DEPARTMENT OF ECE
Presented by
Dr.M.Parisa Beham
Asso.Prof./ECE
15UEC904
LINEAR CONTROL ENGINEERING
III YR/V SEM
9/7/2020
SETHU INSTITUTE OF TECHNOLOGY
9/7/2020
SETHU INSTITUTE OF TECHNOLOGY
UNIT I - CONTROL SYSTEM MODELING
Basic Elements of Control System – Open loop and Closed loop
systems - Differential equation - Transfer function, Modeling
of Electric systems, Translational and rotational mechanical
systems - Block diagram reduction Techniques - Signal flow graph
(9)
15UEC904 – LINEAR CONTROL ENGINEERING
REGULATION - 2015 L T P C
3 0 0 3
45 periods
CO.1
Develop mathematical models for Electrical and Mechanical
systems. (K3 - Apply)
Introduction to Control System
3
Automatic control is essential
in any field of engineering and
considered as integral part of
robotic systems, space vehicle
systems, modern manufacturing
systems etc.
9/7/2020
Terminologies
Plant - A plant may be a piece of equipment, perhaps just a set of
machine parts functioning together, the purpose of which is to perform a
particular operation.
Open Loop and Closed Loop Systems
5
Closed Loop Systems
6
Closed-Loop Control Systems. Feedback control systems
are often referred to as closed-loop control systems.
In a closed-loop control system the actuating error
signal, which is the difference between the input signal and the
feedback signal, is fed to the controller so as to reduce the
error and bring the output of the system to a desired value.
Example:Open Loop Control Systems
7
Example: Closed Loop Control Systems
8
Open Loop and Closed Loop Systems
9
• Simple construction and
ease of maintenance.
• Less expensive than a
corresponding closed-loop
system.
• There is no stability
problem.
• They are inaccurate and
unreliable
• The effect of external
disturbance signals can be
made very small.
• They are more complex
and expensive
• Cost of maintenance is
high
• The systems are prone to
instability. Oscillations in
the output many occur.
• They are more accurate
and reliable.
• If external disturbances are
present, output differs
significantly from the
desired value.
Real Time Example
10
11
12
MATHEMATICAL MODELS
OF PHYSICAL SYSTEMS
13
Introduction
• Idealizing assumptions are always made for the purpose of
analysis and synthesis of systems
• An idealized physical systemsare called as physical model
14
Mathematical model
• After obtaining the physical model, need to generate a
mathematical model
• Mathematical models of physical systems are key elements in the
design and analysis of control systems
• Use of appropriate physical laws such as Kirchoff’s law , Coulombs
law etc.
• A control system can be modelled as a scalar differential equation
describing the system. Math
Modelling
Mechanical
system
Electrical
Systems
Translational Rotational
15
Mathematical Modelling of
Electrical Systems
Differential Equations – By Kirchoff’s voltage law and current law
16
Ex.1 Obtain the transfer function for the electrical network shown
17
Ex:1 Contd..
18
Ex:1 Contd..
19
Ex:1 Contd..
20
Ex:1 Contd..
21
Exercise Problem 1:
Obtain the transfer function for the electrical network
shown.
22
23
24
MATHEMATICAL MODEL OF
MECHANICAL SYSTEMS
Basic Types of Mechanical Systems
• Translational
– Linear Motion
• Rotational
– Rotational Motion
25
Basic Elements of Translational Mechanical Systems
Translational Spring
K
i)
Translational Mass
ii)
Translational Dash-pot
iii)
M
B
Weight of the
mechanical system
Elastic Deformation of the
body
Friction existing in
Mech system
K
Common Uses of Dashpots
Door Stoppers
Vehicle Suspension
Bridge Suspension
Flyover Suspension
9/7/2020
Automobile Suspension
29
Automobile Suspension
30
9/7/2020
List of symbols used in Mech Translational System
9/7/2020
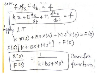
Force Balance Equations of Idealized Elements
M
f
x
fm
9/7/2020
Force Balance Equations of Idealized Elements
9/7/2020
Force Balance Equations of Idealized Elements
9/7/2020
Ex.1. Write the differential equation governing the mechanical
system shown in Figure and determine the transfer function.
Free body diagramfor
Mass M1:
Solution:
9/7/2020
Apply L.T on force equation We know that:
[1]
Free body diagramfor
Mass M2:
9/7/2020
[2]
9/7/2020
[2]
9/7/2020
Ex.2. Determine the transfer function
of the system shown in figure. )
(
)
(
2
S
F
S
Y
Free body diagramfor
Mass M1:
Solution:
9/7/2020
[2]
Free body diagramfor
Mass M2:
9/7/2020
[3]
Transfer
Function:
Exercise Problem-2
42
Draw the physical model and mathematical model of
the Restaurant plate dispenser and thus determine the
transfer function of the system
9/7/2020
Transfer function of Restaurant plate dispenser
Solution:
9/7/2020
Moment of Inertia of Mass, J

