Prepared By
Dr. Krishnaswamy. G
Faculty
DOS & R in Organic Chemistry
Tumkur University
Tumakuru
Organo phosphorus
Compounds
Organophosphorus compounds are organic compounds containing
carbon-phosphorus bond.
Compound containing carbon-phosphorus bond were discovered in
1960s.
Introduction
The nomenclature of phosphorus-containing compounds is complicated
to some extent by the overlap of inorganic and organic nomenclature.
The basic nomenclature used for trisubstituted and tetrasubstituted
phosphorus compounds.
R
P
R
R
R = H, alkyl, aryl, Hal
Phosphines
R
P
R
OR
R = H, alkyl, aryl
Phosphinites
R
P
OR
OR
R = H, alkyl, aryl
Phosphonites
RO
P
OR
OR
R = H, alkyl, aryl
Phosphites
R
P
R
R
R = alkyl, aryl
Phosphonium salts
R2C
P
R
R
R = alkyl, aryl
Phosphoranes
Azaphosphenes
O
P
R
R
R = alkyl, aryl
Phosphine oxides
R
R
RN
P
R
R
R = alkyl, aryl
R
R
O
P
R
OR
R = alkyl, aryl
Phosphinates
R
O
P
OR
OR
R = alkyl, aryl
Phosphonates
R
O
P
OR
OR
R = alkyl, aryl
Phosphates
OR
Related to a PH3 is the class of organophosphorus compounds commonly called
phosphines (or) phosphanes.
These alkyl and aryl derivatives of phosphine are analogous to organic amines.
Phosphines are important in the preparation of catalysts where they complex to
various metal ions.
Phosphine is mainly consumed as an intermediate in organophosphorus chemistry.
Common examples include triphenylphosphine
P
Phosphine
Phosphine used as Chiral ligands such as BINAP, DIOP and CHIROPHOS. Chiral
phosphines are of two types i.e. chiral at phosphorous and those which have
chiral substituents or axial chirality.
PPh2
PPh2
OO
Ph2P PPh2
Ph2P PPh2
(R)-BINAP (4S,5S)-DIOP (2S,3S)-CHIRAPHOS
There are three methods for the synthesis of phosphines
(1) Reaction of an organometallic reagent with a phosphorus halide
PCl3 3 RMgX PR3 3 MgXCl
MgBr
N(TMS)2
PCl3
P
N(TMS)2
3
Preparation
(2) Reaction of a metal phosphide with an organic electrophile
Primary phosphines can be doubly metalled by using strong bases like BuLi or alkali
metals leads to formation of dianion metal phosphide reacts with common electrophile
such as organohalide to form phosphines.
H
P
H
P
Li
Li
RX
R
P
R
BuLi
Secondary phosphines can be metalled by using strong bases like BuLi or alkali
metals leads to formation of anion metal phosphide reacts with common electrophile
such as organohalide to form phosphines.
HP
R
R
Li
RX
R
PR
R
BuLi
P
R
R
(3) Reduction of a phosphorus halide or oxide
Primary and secondary phosphines are generally air and water sensitive. Hence,
protected form like phosphine oxides obtained from oxidation of phosphine with tert-
butylperoxide. This phosphine oxide undergoes reduction in presence of several
reducing agents like trichlorosilane and an amine.
PR3
tBuOOH
R3P O
HSiCl3
n
Bu3N
PR3
Other succesful reducing agents include diphenylsilane (Ph2SiH2), aluminum
hydride (AlH3) and LiAlH4.
Reaction of Phosphines
RR
P
R
Nucleophile Reducing agent
Nucleophilic substitution
reaction
Staudinger reduction
Mitsunobu reaction
Nucleophilic substitution with alkyl halides forms tetrasubstituted phosphonium
salts
RP
R
R
RX
R
PR
R
R
X
Nucleophilic substitution reaction
Alkyl triphenyl phosphonium salts are widely used for the preparation of Wittig
reagents for the Wittig reaction.
