝑚 = 1. Hence
n
m
cases
likely
equally
of
number
Total
cases
favourable
of
Number
A
p =
=
)
(
𝑃 𝐴 =
1
2
Example 2: A fair coins is tossed twice. What is the probability that the tosses result in
(a)Two heads
(b)At least one tail
Solution:
The sample space for this experiment is 𝑆 = 𝐻𝐻 , 𝑇𝐻 , 𝑇𝑇 , 𝐻𝑇
i.e., the total no. of outcomes is n=4
a) Let event A: both tosses result in heads
i.e., 𝐴 = 𝐻, 𝐻
The number of favourable outcomes to event A is m=1
b) Let event B: atleast one tail i.e., 𝐵 = 𝑇𝐻 , 𝐻𝑇 , 𝑇𝑇
The number of favourable outcomes to event B is m=3. Hence
𝑃 𝐵 =
3
4
Example 3: An unbiased die is rolled once. What is probability of getting
(a) An even number
(b) A number divisible by 3
(c) Number 3
(d) A number greater than 4?
Solution: The sample space of this experiment is 𝑆 = 1,2,3,4,5,6
i.e., there are 𝑛 = 6 equally likely, mutually exclusive and exhaustive
outcomes.
Let events A, B and C be defined as follows.
a) A: the roll results in an even number
i.e., 𝐴 = 2,4,6
i.e., there are 𝑚 = 3 favourable outcomes to event A.
Hence 𝑃 𝐴 =
𝑚
𝑛
=
3
6
=
1
2
b) B: the roll results in a number divisible by 3
i.e., there are 𝑚 = 2, favourable outcomes to the event B. Hence
𝑃 𝐵 =
𝑚
𝑛
=
2
6
=
1
3
c) C: the roll results in the number 3
i.e., 𝐶 = 3
i.e., there are 𝑚 = 1 favourable outcomes to the event C. Hence
𝑃 𝐶 =
𝑚
𝑛
=
1
6
d) D: the roll results in a number greater than 4
i.e., 𝐷 = 5,6
i.e., there are 𝑚 = 2, favourable outcomes to the event D. Hence,
𝑃 𝐷 =
𝑚
𝑛
=
2
6
=
1
3
Example 4: Two fair dice are rolled, what is the probability that
(a) Both the dice show the number 3
(b) The sum of the numbers obtained is 13
(c) The sum of the number is 12
(d) The sum of the number is 6 or 8
(e) The sum is less than 4
(f) The sum is divisible by 4
Solution: The sample space in this experiment is
𝑺 =
𝟏, 𝟏 𝟏, 𝟐 … … … 𝟏, 𝟔
𝟐, 𝟏 𝟐, 𝟐 … … … 𝟐, 𝟔
:
:
𝟔, 𝟏 𝟔, 𝟐 … … … 𝟔, 𝟔
The total number of equally likely, mutually exclusive, exhaustive outcomes is 𝑛 = 36
a) Let event A: both the dice show number 3
i.e., 𝐴 = 3,3 . The no. of outcomes favourable to event A is 𝑚 = 1. Hence
𝑃 𝐴 =
𝑚
𝑛
=
1
36
b) Let event B: the sum of the numbers obtaines is 13 i.e., 𝐵 = ∅
Since the maximum sum is 12 and obtaining the sum as 13 is impossible. Hence
𝑃 𝐵 = 0
Problems on drawing a card
Basic concept on drawing a card:
• In a pack or deck of 52 playing cards, they are divided into 4 suits of 13 cards
each i.e. spades ♠, hearts ♥, diamonds ♦, clubs ♣.
• Cards of Spades and clubs are black cards.
• Cards of hearts and diamonds are red cards.
• The card in each suit, are ace, king, queen, jack or knaves, 10, 9, 8, 7, 6, 5, 4, 3
and 2.
• King, Queen and Jack (or Knaves) are face cards. So, there are 12 face cards in
the deck of 52 playing cards.
Worked-out problems on Playing cards probability:
Example 5: A card is drawn from a well shuffled pack of 52 cards. Find the probability of:
(i) a jack
(ii) a king of red colour
(iii) a card of diamond
(iv) a king or a queen
(v) a non-face card
(vi) a black face card
(vii) a black card
(viii) a non-ace
(ix) non-face card of black colour
(x) neither a spade nor a jack
Solution:
In a playing card there are 52 cards.
Therefore the total number of possible outcomes = 52
(i) a jack
Number of favourable outcomes i.e. ‘a jack’ is 4 out of 52 cards.
Therefore, probability of getting ‘a jack’
𝑃 𝐴 =
Number of favorable outcomes
Total number of possible outcome
𝑃 𝐴 =
4
52
=
1
13
(i) a king of red colour
Number of favourable outcomes i.e. ‘a king of red colour’ is 2 out of 52 cards.
Therefore, probability of getting ‘a king of red colour’
𝑃 𝐴 =
Number of favorable outcomes
Total number of possible outcome
𝑃 𝐴 =
2
52
=
1
26
(iii) a card of diamond
Number of favourable outcomes i.e. ‘a card of diamond’ is 13 out of 52
cards.
Therefore, probability of getting ‘a card of diamond’
𝑃 𝐴 =
Number of favorable outcomes
Total number of possible outcome
𝑃 𝐴 =
13
52
=
1
4
(iv) a king or a queen
Total number of king is 4 out of 52 cards.
