Chapter 6
Problem Solutions

6.1
a.
        I CQ         2
gm =           =         ⇒ g m = 76.9 mA/V
        VT         0.026
        β VT       (180 )( 0.026 )
 rπ =          =                     ⇒ rπ = 2.34 kΩ
        I CQ             2
        VA 150
 r0 =        =   ⇒ r0 = 75 kΩ
        I CQ   2
b.
       0.5
gm =         ⇒ g m = 19.2 mA/V
      0.026
      (180 )( 0.026 )
 rπ =                 ⇒ rπ = 9.36 kΩ
           0.5
      150
 r0 =     ⇒ r0 = 300 kΩ
      0.5

6.2
(a)
        I CQ        0.8
gm =           =         = 30.8 mA/V
        VT         0.026
        β VT       (120 )( 0.026 )
 rπ =          =                     = 3.9 K
        I CQ            0.8
        VA 120
 ro =       =    = 150 K
        I CQ 0.8
(b)
       0.08
gm =         = 3.08 mA/V
      0.026
      (120 )( 0.026 )
 rπ =                 = 39 K
           0.08
      120
 ro =       = 1500 K
      0.08

6.3
        I CQ                 I CQ
gm =           ⇒ 200 =              ⇒ I CQ = 5.2 mA
        VT                0.026
        β VT       (125)( 0.026 )
 rπ =          =                     ⇒ rπ = 0.625 kΩ
        I CQ            5.2
        VA 200
 r0 =       =    ⇒ r0 = 38.5 kΩ
        I CQ 5.2

6.4
I CQ                 I CQ
gm =            ⇒ 80 =                 ⇒ I CQ = 2.08 mA
         VT                  0.026
         β VT                   β ( 0.026 )
 rπ =            ⇒ 1.20 =                      ⇒ β = 96
         I CQ                        2.08

6.5
(a)
       2 − 0.7
I BQ =          = 0.0052 mA
         250
I C = (120 )( 0.0052 ) = 0.624 mA
      0.624
gm =         ⇒ g m = 24 mA / V
      0.026
     (120 )( 0.026 )
rπ =                 ⇒ rπ = 5 k Ω
         0.624
ro = ∞
                              ⎛ r       ⎞           ⎛ 5 ⎞
(b)             Av = − g m RC ⎜ π ⎟ = − ( 24 )( 4 ) ⎜         ⎟ ⇒ Av = −1.88
                              ⎝ rπ + RB ⎠           ⎝ 5 + 250 ⎠
                     v        v
(c)             vS = O = O ⇒ vS = −0.426sin100t V
                     Av −1.88

6.6
         I CQ
gm =            , 1.08 ≤ I CQ ≤ 1.32 mA
         VT
 1.08           1.32
        ≤ gm ≤        ⇒ 41.5 ≤ g m ≤ 50.8 mA/V
0.026          0.026
     β VT                 (120 )( 0.026 )
rπ =       ; rπ ( max ) =                 = 2.89 kΩ
      I CQ                    1.08
                                     (80 )( 0.026 )
                     rπ ( min ) =                      = 1.58 kΩ
                                            1.32
1.58 ≤ rπ ≤ 2.89 kΩ

6.7
a.
                 β VT        (120 )( 0.026 )
rπ = 5.4 =               =                         ⇒ I CQ = 0.578 mA
                  I CQ               I CQ
       1        1
VCEQ = VCC = ( 5 ) = 2.5 V
       2         2
VCEQ = VCC − I CQ RC ⇒ 2.5 = 5.0 − ( 0.578 ) RC ⇒ RC = 4.33 kΩ
         I CQ 0.578
I BQ =           =    = 0.00482 mA
        β      120
VBB = I BQ RB + VBE ( on )
= ( 0.00482 )( 25 ) + 0.70 ⇒ VBB = 0.820 V
b.
β VT        (120 )( 0.026 )
 rπ =            =                     = 5.40 kΩ
         I CQ            0.578
         I CQ        0.578
gm =            =          = 22.2 mA/V
         VT          0.026
         VA    100
 r0 =        =      = 173 kΩ
         I CQ 0.578
                               ⎛ r         ⎞
V0 = − g m ( r0 RC ) Vπ , Vπ = ⎜ π ⎟ VS
                               ⎝ rπ + RB ⎠
           ⎛ r        ⎞              β ( r0 RC )
Av = − g m ⎜ π ⎟ ( r0 RC ) = −
           ⎝ rπ + RB ⎠                rπ + RB
           (120 ) ⎡173
                  ⎣         4.33⎤
                                ⎦        (120 )( 4.22 )
 Av = −                             =−                    ⇒ Av = −16.7
                    5.40 + 25                30.4

6.8
a.
       1
VECQ = VCC = 5 V
       2
VECQ = 10 − I CQ RC ⇒ 5 = 10 − ( 0.5 ) RC ⇒ RC = 10 kΩ
         I CQ   0.5
I BQ =           =   = 0.005
          β     100
VEB ( on ) + I BQ RB = VBB = ( 0.70 ) + ( 0.005 )( 50 ) ⇒ VBB = 0.95 V
b.
         I CQ         0.5
gm =            =          ⇒ g m = 19.2 mA/V
         VT          0.026
         β VT        (100 )( 0.026 )
 rπ =            =                     ⇒ rπ = 5.2 kΩ
         I CQ             0.5
         VA    ∞
 r0 =        =    ⇒ r0 = ∞
         I CQ 0.5

c.              Av = −
                           β RC
                                 =−
                                    (100 )(10 ) ⇒ A = −18.1
                                                   v
                         rπ + RB     5.2 + 50

6.9
        10 − 4
I CQ =          = 1.5 mA
           4
         1.5
I BQ =        = 0.015 mA
        100
      (100 )( 0.026 )
rπ =                    = 1.73 K
             1.5
     v       5sin ω t ( mV )
ib = be =                    = 2.89sin ω t ( μ A )
      rπ        1.73 kΩ
So
iB ( t ) = I BQ + iEb = 15 + 2.89sin ω t ( μ A )
 iC1 ( t ) = β iB ⇒ iC1 ( t ) = 1.5 + 0.289sin ω t ( mA )
 vC ( t ) = 10 − iC1 ( t ) RC = 10 − [1.5 + 0.289sin ω t ] (γ )
vC1 ( t ) = 4 − 1.156sin ω t ( v )
               vC ( t )        −1.156
     Av =                  =          ⇒ Av = −231
               vbe ( t )       0.005

6.10
vo = 1.2sin ω t ( V )
                                             −1.2sin ω t
iC ( t ) RC + vo = 0 ⇒ iC ( t ) =
                                                 2
iC ( t ) = −0.60sin ω t ( mA )
             iC ( t )
ib ( t ) =              = −6sin ω t ( μ A )
               β
vbe ( t ) = ib ( t ) ⋅ rπ       g m rπ = β
       100
rπ =         =2K
        50
vbe ( t ) = −12sin ω t ( mV )

6.11
a.
I CQ ≈ I EQ
VCEQ = 5 = 10 − I CQ ( RC + RE )
     = 10 − I CQ (1.2 + 0.2)
I CQ = 3.57 mA
        3.57
I BQ =        = 0.0238 mA
         150
R1     R2 = RTH = ( 0.1)(1 + β ) RE
             = ( 0.1)(151)( 0.2 ) = 3.02 kΩ
          1
VTH =        ⋅ RTH ⋅ (10) − 5
          R1
VTH = I BQ RTH + VBE ( on ) + (1 + β ) I BQ RE − 5
 1
   (3.02)(10) − 5 = ( 0.0238)(3.02) + 0.7 + (151)( 0.0238)( 0.2) − 5
R1
1
   ( 30.2 ) = 1.50 ⇒ R1 = 20.1 k Ω
R1
  20.1R2
            = 3.02 ⇒ R2 = 3.55 kΩ
 20.1 + R2
b.
       (150 )( 0.026 )
 rp =                  = 1.09 kΩ
            3.57
        3.57
gm =          = 137 mA/V
       0.026
V0
                                ϩ
                                V␲          r␲              gmV␲
                                Ϫ
         ϩ
VS                    R1͉͉R2                                       RC
         Ϫ

                                                 RE




             2 β RC             (150 )(1.2 )
Av =                      =2                     ⇒ Av = 2 5.75
         rp + (1 + β ) RE    1.09 + (151)( 0.2 )

6.12
a.
      ⎛ R2 ⎞            ⎛ 50 ⎞
VTH = ⎜         ⎟ VCC = ⎜         ⎟ (12 ) = 10 V
      ⎝ R1 + R2 ⎠       ⎝ 50 + 10 ⎠
RTH = R1 R2 = 50 10 = 8.33 kΩ
              12 − 0.7 − 10
I BQ =                       = 0.0119 mA
             8.33 + (101)(1)
I CQ = 1.19 mA, I EQ = 1.20 mA
VECQ = 12 − (1.20 )(1) − (1.19 )( 2 )
VECQ = 8.42 V
 iC


     4




1.19



                                     8.42        12   ␯EC
b.
                                                                        V0
                                Ϫ
                                V␲          r␲              gmV␲
                                ϩ
         ϩ
VS                     R1͉͉R2                                      RC
         Ϫ

                                                 RE
(100 )( 0.026 )
 rp =                     = 2.18 kΩ
          1.19
V0 = g mVp RC
             ⎛V            ⎞
VS = 2 Vp − ⎜ p + g mVp ⎟ RE
             ⎝ rp          ⎠
          ⎡ rπ + (1 + β ) RE ⎤
   = −Vp ⎢                   ⎥
          ⎣        rp        ⎦
         2 β RC             2 (100 )( 2 )
Av =                   =                  ⇒ Av = 2 1.94
     rp + (1 + β ) RE 2.18 + (101)(1)
c.           Approximation: Assume rp does not vary significantly.
RC = 2 kΩ ± 5% = 2.1 kΩ or 1.9 kΩ
RE = 1 kΩ ± 5% = 1.05 kΩ or 0.95 kΩ
For RC ( max ) = 2.1 kΩ and RE ( min )
             − (100 )( 2.1)
Av =                           = −2.14
        2.18 + (101)( 0.95 )
For RC ( min ) = 1.9 kΩ and RE ( max ) = 1.05 kΩ
             − (100 )(1.9 )
Av =                           = −1.76
        2.18 + (101)(1.05 )
So 1.76 ≤ Av ≤ 2.14

6.13
(a)
VCC = ⎜ 1+ β ⎟ I CQ RE + VECQ + I CQ RC
         ⎛       ⎞
      ⎜      ⎟
             β
         ⎝       ⎠
     ⎛ 101 ⎞
12 = ⎜      ⎟ I CQ (1) + 6 + I CQ ( 2 )
     ⎝ 100 ⎠
so that I CQ = 1.99 mA
        1.99
I BQ =         = 0.0199 mA
         100
RTH    = ( 0.1)(1 + β ) RE = ( 0.1)(101)(1) = 10.1 k Ω
      ⎛ R2 ⎞               1                  1
VTH = ⎜           ⎟ V = ⋅ R ⋅ V = (10.1)(12 )
      ⎝ R1 + R2 ⎠ CC R1 TH CC R1
VCC = (1 + β ) I BQ RE + VEB ( on ) + I BQ RTH + VTH
                                                     121.2
12 = (101)( 0.0199)(1) + 0.7 + ( 0.0199)(10.1) +
                                                      R1
which yields R1 = 13.3 k Ω and R2 = 41.6 k Ω
                         2 β RC         2 (100 )( 2 )
(b)           Av =                   =                ⇒ Av = 2 1.95
                     rp + (1 + β ) RE 1.31 + (101)(1)

6.14
I CQ = 0.25 mA, I EQ = 0.2525 mA
I BQ = 0.0025 mA
I BQ RB + VBE ( on ) + I EQ ( RS + RE ) − 5 = 0
( 0.0025)( 50 ) + 0.7 + ( 0.2525)( 0.1 + RE ) = 5
RE = 16.4 kΩ
VE = − ( 0.0025 )( 50 ) − 0.7 = −0.825 V
VC = VCEQ + VE = 3 − 0.825 = 2.175 V
     5 − 2.175
RC =             ⇒ RC = 11.3 kΩ
        0.25
         − β RC
Av =
     rπ + (1 + β ) RS
       (100 )( 0.026 )
rπ =                = 10.4 kΩ
          0.25
       − (100 )(11.3)
Av =                    ⇒ Av = −55.1
     10.4 + (101)( 0.1)
Ri = RB ⎡ rπ + (1 + β ) RS ⎤
        ⎣                  ⎦
      = 50 ⎡10.4 + (101)( 0.1) ⎤
           ⎣                   ⎦
Ri = 50 20.5 ⇒ Ri = 14.5 kΩ

