Polymers 
V.S.SARAVANA MANI 
HEAD AND ASSOCIATE PROFESSOR, 
DEPARTMENT OF CHEMISTRY 
ANNAPOORANA ENGINEERING COLLEGE, SALEM
Introduction 
 Polymers (derived from the Greek words, poly or many and 
mer means units or parts) are 
 macro molecules formed by the combination of a large number of small 
molecules known as monomers. Polymers can be classified as plastics (resins), 
elastomers (rubber) and fibres (nylon, terylene) 
 The properties of polymer depend on their molecular configuration, the degree of 
polymerization, branching and cross linking. 
2 
V.S.Saravana Mani, Head& Asso.Prof, Dept. of Chemistry.
Definition 
3 
 Polymers are high molecular weight compounds whose structures are 
composed of a large number of simple repeating units. The repeating units 
are usually obtained from low molecular weight simple compounds referred 
to as monomers. 
V.S.Saravana Mani, Head& Asso.Prof, Dept. of Chemistry.
Monomer 
Monomer is a micromolecule (smaller molecule) which combines with each other 
to form a polymer. 
Eg. 
Ethylene, vinyl chloride, styrene, butadiene, acrylonitrile etc., 
4 
V.S.Saravana Mani, Head& Asso.Prof, Dept. of Chemistry.
Classification of Polymers 
(Based on Source) 
5 
Natural polymers: These polymers are found in plants and animals. Examples are proteins, 
cellulose, starch, resins and rubber. 
Semi-synthetic polymers: Cellulose derivatives as cellulose acetate (rayon) and cellulose nitrate, 
etc. are the usual examples of this sub category. 
Synthetic polymers: A variety of synthetic polymers as plastic (polythene), synthetic fibres (nylon 
6,6) and synthetic rubbers (Buna - S) are examples of manmade polymers extensively used in daily 
life as well as in industry. 
V.S.Saravana Mani, Head& Asso.Prof, Dept. of Chemistry.
Classification of Polymers 
(Based on Structure) 
Linear polymers 
6 
These polymers consist of long and straight chains. The examples are high density 
polythene, polyvinyl chloride, etc. These are represented as: 
V.S.Saravana Mani, Head& Asso.Prof, Dept. of Chemistry.
Branched chain polymers 
These polymers contain linear chains having some branches, e.g., low density polythene. 
These are depicted as follows: 
7 
V.S.Saravana Mani, Head& Asso.Prof, Dept. of Chemistry.
Cross linked or Network polymers 
8 
These are usually formed from bi-functional and tri-functional monomers and contain strong 
covalent bonds between various linear polymer chains, e.g. bakelite, melamine, etc. These 
polymers are depicted as follows: 
V.S.Saravana Mani, Head& Asso.Prof, Dept. of Chemistry.
Polymerization 
9 
 Polymerization is a process in which large number of small molecules (called 
monomers) combine to form a big molecule (called a polymer) with or without 
elimination of small molecules like H2O, CH3OH etc., 
V.S.Saravana Mani, Head& Asso.Prof, Dept. of Chemistry.
Degree of polymerization 
The Degree of polymerization (n or N) is defined as 
10 
the number of monomeric units in a macromolecule or polymer or oligomer 
molecule. (Because in reality polymers consists of chains of different length, 
the average value is used.) 
V.S.Saravana Mani, Head& Asso.Prof, Dept. of Chemistry.
Types of polymerization: 
There are three types of polymerization processes: 
 Addition polymerization (or) chain growth polymerization 
 Condensation polymerization (or) stepwise polymerization 
 Copolymerization 
11 
V.S.Saravana Mani, Head& Asso.Prof, Dept. of Chemistry.
Addition polymerization (or) 
chain growth polymerization 
12 
An addition polymer is a polymer which is formed by an addition reaction, where 
many monomers bond together via rearrangement of bonds without the loss of any 
atom or molecule. 
V.S.Saravana Mani, Head& Asso.Prof, Dept. of Chemistry.
Some Common Addition Polymers 
13
Condensation polymerization (or) 
stepwise polymerization 
Condensation polymers are any kind of polymers formed through a condensation 
reaction--where molecules join together--losing small molecules as by-products 
such as water or methanol, as opposed to addition polymers which involve the 
reaction of unsaturated monomers. 
(CH2 ) 
+ HOOC ( ) COOH 
H2N NH2 CH2 
6 
(NH CH2 NH CO 
( ) ( CH2 ) 
CO ) 
6 4 n 4 
+ H2O 
14
Some Condensation Polymers
Copolymerization 
16 
Copolymerization is defined as the process of combining two polymers that are 
different 
V.S.Saravana Mani, Head& Asso.Prof, Dept. of Chemistry.
COPOLYMERS 
Polymers which are formed by combining two different 
monomers in alternating fashion are called copolymers. 
A + B + A + B A B A B 
butadiene 
styrene 
styrene-butadiene 
rubber (SBR) 
V.S.Saravana Mani, Head& Asso.Prof, Dept. of Chemistry. 
17
S. 
No. 
Addition / 
chain polymerization 
Condensation / 
step polymerization 
1 The monomer must have at least one multiple 
bond. Examples: 
Ethylene: CH2 = CH2, Acetylene 
The monomer must have at least two 
identical (or) different functional 
groups. Glycol, Nylon(6,6) 
2 Monomers add on to give a polymer and no other 
byproduct is formed. 
Monomers condense to give a polymer and by 
products such as H2O, CH3OH are formed. 
3 Number of monomeric units decreases steadily 
throughout the reaction. 
Monomers disappear at the early stage of reaction. 
4 Molecular weight of the polymer is an integral 
multiple of molecular weight of monomer. 
Molecular weight of the polymer need not be an 
integral multiple of monomer. 
5 High molecular weight polymer 
is formed at once. 
Molecular weight of the polymer rises 
steadily throughout the reaction. 
6 Longer reaction times give higher yield, but have 
a little effect on molecular weight. 
Longer reaction times are essential to 
obtain high molecular weight. 
7 Thermoplastics are produced. 
Example: Polyethylene, PVC 
etc., 
Thermosetting plastics are produced. 
Example: Bakelite, urea-formaldehyde 
8 Homo-chain polymer is obtained Hetero-chain polymer is obtained. 
18 
V.S.Saravana Mani, Head& Asso.Prof, Dept. of Chemistry.
S. No. Thermoplastic Resins Thermosetting Resins 
1. 
They are formed by addition 
polymerisation. 
They are formed by 
condensation polymerisation. 
2. They consist of linear long chain polymers. 
19 
They consist of three dimensional network 
structure. 
3. 
All the polymer chains are held together by 
weak vanderwaals forces. 
All the polymer chains are linked by strong 
covalent bonds. 
4. They are weak, soft and less brittle. They are strong, hard and more brittle. 
5. 
They soften on heating and harden on 
cooling. 
They do not soften on heating. 
6. They can be remoulded. They cannot be remoulded. 
7. They have low molecular weights. They have high molecular weights. 
8 They are soluble in organic solvents. They are insoluble in organic solvents.
V.S.Saravana Mani, Head& Asso.Prof, Dept. of Chemistry. 
20 
PREPARATION OF ADDITION POLYMERS 
FREE RADICAL MECHANISM
21 
V.S.Saravana Mani, Head& Asso.Prof, Dept. of Chemistry.
22 
V.S.Saravana Mani, Head& Asso.Prof, Dept. of Chemistry.
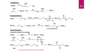
23 
V.S.Saravana Mani, Head& Asso.Prof, Dept. of Chemistry.
V.S.Saravana Mani, Head& Asso.Prof, Dept. of Chemistry. 
24 
PREPARATION OF ADDITION POLYMERS 
CATIONIC MECHANISM
C C 
C C 
+ 
POLYMERIZATION 
+ 
H2O 
H2SO4 
C C 
H 
OSO3H 
C C 
H 
conc. 0o C 
conc. OSO3H 
C CH2 
(CH2CH2)n 
H 
Polymerization 
C C + H2SO4 
concentrated, 
smaller amount, 
not cold 
polymer 
A cationic polymerization catalyst (Ziegler Catalyst) 
can be used instead of H2SO4. 
V.S.Saravana Mani, Head& Asso.Prof, Dept. of Chemistry. 
25
CATIONIC MECHANISM 
Catalyst 
+ 
H2SO4 or 
cationic 
catalyst 
R 
+ 
R 
+ etc. 
Polystyrene 
styrene could be as simple 
as a proton from 
sulfuric acid 
resonance 
stabilized 
(+) (+) 
(+) 
Catalyst 
+ 
(Markovnikoff) 
V.S.Saravana Mani, Head& Asso.Prof, Dept. of Chemistry. 
26
POLYSTYRENE 
n 
repeating 
unit 
R 
V.S.Saravana Mani, Head& Asso.Prof, Dept. of Chemistry. 
27
V.S.Saravana Mani, Head& Asso.Prof, Dept. of Chemistry. 
28 
PREPARATION OF ADDITION POLYMERS 
ANIONIC MECHANISM
Anionic Polymerization 
General Scheme 
B-Z + CH2=CHX B-CH2-CH- Z+ 
X 
Initiation: 
Propagation: 
M- Z+ + M MM- Z+ 
Termination: 
M- Z+ + HT MH + ZT 
V.S.Saravana Mani, Head& Asso.Prof, Dept. of Chemistry. 
29
Styrene Polymerization 
CH CH Li 3CH2 
CH3 
CH2 CH CH CH 3CH2 
CH3 
CH2 CH Li 
CH2 CH Li CH2 CH CH2 CH CH2 
CH Li 
CH2 CH Li H OH CH2 CH2 Li OH 
Initiation: 
Propagation: 
Termination: 
+ 
+ 
+ + 
V.S.Saravana Mani, Head& Asso.Prof, Dept. of Chemistry. 
30
V.S.Saravana Mani, Head& Asso.Prof, Dept. of Chemistry. 
31
Properties of Polymers 
 The glass transition temperature 
 Tacticity 
 Molecular Weight 
32 
V.S.Saravana Mani, Head& Asso.Prof, Dept. of Chemistry.
The glass transition temperature 
33 
 The glass transition temperature is the temperature at which an 
amorphous solid becomes soft upon heating or brittle upon cooling. 
The glass transition temperature is lower than the melting point of 
its crystalline form, if it has one. 
V.S.Saravana Mani, Head& Asso.Prof, Dept. of Chemistry.
“ 
” 
Tacticity 
V.S.Saravana Mani, Head& Asso.Prof, Dept. of Chemistry. 
34
Polyolefins with side chains have stereocenters on every other carbon 
Polymer Microstructure 
CH3 
n 
CH3 CH3 CH3 CH3 CH3 CH3 CH3 
With so many stereocenters, the stereochemistry can be complex. There are three main 
stereochemical classifications for polymers. 
Atactic: random orientation 
Isotactic: All stereocenters have same orientation 
Syndiotactic: Alternating stereochemistry 
35 
V.S.Saravana Mani, Head& Asso.Prof, Dept. of Chemistry.
STEREOISOMERIC POLYPROPYLENE POLYMERS 
CH3 CH3 CH3 CH3 CH3 CH3 
ISOTACTIC all methyl groups on the same side 
H CH3 H CH3 H CH3 
SYNDIOTACTIC methyl groups alternate sides 
ATACTIC methyl groups randomly oreinted 
stereoregular 
polymers 
not regular 
C 
C 
C 
C 
C 
C 
C 
C 
C 
C 
C 
C 
H H H H H H 
H H H H H H H H H H H H 
C 
C 
C 
C 
C 
C 
C 
C 
C 
C 
C 
C 
CH3 H CH3 H CH3 H 
H H H H H H H H H H H H 
36
Tacticity – stereoregularity of chain 
H 
C C 
H 
H 
H 
C C 
H 
R H 
R 
H 
C C 
H 
R 
H 
H 
C C 
H 
R 
H 
H 
C C 
H 
H 
R 
R H 
R 
C C 
H 
H 
R 
H 
C C 
H 
H 
C C 
H 
H 
H 
H 
C C 
H 
H 
H 
C C 
H 
R H 
R 
R 
C C 
H 
H 
H 
H 
C C 
H 
R 
H 
isotactic – all R groups on 
same side of chain 
syndiotactic – R groups 
alternate sides 
atactic – R groups random 
V.S.Saravana Mani, Head& Asso.Prof, Dept. of Chemistry. 
37
Molecular weight: a few definitions 
Synthetic polymers are polydisperse, i.e. a given polymer sample exhibits 
Mi 
wi 
Mi molecular weight of the ith polymer chain 
Ni number of polymer chains with molecular weight Mi 
wi weight fraction of polymer chains with molecular weight Mi 
 
