ATOMS ALWAYS UNDERGO CHANGE AND IN
DOING SO, THEY COMBINE WITH EACH
OTHER, AND HOLD TO EACH OTHER USING
AN INVISIBLE FORCE CALLED A CHEMICAL
BOND.
Chemical Bond – invisible force that
hold atoms together in a compound.
Rationale : stability : Octet Rule and
or Rule of 2
KINDS Results FORMS STRENGHT
E’s are transferred from a
Metal to a non metal
With formation
Of ions
Electrostatic
Attraction
Between
Cation & anion
E’s are shared between
Several non metals
Without
Formation of
ions
ionic
covalent
Attraction between
The + charged nucleus
And the - electron
Clouds of the bond &
Attraction involving
The opposite spins of
electrons
Atoms Lewis
symbol
Formation of
Pertinent Bond
Formula
iA Na
VIIA Cl
Transfer of
electrons
Na
1
Cl
NaClNa
Cl
IIA Ca
IIIA N
Transfer of
electrons
Ca
N Ca
+2
N
-3
_______________
+2 -3
LCM= 6
__3________2______
+6 -6
Ca3N2
IA H
VIIA Cl
Sharing of
electrons HCl
H
Cl
Cl
H H
Cl
IA H
IVA C
Sharing of
electrons CH4
H
C
C
H
H
H
H C H
H
H
H
• In bonding, compound formation,
•
• total positive charge = total negative charge
• Total electropositive charge = total electronegative
charge
BOND POLARITY
• Arises whenever atoms share their electrons
unequally that is whenever they have
different electronegativities
Kinds of chemical bonds
Basis of sharing of electrons
• Non polar covalent
bond
– atoms share their
electrons equally;
atoms have equivalent
electronegativities
• Polar covalent bond-
• atoms share their
electrons non equally;
atoms have different
electronegativities
• Rule :Basis of electronegativity difference
(END)
1. If END range is 0 to 0.4 non polar covalent
bond
2. If END range is 0.5 to 1.7 to 1.9 – polar
covalent bond
3. If END range is >0.5 to 1.7 to 1.9 – ionic bond
•
THEORIES OF COVALENT BONDING
1. Valence Bond Theory- Atoms contain orbitals (
with spatial orientations and shapes) that will
overlap maximally to form covalent bonds
2. Hybridization Theory-
Hybridization- way of trying to modify the
orbital model of an atom to explain the
existence of bonds that are equivalent
Mixing of electrons to form hybrid orbitals
Atoms that show multiple covalency numbers
will hybridize
• Covalency Number – number of unpaired
electrons
• -dictates the number of possible bonds to be
formed
LEWIS SYMBOL COVALENCY
NUMBER
NUMBER OF
FORMED
BONDS
HYBRIDIZED ?
H 1
1 NO
LEWIS SYMBOL COVALENCY
NUMBER
NUMBER OF
FORMED
BONDS
HYBRIDIZED ?
Cl
1 1
NO
LEWIS SYMBOL COVALENCY
NUMBER
NUMBER OF
FORMED
BONDS
HYBRIDIZED ?
C
4 4
YES
LEWIS SYMBOL COVALENCY
NUMBER
NUMBER OF
FORMED
BONDS
HYBRIDIZED ?
N
3
3
YES
LEWIS SYMBOL COVALENCY
NUMBER
NUMBER OF
FORMED
BONDS
HYBRIDIZED ?
