CHEMISTRY
1
COURSE OBJECTIVES:
Correlate the properties of materials with their internal structure and use
the for Engineering applications
Apply the principles of electrochemistry in storage of electrical energy in
batteries.
Gains knowledge in causes of corrosion and its prevention.
Attains knowledge about the disadvantages of hard water for domestic and
industrial purposes.
Also learns the techniques of softening of hard water and treatment of
water for drinking purpose.
Exposed to qualitative and quantitative parameters of chemical fuels.
Aware eco-friendly materials and processes.
CHEMISTRY
2
COURSE OUTCOMES: After completion of course students will be able to
Analyze and apply knowledge of electrodics in calculation of cell
potentials of batteries.
Identify the different types of hardness and alkalinities in water and
make use of softening methods, analyze and apply the knowledge of
corrosion for its prevention.
Discuss different types of polymers based on their end on use and
the need to replace the conventional polymers with polymers of
engineering applications.
Identify and analyze different types of chemical fuels for domestic and
automobile applications.
Outline the principles of green chemistry for sustainable environment
and preparation of biodiesel from renewable sources.
UNIT-III MATERIAL CHEMISTRY
3
COURSE OUTCOMES: After completion of course students will be able
to discuss different types of polymers based on their end on use
and the need to replace the conventional polymers with polymers of
engineering applications.
MODULE-1: BASIC TERMINOLOGY OF POLYMERS
The word polymer is derived from the two greek words
poly and mers
Polymers are macro molecules built-ip by linking together of
smaller molecules, called Monomers
parts or units
many
C C C C C C
H
H
H
H
H
H
H
H
H
H
H
H
Polyethylene (PE)
mer
Cl
Cl Cl
C C C C C C
H
H
H
H
H
H
H
H
H
Polyvinyl chloride (PVC)
mer
Polypropylene (PP)
CH3
C C C C C C
H
H
H
H
H
H
H
H
H
CH3 CH3
mer
e.g.
4
Examples: Polyethylene is formed by linking a large number of
ethylene molecules
n
C C
H
H H
H
C C
H
H H
H
n
Polymerisation
Ethylene polyethylene
polystyrene is formed by linking styrene molecules
H
styrene polystyrene
C C
H
H
n
Polymerisation
n
C C
H
H
H
Polymerization: The process of chemical combination of small molecules
(monomers) to form large sized molecules (polymers) is called polymerization.
5
The number of repeating units (n) in the chain is known as
the degree of polymerization.
Polymers with high degree of polymerization are called
high polymers and these have very high molecular weights
(104 to 106).
Polymers with low degree of polymerization are called
oligomers.
e.g.,
D.P.
6
Functionality: the number of reactive sites or bonding sites
Ethylene
Vinyl chloride
1,3 butadiene
7
Some bi functional hydrocarbons
adipic acid (hexanedioic acid)
1,6-hexanediamine
Terephthalic acid
ethylene glycol
8
Nomenclature of Polymers
Homopolymer: A polymer consisting of identical monomers is
called Homopolymer.
Ex: Polyethylene, PVC, Teflon
9
Copolymer: Polymer formed by two or more monomers of
different chemical structures is called Copolymers
Styrene-butadiene rubber (Buna-S)
10
Based on the molecular structure
polymers can be classified as
Linear
Branched
Cross-linked
the monomeric units combine linearly with each other
In linear polymers,
secondary bonding
11
Branched polymers
Cross linked polymers
Graft copolymer: The monomers of the polymer in back bone and
branch chain differ
12
Based on the response to heat
Thermo plastic Thermosetting
soften on heating and can be converted into any shape
and can retain its shape on cooling
thermosoftening or thermoplastics
13
under go chemical change on heating and convert
themselves into an infusible mass
thermosetting polymers
Covalent bond
14
Differences between thermoplastics and thermosetting plastics:
Thermo plastics Thermosetting plastics
They are softened on heating and hardened on
cooling.
They do not soften on heating. On prolong
heating, however, they burn.
These are formed by additional polymerization. These are formed by condensation
Polymerization
These are long chain linear macromolecules Their set molecules have three dimensional cross
–linked network structure.
The adjacent polymer chains are held together by
either vander wal forces or by dipole-dipole or
H-bonds.
Polymer chains are held together by strong
covalent bonds.
They can be remoulded, reshaped and reused. They cannot be remoulded.
MODULE-2: Polymerisation Reactions
There are three types of polymerization reactions.
• Addition (chain growth) polymerization
• Condensation (step growth) polymerization
• Copolymerization
16
Addition Polymerization:
It is a reaction that yields a product, which is an exact multiple of the
original monomeric molecule.
Such a monomer molecule, usually contains one or more double bonds,
which by intermolecular rearrangement, may make the molecule
bifunctional.
Must be instigated by the application of heat, light, pressure or a catalyst
for breaking down the double covalent bonds of monomers.
17
Condensation Polymerization:
A reaction occurring between simple polar group containing monomers with
the formation of polymer and elimination of small molecules like water, HCl,
etc.
For example, hexamethylene diamine and adipic acid condense to form a
polymer, nylon 6:6
Thus, it is an intermolecular combination, and it takes place through the
different functional group in the monomers having the affinity for each other.
18
DISTINGUISHING FEATURES OF
ADDITION AND CONDENSATION POLYMERISATION
ADDITION CONDENSATION
Monomers undergo self addition to each
other without loss of by products
Monomers undergo intermolecular
condensation with continuous elimination of
by products such as H2O, NH3, HCl, etc.,
It follows chain mechanism It follows step mechanism
Unsaturated vinyl compounds undergo
addition polymeristion
Monomers containing the functional groups (-
OH, -COOH, -NH2, ….) undergo this
polymerization
Monomers are linked together through
C – C covalent linkages
Covalent linkages are through their functional
groups
High polymers are formed fast The reaction is slow and the polymer molecular
weight increases steadily throughout the
reaction
Linear polymers are produced with or
without branching
Linear or cross linked polymers are produced
e.g., polystryrene, plexiglass, PVC, etc., e.g., nylons, terylene, PF resins, etc.,
19
Copolymerization
• It is the joint polymerization of two or more monomer species.