Ph
PPh
Ph H
R
H
Base
Ph
PPh
Ph H
R Ph
PPh
Ph H
R
R' H
O
R' R'
RR
Ylides / alkylenephosphoranes
Wittig reaction
Geometry depends upon the reactive of ylides.
If electron withdrawing substituent present then ylide is stabilized and less reactive.
The reaction of stabilized ylide yield E alkene.
Ph
PPh
Ph H
Ph
PPh
Ph H
R' H
O
R
Stabilized ylide
E alkene
Y
X
Y
X
Ph
PPh
Ph H
Y
X
R'
Ph
PPh
Ph H
R Ph
PPh
Ph H
R
R' H
O
R' R
Unstabilized ylide
Z alkene
If the ylide is unstabilized and more reactive. The reaction of unstabilized ylide yield
Z alkene.
Phosphines acts as reducing agents in the Staudinger reduction converting azides
to amines and in these processes the phosphine is oxidized to phosphine oxide.
N3
R
R'
PPh3
N
R
R'
P
Ph
Ph
Ph
NH2
R
R'
H2O
Triphenyl phosphine reacts with azide to generate phosphazide which lose
nitrogen to form iminophopharane intermediate. Finally undergoes hydrolysis to
afford amines.
Staudinger reduction
N
R
R'
PPh3
N
R
R'
P
Ph
Ph
Ph
NH2
R
R'
H2O
N N N
R
R'
N N
P Ph
Ph
Ph
N
R
R'
P
Ph
Ph
Ph
-N2
Mechanism
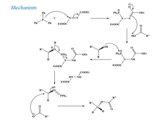
Mitsunobu reaction converting alcohols into esters in presence of DEAD and
phosphine act as reducing agent and itself get oxidized to phosphine oxide.
OH
R
R'
PPh3
H
DEAD
R"COOH
HR
R' O
R"
O
Mitsunobu Reaction
N N
COOEt
EtOOCPh
P
Ph
Ph
N N
EtOOC
Ph3P OEt
O
N NH
EtOOC
Ph3P OEt
O
HO R"
O
OHR'
R
N NH
EtOOC
PPh3 OEt
OOR'
R
H
HN NH
COOEt
EtOOC
PPh3
OR'
R
O R"
O
HR
R' O
R"
O
Mechanism
Phosphites are the esters of phosphorous acid (H3PO3).
Phosphite esters or phosphites have the general structure P(OR)3 with oxidation state
+3.
Phosphite esters or phosphites are prepared by reaction of phosphorus halide with
alcohol.
Cl
3 ROH
RO
P
OR
ORCl
P
Cl
HCl
Phosphites are employed in the Perkow reaction and the Arbusov reaction.
Phosphites
Perkow reaction
Reaction of trialkyl phosphite ester with a haloketone to for dialkyl vinyl phosphate
and an alkyl halide.
Mechanism
Phosphites undergo nucleophilic addition to carbonyl carbon to form zwitterionic
intermediate. This intermediate rearranges followed by nucleophilic displacement
by halide forms enol phosphate and alkyl halide.
Arbuzov reaction
Reaction of trialkyl phosphite ester with a alkyl halide to form pentavalent
phosphorus species and an alkyl halide.
OR
R'X
RO
P
RO
R'
RO
P
OR
RX
O
O
PRO
OR
R'
OR
R'X
RO
P
RO
R'
RO
P
OR
X
O
R
RX
Mechanism
Nucleophilic attack followed by dealkylation results in trialkoxyphosphonium salt.
This reaction finds extensive application in the preparation of phosphonate ester
for use in the Horner-Emmons reaction.
EtO
P
OEt
OEt
Br
OR
O
EtO
P
O
OEt
OR
O
Br
EtO
P
O
OEt
OR
O
Phosphite adds to oxygen, sulphur and selenium to give trialkylphosphates,
trialkylthiophosphates and trialkylselenophosphate respectively.