6.15
(a)
VCC > I CQ ( RC + RE ) + VCEQ
9 = I CQ ( 2.2 + 2 ) + 3.75 So that
I CQ = 1.25 mA
Assume circuit is to be designed to be bias stable.
RTH = R1 R2 = ( 0.1)(1 + β ) RE = ( 0.1)(121)( 2 ) = 24.2 Ω
        1.25
 I BQ =      = 0.01042 mA
        120
         1
VTH = ⋅ RTH ⋅ VCC = I BQ RTH + VBE ( on ) + I BQ (121)( RE )
        R1
1
   ( 24.2 )( 9 ) = ( 0.01042 )( 24.2 ) + 0.7 + ( 0.01042 )(121)( 2 )
R1
                 = 0.2522 + 0.7 + 2.5216
                 = 3.474
                   62.7 R2
R1 = 62.7 K                 = 24.2
                  62.7 + R2
R2 = 39.4 K
(b)
1.25
gm =         = 48.08 mA / V
      0.026
      (120 )( 0.026 )
 rp =                 = 2.50 k Ω
           1.25
      100
 ro =      = 80 k Ω
      1.25
                                                     Vo
                  ϩ
IS               V␲     r␲             ro    RC     RL

            R1͉͉R2Ϫ            gmV␲



Vo = 2 g mVp ( ro RC RL )
Vp = I S ( R1 R2 rp )
Then
       Vo
Rm =      = 2 g m ( R1 R2 rp )( ro RC RL )
       Is
Rm = 2 48.08 ( 24.2 2.5 )( 80 2.2 1) = 2 48.08 ( 2.266 )( 0.6816 )
or
       Vo
Rm =      = −74.3 k Ω = −74.3 V / mA
       Is

6.16
a.
                         0.80
I EQ = 0.80 mA, I BQ =        = 0.0121 mA
                          66
I CQ = 0.788 mA
                      0.3
 VB = I BQ RB ⇒ RB =       ⇒ RB = 24.8 kΩ
                    0.0121
     V − ( −5 ) 5 − 3
 RC = C        =        ⇒ RC = 2.54 kΩ
        I CQ     0.788
b.
       0.788
gm =           = 30.3 mA / V
       0.026
       ( 65)( 0.026)
 rπ =                 = 2.14 kΩ
           0.788
          75
  r0 =         = 95.2 kΩ
       0.788
     ⎛ RC r0 ⎞
i0 = ⎜                g V , V = − vS
     ⎜R r +R ⎟ m π π⎟
     ⎝ C 0        L ⎠


       i0        ⎛ RC r0       ⎞
Gf =      = − gm ⎜             ⎟
       vS        ⎜R r +R       ⎟
                 ⎝ C 0   L     ⎠
                ⎛ 2.54 95.2 ⎞
    = − ( 30.3) ⎜
                ⎜ 2.54 95.2 + 4 ⎟
                                ⎟
                ⎝               ⎠
G f = −11.6 mA/V
6.17
(a)
 I CQ = 0.8 mA ⇒ I BQ = 0.00667 mA
 I BQ RS + 0.7 + (121) I BQ RE − 15 = 0
( 0.01667 )( 2.5) + 0.7 + (121)( 0.00667 ) RE = 15
RE = 17.7 K
VE = − ( 0.00667 )( 2.5 ) − 0.7 = −0.717 V
VC = −0.717 + 7 = 6.283 V
      15 − 6.283
RC =              = 10.9 K
           0.8
        0.8                           (120 )( 0.026 )
gm =          = 30.77 mA/V rπ =                       = 3.9 K
      0.026                                 0.8
                                      ⎛ r       ⎞
vo = − g m ( RC RL ) ⋅ vπ        vπ = ⎜ π ⎟ vS
                                      ⎝ rπ + RS ⎠
       − β ( RC RL )         − (120 ) (10.9 5 )
Av =                     =
          rπ + RS                3.9 + 2.5
 Av = −64.3
(b) For RS = 0
0.7 + (121)( 0.00667 ) RE = 15
RE = 17.7 K
VE = −0.7 ⇒ VC = −0.7 + 7 = 6.3
     15 − 6.3
RC =          ⇒ RC = 10.9 K
        0.8
     − β ( RC RL )
Av =               = −30.77 (10.9 5 )
           rπ
Av = −105

6.18
(a)
15 = ( 81) I BQ (10 ) + 0.7 + I BQ ( 2.5 )
           15 − 0.7
 I BQ =                   = 0.0176 mA
        2.5 + ( 81)(10 )
I CQ = 1.408 mA
      1.408                   (80 )( 0.026 )
gm =        = 54.15 mA/V rπ =
      0.026                      1.408
rπ = 1.48 K
                 RS
                                                                          V0
                    IS
                               ϩ
VS   ϩ                        V␲     r␲                  RC     Io   RL
     Ϫ                                            gmV␲
                               Ϫ
− β ( RC RL )       − ( 80 ) ( 5 5 )
Vo = − g mVσ ( RC RL ) ⇒ Av =                       =                      ⇒ Av = −50.3
                                       rπ + RS           1.48 + 2.5
                        ⎛ RC ⎞
                − g mVπ ⎜         ⎟
     i
AI = o =                ⎝ RC + RL ⎠ = − β ⎛ RC ⎞
                      V                   ⎜         ⎟
     iS                 π                 ⎝ RC + RL ⎠
                           r
                           π
       AI = −40
vo ( t ) = ( −50.3)( 4sin ω t )
vo ( t ) = −0.201sin ω t ( V )
     4 sin ω t ( mV )
is =                  = 1.005sin ω t ( μA )
       2.5 + 1.48
io = −40.2 sin ω t ( μA )
(b)
         15 − 0.7
I EQ =            = 1.43 mA
            10
         ⎛ 80 ⎞
I CQ   = ⎜ ⎟ (1.43) = 1.412 mA
         ⎝ 81 ⎠
         1.412                  (80 )( 0.026 )
gm =           = 54.3 mA/V rπ =                = 1.47 K
         0.026                     1.412
Av = − g m ( RC RL ) = − ( 54.3) ( 5 5 ) ⇒ Av = −136
             ⎛ RC ⎞              ⎛ 5 ⎞
AI = − β ⎜             ⎟ = −80 ⎜         ⎟ ⇒ AI = −40
             ⎝ RC + RL ⎠         ⎝5+5⎠
vo ( t ) = ( −136 )( 4sin ω t ) ⇒ vo ( t ) = −544sin ω t ⇒ vo ( t ) = −0.544sin ω t ( V )
             4sin ω t ( mV )
is ( t ) =                 = 2.72sin ω t ( μA )
               1.47 k
io ( t ) = ( −40 )( 2.72sin ω t )
io ( t ) = −109sin ω t ( μA )

6.19
RTH = R1 R2 = 27 15 = 9.64 K
      ⎛ R2 ⎞            ⎛ 15 ⎞
VTH = ⎜         ⎟ VCC = ⎜         ⎟ ( 9 ) = 3.214 V
      ⎝ R1 + R2 ⎠       ⎝ 15 + 27 ⎠
       V − VBE ( on )         3.214 − 0.7         2.514
I BQ = TH               =                       =
      RTH + (1 + β ) RE 9.64 + (101)(1.2 ) 130.84
I BQ = 0.0192 mA I CQ = 1.9214 mA
         1.92                   (100 )( 0.026 )
gm =           = 73.9 mA/V rπ =                 = 1.35 K
         0.026                      1.92
RS
                                                                                      V0
                  IS
                                          ϩ
VS     ϩ                  RTH            V␲    r␲                 r0   RC   I0   RL
       Ϫ                                                   gmV␲
                                          Ϫ




       100
ro =        = 52.1 K
       1.92
                                  ⎛ r R             ⎞
              (
Vo = − g mVπ r0 RC RL      ) Vπ = ⎜ π TH
                                  ⎜r R +R           ⎟ VS
                                                    ⎟
                                  ⎝ π TH S          ⎠
rπ RTH     = 1.35 9.64 = 1.184 K
     ⎛ 1.184 ⎞
Vπ = ⎜            ⎟ VS
     ⎝ 1.184 + 10 ⎠
= 0.1059VS
                           (
Av = − ( 73.9 ) ( 0.1059 ) 52.1 2.2 2    )
     = − ( 73.9 ) ( 0.1059 ) ( 52.1 1.0476 )
   = − ( 73.9 ) ( 0.1059 ) (1.027 )
Av = −8.04
                 ⎛ ro RC            ⎞
         − g mVπ ⎜
                 ⎜r R +R            ⎟
                                    ⎟
     I           ⎝ o C   L          ⎠
AI = o =
    IS             Vπ
                 RTH rπ
                      ⎛ ro RC ⎞
AI = − g m ( RTH rπ ) ⎜
                      ⎜r R +R ⎟ ⎟
                      ⎝ o C   L ⎠

ro RC = 52.1 2.2 = 2.11 K
RTH rπ = 9.64 1.35 = 1.184 K
                         ⎛ 2.11 ⎞
AI = − ( 73.9 ) (1.184 ) ⎜          ⎟
                         ⎝ 2.11 + 2 ⎠
AI = −44.9
Ri = RTH rπ = 9.64 1.35
Ri = 1.184 K

6.20
a.
                       0.35
I E = 0.35 mA, I B =        = 0.00347 mA
                       101
VB = 2 I B RB = 2 ( 0.00347 )(10 ) ⇒ VB = 2 0.0347 V
VE = VB − VBE ( on ) ⇒ VE = 2 0.735 V
b.
VC = VCEQ + VE = 3.5 − 0.735 = 2.77 V
       ⎛ b ⎞          ⎛ 100 ⎞
  IC = ⎜      ⎟ IE = ⎜      ⎟ ( 0.35 ) = 0.347 mA
       ⎝ 1+ b ⎠       ⎝ 101 ⎠
       V 1 − VC 5 − 2.77
 RC =            =            ⇒ RC = 6.43 kΩ
          IC        0.347
(c)
            ⎛ RB rp ⎞
            ⎜ R r + R ⎟( C o )
 Av = 2 g m ⎜                 R r
                           ⎟
            ⎝ B π        S ⎠

       0.347                            100
 gm =           = 13.3 mA/V , ro =           = 288 k Ω
       0.026                           0.347
      (100 )( 0.026 )
 rp =                  = 7.49 k Ω
           0.347
 RB rp = 10 7.49 = 4.28 k Ω
               ⎛ 4.28 ⎞
 Av = 2 (13.3) ⎜            ⎟ ( 6.43 288 ) ⇒ Av = 2 81.7
               ⎝ 4.28 + 0.1 ⎠
d.
            ⎛ RB rp ⎞
            ⎜ R r + R ⎟( C 0 )
 Av = 2 g m ⎜                R r
                          ⎟
            ⎝ B p       S ⎠

RB rp = 10 7.49 = 4.28 kΩ
              ⎛ 4.28 ⎞
Av = 2 (13.3) ⎜            ⎟ ( 6.43 288 ) ⇒ Av = 2 74.9
              ⎝ 4.28 + 0.5 ⎠

6.21
a.
RTH = R1 R2 = 6 1.5 = 1.2 kΩ
      ⎛ R2 ⎞ + ⎛ 1.5 ⎞
VTH = ⎜         ⎟V = ⎜           ⎟ ( 5 ) = 1.0 V
      ⎝ R1 + R2 ⎠      ⎝ 1.5 + 6 ⎠
        V − VBE ( on )         1.0 − 0.7
I BQ = TH                =                      = 0.0155 mA
      RTH + (1 + β ) RE 1.2 + (181)( 0.1)
I CQ = 2.80 mA, I EQ = 2.81
VCEQ = V + − I CQ RC − I EQ RE
        = 5 − ( 2.8 )(1) − ( 2.81)( 0.1) ⇒ VCEQ = 1.92 V
b.
        (180 )( 0.026 )
 rp =                ⇒ rp = 1.67 kΩ
            2.80
        2.80
 gm =         ⇒ g m = 108 mA/V, r0 =`
       0.026
(c)
            ⎛    R1 R2 rp    ⎞
 Av = 2 g m ⎜                ⎟ ( RC RL )
            ⎝ R1 R2 rp + RS ⎠
 R1 R2 rp = 6 1.5 1.67 = 0.698 k V
              ⎛ 0.698 ⎞
Av = 2 (108 ) ⎜             ⎟ (1 1.2 ) ⇒ Av = 2 45.8
              ⎝ 0.698 + 0.2 ⎠
6.22
a.
9 = I EQ RE + VEB ( on ) + I BQ RS
                           0.75
I EQ = 0.75 mA, I BQ =           = 0.00926 mA
                            81
I CQ = 0.741 mA
9 = ( 0.75 ) RE + 0.7 + ( 0.00926 )( 2 ) ⇒ RE = 11.0 kΩ
b.
VE = 9 − ( 0.75 )(11) = 0.75 V
VC = VE − VECQ = 0.75 − 7 = −6.25 V
           VC − ( −9 )        9 − 6.25
RC =                     =             ⇒ RC = 3.71 kΩ
                I CQ           0.741
c.
           ⎛ rp ⎞
Av = 2 g m ⎜          ⎟ ( RC || RL || r0 )
           ⎝ rp + RS ⎠
     (80 )( 0.026 )
rp =                 = 2.81 kΩ
         0.741
       80
r0 =         = 108 kV
     0.741
       2 80
Av =            ( 3.71||10 ||108 )
     2.81 + 2
Av = 2 43.9
d.
Ri = RS + rp = 2 + 2.81 ⇒ Ri = 4.81 kΩ