• High molecular-weight compounds obtained by copolymerization are
called copolymers.
• For example, butadiene and styrene copolymerize to yield Buna-S
rubber.
20
Addition polymerization can be explained on the basis of free radical
mechanism
It involves three stages
viz., (i) Initiation
(ii) Propagation
(iii) termination
D or
u.v.light
I
(Initiator)
R*
(Free radical)
Initiation
Module-3: Free Radical Polymerization
21
C C
H
X H
H
+
R*
(Free radical)
Vinyl monomer
C C *
H
H X
H
R
(new free radical)
The new free radicals attack monomer molecules further in quick
succession leading to chain propagation
Vinyl monomer
C C
H
X H
H
C* +
C
H
H X
H
R
(Free radical)
C C
H
H X
H
R C C*
H
H X
H
(new free radical)
Propagation
22
Vinyl monomer
C C
H
X H
H
+
(new free radical)
C C
H
H X
H
R C C*
H
H X
H
(another new free radical)
C*
C
H
H X
H
C C
H
H X
H
R C C
H
H X
H
at m th stage,
C C
H
X H
H
+
C
H
H
R C
X
H
C
H
H
C
X
H
m-2
C*
C
H
H X
H
C
H
H
R C
X
H
C
H
H
C
X
H
m-1
C*
C
H
H X
H
23
At some stage this chain propagation is terminated when the free radicals
combine either by coupling (combining) of the two radicals or by
disproportionation
R C
H
H
C
X
H
m-1
C*
C
H
H X
H
R
C
H
H
C
X
H
m-1
C*
X
H
C
H
H
+
R C
H
H
C
X
H
m-1
C
C
H
H X
H
R
C
H
H
C
X
H
m-1
C
H
H
C
X
H
saturated highpolymer (dead polymer)
coupling
24
R C
H
H
C
X
H
m-1
C*
C
H
H X
H
+ R
C
H
H
C
X
H
m-1
C*
X
H
C
H
H
+
R C
H
H
C
X
H
m-1
C
C
H X
H
H R
C
H
H
C
X
H
m-1
C
H
H
C
X
H
saturated oligomer
unsaturated oligomer
(dead polymer) (dead polymer)
disproportionation
25
MODULE-4: Polyvinyl Chloride (PVC)
Preparation
H
C C
Cl
H
H
n
Water emulsion
polymerization
peroxide
H
C C
Cl
H
H
n
Properties
• It is colourless, odourless, non-inflammable and chemically inert
powder.
• It is resistant to light, atmospheric oxygen, inorganic acids and
alkalis.
• It is soluble in hot chlorinated hydrocarbons such as ethyl chloride.
• Pure resin possesses a high softening point (1480C) and a greater
stiffness and rigidity.
26
Rigid PVC (Unplasticized PVC):
It has superior chemical resistance and high rigidity, but is
brittle.
Applications:
It is used for making sheets, which are employed for
tank-linings, light-fittings
safety helmets
refrigerator components
cycle and motor cycle mudguards.
27
It is also extruded in strip and tube form for use in
place of non-ferrous metals.
28
Plasticized PVC:
It is obtained by adding plasticizers such as dibutyl phthalate,
dioctyl phthalate, tricresyl phosphate.
It used for making continuous sheets employed for Packing,
rain-coats, table-cloths, curtains.
Applications:
29
Electrical insulation like coverings of electric cables.
30
Injection moulding of articles like Toys, tool-handles,
toiled-goods, radio-components, plastic-coated cloth,
chemical containers.
31
Thermal insulating foam used in buildings, cinemas and
aircrafts.
32
Conveyor belts used in coal mines etc.
33
MODULE-5: BAKELITE
It is a phenol formaldehyde resin.
It is prepared by condensing phenol with formaldehyde in
presence of acidic or basic catalyst.
The initial reaction results in the formation of ortho and para
hydroxyl, methyl phenol
OH
CH2OH
OH
CH2OH
OH
CH2OH
CH2OH
HOH2C
OH
HCHO + +
Phenol
Formaldehyde
o-hydroxymethyl
phenol
p-hydroxymethyl
phenol
2,4,6-trihydroxymethyl
phenol
34
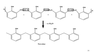
35
During moulding, hexamethylene tetramine [(CH2)6N4] are added.
It provides formaldehyde, which converts the soluble and fusible
novolac into a hard, infusible and insoluble solid of cross-linked
structure.
36
Properties:
•Bakelite is set to rigid, hard, scratch-resistant, infusible, water-
resistant.
• Insoluble solid which is resistant to non-oxidizing acids, salts and
many organic solvents.
•It is attacked by alkalis, because of the presence of free hydroxyl
group in their structure.
•It possesses excellent electrical insulating character.
37
Applications:
•It is used for making electric insulator parts like switches, plugs,
switch-boards, heater-handles, etc.
38
•For making moulded articles like telephone parts, cabinets for
radio and television.
39
•For impregnating fabrics, wood and paper.
•As adhesives for
grinding wheels.
40
•In paints and varnishes.
•As hydrogen-exchanger resins in water softening.
•For making bearing, used in propeller shafts for paper industry
and rolling mills.
41
MODULE-6: NYLON-6,6
The aliphatic polyamides are generally known as nylons
The nylons are usually indicated by a numbering system
The nylons obtained from dibasic acids and diamines are usually
represented by two numbers
The first one indicating the number of ‘C’ atoms in the diamine and
the second that in the dicarboxylic acid
42
Preparation
Heat
- 2n H2O
+
n n
43
Properties
• It has a good tensile strength, abrasion resistance and toughness
upto 150 oC
• It offers resistance to many solvents. However, it dissolves in
formic acid, cresols and phenols
• They are translucent, wheatish, horny, high melting polymers (160
– 264 oC)
• They possess high thermal stability
• Self lubricating properties
• They possess high degree of crystallinity
• The interchain hydrogen bonds provide superior mechanical
strength (Kevlar fibers stronger than metals)
• Its Hardness is similar to tin 44
• It is used as a plastic as well as fiber
Uses
• This is used to produce tyre cord
• It is used to make mono filaments and roaps
45
• Nylon 6,6 is used to manufacture articles like brushes and bristles
46
• Nylon 6,6 used as sutures
• Used in making socks, ladies hoses, under-
garments, dresses, carpets etc.