 
M N 
 
i 
i 
i 
i i 
__ 
n N 
M 
Mn number average molecular weight 
 
 
N M 
 
i 
i i 
i 
i i 
w N M 
M 
2 
__ 
Mw weight average molecular weight 
 
 
M 2 
 
i 
N M 
i i 
i 
i i 
z 
N M 
3 
__ 
Mz or Z-average molecular weight 
Mn 
Mw 
Mz 
Ð = Mw /Mn 
푷푫푰 = 
푴풘 
푴풏 
dispersity (1 – 10) 
  
  
 
1 
2 
1 
__ 
 
 
 
 
 
 
 
 
 
 
 
N M 
 
i 
i i 
i 
i i 
N M 
M M  viscosity average molecular weight 
(0 <  < 1) 
distribution of molecular weights 
38
Number Average Molecular Weight (Mn) 
39 
The weight of polymer divided by the number of polymer molecules. This 
average molecular weight follows the conventional definition for the mean 
value of any statistical quantity. In polymer science, it is called the number 
average molecular weight (Mn). The total weight of the molecules present 
divided by the total number of molecules. 
V.S.Saravana Mani, Head& Asso.Prof, Dept. of Chemistry.
Weight Average Molecular Weight (Mw) 
40 
The probability factor in a weight-average considers the mass of the molecules so 
that the heavier molecules of the polymer segment are more important. Consider of 
polymer property which depends not just on the number of polymer molecules but 
on the size or weight of each polymer molecule. 
Mw > Mn 
V.S.Saravana Mani, Head& Asso.Prof, Dept. of Chemistry.
41 
MOLECULAR WEIGHT DISTRIBUTION 
M x M 
  