6.23
               4 − 0.7
I BQ =                     = 0.00647
            5 + (101)( 5 )
I CQ = 0.647 mA
a.              80 ≤ h fe ≤ 120, 10 ≤ h0e ≤ 20 mS
2.45 kΩ ≤ hie ≤ 3.7 kΩ
     low gain               high gain
                       RS
                                                                         V0
                       IS
                                        ϩ
VS      ϩ                           V␲      r␲            RC   Io   RL
        Ϫ                                         gmV␲
                                        Ϫ
⎛ 1         ⎞
V0 = 2 h fe I b ⎜     RC RL ⎟
                ⎝ hoe       ⎠
        RB
                   V
                  ?S
     R + RS
Ib = B
       RTH + hie
RTH = RB RS = 5 1 = 0.833 kΩ
High-gain
     ⎛ 5 ⎞
     ⎜      ⎟ VS
       5 +1⎠
Ib = ⎝             = 0.1838VS
     0.833 + 3.7
Low-gain
      ⎛ 5 ⎞
      ⎜      ⎟ VS
Ib =  ⎝ 5 +1⎠        = 0.2538VS
     0.833 + 2.45
                   1                  1
For hoe = 10 ⇒        || Rc || RL =       || 4 || 4
                  hoe               0.010
            = 100 || 2 = 1.96 kΩ
                         1
For hoe = 20 ⇒                || 4 || 4 = 50 || 2 = 1.92 kΩ
                       0.020
 Av   max
            = (120 )( 0.1838 )(1.96 ) = 43.2
 Av   min
            = ( 80 )( 0.2538 )(1.92 ) = 39.0
39.0 ≤ Av ≤ 43.2
b.
Ri = RB hie = 5 3.7 = 2.13 kV or Ri = 5 2.45 = 1.64 kΩ
1.64 ≤ Ri ≤ 2.13 kΩ
           1         1
R0 =          RC =       4 = 100 || 4 = 3.85 kΩ
          hoe      0.010
          1
or R0 =       || 4 = 50 || 4 = 3.70 kΩ
        0.020
3.70 ≤ R0 ≤ 3.85 kΩ

6.24
                             VCC ϭ 10 V




                                           RC
                              R1
                                             ␯o
            RS ϭ 1 k⍀

                        CC

␯s    ϩ                       R2
      Ϫ
                                    RE             CE
Assume an npn transistor with b = 100 and VA = ∞. Let VCC = 10 V .
       0.5
 Av =        = 50
       0.01
Bias at I CQ = 1 mA and let RE = 1 k Ω
For a bias stable circuit
RTH = ( 0.1)(1 + b ) RE = ( 0.1)(101)(1) = 10.1 k Ω
         1               1                   101
VTH = ⋅ RTH ⋅ VCC = (10.1)(10 ) =
        R1              R1                    R1
         1
I BQ =      = 0.01 mA
       100
VTH = I BQ RTH + VBE ( on ) + (1 + b ) I BQ RE
101
     = ( 0.01)(10.1) + 0.7 + (101)( 0.01)(1)
 R1
which yields R1 = 55.8 k Ω and R2 = 12.3 k Ω
Now
        (100 )( 0.026 )
 rp =                     = 2.6 k Ω
              1
        1
gm =         = 38.46 mA/V
     0.026
Vo = − g mVp RC
            ⎛ R1} R2 } rp ⎞             ⎛ 10.1} 2.6 ⎞
where Vp = ⎜                   ⎟ ⋅ Vs = ⎜               ⎟ .Vs
            ⎝ R1} R2 } rp + RS ⎠        ⎝ 10.1} 2.6 + 1 ⎠
or Vp = 0.674 Vs
           V
Then Av = o = − ( 0.674 ) g m RC = − ( 0.674 )( 38.46 ) RC = −50
           Vs
which yields RC = 1.93 k Ω
With this RC, the dc bias is OK.
Finish Design, Set RC = 2 K               RE = 1 K
R1 = 56 K
R2 = 12 K
RTH = R1 R2 = 9.88 K
       ⎛ R2 ⎞            ⎛ 12 ⎞
VTH = ⎜          ⎟ VCC = ⎜         ⎟ (10 ) = 1.765 V
       ⎝ R1 + R2 ⎠       ⎝ 12 + 56 ⎠
         1.765 − 0.7
I BQ =                  = 9.60 μ A
       9.88 + (101)(1)
I CQ = 0.9605 mA
       (100 )( 0.026 )                       0.9605
rπ =                     = 2.707 K    gm =          = 36.94
           0.9605                            0.026
RTH     rπ = 2.125 K
     ⎛ RTH rπ ⎞               ⎛ 2.125 ⎞
Vπ = ⎜                 ⎟ Vi = ⎜           ⎟ Vi = ( 0.680 ) Vi
     ⎝ RTH rπ + RS ⎠          ⎝ 2.125 + 1 ⎠
Av = − ( 0.680 ) g m RC = − ( 0.680 )( 36.94 )( 2 ) = −50.2
Design specification met.

6.25
a.
            6 − 0.7
I BQ =                  = 0.0169 mA
         10 + (101)( 3)
I CQ = 1.69 mA, I EQ = 1.71 mA
VCEQ = (16 + 6 ) − (1.69 )( 6.8 ) − (1.71)( 3)
VCEQ = 5.38 V
b.
        1.69
gm =            ⇒ g m = 65 mA/V
        0.026
      (100 )( 0.026 )
 rp =                  ⇒ rp = 1.54 kV ,        r0 = ∞
            1.69
(c)
         − β ( RC RL )     RB Rib
 Av =                  ⋅
       rπ + (1 + β ) RE RB Rib + RS
Rib = rπ + (1 + β ) RE = 1.54 + (101)(3) = 304.5 k Ω
RB Rib = 10 304.5 = 9.68 k Ω
Then
       − (100 )( 6.8 6.8 ) ⎛ 9.68 ⎞
Av =                      ⋅⎜          ⎟ ⇒ Av = −1.06
        1.54 + (101)( 3) ⎝ 9.68 + 0.5 ⎠
      ⎛ RC ⎞
 i0 = ⎜          ⎟ ( − β ib )
      ⎝ RC + RL ⎠
      ⎛          RB               ⎞
 ib = ⎜                           ⎟ iS
      ⎝ RB + rπ + (1 + β ) RE     ⎠
             ⎛ RC       ⎞⎛            RB          ⎞
Ai = − ( β ) ⎜          ⎟⎜⎜ R + r + (1 + β ) R ⎟  ⎟
             ⎝ RC + RL  ⎠⎝ B π                  E ⎠


               ⎛ 6.8 ⎞ ⎛                10           ⎞
    = − (100 ) ⎜           ⎟⎜⎜ 10 + 1.54 + (101)( 3) ⎟ ⇒ Ai = −1.59
                                                     ⎟
               ⎝ 6.8 + 6.8 ⎠ ⎝                       ⎠
(d)       Ris = RS + RB Rib = 0.5 + 10 304.5 = 10.2 k Ω
(e)
         2 b ( RC RL )
Av =
       rp + (1 + b ) RE
       2 (100 ) ( 6.8} 6.8 )
Av =                           ⇒ Av = 2 1.12
         1.54 + (101)( 3)
Ai = same as ( c ) ⇒ Ai = 2 1.59

6.26
ie


          ϩ                     ϩ
          vCE
 ϩ                              vCE   ris             gmv␲        ␲o
 vbe Ϫ
    Ϫ
                                Ϫ



                                                ϩ
                                                vCE    gmv␲
                                                Ϫ

      vCe     1
r=          =
     g m vCe g m
           ⎛ 1 ⎞
So re = rp ⎜    ⎟ r0
           ⎝ gm ⎠

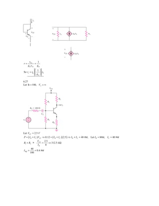
6.27
Let b = 100, VA = ∞
                            VCC




                                      RC
                           R1
                                           ␯o
         RS ϭ 100 ⍀

                      CC

␯s   ϩ                     R2
     Ϫ
                                RE




Let VCC = 2.5 V
P = ( I R + I C ) VCC ⇒ 0.12 = ( I R + I C )( 2.5 ) ⇒ I R + I C = 48 mA, Let I R = 8mA, I C = 40 mA
                VCC 2.5
R1 + R2 >          =    ⇒ 312.5 k Ω
                IR   8
          40
I BQ =       = 0.4 mA
         100
Let RE = 2 k Ω. For a bias stable circuit
RTH = ( 0.1)(1 + b ) RE = ( 0.1)(101)( 2 ) = 20.2 k Ω
       1
VTH = ⋅ RTH ⋅ VCC = I BQ RTH + VBE ( on ) + (1 + b ) I BQ RE
      R1
1
   ( 20.2 )( 2.5 ) = ( 0.0004 )( 20.2 ) + 0.7 + (101)( 0.0004 )( 2 )
R1
which yields R1 = 64 k V and R2 = 29.5 k Ω
       (100 )( 0.026 )
rπ =                      = 65 k Ω       Neglect RS
             0.04
        Vo       2 b RC
Av =       >
        Vs   rπ + (1 + b ) RE
            2 100 RC
−10 =                     ⇒ RC = 26.7 k Ω
          65 + (101)( 2 )
With this RC , dc biasing is OK.

6.28
                      100
Need a voltage gain of     = 20.
                        5
Assume a sign inversion from a common-emitter is not important. Use the configuration for Figure 6.31.
Let RS = 0. Need an input resistance of
       5 × 102 3
 Ri =             = 25 × 103 = 25 k Ω
      0.2 × 102 6
 Ri = RTH Rib . Let RTH = 50 k Ω, Rib = 50 k Ω
Rib = rp + (1 + b ) RE > (1 + b ) RE
                      Rib     50
For b = 100, RE =          =        = 0.495 k Ω
                     1 + b 101
Let RE = 0.5 k V , VCC = 10 V , I CQ = 0.2 mA
                 0.2
Then I BQ =          = 0.002 mA
                100
VTH    = I BQ RTH + VBE ( on ) + (1 + β ) I BQ RE
1               1
   ⋅ RTH ⋅ VCC = ( 50)(10) = ( 0.002)(50) + 0.7 + (101)( 0.002 )( 0.5)
R1              R1
which yields R1 = 555 k Ω and R2 = 55 k Ω
                   − β RC              (100)( 0.026)
Now Av =                        , rπ =               = 13 k Ω
               rπ + (1 + β ) RE            0.2
So
            − (100 ) RC
−20 =                        ⇒ RC = 12.7 k Ω
         13 + (101)( 0.5)
[Note: I CQ RC = ( 0.2 )(12.7 ) = 2.54 V. So dc biasing is OK.]

6.29
VCC ϭ 10 V




                        R1               RE


            CC



                                          ␯o
␯s   ϩ                  R2
     Ϫ
                                         RC




                     2 b RC
b = 80, Av =
                 rp + (1 + b ) RE
First approximation:
        R
( Av ) ≈ C = 10 ⇒ RC = 10 RE
        RE
Set RC = 12 RE
VEC ≈ VCC − I C ( RC + RE ) = 10 − I C (13RE )
             1
For VEC = VCC = 5
             2
5 = 10 − I C (13RE )
For I C = 0.7 mA
I E = 0.709, I B = 0.00875 mA ⇒ RE = 0.55 kΩ − RC = 6.6 kΩ
Bias stable ⇒
R1 R2 = RTH = ( 0.1)(1 + β ) RE
= ( 0.1)(81)( 0.55 ) = 4.46 kΩ
                                                    1
10 = ( 0.709 )( 0.55 ) + 0.7 + ( 0.00875 )( 4.46 ) + ( 4.46 )(10 )
                                                    R1
          1
8.87 =       ( 4.46 ) ⇒ R1 = 5.03 kΩ
          R1
 5.03R2
          = 4.46 ⇒ R2 = 39.4 kΩ
5.03 + R2
  10        10
       =            = 0.225 mA
R1 + R2 5.03 + 39.4
0.7 + 0.225 ≅ 0.925 mA from VCC source.
             (80 ) ( 0.026 )
Now rπ =                       = 2.97 kΩ
                  0.7
             (80 )( 6.6 )
 Av =                           = 11.1
         2.97 + ( 81)( 0.55 )

6.30
ϩ5V




                     R1            RC

                                          CC2
           CC1                                           ␯o

                                                      RL ϭ 10 K

␯s   ϩ
     Ϫ               R2                         CE
                                   RE




                         Ϫ5V
β = 120
Let I CQ = 0.35 mA, I EQ = 0.353 mA
I BQ = 0.00292 mA
Let RE = 2 kΩ. For VCEQ = 4 V ⇒ 10 = 4 + ( 0.35) RC + ( 0.353)( 2)
                         (120 )( 0.026 )
RC = 15.1 kΩ, rπ =                        = 8.91 kΩ
                                0.35
         − β ( RC RL )        (120 ) (15.1 10 )
Av =                     =−
              rπ                   8.91
Av = −81.0
For bias stable circuit:
R1 R2 = RTH = ( 0.1)(1 + β ) RE
= ( 0.1)(121)( 2 ) = 24.2 kΩ
      ⎛ R2 ⎞                   1
VTH = ⎜          ⎟ (10) − 5 = ⋅ RTH ⋅ (10 ) − 5
      ⎝ R1 + R2 ⎠              R1
VTH = I BQ RTH + VBE ( on ) + (1 + β ) I BQ RE − 5
1
   ( 24.2 )(10 ) − 5 = ( 0.00292 )( 24.2 ) + 0.7 + (121)( 0.00292 )( 2 ) − 5
R1
1
   ( 242 ) = 1.477, R1 = 164 kΩ
R1
 164 R2
         = 24.2 ⇒ R2 = 28.4 kΩ
164 + R2
    10
            = 0.052, 0.35 + 0.052 = 0.402 mA
164 + 28.4
So bias current specification is met.