47
MODULE-7: KEVLAR
• It is an aromatic polyamide in which benzene
rings linked to the amide groups.
• It is prepared by condensation between
aromatic dichloride and aromatic diamines.
48
49
Properties:
• Kevlar is exceptionally strong, 5 times stronger than steel and 10 times
stronger than Al on a weight-for-weight bases.
• It has high heat stability and flexibility.
• The unique properties of kevlar are due to the delocalized bonding
which causes the benzene rings to be inflexible.
• The high electron-density in the chains of Kevlar also results in relatively
stronger vander waals intermolecular forces between neighboring
polymer molecules.
Applications:
• Kevlar is used extensively in the aerospace and aircraft industries.
50
Applications:
• As car parts such as tyres, brakes, clutch linings, etc.
51
• For making ropes, cables, protective clothing, bullet-
proof vests, motorcycle helmets and other high
performance materials.
52
MODULE-8: ELASTOMERS
Elastomer is defined as a long chain polymer which under stress
undergoes elongation by several times and regains its original shape
when the stress is fully released
Stretched
Returned to
randomization
53
Styrene rubber (GR-S or Buna-S or SBR)
Preparation
This is produced by copolymerization of butadiene
(about 75% by wt.) and styrene (about 25% by wt.)
H2C CH CH CH2
x
H2C CH
n
H2C CH CH CH2
n x
H2C CH
n
+
54
Properties
 It possess high abrasion-resistance
 It possess high load-bearing capacity and resilience
 It gets readily oxidized, especially in presence of traces of ozone
present in the atmosphere
 It swells in oils and solvents
 It can be vulcanized in the same way as natural rubber either by
sulphur or sulphur monochloride However, it requires less sulphur,
but more accelerators for vulcanization
 Styrene rubber resembles natural rubber in processing
characteristics as well as the quality of the finished products 55
Uses :It is used for the manufacture of
• floor tiles
• motor tyres • shoe soles
• gaskets • wire and cable insulations
56
Uses :It is used for the manufacture of
• carpet backing
• adhesives
• tank-lining
57
Butyl rubber
• It is made by copolymerization of isobutene
with small amounts of isoprene.
58
Properties
It possesses outstanding low permeability to air and other
gases.
It has excellent resistance to heat, abrasion, ageing.
Chemicals such as H2SO4, HNO3, HCl and HF, polar solvents
like alcohol and acetone, but is soluble in hydrocarbon
solvents like benzene.
It has high resistance to ozone and good electrical insulating
properties.
It can be vulcanized, but it cannot be hardened much, due to
very low unsaturation. 59
Uses For making cycle and automobile tubes, automobile parts,
hoses, conveyor belts for food and other materials, tank-
linings, insulation for high voltage wires and cables,etc.
60
Silicone rubber
Silicone resins contain alternate silicone – oxygen structure, which
has organic radicals attached to silicone atoms
Si
O
C
C
H
H
H
H
H
H
Si
O
C
C
H
H
H
H
H
H
O
61
Silicone rubber
Silicone resins contain alternate silicone – oxygen structure, which
has organic radicals attached to silicone atoms
Si
O
C
C
H
H
H
H
H
H
Si
O
C
C
H
H
H
H
H
H
O
62
Dimethyl silicone dichloride is bifunctional and
can yield very long chain polymer
CH3
CH3
O
Si
n
CH3
CH3
Cl Cl
Si
n
CH3
CH3
HO OH
Si
n
unstable
Hydrolysis
- HCl
H2O
polymerization
CH3
CH3
O
Si
( )
unstable
63
Vulcanized silicone rubbers are obtained by mixing high
molecular weight linear dimethyl silicone polymers with filler
The fillers are either a finely divided silicon dioxide
or a peroxide
It may also contain the curing agents
Peroxide causes the formation of dimethyl bridge
(cross link) between methyl groups of adjacent chains
64
O +
CH3
O
Si
CH2
H
CH3
CH3
O
Si
CH3
CH3
O
Si
CH3
CH3
O
Si
CH3
CH3
O
Si
CH3
O
Si
CH2
H CH3
CH3
O
Si
CH3
CH3
O
Si
CH3
CH3
O
Si
CH3
CH3
O
Si
H2O
65
CH3
O
Si
CH2
CH3
CH3
O
Si
CH3
CH3
O
Si
CH3
CH3
O
Si
CH3
CH3
O
Si
CH3
O
Si
CH2 CH3
CH3
O
Si
CH3
CH3
O
Si
CH3
CH3
O
Si
CH3
CH3
O
Si
66
Properties
They possess exceptional resistance to
• prolonged exposure to sun light
• weathering
• most of the common oils
• boiling water
• dilute acids and alkalies
They remain flexible in the temp. range of 90 – 250 OC
hence, find use in making tyres of fighter aircrafts,
since they prevent damage on landing. Ordinary rubber
tyre becomes brittle and hence disintegrates
Silicone rubber at very high temp. s (as in case of fibers)
decomposes; leaving behind the non-conducting silica
(SiO2), instead of carbon tar 67
Uses
• as a sealing material in search-lights and in aircraft engines
• for manufacture of tyres for fighter aircrafts
68
• for insulating the electrical wiring in ships
• For making insulation for washing
machines and electric blankets for iron
board covers
69
• For making artificial heart valves, transfusion tubing
and padding for plastic surgery
70
• In making lubricants, paints and protective coatings for
fabric finishing and water proofing
• as adhesive in electronics industry
• For making boots for use at
very low temp., since they are
less affected by temperature
variation
e.g., Neil Armstrong used
silicone rubber boots when he
walked on the moon
71
MODULE-9: Conducting Polymers
1. Polymers which show electrical conductivity on par with
metallic conductors are known as conducting polymers.
2. Conductivities as high as 1.5 x 107 ohm-1m-1 have been
attained in these polymeric materials.
3. On volume basis, this value is equal to one-fourth of the
conductivity of copper, or is twice its conductivity on the
basis of weight.