n i i 
M w M 
  
w i i 
__ 
Mn = the number average molecular weight (mass) 
Mi = mean (middle) molecular weight of size range i 
xi = number fraction of chains in size range i 
wi = weight fraction of chains in size range i
Molecular weight: characterization techniques 
Mn  techniques related to colligative properties (dependence on the number of molecules) 
 membrane osmometry (> 25 000 g/mol) 
 vapor pressure osmometry (< 25 000 g/mol) 
 mass spectrometry 
 electrospray ionization mass spectrometry (ESI-MS) 
 matrix-assisted laser desorption/ionization (MALDI) 
 size exclusion chromatography 
Mw 
 static laser light scattering 
 analytical ultracentrifuge 
 size exclusion chromatography 
Mz 
 static laser light scattering 
 analytical ultracentrifuge 
 size exclusion chromatography 
M 
 viscometry 
 size exclusion chromatography 
Mi 
wi 
Mn 
Mw 
Mz 
V.S.Saravana Mani, Head& Asso.Prof, Dept. of Chemistry. 
42
Polydispersity Ratio or Index: 
Mw/Mn is a measure of polydispersity; it is 2.0 for condensation polymers. 
For a polymer mixture which is heterogeneous with respect to molecular weight 
distributions, Mz> Mz >Mn with decrease in heterogeneity the various molecular 
weights will converge, Finally, Mz = Mz =Mn Criterion for homogeneous polymer 
mixtures. 
푃퐷퐼 = 
푀푤 
푀푛 
≥ 1 
43 
V.S.Saravana Mani, Head& Asso.Prof, Dept. of Chemistry.
Nylon (6,6) 
 Nylon comes from a family of synthetic polymers known as polyamide. It was first 
introduced by Wallace Carothers on 28th February 1935. Nylon 6,6 is a polyamide made by 
poly-condensation of adipic acid methylenediamine , and contains a total of 12 carbon 
atoms in each repeating unit . The properties which make Polyamides suitable for plastic 
applications are resistance to toughness, thermal stability, good appearance, resistance to 
chemicals etc 
44 
V.S.Saravana Mani, Head& Asso.Prof, Dept. of Chemistry.
Chemical 
structure: 
Nylon 6,6 o PA-66 
Hexamethylene diamine + Adipic acid 
(CH2 ) 
+ HOOC ( ) COOH 
H2N NH2 CH2 
6 
(NH CH2 NH CO 
( ) ( CH2 ) 
CO ) 
6 4 n 4 
+ H2O 
45 
V.S.Saravana Mani, Head& Asso.Prof, Dept. of Chemistry.
Properties 
 Nylon 6,6 peruses excellent abrasion resistance and a high melting point . 
 Nylon 6,6 has high tensile strength and exhibits only half of shrinkage in steam . 
 It also provides a very good resistance to photo degradation. 
 Nylon 6,6 also has good advantage over industrial products because it reduces moisture 
sensitivity in raw products and has a high dimensional stability and melting point . 
46 
V.S.Saravana Mani, Head& Asso.Prof, Dept. of Chemistry.
 Nylon 6,6 has a repeat unit with molecular weight of is 226.32 g/mol and crystalline density of 1.24 
g/(cm)^3 . 
 Nylon 6,6 has long molecular chains resulting in more hydrogen bonds , creating chemical springs and 
making it very resilient . 
 Nylon 6,6 is an amorphous solid so it has a large elastic property and is slightly soluble in boiling water . 
 Nylon 6,6 is very stable in nature. 
 Nylon 6,6 is very difficult to dye but once it is dyed it has a high colorfastness and is less susceptible to 
fading . 
 Its chemical properties does not allow it to be affected by solvents such as water , alcohol etc . 
47 
V.S.Saravana Mani, Head& Asso.Prof, Dept. of Chemistry.
Applications 
 Nylon is a light material , it is used in parachutes . 
 Nylon 6,6 is waterproof in nature so it is also used to make swimwear. 
48 
 Nylon 6,6 having a high melting point make it more resistant to heat and friction so it is suitable to 
be used in in airports , offices and other places which are more liable to wear and tear . 
 Nylon 6,6 being waterproof in nature is used to make machine parts. It is also used in the following 
like airbags , carpets , ropes . hoses etc . Hence Nylon 6 6 is a very useful creation by mankind . 
V.S.Saravana Mani, Head& Asso.Prof, Dept. of Chemistry.
Epoxy Resin 
49 
V.S.Saravana Mani, Head& Asso.Prof, Dept. of Chemistry.
Properties 
 High chemical resistance to water, acids, alkalis, solvents and other 
chemicals 
 Flexible, tough and possess very good heat resisting property 
 Excellent adhesion quality 
50 
V.S.Saravana Mani, Head& Asso.Prof, Dept. of Chemistry.
Uses 
 Surface coatings (provide a hard, durable and rustproof surface) 
o Paint for ships and other marine uses 
o Primers for cars 
o Steel pipes 
Electrical insulation materials (to prevent conduction of electricity) 
o Enclosing transformers, condensers, capacitors and other electrical components 
51 
Adhesives and glues 
Widely used across many industries for its strong bonding properties, e.g. aircraft, flooring, road 
and bridge surfacing, concrete bonding, automobile manufacturers 
V.S.Saravana Mani, Head& Asso.Prof, Dept. of Chemistry.
 Epoxies are used in paint industry as it dries quickly and provides protective layers that are highly 
52 
tough 
 Epoxies are used as structural or engineering adhesives used in the construction of aircrafts, 
automobiles, boats and other such applications 
 These are an integral part of the electronic industry and used in over-molding transistors, integrated 
circuits, PCB’s, and hybrid circuits 
 As an imperative part of aerospace industry, epoxies are used as structural matrix material 
 In a highly technical application, epoxy resin is used for embedding samples for their use under 
electron microscope 
 Not limited just to technical applications, artists have also used epoxies as a painting medium by 
mixing it with pigments to obtain colors 
 As brilliant composites, epoxies are used in the manufacturing of various casts and molds laminates, 
plastic toolings, and similar other fixture V.S.Saravana Mani, Head& Asso.Prof, Dept. of Chemistry.
Bulk polymerization 
53 
 Bulk polymerization or mass polymerization is carried out by adding a soluble initiator to pure 
monomer in liquid state. The initiator should dissolve in the monomer. The reaction is initiated by 
heating or exposing to radiation. As the reaction proceeds the mixture becomes more viscous. The 
reaction is exothermic and a wide range of molecular masses are produced. 
 Bulk polymerization is carried out in the absence of any solvent or dispersant and is thus the simplest in 
terms of formulation. It is used for most step-growth polymers and many types of chain-growth 
polymers. In the case of chain-growth reactions, which are generally exothermic, the heat evolved may 
cause the reaction to become too vigorous and difficult to control unless efficient cooling... 
V.S.Saravana Mani, Head& Asso.Prof, Dept. of Chemistry.
Bulk polymerization 
 The simplest method of polymerization where the reaction mixture contains 
only the monomer and a monomer soluble initiator. 
 Example 
 PMMA 
54
55 
V.S.Saravana Mani, Head& Asso.Prof, Dept. of Chemistry.
56
57
Advantages 
 The system is simple and requires thermal insulation. 
 The polymer obtained is pure. 
 Large castings may be prepared directly. 
 Molecular weight distribution can be easily changed with the use of a chain transfer agent. 
 The product obtained has high optical clarity 
 High rates of polymerization 
 High degree of polymerization 
 High purity of product 
 High molar mass polymer are produce 
58 
V.S.Saravana Mani, Head& Asso.Prof, Dept. of Chemistry.
Disadvantages 
 Heat transfer and mixing become difficult as the viscosity of reaction mass increases. 
 The problem of heat transfer is compounded by the highly exothermic nature of free radical addition 
polymerization. 
 The polymerization is obtained with a broad molecular weight distribution due to the high viscosity 
and lack of good heat transfer. 
 Very low molecular weights are obtained. 
 Increase in the reaction viscosity with conversion. 
 *difficulty in removing heat. 
 *auto-acceleration 
 *if the polymer formed is insoluble in the monomer (such as acrylonitrile, vinyl chloride) ==> 
precipitating of the polymer and we can not apply the kinetics. 
59
Solution polymerization 
60 
 Solution polymerization is a method of industrial polymerization. In this procedure, a monomer is 
dissolved in a non-reactive solvent that contains a catalyst. 
 The reaction results in a polymer which is also soluble in the chosen solvent. Heat released by the 
reaction is absorbed by the solvent, and so the reaction rate is reduced. Moreover the viscosity of the 
reaction mixture is reduced, not allowing auto-acceleration at high monomer concentrations. Once 
