Lecture 5


Monte-Carlo method for Two-Stage
SLP
   Leonidas Sakalauskas
   Institute of Mathematics and Informatics
   Vilnius, Lithuania <sakal@ktl.mii.lt>

   EURO Working Group on Continuous Optimization
Content
 Introduction
 Monte Carlo estimators

 Stochastic Differentiation

  -feasible gradient approach for two-stage SLP

 Interior-point method for two stage SLP

 Testing optimality

 Convergence analysis

 Counterexample
Two-stage stochastic optimization
        problem



                                                        
F ( x)  c  x  E min y [q  y | W  y  T  x  h, y  R ]  min
                                                          m




                     Ax  b, x  n ,
                                  



 assume vectors q, h and matrices W, T random in
 general.
Two-stage stochastic optimization
     problem

   Say, vector h can be distributed
    multivariate normally:
                   N ( , S )

here  , S   are correspondingly the
 vector of means and the covariance
 matrix
Two-stage stochastic optimization
     problem

the random vector Z distributed with
  respect to N (  , S ) is simulated as

                Z  R
                     T



   is standard normal vector,
 R is triangle matrix that

                         RT  R  S
(Choletzky factorization)
Two-stage stochastic optimization          problem   with
complete recourse will be

        F ( x )  c  x  E Q ( x,  )  min n
                                         xD 

subject to the feasible set

                  
             D  x A  x  b,     x  R
                                       n
                                           
where

Q( x,  )  min y [q  y | W  y  T  x  h, y  R ]
                                                   m
It can be derived under the assumption on the existence
   of a solution at the second stage and continuity of
   measure P, that the objective function is smoothly
   differentiable and the gradient is

                      x F ( x)  Eg ( x,  )
   where

                g ( x,  )  c  T  u *

   is given by the set of solutions of the dual problem

(h  T  x)T  u *  max u [(h  T  x)T  u | u  W T  q  0,   u  R ]
                                                                       s
Monte-Carlo samples
We assume here that the Monte-Carlo sample of a
certain size N is provided for any x  D  n

             Y  ( y1, y 2 ,..., y N ),
the sampling estimator of the objective function

                      1 N
              F ( x)   f ( x, y )
                                 j

                      N j 1
and sampling variance can be computed
                 1 N
                                                 
                                                       2
       D ( x) 
         2
                           f ( x, y j )  F ( x)
                N  1 j 1
Gradient

  The gradient is evaluated using
  the same random sample:

             1 N
     g ( x)   g ( x, y ),
                        j

             N j 1
            xD  R     n
Covariance matrix

 We use the sampling covariance matrix


         1 N
                                      
              g  x, y   g  x   g  x, y   g  x    
                                                             T
A( x)                 j                      j

        N  n j 1

 later on for normalising the gradient estimator.
    – feasible direction approach



     Let us define the set of feasible
       directions as follows:

                                                      
    V ( x)  g  Ag  0, 1in  g j  0, if x j  0 
                   n
Gradient projection

 Denote, gU as projection of vector g onto the set U.
 Since the objective function is differentiable, the
    solution
         xD
 is optimal if
         F  x V  0
Gradient projection

the projection of G onto the set
              Ax  0
is
             GA  G  P
                     T




