Engineering Physics
Lecture Series
By
Dr.Vishal Jain,
Associate Professor
Department of Physics
Geetanjali Institute of Technical Studies
Udaipur, Rajasthan
Experience =10 Years, Research Publications =25
Unit 1. Wave Optics
wave optics, is the branch of optics that studies interference,
diffraction, polarization, and other phenomena for which the ray
approximation of geometric optics is not valid.
What is Light?
Light is an electromagnetic radiation refers to visible regions of
electromagnetic spectrum corresponding to the wavelength range of
380nm to 750nm which has transverse vibrations.
Basic Definitions
The Wavelength of a sin
wave, λ, can be measured
between any two points with
the same phase, such as
between crests, or troughs, as
shown.
The frequency, f, of a wave is
the number of waves passing a
point in a certain time. We
normally use a time of one
second, so this gives
frequency the unit hertz (Hz),
since one hertz is equal to one
wave per second.
Principle of Superposition
“Whenever two or more waves superimpose in a medium, the
total displacement at any point is equal to the vector sum of
individual displacement of waves at that point”
If Y1
, Y2
, Y3
…are different
displacement vector due to the
waves 1,2,3 …acting
separately then according to
the principle of superposition
the resultant displacement is
given by
Y=Y1
+Y2
+Y3
+……
INTERFERENCE is the process in which two or more waves
of the same frequency - be it light, sound, or other electromagnetic waves -
either reinforce or cancel each other, the amplitude of the resulting wave being
equal to the sum of the amplitudes of the combining waves.
MICHELSON’S INTERFERROMETER
The Michelson interferometer is a common
configuration for optical interferometer and was
invented by Albert Abraham Michelson in 1887.
Using a beam splitter, a light source is split into two
arms.
Principle:- The MI works on the principle of division of amplitude.
When the incident beam of light falls on a beam splitter which divided
light wave in two part in different directions. These two light beams
after traveling different optical paths, are superimposed to each other
and due to superposition interferences fringes formed.
Construction:- It consists of two highly polished plane mirror M1
and M2
, with
two optically plane glass plate G1
and G2
which are of same material and same
thickness. The mirror M1
and M2
are adjusted in such a way that they are
mutually perpendicular to each other. The plate G1
and G2
are exactly parallel to
each other and placed at 45° to mirror M1
and M2
. Plate G1
is half silvered from
its back while G2
is plane and act as compensating plate. Plate G1
is known as
beam-splitter plate.
The mirror M2
with screw on its back can slightly titled about vertical and
horizontal direction to make it exactly perpendicular to mirror M1
. The mirror M1
can be moved forward or backward with the help of micrometer screw and this
movement can be measured very accurately.
Working: Light from a broad source is made paralied by using a convex lens L.
Light from lens L is made to fall on glass plate G1
which is half silver polished
from its back. This plate divides the incident beam into two light rays by the
partial reflection and partial transmission, known as Beam splitter plate. The
reflected ray travels towards mirror M1
and transmitted ray towards mirror M2
.
These rays after reflection from their respective mirrors meet again at 'O' and
superpose to each other to produce interference fringes. This firings pattern is
observed by using telescope.
Functioning of Compensating Plate: In absence of plate G2
the reflected ray passes
the plate G1
twice, whereas the transmitted ray does not passes even once.
Therefore, the optical paths of the two rays are not equal. To equalize this path the
plate G2
which is exactly same as the plate G1
is introduced in path of the ray
proceeding towards mirror M2
that is why this plate is called compensating plate
because it compensate the additional path difference.
Formation of fringes in MI
The shape of fringes in MI depends on inclination of mirror M1
and M2
. Circular fringes are
produced with monochromatic light, if the mirror M1
and M2
are perfectly perpendicular to
each other. The virtual image of mirror M2
and the mirror M1
must be parallel. Therefore it is
assumed that an imaginary air film is formed in between mirror M1
and virtual image mirror
M'2
. Therefore, the interference pattern will be obtained due to imaginary air film enclosed
between M1
andM'2
.
From Fig. if the distance M1
and M2
and M'2
is'd', the
distance between S'1
and S'2
will be 2D.
If the light ray coming from two virtual sources
making an angle θ with the normal then the path
difference between the two beams from S1
and S2
will becomes
As one of the ray is reflecting from denser medium
mirror M1, a path change of λ/2 occurs in it. Hence
the effective path difference between them will be
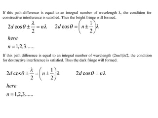
If this path difference is equal to an integral number of wavelength λ, the condition for
constructive interference is satisfied. Thus the bright fringe will formed.
If this path difference is equal to an integral number of wavelength (2n±1)λ/2, the condition
for destructive interference is satisfied. Thus the dark fringe will formed.
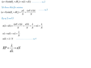
Radius of Fringes
The Condition for maxima and minima in MI is given by
It is clear that on moving away from center the value of angle θ increases and the value of
cos θ decreases hence the order of fringe also decrease so n maximum at center, The
condition for nth dark ring at center is
On moving m number of rings away from the center, the
order of mth
ring will be ( n-m). If mth
ring make an angle
θm
with the axis of telescope then from equation
For maxima For minima
……………Eq 1
……………Eq 2
D
θm
rm
n n-1
n-2
m
n-m
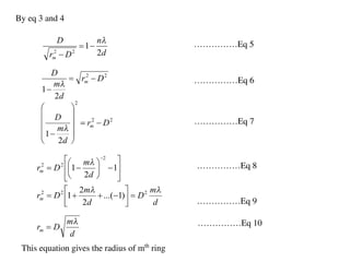
On Subtracting eq 1 and 2
…Eq 3
Here
…Eq 4
By eq 3 and 4
This equation gives the radius of mth
ring
……………Eq 5
……………Eq 6
……………Eq 7
……………Eq 8
……………Eq 9
……………Eq 10
Applications of MI
(1) Measurement of the wavelength of monochromatic light : The mirror M1
and
M2
adjusted such that circular fringes are formed. For this purpose mirror M1 and
M2 are made exactly perpendicular to each other.