the maximum or desired conversion is reached, excess solvent has to be removed in order to obtain 
the pure polymer. Hence, solution polymerization is mainly used for applications where the 
presence of a solvent is desired anyway, as is the case for varnish and adhesives. It is not useful for 
the production of dry polymers because of the difficulty of complete solvent removal.
61 
 This process is one of two used in the production of sodium polyacrylate, a superabsorbent 
polymer used in disposable diapers. 
 Notable polymers produced using this method are polyacrylonitrile (PAN) and polyacrylic acid 
(PAA). 
 This method is used to solve the problems associated with the bulk polymerization because the 
solvent is employed to lower the viscosity of the reaction, thus help in the heat transfer and 
reduce auto-acceleration. 
V.S.Saravana Mani, Head& Asso.Prof, Dept. of Chemistry.
62 
V.S.Saravana Mani, Head& Asso.Prof, Dept. of Chemistry.
64
Disadvantage 
 Reduce monomer concentration which results in decreasing the rate of the 
reaction and the degree of polymerization. 
 Solvent may cause chain transfer. 
 Clean up the product with a non solvent or evaporation of solvent. 
V.S.Saravana Mani, Head& Asso.Prof, Dept. of Chemistry. 
65
Suspension polymerization 
66 
 This method is used also to solve the problem of heat transfer. It is similar to bulk polymerization 
where the reaction mixture is suspended as droplets in an inert medium. Monomer, initiator and 
polymer must be insoluble in the suspension media such as water. 
 Suspension polymerization is a heterogeneous radical polymerization process that uses mechanical 
agitation to mix a monomer or mixture of monomers in a liquid phase, such as water, while the 
monomers polymerize, forming spheres of polymer. 
 This process is used in the production of many commercial resins, including polyvinyl chloride 
(PVC), a widely used plastic, styrene resins including polystyrene, expanded polystyrene, and 
high-impact polystyrene, as well as poly(styrene-acrylonitrile) and poly(methyl methacrylate). 
V.S.Saravana Mani, Head& Asso.Prof, Dept. of Chemistry.
67 
 This is one of procedure used to induce radical polymerization with a vinyl group 
monomer. A polymerization process in which an insoluble monomer is dispersed and 
suspended by continuous strong agitation in a liquid phase, usually water, and it 
became monomer droplet with the size of 0.01~1mm. In addition, the polymerization 
in which soluble initiator 
 (for example: benzoyl peroxide or azobisisobutyronitrile) is added in the monomer. 
Poly-addition reaction such as polyurethane may also performed in a suspended form. 
V.S.Saravana Mani, Head& Asso.Prof, Dept. of Chemistry.
68 
 Suspension polymerization most commonly used as industrial manufacturing 
method in order to get polymer for forming material such as polystyrene, 
polymethylmethacrylate, polyvinyl acetate, polyvinyl chloride, because a 
polymer with a high degree polymerization is obtained with the polymerization 
and generated polymer isolation is easy. 
V.S.Saravana Mani, Head& Asso.Prof, Dept. of Chemistry.
V.S.Saravana Mani, Head& Asso.Prof, Dept. of Chemistry. 
69
70
Emulsion polymerization 
 This is similar to suspension polymerization except that the initiation 
is soluble in suspension media and insoluble in the monomer. 
 The reaction product is colloidally stable dispersion known as latex. 
 The polymer particles have diameter in the range of (0.05 - 1  m) 
smaller than suspension. 
V.S.Saravana Mani, Head& Asso.Prof, Dept. of Chemistry. 
71
Emulsion polymerization 
72 
Emulsion polymerization is a type of radical polymerization that usually starts with an emulsion incorporating water, 
monomer, and surfactant. The most common type of emulsion polymerization is an oil-in-water emulsion, in which 
droplets of monomer (the oil) are emulsified (with surfactants) in a continuous phase of water. Water-soluble polymers, 
such as certain polyvinyl alcohols or hydroxyethyl celluloses, can also be used to act as emulsifiers/stabilizers. The name 
"emulsion polymerization" is a misnomer that arises from a historical misconception. Rather than occurring in emulsion 
droplets, polymerization takes place in the latex particles that form spontaneously in the first few minutes of the process. 
These latex particles are typically 100 nm in size, and are made of many individual polymer chains. The particles are 
stopped from coagulating with each other because each particle is surrounded by the surfactant ('soap'); the charge on the 
surfactant repels other particles electrostatically. When water-soluble polymers are used as stabilizers instead of soap, the 
repulsion between particles arises because these water-soluble polymers form a 'hairy layer' around a particle that repels 
other particles, because pushing particles together would involve compressing these chains. 
V.S.Saravana Mani, Head& Asso.Prof, Dept. of Chemistry.
73 
 Emulsion polymerization is used to manufacture several commercially important polymers. Many 
of these polymers are used as solid materials and must be isolated from the aqueous dispersion 
after polymerization. In other cases the dispersion itself is the end product. A dispersion resulting 
from emulsion polymerization is often called a latex (especially if derived from a synthetic rubber) 
or an emulsion (even though "emulsion" strictly speaking refers to a dispersion of an immiscible 
liquid in water). These emulsions find applications in adhesives, paints, paper coating and textile 
coatings. They are often preferred over solvent-based products in these applications due to the 
absence of VOCs (Volatile Organic Compounds) in them. 
V.S.Saravana Mani, Head& Asso.Prof, Dept. of Chemistry.
74 
V.S.Saravana Mani, Head& Asso.Prof, Dept. of Chemistry.
75 
V.S.Saravana Mani, Head& Asso.Prof, Dept. of Chemistry.
Advantages 
76 
 High molecular weight polymers can be made at fast polymerization rates. By contrast, in bulk 
and solution free radical polymerization, there is a tradeoff between molecular weight and 
polymerization rate. 
 The continuous water phase is an excellent conductor of heat, enabling fast polymerization rates 
without loss of temperature control. 
 Since polymer molecules are contained within the particles, the viscosity of the reaction medium 
remains close to that of water and is not dependent on molecular weight. 
 The final product can be used as is and does not generally need to be altered or processed. 
V.S.Saravana Mani, Head& Asso.Prof, Dept. of Chemistry.
Disadvantages 
 Surfactants and other polymerization adjuvants remain in the polymer or are difficult to remove 
 For dry (isolated) polymers, water removal is an energy-intensive process 
 Emulsion polymerizations are usually designed to operate at high conversion of monomer to 
polymer. This can result in significant chain transfer to polymer. 
 Cannot be used for condensation, ionic or Ziegler-Natta polymerization, although some 
exceptions are known. 
77 
V.S.Saravana Mani, Head& Asso.Prof, Dept. of Chemistry.
 Advantages  Disadvantages 
 High molecular weight polymers 
 fast polymerization rates. 
 allows removal of heat from the system. 
 viscosity remains close to that of water 
and is not dependent on molecular 
weight. 
 The final product can be used as such 
,does not need to be altered or processed 
 Surfactants and polymerization 
adjuvants -difficult to remove 
 For dry (isolated) polymers, water 
removal is an energy-intensive process 
 Designed to operate at high conversion of 
monomer to polymer. This can result in 
significant chain transfer to polymer. 
 Can not be used for condensation, ionic or 
Ziegler-Natta polymerization. 
78 
V.S.Saravana Mani, Head& Asso.Prof, Dept. of Chemistry.
Plastic Recycling Symbols 79 
In 1988 the Society of the Plastics Industry developed a numeric code to 
provide a uniform convention for different types of plastic containers. 
These numbers can be found on the underside of containers. 
1. PET; PETE (polyethylene terephthalate): plastic water and soda bottles. 
2. HDPE (high density polyethylene): laundry/dish detergent 
3. V (Vinyl) or PVC: Pipes, shower curtains 
4. LDPE (low density polyethylene): grocery bags, sandwich bags 
5. PP (polypropylene): Tupperware®, syrup bottles, yogurt cups, 
6. PS (polystyrene): Coffee cups, disposable cutlery 
7. Miscellaneous: any combination of 1-6 plastics 
V.S.Saravana Mani, Head& Asso.Prof, Dept. of Chemistry.