Total number of queen is 4 out of 52 cards
Number of favourable outcomes i.e. ‘a king or a queen’ is 4 + 4 = 8 out of 52 cards.
Therefore, probability of getting ‘a king or a queen’
𝑃 𝐴 =
Number of favorable outcomes
Total number of possible outcome
𝑃 𝐴 =
8
52
=
2
13
(v) a non-face card
Total number of face card out of 52 cards = 3 times 4 = 12
Total number of non-face card out of 52 cards = 52 - 12 = 40
Therefore, probability of getting ‘a non-face card’
𝑃 𝐴 =
Number of favorable outcomes
Total number of possible outcome
𝑃 𝐴 =
40
52
=
10
13
(vi) a black face card:
Cards of Spades and Clubs are black cards.
Number of face card in spades (king, queen and jack) = 3
Number of face card in clubs (king, queen and jack) = 3
Therefore, total number of black face card out of 52 cards = 3 + 3 = 6
Therefore, probability of getting ‘a black face card’
𝑃 𝐴 =
Number of favorable outcomes
Total number of possible outcome
𝑃 𝐴 =
6
52
=
3
26
(vii) a black card:
Cards of spades and clubs are black cards.
Number of spades = 13
Number of clubs = 13
Therefore, total number of black card out of 52 cards = 13 + 13 = 26
Therefore, probability of getting ‘a black card’
𝑃 𝐴 =
Number of favorable outcomes
Total number of possible outcome
𝑃 𝐴 =
26
52
=
1
2
(viii) a non-ace:
Number of ace cards in each of four suits namely spades, hearts, diamonds and clubs = 1
Therefore, total number of ace cards out of 52 cards = 4
Thus, total number of non-ace cards out of 52 cards = 52 – 4 = 48
Therefore, probability of getting ‘a non-ace’
𝑃 𝐴 =
Number of favorable outcomes
Total number of possible outcome
𝑃 𝐴 =
48
52
=
12
13
(ix) non-face card of black colour:
Cards of spades and clubs are black cards.
Number of spades = 13
Number of clubs = 13
Therefore, total number of black card out of 52 cards = 13 + 13 = 26
Number of face cards in each suits namely spades and clubs = 3 + 3 = 6
Therefore, total number of non-face card of black colour out of 52 cards = 26 - 6 = 20
Therefore, probability of getting ‘non-face card of black colour’
𝑃 𝐴 =
Number of favorable outcomes
Total number of possible outcome
𝑃 𝐴 =
20
52
=
5
13
(x) neither a spade nor a jack
Number of spades = 13
Total number of non-spades out of 52 cards = 52 - 13 = 39
Number of jack out of 52 cards = 4
Number of jack in each of three suits namely hearts, diamonds and clubs = 3
[Since, 1 jack is already included in the 13 spades so, here we will take number of jacks is 3]
Neither a spade nor a jack = 39 - 3 = 36
Therefore, probability of getting ‘neither a spade nor a jack’
𝑃 𝐴 =
Number of favorable outcomes
Total number of possible outcome
𝑃 𝐴 =
36
52
=
9
13
Example 6: Out of the 7642 babies born in a city in a year 3801 were female.
Find the probability that a new born baby is female
𝑃 𝑓𝑒𝑚𝑎𝑙𝑒 𝑏𝑎𝑏𝑦 =
𝑚
𝑛
3801
7642
= 0.4974
Example 7: Out of the 120 matches played between A and B, A has won 72.
What is the probability that the next match is won by A?
𝑃 𝐴 𝑤𝑖𝑛𝑠 𝑚𝑎𝑡𝑐ℎ =
𝑚
𝑛
72
120
= 0.6
Addition Rules
Additive Rule of Probabillity
Let A and B be any two events (subsets of sample space
S) with respective probabilities P(A) and P(B). Then the
probability of occurrence of atleast one of these two
events is
𝑷 𝑨 ∪ 𝑩 = 𝑷 𝑨 + 𝑷 𝑩 − 𝑷 𝑨 ∩ 𝑩
Here 𝑃 𝐴 ∩ 𝐵 is the probability of simultaneous
occurrence of A and B
Example 1: A class contains 20 boys and 40 girls of which half the boys and half the girls have a bicycle. Find the
probability that a student chosen at random is a boy or has a bicycle.