6.31
From Prob. 6.12,
RTH = R1} R2 = 10}50 = 8.33 kΩ
        ⎛ R2 ⎞              ⎛ 50 ⎞
 VTH = ⎜          ⎟ (12 ) = ⎜         ⎟ (12 ) = 10 V
        ⎝ R1 + R2 ⎠         ⎝ 50 + 10 ⎠
          12 − 0.7 − 10
 I BQ =                   = 0.0119 mA
        8.33 + (101)(1)
 I CQ = 1.19 mA, I EQ = 1.20 mA
VECQ = 12 − (1.19 )( 2 ) − (120 )(1) = 8.42 V




1.19



         1                      8.42      11 12

For 1 ≤ vEC ≤ 11
DvEC = 11 − 8.42 = 2.58
⇒ Output voltage swing = 5.16 V (peak-to-peak)

6.32
                 5 − 0.7
I BQ =                           = 0.00315 mA
         50 + (101)( 0.1 + 12.9)
I CQ = 0.315 mA, I EQ = 0.319 mA
VCEQ = ( 5 + 5 ) − ( 0.315 )( 6 ) − ( 0.319 )(13)
VCEQ = 3.96 V



                   AC load line
                             Ϫ1
                   Slope ϭ
                           6.1 K
0.315




               3.96                     10

         1
ΔiC = −    Δv
        6.1 eC
For ΔiC = 0.315 − 0.05 = 0.265 ⇒ ΔvEC = 1.62
vEC ( min ) = 3.96 − 1.62 = 2.34

Output signal swing determined by current:
Max. output swing = 3.24 V peak-to-peak

6.33
From Problem 4.18, I CQ = 1.408 mA, I EQ = 1.426 mA
(a) VECQ = 30 − (1.408 )( 5 ) − (1.426 )(10 ) = 8.7 V
IC (mA)
                                  AC load line
                                            Ϫ1
                                  Slope ϭ
                                          RC ͉͉RL
                                            Ϫ1
  1.408                                 ϭ
                                          2.5 kΩ




                                8.7      ␯EC (V)


vEC ( max ) = 8.7 + ΔI C ⋅ ( 2.5 ) = 8.7 + (1.408 )( 2.5 ) = 12.22
Set vEC ( max ) = 12 = 8.7 + ΔI C ( 2.5 ) ⇒ ΔI C = 1.32 mA
So ΔvEC (peak-to-peak) = 2(12 − 8.7) = 6.6 V
(b)     ΔiC (peak-to-peak) = 2(1.32) = 2.64 mA

6.34
  I EQ   = 0.80 mA, I CQ = 0.792 mA
  I BQ   = 0.00792 mA
   VE    = 0.7 + ( 0.00792 )(10 ) = 0.779 V
   VC    = I CQ RC − 5 = ( 0.792 )( 4 ) − 5 = 2 1.83 V
VECQ     = 0.779 − ( −1.83) = 2.61 V
Load line: Assume VE remains constant at ≈ 0.78 V
IC (mA)
                                  AC load line
                                            Ϫ1
                                  Slope ϭ
                                          RC ͉͉RL
                                            Ϫ1
  1.408                                 ϭ
                                          2.5 kΩ




                                8.7      ␯EC (V)
       21
DiC =        v
            ? ec
      2 kV
Collector current swing = 0.792 − 0.08
                        = 0.712 mA
                   Dvec = ( 0.712 )( 2 ) = 1.424 V
Output swing determined by current.
Max. output swing = 2.85 V peak-to-peak
                           2.85
Swing in i0 current =
                             4
                         = 0.712 mA peak-to-peak
6.35
            6 − 0.7
I BQ =                  = 0.0169 mA
         10 + (101)( 3)
I CQ = 1.69 mA, I EQ = 1.71 mA
VCEQ = (16 + 6 ) − (1.69 )( 6.8 ) − (1.71)( 3)
VCEQ = 5.38 V


                 AC load line
                            Ϫ1
                 Slope ϭ
                         3.4 ϩ 3
1.69                       Ϫ1
                       ϭ
                         6.4 K




              5.38                    22
         1
DiC = 2     Dvce
        6.4
                                                           4.38
For vce ( min ) = 1 V, Dvce = 5.38 − 1 = 4.38 V ⇒ DiC =         = 0.684 mA
                                                           6.4
Output swing limited by voltage:
Δvce = Max. swing in output voltage
     = 8.76 V peak-to-peak
       1
 Δi0 =   ΔiC ⇒ Δi0 = 0.342 mA
       2
 or Δi0 = 0.684 mA (peak-to-peak)

6.36

                     AC load line
                               Ϫ1
                     Slope ϭ
                             1.05 K
2.65

                        Q-point
ICQ




                VCEQ                             9
       100
ro =
       I CQ
Neglect ro as (E) approx. dc load line VCE = 9 − I C ( 3.4 )
ΔI C = I CQ − 0.1
     ΔVCE = VCEQ − 1
Also ΔVCE = ΔI C ( RC RL ) = ΔI C (1.05 )
Or VCEQ − 1 = ( I CQ − 0.1) (1.05 )
Substituting the expression for the dc load line.
⎡9 − I CQ ( 3.4 ) − 1⎤ = ( I CQ − 0.1) (1.05 )
⎣                    ⎦
8.105 = I CQ ( 4.45 ) ⇒ I CQ = 1.821 mA
VCEQ = 2.81 V
       1.821
I BQ =       = 0.01821
        100
RTH = ( 0.1)(101)(1.2 ) = 12.12 K
        1                1
VTH = ⋅ RTH ⋅ VCC = (12.12 ) ( 9 ) = ( 0.01821) (12.12 ) + 0.7 + (101)( 0.01821)(1.2 )
       R1               R1
= 0.2207 + 0.7 + 2.20705
R1 = 34.9 K
R2 = 18.6 K
 34.9 R2
          = 12.12
34.9 + R2

6.37
dc load line
              5
                   ϭ 4.55 mA
           1 ϩ 0.1
                      AC load line
                                Ϫ1
                      Slope ϭ
ICQ                           1͉͉1.2
                                 Ϫ1
                            ϭ
                              0.545 K




             VCEQ                       5
For maximum symmetrical swing
ΔiC = I CQ − 0.25
                                        1
ΔvCE = VCEQ − 0.5 and ΔiC =                  ⋅ | ΔvCE |
                                    0.545 kΩ
                VCEQ − 0.5
I CQ − 0.25 =
                 0.545
VCEQ = 5 − I CQ (1.1)
0.545 ( I CQ − 0.25 ) = ⎡5 − I CQ (1.1) ⎤ − 0.5
                        ⎣               ⎦
( 0.545 + 1.1) I CQ = 5 − 0.5 + 0.136
I CQ = 2.82 mA,          I BQ = 0.0157 mA
RTH = R1 R2 = ( 0.1)(1 + β ) RE
      = ( 0.1)(181)( 0.1) = 1.81 kΩ
        1
VTH =      ⋅ RTH ⋅ V + = I BQ RTH + VBE ( on ) + (1 + β ) I BQ RE
        R1
1
   (1.81)( 5 ) = ( 0.0157 )(1.81) + 0.7 + (181)( 0.0157 )( 0.1)
R1
     1
        ( 9.05 ) = 1.013 ⇒ R1 = 8.93 kΩ
     R1
      8.93R2
               = 1.81 ⇒ R2 =2.27 kΩ
     8.93 + R2

6.38
I CQ = 0.647 mA , VCEQ > 10 − ( 0.647 )( 9 ) = 4.18 V
DiC = I CQ = 0.647 mA
So DvCE = DiC ( 4} 4 ) = ( 0.647 )( 2 ) = 1.294 V
Voltage swing is well within the voltage specification. Then DvCE = 2 (1.294 ) = 2.59 V peak-to-peak

6.39
a.
 RTH = R1} R2 = 10}10 = 5 kΩ
        ⎛ R2 ⎞                  ⎛ 10 ⎞
 VTH = ⎜          ⎟ (18 ) − 9 = ⎜         ⎟ (18 ) − 9 = 0
        ⎝ R1 + R2 ⎠             ⎝ 10 + 10 ⎠
         0 − 0.7 − ( −9 )
 I BQ =                   = 0.0869 mA
        5 + (181)( 0.5 )
 I CQ = 15.6 mA, I EQ = 15.7 mA
VCEQ = 18 − (15.7 )( 0.5 ) ⇒ VCEQ = 10.1 V
b.




                              AC load line
                                         Ϫ1
                              Slope ϭ
                                      0.5͉͉0.3
                                        Ϫ1
15.6                                ϭ
                                      0.188 K


                            10.1             18
c.
        (180 )( 0.026 )
 rπ =                     = 0.30 kΩ
            15.6
         (1 + β )( RE   RL ) ⎛ R1 R2 Rib             ⎞
 Av =                        ⋅⎜                      ⎟
      rπ + (1 + β ) ( RE RL ) ⎝ R1 R2 Rib + RS       ⎠
Rib = rπ + (1 + β )( RE RL ) = 0.30 + (181)( 0.5      0.3) or Rib = 34.2 k Ω
 R1 R2 Rib = 5 34.2 = 4.36 k Ω
           (181)( 0.5 0.3) ⎛ 4.36 ⎞
 Av =                        ⋅⎜          ⎟ ⇒ Av     = 0.806
        0.3 + (181)( 0.5 0.3) ⎝ 4.36 + 1 ⎠
d.
Rib = rp + (1 + b ) ( RE } RL )
Rib = 0.30 + (181)( 0.188 ) ⇒ Rib = 34.3 kΩ
             rp + R1} R2 } RS       0.3 + 5}1
 Ro = RE                      = 0.5           ⇒ Ro = 6.18 Ω
                  1+ b                181

6.40
a.
RTH = R1} R2 = 10}10 = 5 kΩ
      ⎛ R2 ⎞
VTH = ⎜          ⎟ ( −10 ) = 2 5 V
      ⎝ R1 + R2 ⎠
VTH = I BQ RTH + VBE ( on ) + (1 + b ) I BQ RE − 10
         2 5 − 0.7 − ( −10 )
I BQ =                         = 0.0174 mA
           5 + (121)( 2 )
I CQ = 2.09 mA, I EQ = 2.11 mA
VCEQ = 10 − ( 2.09 )(1) − ( 2.11)( 2 ) ⇒ VCEQ = 3.69 V
b.

                  AC load line
                           Ϫ1
                  Slope ϭ
                          2͉͉2
                          Ϫ1
2.09                    ϭ
                          1K




               3.69                   10
c.
         (120 )( 0.026 )
 rπ =                   = 1.49 kΩ
            2.09
         (1 + β ) ( RE RL ) ⎛ R1 R2 Rib ⎞
Av =                          ⋅⎜                  ⎟
      rπ + (1 + β ) ( RE RL ) ⎜ R1 R2 Rib + RS ⎟
                               ⎝                  ⎠
Rib = rπ + (1 + β ) ( RE RL ) = 1.49 + (121) ( 2 2)
Rib = 122.5 k Ω,           R1 R2 Rib = 5 122.5 = 4.80 k Ω
            (121) ( 2 2) ⎛ 4.80 ⎞
 Av =                       ⋅⎜          ⎟ ⇒ Av   = 0.484
         1.49 + (121) ( 2 2) ⎝ 4.80 + 5 ⎠
d.
Rib = rπ + (1 + b ) ( RE } RL )
Rib = 1.49 + (121) ( 2} 2 ) 1 Rib = 122 kΩ
             rπ + R1} R2 } RS    1.49 + 5}5
 Ro = RE                      =2            1 Ro = 32.4 Ω
                  1+ b              121

6.41
a.
RTH = R1 R2 = 60 40 = 24 kΩ
       ⎛ R2 ⎞            ⎛ 40 ⎞
VTH = ⎜          ⎟ VCC = ⎜         ⎟ ( 5) = 2 V
       ⎝ R1 + R2 ⎠       ⎝ 40 + 60 ⎠
        5 − 0.7 − 2
I BQ =                = 0.0130 mA
       24 + ( 51)( 3)
I CQ = 0.650 mA, I EQ = 0.663 mA
VECQ = 5 − I EQ RE = 5 − ( 0.663)(3) ⇒ VECQ = 3.01 V
b.