Classification of Conducting Polymers
Intrinsically Conducting Polymers
These types of polymers have a backbone made up of
extensive conjugated system, which is responsible for
conductance. They may be of two types:
1.Conjugated π – electrons conducting polymers
2. Doped conducting polymers
Conjugated π – electrons conducting polymers
Contain a conjugated π-electron system on their backbone. In presence
of electrical field, conjugated π -electrons of the polymer get excited,
thereby can be transported through the polymeric chain.
Overlapping of orbitals of conjugated π electrons over the entire
backbone results in the formation of valence bands as well as conduction
bands, which extend over the entire polymer molecule.
The presence of conjugated π -electrons in polymers increases its
conductivity.
Example: polyacetylene
Conjugated π – electrons conducting polymers
The polymer is called a ‘conjugated polymer’ because of the alternating
single and double bonds in the polymer chain.
Due to the special conjugation in their chains, it enables the electrons to
de-localize throughout the whole system and thus many atoms may
share them.
The de-localized electrons may move around the whole system and
become the charge carriers to make them conductive.
cis-polyacetylene has a lower conductivity of
1.7×10−9 Ω−1cm−1
trans-polyacetylene films have a conductivity of
4.4×10−5 Ω−1cm−1
Ex: Polyacetylene, poly-p-phenylene,
polyquinoline,polyaniline,
polyanthrylene, polyphenanthrylene, polypyrrole,
polythiophene etc.
Doped conducting polymers
They are obtained by exposing a polymer to a charged transfer agent in
either gas phase or in solution.
The conductivity of intrinsically conducting polymers can be
increased by creating either positive or negative charge on the polymer
backbone by oxidation or reduction.
Doping may be of two types:
a)P- doping b)n-doping
a)p-doping
In this process, the conducting polymer is treated with a Lewis acid like I2,
Br2, AsF5, PF6, naphthylamine etc., It involves oxidation process thereby
creating a positive charge on the polymer backbone.
(CH)x + A --------- (CH)X
+ A-
Polyacetylene Lewis acid p-Doped
polyacetylene
b)n-doping: It involves reduction process where the
conducting polymer is treated with a Lewis base like Li, Na,
Ca, tetrabutyl ammonium, dianionic aromatic hydrocarbons
etc.,
(CH)x + B --------- (CH)x
- B+
Polyacetylene Lewis base n-Doped polyacetylene
Extrinsically conducting polymers
These polymers owe their conductivity due to the presence of
externally added ingredients in them. They are of two types :
Conductivity element filled polymer:
It is a resin or polymer filled with conducting elements such as carbon
black, metallic fibres, metal oxides, etc. In this, the polymer acts as the
binder to hold the conducting elements together in the solid entity.
Example: epoxy resin (ER) and poly vinyl chloride (PVC) are polymers
filled with metal powders such as Copper and nickel powder ,carbon
black , silica etc.,
Some of the important characteristics of extrinsically
conducting polymers are
(a)They possess good bulk conductivity.
(b)They are cheaper.
(c)They are light in weight.
(d) They are mechanically durable and strong.
(e)They are easily processable in different forms, shapes and
sizes.
Blended conducting polymer:
It is obtained by blending a conventional polymer with a
conducting polymer either by physical or chemical change. Such
polymer can be easily processed and possess better physical,
chemically and mechanical properties.
Ex: Graphene + PMMA
Used in lightening strike
protection,Electromagnetic shielding
Synthesis of polyacetylene
Mechanism of conduction in polyacetylene
P-doping n-doping
I2/CCl4
Comparision between conducting polymers and other m
Applications of Conducting polymers
POLYPYRROLE,POLYPROPYLENE
POLYANILINE,POLYPJENULENE VINYLENE
OPTO ELECTRONIC DEVICES
DRUG DELIVERY SYSTEM IN HUMAN BODY
And many more applications still under research....
Plastic Waste
Biodegradable polymers are the polymers that breakdown and lose
their initial integrity by bacterial decomposition process.
MODULE-10: Biodegradable Polymers
This biological decomposition process results in natural byproducts
such as gases (CO2, N2), water, biomass, and inorganic salts.
There are many natural and synthetic polymers available.
Biodegradable polymers largely consists of ester, amide and their functional
groups
These polymers are often synthesized by condensation reactions, ring
opening polymerization, and metal catalysts.
Diverse applications such as surgical sutures, wound dressings, tissue
regeneration, enzyme immobilization, controlled drug delivery and gene
delivery, tissue engineering scaffold, cryopreservation, nanotechnology,
medical implants and devices, prosthetics, augmentation, cosmetics,
sanitation products, coatings, adhesives, and many more.
Polyglycolic acid(PGA)
Polylactic acid (PLA)
Polyhydroxy butyrate (PHB)
Polyhydroxy butyrates-co-beta hydroxyl valerate( PHBV)
Polycaprolactone(pcl)
Nylon-2-nylon-6.
Polysaccharides, as starch and cellulose, represent the most
characteristic family of these.
Examples Biodegradable Polymers:
Poly(lactic acid) or polylactide (PLA) is a thermoplastic aliphatic polyester
derived from renewable resources, such as corn starch (in the United
States), tapioca roots, chips or starch (mostly in Asia), or sugarcane.
POLYLACTIC ACID (PLA)
Synthesis:
Bacterial fermentation is used to produce lactic acid from corn starch or
cane sugar.
Lactic acid cannot be polymerised to a useful product because each
reaction generates one molecule of water, presence of which degrades the
forming polymer chain.
Due to this low molecular weight polymers will be formed. Instead, two
lactic acids are dimerized to di-lactic ester.
Although dimerization generates water, it can be separated prior to
polymerisation.
PLA of high molecular weight is produced from di-lactic ester by ring opening
polymerization using stannous octate catalyst.
PLA is soluble in solvents, hot benzene, tetrahydrofuran, and
dioxane.
Polylactic acid can be processed like most thermoplastics into fibre
and film.
PLA polymers range from amorphous glassy polymer to semi-
crystalline and highly crystalline polymer with a glass transition 60–
65 °C.