Solution:
Let event A: Student chosen in boy
Let event B: Student has a bicycle
We seek 𝑃 𝐴 ∪ 𝐵
Now
𝑃 𝐴 =
𝑁𝑜. 𝑜𝑓 𝑏𝑜𝑦𝑠 𝑖𝑛 𝑡ℎ𝑒 𝑐𝑙𝑎𝑠𝑠
𝑇𝑜𝑡𝑎𝑙 𝑛𝑜. 𝑜𝑓 𝑠𝑡𝑢𝑑𝑒𝑛𝑡𝑠 𝑖𝑛 𝑡ℎ𝑒 𝑐𝑙𝑎𝑠𝑠
=
20
20 + 40
=
1
3
𝑃 𝐴 =
𝑁𝑜. 𝑜𝑓 𝑤ℎ𝑜 ℎ𝑎𝑣𝑒 𝑏𝑖𝑐𝑦𝑐𝑙𝑒
𝑇𝑜𝑡𝑎𝑙 𝑛𝑜. 𝑜𝑓 𝑠𝑡𝑢𝑑𝑒𝑛𝑡𝑠 𝑖𝑛 𝑡ℎ𝑒 𝑐𝑙𝑎𝑠𝑠
=
30
20 + 40
=
1
2
𝑃 𝐴 ∩ 𝐵 = 𝑃 𝑠𝑡𝑢𝑑𝑒𝑛𝑡 𝑖𝑠 𝑎 𝑏𝑜𝑦 𝑎𝑛𝑑 ℎ𝑎𝑠 𝑎 𝑐𝑦𝑐𝑙𝑒
=
𝑁𝑜. 𝑜𝑓 𝑏𝑜𝑦𝑠 𝑖𝑛 𝑡ℎ𝑒 𝑐𝑙𝑎𝑠𝑠 𝑤ℎ𝑜 ℎ𝑎𝑣𝑒 𝑎 𝑏𝑖𝑐𝑦𝑐𝑙𝑒
𝑇𝑜𝑡𝑎𝑙 𝑛𝑜. 𝑜𝑓 𝑠𝑡𝑢𝑑𝑒𝑛𝑡𝑠 𝑖𝑛 𝑡ℎ𝑒 𝑐𝑙𝑎𝑠𝑠
=
10
60
=
1
6
Thus, by additive rule of probability 𝑷 𝑨 ∪ 𝑩 = 𝑷 𝑨 + 𝑷 𝑩 − 𝑷 𝑨 ∩ 𝑩
=
1
3
+
1
2
−
1
6
=
2
3
Example 2: The probability that Uma passes Mathematics is
𝟐
𝟓
and that she passes Statistics is
𝟒
𝟕
. If
the probability of passing both the courses is
𝟏
𝟒
. What is the probability that Uma will pass atleast
one of these course.
Solution:
Let event M: Uma passes in Mathematics and
Event S: Uma passes in Statisitcs
Given
𝑃 𝑀 =
3
5
𝑃 𝑆 =
4
7
𝑃 𝑀 ∩ 𝑆 =
1
4
𝑷 𝑴 ∪ 𝑺 = 𝑷 𝑴 + 𝑷 𝑺 − 𝑷 𝑴 ∩ 𝑺
=
3
5
+
4
7
−
1
4
=
129
140
Conditional Probability
The probability of an event B occurring when it is known that some event A has already occurred is called conditional
probability and is denoted by P(B/A) is read “the probability of B, given A”.
Example:
Let 𝑆 = 1,2,3,4,5,6
𝐵 = 2,4,6
𝐴 = 4,5,6
Clearly 𝑃 𝐵 =
3
6
=
1
2
𝐵/𝐴 = 4,6
𝑃 𝐵/𝐴 =
2
3
Definition: The conditional probability of B, given A is defined by
𝑃 𝐵/𝐴 =
𝑃 𝐴∩𝐵
𝑃 𝐴
if 𝑃 𝐴 > 0
Independent events
• Two events A and B are independent iff
𝑃 𝐵/𝐴 = 𝑃 𝐵 𝑎𝑛𝑑 𝑃 𝐴/𝐵 = 𝑃 𝐴
• Two events A and B are independent iff
𝑃 𝐴 ∩ 𝐵 = 𝑃 𝐴 . 𝑃 𝐵
Multiplication Rules of Probability
𝑷 𝑨 ∩ 𝑩 = 𝑷 𝑨 . 𝑷 𝑩/𝑨
Example 1: A card is drawn at random from a pack of cards.
(i) What is the probability that is a spade.
(ii) If it is known that the card drawn is black what is the probability that it is a spade.
Solution:
Let event A: card drawn is a spade
And event B: card drawn is black
(i) 𝑃 𝐴 =
13
52
=
1
4
(ii)𝑃 𝐵 =
26
52
=
1
2
and 𝑃 𝐴 ∩ 𝐵 =
13
52
=
1
4
Hence
𝑃 𝐴/𝐵 =
𝑃 𝐴 ∩ 𝐵
𝑃 𝐵
1/4
1/2
=
1
2
Example 2: A machine has two components A and B and it fails to work if either of the
component fails. The probability of components A failing is 0.2 and the probability of
component B failing is 0.1. Find the probability that the machine fails to work.
