Modern Physics
Dr.N.Meenakshisundaram M.Sc., NET, Ph.D. (IITM)
Assistant Professor of Physics
Vivekananda College
Madurai - 625234
The Birth of Quantum Mechanics
Wave – Particle Duality
Particle Properties of Waves
● Introduction
● Photoelectric Effect
● Compton Effect
Established Theories in Physics
Analytical Mechanics
Thermodynamics
Maxwellian Electrodynamics
Till the Nineteenth Century
Let us examine the following
Our understanding of the physical world is that it is
made up of two basic distinct entities.
Waves:
Like sound waves, ripples on the surface of water,
electromagnetic waves.
Material objects:
Like a particle, a ball, a car, the planets.
Are they very different ?
Material Objects
• Can be located at a definite position at a
given time.
• Can be at rest or moving or accelerating
under an external force.
• When they collide, they either scatter or
shatter. They definitely cannot pass through
each other.
It would seem so.
Waves
• They are spread out in space and time.
• They are defined by their velocity, wavelength,
frequency or amplitude.
• They can pass through one another. In the process
the waves are either enhanced or reduced.
The Birth of Quantum Mechanics
• At the turn of the last century, there were several
experimental observations which could not be
explained by the established laws of classical
physics and called for a radically different way of
thinking
• This led to the development of Quantum
Mechanics which is today regarded as the
fundamental theory of Nature.
Some key events/observations that led to
the development of Quantum Mechanics…
• Black body radiation spectrum (Planck, 1901)
• Photoelectric effect (Einstein, 1905)
• Model of the atom (Rutherford, 1911)
• Quantum Theory of Spectra (Bohr,1913)
Some key events/observations that led to the
development of Quantum Mechanics…
• Scattering of photons off electrons (Compton, 1922)
• Exclusion Principle (Pauli, 1922)
• Matter Waves (de Broglie 1925)
• Experimental test of matter waves (Davisson and
Germer, 1927)
Einstein
Planck Rutherford
Bohr Compton
Pauli
de Broglie
Davisson and Germer
The Nature of Light…
• The birth of quantum mechanics is intimately
linked with the theories and discoveries relating to
the nature of light
• Is the nature of light that of a wave or a particle?
The Story of Light…
• Corpuscular theory (Newton)
• Wave nature (Huygens)
• Double-slit interference experiment (Young)
The Story of Light (contd.)….
• Light is an electromagnetic wave (Maxwell)
• Photoelectric effect – existence of light quanta –
photons (Einstein)
• Photons have momentum (Compton)…..
Newton Huygens Youn
g
Maxwell Einstein Compton
Light has a Dual nature
• Wave (electromagnetic) - Interference
- Diffraction
• Particle (photons) - Photoelectric effect
- Compton effect
“Wave - Particle Duality for light”
Wave
Our traditional understanding of a wave….
“de-localized” – spread out in space and time
Particle
Our traditional understanding of a particle…
“Localized” - definite position, momentum
and confined in space
The connecting link – Planck’s
constant
Dual Nature
Radiation -
Matter -
What about Matter?
If light, which was traditionally understood as a
wave also turns out to have a particle nature,
might matter, which is traditionally understood as
particles, also have a wave nature?
Yes!
Particle Properties of Waves
Photoelectric Effect
“The energies of electron liberated by
light depend on the frequency of the light”
During his experiments on electromagnetic waves, Hertz noticed that
sparks occurred more readily in the air gap of his transmitter when
ultraviolet light was directed at one of the metal balls . He did not
follow up this observation, but others did. They discovered that the
cause was electrons emitted when the frequency of the light was
sufficiently high. This phenomenon is known as the photoelectric
effect and the emitted electrons are called photoelectrons.
Experimental Observation of
Photoelectric Effect
1. An evacuated tube contains two electrodes connected to a
source of variable voltage, with the metal plate whose
surface is irradiated as the anode.
2. Some of the photoelectrons that emerge from this surface
have enough energy to reach the cathode despite its
negative polarity, and they constitute the measured current
3.The slower photoelectrons are repelled before they get to
the cathode.
4.When the voltage is increased to a certain value V0, of the
order of several volts, no more photoelectrons arrive, as
indicated by the current dropping to zero. This extinction
voltage corresponds to the maximum photoelectron kinetic
energy.
