Section 6-6
Trapezoids and Kites
Essential Questions
• How do you apply properties of
trapezoids?
• How do you apply properties of kites?
Vocabulary
1.Trapezoid:
2. Bases:
3. Legs of a Trapezoid:
4. Base Angles:
5. Isosceles Trapezoid:
Vocabulary
1.Trapezoid: A quadrilateral with only one pair of
parallel sides
2. Bases:
3. Legs of a Trapezoid:
4. Base Angles:
5. Isosceles Trapezoid:
Vocabulary
1.Trapezoid: A quadrilateral with only one pair of
parallel sides
2. Bases: The parallel sides of a trapezoid
3. Legs of a Trapezoid:
4. Base Angles:
5. Isosceles Trapezoid:
Vocabulary
1.Trapezoid: A quadrilateral with only one pair of
parallel sides
2. Bases: The parallel sides of a trapezoid
3. Legs of a Trapezoid: The sides that are not parallel in a
trapezoid
4. Base Angles:
5. Isosceles Trapezoid:
Vocabulary
1.Trapezoid: A quadrilateral with only one pair of
parallel sides
2. Bases: The parallel sides of a trapezoid
3. Legs of a Trapezoid: The sides that are not parallel in a
trapezoid
4. Base Angles: The angles formed between a base and
one of the legs
5. Isosceles Trapezoid:
Vocabulary
1.Trapezoid: A quadrilateral with only one pair of
parallel sides
2. Bases: The parallel sides of a trapezoid
3. Legs of a Trapezoid: The sides that are not parallel in a
trapezoid
4. Base Angles: The angles formed between a base and
one of the legs
5. Isosceles Trapezoid: A trapezoid that has congruent
legs
Vocabulary
6. Midsegment of a Trapezoid:
7. Kite:
Vocabulary
6. Midsegment of a Trapezoid: The segment that
connects the midpoints of the legs of a trapezoid
7. Kite:
Vocabulary
6. Midsegment of a Trapezoid: The segment that
connects the midpoints of the legs of a trapezoid
7. Kite: A quadrilateral with exactly two pairs of
consecutive congruent sides; Opposite sides are not
parallel or congruent
Theorems
Isosceles Trapezoid
6.21:
6.22:
6.23:
Theorems
Isosceles Trapezoid
6.21: If a trapezoid is isosceles, then each pair of base
angles is congruent
6.22:
6.23:
Theorems
Isosceles Trapezoid
6.21: If a trapezoid is isosceles, then each pair of base
angles is congruent
6.22: If a trapezoid has one pair of congruent base
angles, then it is isosceles
6.23:
Theorems
Isosceles Trapezoid
6.21: If a trapezoid is isosceles, then each pair of base
angles is congruent
6.22: If a trapezoid has one pair of congruent base
angles, then it is isosceles
6.23: A trapezoid is isosceles IFF its diagonals are
congruent
Theorems
6.24 - Trapezoid Midsegment Theorem:
Kites
6.25:
6.26:
Theorems
6.24 - Trapezoid Midsegment Theorem: The midsegment
of a trapezoid is parallel to each base and its measure
is half of the sum of the lengths of the two bases
Kites
6.25:
6.26:
Theorems
6.24 - Trapezoid Midsegment Theorem: The midsegment
of a trapezoid is parallel to each base and its measure
is half of the sum of the lengths of the two bases
Kites
6.25: If a quadrilateral is a kite, then its diagonals are
perpendicular
6.26:
Theorems
6.24 - Trapezoid Midsegment Theorem: The midsegment
of a trapezoid is parallel to each base and its measure
is half of the sum of the lengths of the two bases
Kites
6.25: If a quadrilateral is a kite, then its diagonals are
perpendicular
6.26: If a quadrilateral is a kite, then exactly one pair of
opposite angles is congruent
Example 1
Each side of a basket is an isosceles trapezoid. If m∠JML =
130°, KN = 6.7 ft, and LN = 3.6 ft, find each measure.
a. m∠MJK
Example 1
Each side of a basket is an isosceles trapezoid. If m∠JML =
130°, KN = 6.7 ft, and LN = 3.6 ft, find each measure.
a. m∠MJK
m∠JML = m∠KLM
Example 1
Each side of a basket is an isosceles trapezoid. If m∠JML =
130°, KN = 6.7 ft, and LN = 3.6 ft, find each measure.
a. m∠MJK
m∠JML = m∠KLM
360 − 2(130)
Example 1
Each side of a basket is an isosceles trapezoid. If m∠JML =
130°, KN = 6.7 ft, and LN = 3.6 ft, find each measure.
a. m∠MJK
m∠JML = m∠KLM
360 − 2(130) = 100
Example 1
Each side of a basket is an isosceles trapezoid. If m∠JML =
130°, KN = 6.7 ft, and LN = 3.6 ft, find each measure.