The melting temperature of PLA can be increased 40-50 °C
Heat deflection temperature can be increased from approximately
60°C to up to 190 °C by physically blending the polymer with PDLA
(poly-D-lactide).
Properties of PLA:
Applications of Polylactic acid:
Poly (lactic acid) can be processed by extrusion, injection
moulding, film & sheet casting, and spinning, providing access
to a wide range of materials.
In the form of fibres and
non-woven textiles,
As upholstery,
disposable garments,
awnings,
feminine hygiene products,
and diapers.
PLA is used as medical implants in the form of anchors, screws, plates,
pins, rods, and as a mesh.

Unit-III polymers.pptx

  • 1.
    CHEMISTRY 1 COURSE OBJECTIVES: Correlate theproperties of materials with their internal structure and use the for Engineering applications Apply the principles of electrochemistry in storage of electrical energy in batteries. Gains knowledge in causes of corrosion and its prevention. Attains knowledge about the disadvantages of hard water for domestic and industrial purposes. Also learns the techniques of softening of hard water and treatment of water for drinking purpose. Exposed to qualitative and quantitative parameters of chemical fuels. Aware eco-friendly materials and processes.
  • 2.
    CHEMISTRY 2 COURSE OUTCOMES: Aftercompletion of course students will be able to Analyze and apply knowledge of electrodics in calculation of cell potentials of batteries. Identify the different types of hardness and alkalinities in water and make use of softening methods, analyze and apply the knowledge of corrosion for its prevention. Discuss different types of polymers based on their end on use and the need to replace the conventional polymers with polymers of engineering applications. Identify and analyze different types of chemical fuels for domestic and automobile applications. Outline the principles of green chemistry for sustainable environment and preparation of biodiesel from renewable sources.
  • 3.
    UNIT-III MATERIAL CHEMISTRY 3 COURSEOUTCOMES: After completion of course students will be able to discuss different types of polymers based on their end on use and the need to replace the conventional polymers with polymers of engineering applications.
  • 4.
    MODULE-1: BASIC TERMINOLOGYOF POLYMERS The word polymer is derived from the two greek words poly and mers Polymers are macro molecules built-ip by linking together of smaller molecules, called Monomers parts or units many C C C C C C H H H H H H H H H H H H Polyethylene (PE) mer Cl Cl Cl C C C C C C H H H H H H H H H Polyvinyl chloride (PVC) mer Polypropylene (PP) CH3 C C C C C C H H H H H H H H H CH3 CH3 mer e.g. 4
  • 5.
    Examples: Polyethylene isformed by linking a large number of ethylene molecules n C C H H H H C C H H H H n Polymerisation Ethylene polyethylene polystyrene is formed by linking styrene molecules H styrene polystyrene C C H H n Polymerisation n C C H H H Polymerization: The process of chemical combination of small molecules (monomers) to form large sized molecules (polymers) is called polymerization. 5
  • 6.
    The number ofrepeating units (n) in the chain is known as the degree of polymerization. Polymers with high degree of polymerization are called high polymers and these have very high molecular weights (104 to 106). Polymers with low degree of polymerization are called oligomers. e.g., D.P. 6
  • 7.
    Functionality: the numberof reactive sites or bonding sites Ethylene Vinyl chloride 1,3 butadiene 7
  • 8.
    Some bi functionalhydrocarbons adipic acid (hexanedioic acid) 1,6-hexanediamine Terephthalic acid ethylene glycol 8
  • 9.
    Nomenclature of Polymers Homopolymer:A polymer consisting of identical monomers is called Homopolymer. Ex: Polyethylene, PVC, Teflon 9
  • 10.
    Copolymer: Polymer formedby two or more monomers of different chemical structures is called Copolymers Styrene-butadiene rubber (Buna-S) 10
  • 11.
    Based on themolecular structure polymers can be classified as Linear Branched Cross-linked the monomeric units combine linearly with each other In linear polymers, secondary bonding 11
  • 12.
    Branched polymers Cross linkedpolymers Graft copolymer: The monomers of the polymer in back bone and branch chain differ 12
  • 13.
    Based on theresponse to heat Thermo plastic Thermosetting soften on heating and can be converted into any shape and can retain its shape on cooling thermosoftening or thermoplastics 13
  • 14.
    under go chemicalchange on heating and convert themselves into an infusible mass thermosetting polymers Covalent bond 14
  • 15.
    Differences between thermoplasticsand thermosetting plastics: Thermo plastics Thermosetting plastics They are softened on heating and hardened on cooling. They do not soften on heating. On prolong heating, however, they burn. These are formed by additional polymerization. These are formed by condensation Polymerization These are long chain linear macromolecules Their set molecules have three dimensional cross –linked network structure. The adjacent polymer chains are held together by either vander wal forces or by dipole-dipole or H-bonds. Polymer chains are held together by strong covalent bonds. They can be remoulded, reshaped and reused. They cannot be remoulded.
  • 16.
    MODULE-2: Polymerisation Reactions Thereare three types of polymerization reactions. • Addition (chain growth) polymerization • Condensation (step growth) polymerization • Copolymerization 16
  • 17.
    Addition Polymerization: It isa reaction that yields a product, which is an exact multiple of the original monomeric molecule. Such a monomer molecule, usually contains one or more double bonds, which by intermolecular rearrangement, may make the molecule bifunctional. Must be instigated by the application of heat, light, pressure or a catalyst for breaking down the double covalent bonds of monomers. 17
  • 18.
    Condensation Polymerization: A reactionoccurring between simple polar group containing monomers with the formation of polymer and elimination of small molecules like water, HCl, etc. For example, hexamethylene diamine and adipic acid condense to form a polymer, nylon 6:6 Thus, it is an intermolecular combination, and it takes place through the different functional group in the monomers having the affinity for each other. 18
  • 19.