O
2 2 YES
Hybrids Orbitals
involved
Number
of
hybrids
Number
of pure
orbitals
Name of
hybrid
Angle of
repulsion
among
hybrids
Angle of
repulsion
between
hybrid and
pure
orbitals
Sp3 S p p
p
4 0 tetrahedra
l
1090
Sp2 S p p 3 1, (p
orbital)
Trigonal
planar
1200 900
sp S p 2 2 ( 2 p
orbitals)
digonal 1800 900
• Hybridization Rule :
• Number of hybrid orbitals formed =number
of pure atomic orbitals used
To predict the type of hybrid of an Atom:
• Single bonds – sp3
• Double bonds – sp2
• Triple bonds - sp
• For Carbon:
•
• If C is bonded to 4 other atoms ; sp3
• If C is bonded to 3 other atoms ; sp2
• If C is bonded to 2 other atoms ; sp
• For N:
• If N is bonded to an sp3 C ; sp3 N
• If N is bonded to an sp2 C; sp2 N
• If N is bonded to an sp C; sp N
• For O
• If O is bonded to an sp3 C; sp3 O
• If O is bonded to an sp2 C; sp2 O
CH3 H
CH2 = CH2
CH CH
1
2
3
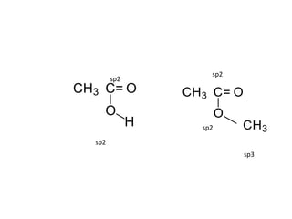
CH3 C= O
O
H
CH3 C= O
O
CH3
sp2
sp2
sp2
sp3
sp2
CH2
H
4
5
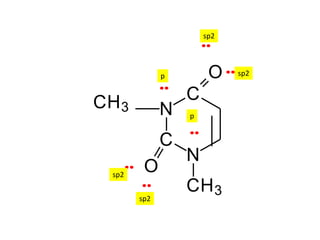
CH3 N
C
N
C
O
O
CH3
CH3 N
C
N
C
O
O
CH3
sp2
sp2
p
p
sp2
sp2
UNIQUE PROPERTIES OF WATER
• Many of the unusual properties of water are a
result of its chemistry
• 1. is a polar molecule, with a positively and
negatively areas. It causes H- bonding. Each
water molecule can form 4 H-bonds.
• 2. is a bent molecule
Properties Environmental Impact
High boiling point
High heat capacity Allows ocean to have a moderating
influence on climate particularly along
coastal areas
Ocean does not experience the wide
temperature fluctuations that are
common on land
High heat of vaporization As water evaporates it carries the heat
with it into the air thus has a cooling
effect. The body is cooled when
perspiration evaporates from the skin
Less dense at temperature below 4oC (ice) Ice floats on denser liquid water . Because
of this water freezes from the top down
rather than from the bottom up so that
aquatic life can survive beneath a frozen
surface
O
H
H
O
H
H
O
H
H
O
H
H
O
H
H
O
H
H
O
H
H
O
H
H
PREDICTINGMOLECULAR GEOMETRY
PREDICTING MOLECULAR GEOMETRY
uses
Lewis Formula Valence Shell
Electron Pair
Repulsion
Steps; (VSEPR)
1. determine the skeleton structure
of the molecule
2. be sure to count that the total
number of dots is equal to the
total number of valence electrons
3. surround each atom with 8 dots;
except H, with 2 dots
Skeleton structure : (Which atom is
bonded to which ?)
ligands Central atom
Atom with lower group number
Atomwith lower electronegativity
Atom with higher period number : when
the atoms have the same group numbers
NF3
Rationale
It needs more e’s to attain octetN F
F
F
N VA F VIIA
EN 3 EN 4
Atom with higher period number :CENTER ATOM
when the atoms have the same group numbers :
SO3
period 3S VI A
O VIA period 2
S O
O
O
Cl F3
For molecules add up the valence
electrons of the atoms.
