MATRUSRI ENGINEERING COLLEGE
DEPARTMENT OF SCIENCES AND HUMANITIES
SUBJECT NAME: CHEMISTRY
FACULTY NAME: VISHNU THUMMA
MATRUSRI
ENGINEERING COLLEGE
TOPIC: MATERIAL CHEMISTRY
CHEMISTRY
2
COURSE OBJECTIVES:
➢Correlate the properties of materials with their internal structure and use
the for Engineering applications
➢Apply the principles of electrochemistry in storage of electrical energy in
batteries.
➢Gains knowledge in causes of corrosion and its prevention.
➢Attains knowledge about the disadvantages of hard water for domestic and
industrial purposes.
➢Also learns the techniques of softening of hard water and treatment of
water for drinking purpose.
➢Exposed to qualitative and quantitative parameters of chemical fuels.
➢Aware eco-friendly materials and processes.
MATRUSRI
ENGINEERING COLLEGE
CHEMISTRY
3
COURSE OUTCOMES: After completion of course students will be able to
➢Analyze and apply knowledge of electrodics in calculation of cell
potentials of batteries.
➢Identify the different types of hardness and alkalinities in water and
make use of softening methods, analyze and apply the knowledge of
corrosion for its prevention.
➢Discuss different types of polymers based on their end on use and
the need to replace the conventional polymers with polymers of
engineering applications.
➢Identify and analyze different types of chemical fuels for domestic and
automobile applications.
➢Outline the principles of green chemistry for sustainable environment
and preparation of biodiesel from renewable sources.
MATRUSRI
ENGINEERING COLLEGE
UNIT-III MATERIAL CHEMISTRY
4
COURSE OUTCOMES: After completion of course students will be able
to discuss different types of polymers based on their end on use
and the need to replace the conventional polymers with polymers of
engineering applications.
MATRUSRI
ENGINEERING COLLEGE
MODULE-1: BASIC TERMINOLOGY OF POLYMERS
The word polymer is derived from the two greek words
poly and mers
Polymers are macro molecules built-ip by linking together
of smaller molecules, called Monomers
parts or units
many
C C C C C C
H
H
H
H
H
H
H
H
H
H
H
H
Polyethylene (PE)
mer
Cl
Cl Cl
C C C C C C
H
H
H
H
H
H
H
H
H
Polyvinyl chloride (PVC)
mer
Polypropylene (PP)
CH3
C C C C C C
H
H
H
H
H
H
H
H
H
CH3 CH3
mer
e.g.
MATRUSRI
ENGINEERING COLLEGE
5
Examples: Polyethylene is formed by linking a large number of
ethylene molecules
n
C C
H
H H
H
C C
H
H H
H
n
Polymerisation
Ethylene polyethylene
polystyrene is formed by linking styrene molecules
H
styrene polystyrene
C C
H
H
n
Polymerisation
n
C C
H
H
H
Polymerization: The process of chemical combination of small molecules
(monomers) to form large sized molecules (polymers) is called
polymerization.
MATRUSRI
ENGINEERING COLLEGE
6
The number of repeating units (n) in the chain is known
as the degree of polymerization.
Polymers with high degree of polymerization are called
high polymers and these have very high molecular weights
(104 to 106).
Polymers with low degree of polymerization are called
oligomers.
e.g.,
D.P.
MATRUSRI
ENGINEERING COLLEGE
7
Functionality: the number of reactive sites or bonding sites
Ethylene
Vinyl chloride
1,3 butadiene
MATRUSRI
ENGINEERING COLLEGE
8
Some bi functional hydrocarbons
adipic acid (hexanedioic acid)
1,6-hexanediamine
Terephthalic acid
ethylene glycol
MATRUSRI
ENGINEERING COLLEGE
9
Nomenclature of Polymers
Homopolymer: A polymer consisting of identical monomers is
called Homopolymer.
Ex: Polyethylene, PVC, Teflon
MATRUSRI
ENGINEERING COLLEGE
10
Copolymer: Polymer formed by two or more monomers of
different chemical structures is called Copolymers
Styrene-butadiene rubber (Buna-S)
MATRUSRI
ENGINEERING COLLEGE
11
Based on the molecular structure
polymers can be classified as
➢Linear
➢Branched
➢Cross-linked
the monomeric units combine linearly with each other
In linear polymers,
secondary bonding
MATRUSRI
ENGINEERING COLLEGE
12
Branched polymers
Cross linked polymers
Graft copolymer: The monomers of the polymer in back bone and
branch chain differ
MATRUSRI
ENGINEERING COLLEGE
13
Based on the response to heat
➢Thermo plastic ➢Thermosetting
soften on heating and can be converted into any shape
and can retain its shape on cooling
thermosoftening or thermoplastics
MATRUSRI
ENGINEERING COLLEGE
14
under go chemical change on heating and convert
themselves into an infusible mass
thermosetting polymers
Covalent bond
MATRUSRI
ENGINEERING COLLEGE
15
Differences between thermoplastics and thermosetting plastics:
These are formed by additional polymerization. These are formed by condensation
Polymerization
These are long chain linear macromolecules Their set molecules have three dimensional
cross –linked network structure.
The adjacent polymer chains are held together
by either vander wal forces or by dipole-dipole
or H-bonds.
Polymer chains are held together by strong
covalent bonds.
They can be remoulded, reshaped and reused. They cannot be remoulded.
They can be reclaimed from waste. They cannot be reclaimed from waste.
Thermoplasts are soluble in organic solvents These are insoluble in almost all the solvents.
These are soft, weak and less brittle. These are hard, strong and more brittle.
Ex: PE, PVC andTeflon. Ex: Bakelite and Urea Formaldehyde resins.
MATRUSRI
ENGINEERING COLLEGE
16
MODULE-2: Polymerisation Reactions
There are three types of polymerization reactions.
• Addition (chain growth) polymerization
• Condensation (step growth) polymerization
• Copolymerization
MATRUSRI
ENGINEERING COLLEGE
17
Addition Polymerization:
It is a reaction that yields a product, which is an exact multiple of
the original monomeric molecule.
Such a monomer molecule, usually contains one or more double
bonds, which by intermolecular rearrangement, may make the
molecule bifunctional.
Must be instigated by the application of heat, light, pressure or a
catalyst for breaking down the double covalent bonds of
monomers.
C C
H
H
H
H
n
C C
H
H
H
H
n
Ethylene
(Monomer)
Polyethene
(Polymer)
Polymerization
n
Bifunctinal molecules
C C
H
H
H
H
Rearrangement
(Heat, Light,
Pressure or catalyst)
MATRUSRI
ENGINEERING COLLEGE
18
Condensation Polymerization:
A reaction occurring between simple polar group containing monomers with
the formation of polymer and elimination of small molecules like water, HCl,
etc.
For example, hexamethylene diamine and adipic acid condense to form a
polymer, nylon 6:6
Thus, it is an intermolecular combination, and it takes place through the
different functional group in the monomers having the affinity for each other.
MATRUSRI
ENGINEERING COLLEGE
19
DISTINGUISHING FEATURES OF
ADDITION AND CONDENSATION POLYMERISATION
ADDITION CONDENSATION
Monomers undergo self addition to each
other without loss of by products
Monomers undergo intermolecular
condensation with continuous elimination of
by products such as H2O, NH3, HCl, etc.,
It follows chain mechanism It follows step mechanism
Unsaturated vinyl compounds undergo
addition polymeristion
Monomers containing the functional groups (-
OH, -COOH, -NH2, ….) undergo this
polymerization
Monomers are linked together through
C – C covalent linkages
Covalent linkages are through their functional
groups
High polymers are formed fast The reaction is slow and the polymer molecular
weight increases steadily throughout the
reaction
Linear polymers are produced with or
without branching
Linear or cross linked polymers are produced
e.g., polystryrene, plexiglass, PVC, etc., e.g., nylons, terylene, PF resins, etc.,
MATRUSRI
ENGINEERING COLLEGE
20
Copolymerization
• It is the joint polymerization of two or more monomer species.
