“Life Table - Construction”
DR. K. RAMESHKUMAR
ASSISTANT PROFESSOR
PG & RESEARCH DEPT. OF ZOOLOGY
Vivekananda College
Tiruvedakam west
Construction of Life table,
structure & its applications
Introduction:
Life table:
 Life table is a comprehensive method of describing mortality,
survival and other vital events in a population.
 It is composed of several sets of values showing how a group of
infants who are under unchanging conditions would gradually die.
 It provides concise measures of longevity of that population.
 Separate tables are prepared for males and females after each
decennium census.
 It is also called as the “Biometer” of the population by William Farr.
History of Life table:
 John Graunt (1620-1674) - Natural and
Political Observations Made upon the Bills
of Mortality (1662)
 Edmund Halley (1656 – 1742) –
‘An estimate of the Degree of the
Mortality of Mankind drawn from
the curious Table of the Births and
Funerals at the city of Breslaw’
Age
interval
Number
surviving
0-6 100
7-16 64
17-26 40
27-36 25
37-46 16
47-56 10
57-66 6
67-76 3
77-86 1
>86 0
Graunt’s Life Table
Age (years) Expectation of life, years
0 33.5
5 41.55
10 39.99
15 36.86
20 33.61
25 30.38
30 27.35
35 24.51
40 21.78
45 19.22
50 16.81
55 14.51
60 12.09
65 9.73
70 7.53
75 5.99
80 5.74
Halley’s Life Table
Importance of Life table:
Calculation of expectation of life and
comparison of mortality among communities
Population studies
Survival rate after treatment
Analysis by causes of death
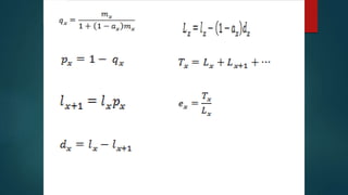
Standard Notations
Px Midyear population between ages x and x+1
Dx Number of deaths between ages x and x+1
mx Age-specific death rate
ax
Average fraction of the last year of life lived by those living between
x and x+1
qx Probability of dying between age x and x+1
lx Number of people surviving to age x out of the life tablecohort
dx Number of deaths between age x and x+n out of the life table cohort
Lx Number of person years lived between age x and x+1
Tx Total number of person years lived after age x
ex Life expectancy at age x
Construction of Life table
 Life Tables provide an age-specific account of mortality. The
construction of a life table begins with a cohort - a group of
individuals born in the same period of time.
 Life Tables Provide a Schedule of Age-Specific Mortality and
Survival.
x nx
0 530
1 159
2 80
3 48
4 21
5 5
x nx
0-1 530
1-2 159
2-3 80
3-4 48
4-5 21
5-6 5
Gray Squirrels
(Sciurus carolinensis)
x nx dx .
0-1 530 371
1-2 159 79
2-3 80 32
3-4 48 27
4-5 21 16
5-6 5 5
dx = an estimate of
age-specific mortality.
This is the number of
individuals that died
during any given time
interval.
159 - 80
530 - 159
x nx dx qx .
0-1 530 371 0.70
1-2 159 79 0.50
2-3 80 32 0.40
3-4 48 27 0.55
4-5 21 16 0.75
5-6 5 5 1.00
qx = an estimate of age-
specific mortality.
371/530
79/159
Table : 1
Life Table of Gray Squirrel
Age
Class
f (x) d (x) l (x) q (x) Age
Class
f (x) d (x) l (x) q (x)
1 121 Y 1000 12 22
2 16 13 31
3 16 14 32
4 26 15 19
5 24 16 23
6 20 17 18
7 29 18 8
8 26 19 0
9 21 20 0
10 10 21 0
11 19 22 0
Total X Z W 0.0
Types of life table:
Different Life Tables Reflect Different Approaches to defining
Cohorts and Age Structure.
Dynamic Life Table – Following the fate (cohort) of a group of
individuals born at a given time (year).
Time-specific Life Table – One sample period assumes: constant birth and death
rates each cohort sample according to actual population proportions.
Life Tables Provide Data for Mortality
and Survivorship Curves.
Gray Squirrel
(Sciurus carolinensis)
Years and
Months
Uses of life table:
 Life table helps to study population growth and fore cast the
size of the population.
 Life tables provide a schedule of age-specific mortality and
survival.
 It enables the demography to estimate the true rate of
increasing the population
 We can estimate school- going population future labour force,
future orphans etc., through the use of life tables
 It helps to analyze the effects of mortality on the
age and sex composition of population.