Polymers

  • 1.
    Polymers V.S.SARAVANA MANI HEAD AND ASSOCIATE PROFESSOR, DEPARTMENT OF CHEMISTRY ANNAPOORANA ENGINEERING COLLEGE, SALEM
  • 2.
    Introduction  Polymers(derived from the Greek words, poly or many and mer means units or parts) are  macro molecules formed by the combination of a large number of small molecules known as monomers. Polymers can be classified as plastics (resins), elastomers (rubber) and fibres (nylon, terylene)  The properties of polymer depend on their molecular configuration, the degree of polymerization, branching and cross linking. 2 V.S.Saravana Mani, Head& Asso.Prof, Dept. of Chemistry.
  • 3.
    Definition 3 Polymers are high molecular weight compounds whose structures are composed of a large number of simple repeating units. The repeating units are usually obtained from low molecular weight simple compounds referred to as monomers. V.S.Saravana Mani, Head& Asso.Prof, Dept. of Chemistry.
  • 4.
    Monomer Monomer isa micromolecule (smaller molecule) which combines with each other to form a polymer. Eg. Ethylene, vinyl chloride, styrene, butadiene, acrylonitrile etc., 4 V.S.Saravana Mani, Head& Asso.Prof, Dept. of Chemistry.
  • 5.
    Classification of Polymers (Based on Source) 5 Natural polymers: These polymers are found in plants and animals. Examples are proteins, cellulose, starch, resins and rubber. Semi-synthetic polymers: Cellulose derivatives as cellulose acetate (rayon) and cellulose nitrate, etc. are the usual examples of this sub category. Synthetic polymers: A variety of synthetic polymers as plastic (polythene), synthetic fibres (nylon 6,6) and synthetic rubbers (Buna - S) are examples of manmade polymers extensively used in daily life as well as in industry. V.S.Saravana Mani, Head& Asso.Prof, Dept. of Chemistry.
  • 6.
    Classification of Polymers (Based on Structure) Linear polymers 6 These polymers consist of long and straight chains. The examples are high density polythene, polyvinyl chloride, etc. These are represented as: V.S.Saravana Mani, Head& Asso.Prof, Dept. of Chemistry.
  • 7.
    Branched chain polymers These polymers contain linear chains having some branches, e.g., low density polythene. These are depicted as follows: 7 V.S.Saravana Mani, Head& Asso.Prof, Dept. of Chemistry.
  • 8.
    Cross linked orNetwork polymers 8 These are usually formed from bi-functional and tri-functional monomers and contain strong covalent bonds between various linear polymer chains, e.g. bakelite, melamine, etc. These polymers are depicted as follows: V.S.Saravana Mani, Head& Asso.Prof, Dept. of Chemistry.
  • 9.
    Polymerization 9 Polymerization is a process in which large number of small molecules (called monomers) combine to form a big molecule (called a polymer) with or without elimination of small molecules like H2O, CH3OH etc., V.S.Saravana Mani, Head& Asso.Prof, Dept. of Chemistry.
  • 10.
    Degree of polymerization The Degree of polymerization (n or N) is defined as 10 the number of monomeric units in a macromolecule or polymer or oligomer molecule. (Because in reality polymers consists of chains of different length, the average value is used.) V.S.Saravana Mani, Head& Asso.Prof, Dept. of Chemistry.
  • 11.
    Types of polymerization: There are three types of polymerization processes:  Addition polymerization (or) chain growth polymerization  Condensation polymerization (or) stepwise polymerization  Copolymerization 11 V.S.Saravana Mani, Head& Asso.Prof, Dept. of Chemistry.
  • 12.
    Addition polymerization (or) chain growth polymerization 12 An addition polymer is a polymer which is formed by an addition reaction, where many monomers bond together via rearrangement of bonds without the loss of any atom or molecule. V.S.Saravana Mani, Head& Asso.Prof, Dept. of Chemistry.
  • 13.
  • 14.
    Condensation polymerization (or) stepwise polymerization Condensation polymers are any kind of polymers formed through a condensation reaction--where molecules join together--losing small molecules as by-products such as water or methanol, as opposed to addition polymers which involve the reaction of unsaturated monomers. (CH2 ) + HOOC ( ) COOH H2N NH2 CH2 6 (NH CH2 NH CO ( ) ( CH2 ) CO ) 6 4 n 4 + H2O 14
  • 15.
  • 16.
    Copolymerization 16 Copolymerizationis defined as the process of combining two polymers that are different V.S.Saravana Mani, Head& Asso.Prof, Dept. of Chemistry.
  • 17.
    COPOLYMERS Polymers whichare formed by combining two different monomers in alternating fashion are called copolymers. A + B + A + B A B A B butadiene styrene styrene-butadiene rubber (SBR) V.S.Saravana Mani, Head& Asso.Prof, Dept. of Chemistry. 17
  • 18.
    S. No. Addition/ chain polymerization Condensation / step polymerization 1 The monomer must have at least one multiple bond. Examples: Ethylene: CH2 = CH2, Acetylene The monomer must have at least two identical (or) different functional groups. Glycol, Nylon(6,6) 2 Monomers add on to give a polymer and no other byproduct is formed. Monomers condense to give a polymer and by products such as H2O, CH3OH are formed. 3 Number of monomeric units decreases steadily throughout the reaction. Monomers disappear at the early stage of reaction. 4 Molecular weight of the polymer is an integral multiple of molecular weight of monomer. Molecular weight of the polymer need not be an integral multiple of monomer. 5 High molecular weight polymer is formed at once. Molecular weight of the polymer rises steadily throughout the reaction. 6 Longer reaction times give higher yield, but have a little effect on molecular weight. Longer reaction times are essential to obtain high molecular weight. 7 Thermoplastics are produced. Example: Polyethylene, PVC etc., Thermosetting plastics are produced. Example: Bakelite, urea-formaldehyde 8 Homo-chain polymer is obtained Hetero-chain polymer is obtained. 18 V.S.Saravana Mani, Head& Asso.Prof, Dept. of Chemistry.
  • 19.
    S. No. ThermoplasticResins Thermosetting Resins 1. They are formed by addition polymerisation. They are formed by condensation polymerisation. 2. They consist of linear long chain polymers. 19 They consist of three dimensional network structure. 3. All the polymer chains are held together by weak vanderwaals forces. All the polymer chains are linked by strong covalent bonds. 4. They are weak, soft and less brittle. They are strong, hard and more brittle. 5. They soften on heating and harden on cooling. They do not soften on heating. 6. They can be remoulded. They cannot be remoulded. 7. They have low molecular weights. They have high molecular weights. 8 They are soluble in organic solvents. They are insoluble in organic solvents.
  • 20.
    V.S.Saravana Mani, Head&Asso.Prof, Dept. of Chemistry. 20 PREPARATION OF ADDITION POLYMERS FREE RADICAL MECHANISM
  • 21.
    21 V.S.Saravana Mani,Head& Asso.Prof, Dept. of Chemistry.
  • 22.
    22 V.S.Saravana Mani,Head& Asso.Prof, Dept. of Chemistry.
  • 23.
    23 V.S.Saravana Mani,Head& Asso.Prof, Dept. of Chemistry.
  • 24.
    V.S.Saravana Mani, Head&Asso.Prof, Dept. of Chemistry. 24 PREPARATION OF ADDITION POLYMERS CATIONIC MECHANISM
  • 25.