• High molecular-weight compounds obtained by copolymerization are
called copolymers.
• For example, butadiene and styrene copolymerize to yield Buna-S
rubber.
MATRUSRI
ENGINEERING COLLEGE
21
Addition polymerization can be explained on the basis of free radical
mechanism
It involves three stages
viz., (i) Initiation
(ii) Propagation
(iii) termination
D or
u.v.light
I
(Initiator)
R*
(Free radical)
Initiation
MATRUSRI
ENGINEERING COLLEGE
Module-3: Free Radical Polymerization
22
C C
H
X H
H
+
R*
(Free radical)
Vinyl monomer
C C *
H
H X
H
R
(new free radical)
The new free radicals attack monomer molecules further in quick
succession leading to chain propagation
Vinyl monomer
C C
H
X H
H
C* +
C
H
H X
H
R
(Free radical)
C C
H
H X
H
R C C*
H
H X
H
(new free radical)
Propagation
MATRUSRI
ENGINEERING COLLEGE
23
Vinyl monomer
C C
H
X H
H
+
(new free radical)
C C
H
H X
H
R C C*
H
H X
H
(another new free radical)
C*
C
H
H X
H
C C
H
H X
H
R C C
H
H X
H
at m th stage,
C C
H
X H
H
+
C
H
H
R C
X
H
C
H
H
C
X
H
m-2
C*
C
H
H X
H
C
H
H
R C
X
H
C
H
H
C
X
H
m-1
C*
C
H
H X
H
MATRUSRI
ENGINEERING COLLEGE
24
At some stage this chain propagation is terminated when the free radicals
combine either by coupling (combining) of the two radicals or by
disproportionation
R C
H
H
C
X
H
m-1
C*
C
H
H X
H
R
C
H
H
C
X
H
m-1
C*
X
H
C
H
H
+
R C
H
H
C
X
H
m-1
C
C
H
H X
H
R
C
H
H
C
X
H
m-1
C
H
H
C
X
H
saturated highpolymer (dead polymer)
coupling
MATRUSRI
ENGINEERING COLLEGE
25
R C
H
H
C
X
H
m-1
C*
C
H
H X
H
+ R
C
H
H
C
X
H
m-1
C*
X
H
C
H
H
+
R C
H
H
C
X
H
m-1
C
C
H X
H
H R
C
H
H
C
X
H
m-1
C
H
H
C
X
H
saturated oligomer
unsaturated oligomer
(dead polymer) (dead polymer)
disproportionation
MATRUSRI
ENGINEERING COLLEGE
26
MODULE-4: Polyvinyl Chloride (PVC)
Preparation
H
C C
Cl
H
H
n
Water emulsion
polymerization
peroxide
H
C C
Cl
H
H
n
Properties
• It is colourless, odourless, non-inflammable and chemically
inert powder.
• It is resistant to light, atmospheric oxygen, inorganic acids and
alkalis.
• It is soluble in hot chlorinated hydrocarbons such as ethyl
chloride.
• Pure resin possesses a high softening point (1480C) and a
greater stiffness and rigidity. 27
MATRUSRI
ENGINEERING COLLEGE
Rigid PVC (Unplasticized PVC):
It has superior chemical resistance and high rigidity, but is
brittle.
Applications:
It is used for making sheets, which are employed for
➢tank-linings, light-fittings
➢safety helmets
➢refrigerator components
➢cycle and motor cycle mudguards.
28
MATRUSRI
ENGINEERING COLLEGE
It is also extruded in strip and tube form for use in
place of non-ferrous metals.
29
MATRUSRI
ENGINEERING COLLEGE
Plasticized PVC:
It is obtained by adding plasticizers such as dibutyl phthalate,
dioctyl phthalate, tricresyl phosphate.
It used for making continuous sheets employed for Packing,
rain-coats, table-cloths, curtains.
Applications:
30
MATRUSRI
ENGINEERING COLLEGE
Electrical insulation like coverings of electric cables.
31
MATRUSRI
ENGINEERING COLLEGE
Injection moulding of articles like Toys, tool-handles,
toiled-goods, radio-components, plastic-coated cloth,
chemical containers.
32
MATRUSRI
ENGINEERING COLLEGE
Thermal insulating foam used in buildings, cinemas and
aircrafts.
33
MATRUSRI
ENGINEERING COLLEGE
Conveyor belts used in coal mines etc.
34
MATRUSRI
ENGINEERING COLLEGE
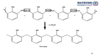
MODULE-5: BAKELITE
It is a phenol formaldehyde resin.
It is prepared by condensing phenol with formaldehyde in
presence of acidic or basic catalyst.
The initial reaction results in the formation of ortho and para
hydroxyl, methyl phenol
OH
CH2OH
OH
CH2OH
OH
CH2OH
CH2OH
HOH2C
OH
HCHO + +
Phenol
Formaldehyde
o-hydroxymethyl
phenol
p-hydroxymethyl
phenol
2,4,6-trihydroxymethyl
phenol
35
MATRUSRI
ENGINEERING COLLEGE
36
MATRUSRI
ENGINEERING COLLEGE
During moulding, hexamethylene tetramine [(CH2)6N4] are added.
It provides formaldehyde, which converts the soluble and fusible
novolac into a hard, infusible and insoluble solid of cross-linked
structure.
37
MATRUSRI
ENGINEERING COLLEGE
Properties:
•Bakelite is set to rigid, hard, scratch-resistant, infusible, water-
resistant.
• Insoluble solid which is resistant to non-oxidizing acids, salts and
many organic solvents.
•It is attacked by alkalis, because of the presence of free hydroxyl
group in their structure.
•It possesses excellent electrical insulating character.
38
MATRUSRI
ENGINEERING COLLEGE
Applications:
•It is used for making electric insulator parts like switches, plugs,
switch-boards, heater-handles, etc.
39
MATRUSRI
ENGINEERING COLLEGE
•For making moulded articles like telephone parts, cabinets for
radio and television.
40
MATRUSRI
ENGINEERING COLLEGE
•For impregnating fabrics, wood and paper.
•As adhesives for
grinding wheels.
41
MATRUSRI
ENGINEERING COLLEGE
•In paints and varnishes.
•As hydrogen-exchanger resins in water softening.
•For making bearing, used in propeller shafts for paper industry
and rolling mills.
42
MATRUSRI
ENGINEERING COLLEGE
MODULE-6: NYLON-6,6
The aliphatic polyamides are generally known as nylons
The nylons are usually indicated by a numbering system
The nylons obtained from dibasic acids and diamines are
usually represented by two numbers
The first one indicating the number of ‘C’ atoms in the diamine
and the second that in the dicarboxylic acid
43
MATRUSRI
ENGINEERING COLLEGE
Preparation
Heat
- 2n H2O
+
n n
44
MATRUSRI
ENGINEERING COLLEGE
Properties
• It has a good tensile strength, abrasion resistance and
toughness upto 150 oC
• It offers resistance to many solvents. However, it dissolves
in formic acid, cresols and phenols
• They are translucent, wheatish, horny, high melting polymers
(160 – 264 oC)
• They possess high thermal stability
• Self lubricating properties
• They possess high degree of crystallinity
• The interchain hydrogen bonds provide superior mechanical
strength (Kevlar fibers stronger than metals)
• Its Hardness is similar to tin 45
MATRUSRI
ENGINEERING COLLEGE
• It is used as a plastic as well as fiber
Uses
• This is used to produce tyre cord
• It is used to make mono filaments and roaps
46
MATRUSRI
ENGINEERING COLLEGE
• Nylon 6,6 is used to manufacture articles like brushes and
bristles
47
MATRUSRI
ENGINEERING COLLEGE
• Nylon 6,6 used as sutures
• Used in making socks, ladies hoses, under-
garments, dresses, carpets etc.