Solution:
Let event A: component A fails
And event B: component B fails
Given 𝑃 𝐴 = 0.2 ; 𝑃 𝐵 = 0.1
Now, 𝑃 𝑚𝑎𝑐ℎ𝑖𝑛𝑒 𝑓𝑎𝑖𝑙𝑠 = 𝑃 𝑐𝑜𝑚𝑝𝑜𝑛𝑒𝑛𝑡 𝐴 𝑓𝑎𝑖𝑙𝑠 𝑜𝑟 𝑐𝑜𝑚𝑝𝑜𝑛𝑒𝑛𝑡 𝐵 𝑓𝑎𝑖𝑙𝑠
= 𝑃 𝐴 ∪ 𝐵
We have
𝑷 𝑨 ∪ 𝑩 = 𝑷 𝑨 + 𝑷 𝑩 − 𝑷 𝑨 ∩ 𝑩
= 𝑷 𝑨 + 𝑷 𝑩 − 𝑷 𝑨 . 𝑷 𝑩
𝑆𝑖𝑛𝑐𝑒 𝐴 𝑎𝑛𝑑 𝐵 𝑎𝑟𝑒 𝑖𝑛𝑑𝑒𝑝𝑒𝑛𝑑𝑛𝑒𝑡 𝑒𝑣𝑒𝑛𝑡𝑠
= 0.2 + 0.1 − 0.2 0.1
= 0.28
Baye’s Theorem
Statement: Suppose events 𝐴1, 𝐴2, … 𝐴𝑛 from a
partition of a sample space S (i.e., the events 𝐴𝑖 are
mutually exclusive and their union is S). Now, let B any
other event. Then
𝑃 𝐴𝑖/𝐵 =
𝑃 𝐴𝑖 𝑃 𝐵/𝐴𝑖
σ𝑖=1
𝑛
𝑃 𝐴𝑖 𝑃 𝐵/𝐴𝑖
𝑓𝑜𝑟 𝑖 = 1,2, … , 𝑛
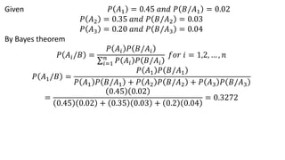
Example: Three machines A, B and C product respectively 45%, 35% and 20%
of the total number of items of a factor. The percentage of defective output of
these machines are 2%, 3% and 4%. Suppose an item is selected and found to
be defective, find the probability that the item was produced by machine A.
Solution:
Let events 𝐴1: item is produced by machine A
𝐴2: item is produced by machine B
𝐴3: item is produced by machine C
And event B: item is defective
Note that 𝐴1, 𝐴2𝑎𝑛𝑑 𝐴3 from a partition of S
We are to find 𝑃 𝐴1/𝐵
Given 𝑃 𝐴1 = 0.45 𝑎𝑛𝑑 𝑃 𝐵/𝐴1 = 0.02
𝑃 𝐴2 = 0.35 𝑎𝑛𝑑 𝑃 𝐵/𝐴2 = 0.03
𝑃 𝐴3 = 0.20 𝑎𝑛𝑑 𝑃 𝐵/𝐴3 = 0.04
By Bayes theorem
𝑃 𝐴𝑖/𝐵 =
𝑃 𝐴𝑖 𝑃 𝐵/𝐴𝑖
σ𝑖=1
𝑛
𝑃 𝐴𝑖 𝑃 𝐵/𝐴𝑖
𝑓𝑜𝑟 𝑖 = 1,2, … , 𝑛
𝑃 𝐴1/𝐵 =
𝑃 𝐴1 𝑃 𝐵/𝐴1
𝑃 𝐴1 𝑃 𝐵/𝐴1 + 𝑃 𝐴2 𝑃 𝐵/𝐴2 + 𝑃 𝐴3 𝑃 𝐵/𝐴3
=
0.45 0.02
0.45 0.02 + 0.35 0.03 + 0.2 0.04
= 0.3272
Probability.pdf

Probability.pdf

  • 1.
    Dr. Shivakumar B.N. Assistant Professor Department of Mathematics CMR Institute of Technology Bengaluru
  • 2.
    Concepts Discussed • Basicconcepts- Trail, Sample space, Event, Types of events; Definitions of probability; • Addition and multiplication rules of probability; Conditional probability; • Baye’s theorem; • Random variables; • Expectation.
  • 4.
    • Probability isthe way of expressing knowledge of belief that an event will occur on chance. • Did You Know? Probability originated from the Latin word meaning approval.
  • 5.
    The word ‘probability’or ‘chance’ is very commonly used in day-to-day conversation and generally people have a vague idea about its meaning. For example, we come across statements like “Probably it may rain today”; “The chances of teams A and B winning a certain match are equal”; “Probably you are right”. All these terms – possible, probably, likely, etc., convey the same sense, i.e., the event is not certain to take place or, in other words, there is uncertainty about happening of the event in question.
  • 6.
    The theory ofprobability has its origin in the games of chance related to gambling such as throwing a die, tossing a coin, drawing cards from a pack of cards, etc. Probability theory is being applied in the solution of social, economic, political, insurance industry, game, and business problems.
  • 7.
    Introduction People use theterm probability many times each day. For example, physician says that a patient has a 50-50 chance of surviving a certain operation. Another physician may say that she is 95% certain that a patient has a particular disease
  • 8.
    Definition If an eventcan occur in N mutually exclusive and equally likely ways, and if m of these possess a trait, E, the probability of the occurrence of E is read as n m cases likely equally of number Total cases favourable of Number A p = = ) (
  • 9.
    For example, ifa coin is tossed, there are two equally likely results, a head or a tail, hence the probability of a head is ½. Similarly, if a die is thrown, the probability of obtaining an even number is 3/6 or ½ since three of the six equally possible results are even numbers.
  • 10.
    Definition Experiment ==> anyplanned process of data collection. It consists of a number of trials (replications) under the same condition.
  • 11.
  • 12.
    Experiment: Any activity thatyields a result or an outcome is called an experiment. There are two types of experiment: 1. Deterministic Experiment. (or Non Random Experiment). 2. Non-deterministic Experiment (or Random Experiment).
  • 13.
