Epoxide Bond Formation and
Cleavage
Presented By
Gurudutt Dubey
M. Tech. (Pharm.) I Semester
Department of Pharmaceutical Technology (Process Chemistry)
National Institute of Pharmaceutical Education and Research, Mohali, Punjab (India)
1
Epoxide Bond Formation
2
KATSUKI-SHARPLESS ASYMMETRIC EPOXIDATION
3
J. Am. Chem. Soc. 1980, 102, 5914
4
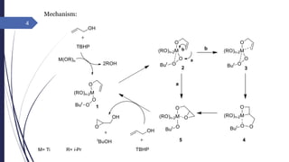
Mechanism:
M= Ti R= i-Pr
5
Clayden, J. Warren, S. Greeves, N. Wothers, P. Organic Chemistry, 2001, 1242
Formation of Active Complex
6
Clayden, J. Warren, S. Greeves, N. Wothers, P. Organic Chemistry, 2001, 1242
Stereoselectivity:
7
J. Am. Chem. Soc. 1962, 84, 867−868
COREY-CHAYKOVSKY REACTION
Mechanism :
8
Preparation of Corey-Chaykovsky Reagent
Dimethyloxosulfonium methylide - known as the Corey Chaykovsky Reagent
9
JACOBSEN-KATSUKI EPOXIDATION
J. Am. Chem. Soc. 1991, 113, 7063-7064
10
PRILEZHAEV REACTION
Org. Lett. 2003, 5, 3787-3790
Mechanism :
Epoxide Bond cleavage
11
12
Clayden, J. Warren, S. Greeves, N. Wothers, P. Organic Chemistry, 2001, 434
Epoxide ring opening by azide
13
Ionic liquids/H2O systems for the reaction of epoxides with NaN3 :
a new protocol for the synthesis of 2-azidoalcohols
Tetrahedron Lett. 2005, 46, 6559-6562
Regioselective Ring Opening of Epoxides Using NaN3
14
Tetrahedron Lett. 2004, 45, 7355–7358
15
Polyepoxide-Opening Cascades Promoted by Water
Science. 2007, 317, 1189
16
Mechanism:
Epoxide Ring Opening Catalyzed by Zinc(II) Perchlorate Hexahydrate
Mechanism:
17
J. Org. Chem. 2007, 72, 10, 3719
Synthesis of (RS)/(R)-Propranolols and (RS)/(R)/(S)-Naftopidils
18
J. Org. Chem. 2007, 72, 10, 3719
19
Asymmetric Catalysis with CO2: Direct Synthesis of Optically Active
Propylene Carbonate from Racemic Epoxides
J. Am. Chem. Soc. 2004, 126, 3733
20
Mechanism:
21

Epoxide bond formation and cleavage