48
MATRUSRI
ENGINEERING COLLEGE
MODULE-7: KEVLAR
• It is an aromatic polyamide in which benzene
rings linked to the amide groups.
• It is prepared by condensation between
aromatic dichloride and aromatic diamines.
49
MATRUSRI
ENGINEERING COLLEGE
50
Properties:
• Kevlar is exceptionally strong, 5 times stronger than steel and 10 times
stronger than Al on a weight-for-weight bases.
• It has high heat stability and flexibility.
• The unique properties of kevlar are due to the delocalized bonding
which causes the benzene rings to be inflexible.
• The high electron-density in the chains of Kevlar also results in relatively
stronger vander waals intermolecular forces between neighboring
polymer molecules.
MATRUSRI
ENGINEERING COLLEGE
Applications:
• Kevlar is used extensively in the aerospace and aircraft industries.
51
MATRUSRI
ENGINEERING COLLEGE
Applications:
• As car parts such as tyres, brakes, clutch linings, etc.
52
MATRUSRI
ENGINEERING COLLEGE
• For making ropes, cables, protective clothing, bullet-
proof vests, motorcycle helmets and other high
performance materials.
53
MATRUSRI
ENGINEERING COLLEGE
MODULE-8: ELASTOMERS
Elastomer is defined as a long chain polymer which under
stress undergoes elongation by several times and regains its
original shape when the stress is fully released
Stretched
Returned to
randomization
54
MATRUSRI
ENGINEERING COLLEGE
Styrene rubber (GR-S or Buna-S or SBR)
Preparation
This is produced by copolymerization of butadiene
(about 75% by wt.) and styrene (about 25% by wt.)
H2C CH CH CH2
x
H2C CH
n
H2C CH CH CH2
n x
H2C CH
n
+
55
MATRUSRI
ENGINEERING COLLEGE
Properties
➢ It possess high abrasion-resistance
➢ It possess high load-bearing capacity and resilience
➢ It gets readily oxidized, especially in presence of traces of
ozone present in the atmosphere
➢ It swells in oils and solvents
➢ It can be vulcanized in the same way as natural rubber either
by sulphur or sulphur monochloride However, it requires less
sulphur, but more accelerators for vulcanization
➢ Styrene rubber resembles natural rubber in processing
characteristics as well as the quality of the finished products
56
MATRUSRI
ENGINEERING COLLEGE
Uses :It is used for the manufacture of
• floor tiles
• motor tyres • shoe soles
• gaskets • wire and cable insulations
57
MATRUSRI
ENGINEERING COLLEGE
Uses :It is used for the manufacture of
• carpet backing
• adhesives
• tank-lining
58
MATRUSRI
ENGINEERING COLLEGE
Butyl rubber
• It is made by copolymerization of isobutene
with small amounts of isoprene.
C
H2 C
CH3
CH3
+
C
H2 C CH CH2
CH3
m n CH2 C
CH3
CH3
CH2 C CH CH2
CH3
m
n
Isobutene
Isoprene
Polyisobutene-co-isoprene
(Butyl rubber)
59
MATRUSRI
ENGINEERING COLLEGE
Properties
➢It possesses outstanding low permeability to air and other
gases.
➢It has excellent resistance to heat, abrasion, ageing.
➢Chemicals such as H2SO4, HNO3, HCl and HF, polar solvents
like alcohol and acetone, but is soluble in hydrocarbon
solvents like benzene.
➢It has high resistance to ozone and good electrical insulating
properties.
➢It can be vulcanized, but it cannot be hardened much, due to
very low unsaturation. 60
MATRUSRI
ENGINEERING COLLEGE
Uses ➢For making cycle and automobile tubes, automobile parts,
hoses, conveyor belts for food and other materials, tank-
linings, insulation for high voltage wires and cables,etc.
61
MATRUSRI
ENGINEERING COLLEGE
Silicone rubber
Silicone resins contain alternate silicone – oxygen structure,
which has organic radicals attached to silicone atoms
Si
O
C
C
H
H
H
H
H
H
Si
O
C
C
H
H
H
H
H
H
O
62
MATRUSRI
ENGINEERING COLLEGE
Silicone rubber
Silicone resins contain alternate silicone – oxygen structure,
which has organic radicals attached to silicone atoms
Si
O
C
C
H
H
H
H
H
H
Si
O
C
C
H
H
H
H
H
H
O
63
MATRUSRI
ENGINEERING COLLEGE
Dimethyl silicone dichloride is bifunctional and
can yield very long chain polymer
CH3
CH3
O
Si
n
CH3
CH3
Cl Cl
Si
n
CH3
CH3
HO OH
Si
n
unstable
Hydrolysis
- HCl
H2O
polymerization
CH3
CH3
O
Si
( )
unstable
64
MATRUSRI
ENGINEERING COLLEGE
Vulcanized silicone rubbers are obtained by mixing high
molecular weight linear dimethyl silicone polymers with
filler
The fillers are either a finely divided silicon dioxide
or a peroxide
It may also contain the curing agents
Peroxide causes the formation of dimethyl bridge
(cross link) between methyl groups of adjacent chains
65
MATRUSRI
ENGINEERING COLLEGE
O +
CH3
O
Si
CH2
H
CH3
CH3
O
Si
CH3
CH3
O
Si
CH3
CH3
O
Si
CH3
CH3
O
Si
CH3
O
Si
CH2
H CH3
CH3
O
Si
CH3
CH3
O
Si
CH3
CH3
O
Si
CH3
CH3
O
Si
H2O
66
MATRUSRI
ENGINEERING COLLEGE
CH3
O
Si
CH2
CH3
CH3
O
Si
CH3
CH3
O
Si
CH3
CH3
O
Si
CH3
CH3
O
Si
CH3
O
Si
CH2 CH3
CH3
O
Si
CH3
CH3
O
Si
CH3
CH3
O
Si
CH3
CH3
O
Si
67
MATRUSRI
ENGINEERING COLLEGE
Properties
They possess exceptional resistance to
• prolonged exposure to sun light
• weathering
• most of the common oils
• boiling water
• dilute acids and alkalies
They remain flexible in the temp. range of 90 – 250 OC
hence, find use in making tyres of fighter aircrafts,
since they prevent damage on landing. Ordinary rubber
tyre becomes brittle and hence disintegrates
Silicone rubber at very high temp. s (as in case of fibers)
decomposes; leaving behind the non-conducting silica
(SiO2), instead of carbon tar 68
MATRUSRI
ENGINEERING COLLEGE
Uses
• as a sealing material in search-lights and in aircraft engines
• for manufacture of tyres for fighter aircrafts
69
MATRUSRI
ENGINEERING COLLEGE
• for insulating the electrical wiring in ships
• For making insulation for washing
machines and electric blankets for iron
board covers
70
MATRUSRI
ENGINEERING COLLEGE
• For making artificial heart valves, transfusion
tubing and padding for plastic surgery
71
MATRUSRI
ENGINEERING COLLEGE
• In making lubricants, paints and protective coatings for
fabric finishing and water proofing
• as adhesive in electronics industry
• For making boots for use at
very low temp., since they are
less affected by temperature
variation
e.g., Neil Armstrong used
silicone rubber boots when he
walked on the moon
72
MATRUSRI
ENGINEERING COLLEGE
MODULE-9: Conducting Polymers
1. Polymers which show electrical conductivity on par with
metallic conductors are known as conducting polymers.