Now set the telescope at the center of fringe and move the mirror M1 in any
direction, number of fringes shifted in field of view of telescope is counted.
Let on moving mirror M1 through x distance number of fringes shifted is N So the
path difference
By using both equations we will calculate wavelength corresponding to distance
and number of fringes shifted through telescope.
(2) Determination of the difference in between two nearby wavelengths :- Suppose
a source has two nearby wavelengths λ1 and λ2. Each wavelength gives rise its own
fringe pattern in MI. By adjusting the position of the mirror M1, aposition will be
found where fringes from both wavelength will coincide and form highly contrast
fringes.
So the condition is given by
When a mirror M1
has been moved through a certain distance, the bright fringe due to
wavelength λ1
coincide with dark fringe due to wavelength λ2
and no fringe will be seen.
On further movies mirror M1
the bright fringes again distinct, this is the position where
n1
+m order coincide with n2
+m+1.
So the condition given by
Subtracting eq 2 by eq 1
So by eq 4 and 3
……………Eq 1
……………Eq 2
……………Eq 3
……………Eq 4
Problems & Solution
Q.1. In MI 200 fringes cross the field of view when the movable mirror is displaced through
0.05896mm. Calculate the wavelength of the monochromatic light used.
Solution:- Given
N=200
x= 0.05896mm = 0.05896 X 10-3
m
So the wavelength Å
Q.2. The initial and final readings of MI screw are 10.7347 mm and 10.7057mm
respectively, when 100 fringes pass trough the field of view. Calculate the wavelength of
light used.
Solution:- Given
N=100
x=x2
-x1
= 10.7347-107057=0.029mm=0.029 X 10-3
m
So the wavelength
Å
Problems & Solution
Q.3. MI is set to form circular fringes with light of wavelength 5000Å. By Changing the path
length of movable mirror slowly, 50 fringes cross the center of view How much path length
has been changed?
Solution:- Given
N=50
λ= 5000 X 10-10
m
So the path length
Q.4. In a Michelson Interferometer, when 200 fringes are shifted, the final reading of the
screw was found to be 5.3675mm. If the wavelength of light was 5.92 X 10-7
m, What was
the critical reading of the screw?
Solution:- Given
N=200
x=x2
-x1
= 5.3675 X10-3
m - ?
and wavelength λ = 5.92 X 10-2
m
So the wavelength
Now initial reading of screw d1
=d2
± x = 5.3675 x 10-3
m + 0.0592 x10-3
m =5.4267 x 10-3
m
NEWTONS RING
                                                                 
Newton's rings seen in two plano-convex lenses with their flat surfaces in contact. One surface is
slightly convex, creating the rings. In white light, the rings are rainbow-colored, because the
different wavelengths of each color interfere at different locations.
Newton's rings is a phenomenon
in which an interference pattern is
created by the reflection of light
between two surfaces—a spherical
surface and an adjacent touching
flat surface. It is named for Isaac
Newton, who first studied the effect
in 1717. When viewed with
monochromatic light, Newton's
rings appear as a series of
concentric, alternating bright and
dark rings centered at the point of
contact between the two surfaces.
1. Construction
2. Theory
Theory Explanation
When a Plano convex lens of long focal length is placed in contact on a plane glass
plate (Figure given below), a thin air film is enclosed between the upper surface of
the glass plate and the lower surface of the lens. The thickness of the air film is
almost zero at the point of contact O and gradually increases as one proceeds
towards the periphery of the lens. Thus points where the thickness of air film is
constant, will lie on a circle with O as center.
By means of a sheet of glass G, a parallel beam of monochromatic light is
reflected towards the lens L. Consider a ray of monochromatic light that strikes the
upper surface of the air film nearly along normal. The ray is partly reflected and
partly refracted as shown in the figure. The ray refracted in the air film is also
reflected partly at the lower surface of the film. The two reflected rays, i.e. produced
at the upper and lower surface of the film, are coherent and interfere constructively
or destructively. When the light reflected upwards is observed through microscope
M which is focused on the glass plate, series of dark and bright rings are seen with
center as O. These concentric rings are known as " Newton's Rings ".
At the point of contact of the lens and the glass plate, the thickness of the film is
effectively zero but due to reflection at the lower surface of air film from denser
medium, an additional path of λ/2 is introduced. Consequently, the center of Newton
rings is dark due to destructive interference.
Diffraction of Light
Diffraction refers to various phenomena that occur when a wave
encounters an obstacle or a slit. It is defined as the bending of light
around the corners of an obstacle or aperture into the region of
geometrical shadow of the obstacle.
Diffraction pattern of red
laser beam made on a
plate after passing
through a small circular
aperture in another plate
Thomas Young's sketch of two-slit diffraction, which
he presented to the Royal Society in 1803.
Fresnel's Diffraction Fraunhofer diffraction
Cylindrical wave fronts Planar wave fronts
Source of screen at finite distance from the
obstacle
Observation distance is infinite. In practice,
often at focal point of lens.
Move in a way that directly corresponds with
any shift in the object.
