Group 16
 Electronic configuration- ns2
np4
 Radii- decreases downthe group
 Ionizationenthalpy- decreasesdown the group
I.E. (gr 15)> I.E. (gr 16)
(Extra stable)
 Electron gain enthalpy- O < S
Less negative due toe-
repulsion in small 2p orbital of O
 Electronegativity- decreases down the group.
Physical properties-
 MP and BP increases with increase in atomic number.
 Large difference b/w MP andBP of O and S because
O2 - diatomic
S8 – polyatomic
Chemical properties-
Oxidation states
O -2 +2 more common
S -2 +2 +4 +6
Se -2 +2 +4 +6
Te -2 +2 +4 +6
Po -2 +2 +4 +6
Stability decreases down the group
Stability increases down the group
 -2 stability decreases downthe group
 OF2 (+2) ,O2F2
 S, Se, Te : +4 with O
 S, Se, Te : +6 with F
 +4 and +6 oxidationstate havecovalent bond
Oxygen anomalies –
 Small size, highelectronegativity – H-bond, H-bondinH2Onotin H2S
 Covalency of O is max. 4 because of non- availability of d- orbitals.
Q. SF6 is knownbut SH6 isnot?
A. It is due to highoxidation state(+6), S can combineonly with highly
electronegative F.
 Reacttowards H2 –
H2O < H2S < H2Se < H2Te (acidic character)
H2O < H2S < H2Se < H2Te (reducing behav.)
H2O > H2S > H2Se >H2Te (thermal stability)
Reducingproperty -
H2S < H2Se < H2Te
H2O doesnot showreducing property
 Reaction withO –
EO2, EO3 (bothare acidic in nature)
Example- O3, SO2, SeO2, SO3, SeO3, TeO3
Reducingproperty-
SO2 > SeO2 > TeO2
(R.A) (O.A)
Q. Why H2O is liquid andH2S is gas?
Q. Why H2S is less acidic thanH2Te?
 Reacttowards Halogens –
EX6, EX4, EX2
Note- only EF6 is stable (all gaseousoctahedralstructure eg: SF6 exceptionally stabledue to
steric reason)
Stability order of halides –
F-
> Cl-
> Br-
> I-
Q. Why SF6 is highly stable?
A. Because it is sterically protected
EX4 :sp3
d, see-sawstructure
SF4 (gas)
SeF4 (liquid)
TeF4 (solid)
Tetrahalides act as Lewis base by havinglone pair andLewis Acid dueto extension of co-od
number. Following reaction supportsabovefacts, SF4 + BF3 → SF4→BF4
SF4 +2F-
→SF6
-2
EX2 : sp3
Allexcept Se forms ECl2 and EBr2
EX :monohalides
S2F2, S2Cl2, SBr2, Se2Cl2, Se2Br2
2Se2Cl2 → SeCl4 + 3Se (Disproportionation)
Preparation of O2 –
Lab. preparation:
i. 2KClO3
△/𝑀𝑛𝑂2
→ 2KCl+ 3O2 (NO3
-
or MnO4
-
alsousedascatalyst)
ii. 2Ag2O(s) → 4Ag(s) + O2 (g)
2HgO(s) → 2Hg(s) + O2 (g)
less reactive metals
2Pb3O4(s)→ 6PbO(s)+ O2 (g)
higher oxides 2PbO2(s)→ 2PbO(s)+ O2
iii. 2H2O2
decomposition/ finely divided MnO2
→ 2H2O+ O2
iv. Electrolysis of water
Properties of O2 –
 Colourless, odourless
 Paramagnetic, despite of havingeven e-
(e-
s in π*
2px1
, π*2py1
)
2Ca + O2 → 2CaO
4Al + 3O2 → 2Al2O3
P4 + 5O2 → P4O10 exothermic reaction
C + O2 → CO2
2ZnS+ 3O2 → 2ZnO+ 2SO2
CH4 + 2O2 → CO2 + 2H2O
2SO2 + O2
V2O5
→ 2SO3
4HCl + O2 → 2Cl2 + 2H2O
Uses:
 Respiration
 Oxyacetylene welding
 Metal manufacturing
 Mountaineering
 Oxidizers in fuel
Simple oxides:
 An oxide is a binary compoundofoxygen with other element.