2. Conductivities as high as 1.5 x 107 ohm-1m-1 have been
attained in these polymeric materials.
3. On volume basis, this value is equal to one-fourth of the
conductivity of copper, or is twice its conductivity on the
basis of weight.
MATRUSRI
ENGINEERING COLLEGE
Classification of Conducting Polymers
MATRUSRI
ENGINEERING COLLEGE
Intrinsically Conducting Polymers
These types of polymers have a backbone made up
of extensive conjugated system, which is responsible
for conductance. They may be of two types:
1.Conjugated π – electrons conducting polymers
2. Doped conducting polymers
MATRUSRI
ENGINEERING COLLEGE
Conjugated π – electrons conducting polymers
Contain a conjugated π-electron system on their backbone. In presence
of electrical field, conjugated π -electrons of the polymer get excited,
thereby can be transported through the polymeric chain.
Overlapping of orbitals of conjugated π electrons over the entire
backbone results in the formation of valence bands as well as conduction
bands, which extend over the entire polymer molecule.
The presence of conjugated π -electrons in polymers increases its
conductivity.
Example: polyacetylene
MATRUSRI
ENGINEERING COLLEGE
Conjugated π – electrons conducting polymers
The polymer is called a ‘conjugated polymer’ because of the alternating
single and double bonds in the polymer chain.
Due to the special conjugation in their chains, it enables the electrons to
de-localize throughout the whole system and thus many atoms may
share them.
The de-localized electrons may move around the whole system and
become the charge carriers to make them conductive.
MATRUSRI
ENGINEERING COLLEGE
cis-polyacetylene has a lower conductivity of
1.7×10−9 Ω−1cm−1
trans-polyacetylene films have a conductivity of
4.4×10−5 Ω−1cm−1
MATRUSRI
ENGINEERING COLLEGE
Ex: Polyacetylene, poly-p-phenylene,
polyquinoline,polyaniline,
polyanthrylene, polyphenanthrylene, polypyrrole,
polythiophene etc.
MATRUSRI
ENGINEERING COLLEGE
Doped conducting polymers
➢They are obtained by exposing a polymer to a charged transfer agent in
either gas phase or in solution.
➢The conductivity of intrinsically conducting polymers can be
increased by creating either positive or negative charge on the polymer
backbone by oxidation or reduction.
Doping may be of two types:
a)P- doping b)n-doping
a)p-doping
In this process, the conducting polymer is treated with a Lewis acid like I2,
Br2, AsF5, PF6, naphthylamine etc., It involves oxidation process thereby
creating a positive charge on the polymer backbone.
MATRUSRI
ENGINEERING COLLEGE
(CH)x + A ---------→ (CH)X
+ A-
Polyacetylene Lewis acid p-Doped
polyacetylene
b)n-doping: It involves reduction process where the
conducting polymer is treated with a Lewis base like Li, Na,
Ca, tetrabutyl ammonium, dianionic aromatic hydrocarbons
etc.,
(CH)x + B ---------→ (CH)x
- B+
Polyacetylene Lewis base n-Doped polyacetylene
MATRUSRI
ENGINEERING COLLEGE
Extrinsically conducting polymers
These polymers owe their conductivity due to the presence of
externally added ingredients in them. They are of two types :
Conductivity element filled polymer:
It is a resin or polymer filled with conducting elements such as
carbon black, metallic fibres, metal oxides, etc. In this, the polymer
acts as the binder to hold the conducting elements together in the
solid entity.
Example: epoxy resin (ER) and poly vinyl chloride (PVC) are
polymers filled with metal powders such as Copper and nickel
powder ,carbon black , silica etc.,
MATRUSRI
ENGINEERING COLLEGE
MATRUSRI
ENGINEERING COLLEGE
Some of the important characteristics of extrinsically
conducting polymers are
(a)They possess good bulk conductivity.
(b)They are cheaper.
(c)They are light in weight.
(d) They are mechanically durable and strong.
(e)They are easily processable in different forms, shapes and
sizes.
Blended conducting polymer:
It is obtained by blending a conventional polymer with a
conducting polymer either by physical or chemical change. Such
polymer can be easily processed and possess better physical,
chemically and mechanical properties.
MATRUSRI
ENGINEERING COLLEGE
Ex: Graphene + PMMA
Used in lightening strike
protection,Electromagnetic shielding
MATRUSRI
ENGINEERING COLLEGE
Synthesis of polyacetylene
Mechanism of conduction in polyacetylene
P-doping n-doping
I2/CCl4
MATRUSRI
ENGINEERING COLLEGE
Comparision between conducting polymers and other m
MATRUSRI
ENGINEERING COLLEGE
Applications of Conducting polymers
POLYPYRROLE,POLYPROPYLENE
POLYANILINE,POLYPJENULENE VINYLENE
MATRUSRI
ENGINEERING COLLEGE
OPTO ELECTRONIC DEVICES
MATRUSRI
ENGINEERING COLLEGE
DRUG DELIVERY SYSTEM IN HUMAN BODY
MATRUSRI
ENGINEERING COLLEGE
And many more applications still under research....
MATRUSRI
ENGINEERING COLLEGE
Plastic Waste
MATRUSRI
ENGINEERING COLLEGE
Biodegradable polymers are the polymers that breakdown and lose
their initial integrity by bacterial decomposition process.
MODULE-10: Biodegradable Polymers
This biological decomposition process results in natural byproducts
such as gases (CO2, N2), water, biomass, and inorganic salts.
MATRUSRI
ENGINEERING COLLEGE
There are many natural and synthetic polymers available.
Biodegradable polymers largely consists of ester, amide and their functional
groups
These polymers are often synthesized by condensation reactions, ring
opening polymerization, and metal catalysts.
Diverse applications such as surgical sutures, wound dressings, tissue
regeneration, enzyme immobilization, controlled drug delivery and gene
delivery, tissue engineering scaffold, cryopreservation, nanotechnology,
medical implants and devices, prosthetics, augmentation, cosmetics,
sanitation products, coatings, adhesives, and many more.
MATRUSRI
ENGINEERING COLLEGE
Polyglycolic acid(PGA)
Polylactic acid (PLA)
Polyhydroxy butyrate (PHB)
Polyhydroxy butyrates-co-beta hydroxyl valerate( PHBV)
Polycaprolactone(pcl)
Nylon-2-nylon-6.
Polysaccharides, as starch and cellulose, represent the most
characteristic family of these.
Examples Biodegradable Polymers:
MATRUSRI
ENGINEERING COLLEGE
Poly(lactic acid) or polylactide (PLA) is a thermoplastic aliphatic polyester
derived from renewable resources, such as corn starch (in the United
States), tapioca roots, chips or starch (mostly in Asia), or sugarcane.
POLYLACTIC ACID (PLA)
Synthesis:
Bacterial fermentation is used to produce lactic acid from corn starch or
cane sugar.
Lactic acid cannot be polymerised to a useful product because each
reaction generates one molecule of water, presence of which degrades the
forming polymer chain.
Due to this low molecular weight polymers will be formed. Instead, two
lactic acids are dimerized to di-lactic ester.
Although dimerization generates water, it can be separated prior to
polymerisation.
MATRUSRI
ENGINEERING COLLEGE
PLA of high molecular weight is produced from di-lactic ester by ring opening
polymerization using stannous octate catalyst.
MATRUSRI
ENGINEERING COLLEGE
PLA is soluble in solvents, hot benzene, tetrahydrofuran, and
dioxane.
Polylactic acid can be processed like most thermoplastics into fibre
and film.
PLA polymers range from amorphous glassy polymer to semi-
crystalline and highly crystalline polymer with a glass transition 60–
65 °C.