    C C CC + POLYMERIZATION + H2O H2SO4 C C H OSO3H C C H conc. 0o C conc. OSO3H C CH2 (CH2CH2)n H Polymerization C C + H2SO4 concentrated, smaller amount, not cold polymer A cationic polymerization catalyst (Ziegler Catalyst) can be used instead of H2SO4. V.S.Saravana Mani, Head& Asso.Prof, Dept. of Chemistry. 25
  • 26.
    CATIONIC MECHANISM Catalyst + H2SO4 or cationic catalyst R + R + etc. Polystyrene styrene could be as simple as a proton from sulfuric acid resonance stabilized (+) (+) (+) Catalyst + (Markovnikoff) V.S.Saravana Mani, Head& Asso.Prof, Dept. of Chemistry. 26
  • 27.
    POLYSTYRENE n repeating unit R V.S.Saravana Mani, Head& Asso.Prof, Dept. of Chemistry. 27
  • 28.
    V.S.Saravana Mani, Head&Asso.Prof, Dept. of Chemistry. 28 PREPARATION OF ADDITION POLYMERS ANIONIC MECHANISM
  • 29.
    Anionic Polymerization GeneralScheme B-Z + CH2=CHX B-CH2-CH- Z+ X Initiation: Propagation: M- Z+ + M MM- Z+ Termination: M- Z+ + HT MH + ZT V.S.Saravana Mani, Head& Asso.Prof, Dept. of Chemistry. 29
  • 30.
    Styrene Polymerization CHCH Li 3CH2 CH3 CH2 CH CH CH 3CH2 CH3 CH2 CH Li CH2 CH Li CH2 CH CH2 CH CH2 CH Li CH2 CH Li H OH CH2 CH2 Li OH Initiation: Propagation: Termination: + + + + V.S.Saravana Mani, Head& Asso.Prof, Dept. of Chemistry. 30
  • 31.
    V.S.Saravana Mani, Head&Asso.Prof, Dept. of Chemistry. 31
  • 32.
    Properties of Polymers  The glass transition temperature  Tacticity  Molecular Weight 32 V.S.Saravana Mani, Head& Asso.Prof, Dept. of Chemistry.
  • 33.
    The glass transitiontemperature 33  The glass transition temperature is the temperature at which an amorphous solid becomes soft upon heating or brittle upon cooling. The glass transition temperature is lower than the melting point of its crystalline form, if it has one. V.S.Saravana Mani, Head& Asso.Prof, Dept. of Chemistry.
  • 34.
    “ ” Tacticity V.S.Saravana Mani, Head& Asso.Prof, Dept. of Chemistry. 34
  • 35.
    Polyolefins with sidechains have stereocenters on every other carbon Polymer Microstructure CH3 n CH3 CH3 CH3 CH3 CH3 CH3 CH3 With so many stereocenters, the stereochemistry can be complex. There are three main stereochemical classifications for polymers. Atactic: random orientation Isotactic: All stereocenters have same orientation Syndiotactic: Alternating stereochemistry 35 V.S.Saravana Mani, Head& Asso.Prof, Dept. of Chemistry.
  • 36.
    STEREOISOMERIC POLYPROPYLENE POLYMERS CH3 CH3 CH3 CH3 CH3 CH3 ISOTACTIC all methyl groups on the same side H CH3 H CH3 H CH3 SYNDIOTACTIC methyl groups alternate sides ATACTIC methyl groups randomly oreinted stereoregular polymers not regular C C C C C C C C C C C C H H H H H H H H H H H H H H H H H H C C C C C C C C C C C C CH3 H CH3 H CH3 H H H H H H H H H H H H H 36
  • 37.
    Tacticity – stereoregularityof chain H C C H H H C C H R H R H C C H R H H C C H R H H C C H H R R H R C C H H R H C C H H C C H H H H C C H H H C C H R H R R C C H H H H C C H R H isotactic – all R groups on same side of chain syndiotactic – R groups alternate sides atactic – R groups random V.S.Saravana Mani, Head& Asso.Prof, Dept. of Chemistry. 37
  • 38.
    Molecular weight: afew definitions Synthetic polymers are polydisperse, i.e. a given polymer sample exhibits Mi wi Mi molecular weight of the ith polymer chain Ni number of polymer chains with molecular weight Mi wi weight fraction of polymer chains with molecular weight Mi   M N  i i i i i __ n N M Mn number average molecular weight   N M  i i i i i i w N M M 2 __ Mw weight average molecular weight   M 2  i N M i i i i i z N M 3 __ Mz or Z-average molecular weight Mn Mw Mz Ð = Mw /Mn 푷푫푰 = 푴풘 푴풏 dispersity (1 – 10)      1 2 1 __            N M  i i i i i i N M M M  viscosity average molecular weight (0 <  < 1) distribution of molecular weights 38
  • 39.
    Number Average MolecularWeight (Mn) 39 The weight of polymer divided by the number of polymer molecules. This average molecular weight follows the conventional definition for the mean value of any statistical quantity. In polymer science, it is called the number average molecular weight (Mn). The total weight of the molecules present divided by the total number of molecules. V.S.Saravana Mani, Head& Asso.Prof, Dept. of Chemistry.
  • 40.
    Weight Average MolecularWeight (Mw) 40 The probability factor in a weight-average considers the mass of the molecules so that the heavier molecules of the polymer segment are more important. Consider of polymer property which depends not just on the number of polymer molecules but on the size or weight of each polymer molecule. Mw > Mn V.S.Saravana Mani, Head& Asso.Prof, Dept. of Chemistry.
  • 41.
    41 MOLECULAR WEIGHTDISTRIBUTION M x M   n i i M w M   w i i __ Mn = the number average molecular weight (mass) Mi = mean (middle) molecular weight of size range i xi = number fraction of chains in size range i wi = weight fraction of chains in size range i
  • 42.
    Molecular weight: characterizationtechniques Mn  techniques related to colligative properties (dependence on the number of molecules)  membrane osmometry (> 25 000 g/mol)  vapor pressure osmometry (< 25 000 g/mol)  mass spectrometry  electrospray ionization mass spectrometry (ESI-MS)  matrix-assisted laser desorption/ionization (MALDI)  size exclusion chromatography Mw  static laser light scattering  analytical ultracentrifuge  size exclusion chromatography Mz  static laser light scattering  analytical ultracentrifuge  size exclusion chromatography M  viscometry  size exclusion chromatography Mi wi Mn Mw Mz V.S.Saravana Mani, Head& Asso.Prof, Dept. of Chemistry. 42
  • 43.
    Polydispersity Ratio orIndex: Mw/Mn is a measure of polydispersity; it is 2.0 for condensation polymers. For a polymer mixture which is heterogeneous with respect to molecular weight distributions, Mz> Mz >Mn with decrease in heterogeneity the various molecular weights will converge, Finally, Mz = Mz =Mn Criterion for homogeneous polymer mixtures. 푃퐷퐼 = 푀푤 푀푛 ≥ 1 43 V.S.Saravana Mani, Head& Asso.Prof, Dept. of Chemistry.
  • 44.
    Nylon (6,6) Nylon comes from a family of synthetic polymers known as polyamide. It was first introduced by Wallace Carothers on 28th February 1935. Nylon 6,6 is a polyamide made by poly-condensation of adipic acid methylenediamine , and contains a total of 12 carbon atoms in each repeating unit . The properties which make Polyamides suitable for plastic applications are resistance to toughness, thermal stability, good appearance, resistance to chemicals etc 44 V.S.Saravana Mani, Head& Asso.Prof, Dept. of Chemistry.
  • 45.
    Chemical structure: Nylon6,6 o PA-66 Hexamethylene diamine + Adipic acid (CH2 ) + HOOC ( ) COOH H2N NH2 CH2 6 (NH CH2 NH CO ( ) ( CH2 ) CO ) 6 4 n 4 + H2O 45 V.S.Saravana Mani, Head& Asso.Prof, Dept. of Chemistry.
  • 46.
    Properties  Nylon6,6 peruses excellent abrasion resistance and a high melting point .  Nylon 6,6 has high tensile strength and exhibits only half of shrinkage in steam .  It also provides a very good resistance to photo degradation.  Nylon 6,6 also has good advantage over industrial products because it reduces moisture sensitivity in raw products and has a high dimensional stability and melting point . 46 V.S.Saravana Mani, Head& Asso.Prof, Dept. of Chemistry.
  • 47.