RO
P
OR
OR
H2O2
RO
P
RO
OR
O
RO
P
OR
OR
S
RO
P
RO
OR
S
RO
P
OR
OR
Se
RO
P
RO
OR
Se
Organophosphorous compounds

Organophosphorous compounds

  • 1.
    Prepared By Dr. Krishnaswamy.G Faculty DOS & R in Organic Chemistry Tumkur University Tumakuru Organo phosphorus Compounds
  • 2.
    Organophosphorus compounds areorganic compounds containing carbon-phosphorus bond. Compound containing carbon-phosphorus bond were discovered in 1960s. Introduction The nomenclature of phosphorus-containing compounds is complicated to some extent by the overlap of inorganic and organic nomenclature. The basic nomenclature used for trisubstituted and tetrasubstituted phosphorus compounds.
  • 3.
    R P R R R = H,alkyl, aryl, Hal Phosphines R P R OR R = H, alkyl, aryl Phosphinites R P OR OR R = H, alkyl, aryl Phosphonites RO P OR OR R = H, alkyl, aryl Phosphites
  • 4.
    R P R R R = alkyl,aryl Phosphonium salts R2C P R R R = alkyl, aryl Phosphoranes Azaphosphenes O P R R R = alkyl, aryl Phosphine oxides R R RN P R R R = alkyl, aryl R R
  • 5.
    O P R OR R = alkyl,aryl Phosphinates R O P OR OR R = alkyl, aryl Phosphonates R O P OR OR R = alkyl, aryl Phosphates OR
  • 6.
    Related to aPH3 is the class of organophosphorus compounds commonly called phosphines (or) phosphanes. These alkyl and aryl derivatives of phosphine are analogous to organic amines. Phosphines are important in the preparation of catalysts where they complex to various metal ions. Phosphine is mainly consumed as an intermediate in organophosphorus chemistry. Common examples include triphenylphosphine P Phosphine
  • 7.
    Phosphine used asChiral ligands such as BINAP, DIOP and CHIROPHOS. Chiral phosphines are of two types i.e. chiral at phosphorous and those which have chiral substituents or axial chirality. PPh2 PPh2 OO Ph2P PPh2 Ph2P PPh2 (R)-BINAP (4S,5S)-DIOP (2S,3S)-CHIRAPHOS
  • 8.
    There are threemethods for the synthesis of phosphines (1) Reaction of an organometallic reagent with a phosphorus halide PCl3 3 RMgX PR3 3 MgXCl MgBr N(TMS)2 PCl3 P N(TMS)2 3 Preparation
  • 9.
    (2) Reaction ofa metal phosphide with an organic electrophile Primary phosphines can be doubly metalled by using strong bases like BuLi or alkali metals leads to formation of dianion metal phosphide reacts with common electrophile such as organohalide to form phosphines. H P H P Li Li RX R P R BuLi Secondary phosphines can be metalled by using strong bases like BuLi or alkali metals leads to formation of anion metal phosphide reacts with common electrophile such as organohalide to form phosphines. HP R R Li RX R PR R BuLi P R R
  • 10.
    (3) Reduction ofa phosphorus halide or oxide Primary and secondary phosphines are generally air and water sensitive. Hence, protected form like phosphine oxides obtained from oxidation of phosphine with tert- butylperoxide. This phosphine oxide undergoes reduction in presence of several reducing agents like trichlorosilane and an amine. PR3 tBuOOH R3P O HSiCl3 n Bu3N PR3 Other succesful reducing agents include diphenylsilane (Ph2SiH2), aluminum hydride (AlH3) and LiAlH4.
  • 11.
    Reaction of Phosphines RR P R NucleophileReducing agent Nucleophilic substitution reaction Staudinger reduction Mitsunobu reaction
  • 12.