The melting temperature of PLA can be increased 40-50 °C
Heat deflection temperature can be increased from approximately
60°C to up to 190 °C by physically blending the polymer with PDLA
(poly-D-lactide).
Properties of PLA:
MATRUSRI
ENGINEERING COLLEGE
Applications of Polylactic acid:
Poly (lactic acid) can be processed by extrusion, injection
moulding, film & sheet casting, and spinning, providing access
to a wide range of materials.
MATRUSRI
ENGINEERING COLLEGE
In the form of fibres and
non-woven textiles,
As upholstery,
disposable garments,
awnings,
feminine hygiene products,
and diapers.
MATRUSRI
ENGINEERING COLLEGE
PLA is used as medical implants in the form of anchors, screws, plates,
pins, rods, and as a mesh.
MATRUSRI
ENGINEERING COLLEGE
Material chemistry

Material chemistry

  • 1.
    MATRUSRI ENGINEERING COLLEGE DEPARTMENTOF SCIENCES AND HUMANITIES SUBJECT NAME: CHEMISTRY FACULTY NAME: VISHNU THUMMA MATRUSRI ENGINEERING COLLEGE TOPIC: MATERIAL CHEMISTRY
  • 2.
    CHEMISTRY 2 COURSE OBJECTIVES: ➢Correlate theproperties of materials with their internal structure and use the for Engineering applications ➢Apply the principles of electrochemistry in storage of electrical energy in batteries. ➢Gains knowledge in causes of corrosion and its prevention. ➢Attains knowledge about the disadvantages of hard water for domestic and industrial purposes. ➢Also learns the techniques of softening of hard water and treatment of water for drinking purpose. ➢Exposed to qualitative and quantitative parameters of chemical fuels. ➢Aware eco-friendly materials and processes. MATRUSRI ENGINEERING COLLEGE
  • 3.
    CHEMISTRY 3 COURSE OUTCOMES: Aftercompletion of course students will be able to ➢Analyze and apply knowledge of electrodics in calculation of cell potentials of batteries. ➢Identify the different types of hardness and alkalinities in water and make use of softening methods, analyze and apply the knowledge of corrosion for its prevention. ➢Discuss different types of polymers based on their end on use and the need to replace the conventional polymers with polymers of engineering applications. ➢Identify and analyze different types of chemical fuels for domestic and automobile applications. ➢Outline the principles of green chemistry for sustainable environment and preparation of biodiesel from renewable sources. MATRUSRI ENGINEERING COLLEGE
  • 4.
    UNIT-III MATERIAL CHEMISTRY 4 COURSEOUTCOMES: After completion of course students will be able to discuss different types of polymers based on their end on use and the need to replace the conventional polymers with polymers of engineering applications. MATRUSRI ENGINEERING COLLEGE
  • 5.
    MODULE-1: BASIC TERMINOLOGYOF POLYMERS The word polymer is derived from the two greek words poly and mers Polymers are macro molecules built-ip by linking together of smaller molecules, called Monomers parts or units many C C C C C C H H H H H H H H H H H H Polyethylene (PE) mer Cl Cl Cl C C C C C C H H H H H H H H H Polyvinyl chloride (PVC) mer Polypropylene (PP) CH3 C C C C C C H H H H H H H H H CH3 CH3 mer e.g. MATRUSRI ENGINEERING COLLEGE 5
  • 6.
    Examples: Polyethylene isformed by linking a large number of ethylene molecules n C C H H H H C C H H H H n Polymerisation Ethylene polyethylene polystyrene is formed by linking styrene molecules H styrene polystyrene C C H H n Polymerisation n C C H H H Polymerization: The process of chemical combination of small molecules (monomers) to form large sized molecules (polymers) is called polymerization. MATRUSRI ENGINEERING COLLEGE 6
  • 7.
    The number ofrepeating units (n) in the chain is known as the degree of polymerization. Polymers with high degree of polymerization are called high polymers and these have very high molecular weights (104 to 106). Polymers with low degree of polymerization are called oligomers. e.g., D.P. MATRUSRI ENGINEERING COLLEGE 7
  • 8.
    Functionality: the numberof reactive sites or bonding sites Ethylene Vinyl chloride 1,3 butadiene MATRUSRI ENGINEERING COLLEGE 8
  • 9.
    Some bi functionalhydrocarbons adipic acid (hexanedioic acid) 1,6-hexanediamine Terephthalic acid ethylene glycol MATRUSRI ENGINEERING COLLEGE 9
  • 10.
    Nomenclature of Polymers Homopolymer:A polymer consisting of identical monomers is called Homopolymer. Ex: Polyethylene, PVC, Teflon MATRUSRI ENGINEERING COLLEGE 10
  • 11.
    Copolymer: Polymer formedby two or more monomers of different chemical structures is called Copolymers Styrene-butadiene rubber (Buna-S) MATRUSRI ENGINEERING COLLEGE 11
  • 12.
    Based on themolecular structure polymers can be classified as ➢Linear ➢Branched ➢Cross-linked the monomeric units combine linearly with each other In linear polymers, secondary bonding MATRUSRI ENGINEERING COLLEGE 12
  • 13.
    Branched polymers Cross linkedpolymers Graft copolymer: The monomers of the polymer in back bone and branch chain differ MATRUSRI ENGINEERING COLLEGE 13
  • 14.
    Based on theresponse to heat ➢Thermo plastic ➢Thermosetting soften on heating and can be converted into any shape and can retain its shape on cooling thermosoftening or thermoplastics MATRUSRI ENGINEERING COLLEGE 14
  • 15.
    under go chemicalchange on heating and convert themselves into an infusible mass thermosetting polymers Covalent bond MATRUSRI ENGINEERING COLLEGE 15
  • 16.
    Differences between thermoplasticsand thermosetting plastics: These are formed by additional polymerization. These are formed by condensation Polymerization These are long chain linear macromolecules Their set molecules have three dimensional cross –linked network structure. The adjacent polymer chains are held together by either vander wal forces or by dipole-dipole or H-bonds. Polymer chains are held together by strong covalent bonds. They can be remoulded, reshaped and reused. They cannot be remoulded. They can be reclaimed from waste. They cannot be reclaimed from waste. Thermoplasts are soluble in organic solvents These are insoluble in almost all the solvents. These are soft, weak and less brittle. These are hard, strong and more brittle. Ex: PE, PVC andTeflon. Ex: Bakelite and Urea Formaldehyde resins. MATRUSRI ENGINEERING COLLEGE 16
  • 17.
    MODULE-2: Polymerisation Reactions Thereare three types of polymerization reactions. • Addition (chain growth) polymerization • Condensation (step growth) polymerization • Copolymerization MATRUSRI ENGINEERING COLLEGE 17
  • 18.
    Addition Polymerization: It isa reaction that yields a product, which is an exact multiple of the original monomeric molecule. Such a monomer molecule, usually contains one or more double bonds, which by intermolecular rearrangement, may make the molecule bifunctional. Must be instigated by the application of heat, light, pressure or a catalyst for breaking down the double covalent bonds of monomers. C C H H H H n C C H H H H n Ethylene (Monomer) Polyethene (Polymer) Polymerization n Bifunctinal molecules C C H H H H Rearrangement (Heat, Light, Pressure or catalyst) MATRUSRI ENGINEERING COLLEGE 18
  • 19.
    Condensation Polymerization: A reactionoccurring between simple polar group containing monomers with the formation of polymer and elimination of small molecules like water, HCl, etc. For example, hexamethylene diamine and adipic acid condense to form a polymer, nylon 6:6 Thus, it is an intermolecular combination, and it takes place through the different functional group in the monomers having the affinity for each other. MATRUSRI ENGINEERING COLLEGE 19
  • 20.