Oxides
Simple Mixed
MgO, Al2O3 Pb3O4, Fe3O4
Metals intheir high
Non-metal oxides oxidationstate
Acidic oxide: SO2, Cl2O7, CO2, N2O5, Mn2O7, CrO3, V2O5
An oxide which combinewith water to give acid
Eg. SO2 + H2O→ H2SO3
Basic:CaO
Eg. CaO + H2O → Ca(OH)2
Amphoteric:bothacidicandbasic
Al2O3 + 6HCl + 9H2O→ 2[Al(H2O)6]+
+ 6Cl-
Al2O3 + 6NaOH+ 3H2O→ 2Na3[Al(H2O)6](aq)
Neutral oxides: neitheracidic norbasic
Eg. CO, NO, N20
Ozone (O3) –
 O3 is thermodynamically lessstable
3O2 → 2O3 (△H= +142)
△S= -ve, △H= +ve, △G= +ve, therefore O3 is unstable
△G for O3 → O2 will be negative
At high concentrationO3 is explosive
 O3 as oxidisingagent –
O3 (powerful oxidising agent)→ O2 + O (nascent oxygen)
Eg. PbS+ 403 → PbSO4(s)+ 4O2(g)
2I-
+ H2O+ O3 → 2OH-
+ I2 + O2(g)
 Estimationof O3 volumetrically –
O3 + KI
𝑏𝑜𝑟𝑎𝑡𝑒 𝑏𝑢𝑓𝑓𝑒𝑟/𝑝𝐻9.7
→ I2 (titrated againstNa2S2O3)
 Depletion of ozone layer –
NO(g) + O3(g)
𝑑𝑒𝑝𝑙𝑒𝑡𝑖𝑜𝑛
→ NO2(g) + O2(g)
Note – NOisreleasedfrom jet engines which combinesrapidly with ozone
Freons+ O3 → depletion, freons are the substancesreleased from spraysandrefrigerants
 Structureof O3 –
Bondlength- 128 pm
Bondangle- 117°
 Usesof O3 –
i. Germicide
ii. Disinfectant-
iii. Sterilizing water
iv. Bleaching oils, ivory, flour, starchetc.
v. Oxidising agent
vi. Manufacturingof KMnO4
Sulphur –
 Allotropesof S:
α Sulphur(stable under 369k)
369𝑘−𝑒𝑞𝑢𝑖𝑙𝑖 𝑏 𝑟𝑖 𝑢 𝑚
⇔ βSulphur(stable above 369k)
Also knownas rhombicsulphur alsoknownas monoclinic sulphur)
i. Yellow in colour Yellow in colour
ii. MP 385.8k MP 393k
iii. Density- 2.08 g/cm 1.98 g/cm
iv. Insolublein water Insolublein water
v. Soluble in certain extent in Soluble in certain extent in
Benzene, alcoholand ether Benzene, alcohol andether
vi. Readily solublein CS2 Solublein CS2
vii. S8 S8
viii. Crowned puckeredstructure Crownedpuckered structure
Other allotropes of S has 6-20 Satoms
 At high temp. above 1000K S8(s) → S2(g) (paramagnatic)
Q. Why S in vapourphaseis paramagnetic?
Sulphur dioxide – SO2
Preparation:
S(s) + O2
△
6−8% 𝑆𝑂3
→ SO2(g)
In lab. –
SO3
-2
(aq)+ 2H+
(aq) → H2O+ SO2(g)
{dil.H2SO4}
Industrially –
4FeS2 + 1102(g)
△/𝑟𝑜𝑎𝑠𝑡𝑖𝑛𝑔
→ 2Fe2O3 + 8SO2(g)
Sulphide by product
Ore
Properties:
 Colourlessgas
 Pungentsmell
 Highly solublein water
 Liquefies at roomtemp. at 2atm
 BP – 263k
 Reaction with water – SO2(g) + H2O(aq) → H2SO3(aq)
Acid
Reaction withNaOH –
SO2 + NaOH→ Na2SO3 +H2O
Na2SO3 + H2O + SO2 → 2NaHSO3
Excess
Note- behaviourof SO2 similarto that of CO2
Reaction withCl2 andO2 –
SO2 + Cl2
𝑐ℎ𝑎𝑟𝑐𝑜𝑎𝑙
→ SO2Cl2 (sulphurylchloride)
2SO2 + O2
𝑁2𝑂5
→ 2S03
SO2 as a reducing agent –
Itsreducing behaviouris due to liberation of nascent hydrogenhencea temporary bleachingagent.
Fe+3
+ SO2 + 2H2O→ 2Fe+2
+ SO4
-2
+4H+
where SO2 is reducing agent
2MnO4
-
(+7) + 5SO2 + 2H2O→ 5S04
-2
+4H+
+ 2Mn+2
(+2)
(Violet) (Nocolour)
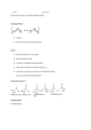
Note:Above reaction is used for detection of SO2
Structure of SO2 –
 Angular
 BothS-Obondare same(resonance)
Uses –
 Refining of petroleumand sugar
 Bleaching wool and silk
 Antichlor, disinfectantand preservative
 Manufactureof H2SO4, NaHSO3, CaHSO3 etc.