T
J
Basic Elements
Rotational Mechanical Systems
Rotational Spring, K 2

1

2

1

T
C
Rotational Dash, B
Input: T – Torque, A force which tends to cause rotation
Output: Ɵ - Angular Displacement
9/7/2020
List of symbols used in Mech Rotational System
9/7/2020
Torque Balance Equations of Idealized Elements
9/7/2020
Ex.3. Write the differential equation governingthe mechanical
rotational system shown in Figure and determine the transfer
function
Free body diagramfor Moment
of Inertia J1:
Solution:
9/7/2020
9/7/2020
Free body diagramfor Moment
of Inertia J2:
[3]
9/7/2020
[4]
Transfer
Function:
9/7/2020
Ex.4. Write the differential equation governing the mechanical
rotational system shown in Figure and determine the transfer
function.
9/7/2020
1

T 1
J
1
k
3
B
2
B
4
B
1
B
2
J
2

3

1

T
1
J
1
k
2
B 2
J
2

2
k
9/7/2020
Ex.4. Write the differential equation governing the mechanical
rotational system shown in Figure and determine the transfer function.
Solution:
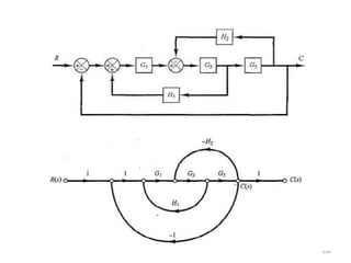
Block Diagram Reduction Techniques
Introduction
• Block diagram is a shorthand, graphical representation of a
physical system, illustrating the functional relationships
among its components.
The simplest form of the block diagram is the single block, with
one input and one output.
The interior of the rectangle representing the block usually
contains a description of or the name of the element, or the
symbol for the mathematical operation to be performed on the
input to yield the output.
G R
C )
(
/
)
(
)
( s
C
s
R
s
G 
Components of a Block Diagram
• System components are alternatively called
elements of the system.
• Block diagram has four components:
– Signals
– System/ block
– Summing junction
– Pick-off/ Take-off point
Rules for Block Diagram Reduction Techniques
Rules for Block Diagram Reduction Techniques
Rules for Block Diagram Reduction Techniques
Ex.1: Reduce the Block Diagram to Canonical Form.
Transfer function:
2
1
4
1
1
)
3
2
(
4
1
1
1
4
1
1
)
3
2
(
4
1
)
(
)
(
H
H
G
G
G
G
G
G
H
G
G
G
G
G
G
S
R
S
C































1
4
1
1
)
3
2
(
2
4
1
)
1
4
1
1
(
1
4
1
1
)
3
2
(
4
1
)
(
)
(
H
G
G
G
G
H
G
G
H
G
G
H
G
G
G
G
G
G
S
R
S
C
)
2
4
3
1
2
4
2
1
)
1
4
1
1
(
4
3
1
4
2
1
)
(
)
(
H
G
G
G
H
G
G
G
H
G
G
G
G
G
G
G
G
S
R
S
C