    DISTINGUISHING FEATURES OF ADDITIONAND CONDENSATION POLYMERISATION ADDITION CONDENSATION Monomers undergo self addition to each other without loss of by products Monomers undergo intermolecular condensation with continuous elimination of by products such as H2O, NH3, HCl, etc., It follows chain mechanism It follows step mechanism Unsaturated vinyl compounds undergo addition polymeristion Monomers containing the functional groups (- OH, -COOH, -NH2, ….) undergo this polymerization Monomers are linked together through C – C covalent linkages Covalent linkages are through their functional groups High polymers are formed fast The reaction is slow and the polymer molecular weight increases steadily throughout the reaction Linear polymers are produced with or without branching Linear or cross linked polymers are produced e.g., polystryrene, plexiglass, PVC, etc., e.g., nylons, terylene, PF resins, etc., MATRUSRI ENGINEERING COLLEGE 20
  • 21.
    Copolymerization • It isthe joint polymerization of two or more monomer species. • High molecular-weight compounds obtained by copolymerization are called copolymers. • For example, butadiene and styrene copolymerize to yield Buna-S rubber. MATRUSRI ENGINEERING COLLEGE 21
  • 22.
    Addition polymerization canbe explained on the basis of free radical mechanism It involves three stages viz., (i) Initiation (ii) Propagation (iii) termination D or u.v.light I (Initiator) R* (Free radical) Initiation MATRUSRI ENGINEERING COLLEGE Module-3: Free Radical Polymerization 22
  • 23.
    C C H X H H + R* (Freeradical) Vinyl monomer C C * H H X H R (new free radical) The new free radicals attack monomer molecules further in quick succession leading to chain propagation Vinyl monomer C C H X H H C* + C H H X H R (Free radical) C C H H X H R C C* H H X H (new free radical) Propagation MATRUSRI ENGINEERING COLLEGE 23
  • 24.
    Vinyl monomer C C H XH H + (new free radical) C C H H X H R C C* H H X H (another new free radical) C* C H H X H C C H H X H R C C H H X H at m th stage, C C H X H H + C H H R C X H C H H C X H m-2 C* C H H X H C H H R C X H C H H C X H m-1 C* C H H X H MATRUSRI ENGINEERING COLLEGE 24
  • 25.
    At some stagethis chain propagation is terminated when the free radicals combine either by coupling (combining) of the two radicals or by disproportionation R C H H C X H m-1 C* C H H X H R C H H C X H m-1 C* X H C H H + R C H H C X H m-1 C C H H X H R C H H C X H m-1 C H H C X H saturated highpolymer (dead polymer) coupling MATRUSRI ENGINEERING COLLEGE 25
  • 26.
    R C H H C X H m-1 C* C H H X H +R C H H C X H m-1 C* X H C H H + R C H H C X H m-1 C C H X H H R C H H C X H m-1 C H H C X H saturated oligomer unsaturated oligomer (dead polymer) (dead polymer) disproportionation MATRUSRI ENGINEERING COLLEGE 26
  • 27.
    MODULE-4: Polyvinyl Chloride(PVC) Preparation H C C Cl H H n Water emulsion polymerization peroxide H C C Cl H H n Properties • It is colourless, odourless, non-inflammable and chemically inert powder. • It is resistant to light, atmospheric oxygen, inorganic acids and alkalis. • It is soluble in hot chlorinated hydrocarbons such as ethyl chloride. • Pure resin possesses a high softening point (1480C) and a greater stiffness and rigidity. 27 MATRUSRI ENGINEERING COLLEGE
  • 28.
    Rigid PVC (UnplasticizedPVC): It has superior chemical resistance and high rigidity, but is brittle. Applications: It is used for making sheets, which are employed for ➢tank-linings, light-fittings ➢safety helmets ➢refrigerator components ➢cycle and motor cycle mudguards. 28 MATRUSRI ENGINEERING COLLEGE
  • 29.
    It is alsoextruded in strip and tube form for use in place of non-ferrous metals. 29 MATRUSRI ENGINEERING COLLEGE
  • 30.
    Plasticized PVC: It isobtained by adding plasticizers such as dibutyl phthalate, dioctyl phthalate, tricresyl phosphate. It used for making continuous sheets employed for Packing, rain-coats, table-cloths, curtains. Applications: 30 MATRUSRI ENGINEERING COLLEGE
  • 31.
    Electrical insulation likecoverings of electric cables. 31 MATRUSRI ENGINEERING COLLEGE
  • 32.
    Injection moulding ofarticles like Toys, tool-handles, toiled-goods, radio-components, plastic-coated cloth, chemical containers. 32 MATRUSRI ENGINEERING COLLEGE
  • 33.
    Thermal insulating foamused in buildings, cinemas and aircrafts. 33 MATRUSRI ENGINEERING COLLEGE
  • 34.
    Conveyor belts usedin coal mines etc. 34 MATRUSRI ENGINEERING COLLEGE
  • 35.
    MODULE-5: BAKELITE It isa phenol formaldehyde resin. It is prepared by condensing phenol with formaldehyde in presence of acidic or basic catalyst. The initial reaction results in the formation of ortho and para hydroxyl, methyl phenol OH CH2OH OH CH2OH OH CH2OH CH2OH HOH2C OH HCHO + + Phenol Formaldehyde o-hydroxymethyl phenol p-hydroxymethyl phenol 2,4,6-trihydroxymethyl phenol 35 MATRUSRI ENGINEERING COLLEGE
  • 36.
  • 37.
    During moulding, hexamethylenetetramine [(CH2)6N4] are added. It provides formaldehyde, which converts the soluble and fusible novolac into a hard, infusible and insoluble solid of cross-linked structure. 37 MATRUSRI ENGINEERING COLLEGE
  • 38.
    Properties: •Bakelite is setto rigid, hard, scratch-resistant, infusible, water- resistant. • Insoluble solid which is resistant to non-oxidizing acids, salts and many organic solvents. •It is attacked by alkalis, because of the presence of free hydroxyl group in their structure. •It possesses excellent electrical insulating character. 38 MATRUSRI ENGINEERING COLLEGE
  • 39.
    Applications: •It is usedfor making electric insulator parts like switches, plugs, switch-boards, heater-handles, etc. 39 MATRUSRI ENGINEERING COLLEGE
  • 40.
    •For making mouldedarticles like telephone parts, cabinets for radio and television. 40 MATRUSRI ENGINEERING COLLEGE
  • 41.
    •For impregnating fabrics,wood and paper. •As adhesives for grinding wheels. 41 MATRUSRI ENGINEERING COLLEGE
  • 42.
    •In paints andvarnishes. •As hydrogen-exchanger resins in water softening. •For making bearing, used in propeller shafts for paper industry and rolling mills. 42 MATRUSRI ENGINEERING COLLEGE
  • 43.
    MODULE-6: NYLON-6,6 The aliphaticpolyamides are generally known as nylons The nylons are usually indicated by a numbering system The nylons obtained from dibasic acids and diamines are usually represented by two numbers The first one indicating the number of ‘C’ atoms in the diamine and the second that in the dicarboxylic acid 43 MATRUSRI ENGINEERING COLLEGE
  • 44.
    Preparation Heat - 2n H2O + nn 44 MATRUSRI ENGINEERING COLLEGE
  • 45.
    Properties • It hasa good tensile strength, abrasion resistance and toughness upto 150 oC • It offers resistance to many solvents. However, it dissolves in formic acid, cresols and phenols • They are translucent, wheatish, horny, high melting polymers (160 – 264 oC) • They possess high thermal stability • Self lubricating properties • They possess high degree of crystallinity • The interchain hydrogen bonds provide superior mechanical strength (Kevlar fibers stronger than metals) • Its Hardness is similar to tin 45 MATRUSRI ENGINEERING COLLEGE
  • 46.