1.63
                                  AC load line
                                              Ϫ1
                                  Slope ϭ 51
                                          Θ 50 Ι Θ3͉͉4Ι
0.65                                         Ϫ1
                                        ϭ
                                          1.75 K


                                3.01                5
c.
       ( 50 )( 0.026 )        80
rπ =            = 2 kΩ, r0 =      = 123 kΩ
       0.650                 0.65
        ′
Define RL = RE RL r0 = 3 4 123 = 1.69 kΩ
          (1 + β ) RL
                    ′          ( 51)(1.69 )
Av =                      =                      ⇒ Av = 0.977
        rπ (1 + β ) RL′       2 + ( 51)(1.69 )
                  ⎛ RE r0              ⎞
Ai = (1 + β ) I b ⎜                    ⎟
                  ⎜R r +R              ⎟
                  ⎝ E 0   L            ⎠
         ⎛ RTH ⎞
Ib = I S ⎜           ⎟
         ⎝ RTH + Rib ⎠
Rib = rπ + (1 + β ) RL = 2 + ( 51)(1.69 ) = 88.2
                     ′
RE r0 = 3 r0 = 3 123 = 2.93
            ⎛ 2.93 ⎞ ⎛        24 ⎞
 Ai = ( 51) ⎜          ⎟⎜            ⎟ ⇒ Ai = 4.61
            ⎝ 2.93 + 4 ⎠ ⎝ 24 + 88.2 ⎠
d.
Rib = rπ + (1 + β ) RE RL r0 = 2 + ( 51)(1.69 ) ⇒ Rib = 88.2 kΩ
       rπ        ⎛ 2⎞
 R0 =       RE = ⎜ ⎟ 3 = 0.0392 3
      1+ β       ⎝ 51 ⎠
 R0 = 38.7 Ω
e.       Assume variations in rπ and r0 have negligible effects
R1 = 60 ± 5% R1 = 63 kΩ,        R1 = 57 kΩ
R2 = 40 ± 5% R2 = 42 kΩ,                    R2 = 38 kΩ
RE = 3 ± 5%          RE = 3.15 kΩ, RE = 2.85 kΩ
RL = 4 ± 5%          RL = 4.2 kΩ,           RL = 3.8 kΩ
⎛ RE r0 ⎞ ⎛ RTH ⎞
Ai = (1 + β ) ⎜
              ⎜ R r + R ⎟⎜ R + R ⎟
                            ⎟
              ⎝ E 0       L ⎠ ⎝ TH ib ⎠

Rib = rπ + (1 + β ) ( RE RL r0 )
RTH ( max ) = 25.2 kΩ, RTH ( min ) = 22.8 kΩ
Rib ( max ) = 92.5 kΩ, Rib ( min ) = 84.0 kΩ
RE ( max ) , RL ( min ) , Rib = 88.6 kΩ
RE ( min ) , RL ( max ) , Rib = 87.4 kΩ
RE ( max ) r0 = 3.07 kΩ
 RE ( min ) r0 = 2.79 kΩ
For RE ( min ) , RL ( max ) , RTH ( min )
           ⎛ 2.79 ⎞ ⎛          22.8 ⎞
Ai = ( 51) ⎜            ⎟⎜              ⎟ ⇒ Ai = 4.21
           ⎝ 2.79 + 4.2 ⎠ ⎝ 22.8 + 87.4 ⎠
For RE ( max ) , RL ( min ) , RTH ( max )
           ⎛ 3.07 ⎞⎛          25.2 ⎞
Ai = ( 51) ⎜            ⎟⎜             ⎟ ⇒ Ai = 5.05
           ⎝ 3.07 + 3.8 ⎠⎝ 25.2 + 88.6 ⎠

6.42
(a)
      0.5
I BQ =     = 0.00617 mA
       81
 VB = I BQ RB = ( 0.00617 )(10 ) ⇒ VB = 0.0617 V
 VE = VB + 0.7 ⇒ VE = 0.7617 V
(b)
               ⎛ 80 ⎞
I CQ = ( 0.5 ) ⎜ ⎟ = 0.494 mA
               ⎝ 81 ⎠
       I CQ 0.494
 gm =        =         ⇒ g m = 19 mA / V
        VT       0.026
            β VT       (80 )( 0.026 )
     rπ =          =                    ⇒ rπ = 4.21 k Ω
            I CQ          0.494
            VA    150
     ro =       =      ⇒ ro = 304 k Ω
            I CQ 0.494
(c)
              RS         VЈ
                          S

                                  Ϫ
              IS
Vs     ϩ                      RB V␲      r␲                ro
       Ϫ
                                                    gmV␲
                                  ϩ
                                                                Vo

                                              RL
                                         Io


For RS = 0
       ⎛V          ⎞
Vo = − ⎜ π + g mVπ ⎟ ( RL ro )
       ⎝ rπ        ⎠
−Vo
so that Vπ =
           ⎛1+ β ⎞
           ⎜     ⎟ ( RL ro )
           ⎝ rπ ⎠
Now Vs + Vπ = Vo
                                 Vo
or Vs = Vo − Vπ = Vo +
                          ⎛ 1+ β ⎞
                          ⎜      ⎟ ( RL ro )
                          ⎝ rπ ⎠
We find
       Vo        (1 + β )( RL ro )        (81)( 0.5 304 )
Av =        =                        =
       Vs     rπ + (1 + β )( RL ro ) 4.21 + ( 81)( 0.5 304 )
                  (81)( 0.5 )
           ≅                      ⇒ Av = 0.906
              4.21 + ( 81)( 0.5 )
Rib = rπ + (1 + β )( RL ro ) ≅ 4.21 + ( 81)( 0.5 ) = 44.7 k Ω
     ⎛ RB ⎞                       ⎛ ro ⎞
Ib = ⎜          ⎟ ⋅ I s and I o = ⎜         ⎟ (1 + β ) I b
     ⎝ RB + Rib ⎠                 ⎝ ro + RL ⎠
Then
      Io             ⎛ RB ⎞⎛ ro ⎞
Ai =      = (1 + β ) ⎜            ⎟⎜        ⎟
       Is            ⎝ RB + Rib ⎠⎝ ro + RL ⎠
            ⎛ 10 ⎞
 Ai ≅ ( 81) ⎜             ⎟ (1) ⇒ Ai = 14.8
            ⎝ 10 + 44.7 ⎠
(d)
      ⎛ RB + Rib ⎞              ⎛ 10 44.7 ⎞
      ⎜ R R + R ⎟ s ⎜ 10 44.7 + 2 ⎟ s (
Vs′ = ⎜                  ⋅V =                   ⋅ V = 0.803) Vs
                       ⎟        ⎜             ⎟
      ⎝ B ib        s ⎠         ⎝             ⎠
 Then Av = ( 0.803)( 0.906 ) ⇒ Av = 0.728
Ai = 14.8 (Unchanged)

6.43
(a)
                               (100 )( 0.026 )
I CQ = 1.98 mA          rπ =                     = 1.313 K
                                   1.98
       VA    100
ro =       =
       I CQ 1.98
= 50.5 K
      rπ + RS          1.31 + 10
Ro =            ro =               50.5 ⇒ Ro = 112 Ω
       1+ β               101
                                        0.112 50.5 ⇒ Ro ≅ 112 Ω
(b)       From Equation 4.68
         (1 + β ) ( ro RL )           100
 Av =                            ro =      = 50.5 K
      rπ + (1 + β ) ( ro RL )         1.98
(i)
RL = 0.5 K
         (101) ( 50.5 0.5)
 Av =
      1.31 + (101) ( 50.5 0.5 )
         (101)( 0.4951)
 Av =                        ⇒ Av = 0.974
      1.31 + (101)( 0.4951)
(ii)
 RL = 5 K         ro RL = 50.5 5 = 4.5495
           (101)( 4.55)
 Av =                        ⇒ Av = 0.997
        1.31 + (101)( 4.55 )

6.44
        5 − 0.7
I EQ =           = 1.303      I CQ = 1.293 mA
          3.3
        (125 )( 0.026 )
  rπ =                   = 2.51 K
            1.293
        1.293
 gm =          = 49.73 mA/V
        0.026
(a)
 Rib = rπ + (1 + β ) ( RE RL ) = 2.51 + (126 ) ( 3.3 1)
Rib = 99.2 K
             rπ        2.51
 Ro = RE         = 3.3      = 3.3 0.01992
            1+ β       126
 Ro = 19.8 Ω
(b)
     v     2sin ω t
is = s =            ⇒ is ( t ) = 20.2sin ω t ( μ A )
     Rib    99.2
veb ( t ) = −is ( t ) rπ = ( −20.2 )( 2.51) sin ω t
veb ( t ) = −50.6sin ω t ( mV )
            (1 + β ) ( RE RL )          (126 ) ( 3.3 1)    (126 )( 0.7674 )
Av =                               =                    =
         rπ + (1 + β ) ( RE RL ) 2.51 + (126 ) ( 3.3 1) 2.51 + (126 )( 0.7674 )
Av = 0.9747 ⇒ vo ( t ) = 1.95sin ω t ( V )
            v (t )
io ( t ) = o       ⇒ io ( t ) = 1.95sin ω t ( mA )
           RL

6.45
a.
I EQ = 1 mA , VCEQ = VCC − I EQ RE
     5 = 10 − (1)( RE ) ⇒ RE = 5 kΩ
        1
I BQ =      = 0.0099 mA
      101
 10 = I BQ RB + VBE ( on ) + I EQ RE
 10 = ( 0.0099 ) RB + 0.7 + (1)( 5 ) ⇒ RB = 434 kΩ
b.
␯b


                            ␯0
       RB
                          RE




       (100 )( 0.026 )
rπ =                       = 2.63 kΩ
              0.99
v0          (1 + β ) RE(101)( 5 )
   =               =                  = 0.995
vb rπ + (1 + β ) RE 2.63 + (101)( 5 )
              v0    4
⇒ vb =           =      ⇒ vb = 4.02 V peak-to-peak at base
            0.995 0.995
              RS
                            ␯b

     ϩ
␯S                         RB͉͉Rib
     Ϫ




Rib = rπ + (1 + β ) RE = 508 kΩ
RB Rib = 434 508 = 234 kΩ
            RB Rib                  234vS     234
vb =                      ⋅ vS =            =      vS
       RB Rib + RS                 234 + 0.7 234.7
                                  4.02
vb = 0.997vS ⇒ vS =                    ⇒ vS = 4.03 V peak-to-peak
                                 0.997
c.
Rib = rπ + (1 + β ) ( RE RL )
Rib = 2.63 + (101) ( 5 1) = 86.8 kΩ
RB Rib = 434 86.8 = 72.3 kΩ
     ⎛ 72.3 ⎞
vb = ⎜            ⎟ vS = 0.99vS = ( 0.99 )( 4.03)
     ⎝ 72.3 + 0.7 ⎠
vb = 3.99 V peak-to-peak
        (1 + β )( RE RL )
v0 =                        ⋅ vb
     rπ + (1 + β )( RE RL )
      (101)( 0.833)
=                      ( 3.99 )
  2.63 + (101)( 0.833)
v0 = 3.87 V peak-to-peak

6.46
RTH = R1 R2 = 40 60 = 24 kΩ
      ⎛ 60 ⎞
VTH = ⎜         ⎟ (10 ) = 6 V
      ⎝ 60 + 40 ⎠
                    6 − 0.7
β = 75 I BQ =                    = 0.0131 mA
                24 + ( 76 )( 5 )
I CQ = 0.984 mA
                      6 − 0.7
β = 150 I BQ =                     = 0.00680 mA
                   24 + (151)( 5 )
I CQ = 1.02 mA
                ( 75 )( 0.026 )
β = 75 rπ =                       = 1.98 kΩ
               0.984
β = 150 rπ = 3.82 kΩ
β = 75 Rib = rπ + (1 + β )( RE RL ) = 65.3 kΩ
β = 150 Rib = 130 kΩ
        (1 + β )( RE RL )     R1 R2 Rib
Av =                       ⋅
     rπ + (1 + β )( RE RL ) R1 R2 Rib + RS
For β = 75, R1 R2 Rib = 40 60 65.3 = 17.5 k Ω
              ( 76 )( 0.833)      17.5
    Av =                        ⋅         ⇒ Av = 0.789
           1.98 + ( 76 )( 0.833) 17.5 + 4
For β = 150, R1 R2 Rib = 40 60 130 = 20.3 k Ω
              (151)( 0.833)      20.3
    Av =                       ⋅         ⇒ Av = 0.811
           3.82 + (151)( 0.833) 20.3 + 4
So 0.789 ≤ Av ≤ 0.811
              ⎛ RE ⎞ ⎛ RTH ⎞
Ai = (1 + β ) ⎜         ⎟⎜            ⎟
              ⎝ RE + RL ⎠ ⎝ RTH + Rib ⎠
β = 75
            ⎛ 5 ⎞⎛         24 ⎞
Ai = ( 76 ) ⎜       ⎟⎜            ⎟ ⇒ Ai = 17.0
            ⎝ 5 + 1 ⎠ ⎝ 24 + 65.3 ⎠
β = 150
           ⎛ 5 ⎞ ⎛ 24 ⎞
Ai = (151) ⎜ ⎟ ⎜            ⎟ ⇒ Ai = 19.6
           ⎝ 6 ⎠ ⎝ 24 + 130 ⎠
17.0 ≤ Ai ≤ 19.6