Fixed in position
Fresnel diffraction patterns on flat surfaces Fraunhofer diffraction patterns on spherical
surfaces.
Change as we propagate them further
‘downstream’ of the source of scattering
Shape and intensity of a Fraunhofer diffraction
pattern stay constant.
Classification of Diffraction
Diffraction phenomena of light can be divided into two different classes
Fraunhofer Diffraction at a Single Slit
Let us consider a slit be rectangular aperture
whose length is large as compared to its
breath. Let a parallel beam of wavelength be
incident normally upon a narrow slit of AB.
And each point of AB send out secondary
wavelets is all direction. The rays proceeding
in the same direction as the incident rays are
focused at point O and which are diffracted at
angle θ are focused at point B. The width of
slit AB is small a.
The path difference between AP and BP is
calculated by draw a perpendicular BK.
According to figure the path difference
the phase difference
……………..
eq 1
……………..
eq 2
According to Huygens wave theory each point of slit AB spread out secondary wavelets which
interfere and gives diffraction phenomena. Let n be the secondary wavelets of the wave front
incident on slit AB . The resultant amplitude due to all equal parts of slit AB at the point P can
be determine by the method of vector addition of amplitude. This method is known as
polygon method
For this construct a polygon of vector that magnitude Ao
represent the amplitude of each
wavelets and direction of vector represented the phase of each wavelets
nɸ=δ
δ/2
δ/2 N
A
B
C
δ
2δ
nδ
r
nɸ=δ
A
B
R
R/2
R/2
Now a perpendicular CN is draw from the center C of an arc on the line A, which will
divide the amplitude R in two parts
from triangle ACN and BCN
By assuming polygon as a arc of a circle of radius r we can calculate the angle
AC=BC = r so
By putting the values of r
By assuming δ/2 =α=π/λ a sinθ
and the intensity I is given by
Intensity distribution by single slit diffraction
Central Maxima
For the central point P on the screen θ = 0 and hence α = 0
Hence intensity at point P will be
Hence intensity at point P will be maximum
Principal Minima
For the principal minima intensity should be zero
Where n = 1, 2, 3,4……
n = 0
Secondary Maxima
To find out direction of secondary maxima we
differentiate intensity equation with respect to
α and equivalent to zero
This is the condition for secondary
maximas and can be solved by plotting a
graph between y= tanα and y=α as shown
The point of intersection of two curves gives
the position of secondary maxima. The
positions are α1
= 0, α2
= 1.43π, α3
= 2.46π,
α4
= 3.47π,..
Intensity distribution by single slit diffraction
Central
maxima
Secondary
maxima’s
Principal
Minima’s
Width of the central maximum
The width of he central maximum can be
derived as the separation between the first
minimum on either side of the central
maximum.
If he first maximum is at distance x from the
central maximum then
x
x
D
f
We know that
From the diagram
θ1
If θ is very small sinθ1
= tanθ1
= θ1
……………..
eq 1
…..eq
2
…..eq
3
…..eq
4
Diffraction Grating
A diffraction grating is an arrangement equivalent to a large number of parallel slits of
equal widths and separated from one another by equal opaque spaces.
Construction
Diffraction grating can be made by
drawing a large number of equidistant
and parallel lines on an optically plane
glass plate with the help of a sharp
diamond point. The rulings scatter the
light and are effectively opaque, while
the unruled parts transmit light and act
as slits. The experimental arrangement
of diffraction grating is shown
They are two type refection and
transmission gratings
A very large reflecting
diffraction grating
An incandescent light
bulb viewed through a
transmissive diffraction
grating.
Theory for transmission grating
(resultant intensity and amplitude)
Let AB be the section of a grating having
width of each slit as a, and b the width of each
opaque space between the slits. The quantity
(a + b) is called grating element, and two
consecutive slits separated by the distance (a
+ b) are called corresponding points.
The schematic ray diagram of grating has
been shown in figure
Let a parallel beam of light of wavelength λ incident normally on the grating using
the theory of single slit & Huygens principle, the amplitude of the wave diffracted at
angle θ by each slit is given by
……………………eq 1
Diffraction by n parallel slit at an angle θ is equivalent to N parallel waves of amplitude R
That emitted from each slit s1
, s2
, s3
…..sN
Where α = π/λ (a sinθ), These N parallel waves interfere
and gives diffraction pattern consisting of maxima and minima on the screen.
The path difference between the waves emitted from two consecutive slits given by.
The corresponding Phase Difference
Thus there are N equal waves of equal amplitude and with a increasing phase difference of δ
……………………eq 2
……………………eq 3
……………………eq 4
To find the resultant amplitude of these N parallel waves we use the vector polygon method.
Waves from each slit is represented by vectors where its magnitude represented by amplitude
and direction represents the phase.
Thus joining the N vectors tail to tip we get a polygon of N equal sides and the angle between
two consecutive sides is δ
The phase difference between waves from first to last slit is Nδ obtained by drawing the
tangents at A and B
Nδ
Nδ/2
Nδ/2
A
B
C
δ
2δ
Nδ
r
Nδ
A
B
RN
RN
N
Diffraction by n parallel slit at an angle θ is equivalent to N parallel waves of amplitude RN.
Consider a triangle ACN and DCN
C
A N D
δ/2 δ/2
R/2 R/2
Since AC=CD we can rewrite
……………………eq 5
In triangle ABC
……………………eq 6
Here
So the resultant intensity
……………………eq 7
The above equation gives the resultant intensity of N parallel waves diffracted at an angle θ.