a. m∠MJK
m∠JML = m∠KLM
360 − 2(130) = 100
100/2
Example 1
Each side of a basket is an isosceles trapezoid. If m∠JML =
130°, KN = 6.7 ft, and LN = 3.6 ft, find each measure.
a. m∠MJK
m∠JML = m∠KLM
360 − 2(130) = 100
100/2 = 50
Example 1
Each side of a basket is an isosceles trapezoid. If m∠JML =
130°, KN = 6.7 ft, and LN = 3.6 ft, find each measure.
a. m∠MJK
m∠JML = m∠KLM
360 − 2(130) = 100
100/2 = 50
m∠MJK = 50°
Example 1
Each side of a basket is an isosceles trapezoid. If m∠JML =
130°, KN = 6.7 ft, and LN = 3.6 ft, find each measure.
a. m∠MJK
m∠JML = m∠KLM
360 − 2(130) = 100
100/2 = 50
m∠MJK = 50°
or
Example 1
Each side of a basket is an isosceles trapezoid. If m∠JML =
130°, KN = 6.7 ft, and LN = 3.6 ft, find each measure.
a. m∠MJK
m∠JML = m∠KLM
360 − 2(130) = 100
100/2 = 50
m∠MJK = 50°
or
ML ! JK
Example 1
Each side of a basket is an isosceles trapezoid. If m∠JML =
130°, KN = 6.7 ft, and LN = 3.6 ft, find each measure.
a. m∠MJK
m∠JML = m∠KLM
360 − 2(130) = 100
100/2 = 50
m∠MJK = 50°
or
ML ! JK
m∠MJK + m∠JML =180
Example 1
Each side of a basket is an isosceles trapezoid. If m∠JML =
130°, KN = 6.7 ft, and LN = 3.6 ft, find each measure.
a. m∠MJK
m∠JML = m∠KLM
360 − 2(130) = 100
100/2 = 50
m∠MJK = 50°
or
ML ! JK
m∠MJK + m∠JML =180
m∠MJK +130 =180
Example 1
Each side of a basket is an isosceles trapezoid. If m∠JML =
130°, KN = 6.7 ft, and LN = 3.6 ft, find each measure.
a. m∠MJK
m∠JML = m∠KLM
360 − 2(130) = 100
100/2 = 50
m∠MJK = 50°
or
ML ! JK
m∠MJK + m∠JML =180
m∠MJK +130 =180
m∠MJK = 50°
Example 1
Each side of a basket is an isosceles trapezoid. If m∠JML =
130°, KN = 6.7 ft, and LN = 3.6 ft, find each measure.
b. JL
Example 1
Each side of a basket is an isosceles trapezoid. If m∠JML =
130°, KN = 6.7 ft, and LN = 3.6 ft, find each measure.
b. JL
JN = KN
Example 1
Each side of a basket is an isosceles trapezoid. If m∠JML =
130°, KN = 6.7 ft, and LN = 3.6 ft, find each measure.
b. JL
JN = KN
JL = JN + LN
Example 1
Each side of a basket is an isosceles trapezoid. If m∠JML =
130°, KN = 6.7 ft, and LN = 3.6 ft, find each measure.
b. JL
JN = KN
JL = JN + LN
JL = 6.7 + 3.6
Example 1
Each side of a basket is an isosceles trapezoid. If m∠JML =
130°, KN = 6.7 ft, and LN = 3.6 ft, find each measure.
b. JL
JN = KN
JL = JN + LN
JL = 6.7 + 3.6
JL = 10.3 ft
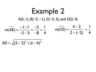
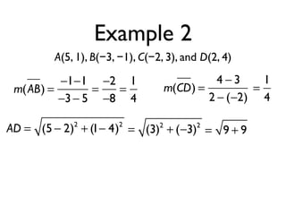
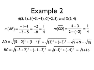
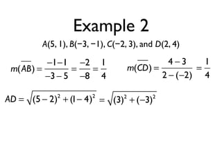
Example 2
Quadrilateral ABCD has vertices A(5, 1), B(−3, −1), C(−2, 3),
and D(2, 4). Show that ABCD is a trapezoid and determine
whether it is an isosceles trapezoid.