 Liquid SO2 as a solventto dissolvea number of chemicals.
Q. how is presence of SO2 detected?
Oxoacids of sulphur–
Sulphuric acid –
Contactprocess:
Note: FormationofSO3 is key stepduring contactprocess. Optimumconditionrequired is
Temperature of 720K
Pressure 2 bar
Catalyst- V2O5
Q. Why wateris not directly addedto SO3 during prep. Of H2SO4?
Properties –
 Colourless
 Dense
 Oily liquid
 1.84 g/cm density
 FP- 283k, BP- 611k
Reaction with water:
H2SO4 + H2O→ large amountof heat
Note:add H2SO4 to water instead of addingwater to H2SO4 to dilute it (with constantstirring).
Chemical characteristics of H2SO4 –
 Low volatility
 Strongacidic character
 Strongaffinity for water
 Oxidising agent
H2 SO4 ionizes in water as:
H2SO4 + H2O → H30+ + HSO4
- Ka1 > 10 (very large)
(From NaHSO4)
H2SO4 + H2O→ H30+ + SO4
2- Ka2 = 1.2 x 10-2
(From Na2SO4)
 Note – H2SO4 hastwoKa value.
Q. Why is Ka2 << Ka1 for H2SO4 in water?
Preparationof other acids fromH2SO4 –
2MX + H2SO4 → 2HX + M2SO4
(X= F-, Cl-, NO3
-) (M= metal)
H2 SO4 as dehydrating agent –
Many gasescan be dried by passingthroughH2SO4
C12H22O11
H2SO4/Dehydration
→ 12C + H20
H2 SO4 as oxidisingagent –
H3PO4, H2SO4, HNO3
Ex.
i. Cu + 2H2SO4 (conc.)→ CuSO4 + SO2 + 2H2O
ii. 3S + 2H2SO4 (conc.)→ 3SO2 + 2H2O
iii. C + 2H2SO4 (conc.) → CO2 + 2SO2 + 2H2O
Uses – ( King of Chemicals)
 Manufacturingof ammoniumsulphate, superphosphate
 Petroleumrefining
 Paintsand dyesstuff
 Detergent
 Metallurgy
 Storage battery
 Nitrocellulose products
 Lab reagent

Group 16 - Class XII

  • 1.
    Group 16  Electronicconfiguration- ns2 np4  Radii- decreases downthe group  Ionizationenthalpy- decreasesdown the group I.E. (gr 15)> I.E. (gr 16) (Extra stable)  Electron gain enthalpy- O < S Less negative due toe- repulsion in small 2p orbital of O  Electronegativity- decreases down the group. Physical properties-  MP and BP increases with increase in atomic number.  Large difference b/w MP andBP of O and S because O2 - diatomic S8 – polyatomic Chemical properties- Oxidation states O -2 +2 more common S -2 +2 +4 +6 Se -2 +2 +4 +6 Te -2 +2 +4 +6 Po -2 +2 +4 +6 Stability decreases down the group Stability increases down the group  -2 stability decreases downthe group  OF2 (+2) ,O2F2  S, Se, Te : +4 with O  S, Se, Te : +6 with F  +4 and +6 oxidationstate havecovalent bond
  • 2.
    Oxygen anomalies – Small size, highelectronegativity – H-bond, H-bondinH2Onotin H2S  Covalency of O is max. 4 because of non- availability of d- orbitals. Q. SF6 is knownbut SH6 isnot? A. It is due to highoxidation state(+6), S can combineonly with highly electronegative F.  Reacttowards H2 – H2O < H2S < H2Se < H2Te (acidic character) H2O < H2S < H2Se < H2Te (reducing behav.) H2O > H2S > H2Se >H2Te (thermal stability) Reducingproperty - H2S < H2Se < H2Te H2O doesnot showreducing property  Reaction withO – EO2, EO3 (bothare acidic in nature) Example- O3, SO2, SeO2, SO3, SeO3, TeO3 Reducingproperty- SO2 > SeO2 > TeO2 (R.A) (O.A) Q. Why H2O is liquid andH2S is gas? Q. Why H2S is less acidic thanH2Te?  Reacttowards Halogens – EX6, EX4, EX2 Note- only EF6 is stable (all gaseousoctahedralstructure eg: SF6 exceptionally stabledue to steric reason) Stability order of halides – F- > Cl- > Br- > I- Q. Why SF6 is highly stable? A. Because it is sterically protected EX4 :sp3 d, see-sawstructure SF4 (gas) SeF4 (liquid) TeF4 (solid)
  • 3.