Ex. 3: Find the transfer function of the following system using block
diagram reduction techniques
G
H
Ex.4: Find the transfer function of the following system using block
diagram reduction techniques
Skill Assessment Exercise 1
Find the transfer function of the following system using block diagram
reduction techniques
89
Signal Flow Graphs
Outline
• Introduction to Signal Flow Graphs
– Definitions
– Terminologies
– Examples
• Mason’s Gain Formula
– Examples
• Signal Flow Graph from Block Diagrams
• Design Examples
90
Introduction
91
• Alternative method to block diagram representation,
developed by Samuel Jefferson Mason.
• Advantage: Mason’s gain formula is used to find the
overall gain/Transfer function of the system.
• Simpler than tedious Block diagram reduction method
• A signal-flow graph consists of a network in which nodes
are connected by directed branches.
• It depicts the flow of signals from one point of a system
to another and gives the relationships among the signals.
Fundamentals of Signal Flow Graphs
• Consider a simple equation below and draw its signal flow
graph:
• The signal flow graph of the equation is shown below;
• Every variable in a signal flow graph is represented by a
Node.
• Every transmission function in a signal flow graph is
represented by a Branch.
• Branches are always unidirectional.
• The arrow in the branch denotes the direction of the signal
ax
y 
x y
a
92
Signal-Flow Graph Models
93
=
Terminologies
• An input node or source contain only the outgoing branches. i.e., X1
• An output node or sink contain only the incoming branches. i.e., X4
• A path is a continuous, unidirectional succession of branches along which
no node is passed more than ones. i.e.,
• A forward path is a path from the input node to the output node. i.e.,
X1 to X2 to X3 to X4 , and X1 to X2 to X4 , are forward paths.
• A feedback path or feedback loop is a path which originates and
terminates on the same node. i.e.; X2 to X3 and back to X2 is a feedback
path.
X1 to X2 to X3 to X4 X1 to X2 to X4 X2 to X3 to X4
94
Terminologies
• A self-loop is a feedback loop consisting of a single branch. i.e.; A33 is
a self loop.
• The gain of a branch is the transmission function of that branch.
• The path gain is the product of branch gains encountered in traversing
a path. i.e. the gain of forwards path X1 to X2 to X3 to X4 is A21A32A43
• The loop gain is the product of the branch gains of the loop. i.e., the
loop gain of the feedback loop from X2 to X3 and back to X2 is A32A23.
• Two loops, paths, or loop and a path are said to be non-touching if
they have no nodes in common.
95
Consider the signal flow graph below and identify the following
a) Input node.
b) Output node.
c) Forward paths.
d) Feedback paths (loops).
e) Determine the loop gains of the feedback
loops.
f) Determine the path gains of the forward
paths.
g) Non-touching loops
96
Consider the signal flow graph below and identify the following
• There are two forward path
gains;
97
Consider the signal flow graph below and identify the following
• There are four loops
98
Consider the signal flow graph below and identify the following
• Nontouching loop gains;
99
Consider the signal flow graph below and identify the
following
a) Input node.
b) Output node.
c) Forward paths.
d) Feedback paths.
e) Self loop.
f) Determine the loop gains of the feedback loops.
g) Determine the path gains of the forward paths.
100
Input and output Nodes
a) Input node
b) Output node
101
(c) Forward Paths
102
(d) Feedback Paths or Loops
103
(d) Feedback Paths or Loops
104
(d) Feedback Paths or Loops
105
(d) Feedback Paths or Loops
106
(e) Self Loop(s)
107
(f) Loop Gains of the Feedback Loops
108
(g) Path Gains of the Forward Paths
109
Mason’s Gain Formula:
• The transfer function, C(s)/R(s), of a system represented by a signal-
flow graph is;
Where
n = number of forward paths.
Pi = the i th forward-path gain.
∆ = Determinant of the system
∆i = Determinant of the ith forward path
• ∆ is called the signal flow graph determinant or characteristic
function.





n
i
i
i
P
s
R
s
C
1
1
)
(
)
(
110
Mason’s Rule:
Pi = Forward path gains
∆ = 1- (sum of all individual loop gains) + (sum of the products of
the gains of all possible two loops that do not touch each other) –
(sum of the products of the gains of all possible three loops that
do not touch each other) + … and so forth with sums of higher
number of non-touching loop gains
∆i = value of Δ for the part of the block diagram that does not
touch the i-th forward path (Δi = 1 if there are no non-touching
loops to the i-th path.)
111





n
i
i
i
P
s
R
s
C
1
1
)
(
)
(
Systematic approach
1. Calculate forward path gain Pi for each
forward path i.
2. Calculate all loop transfer functions
3. Consider non-touching loops 2 at a time
4. Consider non-touching loops 3 at a time etc.
5. Calculate Δ from steps 2,3,4 and 5
6. Calculate Δi as portion of Δ not touching
forward path i
112
Example #1: Apply Mason’s Rule to calculate the transfer function of the
system represented byfollowingSignalFlow Graph
113
Example #1: Apply Mason’s Rule to calculate the transfer function of the
systemrepresented byfollowingSignalFlow Graph




