Embed presentation
Download to read offline







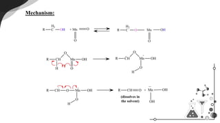
Manganese dioxide (MnO2) serves as a mild oxidizing reagent for transforming allylic and benzylic alcohols into aldehydes and ketones under neutral conditions. It can be prepared through the reaction of manganese sulfate and potassium permanganate in water. The document outlines the reaction mechanism involving benzyl alcohol converting to benzaldehyde.