The resultant intensity is the product of two terms
Due to diffraction from each slit
Due to Interference of N slits
Intensity distribution by diffraction Grating
Central Maxima
Hence intensity at point P will be maximum
Principal Minima
Where m = 1, 2, 3,4……
1. Due to Diffraction from Each Slit
Secondary Maxima
2. Due to Interference of N slits
Principal Maxima’s
Position of Principal maxima’s obtained when
Where n= 0, 1, 2, 3………..
Then sinNβ is also equal to zero and becomes indeterminate so by using L’ Hosptal
Rule
Hence the intensity of principal maxima is given by
Manima’s
The intensity will be minimum when I = 0 i.e. sinNβ = 0 but sinβ ≠ 0
Nβ = ±pπ here p = 1, 2, 3………..(N-1)(N+1)…….(2N-1)(2N+1)…….. i.e. p ≠ N, 2N……
hence
Secondary
Maxima’s
To find out direction of secondary maxima we differentiate intensity equation with respect to
α and equivalent to zero
The solution of the above equation
except p=±nπ gives the position of the
secondary maxima’s
Intensity of Secondary Maxima’s
The position of secondary maxima is given by using this equation a
right triangle can be formed as shown
Nβ
(1+N
2 tan
2 β)
1/2
A
B
C
Ntanβ
From figure
As increase in number of slit the
number of secondary maxima also
increases
Intensity distribution by Diffraction Gratings
Formation of Spectra with Diffraction Grating
With White
Light
With Monochromatic
Light
Characteristics of Grating Spectra
If the angle of diffraction is such that, the minima due to diffraction component in the
intensity distribussion falls at the same position of principal maxima due to interference
component, then the order of principal maxima then absent. If mth
order minima fall on nth
order principal maxima then
Now we consider some cases
A. If b=a, i.e. width of opaque space in equal to width of slit then from equation 3. n = 2m
since m=1, 2, 3 …. Then n = 2nd
, 4th
, 6th
….spectra will be absent
B. If b=2a, i.e. width of opaque space in equal to width of slit then from equation 3. n = 3m
since m=1, 2, 3 …. Then n = 3rd
, 6th
, 9th
….spectra will be absent
1. ABSENT SPECTRA
……………
eq 1
……………
eq 2
……………
eq 3
2. Maximum Number of Order Observed by Grating
Principal maximum in grating spectrum is given by
Maximum possible angle of diffraction is 90 degree therefore
So
Q.1. A plane transmission grating has 6000 lines/cm. Calculate the higher order of spectrum
which can be seen with white light of wavelength 4000 angstrom
Sol. Given a+b=1/6000, Wavelength 4000X 10-8
cm
As we know that gratings equation written as
For maximum order
Maximum order will be 4th
……………..
eq 1
……………..
eq 2
3. Width of principal maxima
The angular width of principal maxima of nth order is defined as the angular separation between
the first two minima lying adjacent to principal maxima on either side
θn
2δθ
n
θn
-
δθn
θn
+δθ
n
A O
If θn
is the position of nth order principal maxima
θn
+δθn,
θn
-δθn
are positions of first minima
adjacent to principal minima then the width of
nth principal maxima = 2δθn
From the Grating Equation nth
order maxima
And the position of minima is given by
Hence equation rewritten as
……………
eq 1
…eq
2
On dividing eq 2 by eq 1
If dθn
is very small than cosdθn
= 1, sindθn
= dθn
4. Dispersive Power of Diffraction Gratings
For a definite order of spectrum, the rate of change of angle of diffraction θ with respect to the
wavelength of light ray is called dispersive power of Grating.
Dispersive Power = dθ/dλ
We know that gratings equation
Also written as
……………..
eq 1
……………..
eq 2
……………..
eq 3
5. Experimental demonstration of diffraction grating to determine
wavelength
Resolving Power
Resolving Power
The ability of an optical instrument to produce two distinct separate images of two objects located very close to
each other is called the resolution power
Limit of resolution
The smallest distance between two object, when images
are seen just as separate is known as limit of resolution
For eye limit of resolution is 1 minutes
Resolution
When two objects or their images are very close to each other they appeared as a one and it not be possible for the
eye to seen them separate. Thus to see two close objects just as separate is called resolution
Rayleigh Criterion for Resolution
Lord Rayleigh (1842-1919) a British Physicist proposed a criterion which can manifest
when two object are seen just separate this criterion is called Rayleigh’s Criterion for
Resolution
Well Resolved
Just resolved
Not resolved
Resolving power of a telescope
Resolving power of telescope is defined as the reciprocal of the smallest angle sustained
at the object by two distinct closely spaced object points which can be just seen as
separate ones through telescope.
Let a is the diameter of objective telescope as shown in fig and P1
and P2
are the
positions of the central maximum of two images. According to Rayleigh criterion these
two images are said to be separated if the position of central maximum of the second
images coincides with the first minimum or vice versa.
P
1
P
2
A
B
dθ
dθ
dθ
a
The path difference between AP2
and
BP2 is zero and the path difference
between AP1
and BP1
is given by
If dθ is very small sin dθ = dθ
C
For rectangular
aperture
For circular
aperture
……………..
eq 1
………e
q 2
Resolving power of a Diffraction Grating
The resolving power of a grating is the ability to separate the spectral lines which are very close to each other.