     Nylon 6,6has a repeat unit with molecular weight of is 226.32 g/mol and crystalline density of 1.24 g/(cm)^3 .  Nylon 6,6 has long molecular chains resulting in more hydrogen bonds , creating chemical springs and making it very resilient .  Nylon 6,6 is an amorphous solid so it has a large elastic property and is slightly soluble in boiling water .  Nylon 6,6 is very stable in nature.  Nylon 6,6 is very difficult to dye but once it is dyed it has a high colorfastness and is less susceptible to fading .  Its chemical properties does not allow it to be affected by solvents such as water , alcohol etc . 47 V.S.Saravana Mani, Head& Asso.Prof, Dept. of Chemistry.
  • 48.
    Applications  Nylonis a light material , it is used in parachutes .  Nylon 6,6 is waterproof in nature so it is also used to make swimwear. 48  Nylon 6,6 having a high melting point make it more resistant to heat and friction so it is suitable to be used in in airports , offices and other places which are more liable to wear and tear .  Nylon 6,6 being waterproof in nature is used to make machine parts. It is also used in the following like airbags , carpets , ropes . hoses etc . Hence Nylon 6 6 is a very useful creation by mankind . V.S.Saravana Mani, Head& Asso.Prof, Dept. of Chemistry.
  • 49.
    Epoxy Resin 49 V.S.Saravana Mani, Head& Asso.Prof, Dept. of Chemistry.
  • 50.
    Properties  Highchemical resistance to water, acids, alkalis, solvents and other chemicals  Flexible, tough and possess very good heat resisting property  Excellent adhesion quality 50 V.S.Saravana Mani, Head& Asso.Prof, Dept. of Chemistry.
  • 51.
    Uses  Surfacecoatings (provide a hard, durable and rustproof surface) o Paint for ships and other marine uses o Primers for cars o Steel pipes Electrical insulation materials (to prevent conduction of electricity) o Enclosing transformers, condensers, capacitors and other electrical components 51 Adhesives and glues Widely used across many industries for its strong bonding properties, e.g. aircraft, flooring, road and bridge surfacing, concrete bonding, automobile manufacturers V.S.Saravana Mani, Head& Asso.Prof, Dept. of Chemistry.
  • 52.
     Epoxies areused in paint industry as it dries quickly and provides protective layers that are highly 52 tough  Epoxies are used as structural or engineering adhesives used in the construction of aircrafts, automobiles, boats and other such applications  These are an integral part of the electronic industry and used in over-molding transistors, integrated circuits, PCB’s, and hybrid circuits  As an imperative part of aerospace industry, epoxies are used as structural matrix material  In a highly technical application, epoxy resin is used for embedding samples for their use under electron microscope  Not limited just to technical applications, artists have also used epoxies as a painting medium by mixing it with pigments to obtain colors  As brilliant composites, epoxies are used in the manufacturing of various casts and molds laminates, plastic toolings, and similar other fixture V.S.Saravana Mani, Head& Asso.Prof, Dept. of Chemistry.
  • 53.
    Bulk polymerization 53  Bulk polymerization or mass polymerization is carried out by adding a soluble initiator to pure monomer in liquid state. The initiator should dissolve in the monomer. The reaction is initiated by heating or exposing to radiation. As the reaction proceeds the mixture becomes more viscous. The reaction is exothermic and a wide range of molecular masses are produced.  Bulk polymerization is carried out in the absence of any solvent or dispersant and is thus the simplest in terms of formulation. It is used for most step-growth polymers and many types of chain-growth polymers. In the case of chain-growth reactions, which are generally exothermic, the heat evolved may cause the reaction to become too vigorous and difficult to control unless efficient cooling... V.S.Saravana Mani, Head& Asso.Prof, Dept. of Chemistry.
  • 54.
    Bulk polymerization The simplest method of polymerization where the reaction mixture contains only the monomer and a monomer soluble initiator.  Example  PMMA 54
  • 55.
    55 V.S.Saravana Mani,Head& Asso.Prof, Dept. of Chemistry.
  • 56.
  • 57.
  • 58.
    Advantages  Thesystem is simple and requires thermal insulation.  The polymer obtained is pure.  Large castings may be prepared directly.  Molecular weight distribution can be easily changed with the use of a chain transfer agent.  The product obtained has high optical clarity  High rates of polymerization  High degree of polymerization  High purity of product  High molar mass polymer are produce 58 V.S.Saravana Mani, Head& Asso.Prof, Dept. of Chemistry.
  • 59.
    Disadvantages  Heattransfer and mixing become difficult as the viscosity of reaction mass increases.  The problem of heat transfer is compounded by the highly exothermic nature of free radical addition polymerization.  The polymerization is obtained with a broad molecular weight distribution due to the high viscosity and lack of good heat transfer.  Very low molecular weights are obtained.  Increase in the reaction viscosity with conversion.  *difficulty in removing heat.  *auto-acceleration  *if the polymer formed is insoluble in the monomer (such as acrylonitrile, vinyl chloride) ==> precipitating of the polymer and we can not apply the kinetics. 59
  • 60.
    Solution polymerization 60  Solution polymerization is a method of industrial polymerization. In this procedure, a monomer is dissolved in a non-reactive solvent that contains a catalyst.  The reaction results in a polymer which is also soluble in the chosen solvent. Heat released by the reaction is absorbed by the solvent, and so the reaction rate is reduced. Moreover the viscosity of the reaction mixture is reduced, not allowing auto-acceleration at high monomer concentrations. Once the maximum or desired conversion is reached, excess solvent has to be removed in order to obtain the pure polymer. Hence, solution polymerization is mainly used for applications where the presence of a solvent is desired anyway, as is the case for varnish and adhesives. It is not useful for the production of dry polymers because of the difficulty of complete solvent removal.
  • 61.
    61  Thisprocess is one of two used in the production of sodium polyacrylate, a superabsorbent polymer used in disposable diapers.  Notable polymers produced using this method are polyacrylonitrile (PAN) and polyacrylic acid (PAA).  This method is used to solve the problems associated with the bulk polymerization because the solvent is employed to lower the viscosity of the reaction, thus help in the heat transfer and reduce auto-acceleration. V.S.Saravana Mani, Head& Asso.Prof, Dept. of Chemistry.
  • 62.
    62 V.S.Saravana Mani,Head& Asso.Prof, Dept. of Chemistry.
  • 64.
  • 65.
    Disadvantage  Reducemonomer concentration which results in decreasing the rate of the reaction and the degree of polymerization.  Solvent may cause chain transfer.  Clean up the product with a non solvent or evaporation of solvent. V.S.Saravana Mani, Head& Asso.Prof, Dept. of Chemistry. 65
  • 66.