Example 2
Quadrilateral ABCD has vertices A(5, 1), B(−3, −1), C(−2, 3),
and D(2, 4). Show that ABCD is a trapezoid and determine
whether it is an isosceles trapezoid.
x
y
Example 2
Quadrilateral ABCD has vertices A(5, 1), B(−3, −1), C(−2, 3),
and D(2, 4). Show that ABCD is a trapezoid and determine
whether it is an isosceles trapezoid.
x
y
A
Example 2
Quadrilateral ABCD has vertices A(5, 1), B(−3, −1), C(−2, 3),
and D(2, 4). Show that ABCD is a trapezoid and determine
whether it is an isosceles trapezoid.
x
y
A
B
Example 2
Quadrilateral ABCD has vertices A(5, 1), B(−3, −1), C(−2, 3),
and D(2, 4). Show that ABCD is a trapezoid and determine
whether it is an isosceles trapezoid.
x
y
A
B
C
Example 2
Quadrilateral ABCD has vertices A(5, 1), B(−3, −1), C(−2, 3),
and D(2, 4). Show that ABCD is a trapezoid and determine
whether it is an isosceles trapezoid.
x
y
A
B
C
D
Example 2
Quadrilateral ABCD has vertices A(5, 1), B(−3, −1), C(−2, 3),
and D(2, 4). Show that ABCD is a trapezoid and determine
whether it is an isosceles trapezoid.
x
y
A
B
C
D
Example 2
Quadrilateral ABCD has vertices A(5, 1), B(−3, −1), C(−2, 3),
and D(2, 4). Show that ABCD is a trapezoid and determine
whether it is an isosceles trapezoid.
x
y
A
B
C
D
We need AB to be parallel
with CD
Example 2
Quadrilateral ABCD has vertices A(5, 1), B(−3, −1), C(−2, 3),
and D(2, 4). Show that ABCD is a trapezoid and determine
whether it is an isosceles trapezoid.
x
y
A
B
C
D
We need AB to be parallel
with CD
CB ≅ ADAlso,
Example 2
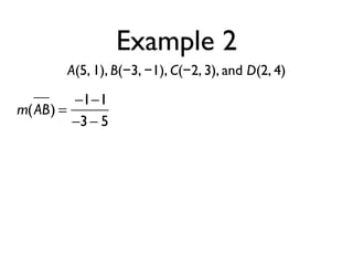
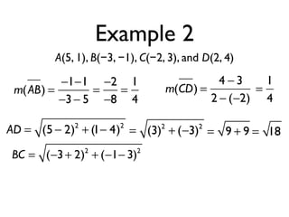
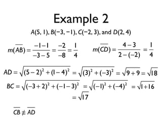
A(5, 1), B(−3, −1), C(−2, 3), and D(2, 4)
Example 2
A(5, 1), B(−3, −1), C(−2, 3), and D(2, 4)
m(AB) =
−1−1
−3− 5
Example 2
A(5, 1), B(−3, −1), C(−2, 3), and D(2, 4)
m(AB) =
−1−1
−3− 5
=
−2
−8
Example 2
A(5, 1), B(−3, −1), C(−2, 3), and D(2, 4)
m(AB) =
−1−1
−3− 5
=
−2
−8
=
1
4
Example 2
A(5, 1), B(−3, −1), C(−2, 3), and D(2, 4)
m(AB) =
−1−1
−3− 5
=
−2
−8
=
1
4
m(CD) =
4 − 3
2 − (−2)
Example 2
A(5, 1), B(−3, −1), C(−2, 3), and D(2, 4)
m(AB) =
−1−1
−3− 5
=
−2
−8
=
1
4
m(CD) =
4 − 3
2 − (−2)
=
1
4
Example 2
A(5, 1), B(−3, −1), C(−2, 3), and D(2, 4)
m(AB) =
−1−1
−3− 5
=
−2
−8
=
1
4
m(CD) =
4 − 3
2 − (−2)
=
1
4
AD = (5 − 2)2
+ (1− 4)2
Example 2
A(5, 1), B(−3, −1), C(−2, 3), and D(2, 4)
m(AB) =
−1−1
−3− 5
=
−2
−8
=
1
4
m(CD) =
4 − 3
2 − (−2)
=
1
4
AD = (5 − 2)2
+ (1− 4)2
= (3)2
+ (−3)2
Example 2
A(5, 1), B(−3, −1), C(−2, 3), and D(2, 4)
m(AB) =
−1−1
−3− 5
=
−2
−8
=
1
4
m(CD) =
4 − 3
2 − (−2)
=
1
4
AD = (5 − 2)2
+ (1− 4)2
= (3)2
+ (−3)2
= 9 + 9
Example 2
A(5, 1), B(−3, −1), C(−2, 3), and D(2, 4)
m(AB) =
−1−1
−3− 5
=
−2
−8
=
1
4
m(CD) =
4 − 3
2 − (−2)
=
1
4
AD = (5 − 2)2
+ (1− 4)2
= (3)2
+ (−3)2
= 9 + 9 = 18