When two spectral lines in spectrum produced by diffraction grating are just resolved, then in this position the
ratio of the wavelength difference and the mean wave length of spectral lines are called resolution limit of
diffraction Grating
Q
dθ
Let parallel beams of light of wavelength λ and λ+dλ be
incident normally on the diffraction grating. If nth
principal maxima of λ and λ+dλ are formed in the
direction of θn
, θn
+dθn
respectively
For the principal maximum by wavelength λ the gratings
equation written as
for wavelength d λ
θn
λ+dλ
δθn
A
λ P
……………………….....eq 1
………………………………………...eq 4
We know that for minima
By eq 2 and 3
……………….. …...eq 2
…………….eq 3
Thanking

Interference of Light, Diffraction of Light

  • 1.
    Engineering Physics Lecture Series By Dr.VishalJain, Associate Professor Department of Physics Geetanjali Institute of Technical Studies Udaipur, Rajasthan Experience =10 Years, Research Publications =25 Unit 1. Wave Optics
  • 2.
    wave optics, isthe branch of optics that studies interference, diffraction, polarization, and other phenomena for which the ray approximation of geometric optics is not valid.
  • 3.
    What is Light? Lightis an electromagnetic radiation refers to visible regions of electromagnetic spectrum corresponding to the wavelength range of 380nm to 750nm which has transverse vibrations.
  • 4.
    Basic Definitions The Wavelengthof a sin wave, λ, can be measured between any two points with the same phase, such as between crests, or troughs, as shown. The frequency, f, of a wave is the number of waves passing a point in a certain time. We normally use a time of one second, so this gives frequency the unit hertz (Hz), since one hertz is equal to one wave per second.
  • 6.
    Principle of Superposition “Whenevertwo or more waves superimpose in a medium, the total displacement at any point is equal to the vector sum of individual displacement of waves at that point” If Y1 , Y2 , Y3 …are different displacement vector due to the waves 1,2,3 …acting separately then according to the principle of superposition the resultant displacement is given by Y=Y1 +Y2 +Y3 +……
  • 7.
    INTERFERENCE is theprocess in which two or more waves of the same frequency - be it light, sound, or other electromagnetic waves - either reinforce or cancel each other, the amplitude of the resulting wave being equal to the sum of the amplitudes of the combining waves.
  • 9.
    MICHELSON’S INTERFERROMETER The Michelsoninterferometer is a common configuration for optical interferometer and was invented by Albert Abraham Michelson in 1887. Using a beam splitter, a light source is split into two arms.
  • 10.
    Principle:- The MIworks on the principle of division of amplitude. When the incident beam of light falls on a beam splitter which divided light wave in two part in different directions. These two light beams after traveling different optical paths, are superimposed to each other and due to superposition interferences fringes formed.
  • 11.
    Construction:- It consistsof two highly polished plane mirror M1 and M2 , with two optically plane glass plate G1 and G2 which are of same material and same thickness. The mirror M1 and M2 are adjusted in such a way that they are mutually perpendicular to each other. The plate G1 and G2 are exactly parallel to each other and placed at 45° to mirror M1 and M2 . Plate G1 is half silvered from its back while G2 is plane and act as compensating plate. Plate G1 is known as beam-splitter plate. The mirror M2 with screw on its back can slightly titled about vertical and horizontal direction to make it exactly perpendicular to mirror M1 . The mirror M1 can be moved forward or backward with the help of micrometer screw and this movement can be measured very accurately. Working: Light from a broad source is made paralied by using a convex lens L. Light from lens L is made to fall on glass plate G1 which is half silver polished from its back. This plate divides the incident beam into two light rays by the partial reflection and partial transmission, known as Beam splitter plate. The reflected ray travels towards mirror M1 and transmitted ray towards mirror M2 . These rays after reflection from their respective mirrors meet again at 'O' and superpose to each other to produce interference fringes. This firings pattern is observed by using telescope.
  • 12.
    Functioning of CompensatingPlate: In absence of plate G2 the reflected ray passes the plate G1 twice, whereas the transmitted ray does not passes even once. Therefore, the optical paths of the two rays are not equal. To equalize this path the plate G2 which is exactly same as the plate G1 is introduced in path of the ray proceeding towards mirror M2 that is why this plate is called compensating plate because it compensate the additional path difference. Formation of fringes in MI
  • 15.
    The shape offringes in MI depends on inclination of mirror M1 and M2 . Circular fringes are produced with monochromatic light, if the mirror M1 and M2 are perfectly perpendicular to each other. The virtual image of mirror M2 and the mirror M1 must be parallel. Therefore it is assumed that an imaginary air film is formed in between mirror M1 and virtual image mirror M'2 . Therefore, the interference pattern will be obtained due to imaginary air film enclosed between M1 andM'2 . From Fig. if the distance M1 and M2 and M'2 is'd', the distance between S'1 and S'2 will be 2D. If the light ray coming from two virtual sources making an angle θ with the normal then the path difference between the two beams from S1 and S2 will becomes As one of the ray is reflecting from denser medium mirror M1, a path change of λ/2 occurs in it. Hence the effective path difference between them will be
  • 16.
    If this pathdifference is equal to an integral number of wavelength λ, the condition for constructive interference is satisfied. Thus the bright fringe will formed. If this path difference is equal to an integral number of wavelength (2n±1)λ/2, the condition for destructive interference is satisfied. Thus the dark fringe will formed.
  • 17.
    Radius of Fringes TheCondition for maxima and minima in MI is given by It is clear that on moving away from center the value of angle θ increases and the value of cos θ decreases hence the order of fringe also decrease so n maximum at center, The condition for nth dark ring at center is On moving m number of rings away from the center, the order of mth ring will be ( n-m). If mth ring make an angle θm with the axis of telescope then from equation For maxima For minima ……………Eq 1 ……………Eq 2 D θm rm n n-1 n-2 m n-m On Subtracting eq 1 and 2 …Eq 3 Here …Eq 4
  • 18.