    Deterministic Experiment: The experimentin which the outcome can be predicted in advance under essentially homogeneous condition is known as deterministic experiment. Example: The pressure of a perfect gas is inversely proportional to its volume. Non-deterministic Experiment: The experiment in which the outcome cannot be predicted in advance is known as non- deterministic experiment or Random Experiment. Example: The experiment of tossing a coin may result in either one of the two outcomes – ‘head’ and ‘tail’.
  • 14.
    Sample space: collectionof unique, non-overlapping possible outcomes of a random circumstance. Example: i. In tossing of coins simultaneously the sample space is 𝑆 = 𝐻𝐻, 𝐻𝑇, 𝑇𝐻, 𝑇𝑇 ii. In rolling of a die experiment the sample space is 𝑆 = 1,2,3,4,5,6 Definition
  • 15.
    Event: An eventis a subset of the sample space, often written as A, B, C, and so on Examples: i. In the rolling of a die experiment, the event of getting a even number is 𝐴 = 2,4,6 which is the subset of the sample space 𝑆 = 1,2,3,4,5,6 ii. In the tossing of two coins the event of getting heads only is 𝐴 = 𝐻𝐻 , which is the subset of the sample space 𝑆 = 𝐻𝐻, 𝐻𝑇, 𝑇𝐻, 𝑇𝑇
  • 16.
    Note: • An eventwhich does not contain any outcome is a null event (impossible event). For example in the rolling of a die experiment the event of getting a ‘7’ is a null event. • An event which has only one outcome is called an elementary event or simple event. • An event which has more than one outcomes of the sample space is called a compound event.
  • 17.
    Complement: sometimes, wewant to know the probability that an event will not happen, an event opposite to the event of interest is called a complementary event. If A is an event, its complement is The probability of the complement is AC or A Example: The complement of male event is the female P(A) + P(AC) = 1 Definition
  • 18.
    Objective of Probability: Classical •It is well known that the probability of flipping a fair coin and getting a “tail” is 0.50. • If a coin is flipped 10 times, is there a guarantee, that exactly 5 tails will be observed • If the coin is flipped 100 times? With 1000 flips? • As the number of flips becomes larger, the proportion of coin flips that result in tails approaches 0.50
  • 19.
  • 20.
    Example 1: Findthe probability of ‘Tails’ in a toss of a fair coin Solution: The sample space for this experiment is 𝑆 = 𝐻, 𝑇 i.e., there are 𝑛 = 2, equally likely, mutually exclusive and exhaustive outcomes. Let event A: toss results in ‘tails’ The number of outcomes favourable to thus event is 𝑚 = 1. Hence n m cases likely equally of number Total cases favourable of Number A p = = ) ( 𝑃 𝐴 = 1 2
  • 21.
    Example 2: Afair coins is tossed twice. What is the probability that the tosses result in (a)Two heads (b)At least one tail Solution: The sample space for this experiment is 𝑆 = 𝐻𝐻 , 𝑇𝐻 , 𝑇𝑇 , 𝐻𝑇 i.e., the total no. of outcomes is n=4 a) Let event A: both tosses result in heads i.e., 𝐴 = 𝐻, 𝐻 The number of favourable outcomes to event A is m=1 b) Let event B: atleast one tail i.e., 𝐵 = 𝑇𝐻 , 𝐻𝑇 , 𝑇𝑇 The number of favourable outcomes to event B is m=3. Hence 𝑃 𝐵 = 3 4
  • 22.
    Example 3: Anunbiased die is rolled once. What is probability of getting (a) An even number (b) A number divisible by 3 (c) Number 3 (d) A number greater than 4? Solution: The sample space of this experiment is 𝑆 = 1,2,3,4,5,6 i.e., there are 𝑛 = 6 equally likely, mutually exclusive and exhaustive outcomes. Let events A, B and C be defined as follows. a) A: the roll results in an even number i.e., 𝐴 = 2,4,6 i.e., there are 𝑚 = 3 favourable outcomes to event A. Hence 𝑃 𝐴 = 𝑚 𝑛 = 3 6 = 1 2 b) B: the roll results in a number divisible by 3 i.e., there are 𝑚 = 2, favourable outcomes to the event B. Hence 𝑃 𝐵 = 𝑚 𝑛 = 2 6 = 1 3
  • 23.
    c) C: theroll results in the number 3 i.e., 𝐶 = 3 i.e., there are 𝑚 = 1 favourable outcomes to the event C. Hence 𝑃 𝐶 = 𝑚 𝑛 = 1 6 d) D: the roll results in a number greater than 4 i.e., 𝐷 = 5,6 i.e., there are 𝑚 = 2, favourable outcomes to the event D. Hence, 𝑃 𝐷 = 𝑚 𝑛 = 2 6 = 1 3
  • 24.
    Example 4: Twofair dice are rolled, what is the probability that (a) Both the dice show the number 3 (b) The sum of the numbers obtained is 13 (c) The sum of the number is 12 (d) The sum of the number is 6 or 8 (e) The sum is less than 4 (f) The sum is divisible by 4 Solution: The sample space in this experiment is 𝑺 = 𝟏, 𝟏 𝟏, 𝟐 … … … 𝟏, 𝟔 𝟐, 𝟏 𝟐, 𝟐 … … … 𝟐, 𝟔 : : 𝟔, 𝟏 𝟔, 𝟐 … … … 𝟔, 𝟔 The total number of equally likely, mutually exclusive, exhaustive outcomes is 𝑛 = 36 a) Let event A: both the dice show number 3 i.e., 𝐴 = 3,3 . The no. of outcomes favourable to event A is 𝑚 = 1. Hence 𝑃 𝐴 = 𝑚 𝑛 = 1 36 b) Let event B: the sum of the numbers obtaines is 13 i.e., 𝐵 = ∅ Since the maximum sum is 12 and obtaining the sum as 13 is impossible. Hence 𝑃 𝐵 = 0
  • 25.