In the NF3 , N has five e’s and each F has
7 e’s
(Recall that the number of valence
electrons equals the A- group number
For polyatomic ion, add 1 e ‘ for each negative
charge, or substract e’ for each positive charge
VSEPR
E’ pair around
Central atom
Minimum
Repulsion
LONE
PAIR
Directional
property
BOND
PAIR
6
2
3
4
5
linear
Trigonal planar
tetrahedral
Trigonal bipyramid
octhedral
suggests Should
exert
Can be
with without
when
modifies
Repel in a
way to
form
3 electron groups
Trigonal planar
arrangement
Trigonal planar V shape
2 molecular shapes
is
has
when
All 3 bond pairs 1 lone pair
2 bond pairs
4 electron groups
Tetrahedral
arrangement
3 molecular shapes
is
has
Tetrahedral V shape
when
pyramidal
All 4 bond pairs
1 lone pair
3 bond pairs
2 lone pairs
2 bond pairs
5 electron groups
Trigonal
bipyramidal
arrangement
4 molecular shapes
is
has
Trigonal
bipyramidal
linear
when
T- shapeSee- saw
All 5 bond
pairs
1 lone pair
4 bond pairs
2 lone pairs
3 bond pairs
3 lone pairs
2 bond pairs
6 electron groups
Octahedral
arrangement
3 molecular
shapes
is
has
octahedral Square planar
when
Square pyramidal
All 6 bond pairs
1 lone pair
5 bond pairs
2 lone pairs
4 bond pairs
N HH
H
109.5
107
104
Electron pair repulsions cause deviations from ideal bond angle s in the order
Lone pair lone
pair repulsion
Lone pair bond
pair repulsion
Bond pair bond
pair repulsion>>
O
HH
equatorial
equatorial
axialaxial
lying in a plane lying in a plane
Lying above and below of plane Lying above and below of plane
Five and six electron groups In a molecule with this arrangement , there
are 2 types of positions for sorrounding
electron groups , and 2 ideal bond angles
120
90
90
90
LONE PAIRS
OCCUPY
EQUATORIAL
POSITIONS
The greater the
bond angle , the
weaker the
repulsionRationale
Complete the Table
molecule Lewis Structure Molecular shape
Orbital
hybridizatiion
of the central
atom
P Cl
Cl
Cl
Cl
PCl4
+
VA VII A
tetrahedral
sp3
all 4 bond pairs
P Cl
Cl
Cl
Cl
5X1 =5
7X4= 28
------------
33 -1=32 - 8 = 24 -24 =0
molecule Lewis structure Molecular
geometry
Orbital
hybridization
Of the central
atom
NO2
-
VA VIA
N OO
BENT SP2
N OO
5X1 =5
6X2 = 12
---------------
17 +1 = 18 -4 = 14 -12 = 2 -2= 0
molecule Lewis structure Molecular
geometry
Orbital
hybridization
Of the central
atom
NF3
VA VII A
N F
F
F
5 X1 = 5
7 X 3 = 21
--------------
26 - 6 = 20 - 18 = 2
Pyramidal
sp3N F
F
F

Chemical bonds

  • 1.
    ATOMS ALWAYS UNDERGOCHANGE AND IN DOING SO, THEY COMBINE WITH EACH OTHER, AND HOLD TO EACH OTHER USING AN INVISIBLE FORCE CALLED A CHEMICAL BOND.
  • 2.
    Chemical Bond –invisible force that hold atoms together in a compound. Rationale : stability : Octet Rule and or Rule of 2
  • 3.
    KINDS Results FORMSSTRENGHT E’s are transferred from a Metal to a non metal With formation Of ions Electrostatic Attraction Between Cation & anion E’s are shared between Several non metals Without Formation of ions ionic covalent Attraction between The + charged nucleus And the - electron Clouds of the bond & Attraction involving The opposite spins of electrons
  • 4.
    Atoms Lewis symbol Formation of PertinentBond Formula iA Na VIIA Cl Transfer of electrons Na 1 Cl NaClNa Cl
  • 5.
    IIA Ca IIIA N Transferof electrons Ca N Ca +2 N -3 _______________ +2 -3 LCM= 6 __3________2______ +6 -6 Ca3N2
  • 6.
    IA H VIIA Cl Sharingof electrons HCl H Cl Cl H H Cl
  • 7.
    IA H IVA C Sharingof electrons CH4 H C C H H H H C H H H H
  • 8.
    • In bonding,compound formation, • • total positive charge = total negative charge • Total electropositive charge = total electronegative charge
  • 9.
    BOND POLARITY • Ariseswhenever atoms share their electrons unequally that is whenever they have different electronegativities
  • 10.