    By eq 3and 4 This equation gives the radius of mth ring ……………Eq 5 ……………Eq 6 ……………Eq 7 ……………Eq 8 ……………Eq 9 ……………Eq 10
  • 19.
    Applications of MI (1)Measurement of the wavelength of monochromatic light : The mirror M1 and M2 adjusted such that circular fringes are formed. For this purpose mirror M1 and M2 are made exactly perpendicular to each other. Now set the telescope at the center of fringe and move the mirror M1 in any direction, number of fringes shifted in field of view of telescope is counted. Let on moving mirror M1 through x distance number of fringes shifted is N So the path difference By using both equations we will calculate wavelength corresponding to distance and number of fringes shifted through telescope. (2) Determination of the difference in between two nearby wavelengths :- Suppose a source has two nearby wavelengths λ1 and λ2. Each wavelength gives rise its own fringe pattern in MI. By adjusting the position of the mirror M1, aposition will be found where fringes from both wavelength will coincide and form highly contrast fringes.
  • 20.
    So the conditionis given by When a mirror M1 has been moved through a certain distance, the bright fringe due to wavelength λ1 coincide with dark fringe due to wavelength λ2 and no fringe will be seen. On further movies mirror M1 the bright fringes again distinct, this is the position where n1 +m order coincide with n2 +m+1. So the condition given by Subtracting eq 2 by eq 1 So by eq 4 and 3 ……………Eq 1 ……………Eq 2 ……………Eq 3 ……………Eq 4
  • 21.
    Problems & Solution Q.1.In MI 200 fringes cross the field of view when the movable mirror is displaced through 0.05896mm. Calculate the wavelength of the monochromatic light used. Solution:- Given N=200 x= 0.05896mm = 0.05896 X 10-3 m So the wavelength Å Q.2. The initial and final readings of MI screw are 10.7347 mm and 10.7057mm respectively, when 100 fringes pass trough the field of view. Calculate the wavelength of light used. Solution:- Given N=100 x=x2 -x1 = 10.7347-107057=0.029mm=0.029 X 10-3 m So the wavelength Å
  • 22.
    Problems & Solution Q.3.MI is set to form circular fringes with light of wavelength 5000Å. By Changing the path length of movable mirror slowly, 50 fringes cross the center of view How much path length has been changed? Solution:- Given N=50 λ= 5000 X 10-10 m So the path length Q.4. In a Michelson Interferometer, when 200 fringes are shifted, the final reading of the screw was found to be 5.3675mm. If the wavelength of light was 5.92 X 10-7 m, What was the critical reading of the screw? Solution:- Given N=200 x=x2 -x1 = 5.3675 X10-3 m - ? and wavelength λ = 5.92 X 10-2 m So the wavelength Now initial reading of screw d1 =d2 ± x = 5.3675 x 10-3 m + 0.0592 x10-3 m =5.4267 x 10-3 m
  • 23.
    NEWTONS RING                                                                   Newton's ringsseen in two plano-convex lenses with their flat surfaces in contact. One surface is slightly convex, creating the rings. In white light, the rings are rainbow-colored, because the different wavelengths of each color interfere at different locations. Newton's rings is a phenomenon in which an interference pattern is created by the reflection of light between two surfaces—a spherical surface and an adjacent touching flat surface. It is named for Isaac Newton, who first studied the effect in 1717. When viewed with monochromatic light, Newton's rings appear as a series of concentric, alternating bright and dark rings centered at the point of contact between the two surfaces.
  • 24.
  • 25.
  • 26.
    Theory Explanation When aPlano convex lens of long focal length is placed in contact on a plane glass plate (Figure given below), a thin air film is enclosed between the upper surface of the glass plate and the lower surface of the lens. The thickness of the air film is almost zero at the point of contact O and gradually increases as one proceeds towards the periphery of the lens. Thus points where the thickness of air film is constant, will lie on a circle with O as center. By means of a sheet of glass G, a parallel beam of monochromatic light is reflected towards the lens L. Consider a ray of monochromatic light that strikes the upper surface of the air film nearly along normal. The ray is partly reflected and partly refracted as shown in the figure. The ray refracted in the air film is also reflected partly at the lower surface of the film. The two reflected rays, i.e. produced at the upper and lower surface of the film, are coherent and interfere constructively or destructively. When the light reflected upwards is observed through microscope M which is focused on the glass plate, series of dark and bright rings are seen with center as O. These concentric rings are known as " Newton's Rings ". At the point of contact of the lens and the glass plate, the thickness of the film is effectively zero but due to reflection at the lower surface of air film from denser medium, an additional path of λ/2 is introduced. Consequently, the center of Newton rings is dark due to destructive interference.
  • 29.
    Diffraction of Light Diffractionrefers to various phenomena that occur when a wave encounters an obstacle or a slit. It is defined as the bending of light around the corners of an obstacle or aperture into the region of geometrical shadow of the obstacle. Diffraction pattern of red laser beam made on a plate after passing through a small circular aperture in another plate Thomas Young's sketch of two-slit diffraction, which he presented to the Royal Society in 1803.
  • 30.
    Fresnel's Diffraction Fraunhoferdiffraction Cylindrical wave fronts Planar wave fronts Source of screen at finite distance from the obstacle Observation distance is infinite. In practice, often at focal point of lens. Move in a way that directly corresponds with any shift in the object. Fixed in position Fresnel diffraction patterns on flat surfaces Fraunhofer diffraction patterns on spherical surfaces. Change as we propagate them further ‘downstream’ of the source of scattering Shape and intensity of a Fraunhofer diffraction pattern stay constant. Classification of Diffraction Diffraction phenomena of light can be divided into two different classes
  • 31.