                 
     P  I  A  A A
             T       T 1
                            A

where is projector
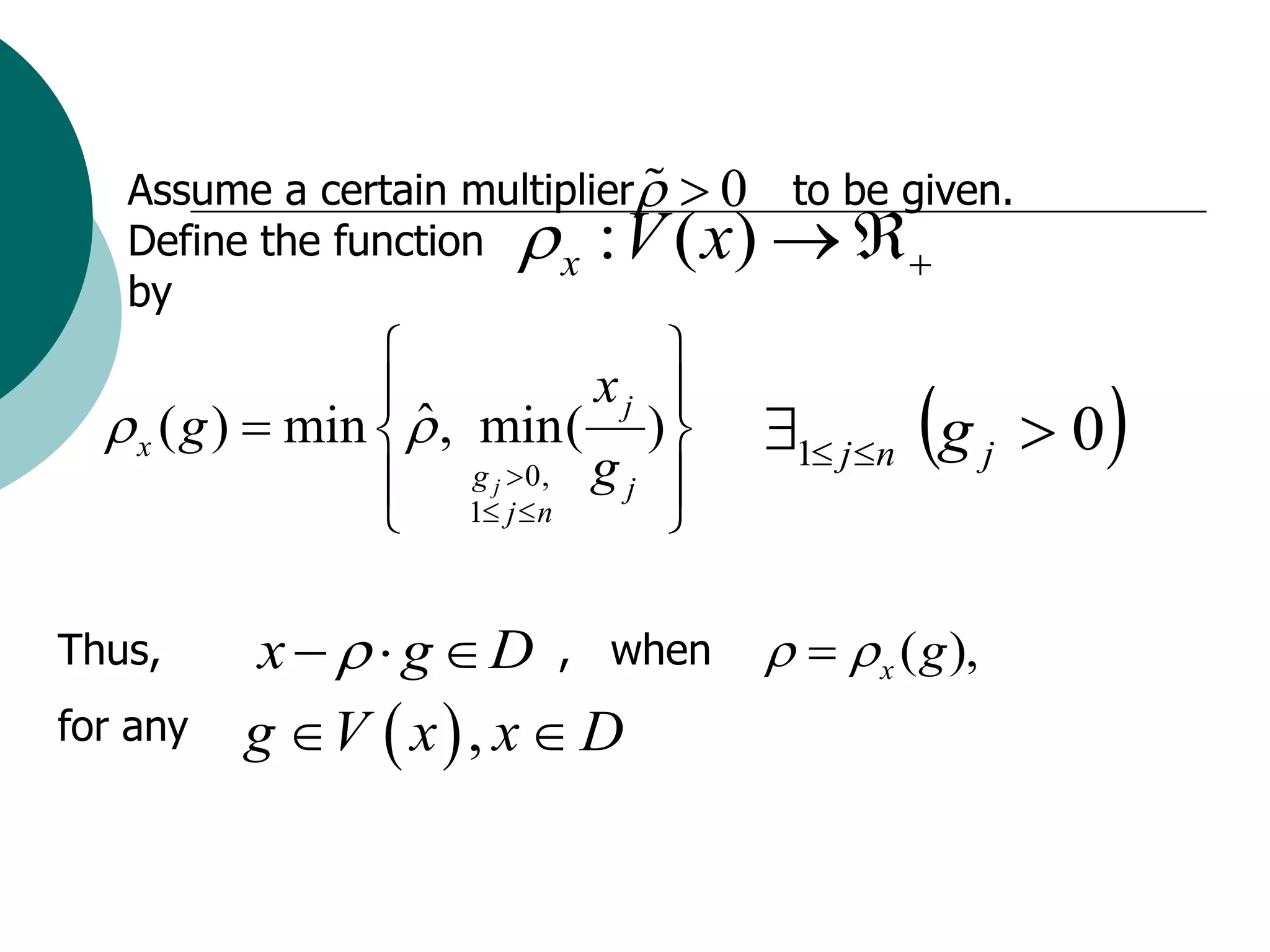
Assume a certain multiplier   0    to be given.
   Define the function   : V ( x)   
                         x
   by
                                
                                       1 j n g j  0
                             xj 
   x ( g )  min   , min( ) 
                    ˆ
                   1j 0, g j 
                        g
                         j n    

Thus,     x    g  D , when    x ( g ),
for any   g V  x  , x  D
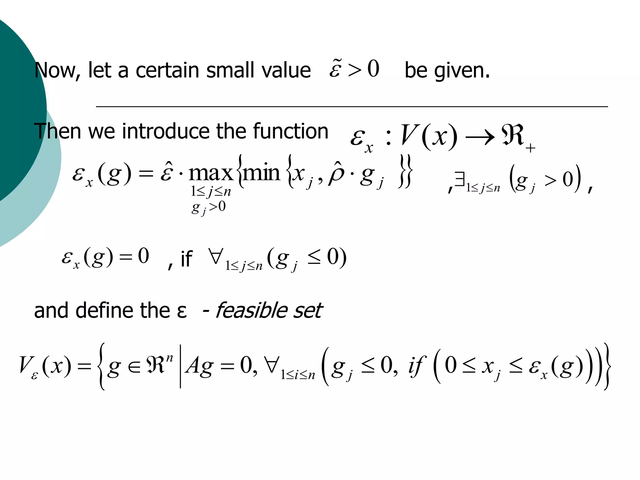
Now, let a certain small value           0 be given.