6.47
(a)
⎛ I ⎞
             9 = ⎜ E ⎟ (100 ) + VBE ( on ) + I E RE
                 ⎝ 1+ β ⎠
                    9 − 0.7
            IE =
                 ⎛ 100 ⎞
                 ⎜      ⎟ + RE
                 ⎝ 1+ β ⎠
                    8.3
β = 50 I E =               = 2.803 mA
                ⎛ 100 ⎞
                ⎜     ⎟ +1
                ⎝ 51 ⎠
                    8.3
β = 200 I E =              = 5.543 mA
                ⎛ 100 ⎞
                ⎜     ⎟ +1
                ⎝ 201 ⎠
2.80 ≤ I E ≤ 5.54 mA
VE = I E RE , β = 50, VE = 2.80 V
 β = 200, VE = 5.54 V
(b)      β = 50, I CQ = 2.748 mA, rπ = 0.473 K
β = 200, I CQ = 5.515 mA, rπ = 0.943 K
Ri = RB ⎡ rπ + (1 + β ) RE
        ⎣                        RL ⎤
                                    ⎦
β = 50 ⇒ Ri = 100 ⎡ 0.473 + ( 51)(1 1) ⎤ = 100 25.97 = 20.6 K
                  ⎣                    ⎦
β = 200 ⇒ Ri = 100 ⎡0.943 + ( 201)(1 1) ⎤ = 100 101.4 = 50.3 K
                    ⎣                     ⎦
From Fig. (4.68)
        (1 + β ) ( RE RL ) ⎛ Ri ⎞
Av =                        ⋅⎜         ⎟
     rπ + (1 + β ) ( RE RL ) ⎝ Ri + RS ⎠
           ( 51) (1 1)     ⎛ 20.6 ⎞
   =                      ⋅⎜           ⎟
       0.473 + ( 51) (1 1) ⎝ 20.6 + 10 ⎠
 β = 50 ⇒ Av = 0.661
                         ( 201) (1 1) ⎛ 50.3 ⎞
 β = 200 ⇒ Av =                           ⎜           ⎟
                     0.943 + ( 201) (1 1) ⎝ 50.3 + 10 ⎠
Av = 0.826

6.48
Vo = (1 + β ) I b RL
            Vs
Ib =
     rπ + (1 + β ) RL
             (1 + β ) RL
so Av =
          rπ + (1 + β ) RL
For β = 100, RL = 0.5 k Ω
       (100 )( 0.026 )
rπ =                     = 5.2 k Ω
            0.5
(101)( 0.5 )
Then Av ( min ) =                          = 0.9066
                        5.2 + (101)( 0.5 )
Then β = 180, RL = 500 k Ω
        (180 )( 0.026 )
rπ =                         = 9.36 k Ω
                0.5
                           (181)( 500 )
Then Av ( max ) =                           = 0.9999
                        9.36 + (181)( 500 )

6.49
                                  Rib



              IS             Ib         ϩ
                                        V␲    r␲             gmV␲ ϭ ␤Ib
                                        Ϫ
␯S     ϩ               R1͉͉R2
       Ϫ

                                             RE         RL
                                                   I0



                  ⎛ RE ⎞
I 0 = (1+ β ) I b ⎜         ⎟
                  ⎝ RE + RL ⎠
         ⎛ R1 R2 ⎞
Ib = I S ⎜             ⎟
         ⎝ R1 R2 + Rib ⎠
Rib = rπ + (1 + β )( RE RL )
VCC = 10 V, For VCEQ = 5 V

         ⎛1+ β ⎞
5 = 10 − ⎜     ⎟ I CQ RE
         ⎝ β ⎠
β = 80, For RE = 0.5 kΩ
I CQ = 9.88 mA, I EQ = 10 mA, I BQ = 0.123 mA
            (80 )( 0.026 )
     rπ =             = 0.211 kΩ
           9.88
 Rib = 0.211 + ( 81)( 0.5 0.5 ) ⇒ Rib = 20.46 kΩ
            I0            ⎛ RE ⎞ ⎛ R1 R2 ⎞
     Ai =      = (1 + β ) ⎜         ⎟⎜             ⎟
            IS            ⎝ RE + RL ⎠⎝ R1 R2 + Rib ⎠
               ⎛ 1 ⎞⎛     R1 R2      ⎞
     8 = ( 81) ⎜ ⎟ ⎜                 ⎟
               ⎝ 2 ⎠ ⎝ R1 R2 + 20.46 ⎠
0.1975 ⎡ R1} R2 + 20.46 ⎤ = R1} R2
       ⎣                ⎦
R1} R2 ⇒ 5.04 kΩ
VTH = I BQ RTH + VBE ( on ) + (1 + b ) I BQ RE
1
   ( 5.04 )(10 ) = ( 0.123)( 5.04 ) + 0.7 + (10 )( 0.5 ) ⇒ R1 = 7.97 kΩ
R1
 7.97 R2
          = 5.04 ⇒ R2 = 13.7 kΩ
7.97 + R2
                    rπ        0.211
Now Ro = RE             = 0.5       or Ro = 2.59 Ω
                   1+ b        81
(b)
 Rib = 0.211 + (81) ( 0.5 2) = 32.6 k Ω
           ⎛ 0.5 ⎞ ⎛ 5.04 ⎞
Ai = ( 81) ⎜         ⎟⎜              ⎟ = ( 81)( 0.2 )( 0.134 )
           ⎝ 0.5 + 2 ⎠ ⎝ 5.04 + 32.6 ⎠
Ai = 2.17

6.50
Ri = RTH Rib where Rib = rπ + (1 + β ) RE
                    5 − 3.5
VCEQ = 3.5, I CQ            = 0.75 mA
                       2
      (120 )( 0.026 )
rπ =                  = 4.16 k Ω
            0.75
Rib = 4.16 + (121) ( 2 ) = 246 k Ω
Then Ri = 120 = RTH 246 ⇒ RTH = 234 k Ω
        0.75
I BQ =        = 0.00625 mA
        120
VTH = I BQ RTH + VBE ( on ) + (1+ β ) I BQ RE
 1                 1
    ⋅ RTH ⋅ VCC = ( 234)(5) = ( 0.00625) ( 234) + 0.7 + (121)( 0.00625 )( 2 )
 R1               R1
which yields R1 = 318 k Ω and R2 = 886 k Ω

6.51
a.
                                                         12
Let RE = 24 Ω and VCEQ = 1 VCC = 12 V ⇒ I EQ =              = 0.5 A
                         2                               24
I CQ = 0.493 A, I BQ = 6.58 mA
       ( 75)( 0.026 )
rπ =                    = 3.96 Ω
           0.493
                              Reb


           Is            Ib          ϩ
                                    V␲    r␲             gmV␲ ϭ ␤Ib
                                     Ϫ
VS     ϩ             R1 ͉͉ R2
       Ϫ
                    ϭ Rrn
                                         RE         RL
                                               Io
⎛ RE ⎞
I 0 = (1 + β ) I b ⎜         ⎟
                   ⎝ RE + RL ⎠
         ⎛ RTH ⎞
Ib = I S ⎜            ⎟
         ⎝ RTH + Rib ⎠
Rib = rπ + (1 + β ) ( RE    RL )
     = 3.96 + ( 76 )( 24 8 ) ⇒ Rib = 460 Ω
            I0            ⎛ RE ⎞ ⎛ RTH ⎞
     Ai =      = (1 + β ) ⎜         ⎟⎜            ⎟
            IS            ⎝ RE + RL ⎠ ⎝ RTH + Rib ⎠
               ⎛ 24 ⎞ ⎛ RTH           ⎞
     8 = ( 76) ⎜        ⎟⎜            ⎟
               ⎝ 24 + 8 ⎠ ⎝ RTH + 460 ⎠
             RTH
0.140 =               ⇒ RTH = 74.9 Ω (Minimum value)
          RTH + 460
dc analysis:
       1
VTH = ⋅ RTH ⋅ VCC
       R1
= I BQ RTH + VBE ( on ) + I EQ RE
1
   ( 74.9 )( 24 ) = ( 0.00658)( 74.9 ) + 0.70 + ( 0.5 )( 24 )
R1
= 13.19
                 136 R2
R1 = 136 Ω,              = 74.9 ⇒ R2 = 167 Ω
                136 + R2
b.


                        AC load line
                                  Ϫ1
                        Slope ϭ
                                24͉͉8
                                Ϫ1
0.493                         ϭ
                                6⍀



                       12               24
        1
ΔiC = − Δvce
        6
For ΔiC = 0.493 ⇒ Δvce = ( 0.493)( 6 ) ⇒ Max. swing in output voltage for this design
= 5.92 V peak-to-peak
c.
         rπ       3.96
R0 =         RE =      24 = 0.0521 24 ⇒ R0 = 52 mΩ
        1+ β       76

6.52
The output of the emitter follower is
     ⎛ RL ⎞
vo = ⎜         ⎟ ⋅ vTH
     ⎝ RL + Ro ⎠
Ro

                   ϩ
␯TH     ϩ
                   ␯O    RL
        Ϫ
                   Ϫ

For vO to be within 5% for a range of RL , we have
      RL ( min )                  RL ( max )
                   = ( 0.95 )
RL ( min ) + Ro                 RL ( max ) + Ro
               4                10
                   = ( 0.95 )         which yields Ro = 0.364 k Ω
            4 + Ro            10 + Ro
               ⎛ r + R1 R2 RS ⎞
We have Ro = ⎜ π              ⎟ RE ro
               ⎝      1+ β    ⎠
The first term dominates
Let R1 R2 RS ≅ RS , then
         rπ + RS           r +4
Ro ≅             ⇒ 0.364 = π
          1+ β             1+ β
                 rπ    4       β VT        4
or 0.364 =          +     =             +
               1 + β 1 + β I CQ (1 + β ) 1 + β
            VT     4
0.364 ≅         +
            I CQ 1 + β
                4                      4              4                                  V
The factor          is in the range of    = 0.044 to     = 0.0305. We can set Ro ≅ 0.32 = T
               1+ β                    91            131                                 I CQ
Or I CQ = 0.08125 mA. To take into account other factors, set I CQ = 0.15 mA,
         0.15
I BQ =        = 0.00136 mA
         110
                              5
For VCEQ ≅ 5 V , set RE =        = 33.3 k Ω
                            0.15
Design a bias stable circuit.
      ⎛ R2 ⎞                  1
VTH = ⎜         ⎟ (10) − 5 = ( RTH )(10) − 5
      ⎝ R1 + R2 ⎠            R1
RTH = ( 0.1)(1 + β ) RE = ( 0.1)(111)(33.3) = 370 k Ω
VTH = I BQ RTH + VBE ( on ) + (1 + β ) I BQ RE − 5
    1
So    ( 370 )(10 ) − 5 = ( 0.00136 )( 370 ) + 0.7 + (111)( 0.00136 )( 33.3) − 5
   R
    1
which yields R1 = 594 k Ω and R2 = 981 k Ω
                  (1 + β ) ( RE RL ) ⎛ RTH Rib ⎞
Now Av =                              ⋅⎜              ⎟
               rπ + (1 + β ) ( RE RL ) ⎝ RTH Rib + RS ⎠
                                                      β VT
         Rib = rπ + (1 + β ) ( RE RL )   and rπ   =
                                                      I CQ
For β = 90, RL = 4 k Ω,
 rπ = 15.6 k Ω, Rib = 340.6 k Ω
           ( 91)( 33.3 4 )      370 340.6
Av =                          ⋅              ⇒ Av = 0.9332
        15.6 + ( 91)( 33.3 4 ) 370 340.6 + 4
For β = 90, RL = 10 k Ω
Rib = 715.4 k Ω
           ( 91)( 33.3 10 )      370 715.4
 Av =                          ⋅              ⇒ Av = 0.9625
        15.6 + ( 91)( 33.3 10 ) 370 715.4 + 4
For β = 130, RL = 4 k Ω
 rπ = 22.5 k Ω, Rib = 490 k Ω
           (131)( 33.3 4 )      370 490
Av =                          ⋅            ⇒ Av = 0.9360
        22.5 + (131)( 33.3 4 ) 370 490 + 4
For β = 130, RL = 10 k Ω
Rib = 1030 k Ω
        (131)( 33.3 10 )          370 1030
 Av =                          ⋅              ⇒ Av = 0.9645
    22.5 + (131)( 33.3 10 ) 370 1030 + 4
Now vO ( min ) = Av ( min ) .vS = 3.73sin ω t
   vO ( max ) = Av ( max ) .vS = 3.86sin ω t
            ΔvO
                = 3.5%
            vO

6.53
PAVG = iL ( rms ) RL ⇒ 1 = iL ( rms )(12 )
        2                   2


so iL ( rms ) = 0.289 A ⇒ iL ( peak ) = 2 ( 0.289 )
iL ( peak ) = 0.409 A
vL ( peak ) = iL ( peak ) ⋅ RL = ( 0.409 )(12 ) = 4.91 V
               4.91
Need a gain of      = 0.982
                5
With RS = 10 k Ω, we will not be able to meet this voltage gain requirement. Need to insert a buffer or an
op-amp voltage follower (see Chapter 9) between RS and CC1 .
                          1
Set I EQ = 0.5 A, VCEQ = (12 − ( −12 ) ) = 8 V
                          3
24 = I EQ RE + VCEQ = ( 0.5 ) RE + 8 ⇒ RE = 32 Ω
                   50
Let β = 50, I CQ =    ( 0.5 ) = 0.49 A
                   51
     β VT ( 50 )( 0.026 )
rπ =      =                = 2.65 Ω
     I CQ      0.49
Rib = rπ + (1 + β ) ( RE RL ) = 2.65 + ( 51) ( 32 12 )
Rib = 448 Ω
           (1 + β ) ( RE RL )      ( 51) ( 32 12 )
Av =                           =                       = 0.994
        rπ + (1 + β ) ( RE RL ) 2.65 + ( 51) ( 32 12 )
So gain requirement has been met.
0.49
I BQ =      = 0.0098 A = 9.8 mA
        50
            24
Let I R ≅         ≅ 10 I B = 98 mA
          R1 + R2
So that R1 + R2 = 245 Ω
              R2
VTH =               ( 24 ) − 12 = I BQ RTH + VBE ( on ) + I EQ RE − 12
            R1 + R2
⎛ R2 ⎞           ( 0.0098) R1 R2
⎜ 245 ⎟ ( 24 ) =       245
                                 + 0.7 + ( 0.5 )( 32 )
⎝     ⎠
Now R1 = 245 − R2
So we obtain
4 × 10−5 R2 + 0.0882 R2 − 16.7 = 0 which yields R2 = 175 Ω and R1 = 70 Ω
           2




