Embed presentation
Download as PDF, PPTX













































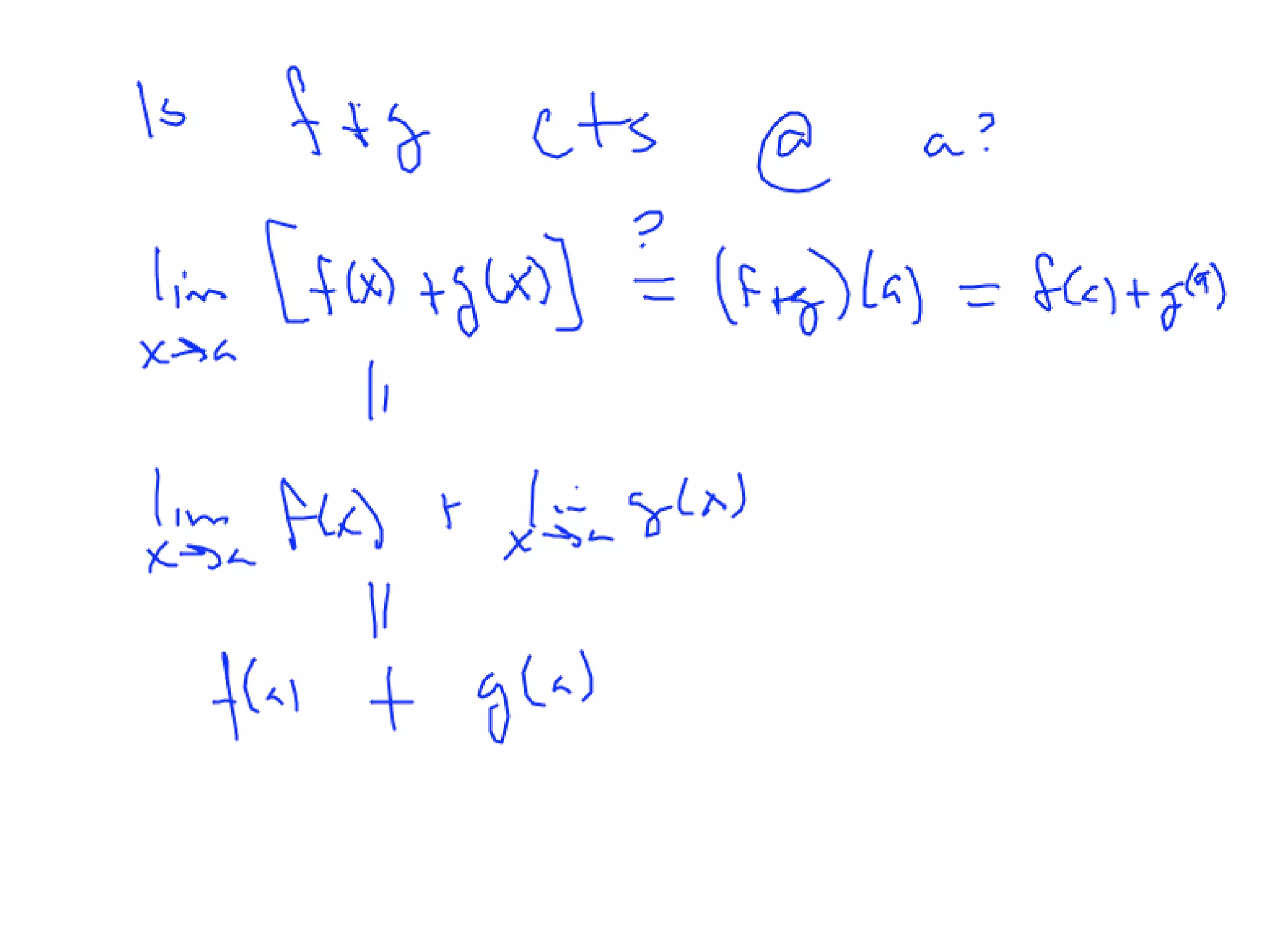
This document discusses continuity and the Intermediate Value Theorem (IVT) in mathematics. It defines continuity, examines examples of continuous and discontinuous functions, and describes special types of discontinuities. The IVT states that if a function is continuous on a closed interval and takes on intermediate values, there exists a number in the interval where the function value is equal to the intermediate value. Examples are provided to illustrate the IVT, including proving the existence of the square root of two.











