    Suspension polymerization 66  This method is used also to solve the problem of heat transfer. It is similar to bulk polymerization where the reaction mixture is suspended as droplets in an inert medium. Monomer, initiator and polymer must be insoluble in the suspension media such as water.  Suspension polymerization is a heterogeneous radical polymerization process that uses mechanical agitation to mix a monomer or mixture of monomers in a liquid phase, such as water, while the monomers polymerize, forming spheres of polymer.  This process is used in the production of many commercial resins, including polyvinyl chloride (PVC), a widely used plastic, styrene resins including polystyrene, expanded polystyrene, and high-impact polystyrene, as well as poly(styrene-acrylonitrile) and poly(methyl methacrylate). V.S.Saravana Mani, Head& Asso.Prof, Dept. of Chemistry.
  • 67.
    67  Thisis one of procedure used to induce radical polymerization with a vinyl group monomer. A polymerization process in which an insoluble monomer is dispersed and suspended by continuous strong agitation in a liquid phase, usually water, and it became monomer droplet with the size of 0.01~1mm. In addition, the polymerization in which soluble initiator  (for example: benzoyl peroxide or azobisisobutyronitrile) is added in the monomer. Poly-addition reaction such as polyurethane may also performed in a suspended form. V.S.Saravana Mani, Head& Asso.Prof, Dept. of Chemistry.
  • 68.
    68  Suspensionpolymerization most commonly used as industrial manufacturing method in order to get polymer for forming material such as polystyrene, polymethylmethacrylate, polyvinyl acetate, polyvinyl chloride, because a polymer with a high degree polymerization is obtained with the polymerization and generated polymer isolation is easy. V.S.Saravana Mani, Head& Asso.Prof, Dept. of Chemistry.
  • 69.
    V.S.Saravana Mani, Head&Asso.Prof, Dept. of Chemistry. 69
  • 70.
  • 71.
    Emulsion polymerization This is similar to suspension polymerization except that the initiation is soluble in suspension media and insoluble in the monomer.  The reaction product is colloidally stable dispersion known as latex.  The polymer particles have diameter in the range of (0.05 - 1  m) smaller than suspension. V.S.Saravana Mani, Head& Asso.Prof, Dept. of Chemistry. 71
  • 72.
    Emulsion polymerization 72 Emulsion polymerization is a type of radical polymerization that usually starts with an emulsion incorporating water, monomer, and surfactant. The most common type of emulsion polymerization is an oil-in-water emulsion, in which droplets of monomer (the oil) are emulsified (with surfactants) in a continuous phase of water. Water-soluble polymers, such as certain polyvinyl alcohols or hydroxyethyl celluloses, can also be used to act as emulsifiers/stabilizers. The name "emulsion polymerization" is a misnomer that arises from a historical misconception. Rather than occurring in emulsion droplets, polymerization takes place in the latex particles that form spontaneously in the first few minutes of the process. These latex particles are typically 100 nm in size, and are made of many individual polymer chains. The particles are stopped from coagulating with each other because each particle is surrounded by the surfactant ('soap'); the charge on the surfactant repels other particles electrostatically. When water-soluble polymers are used as stabilizers instead of soap, the repulsion between particles arises because these water-soluble polymers form a 'hairy layer' around a particle that repels other particles, because pushing particles together would involve compressing these chains. V.S.Saravana Mani, Head& Asso.Prof, Dept. of Chemistry.
  • 73.
    73  Emulsionpolymerization is used to manufacture several commercially important polymers. Many of these polymers are used as solid materials and must be isolated from the aqueous dispersion after polymerization. In other cases the dispersion itself is the end product. A dispersion resulting from emulsion polymerization is often called a latex (especially if derived from a synthetic rubber) or an emulsion (even though "emulsion" strictly speaking refers to a dispersion of an immiscible liquid in water). These emulsions find applications in adhesives, paints, paper coating and textile coatings. They are often preferred over solvent-based products in these applications due to the absence of VOCs (Volatile Organic Compounds) in them. V.S.Saravana Mani, Head& Asso.Prof, Dept. of Chemistry.
  • 74.
    74 V.S.Saravana Mani,Head& Asso.Prof, Dept. of Chemistry.
  • 75.
    75 V.S.Saravana Mani,Head& Asso.Prof, Dept. of Chemistry.
  • 76.
    Advantages 76 High molecular weight polymers can be made at fast polymerization rates. By contrast, in bulk and solution free radical polymerization, there is a tradeoff between molecular weight and polymerization rate.  The continuous water phase is an excellent conductor of heat, enabling fast polymerization rates without loss of temperature control.  Since polymer molecules are contained within the particles, the viscosity of the reaction medium remains close to that of water and is not dependent on molecular weight.  The final product can be used as is and does not generally need to be altered or processed. V.S.Saravana Mani, Head& Asso.Prof, Dept. of Chemistry.
  • 77.
    Disadvantages  Surfactantsand other polymerization adjuvants remain in the polymer or are difficult to remove  For dry (isolated) polymers, water removal is an energy-intensive process  Emulsion polymerizations are usually designed to operate at high conversion of monomer to polymer. This can result in significant chain transfer to polymer.  Cannot be used for condensation, ionic or Ziegler-Natta polymerization, although some exceptions are known. 77 V.S.Saravana Mani, Head& Asso.Prof, Dept. of Chemistry.
  • 78.
     Advantages Disadvantages  High molecular weight polymers  fast polymerization rates.  allows removal of heat from the system.  viscosity remains close to that of water and is not dependent on molecular weight.  The final product can be used as such ,does not need to be altered or processed  Surfactants and polymerization adjuvants -difficult to remove  For dry (isolated) polymers, water removal is an energy-intensive process  Designed to operate at high conversion of monomer to polymer. This can result in significant chain transfer to polymer.  Can not be used for condensation, ionic or Ziegler-Natta polymerization. 78 V.S.Saravana Mani, Head& Asso.Prof, Dept. of Chemistry.
  • 79.
    Plastic Recycling Symbols79 In 1988 the Society of the Plastics Industry developed a numeric code to provide a uniform convention for different types of plastic containers. These numbers can be found on the underside of containers. 1. PET; PETE (polyethylene terephthalate): plastic water and soda bottles. 2. HDPE (high density polyethylene): laundry/dish detergent 3. V (Vinyl) or PVC: Pipes, shower curtains 4. LDPE (low density polyethylene): grocery bags, sandwich bags 5. PP (polypropylene): Tupperware®, syrup bottles, yogurt cups, 6. PS (polystyrene): Coffee cups, disposable cutlery 7. Miscellaneous: any combination of 1-6 plastics V.S.Saravana Mani, Head& Asso.Prof, Dept. of Chemistry.