6.54
(a)
 RTH = R1 R2 = 25.6 10.4 = 7.40 k Ω
      ⎛ R2 ⎞                ⎛ 10.4 ⎞
VTH = ⎜          ⎟ (VCC ) = ⎜                ⎟ (18 ) = 5.2 V
      ⎝ R1 + R2 ⎠           ⎝ 10.4 + 25.6 ⎠
VTH = I BQ RTH + VBE ( on ) + (1 + β ) I BQ RE
               5.2 − 0.7
I BQ =                        = 0.0117 mA
            7.40 + (126 )( 3)
Then I CQ = 1.46 mA and I EQ = 1.47 mA
VCEQ = VCC − I CQ RC − I EQ RE
VCEQ = 18 − (1.46 )( 4 ) − (1.47 )( 3) ⇒ VCEQ = 7.75 V
(b)
            (125) ( 0.026 )
     rπ =         = 2.23 k Ω
         1.46
     1.46
gm =       = 56.2 mA / V
     0.026
                                   Re

                                                                   Vo
                                   Ie        r␲    ␤Ib
Is                 RS         RE                          RC     RL
                                        Ib
                                             RTH
rπ + RTH 2.23 + 7.40
Re =            =            = 0.0764 k Ω
          1+ β      126
           − ( RS RE )                   − (100 3)
Ie =                         ⋅ Is =                        ⋅ Is
       (R   S    RE ) + Re            (100   3) + 0.0764
or I e = − ( 0.974 ) I s
                         ⎛ β             ⎞
Vo = − I c ( RC RL ) = − ⎜               ⎟ I e ( RC RL )
                         ⎝ 1+ β          ⎠
     Vo     ⎛ β ⎞                          ⎛ 125 ⎞
Then    = −⎜       ⎟ ( −0.974 )( RC RL ) = ⎜     ⎟ ( 0.974 )( 4 4 )
     Is     ⎝ 1+ β ⎠                       ⎝ 126 ⎠
          V
Then Rm = o = 1.93 k Ω = 1.93 V / mA
          Is
(c)
           (                 ) (
Vs = I s RS R E Re = I s 100 3 0.0764 = I s ( 0.0744 ))
         Vs
or I s =
      0.0744
            V V
which yields o = o ( 0.0744 ) = 1.93
             I s Vs
           Vo
or Av =       = 25.9
           Vs

6.55
(a)
         β ( RC RL )
Av =                       , RL = 12 k Ω, β = 100
         rπ + R1 R2
Let R1 R2 = 50 k Ω, I CQ = 0.5 mA
VTH = I BQ RTH + VBE ( on ) + (1+ β ) I BQ RE
       0.5                    (100 )( 0.026 )
I BQ =      = 0.005 mA, rπ =                   = 5.2 k Ω
       100                          0.5
1                1
   ⋅ RTH ⋅ VCC = ( 50 )(12 ) = ( 0.005 )( 50 ) + 0.7 + (101)( 0.005 )( 0.5 )
R1               R1
which yields R1 = 500 k Ω
and R2 = 55.6 k Ω
        (100 )(12      12 )
Av =                          = 10.9, Design criterion is met.
                5.2 + 50
(b)
I CQ   = 0.5 mA, I EQ = 0.505 mA
VCEQ = 12 − ( 0.5)(12) − ( 0.505)( 0.5) ⇒ VCEQ = 5.75 V
                          0.5
Av = g m ( RC RL ) , g m =     = 19.23 mA / V
                        0.026
Av = (19.23) (12 12 ) ⇒ Av = 115

6.56
a. Emitter current
I EQ = I CC = 0.5 mA
         0.5
I BQ =         = 0.00495 mA
         101
    VE = I EQ RE = ( 0.5 )(1) ⇒ VE = 0.5 V
    VB = VE + VBE ( on ) = 0.5 + 0.7 ⇒ VB = 1.20 V
    VC = VB + I BQ RB = 1.20 + ( 0.00495 )(100 ) ⇒ VC = 1.7 V
b.
         (100 )( 0.026 )
rπ =                      = 5.25 kΩ
        (100 )( 0.00495 )
         (100 )( 0.00495 )
gm =                                    = 19.0 mA/V
                     0.026
                     Ri
                                                     gmV␲
                                                                      V0
                 RS                 Ϫ
VS     ϩ                        RE V␲       r␲              RB   RL
       Ϫ
                                    ϩ




                                                    gmV␲

                              RS ͉͉RE Ϫ

΂           ΃
  RE                      ϩ
       V                  Ϫ          V␲      r␲
RE ϩ RS S
                                        ϩ


Vo = − g mVπ ( RB                RL )
                     RE      Rie
Vπ = −                             ⋅ VS = − ( 0.4971) VS
            RE            Rie + RS
Vo = (19 )( 0.4971) VS (100 1)
Av = 9.37
c.

                                                  gmV␲
                IX                 Ϫ
VX     ϩ
       Ϫ                       RE V␲        r␲

                                   ϩ
           VX VX
    IX =     +   − g mVπ , Vπ = −VX
           RE rπ
IX   1   1  1
   =   =   + + gm
VX Ri RE rπ
                              1             1
or Ri = RE rπ                    = 1 5.253
                              gm           19
    Ri = 0.84 0.05252 ⇒ Ri = 49.4 Ω

6.57
(a)              I EQ = 1 mA, I CQ = 0.9917 mA
VC = 5 − ( 0.9917 )( 2 ) = 3.017 V
  VE = −0.7 V
VCEQ = 3.72 V
(b)
 Av = g m ( RC RL )
      0.9917
gm =            = 38.14 mA/V
       0.026
 Av = ( 38.14 ) ( 2 10 ) ⇒ Av = 63.6

6.58
(a)
          10 − 0.7
 I EQ =            = 0.93 mA
             10
 I CQ   = 0.921 mA
VECQ = 20 − ( 0.93)(10 ) − ( 0.921)( 5 )
VECQ = 6.10 V
(b)
     0.921
gm =         = 35.42 mA/V
     0.026
Av = g m ( RC RL ) = ( 35.42 ) ( 5 50 )
Av = 161

6.59
(a)        I EQ = 0.93 mA, I CQ = 0.921 mA
VECQ = 6.10 V
                  0.921
(b)        gm =         = 35.42 mA/V rπ = 2.82 K
                  0.026
From Eq. 6.90

Av = g m
         ( RC RL ) ⎡ rπ R R ⎤
             RS     ⎢1 + β E S ⎥
                    ⎣             ⎦
     ( 35.42 ) ( 50 5 ) ⎡ 2.82      ⎤
   =                    ⎢ 101 10 0.1⎥
            0.1         ⎣           ⎦
     ( 35.42 )( 4.545 )
Av =                     [0.0218]
             0.1
Av = 35.1

6.60
(a)
       ⎛ 60 ⎞
I CQ = ⎜ ⎟ (1) ⇒ I CQ = 0.984 mA
       ⎝ 61 ⎠
                              ⎛ 1⎞
VCEQ = I BQ RB + VBE ( on ) = ⎜ ⎟ (100 ) + 0.7
                              ⎝ 61 ⎠
VCEQ = 2.34 V
(b)
Av = g m
            (RB    RL ) ⎡ rπ      ⎤
                               RS ⎥
                        ⎢
                 RS     ⎣1 + β    ⎦
      0.984
gm =        = 37.85 mA/V
      0.026
 rπ = 1.59 K
        ( 37.85) (100 2 ) ⎡1.59
                              ⎤
Av =                 ⎢ 61 0.05⎥
           0.05      ⎣        ⎦
   = 1484 ⎡ 0.0261 0.05⎤
          ⎣            ⎦
Av = 25.4

6.61
         is ( peak ) = 2.5 mA, Vo ( peak ) = 5 mV
                  vo     5 × 102 3
So we need Rm =      =             = 2 × 103 = 2 k Ω
                  is 2.5 × 102 6
From Problem 4.54
Vo ⎛ β ⎞                ⎛ RS RE ⎞
   =⎜       ⎟ ( RC RL ) ⎜
                        ⎜R R +R ⎟       ⎟
 Is ⎝ 1+ β ⎠            ⎝ S E        ie ⎠

Let RC = 4 k Ω, RL = 5 k Ω, RE = 2 k Ω
Now β = 120, so we have
   ⎛ 120 ⎞        ⎛ RS RE             ⎞         ⎛ RS RE ⎞
2=⎜      ⎟ ( 4 5) ⎜
                  ⎜R R +R             ⎟ = 2.204 ⎜
                                      ⎟         ⎜R R +R ⎟ ⎟
   ⎝ 121 ⎠        ⎝ S E      ie       ⎠         ⎝ S E  ie ⎠

        RS RE
Then                = 0.9075
      RS RE + Re
RS RE = 50 2 = 1.923 k Ω, so that Rie = 0.196 k Ω
Assume VCEQ = 3 V
VCC ≅ I CQ ( RC + RE ) + VCEQ
5 = I CQ ( 4 + 2 ) + 3 ⇒ I CQ = 0.333 mA
       (120 )( 0.026 )
rπ =              = 9.37 k Ω
        0.333
      r + RTH            9.37 + RTH
Rie = π       ⇒ 0.196 =
       1+ β                  121
which yields RTH = 14.35 k Ω
Now VTH = I BQ RTH + VBE ( on ) + I EQ RE
         1                       ⎛ 121 ⎞
I BQ =      = 0.00833 mA, I EQ = ⎜     ⎟ (1) = 1.008 mA
        120                      ⎝ 120 ⎠
         1            1
VTH    = ⋅ RTH ⋅ VCC = (14.35 )( 5 ) = ( 0.00833)(14.35 ) + 0.7 + (1.008 )( 2 )
        R1            R1
which yields R1 = 25.3 k Ω
and R2 = 33.2 k Ω

6.62
a.
20 − 0.7
 I EQ =            = 1.93 mA
             10
 I CQ   = 1.91 mA
VECQ = VCC + VEB ( on ) − I C RC
        = 25 + 0.7 − (1.91)( 6.5 ) ⇒ VECQ = 13.3 V
b.
                   Rie
            RS                                  h fe Ib
                                                                            V0
            IS            Ie
VS     ϩ                 RE                               RC           RL
       Ϫ                            hie
                               Ib


Neglect effect hoe
From Problem 6-16, assume
2.45 ≤ hie ≤ 3.7 kΩ
  80 ≤ h fe ≤ 120
Vo = ( h fe I b ) ( RC    RL )
          hie           ⎛ RE ⎞
Rie =            , Ie = ⎜          ⎟ IS
        1 + h fe        ⎝ RE + Rie ⎠
      ⎛ I ⎞              VS
 Ib = ⎜ e ⎟ , I S =
      ⎜ 1+ h ⎟      RS + RE               Rie
      ⎝     fe ⎠

      ⎛ h fe ⎞           ⎛ RE ⎞ ⎛            1                     ⎞
      ⎜ 1+ h ⎟( C
 Av = ⎜          R RL ) ⎜           ⎟×⎜                            ⎟
               ⎟
      ⎝     fe ⎠         ⎝ RE + Rie ⎠ ⎝ RS + RE                Rie ⎠
High gain device: hie = 3.7 kΩ, h fe = 120
        3.7
Rie =        = 0.0306 kΩ
        121
RE      Rie = 10 0.0306 = 0.0305
     ⎛ 120 ⎞           ⎛      10     ⎞⎛       1     ⎞
Av = ⎜     ⎟ ( 6.5 5 ) ⎜             ⎟⎜             ⎟ ⇒ Av = 2.711
     ⎝ 121 ⎠           ⎝ 10 + 0.0306 ⎠ ⎝ 1 + 0.0305 ⎠
Low gain device: hie = 2.45 kΩ, h fe = 80
        2.45
Rie =          = 0.03025 kΩ
          81
RE      Rie = 10 0.03025 = 0.0302
     ⎛ 80 ⎞        ⎛      10      ⎞⎛       1     ⎞
Av = ⎜ ⎟ ( 6.5 5 ) ⎜              ⎟⎜             ⎟ ⇒ Av = 2.70 So Av ≈ constant
     ⎝ 81 ⎠        ⎝ 10 + 0.03025 ⎠ ⎝ 1 + 0.0302 ⎠
2.70 ≤ Av ≤ 2.71
c.
Ri = RE Rie
We found 0.0302 ≤ Ri ≤ 0.0305 kΩ
Neglecting hoe , Ro = RC = 6.5 kΩ