5. Light waves carry energy, and some of the energy
absorbed by the metal may somehow concentrate on
individual electrons and reappear as their kinetic energy.
Quantum Theory of Light
In 1905 Einstein realized that the photoelectric
effect could be understood if the energy in light is not
spread out over wave fronts but is concentrated in
small packets, or photons.
Each photon of light of frequency  has the energy
h, the same as Planck’s quantum energy.
Work Function
There must be a minimum energy Ф for an electron to
escape from a particular metal surface or else electrons
would pour out all the time. This energy is called the Work
Function of the metal, and is related by the formula .
The greater the work function of a metal, the more energy is
needed for an electron to leave its surface, and the higher the
critical frequency for photoelectric emission to occur.
Photoelectric Effect - Equation
where h is the photon energy, KEmax is the
maximum photoelectron energy (which is
proportional to the stopping potential), and  is
the minimum energy needed for an electron to
leave the metal.
KEmax =h(υ– υ0)
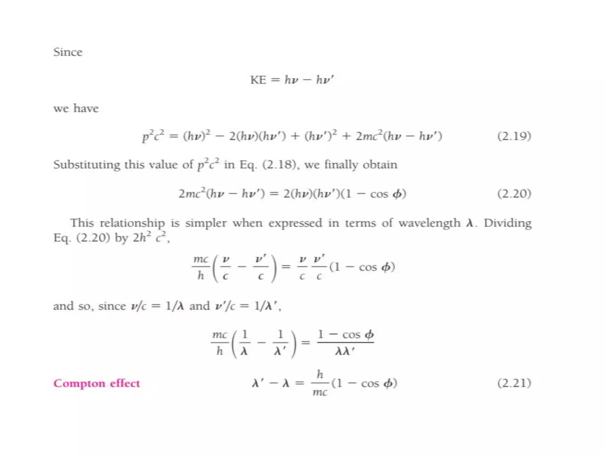
Compton Effect
In this observation
X-ray Photon strikes an Electron
We know that
What about Matter?
If light, which was traditionally understood as a
wave also turns out to have a particle nature,
might matter, which is traditionally understood as
particles, also have a wave nature?
Yes!
Dr. Quantum - Double Slit Experiment -Animation
https://youtu.be/Q1YqgPAtzho
Text book Reference
Concepts of Modern Physics - Arthur Beiser,
Sixth Edition 2004, Tata McGraw-Hill Publishing
Company Limited, New Delhi
Chapter 2 : 2.3 & 2.7
Acknowledgement
References collected from Google Search!!
Particle Properties of Waves

Particle Properties of Waves

  • 1.
    Modern Physics Dr.N.Meenakshisundaram M.Sc.,NET, Ph.D. (IITM) Assistant Professor of Physics Vivekananda College Madurai - 625234
  • 2.
    The Birth ofQuantum Mechanics Wave – Particle Duality
  • 3.
    Particle Properties ofWaves ● Introduction ● Photoelectric Effect ● Compton Effect
  • 4.
    Established Theories inPhysics Analytical Mechanics Thermodynamics Maxwellian Electrodynamics Till the Nineteenth Century
  • 5.
    Let us examinethe following Our understanding of the physical world is that it is made up of two basic distinct entities. Waves: Like sound waves, ripples on the surface of water, electromagnetic waves. Material objects: Like a particle, a ball, a car, the planets.
  • 6.
    Are they verydifferent ? Material Objects • Can be located at a definite position at a given time. • Can be at rest or moving or accelerating under an external force. • When they collide, they either scatter or shatter. They definitely cannot pass through each other.
  • 7.
    It would seemso. Waves • They are spread out in space and time. • They are defined by their velocity, wavelength, frequency or amplitude. • They can pass through one another. In the process the waves are either enhanced or reduced.
  • 8.
    The Birth ofQuantum Mechanics • At the turn of the last century, there were several experimental observations which could not be explained by the established laws of classical physics and called for a radically different way of thinking • This led to the development of Quantum Mechanics which is today regarded as the fundamental theory of Nature.
  • 9.
    Some key events/observationsthat led to the development of Quantum Mechanics… • Black body radiation spectrum (Planck, 1901) • Photoelectric effect (Einstein, 1905) • Model of the atom (Rutherford, 1911) • Quantum Theory of Spectra (Bohr,1913)
  • 10.