Example 2
A(5, 1), B(−3, −1), C(−2, 3), and D(2, 4)
m(AB) =
−1−1
−3− 5
=
−2
−8
=
1
4
m(CD) =
4 − 3
2 − (−2)
=
1
4
AD = (5 − 2)2
+ (1− 4)2
= (3)2
+ (−3)2
= 9 + 9 = 18
BC = (−3+ 2)2
+ (−1− 3)2
Example 2
A(5, 1), B(−3, −1), C(−2, 3), and D(2, 4)
m(AB) =
−1−1
−3− 5
=
−2
−8
=
1
4
m(CD) =
4 − 3
2 − (−2)
=
1
4
AD = (5 − 2)2
+ (1− 4)2
= (3)2
+ (−3)2
= 9 + 9 = 18
BC = (−3+ 2)2
+ (−1− 3)2
= (−1)2
+ (−4)2
Example 2
A(5, 1), B(−3, −1), C(−2, 3), and D(2, 4)
m(AB) =
−1−1
−3− 5
=
−2
−8
=
1
4
m(CD) =
4 − 3
2 − (−2)
=
1
4
AD = (5 − 2)2
+ (1− 4)2
= (3)2
+ (−3)2
= 9 + 9 = 18
BC = (−3+ 2)2
+ (−1− 3)2
= (−1)2
+ (−4)2
= 1+16
Example 2
A(5, 1), B(−3, −1), C(−2, 3), and D(2, 4)
m(AB) =
−1−1
−3− 5
=
−2
−8
=
1
4
m(CD) =
4 − 3
2 − (−2)
=
1
4
AD = (5 − 2)2
+ (1− 4)2
= (3)2
+ (−3)2
= 9 + 9 = 18
BC = (−3+ 2)2
+ (−1− 3)2
= (−1)2
+ (−4)2
= 1+16
= 17
Example 2
A(5, 1), B(−3, −1), C(−2, 3), and D(2, 4)
m(AB) =
−1−1
−3− 5
=
−2
−8
=
1
4
m(CD) =
4 − 3
2 − (−2)
=
1
4
AD = (5 − 2)2
+ (1− 4)2
= (3)2
+ (−3)2
= 9 + 9 = 18
BC = (−3+ 2)2
+ (−1− 3)2
= (−1)2
+ (−4)2
= 1+16
= 17
CB ≅ AD
Example 2
A(5, 1), B(−3, −1), C(−2, 3), and D(2, 4)
m(AB) =
−1−1
−3− 5
=
−2
−8
=
1
4
m(CD) =
4 − 3
2 − (−2)
=
1
4
AD = (5 − 2)2
+ (1− 4)2
= (3)2
+ (−3)2
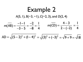
= 9 + 9 = 18
BC = (−3+ 2)2
+ (−1− 3)2
= (−1)2
+ (−4)2
= 1+16
= 17
It is a trapezoid, but not isoscelesCB ≅ AD
Example 3
In the figure, MN is the midsegment of trapezoid FGJK.
What is the value of x?
Example 3
In the figure, MN is the midsegment of trapezoid FGJK.
What is the value of x?
MN =
KF + JG
2
Example 3
In the figure, MN is the midsegment of trapezoid FGJK.
What is the value of x?
MN =
KF + JG
2
30 =
20 + JG
2
Example 3
In the figure, MN is the midsegment of trapezoid FGJK.
What is the value of x?
MN =
KF + JG
2
30 =
20 + JG
2
60 = 20 + JG
Example 3
In the figure, MN is the midsegment of trapezoid FGJK.
What is the value of x?
MN =
KF + JG
2
30 =
20 + JG
2
60 = 20 + JG
40 = JG
Example 4
If WXYZ is a kite, find m∠XYZ.
Example 4
If WXYZ is a kite, find m∠XYZ.
m∠WXY = m∠WZY
Example 4
If WXYZ is a kite, find m∠XYZ.
m∠WXY = m∠WZY
m∠XYZ = 360 −121− 73−121
Example 4
If WXYZ is a kite, find m∠XYZ.
m∠WXY = m∠WZY
m∠XYZ = 360 −121− 73−121 = 45°
Example 5
If MNPQ is a kite, find NP.
Example 5
If MNPQ is a kite, find NP.
a2
+ b2
= c2
Example 5
If MNPQ is a kite, find NP.
a2
+ b2
= c2
62
+ 82
= c2
Example 5
If MNPQ is a kite, find NP.
a2
+ b2
= c2
62
+ 82
= c2
36 + 64 = c2
Example 5
If MNPQ is a kite, find NP.
a2
+ b2
= c2
62
+ 82
= c2
36 + 64 = c2
100 = c2
Example 5
If MNPQ is a kite, find NP.
a2
+ b2
= c2
62
+ 82
= c2
36 + 64 = c2
100 = c2
100 = c2
Example 5
If MNPQ is a kite, find NP.
a2
+ b2
= c2
62
+ 82
= c2
36 + 64 = c2
100 = c2
100 = c2
c =10

Geometry Section 6-6

  • 1.