  Then we introduce the function        x : V ( x)  
       x ( g )    maxmin x j ,   g j  ,
                  ˆ                  ˆ               g  0 ,
                                                     1 j  n
                      1 j  n                                  j
                      g j 0


      x ( g )  0 , if 1 j  n ( g j  0)

  and define the ε - feasible set

                                       
V ( x)  g n Ag  0, 1i n g j  0, if  0  x j   x ( g )    
The starting point can be obtained as the solution of the
   deterministic linear problem:
( x 0 , y 0 )  arg min[c  x  q  y | A  x  b, W  y  T  x  h, y  R , x  R ].
                                                                           m        n
                 x, y

 The iterative stochastic procedure of gradient search could
   be used further:
                           xt 1  xt   t  G ( xt )
 where  t   t (Gt )           is the step-length multiplier and
                   x
           G  G( xt )
            t
                      -feasible the projection of gradient
    estimator to the ε
                         is set.
                        V xt
Monte-Carlo sample size problem

There is no a great necessity to compute
  estimators with a high accuracy on starting the
  optimisation, because then it suffices only to
  approximately evaluate the direction leading to
  the optimum.
Therefore, one can obtain not so large samples at
  the beginning of the optimum search and, later
  on, increase the size of samples so as to get the
  estimate of the objective function with a desired
  accuracy just at the time of decision making on
  finding the solution to the optimisation problem.
We propose a following version for regulating the
    sample size:



                 n  Fish( , nt , N t  nt )                       
N  min  max 
 t 1
                    ~ t T                     ~ t   n t ,N min ,N max 
               (G( x )  ( A( x t ))1  (G( x )                    
              t                                                     
Statistical testing of the optimality
             hypothesis
     The optimality hypothesis could be accepted for some
     point x t with significance  1   , if the following
     condition is sattisfied
                      ~                           ~
     ( N t  nt )  ( g ( x t ))T  A( x t ) 1  g ( x t )
T2                                                          Fish(  , nt , N t  nt )
                              nt
    Next, we can use the asymptotic normality again and
    decide that the objective function is estimated with a
    permissible accuracy  , if its confidence bound does
    not exceed this value:
                                ~ t
                             D( x ) / N  
                                          t
Computer simulation
   Two-stage stochastic linear optimisation problem.
    Dimensions of the task are as follows:
        the first stage has 10 rows and 20 variables;
       the second stage has 20 rows and 30 variables.



    http://www.math.bme.hu/~deak/twostage/ l1/20x20.1/
    (2006-01-20).
Two stage stochastic
programing

    The estimate of the optimal value of the objective
    function given in the database is 182.94234  0.066
   N0=Nmin=100 Nmax=10000.
   Maximal number of iterations tmax  100 , generation of
    trials was broken when the estimated confidence
    interval of the objective function exceeds admissible
    value  .
   Initial data were as follows:
     = =0.95;   0.99,       0.1; 0.2; 0.5; 1.0.
Frequency of stopping under
          admissible interval

100

 80

 60                                                                 1
                                                                    0,5
 40
                                                                    0,2
 20
                                                                    0,1

  0
      1   6 11 16 21 26 31 36 41 46 51 56 61 66 71 76 81 86 91 96
Change of the objective function
        under admissible interval

184,5
 184                                            0,1
183,5                                           0,2
 183                                            0,5
182,5                                           1

 182
        1   12   23 34 45   56 67 78   89 100
Change of confidence interval
       under admissible interval

7
6
5                                                0,1
4                                                0,2
3                                                0,5
2
                                                 1
1
0
    1 8 15 22 29 36 43 50 57 64 71 78 85 92 99
Change of the Monte-Carlo sample
size under admissible interval

1400000
1200000
1000000                                                                 0,1
 800000                                                                 0,2
 600000                                                                 0,5
 400000                                                                 1
 200000
      0
          1   6 11 16 21 26 31 36 41 46 51 56 61 66 71 76 81 86 91 96
Hotelling statistics under
 admissible interval
10
 9
 8
 7                                                    0,1
 6
                                                      0,2
 5
 4                                                    0,5
 3                                                    1
 2
 1
 0
     1   11   21   31   41   51   61   71   81   91
t
                                                                  Nj
     Histogram of ratio                                       Nt
                                                             j 1
                                                                               under
     admissible interval
30