 2
2
1
1 P
P
R
C
Therefore,
2
4
3
1
3
2
4
2
1
2
1
4
1
1 H
G
G
G
L
H
G
G
G
L
H
G
G
L 



 ,
,
Thereare three feedbackloops
114





n
i
i
i
P
s
R
s
C
1
1
)
(
)
(
∆ = 1- (sum of all individual loop gains)
There are no non-touching loops, therefore
 
3
2
1
1 L
L
L 




 
2
4
3
1
2
4
2
1
1
4
1
1 H
G
G
G
H
G
G
G
H
G
G 




115




 2
2
1
1 P
P
R
C
Example#1: Apply Mason’s Rule to calculate the transfer function of
the systemrepresented by followingSignal Flow Graph
∆1 = 1- (sum of all individual loop gains)+...
Eliminate forward path-1
∆1 = 1
∆2 = 1- (sum of all individual loop gains)+...
Eliminate forward path-2
∆2 = 1
116
Example#1: Continue
117
Transfer function:
118
Example #1: Apply Mason’s Rule to calculate the transfer function of the
systemrepresented byfollowingSignalFlow Graph.
119
120
121
L12 =
L22 =
122




 2
2
1
1 P
P
R
C Since k=2
  )
(
1 22
12
3
2
1 L
L
L
L
L 






∆2 =
123




 2
2
1
1 P
P
R
C
C/R
124
G1 G4
G3
From Block Diagram to Signal-Flow Graph Models
Example#5
-
-
-
C(s)
R(s)
G1 G2
H2
H1
G4
G3
H3
E(s) X1
X2
X3
R(s) C(s)
-H2
-H1
-H3
X1 X2 X3
E(s)
1 G2
125
126
15UEC904
LINEAR CONTROL
ENGINEERING
WEEK 1 – EXERCISE
PROBLEMS
28.08.2020
Find the transfer function of the following system
using block diagram reduction techniques
Skill AssessmentExercise 1
SkillAssessmentExercise 2
Find the transfer function of the followingsystemusingblock diagram
reductiontechniques
SkillAssessmentExercise 3
Using Mason’s gain formula, find the transferfunction of the followingsystem
representedby signalflow graph
SkillAssessmentExercise 4
Using Mason’s gain formula, find the transferfunction of the followingsystem
representedby signalflow graph
9/7/2020
SETHU INSTITUTE OF TECHNOLOGY
HAPPY
LEARNING