  • 2.
    Essential Questions • Howdo you apply properties of trapezoids? • How do you apply properties of kites?
  • 3.
    Vocabulary 1.Trapezoid: 2. Bases: 3. Legsof a Trapezoid: 4. Base Angles: 5. Isosceles Trapezoid:
  • 4.
    Vocabulary 1.Trapezoid: A quadrilateralwith only one pair of parallel sides 2. Bases: 3. Legs of a Trapezoid: 4. Base Angles: 5. Isosceles Trapezoid:
  • 5.
    Vocabulary 1.Trapezoid: A quadrilateralwith only one pair of parallel sides 2. Bases: The parallel sides of a trapezoid 3. Legs of a Trapezoid: 4. Base Angles: 5. Isosceles Trapezoid:
  • 6.
    Vocabulary 1.Trapezoid: A quadrilateralwith only one pair of parallel sides 2. Bases: The parallel sides of a trapezoid 3. Legs of a Trapezoid: The sides that are not parallel in a trapezoid 4. Base Angles: 5. Isosceles Trapezoid:
  • 7.
    Vocabulary 1.Trapezoid: A quadrilateralwith only one pair of parallel sides 2. Bases: The parallel sides of a trapezoid 3. Legs of a Trapezoid: The sides that are not parallel in a trapezoid 4. Base Angles: The angles formed between a base and one of the legs 5. Isosceles Trapezoid:
  • 8.
    Vocabulary 1.Trapezoid: A quadrilateralwith only one pair of parallel sides 2. Bases: The parallel sides of a trapezoid 3. Legs of a Trapezoid: The sides that are not parallel in a trapezoid 4. Base Angles: The angles formed between a base and one of the legs 5. Isosceles Trapezoid: A trapezoid that has congruent legs
  • 9.
    Vocabulary 6. Midsegment ofa Trapezoid: 7. Kite:
  • 10.
    Vocabulary 6. Midsegment ofa Trapezoid: The segment that connects the midpoints of the legs of a trapezoid 7. Kite:
  • 11.
    Vocabulary 6. Midsegment ofa Trapezoid: The segment that connects the midpoints of the legs of a trapezoid 7. Kite: A quadrilateral with exactly two pairs of consecutive congruent sides; Opposite sides are not parallel or congruent
  • 12.
  • 13.
    Theorems Isosceles Trapezoid 6.21: Ifa trapezoid is isosceles, then each pair of base angles is congruent 6.22: 6.23:
  • 14.
    Theorems Isosceles Trapezoid 6.21: Ifa trapezoid is isosceles, then each pair of base angles is congruent 6.22: If a trapezoid has one pair of congruent base angles, then it is isosceles 6.23:
  • 15.
    Theorems Isosceles Trapezoid 6.21: Ifa trapezoid is isosceles, then each pair of base angles is congruent 6.22: If a trapezoid has one pair of congruent base angles, then it is isosceles 6.23: A trapezoid is isosceles IFF its diagonals are congruent
  • 16.
    Theorems 6.24 - TrapezoidMidsegment Theorem: Kites 6.25: 6.26:
  • 17.
    Theorems 6.24 - TrapezoidMidsegment Theorem: The midsegment of a trapezoid is parallel to each base and its measure is half of the sum of the lengths of the two bases Kites 6.25: 6.26:
  • 18.
    Theorems 6.24 - TrapezoidMidsegment Theorem: The midsegment of a trapezoid is parallel to each base and its measure is half of the sum of the lengths of the two bases Kites 6.25: If a quadrilateral is a kite, then its diagonals are perpendicular 6.26:
  • 19.
    Theorems 6.24 - TrapezoidMidsegment Theorem: The midsegment of a trapezoid is parallel to each base and its measure is half of the sum of the lengths of the two bases Kites 6.25: If a quadrilateral is a kite, then its diagonals are perpendicular 6.26: If a quadrilateral is a kite, then exactly one pair of opposite angles is congruent
  • 20.
    Example 1 Each sideof a basket is an isosceles trapezoid. If m∠JML = 130°, KN = 6.7 ft, and LN = 3.6 ft, find each measure. a. m∠MJK
  • 21.
    Example 1 Each sideof a basket is an isosceles trapezoid. If m∠JML = 130°, KN = 6.7 ft, and LN = 3.6 ft, find each measure. a. m∠MJK m∠JML = m∠KLM
  • 22.
    Example 1 Each sideof a basket is an isosceles trapezoid. If m∠JML = 130°, KN = 6.7 ft, and LN = 3.6 ft, find each measure. a. m∠MJK m∠JML = m∠KLM 360 − 2(130)
  • 23.