  • 26.
    Basic concept ondrawing a card: • In a pack or deck of 52 playing cards, they are divided into 4 suits of 13 cards each i.e. spades ♠, hearts ♥, diamonds ♦, clubs ♣. • Cards of Spades and clubs are black cards. • Cards of hearts and diamonds are red cards. • The card in each suit, are ace, king, queen, jack or knaves, 10, 9, 8, 7, 6, 5, 4, 3 and 2. • King, Queen and Jack (or Knaves) are face cards. So, there are 12 face cards in the deck of 52 playing cards.
  • 27.
    Worked-out problems onPlaying cards probability: Example 5: A card is drawn from a well shuffled pack of 52 cards. Find the probability of: (i) a jack (ii) a king of red colour (iii) a card of diamond (iv) a king or a queen (v) a non-face card (vi) a black face card (vii) a black card (viii) a non-ace (ix) non-face card of black colour (x) neither a spade nor a jack Solution: In a playing card there are 52 cards. Therefore the total number of possible outcomes = 52
  • 28.
    (i) a jack Numberof favourable outcomes i.e. ‘a jack’ is 4 out of 52 cards. Therefore, probability of getting ‘a jack’ 𝑃 𝐴 = Number of favorable outcomes Total number of possible outcome 𝑃 𝐴 = 4 52 = 1 13 (i) a king of red colour Number of favourable outcomes i.e. ‘a king of red colour’ is 2 out of 52 cards. Therefore, probability of getting ‘a king of red colour’ 𝑃 𝐴 = Number of favorable outcomes Total number of possible outcome 𝑃 𝐴 = 2 52 = 1 26
  • 29.
    (iii) a cardof diamond Number of favourable outcomes i.e. ‘a card of diamond’ is 13 out of 52 cards. Therefore, probability of getting ‘a card of diamond’ 𝑃 𝐴 = Number of favorable outcomes Total number of possible outcome 𝑃 𝐴 = 13 52 = 1 4 (iv) a king or a queen Total number of king is 4 out of 52 cards. Total number of queen is 4 out of 52 cards Number of favourable outcomes i.e. ‘a king or a queen’ is 4 + 4 = 8 out of 52 cards. Therefore, probability of getting ‘a king or a queen’ 𝑃 𝐴 = Number of favorable outcomes Total number of possible outcome 𝑃 𝐴 = 8 52 = 2 13
  • 30.
    (v) a non-facecard Total number of face card out of 52 cards = 3 times 4 = 12 Total number of non-face card out of 52 cards = 52 - 12 = 40 Therefore, probability of getting ‘a non-face card’ 𝑃 𝐴 = Number of favorable outcomes Total number of possible outcome 𝑃 𝐴 = 40 52 = 10 13 (vi) a black face card: Cards of Spades and Clubs are black cards. Number of face card in spades (king, queen and jack) = 3 Number of face card in clubs (king, queen and jack) = 3 Therefore, total number of black face card out of 52 cards = 3 + 3 = 6 Therefore, probability of getting ‘a black face card’ 𝑃 𝐴 = Number of favorable outcomes Total number of possible outcome 𝑃 𝐴 = 6 52 = 3 26
  • 31.
    (vii) a blackcard: Cards of spades and clubs are black cards. Number of spades = 13 Number of clubs = 13 Therefore, total number of black card out of 52 cards = 13 + 13 = 26 Therefore, probability of getting ‘a black card’ 𝑃 𝐴 = Number of favorable outcomes Total number of possible outcome 𝑃 𝐴 = 26 52 = 1 2 (viii) a non-ace: Number of ace cards in each of four suits namely spades, hearts, diamonds and clubs = 1 Therefore, total number of ace cards out of 52 cards = 4 Thus, total number of non-ace cards out of 52 cards = 52 – 4 = 48 Therefore, probability of getting ‘a non-ace’ 𝑃 𝐴 = Number of favorable outcomes Total number of possible outcome 𝑃 𝐴 = 48 52 = 12 13
  • 32.
    (ix) non-face cardof black colour: Cards of spades and clubs are black cards. Number of spades = 13 Number of clubs = 13 Therefore, total number of black card out of 52 cards = 13 + 13 = 26 Number of face cards in each suits namely spades and clubs = 3 + 3 = 6 Therefore, total number of non-face card of black colour out of 52 cards = 26 - 6 = 20 Therefore, probability of getting ‘non-face card of black colour’ 𝑃 𝐴 = Number of favorable outcomes Total number of possible outcome 𝑃 𝐴 = 20 52 = 5 13 (x) neither a spade nor a jack Number of spades = 13 Total number of non-spades out of 52 cards = 52 - 13 = 39 Number of jack out of 52 cards = 4 Number of jack in each of three suits namely hearts, diamonds and clubs = 3 [Since, 1 jack is already included in the 13 spades so, here we will take number of jacks is 3] Neither a spade nor a jack = 39 - 3 = 36 Therefore, probability of getting ‘neither a spade nor a jack’ 𝑃 𝐴 = Number of favorable outcomes Total number of possible outcome 𝑃 𝐴 = 36 52 = 9 13
  • 33.