    DISTINGUISHING FEATURES OF ADDITIONAND CONDENSATION POLYMERISATION ADDITION CONDENSATION Monomers undergo self addition to each other without loss of by products Monomers undergo intermolecular condensation with continuous elimination of by products such as H2O, NH3, HCl, etc., It follows chain mechanism It follows step mechanism Unsaturated vinyl compounds undergo addition polymeristion Monomers containing the functional groups (- OH, -COOH, -NH2, ….) undergo this polymerization Monomers are linked together through C – C covalent linkages Covalent linkages are through their functional groups High polymers are formed fast The reaction is slow and the polymer molecular weight increases steadily throughout the reaction Linear polymers are produced with or without branching Linear or cross linked polymers are produced e.g., polystryrene, plexiglass, PVC, etc., e.g., nylons, terylene, PF resins, etc., 19
  • 20.
    Copolymerization • It isthe joint polymerization of two or more monomer species. • High molecular-weight compounds obtained by copolymerization are called copolymers. • For example, butadiene and styrene copolymerize to yield Buna-S rubber. 20
  • 21.
    Addition polymerization canbe explained on the basis of free radical mechanism It involves three stages viz., (i) Initiation (ii) Propagation (iii) termination D or u.v.light I (Initiator) R* (Free radical) Initiation Module-3: Free Radical Polymerization 21
  • 22.
    C C H X H H + R* (Freeradical) Vinyl monomer C C * H H X H R (new free radical) The new free radicals attack monomer molecules further in quick succession leading to chain propagation Vinyl monomer C C H X H H C* + C H H X H R (Free radical) C C H H X H R C C* H H X H (new free radical) Propagation 22
  • 23.
    Vinyl monomer C C H XH H + (new free radical) C C H H X H R C C* H H X H (another new free radical) C* C H H X H C C H H X H R C C H H X H at m th stage, C C H X H H + C H H R C X H C H H C X H m-2 C* C H H X H C H H R C X H C H H C X H m-1 C* C H H X H 23
  • 24.
    At some stagethis chain propagation is terminated when the free radicals combine either by coupling (combining) of the two radicals or by disproportionation R C H H C X H m-1 C* C H H X H R C H H C X H m-1 C* X H C H H + R C H H C X H m-1 C C H H X H R C H H C X H m-1 C H H C X H saturated highpolymer (dead polymer) coupling 24
  • 25.
    R C H H C X H m-1 C* C H H X H +R C H H C X H m-1 C* X H C H H + R C H H C X H m-1 C C H X H H R C H H C X H m-1 C H H C X H saturated oligomer unsaturated oligomer (dead polymer) (dead polymer) disproportionation 25
  • 26.
    MODULE-4: Polyvinyl Chloride(PVC) Preparation H C C Cl H H n Water emulsion polymerization peroxide H C C Cl H H n Properties • It is colourless, odourless, non-inflammable and chemically inert powder. • It is resistant to light, atmospheric oxygen, inorganic acids and alkalis. • It is soluble in hot chlorinated hydrocarbons such as ethyl chloride. • Pure resin possesses a high softening point (1480C) and a greater stiffness and rigidity. 26
  • 27.
    Rigid PVC (UnplasticizedPVC): It has superior chemical resistance and high rigidity, but is brittle. Applications: It is used for making sheets, which are employed for tank-linings, light-fittings safety helmets refrigerator components cycle and motor cycle mudguards. 27
  • 28.
    It is alsoextruded in strip and tube form for use in place of non-ferrous metals. 28
  • 29.
    Plasticized PVC: It isobtained by adding plasticizers such as dibutyl phthalate, dioctyl phthalate, tricresyl phosphate. It used for making continuous sheets employed for Packing, rain-coats, table-cloths, curtains. Applications: 29
  • 30.
    Electrical insulation likecoverings of electric cables. 30
  • 31.
    Injection moulding ofarticles like Toys, tool-handles, toiled-goods, radio-components, plastic-coated cloth, chemical containers. 31
  • 32.
    Thermal insulating foamused in buildings, cinemas and aircrafts. 32
  • 33.
    Conveyor belts usedin coal mines etc. 33
  • 34.
    MODULE-5: BAKELITE It isa phenol formaldehyde resin. It is prepared by condensing phenol with formaldehyde in presence of acidic or basic catalyst. The initial reaction results in the formation of ortho and para hydroxyl, methyl phenol OH CH2OH OH CH2OH OH CH2OH CH2OH HOH2C OH HCHO + + Phenol Formaldehyde o-hydroxymethyl phenol p-hydroxymethyl phenol 2,4,6-trihydroxymethyl phenol 34
  • 35.
  • 36.
    During moulding, hexamethylenetetramine [(CH2)6N4] are added. It provides formaldehyde, which converts the soluble and fusible novolac into a hard, infusible and insoluble solid of cross-linked structure. 36
  • 37.
    Properties: •Bakelite is setto rigid, hard, scratch-resistant, infusible, water- resistant. • Insoluble solid which is resistant to non-oxidizing acids, salts and many organic solvents. •It is attacked by alkalis, because of the presence of free hydroxyl group in their structure. •It possesses excellent electrical insulating character. 37
  • 38.
    Applications: •It is usedfor making electric insulator parts like switches, plugs, switch-boards, heater-handles, etc. 38
  • 39.
    •For making mouldedarticles like telephone parts, cabinets for radio and television. 39
  • 40.
    •For impregnating fabrics,wood and paper. •As adhesives for grinding wheels. 40
  • 41.
    •In paints andvarnishes. •As hydrogen-exchanger resins in water softening. •For making bearing, used in propeller shafts for paper industry and rolling mills. 41
  • 42.
    MODULE-6: NYLON-6,6 The aliphaticpolyamides are generally known as nylons The nylons are usually indicated by a numbering system The nylons obtained from dibasic acids and diamines are usually represented by two numbers The first one indicating the number of ‘C’ atoms in the diamine and the second that in the dicarboxylic acid 42
  • 43.
  • 44.
    Properties • It hasa good tensile strength, abrasion resistance and toughness upto 150 oC • It offers resistance to many solvents. However, it dissolves in formic acid, cresols and phenols • They are translucent, wheatish, horny, high melting polymers (160 – 264 oC) • They possess high thermal stability • Self lubricating properties • They possess high degree of crystallinity • The interchain hydrogen bonds provide superior mechanical strength (Kevlar fibers stronger than metals) • Its Hardness is similar to tin 44
  • 45.