    Kinds of chemicalbonds Basis of sharing of electrons • Non polar covalent bond – atoms share their electrons equally; atoms have equivalent electronegativities • Polar covalent bond- • atoms share their electrons non equally; atoms have different electronegativities
  • 11.
    • Rule :Basisof electronegativity difference (END) 1. If END range is 0 to 0.4 non polar covalent bond 2. If END range is 0.5 to 1.7 to 1.9 – polar covalent bond 3. If END range is >0.5 to 1.7 to 1.9 – ionic bond •
  • 13.
    THEORIES OF COVALENTBONDING 1. Valence Bond Theory- Atoms contain orbitals ( with spatial orientations and shapes) that will overlap maximally to form covalent bonds 2. Hybridization Theory- Hybridization- way of trying to modify the orbital model of an atom to explain the existence of bonds that are equivalent Mixing of electrons to form hybrid orbitals
  • 23.
    Atoms that showmultiple covalency numbers will hybridize • Covalency Number – number of unpaired electrons • -dictates the number of possible bonds to be formed
  • 24.
    LEWIS SYMBOL COVALENCY NUMBER NUMBEROF FORMED BONDS HYBRIDIZED ? H 1 1 NO
  • 25.
    LEWIS SYMBOL COVALENCY NUMBER NUMBEROF FORMED BONDS HYBRIDIZED ? Cl 1 1 NO
  • 26.
    LEWIS SYMBOL COVALENCY NUMBER NUMBEROF FORMED BONDS HYBRIDIZED ? C 4 4 YES
  • 27.
    LEWIS SYMBOL COVALENCY NUMBER NUMBEROF FORMED BONDS HYBRIDIZED ? N 3 3 YES
  • 28.
    LEWIS SYMBOL COVALENCY NUMBER NUMBEROF FORMED BONDS HYBRIDIZED ? O 2 2 YES
  • 29.
    Hybrids Orbitals involved Number of hybrids Number of pure orbitals Nameof hybrid Angle of repulsion among hybrids Angle of repulsion between hybrid and pure orbitals Sp3 S p p p 4 0 tetrahedra l 1090 Sp2 S p p 3 1, (p orbital) Trigonal planar 1200 900 sp S p 2 2 ( 2 p orbitals) digonal 1800 900
  • 30.
    • Hybridization Rule: • Number of hybrid orbitals formed =number of pure atomic orbitals used
  • 31.
    To predict thetype of hybrid of an Atom: • Single bonds – sp3 • Double bonds – sp2 • Triple bonds - sp
  • 32.
    • For Carbon: • •If C is bonded to 4 other atoms ; sp3 • If C is bonded to 3 other atoms ; sp2 • If C is bonded to 2 other atoms ; sp
  • 33.
    • For N: •If N is bonded to an sp3 C ; sp3 N • If N is bonded to an sp2 C; sp2 N • If N is bonded to an sp C; sp N
  • 34.
    • For O •If O is bonded to an sp3 C; sp3 O • If O is bonded to an sp2 C; sp2 O
  • 35.
    CH3 H CH2 =CH2 CH CH 1 2 3
  • 36.
    CH3 C= O O H CH3C= O O CH3 sp2 sp2 sp2 sp3 sp2
  • 37.
  • 38.
  • 39.
  • 40.
    UNIQUE PROPERTIES OFWATER • Many of the unusual properties of water are a result of its chemistry • 1. is a polar molecule, with a positively and negatively areas. It causes H- bonding. Each water molecule can form 4 H-bonds. • 2. is a bent molecule
  • 41.
    Properties Environmental Impact Highboiling point High heat capacity Allows ocean to have a moderating influence on climate particularly along coastal areas Ocean does not experience the wide temperature fluctuations that are common on land High heat of vaporization As water evaporates it carries the heat with it into the air thus has a cooling effect. The body is cooled when perspiration evaporates from the skin Less dense at temperature below 4oC (ice) Ice floats on denser liquid water . Because of this water freezes from the top down rather than from the bottom up so that aquatic life can survive beneath a frozen surface
  • 42.