    Nucleophilic substitution withalkyl halides forms tetrasubstituted phosphonium salts RP R R RX R PR R R X Nucleophilic substitution reaction
  • 13.
    Alkyl triphenyl phosphoniumsalts are widely used for the preparation of Wittig reagents for the Wittig reaction. Ph PPh Ph H R H Base Ph PPh Ph H R Ph PPh Ph H R R' H O R' R' RR Ylides / alkylenephosphoranes Wittig reaction
  • 14.
    Geometry depends uponthe reactive of ylides. If electron withdrawing substituent present then ylide is stabilized and less reactive. The reaction of stabilized ylide yield E alkene. Ph PPh Ph H Ph PPh Ph H R' H O R Stabilized ylide E alkene Y X Y X Ph PPh Ph H Y X R'
  • 15.
    Ph PPh Ph H R Ph PPh PhH R R' H O R' R Unstabilized ylide Z alkene If the ylide is unstabilized and more reactive. The reaction of unstabilized ylide yield Z alkene.
  • 16.
    Phosphines acts asreducing agents in the Staudinger reduction converting azides to amines and in these processes the phosphine is oxidized to phosphine oxide. N3 R R' PPh3 N R R' P Ph Ph Ph NH2 R R' H2O Triphenyl phosphine reacts with azide to generate phosphazide which lose nitrogen to form iminophopharane intermediate. Finally undergoes hydrolysis to afford amines. Staudinger reduction
  • 17.
    N R R' PPh3 N R R' P Ph Ph Ph NH2 R R' H2O N N N R R' NN P Ph Ph Ph N R R' P Ph Ph Ph -N2 Mechanism
  • 18.
    Mitsunobu reaction convertingalcohols into esters in presence of DEAD and phosphine act as reducing agent and itself get oxidized to phosphine oxide. OH R R' PPh3 H DEAD R"COOH HR R' O R" O Mitsunobu Reaction
  • 19.
    N N COOEt EtOOCPh P Ph Ph N N EtOOC Ph3POEt O N NH EtOOC Ph3P OEt O HO R" O OHR' R N NH EtOOC PPh3 OEt OOR' R H HN NH COOEt EtOOC PPh3 OR' R O R" O HR R' O R" O Mechanism
  • 20.
    Phosphites are theesters of phosphorous acid (H3PO3). Phosphite esters or phosphites have the general structure P(OR)3 with oxidation state +3. Phosphite esters or phosphites are prepared by reaction of phosphorus halide with alcohol. Cl 3 ROH RO P OR ORCl P Cl HCl Phosphites are employed in the Perkow reaction and the Arbusov reaction. Phosphites
  • 21.
    Perkow reaction Reaction oftrialkyl phosphite ester with a haloketone to for dialkyl vinyl phosphate and an alkyl halide.
  • 22.
    Mechanism Phosphites undergo nucleophilicaddition to carbonyl carbon to form zwitterionic intermediate. This intermediate rearranges followed by nucleophilic displacement by halide forms enol phosphate and alkyl halide.
  • 23.
    Arbuzov reaction Reaction oftrialkyl phosphite ester with a alkyl halide to form pentavalent phosphorus species and an alkyl halide. OR R'X RO P RO R' RO P OR RX O O PRO OR R' OR R'X RO P RO R' RO P OR X O R RX Mechanism Nucleophilic attack followed by dealkylation results in trialkoxyphosphonium salt.
  • 24.
    This reaction findsextensive application in the preparation of phosphonate ester for use in the Horner-Emmons reaction. EtO P OEt OEt Br OR O EtO P O OEt OR O Br EtO P O OEt OR O
  • 25.
    Phosphite adds tooxygen, sulphur and selenium to give trialkylphosphates, trialkylthiophosphates and trialkylselenophosphate respectively. RO P OR OR H2O2 RO P RO OR O RO P OR OR S RO P RO OR S RO P OR OR Se RO P RO OR Se