    • It isused as a plastic as well as fiber Uses • This is used to produce tyre cord • It is used to make mono filaments and roaps 46 MATRUSRI ENGINEERING COLLEGE
  • 47.
    • Nylon 6,6is used to manufacture articles like brushes and bristles 47 MATRUSRI ENGINEERING COLLEGE
  • 48.
    • Nylon 6,6used as sutures • Used in making socks, ladies hoses, under- garments, dresses, carpets etc. 48 MATRUSRI ENGINEERING COLLEGE
  • 49.
    MODULE-7: KEVLAR • Itis an aromatic polyamide in which benzene rings linked to the amide groups. • It is prepared by condensation between aromatic dichloride and aromatic diamines. 49 MATRUSRI ENGINEERING COLLEGE
  • 50.
    50 Properties: • Kevlar isexceptionally strong, 5 times stronger than steel and 10 times stronger than Al on a weight-for-weight bases. • It has high heat stability and flexibility. • The unique properties of kevlar are due to the delocalized bonding which causes the benzene rings to be inflexible. • The high electron-density in the chains of Kevlar also results in relatively stronger vander waals intermolecular forces between neighboring polymer molecules. MATRUSRI ENGINEERING COLLEGE
  • 51.
    Applications: • Kevlar isused extensively in the aerospace and aircraft industries. 51 MATRUSRI ENGINEERING COLLEGE
  • 52.
    Applications: • As carparts such as tyres, brakes, clutch linings, etc. 52 MATRUSRI ENGINEERING COLLEGE
  • 53.
    • For makingropes, cables, protective clothing, bullet- proof vests, motorcycle helmets and other high performance materials. 53 MATRUSRI ENGINEERING COLLEGE
  • 54.
    MODULE-8: ELASTOMERS Elastomer isdefined as a long chain polymer which under stress undergoes elongation by several times and regains its original shape when the stress is fully released Stretched Returned to randomization 54 MATRUSRI ENGINEERING COLLEGE
  • 55.
    Styrene rubber (GR-Sor Buna-S or SBR) Preparation This is produced by copolymerization of butadiene (about 75% by wt.) and styrene (about 25% by wt.) H2C CH CH CH2 x H2C CH n H2C CH CH CH2 n x H2C CH n + 55 MATRUSRI ENGINEERING COLLEGE
  • 56.
    Properties ➢ It possesshigh abrasion-resistance ➢ It possess high load-bearing capacity and resilience ➢ It gets readily oxidized, especially in presence of traces of ozone present in the atmosphere ➢ It swells in oils and solvents ➢ It can be vulcanized in the same way as natural rubber either by sulphur or sulphur monochloride However, it requires less sulphur, but more accelerators for vulcanization ➢ Styrene rubber resembles natural rubber in processing characteristics as well as the quality of the finished products 56 MATRUSRI ENGINEERING COLLEGE
  • 57.
    Uses :It isused for the manufacture of • floor tiles • motor tyres • shoe soles • gaskets • wire and cable insulations 57 MATRUSRI ENGINEERING COLLEGE
  • 58.
    Uses :It isused for the manufacture of • carpet backing • adhesives • tank-lining 58 MATRUSRI ENGINEERING COLLEGE
  • 59.
    Butyl rubber • Itis made by copolymerization of isobutene with small amounts of isoprene. C H2 C CH3 CH3 + C H2 C CH CH2 CH3 m n CH2 C CH3 CH3 CH2 C CH CH2 CH3 m n Isobutene Isoprene Polyisobutene-co-isoprene (Butyl rubber) 59 MATRUSRI ENGINEERING COLLEGE
  • 60.
    Properties ➢It possesses outstandinglow permeability to air and other gases. ➢It has excellent resistance to heat, abrasion, ageing. ➢Chemicals such as H2SO4, HNO3, HCl and HF, polar solvents like alcohol and acetone, but is soluble in hydrocarbon solvents like benzene. ➢It has high resistance to ozone and good electrical insulating properties. ➢It can be vulcanized, but it cannot be hardened much, due to very low unsaturation. 60 MATRUSRI ENGINEERING COLLEGE
  • 61.
    Uses ➢For makingcycle and automobile tubes, automobile parts, hoses, conveyor belts for food and other materials, tank- linings, insulation for high voltage wires and cables,etc. 61 MATRUSRI ENGINEERING COLLEGE
  • 62.
    Silicone rubber Silicone resinscontain alternate silicone – oxygen structure, which has organic radicals attached to silicone atoms Si O C C H H H H H H Si O C C H H H H H H O 62 MATRUSRI ENGINEERING COLLEGE
  • 63.
    Silicone rubber Silicone resinscontain alternate silicone – oxygen structure, which has organic radicals attached to silicone atoms Si O C C H H H H H H Si O C C H H H H H H O 63 MATRUSRI ENGINEERING COLLEGE
  • 64.
    Dimethyl silicone dichlorideis bifunctional and can yield very long chain polymer CH3 CH3 O Si n CH3 CH3 Cl Cl Si n CH3 CH3 HO OH Si n unstable Hydrolysis - HCl H2O polymerization CH3 CH3 O Si ( ) unstable 64 MATRUSRI ENGINEERING COLLEGE
  • 65.
    Vulcanized silicone rubbersare obtained by mixing high molecular weight linear dimethyl silicone polymers with filler The fillers are either a finely divided silicon dioxide or a peroxide It may also contain the curing agents Peroxide causes the formation of dimethyl bridge (cross link) between methyl groups of adjacent chains 65 MATRUSRI ENGINEERING COLLEGE
  • 66.
  • 67.
  • 68.
    Properties They possess exceptionalresistance to • prolonged exposure to sun light • weathering • most of the common oils • boiling water • dilute acids and alkalies They remain flexible in the temp. range of 90 – 250 OC hence, find use in making tyres of fighter aircrafts, since they prevent damage on landing. Ordinary rubber tyre becomes brittle and hence disintegrates Silicone rubber at very high temp. s (as in case of fibers) decomposes; leaving behind the non-conducting silica (SiO2), instead of carbon tar 68 MATRUSRI ENGINEERING COLLEGE
  • 69.
    Uses • as asealing material in search-lights and in aircraft engines • for manufacture of tyres for fighter aircrafts 69 MATRUSRI ENGINEERING COLLEGE
  • 70.
    • for insulatingthe electrical wiring in ships • For making insulation for washing machines and electric blankets for iron board covers 70 MATRUSRI ENGINEERING COLLEGE
  • 71.
    • For makingartificial heart valves, transfusion tubing and padding for plastic surgery 71 MATRUSRI ENGINEERING COLLEGE
  • 72.
    • In makinglubricants, paints and protective coatings for fabric finishing and water proofing • as adhesive in electronics industry • For making boots for use at very low temp., since they are less affected by temperature variation e.g., Neil Armstrong used silicone rubber boots when he walked on the moon 72 MATRUSRI ENGINEERING COLLEGE
  • 73.
    MODULE-9: Conducting Polymers 1.Polymers which show electrical conductivity on par with metallic conductors are known as conducting polymers. 2. Conductivities as high as 1.5 x 107 ohm-1m-1 have been attained in these polymeric materials. 3. On volume basis, this value is equal to one-fourth of the conductivity of copper, or is twice its conductivity on the basis of weight. MATRUSRI ENGINEERING COLLEGE
  • 74.
    Classification of ConductingPolymers MATRUSRI ENGINEERING COLLEGE
  • 75.
    Intrinsically Conducting Polymers Thesetypes of polymers have a backbone made up of extensive conjugated system, which is responsible for conductance. They may be of two types: 1.Conjugated π – electrons conducting polymers 2. Doped conducting polymers MATRUSRI ENGINEERING COLLEGE
  • 76.