LCE-UNIT 2 PPT.pdf

  • 1.
    DEPARTMENT OF ECE Presentedby Dr.M.Parisa Beham Asso.Prof./ECE 15UEC904 LINEAR CONTROL ENGINEERING III YR/V SEM 9/7/2020 SETHU INSTITUTE OF TECHNOLOGY
  • 2.
    9/7/2020 SETHU INSTITUTE OFTECHNOLOGY UNIT I - CONTROL SYSTEM MODELING Basic Elements of Control System – Open loop and Closed loop systems - Differential equation - Transfer function, Modeling of Electric systems, Translational and rotational mechanical systems - Block diagram reduction Techniques - Signal flow graph (9) 15UEC904 – LINEAR CONTROL ENGINEERING REGULATION - 2015 L T P C 3 0 0 3 45 periods CO.1 Develop mathematical models for Electrical and Mechanical systems. (K3 - Apply)
  • 3.
    Introduction to ControlSystem 3 Automatic control is essential in any field of engineering and considered as integral part of robotic systems, space vehicle systems, modern manufacturing systems etc.
  • 4.
    9/7/2020 Terminologies Plant - Aplant may be a piece of equipment, perhaps just a set of machine parts functioning together, the purpose of which is to perform a particular operation.
  • 5.
    Open Loop andClosed Loop Systems 5
  • 6.
    Closed Loop Systems 6 Closed-LoopControl Systems. Feedback control systems are often referred to as closed-loop control systems. In a closed-loop control system the actuating error signal, which is the difference between the input signal and the feedback signal, is fed to the controller so as to reduce the error and bring the output of the system to a desired value.
  • 7.
  • 8.
    Example: Closed LoopControl Systems 8
  • 9.
    Open Loop andClosed Loop Systems 9 • Simple construction and ease of maintenance. • Less expensive than a corresponding closed-loop system. • There is no stability problem. • They are inaccurate and unreliable • The effect of external disturbance signals can be made very small. • They are more complex and expensive • Cost of maintenance is high • The systems are prone to instability. Oscillations in the output many occur. • They are more accurate and reliable. • If external disturbances are present, output differs significantly from the desired value.
  • 10.
  • 11.
  • 12.
  • 13.
    13 Introduction • Idealizing assumptionsare always made for the purpose of analysis and synthesis of systems • An idealized physical systemsare called as physical model
  • 14.
    14 Mathematical model • Afterobtaining the physical model, need to generate a mathematical model • Mathematical models of physical systems are key elements in the design and analysis of control systems • Use of appropriate physical laws such as Kirchoff’s law , Coulombs law etc. • A control system can be modelled as a scalar differential equation describing the system. Math Modelling Mechanical system Electrical Systems Translational Rotational
  • 15.
    15 Mathematical Modelling of ElectricalSystems Differential Equations – By Kirchoff’s voltage law and current law
  • 16.
    16 Ex.1 Obtain thetransfer function for the electrical network shown
  • 17.
  • 18.
  • 19.
  • 20.
  • 21.
    21 Exercise Problem 1: Obtainthe transfer function for the electrical network shown.
  • 22.
  • 23.
  • 24.
  • 25.
    Basic Types ofMechanical Systems • Translational – Linear Motion • Rotational – Rotational Motion 25
  • 26.
    Basic Elements ofTranslational Mechanical Systems Translational Spring K i) Translational Mass ii) Translational Dash-pot iii) M B Weight of the mechanical system Elastic Deformation of the body Friction existing in Mech system K
  • 27.
    Common Uses ofDashpots Door Stoppers Vehicle Suspension Bridge Suspension Flyover Suspension
  • 28.
  • 29.
  • 30.
  • 31.
    9/7/2020 List of symbolsused in Mech Translational System
  • 32.
    9/7/2020 Force Balance Equationsof Idealized Elements M f x fm
  • 33.
    9/7/2020 Force Balance Equationsof Idealized Elements
  • 34.
    9/7/2020 Force Balance Equationsof Idealized Elements
  • 35.
    9/7/2020 Ex.1. Write thedifferential equation governing the mechanical system shown in Figure and determine the transfer function. Free body diagramfor Mass M1: Solution:
  • 36.
    9/7/2020 Apply L.T onforce equation We know that: [1] Free body diagramfor Mass M2:
  • 37.
  • 38.
  • 39.
    9/7/2020 Ex.2. Determine thetransfer function of the system shown in figure. ) ( ) ( 2 S F S Y Free body diagramfor Mass M1: Solution:
  • 40.
  • 41.
  • 42.
    Exercise Problem-2 42 Draw thephysical model and mathematical model of the Restaurant plate dispenser and thus determine the transfer function of the system
  • 43.
    9/7/2020 Transfer function ofRestaurant plate dispenser Solution:
  • 44.
  • 45.
    Moment of Inertiaof Mass, J  T J Basic Elements Rotational Mechanical Systems Rotational Spring, K 2  1  2  1  T C Rotational Dash, B Input: T – Torque, A force which tends to cause rotation Output: Ɵ - Angular Displacement
  • 46.
    9/7/2020 List of symbolsused in Mech Rotational System
  • 47.
    9/7/2020 Torque Balance Equationsof Idealized Elements
  • 48.
    9/7/2020 Ex.3. Write thedifferential equation governingthe mechanical rotational system shown in Figure and determine the transfer function Free body diagramfor Moment of Inertia J1: Solution:
  • 49.
  • 50.
    9/7/2020 Free body diagramforMoment of Inertia J2: [3]
  • 51.
  • 52.
    9/7/2020 Ex.4. Write thedifferential equation governing the mechanical rotational system shown in Figure and determine the transfer function.
  • 53.
  • 54.
    9/7/2020 Ex.4. Write thedifferential equation governing the mechanical rotational system shown in Figure and determine the transfer function. Solution:
  • 58.
  • 59.
    Introduction • Block diagramis a shorthand, graphical representation of a physical system, illustrating the functional relationships among its components. The simplest form of the block diagram is the single block, with one input and one output. The interior of the rectangle representing the block usually contains a description of or the name of the element, or the symbol for the mathematical operation to be performed on the input to yield the output. G R C ) ( / ) ( ) ( s C s R s G 
  • 61.
    Components of aBlock Diagram • System components are alternatively called elements of the system. • Block diagram has four components: – Signals – System/ block – Summing junction – Pick-off/ Take-off point
  • 63.
    Rules for BlockDiagram Reduction Techniques
  • 64.
    Rules for BlockDiagram Reduction Techniques
  • 65.
    Rules for BlockDiagram Reduction Techniques
  • 66.
    Ex.1: Reduce theBlock Diagram to Canonical Form.
  • 68.
  • 69.
    Ex. 3: Findthe transfer function of the following system using block diagram reduction techniques
  • 74.
  • 75.
    Ex.4: Find thetransfer function of the following system using block diagram reduction techniques
  • 82.
    Skill Assessment Exercise1 Find the transfer function of the following system using block diagram reduction techniques
  • 83.
  • 84.
    Outline • Introduction toSignal Flow Graphs – Definitions – Terminologies – Examples • Mason’s Gain Formula – Examples • Signal Flow Graph from Block Diagrams • Design Examples 90
  • 85.
    Introduction 91 • Alternative methodto block diagram representation, developed by Samuel Jefferson Mason. • Advantage: Mason’s gain formula is used to find the overall gain/Transfer function of the system. • Simpler than tedious Block diagram reduction method • A signal-flow graph consists of a network in which nodes are connected by directed branches. • It depicts the flow of signals from one point of a system to another and gives the relationships among the signals.
  • 86.
    Fundamentals of SignalFlow Graphs • Consider a simple equation below and draw its signal flow graph: • The signal flow graph of the equation is shown below; • Every variable in a signal flow graph is represented by a Node. • Every transmission function in a signal flow graph is represented by a Branch. • Branches are always unidirectional. • The arrow in the branch denotes the direction of the signal ax y  x y a 92
  • 87.
  • 88.
    Terminologies • An inputnode or source contain only the outgoing branches. i.e., X1 • An output node or sink contain only the incoming branches. i.e., X4 • A path is a continuous, unidirectional succession of branches along which no node is passed more than ones. i.e., • A forward path is a path from the input node to the output node. i.e., X1 to X2 to X3 to X4 , and X1 to X2 to X4 , are forward paths. • A feedback path or feedback loop is a path which originates and terminates on the same node. i.e.; X2 to X3 and back to X2 is a feedback path. X1 to X2 to X3 to X4 X1 to X2 to X4 X2 to X3 to X4 94
  • 89.
    Terminologies • A self-loopis a feedback loop consisting of a single branch. i.e.; A33 is a self loop. • The gain of a branch is the transmission function of that branch. • The path gain is the product of branch gains encountered in traversing a path. i.e. the gain of forwards path X1 to X2 to X3 to X4 is A21A32A43 • The loop gain is the product of the branch gains of the loop. i.e., the loop gain of the feedback loop from X2 to X3 and back to X2 is A32A23. • Two loops, paths, or loop and a path are said to be non-touching if they have no nodes in common. 95