    Tetrahalides act asLewis base by havinglone pair andLewis Acid dueto extension of co-od number. Following reaction supportsabovefacts, SF4 + BF3 → SF4→BF4 SF4 +2F- →SF6 -2 EX2 : sp3 Allexcept Se forms ECl2 and EBr2 EX :monohalides S2F2, S2Cl2, SBr2, Se2Cl2, Se2Br2 2Se2Cl2 → SeCl4 + 3Se (Disproportionation) Preparation of O2 – Lab. preparation: i. 2KClO3 △/𝑀𝑛𝑂2 → 2KCl+ 3O2 (NO3 - or MnO4 - alsousedascatalyst) ii. 2Ag2O(s) → 4Ag(s) + O2 (g) 2HgO(s) → 2Hg(s) + O2 (g) less reactive metals 2Pb3O4(s)→ 6PbO(s)+ O2 (g) higher oxides 2PbO2(s)→ 2PbO(s)+ O2 iii. 2H2O2 decomposition/ finely divided MnO2 → 2H2O+ O2 iv. Electrolysis of water Properties of O2 –  Colourless, odourless  Paramagnetic, despite of havingeven e- (e- s in π* 2px1 , π*2py1 ) 2Ca + O2 → 2CaO 4Al + 3O2 → 2Al2O3 P4 + 5O2 → P4O10 exothermic reaction C + O2 → CO2 2ZnS+ 3O2 → 2ZnO+ 2SO2 CH4 + 2O2 → CO2 + 2H2O 2SO2 + O2 V2O5 → 2SO3 4HCl + O2 → 2Cl2 + 2H2O Uses:  Respiration
  • 4.
     Oxyacetylene welding Metal manufacturing  Mountaineering  Oxidizers in fuel Simple oxides:  An oxide is a binary compoundofoxygen with other element. Oxides Simple Mixed MgO, Al2O3 Pb3O4, Fe3O4 Metals intheir high Non-metal oxides oxidationstate Acidic oxide: SO2, Cl2O7, CO2, N2O5, Mn2O7, CrO3, V2O5 An oxide which combinewith water to give acid Eg. SO2 + H2O→ H2SO3 Basic:CaO Eg. CaO + H2O → Ca(OH)2 Amphoteric:bothacidicandbasic Al2O3 + 6HCl + 9H2O→ 2[Al(H2O)6]+ + 6Cl- Al2O3 + 6NaOH+ 3H2O→ 2Na3[Al(H2O)6](aq) Neutral oxides: neitheracidic norbasic Eg. CO, NO, N20 Ozone (O3) –  O3 is thermodynamically lessstable 3O2 → 2O3 (△H= +142) △S= -ve, △H= +ve, △G= +ve, therefore O3 is unstable △G for O3 → O2 will be negative At high concentrationO3 is explosive
  • 5.
     O3 asoxidisingagent – O3 (powerful oxidising agent)→ O2 + O (nascent oxygen) Eg. PbS+ 403 → PbSO4(s)+ 4O2(g) 2I- + H2O+ O3 → 2OH- + I2 + O2(g)  Estimationof O3 volumetrically – O3 + KI 𝑏𝑜𝑟𝑎𝑡𝑒 𝑏𝑢𝑓𝑓𝑒𝑟/𝑝𝐻9.7 → I2 (titrated againstNa2S2O3)  Depletion of ozone layer – NO(g) + O3(g) 𝑑𝑒𝑝𝑙𝑒𝑡𝑖𝑜𝑛 → NO2(g) + O2(g) Note – NOisreleasedfrom jet engines which combinesrapidly with ozone Freons+ O3 → depletion, freons are the substancesreleased from spraysandrefrigerants  Structureof O3 – Bondlength- 128 pm Bondangle- 117°  Usesof O3 – i. Germicide ii. Disinfectant- iii. Sterilizing water iv. Bleaching oils, ivory, flour, starchetc. v. Oxidising agent vi. Manufacturingof KMnO4 Sulphur –  Allotropesof S: α Sulphur(stable under 369k) 369𝑘−𝑒𝑞𝑢𝑖𝑙𝑖 𝑏 𝑟𝑖 𝑢 𝑚 ⇔ βSulphur(stable above 369k) Also knownas rhombicsulphur alsoknownas monoclinic sulphur) i. Yellow in colour Yellow in colour ii. MP 385.8k MP 393k iii. Density- 2.08 g/cm 1.98 g/cm iv. Insolublein water Insolublein water v. Soluble in certain extent in Soluble in certain extent in Benzene, alcoholand ether Benzene, alcohol andether vi. Readily solublein CS2 Solublein CS2 vii. S8 S8 viii. Crowned puckeredstructure Crownedpuckered structure
  • 6.