    Fraunhofer Diffraction ata Single Slit Let us consider a slit be rectangular aperture whose length is large as compared to its breath. Let a parallel beam of wavelength be incident normally upon a narrow slit of AB. And each point of AB send out secondary wavelets is all direction. The rays proceeding in the same direction as the incident rays are focused at point O and which are diffracted at angle θ are focused at point B. The width of slit AB is small a. The path difference between AP and BP is calculated by draw a perpendicular BK. According to figure the path difference the phase difference …………….. eq 1 …………….. eq 2
  • 32.
    According to Huygenswave theory each point of slit AB spread out secondary wavelets which interfere and gives diffraction phenomena. Let n be the secondary wavelets of the wave front incident on slit AB . The resultant amplitude due to all equal parts of slit AB at the point P can be determine by the method of vector addition of amplitude. This method is known as polygon method For this construct a polygon of vector that magnitude Ao represent the amplitude of each wavelets and direction of vector represented the phase of each wavelets nɸ=δ δ/2 δ/2 N A B C δ 2δ nδ r nɸ=δ A B R R/2 R/2
  • 33.
    Now a perpendicularCN is draw from the center C of an arc on the line A, which will divide the amplitude R in two parts from triangle ACN and BCN By assuming polygon as a arc of a circle of radius r we can calculate the angle AC=BC = r so By putting the values of r By assuming δ/2 =α=π/λ a sinθ and the intensity I is given by
  • 34.
    Intensity distribution bysingle slit diffraction Central Maxima For the central point P on the screen θ = 0 and hence α = 0 Hence intensity at point P will be Hence intensity at point P will be maximum Principal Minima For the principal minima intensity should be zero Where n = 1, 2, 3,4…… n = 0
  • 35.
    Secondary Maxima To findout direction of secondary maxima we differentiate intensity equation with respect to α and equivalent to zero This is the condition for secondary maximas and can be solved by plotting a graph between y= tanα and y=α as shown The point of intersection of two curves gives the position of secondary maxima. The positions are α1 = 0, α2 = 1.43π, α3 = 2.46π, α4 = 3.47π,..
  • 36.
    Intensity distribution bysingle slit diffraction Central maxima Secondary maxima’s Principal Minima’s
  • 37.
    Width of thecentral maximum The width of he central maximum can be derived as the separation between the first minimum on either side of the central maximum. If he first maximum is at distance x from the central maximum then x x D f We know that From the diagram θ1 If θ is very small sinθ1 = tanθ1 = θ1 …………….. eq 1 …..eq 2 …..eq 3 …..eq 4
  • 38.
    Diffraction Grating A diffractiongrating is an arrangement equivalent to a large number of parallel slits of equal widths and separated from one another by equal opaque spaces. Construction Diffraction grating can be made by drawing a large number of equidistant and parallel lines on an optically plane glass plate with the help of a sharp diamond point. The rulings scatter the light and are effectively opaque, while the unruled parts transmit light and act as slits. The experimental arrangement of diffraction grating is shown They are two type refection and transmission gratings
  • 39.
    A very largereflecting diffraction grating An incandescent light bulb viewed through a transmissive diffraction grating.
  • 40.
    Theory for transmissiongrating (resultant intensity and amplitude) Let AB be the section of a grating having width of each slit as a, and b the width of each opaque space between the slits. The quantity (a + b) is called grating element, and two consecutive slits separated by the distance (a + b) are called corresponding points. The schematic ray diagram of grating has been shown in figure Let a parallel beam of light of wavelength λ incident normally on the grating using the theory of single slit & Huygens principle, the amplitude of the wave diffracted at angle θ by each slit is given by ……………………eq 1
  • 41.
    Diffraction by nparallel slit at an angle θ is equivalent to N parallel waves of amplitude R That emitted from each slit s1 , s2 , s3 …..sN Where α = π/λ (a sinθ), These N parallel waves interfere and gives diffraction pattern consisting of maxima and minima on the screen. The path difference between the waves emitted from two consecutive slits given by. The corresponding Phase Difference Thus there are N equal waves of equal amplitude and with a increasing phase difference of δ ……………………eq 2 ……………………eq 3 ……………………eq 4
  • 42.
    To find theresultant amplitude of these N parallel waves we use the vector polygon method. Waves from each slit is represented by vectors where its magnitude represented by amplitude and direction represents the phase. Thus joining the N vectors tail to tip we get a polygon of N equal sides and the angle between two consecutive sides is δ The phase difference between waves from first to last slit is Nδ obtained by drawing the tangents at A and B Nδ Nδ/2 Nδ/2 A B C δ 2δ Nδ r Nδ A B RN RN N
  • 43.
    Diffraction by nparallel slit at an angle θ is equivalent to N parallel waves of amplitude RN. Consider a triangle ACN and DCN C A N D δ/2 δ/2 R/2 R/2 Since AC=CD we can rewrite ……………………eq 5 In triangle ABC ……………………eq 6 Here
  • 44.
    So the resultantintensity ……………………eq 7 The above equation gives the resultant intensity of N parallel waves diffracted at an angle θ. The resultant intensity is the product of two terms Due to diffraction from each slit Due to Interference of N slits Intensity distribution by diffraction Grating Central Maxima Hence intensity at point P will be maximum Principal Minima Where m = 1, 2, 3,4…… 1. Due to Diffraction from Each Slit
  • 45.