  • 43.
  • 44.
    PREDICTING MOLECULAR GEOMETRY uses LewisFormula Valence Shell Electron Pair Repulsion Steps; (VSEPR) 1. determine the skeleton structure of the molecule 2. be sure to count that the total number of dots is equal to the total number of valence electrons 3. surround each atom with 8 dots; except H, with 2 dots
  • 45.
    Skeleton structure :(Which atom is bonded to which ?) ligands Central atom Atom with lower group number Atomwith lower electronegativity Atom with higher period number : when the atoms have the same group numbers NF3 Rationale It needs more e’s to attain octetN F F F N VA F VIIA EN 3 EN 4
  • 46.
    Atom with higherperiod number :CENTER ATOM when the atoms have the same group numbers : SO3 period 3S VI A O VIA period 2 S O O O Cl F3
  • 47.
    For molecules addup the valence electrons of the atoms. In the NF3 , N has five e’s and each F has 7 e’s (Recall that the number of valence electrons equals the A- group number For polyatomic ion, add 1 e ‘ for each negative charge, or substract e’ for each positive charge
  • 53.
    VSEPR E’ pair around Centralatom Minimum Repulsion LONE PAIR Directional property BOND PAIR 6 2 3 4 5 linear Trigonal planar tetrahedral Trigonal bipyramid octhedral suggests Should exert Can be with without when modifies Repel in a way to form
  • 55.
    3 electron groups Trigonalplanar arrangement Trigonal planar V shape 2 molecular shapes is has when All 3 bond pairs 1 lone pair 2 bond pairs
  • 56.
    4 electron groups Tetrahedral arrangement 3molecular shapes is has Tetrahedral V shape when pyramidal All 4 bond pairs 1 lone pair 3 bond pairs 2 lone pairs 2 bond pairs
  • 57.
    5 electron groups Trigonal bipyramidal arrangement 4molecular shapes is has Trigonal bipyramidal linear when T- shapeSee- saw All 5 bond pairs 1 lone pair 4 bond pairs 2 lone pairs 3 bond pairs 3 lone pairs 2 bond pairs
  • 58.
    6 electron groups Octahedral arrangement 3molecular shapes is has octahedral Square planar when Square pyramidal All 6 bond pairs 1 lone pair 5 bond pairs 2 lone pairs 4 bond pairs
  • 59.
    N HH H 109.5 107 104 Electron pairrepulsions cause deviations from ideal bond angle s in the order Lone pair lone pair repulsion Lone pair bond pair repulsion Bond pair bond pair repulsion>> O HH
  • 60.
    equatorial equatorial axialaxial lying in aplane lying in a plane Lying above and below of plane Lying above and below of plane Five and six electron groups In a molecule with this arrangement , there are 2 types of positions for sorrounding electron groups , and 2 ideal bond angles 120 90 90 90 LONE PAIRS OCCUPY EQUATORIAL POSITIONS The greater the bond angle , the weaker the repulsionRationale
  • 61.
    Complete the Table moleculeLewis Structure Molecular shape Orbital hybridizatiion of the central atom P Cl Cl Cl Cl PCl4 + VA VII A tetrahedral sp3 all 4 bond pairs P Cl Cl Cl Cl 5X1 =5 7X4= 28 ------------ 33 -1=32 - 8 = 24 -24 =0
  • 62.
    molecule Lewis structureMolecular geometry Orbital hybridization Of the central atom NO2 - VA VIA N OO BENT SP2 N OO 5X1 =5 6X2 = 12 --------------- 17 +1 = 18 -4 = 14 -12 = 2 -2= 0
  • 63.
    molecule Lewis structureMolecular geometry Orbital hybridization Of the central atom NF3 VA VII A N F F F 5 X1 = 5 7 X 3 = 21 -------------- 26 - 6 = 20 - 18 = 2 Pyramidal sp3N F F F