    Example 1 Each sideof a basket is an isosceles trapezoid. If m∠JML = 130°, KN = 6.7 ft, and LN = 3.6 ft, find each measure. a. m∠MJK m∠JML = m∠KLM 360 − 2(130) = 100
  • 24.
    Example 1 Each sideof a basket is an isosceles trapezoid. If m∠JML = 130°, KN = 6.7 ft, and LN = 3.6 ft, find each measure. a. m∠MJK m∠JML = m∠KLM 360 − 2(130) = 100 100/2
  • 25.
    Example 1 Each sideof a basket is an isosceles trapezoid. If m∠JML = 130°, KN = 6.7 ft, and LN = 3.6 ft, find each measure. a. m∠MJK m∠JML = m∠KLM 360 − 2(130) = 100 100/2 = 50
  • 26.
    Example 1 Each sideof a basket is an isosceles trapezoid. If m∠JML = 130°, KN = 6.7 ft, and LN = 3.6 ft, find each measure. a. m∠MJK m∠JML = m∠KLM 360 − 2(130) = 100 100/2 = 50 m∠MJK = 50°
  • 27.
    Example 1 Each sideof a basket is an isosceles trapezoid. If m∠JML = 130°, KN = 6.7 ft, and LN = 3.6 ft, find each measure. a. m∠MJK m∠JML = m∠KLM 360 − 2(130) = 100 100/2 = 50 m∠MJK = 50° or
  • 28.
    Example 1 Each sideof a basket is an isosceles trapezoid. If m∠JML = 130°, KN = 6.7 ft, and LN = 3.6 ft, find each measure. a. m∠MJK m∠JML = m∠KLM 360 − 2(130) = 100 100/2 = 50 m∠MJK = 50° or ML ! JK
  • 29.
    Example 1 Each sideof a basket is an isosceles trapezoid. If m∠JML = 130°, KN = 6.7 ft, and LN = 3.6 ft, find each measure. a. m∠MJK m∠JML = m∠KLM 360 − 2(130) = 100 100/2 = 50 m∠MJK = 50° or ML ! JK m∠MJK + m∠JML =180
  • 30.
    Example 1 Each sideof a basket is an isosceles trapezoid. If m∠JML = 130°, KN = 6.7 ft, and LN = 3.6 ft, find each measure. a. m∠MJK m∠JML = m∠KLM 360 − 2(130) = 100 100/2 = 50 m∠MJK = 50° or ML ! JK m∠MJK + m∠JML =180 m∠MJK +130 =180
  • 31.
    Example 1 Each sideof a basket is an isosceles trapezoid. If m∠JML = 130°, KN = 6.7 ft, and LN = 3.6 ft, find each measure. a. m∠MJK m∠JML = m∠KLM 360 − 2(130) = 100 100/2 = 50 m∠MJK = 50° or ML ! JK m∠MJK + m∠JML =180 m∠MJK +130 =180 m∠MJK = 50°
  • 32.
    Example 1 Each sideof a basket is an isosceles trapezoid. If m∠JML = 130°, KN = 6.7 ft, and LN = 3.6 ft, find each measure. b. JL
  • 33.
    Example 1 Each sideof a basket is an isosceles trapezoid. If m∠JML = 130°, KN = 6.7 ft, and LN = 3.6 ft, find each measure. b. JL JN = KN
  • 34.
    Example 1 Each sideof a basket is an isosceles trapezoid. If m∠JML = 130°, KN = 6.7 ft, and LN = 3.6 ft, find each measure. b. JL JN = KN JL = JN + LN
  • 35.
    Example 1 Each sideof a basket is an isosceles trapezoid. If m∠JML = 130°, KN = 6.7 ft, and LN = 3.6 ft, find each measure. b. JL JN = KN JL = JN + LN JL = 6.7 + 3.6
  • 36.
    Example 1 Each sideof a basket is an isosceles trapezoid. If m∠JML = 130°, KN = 6.7 ft, and LN = 3.6 ft, find each measure. b. JL JN = KN JL = JN + LN JL = 6.7 + 3.6 JL = 10.3 ft
  • 37.
    Example 2 Quadrilateral ABCDhas vertices A(5, 1), B(−3, −1), C(−2, 3), and D(2, 4). Show that ABCD is a trapezoid and determine whether it is an isosceles trapezoid.
  • 38.
    Example 2 Quadrilateral ABCDhas vertices A(5, 1), B(−3, −1), C(−2, 3), and D(2, 4). Show that ABCD is a trapezoid and determine whether it is an isosceles trapezoid. x y
  • 39.
    Example 2 Quadrilateral ABCDhas vertices A(5, 1), B(−3, −1), C(−2, 3), and D(2, 4). Show that ABCD is a trapezoid and determine whether it is an isosceles trapezoid. x y A
  • 40.