    • It isused as a plastic as well as fiber Uses • This is used to produce tyre cord • It is used to make mono filaments and roaps 45
  • 46.
    • Nylon 6,6is used to manufacture articles like brushes and bristles 46
  • 47.
    • Nylon 6,6used as sutures • Used in making socks, ladies hoses, under- garments, dresses, carpets etc. 47
  • 48.
    MODULE-7: KEVLAR • Itis an aromatic polyamide in which benzene rings linked to the amide groups. • It is prepared by condensation between aromatic dichloride and aromatic diamines. 48
  • 49.
    49 Properties: • Kevlar isexceptionally strong, 5 times stronger than steel and 10 times stronger than Al on a weight-for-weight bases. • It has high heat stability and flexibility. • The unique properties of kevlar are due to the delocalized bonding which causes the benzene rings to be inflexible. • The high electron-density in the chains of Kevlar also results in relatively stronger vander waals intermolecular forces between neighboring polymer molecules.
  • 50.
    Applications: • Kevlar isused extensively in the aerospace and aircraft industries. 50
  • 51.
    Applications: • As carparts such as tyres, brakes, clutch linings, etc. 51
  • 52.
    • For makingropes, cables, protective clothing, bullet- proof vests, motorcycle helmets and other high performance materials. 52
  • 53.
    MODULE-8: ELASTOMERS Elastomer isdefined as a long chain polymer which under stress undergoes elongation by several times and regains its original shape when the stress is fully released Stretched Returned to randomization 53
  • 54.
    Styrene rubber (GR-Sor Buna-S or SBR) Preparation This is produced by copolymerization of butadiene (about 75% by wt.) and styrene (about 25% by wt.) H2C CH CH CH2 x H2C CH n H2C CH CH CH2 n x H2C CH n + 54
  • 55.
    Properties  It possesshigh abrasion-resistance  It possess high load-bearing capacity and resilience  It gets readily oxidized, especially in presence of traces of ozone present in the atmosphere  It swells in oils and solvents  It can be vulcanized in the same way as natural rubber either by sulphur or sulphur monochloride However, it requires less sulphur, but more accelerators for vulcanization  Styrene rubber resembles natural rubber in processing characteristics as well as the quality of the finished products 55
  • 56.
    Uses :It isused for the manufacture of • floor tiles • motor tyres • shoe soles • gaskets • wire and cable insulations 56
  • 57.
    Uses :It isused for the manufacture of • carpet backing • adhesives • tank-lining 57
  • 58.
    Butyl rubber • Itis made by copolymerization of isobutene with small amounts of isoprene. 58
  • 59.
    Properties It possesses outstandinglow permeability to air and other gases. It has excellent resistance to heat, abrasion, ageing. Chemicals such as H2SO4, HNO3, HCl and HF, polar solvents like alcohol and acetone, but is soluble in hydrocarbon solvents like benzene. It has high resistance to ozone and good electrical insulating properties. It can be vulcanized, but it cannot be hardened much, due to very low unsaturation. 59
  • 60.
    Uses For makingcycle and automobile tubes, automobile parts, hoses, conveyor belts for food and other materials, tank- linings, insulation for high voltage wires and cables,etc. 60
  • 61.
    Silicone rubber Silicone resinscontain alternate silicone – oxygen structure, which has organic radicals attached to silicone atoms Si O C C H H H H H H Si O C C H H H H H H O 61
  • 62.
    Silicone rubber Silicone resinscontain alternate silicone – oxygen structure, which has organic radicals attached to silicone atoms Si O C C H H H H H H Si O C C H H H H H H O 62
  • 63.
    Dimethyl silicone dichlorideis bifunctional and can yield very long chain polymer CH3 CH3 O Si n CH3 CH3 Cl Cl Si n CH3 CH3 HO OH Si n unstable Hydrolysis - HCl H2O polymerization CH3 CH3 O Si ( ) unstable 63
  • 64.
    Vulcanized silicone rubbersare obtained by mixing high molecular weight linear dimethyl silicone polymers with filler The fillers are either a finely divided silicon dioxide or a peroxide It may also contain the curing agents Peroxide causes the formation of dimethyl bridge (cross link) between methyl groups of adjacent chains 64
  • 65.
  • 66.
  • 67.
    Properties They possess exceptionalresistance to • prolonged exposure to sun light • weathering • most of the common oils • boiling water • dilute acids and alkalies They remain flexible in the temp. range of 90 – 250 OC hence, find use in making tyres of fighter aircrafts, since they prevent damage on landing. Ordinary rubber tyre becomes brittle and hence disintegrates Silicone rubber at very high temp. s (as in case of fibers) decomposes; leaving behind the non-conducting silica (SiO2), instead of carbon tar 67
  • 68.
    Uses • as asealing material in search-lights and in aircraft engines • for manufacture of tyres for fighter aircrafts 68
  • 69.
    • for insulatingthe electrical wiring in ships • For making insulation for washing machines and electric blankets for iron board covers 69
  • 70.
    • For makingartificial heart valves, transfusion tubing and padding for plastic surgery 70
  • 71.
    • In makinglubricants, paints and protective coatings for fabric finishing and water proofing • as adhesive in electronics industry • For making boots for use at very low temp., since they are less affected by temperature variation e.g., Neil Armstrong used silicone rubber boots when he walked on the moon 71
  • 72.
    MODULE-9: Conducting Polymers 1.Polymers which show electrical conductivity on par with metallic conductors are known as conducting polymers. 2. Conductivities as high as 1.5 x 107 ohm-1m-1 have been attained in these polymeric materials. 3. On volume basis, this value is equal to one-fourth of the conductivity of copper, or is twice its conductivity on the basis of weight.
  • 73.
  • 74.
    Intrinsically Conducting Polymers Thesetypes of polymers have a backbone made up of extensive conjugated system, which is responsible for conductance. They may be of two types: 1.Conjugated π – electrons conducting polymers 2. Doped conducting polymers
  • 75.