    Example 6: Outof the 7642 babies born in a city in a year 3801 were female. Find the probability that a new born baby is female 𝑃 𝑓𝑒𝑚𝑎𝑙𝑒 𝑏𝑎𝑏𝑦 = 𝑚 𝑛 3801 7642 = 0.4974 Example 7: Out of the 120 matches played between A and B, A has won 72. What is the probability that the next match is won by A? 𝑃 𝐴 𝑤𝑖𝑛𝑠 𝑚𝑎𝑡𝑐ℎ = 𝑚 𝑛 72 120 = 0.6
  • 34.
  • 35.
    Additive Rule ofProbabillity Let A and B be any two events (subsets of sample space S) with respective probabilities P(A) and P(B). Then the probability of occurrence of atleast one of these two events is 𝑷 𝑨 ∪ 𝑩 = 𝑷 𝑨 + 𝑷 𝑩 − 𝑷 𝑨 ∩ 𝑩 Here 𝑃 𝐴 ∩ 𝐵 is the probability of simultaneous occurrence of A and B
  • 37.
    Example 1: Aclass contains 20 boys and 40 girls of which half the boys and half the girls have a bicycle. Find the probability that a student chosen at random is a boy or has a bicycle. Solution: Let event A: Student chosen in boy Let event B: Student has a bicycle We seek 𝑃 𝐴 ∪ 𝐵 Now 𝑃 𝐴 = 𝑁𝑜. 𝑜𝑓 𝑏𝑜𝑦𝑠 𝑖𝑛 𝑡ℎ𝑒 𝑐𝑙𝑎𝑠𝑠 𝑇𝑜𝑡𝑎𝑙 𝑛𝑜. 𝑜𝑓 𝑠𝑡𝑢𝑑𝑒𝑛𝑡𝑠 𝑖𝑛 𝑡ℎ𝑒 𝑐𝑙𝑎𝑠𝑠 = 20 20 + 40 = 1 3 𝑃 𝐴 = 𝑁𝑜. 𝑜𝑓 𝑤ℎ𝑜 ℎ𝑎𝑣𝑒 𝑏𝑖𝑐𝑦𝑐𝑙𝑒 𝑇𝑜𝑡𝑎𝑙 𝑛𝑜. 𝑜𝑓 𝑠𝑡𝑢𝑑𝑒𝑛𝑡𝑠 𝑖𝑛 𝑡ℎ𝑒 𝑐𝑙𝑎𝑠𝑠 = 30 20 + 40 = 1 2
  • 38.
    𝑃 𝐴 ∩𝐵 = 𝑃 𝑠𝑡𝑢𝑑𝑒𝑛𝑡 𝑖𝑠 𝑎 𝑏𝑜𝑦 𝑎𝑛𝑑 ℎ𝑎𝑠 𝑎 𝑐𝑦𝑐𝑙𝑒 = 𝑁𝑜. 𝑜𝑓 𝑏𝑜𝑦𝑠 𝑖𝑛 𝑡ℎ𝑒 𝑐𝑙𝑎𝑠𝑠 𝑤ℎ𝑜 ℎ𝑎𝑣𝑒 𝑎 𝑏𝑖𝑐𝑦𝑐𝑙𝑒 𝑇𝑜𝑡𝑎𝑙 𝑛𝑜. 𝑜𝑓 𝑠𝑡𝑢𝑑𝑒𝑛𝑡𝑠 𝑖𝑛 𝑡ℎ𝑒 𝑐𝑙𝑎𝑠𝑠 = 10 60 = 1 6 Thus, by additive rule of probability 𝑷 𝑨 ∪ 𝑩 = 𝑷 𝑨 + 𝑷 𝑩 − 𝑷 𝑨 ∩ 𝑩 = 1 3 + 1 2 − 1 6 = 2 3
  • 39.
    Example 2: Theprobability that Uma passes Mathematics is 𝟐 𝟓 and that she passes Statistics is 𝟒 𝟕 . If the probability of passing both the courses is 𝟏 𝟒 . What is the probability that Uma will pass atleast one of these course. Solution: Let event M: Uma passes in Mathematics and Event S: Uma passes in Statisitcs Given 𝑃 𝑀 = 3 5 𝑃 𝑆 = 4 7 𝑃 𝑀 ∩ 𝑆 = 1 4 𝑷 𝑴 ∪ 𝑺 = 𝑷 𝑴 + 𝑷 𝑺 − 𝑷 𝑴 ∩ 𝑺 = 3 5 + 4 7 − 1 4 = 129 140
  • 40.
    Conditional Probability The probabilityof an event B occurring when it is known that some event A has already occurred is called conditional probability and is denoted by P(B/A) is read “the probability of B, given A”. Example: Let 𝑆 = 1,2,3,4,5,6 𝐵 = 2,4,6 𝐴 = 4,5,6 Clearly 𝑃 𝐵 = 3 6 = 1 2 𝐵/𝐴 = 4,6 𝑃 𝐵/𝐴 = 2 3 Definition: The conditional probability of B, given A is defined by 𝑃 𝐵/𝐴 = 𝑃 𝐴∩𝐵 𝑃 𝐴 if 𝑃 𝐴 > 0
  • 41.