    Example 2 Quadrilateral ABCDhas vertices A(5, 1), B(−3, −1), C(−2, 3), and D(2, 4). Show that ABCD is a trapezoid and determine whether it is an isosceles trapezoid. x y A B
  • 41.
    Example 2 Quadrilateral ABCDhas vertices A(5, 1), B(−3, −1), C(−2, 3), and D(2, 4). Show that ABCD is a trapezoid and determine whether it is an isosceles trapezoid. x y A B C
  • 42.
    Example 2 Quadrilateral ABCDhas vertices A(5, 1), B(−3, −1), C(−2, 3), and D(2, 4). Show that ABCD is a trapezoid and determine whether it is an isosceles trapezoid. x y A B C D
  • 43.
    Example 2 Quadrilateral ABCDhas vertices A(5, 1), B(−3, −1), C(−2, 3), and D(2, 4). Show that ABCD is a trapezoid and determine whether it is an isosceles trapezoid. x y A B C D
  • 44.
    Example 2 Quadrilateral ABCDhas vertices A(5, 1), B(−3, −1), C(−2, 3), and D(2, 4). Show that ABCD is a trapezoid and determine whether it is an isosceles trapezoid. x y A B C D We need AB to be parallel with CD
  • 45.
    Example 2 Quadrilateral ABCDhas vertices A(5, 1), B(−3, −1), C(−2, 3), and D(2, 4). Show that ABCD is a trapezoid and determine whether it is an isosceles trapezoid. x y A B C D We need AB to be parallel with CD CB ≅ ADAlso,
  • 46.
    Example 2 A(5, 1),B(−3, −1), C(−2, 3), and D(2, 4)
  • 47.
    Example 2 A(5, 1),B(−3, −1), C(−2, 3), and D(2, 4) m(AB) = −1−1 −3− 5
  • 48.
    Example 2 A(5, 1),B(−3, −1), C(−2, 3), and D(2, 4) m(AB) = −1−1 −3− 5 = −2 −8
  • 49.
    Example 2 A(5, 1),B(−3, −1), C(−2, 3), and D(2, 4) m(AB) = −1−1 −3− 5 = −2 −8 = 1 4
  • 50.
    Example 2 A(5, 1),B(−3, −1), C(−2, 3), and D(2, 4) m(AB) = −1−1 −3− 5 = −2 −8 = 1 4 m(CD) = 4 − 3 2 − (−2)
  • 51.
    Example 2 A(5, 1),B(−3, −1), C(−2, 3), and D(2, 4) m(AB) = −1−1 −3− 5 = −2 −8 = 1 4 m(CD) = 4 − 3 2 − (−2) = 1 4
  • 52.
    Example 2 A(5, 1),B(−3, −1), C(−2, 3), and D(2, 4) m(AB) = −1−1 −3− 5 = −2 −8 = 1 4 m(CD) = 4 − 3 2 − (−2) = 1 4 AD = (5 − 2)2 + (1− 4)2
  • 53.
    Example 2 A(5, 1),B(−3, −1), C(−2, 3), and D(2, 4) m(AB) = −1−1 −3− 5 = −2 −8 = 1 4 m(CD) = 4 − 3 2 − (−2) = 1 4 AD = (5 − 2)2 + (1− 4)2 = (3)2 + (−3)2
  • 54.
    Example 2 A(5, 1),B(−3, −1), C(−2, 3), and D(2, 4) m(AB) = −1−1 −3− 5 = −2 −8 = 1 4 m(CD) = 4 − 3 2 − (−2) = 1 4 AD = (5 − 2)2 + (1− 4)2 = (3)2 + (−3)2 = 9 + 9
  • 55.
    Example 2 A(5, 1),B(−3, −1), C(−2, 3), and D(2, 4) m(AB) = −1−1 −3− 5 = −2 −8 = 1 4 m(CD) = 4 − 3 2 − (−2) = 1 4 AD = (5 − 2)2 + (1− 4)2 = (3)2 + (−3)2 = 9 + 9 = 18
  • 56.
    Example 2 A(5, 1),B(−3, −1), C(−2, 3), and D(2, 4) m(AB) = −1−1 −3− 5 = −2 −8 = 1 4 m(CD) = 4 − 3 2 − (−2) = 1 4 AD = (5 − 2)2 + (1− 4)2 = (3)2 + (−3)2 = 9 + 9 = 18 BC = (−3+ 2)2 + (−1− 3)2
  • 57.
    Example 2 A(5, 1),B(−3, −1), C(−2, 3), and D(2, 4) m(AB) = −1−1 −3− 5 = −2 −8 = 1 4 m(CD) = 4 − 3 2 − (−2) = 1 4 AD = (5 − 2)2 + (1− 4)2 = (3)2 + (−3)2 = 9 + 9 = 18 BC = (−3+ 2)2 + (−1− 3)2 = (−1)2 + (−4)2
  • 58.