Thank You…

Life table - construction and applications

  • 1.
    “Life Table -Construction” DR. K. RAMESHKUMAR ASSISTANT PROFESSOR PG & RESEARCH DEPT. OF ZOOLOGY Vivekananda College Tiruvedakam west
  • 2.
    Construction of Lifetable, structure & its applications
  • 3.
    Introduction: Life table:  Lifetable is a comprehensive method of describing mortality, survival and other vital events in a population.  It is composed of several sets of values showing how a group of infants who are under unchanging conditions would gradually die.  It provides concise measures of longevity of that population.  Separate tables are prepared for males and females after each decennium census.  It is also called as the “Biometer” of the population by William Farr.
  • 4.
    History of Lifetable:  John Graunt (1620-1674) - Natural and Political Observations Made upon the Bills of Mortality (1662)  Edmund Halley (1656 – 1742) – ‘An estimate of the Degree of the Mortality of Mankind drawn from the curious Table of the Births and Funerals at the city of Breslaw’
  • 5.
    Age interval Number surviving 0-6 100 7-16 64 17-2640 27-36 25 37-46 16 47-56 10 57-66 6 67-76 3 77-86 1 >86 0 Graunt’s Life Table Age (years) Expectation of life, years 0 33.5 5 41.55 10 39.99 15 36.86 20 33.61 25 30.38 30 27.35 35 24.51 40 21.78 45 19.22 50 16.81 55 14.51 60 12.09 65 9.73 70 7.53 75 5.99 80 5.74 Halley’s Life Table
  • 6.
    Importance of Lifetable: Calculation of expectation of life and comparison of mortality among communities Population studies Survival rate after treatment Analysis by causes of death
  • 7.
    Standard Notations Px Midyearpopulation between ages x and x+1 Dx Number of deaths between ages x and x+1 mx Age-specific death rate ax Average fraction of the last year of life lived by those living between x and x+1 qx Probability of dying between age x and x+1 lx Number of people surviving to age x out of the life tablecohort dx Number of deaths between age x and x+n out of the life table cohort Lx Number of person years lived between age x and x+1 Tx Total number of person years lived after age x ex Life expectancy at age x
  • 9.
    Construction of Lifetable  Life Tables provide an age-specific account of mortality. The construction of a life table begins with a cohort - a group of individuals born in the same period of time.  Life Tables Provide a Schedule of Age-Specific Mortality and Survival. x nx 0 530 1 159 2 80 3 48 4 21 5 5
  • 10.
    x nx 0-1 530 1-2159 2-3 80 3-4 48 4-5 21 5-6 5 Gray Squirrels (Sciurus carolinensis)
  • 11.
    x nx dx. 0-1 530 371 1-2 159 79 2-3 80 32 3-4 48 27 4-5 21 16 5-6 5 5 dx = an estimate of age-specific mortality. This is the number of individuals that died during any given time interval. 159 - 80 530 - 159
  • 12.
    x nx dxqx . 0-1 530 371 0.70 1-2 159 79 0.50 2-3 80 32 0.40 3-4 48 27 0.55 4-5 21 16 0.75 5-6 5 5 1.00 qx = an estimate of age- specific mortality. 371/530 79/159
  • 13.
    Table : 1 LifeTable of Gray Squirrel
  • 14.
    Age Class f (x) d(x) l (x) q (x) Age Class f (x) d (x) l (x) q (x) 1 121 Y 1000 12 22 2 16 13 31 3 16 14 32 4 26 15 19 5 24 16 23 6 20 17 18 7 29 18 8 8 26 19 0 9 21 20 0 10 10 21 0 11 19 22 0 Total X Z W 0.0
  • 15.
    Types of lifetable: Different Life Tables Reflect Different Approaches to defining Cohorts and Age Structure. Dynamic Life Table – Following the fate (cohort) of a group of individuals born at a given time (year). Time-specific Life Table – One sample period assumes: constant birth and death rates each cohort sample according to actual population proportions.
  • 16.
    Life Tables ProvideData for Mortality and Survivorship Curves.
  • 17.
  • 18.
    Uses of lifetable:  Life table helps to study population growth and fore cast the size of the population.  Life tables provide a schedule of age-specific mortality and survival.  It enables the demography to estimate the true rate of increasing the population  We can estimate school- going population future labour force, future orphans etc., through the use of life tables  It helps to analyze the effects of mortality on the age and sex composition of population.
  • 19.