    Secondary Maxima 2. Dueto Interference of N slits Principal Maxima’s Position of Principal maxima’s obtained when Where n= 0, 1, 2, 3……….. Then sinNβ is also equal to zero and becomes indeterminate so by using L’ Hosptal Rule Hence the intensity of principal maxima is given by
  • 46.
    Manima’s The intensity willbe minimum when I = 0 i.e. sinNβ = 0 but sinβ ≠ 0 Nβ = ±pπ here p = 1, 2, 3………..(N-1)(N+1)…….(2N-1)(2N+1)…….. i.e. p ≠ N, 2N…… hence Secondary Maxima’s To find out direction of secondary maxima we differentiate intensity equation with respect to α and equivalent to zero The solution of the above equation except p=±nπ gives the position of the secondary maxima’s
  • 47.
    Intensity of SecondaryMaxima’s The position of secondary maxima is given by using this equation a right triangle can be formed as shown Nβ (1+N 2 tan 2 β) 1/2 A B C Ntanβ From figure As increase in number of slit the number of secondary maxima also increases
  • 48.
    Intensity distribution byDiffraction Gratings
  • 49.
    Formation of Spectrawith Diffraction Grating With White Light With Monochromatic Light
  • 50.
    Characteristics of GratingSpectra If the angle of diffraction is such that, the minima due to diffraction component in the intensity distribussion falls at the same position of principal maxima due to interference component, then the order of principal maxima then absent. If mth order minima fall on nth order principal maxima then Now we consider some cases A. If b=a, i.e. width of opaque space in equal to width of slit then from equation 3. n = 2m since m=1, 2, 3 …. Then n = 2nd , 4th , 6th ….spectra will be absent B. If b=2a, i.e. width of opaque space in equal to width of slit then from equation 3. n = 3m since m=1, 2, 3 …. Then n = 3rd , 6th , 9th ….spectra will be absent 1. ABSENT SPECTRA …………… eq 1 …………… eq 2 …………… eq 3
  • 51.
    2. Maximum Numberof Order Observed by Grating Principal maximum in grating spectrum is given by Maximum possible angle of diffraction is 90 degree therefore So Q.1. A plane transmission grating has 6000 lines/cm. Calculate the higher order of spectrum which can be seen with white light of wavelength 4000 angstrom Sol. Given a+b=1/6000, Wavelength 4000X 10-8 cm As we know that gratings equation written as For maximum order Maximum order will be 4th …………….. eq 1 …………….. eq 2
  • 52.
    3. Width ofprincipal maxima The angular width of principal maxima of nth order is defined as the angular separation between the first two minima lying adjacent to principal maxima on either side θn 2δθ n θn - δθn θn +δθ n A O If θn is the position of nth order principal maxima θn +δθn, θn -δθn are positions of first minima adjacent to principal minima then the width of nth principal maxima = 2δθn From the Grating Equation nth order maxima And the position of minima is given by Hence equation rewritten as …………… eq 1 …eq 2 On dividing eq 2 by eq 1 If dθn is very small than cosdθn = 1, sindθn = dθn
  • 53.
    4. Dispersive Powerof Diffraction Gratings For a definite order of spectrum, the rate of change of angle of diffraction θ with respect to the wavelength of light ray is called dispersive power of Grating. Dispersive Power = dθ/dλ We know that gratings equation Also written as …………….. eq 1 …………….. eq 2 …………….. eq 3
  • 54.
    5. Experimental demonstrationof diffraction grating to determine wavelength
  • 56.
    Resolving Power Resolving Power Theability of an optical instrument to produce two distinct separate images of two objects located very close to each other is called the resolution power Limit of resolution The smallest distance between two object, when images are seen just as separate is known as limit of resolution For eye limit of resolution is 1 minutes Resolution When two objects or their images are very close to each other they appeared as a one and it not be possible for the eye to seen them separate. Thus to see two close objects just as separate is called resolution
  • 57.
    Rayleigh Criterion forResolution Lord Rayleigh (1842-1919) a British Physicist proposed a criterion which can manifest when two object are seen just separate this criterion is called Rayleigh’s Criterion for Resolution Well Resolved Just resolved Not resolved
  • 58.
    Resolving power ofa telescope Resolving power of telescope is defined as the reciprocal of the smallest angle sustained at the object by two distinct closely spaced object points which can be just seen as separate ones through telescope. Let a is the diameter of objective telescope as shown in fig and P1 and P2 are the positions of the central maximum of two images. According to Rayleigh criterion these two images are said to be separated if the position of central maximum of the second images coincides with the first minimum or vice versa. P 1 P 2 A B dθ dθ dθ a The path difference between AP2 and BP2 is zero and the path difference between AP1 and BP1 is given by If dθ is very small sin dθ = dθ C For rectangular aperture For circular aperture …………….. eq 1 ………e q 2
  • 59.
    Resolving power ofa Diffraction Grating The resolving power of a grating is the ability to separate the spectral lines which are very close to each other. When two spectral lines in spectrum produced by diffraction grating are just resolved, then in this position the ratio of the wavelength difference and the mean wave length of spectral lines are called resolution limit of diffraction Grating Q dθ Let parallel beams of light of wavelength λ and λ+dλ be incident normally on the diffraction grating. If nth principal maxima of λ and λ+dλ are formed in the direction of θn , θn +dθn respectively For the principal maximum by wavelength λ the gratings equation written as for wavelength d λ θn λ+dλ δθn A λ P ……………………….....eq 1
  • 60.
    ………………………………………...eq 4 We knowthat for minima By eq 2 and 3 ……………….. …...eq 2 …………….eq 3
  • 62.