    Other allotropes ofS has 6-20 Satoms  At high temp. above 1000K S8(s) → S2(g) (paramagnatic) Q. Why S in vapourphaseis paramagnetic? Sulphur dioxide – SO2 Preparation: S(s) + O2 △ 6−8% 𝑆𝑂3 → SO2(g) In lab. – SO3 -2 (aq)+ 2H+ (aq) → H2O+ SO2(g) {dil.H2SO4} Industrially – 4FeS2 + 1102(g) △/𝑟𝑜𝑎𝑠𝑡𝑖𝑛𝑔 → 2Fe2O3 + 8SO2(g) Sulphide by product Ore Properties:  Colourlessgas  Pungentsmell  Highly solublein water  Liquefies at roomtemp. at 2atm  BP – 263k  Reaction with water – SO2(g) + H2O(aq) → H2SO3(aq) Acid Reaction withNaOH – SO2 + NaOH→ Na2SO3 +H2O Na2SO3 + H2O + SO2 → 2NaHSO3 Excess Note- behaviourof SO2 similarto that of CO2 Reaction withCl2 andO2 – SO2 + Cl2 𝑐ℎ𝑎𝑟𝑐𝑜𝑎𝑙 → SO2Cl2 (sulphurylchloride) 2SO2 + O2 𝑁2𝑂5 → 2S03 SO2 as a reducing agent – Itsreducing behaviouris due to liberation of nascent hydrogenhencea temporary bleachingagent. Fe+3 + SO2 + 2H2O→ 2Fe+2 + SO4 -2 +4H+ where SO2 is reducing agent 2MnO4 - (+7) + 5SO2 + 2H2O→ 5S04 -2 +4H+ + 2Mn+2 (+2)
  • 7.
    (Violet) (Nocolour) Note:Above reactionis used for detection of SO2 Structure of SO2 –  Angular  BothS-Obondare same(resonance) Uses –  Refining of petroleumand sugar  Bleaching wool and silk  Antichlor, disinfectantand preservative  Manufactureof H2SO4, NaHSO3, CaHSO3 etc.  Liquid SO2 as a solventto dissolvea number of chemicals. Q. how is presence of SO2 detected? Oxoacids of sulphur– Sulphuric acid – Contactprocess:
  • 8.
    Note: FormationofSO3 iskey stepduring contactprocess. Optimumconditionrequired is Temperature of 720K Pressure 2 bar Catalyst- V2O5 Q. Why wateris not directly addedto SO3 during prep. Of H2SO4? Properties –  Colourless  Dense  Oily liquid  1.84 g/cm density  FP- 283k, BP- 611k Reaction with water: H2SO4 + H2O→ large amountof heat Note:add H2SO4 to water instead of addingwater to H2SO4 to dilute it (with constantstirring). Chemical characteristics of H2SO4 –  Low volatility  Strongacidic character  Strongaffinity for water  Oxidising agent H2 SO4 ionizes in water as: H2SO4 + H2O → H30+ + HSO4 - Ka1 > 10 (very large) (From NaHSO4)
  • 9.
    H2SO4 + H2O→H30+ + SO4 2- Ka2 = 1.2 x 10-2 (From Na2SO4)  Note – H2SO4 hastwoKa value. Q. Why is Ka2 << Ka1 for H2SO4 in water? Preparationof other acids fromH2SO4 – 2MX + H2SO4 → 2HX + M2SO4 (X= F-, Cl-, NO3 -) (M= metal) H2 SO4 as dehydrating agent – Many gasescan be dried by passingthroughH2SO4 C12H22O11 H2SO4/Dehydration → 12C + H20 H2 SO4 as oxidisingagent – H3PO4, H2SO4, HNO3 Ex. i. Cu + 2H2SO4 (conc.)→ CuSO4 + SO2 + 2H2O ii. 3S + 2H2SO4 (conc.)→ 3SO2 + 2H2O iii. C + 2H2SO4 (conc.) → CO2 + 2SO2 + 2H2O Uses – ( King of Chemicals)  Manufacturingof ammoniumsulphate, superphosphate  Petroleumrefining  Paintsand dyesstuff  Detergent  Metallurgy  Storage battery  Nitrocellulose products  Lab reagent