    Some key events/observationsthat led to the development of Quantum Mechanics… • Scattering of photons off electrons (Compton, 1922) • Exclusion Principle (Pauli, 1922) • Matter Waves (de Broglie 1925) • Experimental test of matter waves (Davisson and Germer, 1927)
  • 11.
  • 12.
  • 13.
    The Nature ofLight… • The birth of quantum mechanics is intimately linked with the theories and discoveries relating to the nature of light • Is the nature of light that of a wave or a particle?
  • 14.
    The Story ofLight… • Corpuscular theory (Newton) • Wave nature (Huygens) • Double-slit interference experiment (Young)
  • 15.
    The Story ofLight (contd.)…. • Light is an electromagnetic wave (Maxwell) • Photoelectric effect – existence of light quanta – photons (Einstein) • Photons have momentum (Compton)…..
  • 16.
  • 17.
    Light has aDual nature • Wave (electromagnetic) - Interference - Diffraction • Particle (photons) - Photoelectric effect - Compton effect “Wave - Particle Duality for light”
  • 18.
    Wave Our traditional understandingof a wave…. “de-localized” – spread out in space and time
  • 19.
    Particle Our traditional understandingof a particle… “Localized” - definite position, momentum and confined in space
  • 20.
    The connecting link– Planck’s constant Dual Nature Radiation - Matter -
  • 21.
    What about Matter? Iflight, which was traditionally understood as a wave also turns out to have a particle nature, might matter, which is traditionally understood as particles, also have a wave nature? Yes!
  • 22.
  • 23.
    Photoelectric Effect “The energiesof electron liberated by light depend on the frequency of the light” During his experiments on electromagnetic waves, Hertz noticed that sparks occurred more readily in the air gap of his transmitter when ultraviolet light was directed at one of the metal balls . He did not follow up this observation, but others did. They discovered that the cause was electrons emitted when the frequency of the light was sufficiently high. This phenomenon is known as the photoelectric effect and the emitted electrons are called photoelectrons.
  • 24.
    Experimental Observation of PhotoelectricEffect 1. An evacuated tube contains two electrodes connected to a source of variable voltage, with the metal plate whose surface is irradiated as the anode. 2. Some of the photoelectrons that emerge from this surface have enough energy to reach the cathode despite its negative polarity, and they constitute the measured current
  • 25.
    3.The slower photoelectronsare repelled before they get to the cathode. 4.When the voltage is increased to a certain value V0, of the order of several volts, no more photoelectrons arrive, as indicated by the current dropping to zero. This extinction voltage corresponds to the maximum photoelectron kinetic energy. 5. Light waves carry energy, and some of the energy absorbed by the metal may somehow concentrate on individual electrons and reappear as their kinetic energy.
  • 26.
    Quantum Theory ofLight In 1905 Einstein realized that the photoelectric effect could be understood if the energy in light is not spread out over wave fronts but is concentrated in small packets, or photons. Each photon of light of frequency  has the energy h, the same as Planck’s quantum energy.
  • 27.
    Work Function There mustbe a minimum energy Ф for an electron to escape from a particular metal surface or else electrons would pour out all the time. This energy is called the Work Function of the metal, and is related by the formula . The greater the work function of a metal, the more energy is needed for an electron to leave its surface, and the higher the critical frequency for photoelectric emission to occur.
  • 28.
    Photoelectric Effect -Equation where h is the photon energy, KEmax is the maximum photoelectron energy (which is proportional to the stopping potential), and  is the minimum energy needed for an electron to leave the metal. KEmax =h(υ– υ0)
  • 29.
  • 30.
  • 32.
  • 35.
    What about Matter? Iflight, which was traditionally understood as a wave also turns out to have a particle nature, might matter, which is traditionally understood as particles, also have a wave nature? Yes!
  • 36.
    Dr. Quantum -Double Slit Experiment -Animation https://youtu.be/Q1YqgPAtzho Text book Reference Concepts of Modern Physics - Arthur Beiser, Sixth Edition 2004, Tata McGraw-Hill Publishing Company Limited, New Delhi Chapter 2 : 2.3 & 2.7 Acknowledgement References collected from Google Search!!