25


20
                                                                                    0,1
                                                                                    0,2
15
                                                                                    0,5
                                                                                    1
10


5


0
      8   10   12   14   16   18   20   22   24   26   28   30       32   34   36
Wrap-Up and Conclisions
   The stochastic adaptive method has been developed to
    solve stochastic linear problems by a finite sequence of
    Monte-Carlo sampling estimators

   The method is grounded by adaptive regulation of the size
    of Monte-Carlo samples and the statistical termination
    procedure, taking into consideration the statistical
    modeling accuracy

   The proposed adjustment of sample size, when it is taken
    inversely proportional to the square of the norm of the
    Monte-Carlo estimate of the gradient, guarantees the
    convergence a. s. at a linear rate

Monte-Carlo method for Two-Stage SLP

  • 1.
    Lecture 5 Monte-Carlo methodfor Two-Stage SLP Leonidas Sakalauskas Institute of Mathematics and Informatics Vilnius, Lithuania <sakal@ktl.mii.lt> EURO Working Group on Continuous Optimization
  • 2.
    Content  Introduction  MonteCarlo estimators  Stochastic Differentiation   -feasible gradient approach for two-stage SLP  Interior-point method for two stage SLP  Testing optimality  Convergence analysis  Counterexample
  • 3.
    Two-stage stochastic optimization problem   F ( x)  c  x  E min y [q  y | W  y  T  x  h, y  R ]  min m Ax  b, x  n ,  assume vectors q, h and matrices W, T random in general.
  • 4.
    Two-stage stochastic optimization problem  Say, vector h can be distributed multivariate normally: N ( , S ) here  , S are correspondingly the vector of means and the covariance matrix
  • 5.
    Two-stage stochastic optimization problem the random vector Z distributed with respect to N (  , S ) is simulated as Z  R T  is standard normal vector, R is triangle matrix that RT  R  S (Choletzky factorization)
  • 6.
    Two-stage stochastic optimization problem with complete recourse will be F ( x )  c  x  E Q ( x,  )  min n xD  subject to the feasible set  D  x A  x  b, x  R n  where Q( x,  )  min y [q  y | W  y  T  x  h, y  R ] m
  • 7.
    It can bederived under the assumption on the existence of a solution at the second stage and continuity of measure P, that the objective function is smoothly differentiable and the gradient is  x F ( x)  Eg ( x,  ) where g ( x,  )  c  T  u * is given by the set of solutions of the dual problem (h  T  x)T  u *  max u [(h  T  x)T  u | u  W T  q  0, u  R ] s
  • 8.
    Monte-Carlo samples We assumehere that the Monte-Carlo sample of a certain size N is provided for any x  D  n Y  ( y1, y 2 ,..., y N ), the sampling estimator of the objective function 1 N F ( x)   f ( x, y ) j N j 1 and sampling variance can be computed 1 N    2 D ( x)  2 f ( x, y j )  F ( x) N  1 j 1
  • 9.
    Gradient Thegradient is evaluated using the same random sample: 1 N g ( x)   g ( x, y ), j N j 1 xD  R n
  • 10.
    Covariance matrix Weuse the sampling covariance matrix 1 N    g  x, y   g  x   g  x, y   g  x   T A( x)  j j N  n j 1 later on for normalising the gradient estimator.
  • 11.
    – feasible direction approach Let us define the set of feasible directions as follows:   V ( x)  g  Ag  0, 1in  g j  0, if x j  0  n
  • 12.
    Gradient projection Denote,gU as projection of vector g onto the set U. Since the objective function is differentiable, the solution xD is optimal if F  x V  0
  • 13.
    Gradient projection the projectionof G onto the set Ax  0 is GA  G  P T  P  I  A  A A T T 1  A where is projector
  • 14.
    Assume a certainmultiplier 0 to be given. Define the function  : V ( x)    x by   1 j n g j  0  xj   x ( g )  min   , min( )  ˆ  1j 0, g j  g  j n  Thus, x    g  D , when    x ( g ), for any g V  x  , x  D
  • 15.