  • 90.
    Consider the signalflow graph below and identify the following a) Input node. b) Output node. c) Forward paths. d) Feedback paths (loops). e) Determine the loop gains of the feedback loops. f) Determine the path gains of the forward paths. g) Non-touching loops 96
  • 91.
    Consider the signalflow graph below and identify the following • There are two forward path gains; 97
  • 92.
    Consider the signalflow graph below and identify the following • There are four loops 98
  • 93.
    Consider the signalflow graph below and identify the following • Nontouching loop gains; 99
  • 94.
    Consider the signalflow graph below and identify the following a) Input node. b) Output node. c) Forward paths. d) Feedback paths. e) Self loop. f) Determine the loop gains of the feedback loops. g) Determine the path gains of the forward paths. 100
  • 95.
    Input and outputNodes a) Input node b) Output node 101
  • 96.
  • 97.
    (d) Feedback Pathsor Loops 103
  • 98.
    (d) Feedback Pathsor Loops 104
  • 99.
    (d) Feedback Pathsor Loops 105
  • 100.
    (d) Feedback Pathsor Loops 106
  • 101.
  • 102.
    (f) Loop Gainsof the Feedback Loops 108
  • 103.
    (g) Path Gainsof the Forward Paths 109
  • 104.
    Mason’s Gain Formula: •The transfer function, C(s)/R(s), of a system represented by a signal- flow graph is; Where n = number of forward paths. Pi = the i th forward-path gain. ∆ = Determinant of the system ∆i = Determinant of the ith forward path • ∆ is called the signal flow graph determinant or characteristic function.      n i i i P s R s C 1 1 ) ( ) ( 110
  • 105.
    Mason’s Rule: Pi =Forward path gains ∆ = 1- (sum of all individual loop gains) + (sum of the products of the gains of all possible two loops that do not touch each other) – (sum of the products of the gains of all possible three loops that do not touch each other) + … and so forth with sums of higher number of non-touching loop gains ∆i = value of Δ for the part of the block diagram that does not touch the i-th forward path (Δi = 1 if there are no non-touching loops to the i-th path.) 111      n i i i P s R s C 1 1 ) ( ) (
  • 106.
    Systematic approach 1. Calculateforward path gain Pi for each forward path i. 2. Calculate all loop transfer functions 3. Consider non-touching loops 2 at a time 4. Consider non-touching loops 3 at a time etc. 5. Calculate Δ from steps 2,3,4 and 5 6. Calculate Δi as portion of Δ not touching forward path i 112
  • 107.
    Example #1: ApplyMason’s Rule to calculate the transfer function of the system represented byfollowingSignalFlow Graph 113
  • 108.
    Example #1: ApplyMason’s Rule to calculate the transfer function of the systemrepresented byfollowingSignalFlow Graph      2 2 1 1 P P R C Therefore, 2 4 3 1 3 2 4 2 1 2 1 4 1 1 H G G G L H G G G L H G G L      , , Thereare three feedbackloops 114      n i i i P s R s C 1 1 ) ( ) (
  • 109.
    ∆ = 1-(sum of all individual loop gains) There are no non-touching loops, therefore   3 2 1 1 L L L        2 4 3 1 2 4 2 1 1 4 1 1 H G G G H G G G H G G      115      2 2 1 1 P P R C
  • 110.
    Example#1: Apply Mason’sRule to calculate the transfer function of the systemrepresented by followingSignal Flow Graph ∆1 = 1- (sum of all individual loop gains)+... Eliminate forward path-1 ∆1 = 1 ∆2 = 1- (sum of all individual loop gains)+... Eliminate forward path-2 ∆2 = 1 116
  • 111.
  • 112.
    118 Example #1: ApplyMason’s Rule to calculate the transfer function of the systemrepresented byfollowingSignalFlow Graph.
  • 113.
  • 114.
  • 115.
  • 116.
    122      2 2 1 1 P P R CSince k=2   ) ( 1 22 12 3 2 1 L L L L L        ∆2 =
  • 117.
  • 118.
  • 119.
    G1 G4 G3 From BlockDiagram to Signal-Flow Graph Models Example#5 - - - C(s) R(s) G1 G2 H2 H1 G4 G3 H3 E(s) X1 X2 X3 R(s) C(s) -H2 -H1 -H3 X1 X2 X3 E(s) 1 G2 125
  • 120.
  • 121.
    15UEC904 LINEAR CONTROL ENGINEERING WEEK 1– EXERCISE PROBLEMS 28.08.2020
  • 122.
    Find the transferfunction of the following system using block diagram reduction techniques Skill AssessmentExercise 1
  • 128.
    SkillAssessmentExercise 2 Find thetransfer function of the followingsystemusingblock diagram reductiontechniques
  • 132.
    SkillAssessmentExercise 3 Using Mason’sgain formula, find the transferfunction of the followingsystem representedby signalflow graph
  • 135.
    SkillAssessmentExercise 4 Using Mason’sgain formula, find the transferfunction of the followingsystem representedby signalflow graph
  • 141.
    9/7/2020 SETHU INSTITUTE OFTECHNOLOGY HAPPY LEARNING