    Conjugated π –electrons conducting polymers Contain a conjugated π-electron system on their backbone. In presence of electrical field, conjugated π -electrons of the polymer get excited, thereby can be transported through the polymeric chain. Overlapping of orbitals of conjugated π electrons over the entire backbone results in the formation of valence bands as well as conduction bands, which extend over the entire polymer molecule. The presence of conjugated π -electrons in polymers increases its conductivity. Example: polyacetylene
  • 76.
    Conjugated π –electrons conducting polymers The polymer is called a ‘conjugated polymer’ because of the alternating single and double bonds in the polymer chain. Due to the special conjugation in their chains, it enables the electrons to de-localize throughout the whole system and thus many atoms may share them. The de-localized electrons may move around the whole system and become the charge carriers to make them conductive.
  • 77.
    cis-polyacetylene has alower conductivity of 1.7×10−9 Ω−1cm−1 trans-polyacetylene films have a conductivity of 4.4×10−5 Ω−1cm−1
  • 78.
  • 79.
    Doped conducting polymers Theyare obtained by exposing a polymer to a charged transfer agent in either gas phase or in solution. The conductivity of intrinsically conducting polymers can be increased by creating either positive or negative charge on the polymer backbone by oxidation or reduction. Doping may be of two types: a)P- doping b)n-doping a)p-doping In this process, the conducting polymer is treated with a Lewis acid like I2, Br2, AsF5, PF6, naphthylamine etc., It involves oxidation process thereby creating a positive charge on the polymer backbone.
  • 80.
    (CH)x + A--------- (CH)X + A- Polyacetylene Lewis acid p-Doped polyacetylene b)n-doping: It involves reduction process where the conducting polymer is treated with a Lewis base like Li, Na, Ca, tetrabutyl ammonium, dianionic aromatic hydrocarbons etc., (CH)x + B --------- (CH)x - B+ Polyacetylene Lewis base n-Doped polyacetylene
  • 81.
    Extrinsically conducting polymers Thesepolymers owe their conductivity due to the presence of externally added ingredients in them. They are of two types : Conductivity element filled polymer: It is a resin or polymer filled with conducting elements such as carbon black, metallic fibres, metal oxides, etc. In this, the polymer acts as the binder to hold the conducting elements together in the solid entity. Example: epoxy resin (ER) and poly vinyl chloride (PVC) are polymers filled with metal powders such as Copper and nickel powder ,carbon black , silica etc.,
  • 83.
    Some of theimportant characteristics of extrinsically conducting polymers are (a)They possess good bulk conductivity. (b)They are cheaper. (c)They are light in weight. (d) They are mechanically durable and strong. (e)They are easily processable in different forms, shapes and sizes. Blended conducting polymer: It is obtained by blending a conventional polymer with a conducting polymer either by physical or chemical change. Such polymer can be easily processed and possess better physical, chemically and mechanical properties.
  • 84.
    Ex: Graphene +PMMA Used in lightening strike protection,Electromagnetic shielding
  • 85.
    Synthesis of polyacetylene Mechanismof conduction in polyacetylene P-doping n-doping I2/CCl4
  • 86.
    Comparision between conductingpolymers and other m
  • 87.
    Applications of Conductingpolymers POLYPYRROLE,POLYPROPYLENE POLYANILINE,POLYPJENULENE VINYLENE
  • 88.
  • 89.
    DRUG DELIVERY SYSTEMIN HUMAN BODY
  • 90.
    And many moreapplications still under research....
  • 91.
  • 92.
    Biodegradable polymers arethe polymers that breakdown and lose their initial integrity by bacterial decomposition process. MODULE-10: Biodegradable Polymers This biological decomposition process results in natural byproducts such as gases (CO2, N2), water, biomass, and inorganic salts.
  • 93.
    There are manynatural and synthetic polymers available. Biodegradable polymers largely consists of ester, amide and their functional groups These polymers are often synthesized by condensation reactions, ring opening polymerization, and metal catalysts. Diverse applications such as surgical sutures, wound dressings, tissue regeneration, enzyme immobilization, controlled drug delivery and gene delivery, tissue engineering scaffold, cryopreservation, nanotechnology, medical implants and devices, prosthetics, augmentation, cosmetics, sanitation products, coatings, adhesives, and many more.
  • 94.
    Polyglycolic acid(PGA) Polylactic acid(PLA) Polyhydroxy butyrate (PHB) Polyhydroxy butyrates-co-beta hydroxyl valerate( PHBV) Polycaprolactone(pcl) Nylon-2-nylon-6. Polysaccharides, as starch and cellulose, represent the most characteristic family of these. Examples Biodegradable Polymers:
  • 95.
    Poly(lactic acid) orpolylactide (PLA) is a thermoplastic aliphatic polyester derived from renewable resources, such as corn starch (in the United States), tapioca roots, chips or starch (mostly in Asia), or sugarcane. POLYLACTIC ACID (PLA) Synthesis: Bacterial fermentation is used to produce lactic acid from corn starch or cane sugar. Lactic acid cannot be polymerised to a useful product because each reaction generates one molecule of water, presence of which degrades the forming polymer chain. Due to this low molecular weight polymers will be formed. Instead, two lactic acids are dimerized to di-lactic ester. Although dimerization generates water, it can be separated prior to polymerisation.
  • 96.
    PLA of highmolecular weight is produced from di-lactic ester by ring opening polymerization using stannous octate catalyst.
  • 97.
    PLA is solublein solvents, hot benzene, tetrahydrofuran, and dioxane. Polylactic acid can be processed like most thermoplastics into fibre and film. PLA polymers range from amorphous glassy polymer to semi- crystalline and highly crystalline polymer with a glass transition 60– 65 °C. The melting temperature of PLA can be increased 40-50 °C Heat deflection temperature can be increased from approximately 60°C to up to 190 °C by physically blending the polymer with PDLA (poly-D-lactide). Properties of PLA:
  • 98.
    Applications of Polylacticacid: Poly (lactic acid) can be processed by extrusion, injection moulding, film & sheet casting, and spinning, providing access to a wide range of materials.
  • 99.
    In the formof fibres and non-woven textiles, As upholstery, disposable garments, awnings, feminine hygiene products, and diapers.
  • 100.
    PLA is usedas medical implants in the form of anchors, screws, plates, pins, rods, and as a mesh.