    Now, let acertain small value   0 be given. Then we introduce the function  x : V ( x)    x ( g )    maxmin x j ,   g j  , ˆ ˆ  g  0 , 1 j  n 1 j  n j g j 0  x ( g )  0 , if 1 j  n ( g j  0) and define the ε - feasible set   V ( x)  g n Ag  0, 1i n g j  0, if  0  x j   x ( g )  
  • 16.
    The starting pointcan be obtained as the solution of the deterministic linear problem: ( x 0 , y 0 )  arg min[c  x  q  y | A  x  b, W  y  T  x  h, y  R , x  R ]. m n x, y The iterative stochastic procedure of gradient search could be used further: xt 1  xt   t  G ( xt ) where  t   t (Gt ) is the step-length multiplier and x G  G( xt ) t  -feasible the projection of gradient estimator to the ε  is set. V xt
  • 17.
    Monte-Carlo sample sizeproblem There is no a great necessity to compute estimators with a high accuracy on starting the optimisation, because then it suffices only to approximately evaluate the direction leading to the optimum. Therefore, one can obtain not so large samples at the beginning of the optimum search and, later on, increase the size of samples so as to get the estimate of the objective function with a desired accuracy just at the time of decision making on finding the solution to the optimisation problem.
  • 18.
    We propose afollowing version for regulating the sample size:   n  Fish( , nt , N t  nt )    N  min  max  t 1 ~ t T ~ t   n t ,N min ,N max      (G( x )  ( A( x t ))1  (G( x )      t   
  • 19.
    Statistical testing ofthe optimality hypothesis The optimality hypothesis could be accepted for some point x t with significance 1   , if the following condition is sattisfied ~ ~ ( N t  nt )  ( g ( x t ))T  A( x t ) 1  g ( x t ) T2   Fish(  , nt , N t  nt ) nt Next, we can use the asymptotic normality again and decide that the objective function is estimated with a permissible accuracy  , if its confidence bound does not exceed this value: ~ t    D( x ) / N   t
  • 20.
    Computer simulation  Two-stage stochastic linear optimisation problem.  Dimensions of the task are as follows:  the first stage has 10 rows and 20 variables;  the second stage has 20 rows and 30 variables. http://www.math.bme.hu/~deak/twostage/ l1/20x20.1/ (2006-01-20).
  • 21.
    Two stage stochastic programing  The estimate of the optimal value of the objective function given in the database is 182.94234  0.066  N0=Nmin=100 Nmax=10000.  Maximal number of iterations tmax  100 , generation of trials was broken when the estimated confidence interval of the objective function exceeds admissible value  .  Initial data were as follows:  = =0.95;   0.99,   0.1; 0.2; 0.5; 1.0.
  • 22.
    Frequency of stoppingunder admissible interval 100 80 60 1 0,5 40 0,2 20 0,1 0 1 6 11 16 21 26 31 36 41 46 51 56 61 66 71 76 81 86 91 96
  • 23.
    Change of theobjective function under admissible interval 184,5 184 0,1 183,5 0,2 183 0,5 182,5 1 182 1 12 23 34 45 56 67 78 89 100
  • 24.
    Change of confidenceinterval under admissible interval 7 6 5 0,1 4 0,2 3 0,5 2 1 1 0 1 8 15 22 29 36 43 50 57 64 71 78 85 92 99
  • 25.
    Change of theMonte-Carlo sample size under admissible interval 1400000 1200000 1000000 0,1 800000 0,2 600000 0,5 400000 1 200000 0 1 6 11 16 21 26 31 36 41 46 51 56 61 66 71 76 81 86 91 96
  • 26.
    Hotelling statistics under admissible interval 10 9 8 7 0,1 6 0,2 5 4 0,5 3 1 2 1 0 1 11 21 31 41 51 61 71 81 91
  • 27.
    t Nj Histogram of ratio  Nt j 1 under admissible interval 30 25 20 0,1 0,2 15 0,5 1 10 5 0 8 10 12 14 16 18 20 22 24 26 28 30 32 34 36
  • 28.
    Wrap-Up and Conclisions  The stochastic adaptive method has been developed to solve stochastic linear problems by a finite sequence of Monte-Carlo sampling estimators  The method is grounded by adaptive regulation of the size of Monte-Carlo samples and the statistical termination procedure, taking into consideration the statistical modeling accuracy  The proposed adjustment of sample size, when it is taken inversely proportional to the square of the norm of the Monte-Carlo estimate of the gradient, guarantees the convergence a. s. at a linear rate