    Conjugated π –electrons conducting polymers Contain a conjugated π-electron system on their backbone. In presence of electrical field, conjugated π -electrons of the polymer get excited, thereby can be transported through the polymeric chain. Overlapping of orbitals of conjugated π electrons over the entire backbone results in the formation of valence bands as well as conduction bands, which extend over the entire polymer molecule. The presence of conjugated π -electrons in polymers increases its conductivity. Example: polyacetylene MATRUSRI ENGINEERING COLLEGE
  • 77.
    Conjugated π –electrons conducting polymers The polymer is called a ‘conjugated polymer’ because of the alternating single and double bonds in the polymer chain. Due to the special conjugation in their chains, it enables the electrons to de-localize throughout the whole system and thus many atoms may share them. The de-localized electrons may move around the whole system and become the charge carriers to make them conductive. MATRUSRI ENGINEERING COLLEGE
  • 78.
    cis-polyacetylene has alower conductivity of 1.7×10−9 Ω−1cm−1 trans-polyacetylene films have a conductivity of 4.4×10−5 Ω−1cm−1 MATRUSRI ENGINEERING COLLEGE
  • 79.
    Ex: Polyacetylene, poly-p-phenylene, polyquinoline,polyaniline, polyanthrylene,polyphenanthrylene, polypyrrole, polythiophene etc. MATRUSRI ENGINEERING COLLEGE
  • 80.
    Doped conducting polymers ➢Theyare obtained by exposing a polymer to a charged transfer agent in either gas phase or in solution. ➢The conductivity of intrinsically conducting polymers can be increased by creating either positive or negative charge on the polymer backbone by oxidation or reduction. Doping may be of two types: a)P- doping b)n-doping a)p-doping In this process, the conducting polymer is treated with a Lewis acid like I2, Br2, AsF5, PF6, naphthylamine etc., It involves oxidation process thereby creating a positive charge on the polymer backbone. MATRUSRI ENGINEERING COLLEGE
  • 81.
    (CH)x + A---------→ (CH)X + A- Polyacetylene Lewis acid p-Doped polyacetylene b)n-doping: It involves reduction process where the conducting polymer is treated with a Lewis base like Li, Na, Ca, tetrabutyl ammonium, dianionic aromatic hydrocarbons etc., (CH)x + B ---------→ (CH)x - B+ Polyacetylene Lewis base n-Doped polyacetylene MATRUSRI ENGINEERING COLLEGE
  • 82.
    Extrinsically conducting polymers Thesepolymers owe their conductivity due to the presence of externally added ingredients in them. They are of two types : Conductivity element filled polymer: It is a resin or polymer filled with conducting elements such as carbon black, metallic fibres, metal oxides, etc. In this, the polymer acts as the binder to hold the conducting elements together in the solid entity. Example: epoxy resin (ER) and poly vinyl chloride (PVC) are polymers filled with metal powders such as Copper and nickel powder ,carbon black , silica etc., MATRUSRI ENGINEERING COLLEGE
  • 83.
  • 84.
    Some of theimportant characteristics of extrinsically conducting polymers are (a)They possess good bulk conductivity. (b)They are cheaper. (c)They are light in weight. (d) They are mechanically durable and strong. (e)They are easily processable in different forms, shapes and sizes. Blended conducting polymer: It is obtained by blending a conventional polymer with a conducting polymer either by physical or chemical change. Such polymer can be easily processed and possess better physical, chemically and mechanical properties. MATRUSRI ENGINEERING COLLEGE
  • 85.
    Ex: Graphene +PMMA Used in lightening strike protection,Electromagnetic shielding MATRUSRI ENGINEERING COLLEGE
  • 86.
    Synthesis of polyacetylene Mechanismof conduction in polyacetylene P-doping n-doping I2/CCl4 MATRUSRI ENGINEERING COLLEGE
  • 87.
    Comparision between conductingpolymers and other m MATRUSRI ENGINEERING COLLEGE
  • 88.
    Applications of Conductingpolymers POLYPYRROLE,POLYPROPYLENE POLYANILINE,POLYPJENULENE VINYLENE MATRUSRI ENGINEERING COLLEGE
  • 89.
  • 90.
    DRUG DELIVERY SYSTEMIN HUMAN BODY MATRUSRI ENGINEERING COLLEGE
  • 91.
    And many moreapplications still under research.... MATRUSRI ENGINEERING COLLEGE
  • 92.
  • 93.
    Biodegradable polymers arethe polymers that breakdown and lose their initial integrity by bacterial decomposition process. MODULE-10: Biodegradable Polymers This biological decomposition process results in natural byproducts such as gases (CO2, N2), water, biomass, and inorganic salts. MATRUSRI ENGINEERING COLLEGE
  • 94.
    There are manynatural and synthetic polymers available. Biodegradable polymers largely consists of ester, amide and their functional groups These polymers are often synthesized by condensation reactions, ring opening polymerization, and metal catalysts. Diverse applications such as surgical sutures, wound dressings, tissue regeneration, enzyme immobilization, controlled drug delivery and gene delivery, tissue engineering scaffold, cryopreservation, nanotechnology, medical implants and devices, prosthetics, augmentation, cosmetics, sanitation products, coatings, adhesives, and many more. MATRUSRI ENGINEERING COLLEGE
  • 95.
    Polyglycolic acid(PGA) Polylactic acid(PLA) Polyhydroxy butyrate (PHB) Polyhydroxy butyrates-co-beta hydroxyl valerate( PHBV) Polycaprolactone(pcl) Nylon-2-nylon-6. Polysaccharides, as starch and cellulose, represent the most characteristic family of these. Examples Biodegradable Polymers: MATRUSRI ENGINEERING COLLEGE
  • 96.
    Poly(lactic acid) orpolylactide (PLA) is a thermoplastic aliphatic polyester derived from renewable resources, such as corn starch (in the United States), tapioca roots, chips or starch (mostly in Asia), or sugarcane. POLYLACTIC ACID (PLA) Synthesis: Bacterial fermentation is used to produce lactic acid from corn starch or cane sugar. Lactic acid cannot be polymerised to a useful product because each reaction generates one molecule of water, presence of which degrades the forming polymer chain. Due to this low molecular weight polymers will be formed. Instead, two lactic acids are dimerized to di-lactic ester. Although dimerization generates water, it can be separated prior to polymerisation. MATRUSRI ENGINEERING COLLEGE
  • 97.
    PLA of highmolecular weight is produced from di-lactic ester by ring opening polymerization using stannous octate catalyst. MATRUSRI ENGINEERING COLLEGE
  • 98.
    PLA is solublein solvents, hot benzene, tetrahydrofuran, and dioxane. Polylactic acid can be processed like most thermoplastics into fibre and film. PLA polymers range from amorphous glassy polymer to semi- crystalline and highly crystalline polymer with a glass transition 60– 65 °C. The melting temperature of PLA can be increased 40-50 °C Heat deflection temperature can be increased from approximately 60°C to up to 190 °C by physically blending the polymer with PDLA (poly-D-lactide). Properties of PLA: MATRUSRI ENGINEERING COLLEGE
  • 99.
    Applications of Polylacticacid: Poly (lactic acid) can be processed by extrusion, injection moulding, film & sheet casting, and spinning, providing access to a wide range of materials. MATRUSRI ENGINEERING COLLEGE
  • 100.
    In the formof fibres and non-woven textiles, As upholstery, disposable garments, awnings, feminine hygiene products, and diapers. MATRUSRI ENGINEERING COLLEGE
  • 101.
    PLA is usedas medical implants in the form of anchors, screws, plates, pins, rods, and as a mesh. MATRUSRI ENGINEERING COLLEGE