    Independent events • Twoevents A and B are independent iff 𝑃 𝐵/𝐴 = 𝑃 𝐵 𝑎𝑛𝑑 𝑃 𝐴/𝐵 = 𝑃 𝐴 • Two events A and B are independent iff 𝑃 𝐴 ∩ 𝐵 = 𝑃 𝐴 . 𝑃 𝐵 Multiplication Rules of Probability 𝑷 𝑨 ∩ 𝑩 = 𝑷 𝑨 . 𝑷 𝑩/𝑨
  • 42.
    Example 1: Acard is drawn at random from a pack of cards. (i) What is the probability that is a spade. (ii) If it is known that the card drawn is black what is the probability that it is a spade. Solution: Let event A: card drawn is a spade And event B: card drawn is black (i) 𝑃 𝐴 = 13 52 = 1 4 (ii)𝑃 𝐵 = 26 52 = 1 2 and 𝑃 𝐴 ∩ 𝐵 = 13 52 = 1 4 Hence 𝑃 𝐴/𝐵 = 𝑃 𝐴 ∩ 𝐵 𝑃 𝐵 1/4 1/2 = 1 2
  • 43.
    Example 2: Amachine has two components A and B and it fails to work if either of the component fails. The probability of components A failing is 0.2 and the probability of component B failing is 0.1. Find the probability that the machine fails to work. Solution: Let event A: component A fails And event B: component B fails Given 𝑃 𝐴 = 0.2 ; 𝑃 𝐵 = 0.1 Now, 𝑃 𝑚𝑎𝑐ℎ𝑖𝑛𝑒 𝑓𝑎𝑖𝑙𝑠 = 𝑃 𝑐𝑜𝑚𝑝𝑜𝑛𝑒𝑛𝑡 𝐴 𝑓𝑎𝑖𝑙𝑠 𝑜𝑟 𝑐𝑜𝑚𝑝𝑜𝑛𝑒𝑛𝑡 𝐵 𝑓𝑎𝑖𝑙𝑠 = 𝑃 𝐴 ∪ 𝐵 We have 𝑷 𝑨 ∪ 𝑩 = 𝑷 𝑨 + 𝑷 𝑩 − 𝑷 𝑨 ∩ 𝑩 = 𝑷 𝑨 + 𝑷 𝑩 − 𝑷 𝑨 . 𝑷 𝑩 𝑆𝑖𝑛𝑐𝑒 𝐴 𝑎𝑛𝑑 𝐵 𝑎𝑟𝑒 𝑖𝑛𝑑𝑒𝑝𝑒𝑛𝑑𝑛𝑒𝑡 𝑒𝑣𝑒𝑛𝑡𝑠 = 0.2 + 0.1 − 0.2 0.1 = 0.28
  • 44.
    Baye’s Theorem Statement: Supposeevents 𝐴1, 𝐴2, … 𝐴𝑛 from a partition of a sample space S (i.e., the events 𝐴𝑖 are mutually exclusive and their union is S). Now, let B any other event. Then 𝑃 𝐴𝑖/𝐵 = 𝑃 𝐴𝑖 𝑃 𝐵/𝐴𝑖 σ𝑖=1 𝑛 𝑃 𝐴𝑖 𝑃 𝐵/𝐴𝑖 𝑓𝑜𝑟 𝑖 = 1,2, … , 𝑛
  • 45.
    Example: Three machinesA, B and C product respectively 45%, 35% and 20% of the total number of items of a factor. The percentage of defective output of these machines are 2%, 3% and 4%. Suppose an item is selected and found to be defective, find the probability that the item was produced by machine A. Solution: Let events 𝐴1: item is produced by machine A 𝐴2: item is produced by machine B 𝐴3: item is produced by machine C And event B: item is defective Note that 𝐴1, 𝐴2𝑎𝑛𝑑 𝐴3 from a partition of S We are to find 𝑃 𝐴1/𝐵
  • 46.
    Given 𝑃 𝐴1= 0.45 𝑎𝑛𝑑 𝑃 𝐵/𝐴1 = 0.02 𝑃 𝐴2 = 0.35 𝑎𝑛𝑑 𝑃 𝐵/𝐴2 = 0.03 𝑃 𝐴3 = 0.20 𝑎𝑛𝑑 𝑃 𝐵/𝐴3 = 0.04 By Bayes theorem 𝑃 𝐴𝑖/𝐵 = 𝑃 𝐴𝑖 𝑃 𝐵/𝐴𝑖 σ𝑖=1 𝑛 𝑃 𝐴𝑖 𝑃 𝐵/𝐴𝑖 𝑓𝑜𝑟 𝑖 = 1,2, … , 𝑛 𝑃 𝐴1/𝐵 = 𝑃 𝐴1 𝑃 𝐵/𝐴1 𝑃 𝐴1 𝑃 𝐵/𝐴1 + 𝑃 𝐴2 𝑃 𝐵/𝐴2 + 𝑃 𝐴3 𝑃 𝐵/𝐴3 = 0.45 0.02 0.45 0.02 + 0.35 0.03 + 0.2 0.04 = 0.3272