    Example 2 A(5, 1),B(−3, −1), C(−2, 3), and D(2, 4) m(AB) = −1−1 −3− 5 = −2 −8 = 1 4 m(CD) = 4 − 3 2 − (−2) = 1 4 AD = (5 − 2)2 + (1− 4)2 = (3)2 + (−3)2 = 9 + 9 = 18 BC = (−3+ 2)2 + (−1− 3)2 = (−1)2 + (−4)2 = 1+16
  • 59.
    Example 2 A(5, 1),B(−3, −1), C(−2, 3), and D(2, 4) m(AB) = −1−1 −3− 5 = −2 −8 = 1 4 m(CD) = 4 − 3 2 − (−2) = 1 4 AD = (5 − 2)2 + (1− 4)2 = (3)2 + (−3)2 = 9 + 9 = 18 BC = (−3+ 2)2 + (−1− 3)2 = (−1)2 + (−4)2 = 1+16 = 17
  • 60.
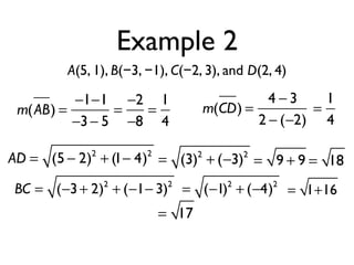
    Example 2 A(5, 1),B(−3, −1), C(−2, 3), and D(2, 4) m(AB) = −1−1 −3− 5 = −2 −8 = 1 4 m(CD) = 4 − 3 2 − (−2) = 1 4 AD = (5 − 2)2 + (1− 4)2 = (3)2 + (−3)2 = 9 + 9 = 18 BC = (−3+ 2)2 + (−1− 3)2 = (−1)2 + (−4)2 = 1+16 = 17 CB ≅ AD
  • 61.
    Example 2 A(5, 1),B(−3, −1), C(−2, 3), and D(2, 4) m(AB) = −1−1 −3− 5 = −2 −8 = 1 4 m(CD) = 4 − 3 2 − (−2) = 1 4 AD = (5 − 2)2 + (1− 4)2 = (3)2 + (−3)2 = 9 + 9 = 18 BC = (−3+ 2)2 + (−1− 3)2 = (−1)2 + (−4)2 = 1+16 = 17 It is a trapezoid, but not isoscelesCB ≅ AD
  • 62.
    Example 3 In thefigure, MN is the midsegment of trapezoid FGJK. What is the value of x?
  • 63.
    Example 3 In thefigure, MN is the midsegment of trapezoid FGJK. What is the value of x? MN = KF + JG 2
  • 64.
    Example 3 In thefigure, MN is the midsegment of trapezoid FGJK. What is the value of x? MN = KF + JG 2 30 = 20 + JG 2
  • 65.
    Example 3 In thefigure, MN is the midsegment of trapezoid FGJK. What is the value of x? MN = KF + JG 2 30 = 20 + JG 2 60 = 20 + JG
  • 66.
    Example 3 In thefigure, MN is the midsegment of trapezoid FGJK. What is the value of x? MN = KF + JG 2 30 = 20 + JG 2 60 = 20 + JG 40 = JG
  • 67.
    Example 4 If WXYZis a kite, find m∠XYZ.
  • 68.
    Example 4 If WXYZis a kite, find m∠XYZ. m∠WXY = m∠WZY
  • 69.
    Example 4 If WXYZis a kite, find m∠XYZ. m∠WXY = m∠WZY m∠XYZ = 360 −121− 73−121
  • 70.
    Example 4 If WXYZis a kite, find m∠XYZ. m∠WXY = m∠WZY m∠XYZ = 360 −121− 73−121 = 45°
  • 71.
    Example 5 If MNPQis a kite, find NP.
  • 72.
    Example 5 If MNPQis a kite, find NP. a2 + b2 = c2
  • 73.
    Example 5 If MNPQis a kite, find NP. a2 + b2 = c2 62 + 82 = c2
  • 74.
    Example 5 If MNPQis a kite, find NP. a2 + b2 = c2 62 + 82 = c2 36 + 64 = c2
  • 75.
    Example 5 If MNPQis a kite, find NP. a2 + b2 = c2 62 + 82 = c2 36 + 64 = c2 100 = c2
  • 76.
    Example 5 If MNPQis a kite, find NP. a2 + b2 = c2 62 + 82 = c2 36 + 64 = c2 100 = c2 100 = c2
  • 77.
    Example 5 If MNPQis a kite, find NP. a2 + b2 = c2 62 + 82 = c2 36 + 64 = c2 100 = c2 100 = c2 c =10