6.63
a.         Small-signal voltage gain
Av = g m ( RC            RL ) ⇒ 25 = g m ( RC 1)
For VECQ = 3 V ⇒ VC = −VECQ + VEB ( on ) = −3 + 0.7 ⇒ VC = −2.3
                                          5 − 2.3 2.7
VCC − I CQ RC + VC = 0 ⇒ I CQ =                  =    = I CQ
                                            RC     RC
For I CQ = 1 mA, RC = 2.7 kΩ
        1
gm =          = 38.5 mA/V
      0.026
Av = ( 38.5 )( 2.7 1) = 28.1
Design criterion satisfied and VECQ satisfied.
      ⎛ 101 ⎞
 IE = ⎜     ⎟ (1) = 1.01 mA
      ⎝ 100 ⎠
                                          5 − 0.7
VEE = I E RE + VEB ( on ) ⇒ RE =                  ⇒ RE = 4.26 kΩ
                                           1.01
b.
         β VT         (100)( 0.026)
rπ =              =                   ⇒ rπ = 2.6 kΩ, g m = 38.5 mA/V, ro = ∞
          I CQ              1

6.64
a.
        ⎛ R2 ⎞            ⎛ 20 ⎞
VTH 1 = ⎜         ⎟ VCC = ⎜         ⎟ (10 ) ⇒ VTH 1 = 2.0 V
        ⎝ R1 + R2 ⎠       ⎝ 20 + 80 ⎠
RTH 1 = R1 R2 = 20 80 = 16 kΩ
             2 − 0.7
I B1 =                  = 0.0111 mA
          16 + (101)(1)
                                   1.11
I C1 = 1.11 mA ⇒ g m1 =                  ⇒ g m1 = 42.74 mA/V
                                   0.026
          (100)( 0.026)
rπ 1 =                       ⇒ rπ 1 = 2.34 kΩ
                  1.11
       ∞
r01 =      ⇒ r01 = ∞
      1.11
        ⎛ R4 ⎞            ⎛ 15 ⎞
VTH 2 = ⎜         ⎟ VCC = ⎜         ⎟ (10 ) = 1.50 V
        ⎝ R3 + R4 ⎠       ⎝ 15 + 85 ⎠
RTH 2 = R3 R4 = 15 85 = 12.75 kΩ
             1.50 − 0.70
IB2 =                          = 0.01265 mA
          12.75 + (101)( 0.5 )
                                      1.265
I C 2 = 1.265 mA ⇒ g m 2 =                  ⇒ g m2 = 48.65 mA/V
                                      0.026
          (100 )( 0.026 )
 rπ 2 =                         ⇒ rπ 2 = 2.06 kΩ
                  1.26
                                r02 = ∞
b.
 Av1 = − g m1 RC1 = − ( 42.7 )( 2 ) ⇒ Av1 = −85.48
Av 2 = − g m 2 ( RC 2 RL ) = − ( 48.5) ( 4 4) ⇒ Av 2 = −97.3
c.               Input resistance of 2nd stage
Ri 2 = R3 R4 rπ 2 = 15 85 2.06
     = 12.75 2.06 ⇒ Ri 2 = 1.773 kΩ
Av′1 = − g m1 ( RC1 Ri 2 ) = − ( 42.7 ) ( 2 1.77B)
Av′1 = −40.17
Overall gain: Av = ( −40.17 )( −97.3) ⇒ Av = 3909
If we had Av1 ⋅ Av 2 = ( −85.48)( −97.3) = 8317
Loading effect reduces overall gain

6.65
a.
        ⎛ R2 ⎞            ⎛ 12.7 ⎞
VTH 1 = ⎜         ⎟ VCC = ⎜             ⎟ (12) ⇒ VTH 1 = 1.905 V
        ⎝ R1 + R2 ⎠       ⎝ 12.7 + 67.3 ⎠
RTH 1 = R1 R2 = 12.7 67.3 = 10.68 kΩ
          1.905 − 0.70
I B1 =                    = 0.00477 mA
       10.68 + (121)( 2 )
I C1 = 0.572 mA
              0.572
      g m1 =         ⇒ g m1 = 22 mA/V
              0.026
             (120 )( 0.026 )
      rπ 1 =                 ⇒ rπ 1 = 5.45 kΩ
                 0.572
               ∞
      r01 =         ⇒ r01 = ∞
             0.572
          ⎛ R4 ⎞             ⎛ 45 ⎞
VTH 2 = ⎜           ⎟ VCC = ⎜          ⎟ (12) ⇒ VTH 2 = 9.0 V
          ⎝ R3 + R4 ⎠        ⎝ 45 + 15 ⎠
RTH 2 = R3 R4 = 15 45 = 11.25 kΩ
           9.0 − 0.70
I B2 =                    = 0.0405 mA
       11.25 + (121)(1.6)
I C2 = 4.86 mA
         4.86
gm2 =          ⇒ g m 2 = 187 mA/V
        0.026
       (120 )( 0.026 )
rπ 2 =                 ⇒ rπ 2 = 0.642 kΩ
            4.86
                        r02 = ∞
b.
  I E1 = 0.577 mA
VCEQ1 = 12 − ( 0.572 ) (10 ) − ( 0.577 ) ( 2 ) ⇒ VCEQ1 = 5.13 V
  I E 2 = 4.90
VCEQ 2 = 12 − ( 4.90 )(1.6 ) ⇒ VCEQ 2 = 4.16 V
Q1
                              AC load line
                                        Ϫ1
                              Slope ϭ
                                      10͉͉7.92
                                        Ϫ1
                                   ϭ
                                      4.42 K
0.572




                       5.13                      12
 Q2
                   AC load line
                             Ϫ1
                   Slope ϭ
                           1.6͉͉0.25
                             Ϫ1
4.86                     ϭ
                           0.216 K



                4.16                         12


Ri 2 = R3 R4 Rib
Rib = rπ 2 + (1 + β ) ( RE 2 RL )
     = 0.642 + (121) (1.6 0.25 )
 Rib = 26.8
Ri 2 = 15 45 26.8
Ri 2 = 7.92 kΩ
c.
 Av1 = − g m1 ( RC1 Ri 2 ) = − ( 22 )(10 7.92 ) ⇒ Av 2 = −97.2
         (1 + β )( RE 2 RL )
Av 2 =
     rπ 2 + (1 + β )( RE 2 RL )
          (121)( 0.216 )
   =                          = 0.976
     0.642 + (121)( 0.216 )
Overall gain = ( −97.2 )( 0.976 ) = −94.9
d.
RiS = R1 R2 rπ 1 = 67.3 12.7 5.45 ⇒ RiS = 3.61 kΩ
          rπ 2 + RS
 Ro =               RE 2 where
            1+ β
 RS = R3 R4 RC1
    = 15 45 10 ⇒ RS = 5.29 kΩ
          0.642 + 5.29
 Ro =                  1.6 ⇒ 0.049 1.6 ⇒ Ro = 47.6 Ω
              121
e.
          −1
ΔiC =             ⋅ Δvce , ΔiC = 4.86
     0.216 kΩ
Δvce = ( 4.86 )( 0.216 ) = 1.05 V
Max. output voltage swing = 2.10 V peak-to-peak

6.66
(a)
5 − 2 ( 0.7 )
 I R1 =                = 72 mA
            0.050
         0.7
IR2    =      = 1.4 mA
         0.5
         ⎛ β ⎞
IC 2   =⎜        ⎟ ( 72 − 1.4 ) ⇒ I C 2 = 69.9 mA
         ⎝ 1+ β ⎠
        69.9
IB2 =         = 0.699 mA
        100
        ⎛ β ⎞
I C1   =⎜      ⎟ (1.4 + 0.699 ) ⇒ I C1 = 2.08 mA
        ⎝ 1+ β ⎠
(b)

                   ϩ
Vs     ϩ
       Ϫ         V␲1       r␲1
                                      gm1V␲1        gm2V␲2
                   Ϫ



                                      r␲2   ϩ

                                 0.5 k⍀     V␲2
                                            Ϫ

                                                     Vo


                                            50 Ω



Vs = Vπ 1 + Vπ 2 + Vo
(1)
       ⎛V        V             ⎞
  Vo = ⎜ π 2 + π 2 + g m 2Vπ 2 ⎟ ( 0.05 )
       ⎝ 0.5 rπ 2              ⎠
           (100 )( 0.026 )
 rπ 2 =                = 0.0372 k Ω
              69.9
        69.9
 gm2 =          = 2688 mA / V
       0.026
            ⎛ 1       1           ⎞                             V
  Vo = Vπ 2 ⎜     +        + 2688 ⎟ ( 0.05 ) so that (1) Vπ 2 = o
            ⎝ 0.5 0.0372          ⎠                            135.8
(2)
Vπ 1             V     V
     + g m1Vπ 1 = π 2 + π 2
rπ 1             0.5 rπ 2
         (100 )( 0.026 )
rπ 1 =                  = 1.25 k Ω
             2.08
          2.08
g m1 =          = 80 mA / V
         0.026
     ⎛ 1          ⎞        ⎛ 1      1 ⎞
Vπ 1 ⎜       + 80 ⎟ = Vπ 2 ⎜    +       ⎟
     ⎝ 1.25       ⎠        ⎝ 0.5 0.0372 ⎠
                                 ⎛ V ⎞
Vπ 1 ( 80.8 ) = Vπ 2 ( 28.88 ) = ⎜ o ⎟ ( 28.88 ) or (2) Vπ 1 = Vo ( 0.00261)
                                 ⎝ 136.7 ⎠
                                   V                                 V
Then Vs = Vo ( 0.00261) + o + Vo = Vo (1.00993) or Av = o = 0.990
                                136.7                                Vs
(c)
 Rib = rπ 1 (1 + β ) [ Rx ]


              Ix
                                ϩ
Vx   ϩ
     Ϫ                  0.5 k⍀ V␲2   r␲2
                                                   gm2V␲2
                                Ϫ

                                                       Vo


                                                   50 ⍀




     Vπ 2 Vπ 2          ⎛ 1       1 ⎞
Ix =     +       = Vπ 2 ⎜      +    ⎟
     0.5 rπ 2           ⎝ 0.5 rπ 2 ⎠
 Vo     V − Vπ 2
     = x          = I x + g m 2Vπ 2
0.05     0.05
                                      ⎛ 1          ⎞
                                   Ix ⎜      + gm2 ⎟
 Vx               ⎛ 1          ⎞      ⎝ 0.05       ⎠
     − I x = Vπ 2 ⎜      + gm2 ⎟ =
0.05              ⎝ 0.05       ⎠     ⎛ 1      1 ⎞
                                     ⎜     +     ⎟
                                     ⎝  0.5 rπ 2 ⎠
             Vx
We find         = Rx = 4.74 k Ω
             Ix
Then Rib = 1.25 + (101) ( 2.89 ) ⇒ Rib = 480 k Ω
ϩ
  V␲1       r␲1
                            gm1V␲1            gm2V␲2
      Ϫ



                             r␲2   ϩ

                    0.5 k⍀         V␲2
                                   Ϫ


                                                 Ix
                                                        ϩ
                                              50 ⍀      Ϫ
                                                             Vx




To find Ro:
                     Vx                 V
(1)          Ix =        − g m 2Vπ 2 − π 2
                    0.05              0.5 rπ 2
                     ⎛V              ⎞                     ⎛ 1         ⎞
(2)          Vπ 2 = ⎜ π 1 + g m1Vπ 1 ⎟ ( 0.5 rπ 2 ) = Vπ 1 ⎜      + 80 ⎟ ( 0.5 0.0372 ) or Vπ 2 = ( 2.77 ) Vπ 1
                     ⎝ rπ 1          ⎠                     ⎝ 1.25      ⎠
(3)          Vπ 1 + Vπ 2 + Vx = 0 ⇒ Vπ 1 + ( 2.77 ) Vπ 1 + Vx = 0
so that Vπ 1 = − ( 0.2653) Vx
and Vπ 2 = ( 2.77 ) ⎡ − ( 0.2653) Vx ⎤ = − ( 0.735 ) Vx
                    ⎣                ⎦
               Vx         ⎛            1 ⎞
Now I x =          − Vπ 2 ⎜ g m 2 +          ⎟
              0.05        ⎜         0.5 rπ 2 ⎟
                          ⎝                  ⎠
                   Vx                 ⎡             1     ⎤                   Vx
So that I x =          + ( 0.735 ) Vx ⎢ 2688 +            ⎥ which yields Ro =    = 0.496 Ω
                  0.05                ⎢
                                      ⎣        0.5 0.0372 ⎥
                                                          ⎦                   Ix

6.67
a.
RTH = R1 R2 = 335 125 = 91.0 kΩ
      ⎛ R2 ⎞
VTH = ⎜          ⎟ VCC
      ⎝ R1 + R2 ⎠
      ⎛ 125 ⎞
    =⎜              ⎟ (10 ) = 2.717 V
      ⎝ 125 + 335 ⎠
VTH = I B1 RTH + VBE1 + VBE 2 + I E 2 RE 2
 I E 2 = (1 + β ) I E1 = (1 + β ) I B1
                                     2


            2.717 − 1.40
I B1 =                         ⇒ I B1 = 0.128 μΑ
          91.0 + (101) (1)
                        2


I C1 = 12.8 μΑ
I C 2 = β I E1 = β (1 + β ) I B1 = (100 )(101)( 0.128 μΑ )
I C 2 = 1.29 mΑ, I E 2 = 1.31 mΑ
I RC = I C 2 + I C1 = 1.29 + 0.0128 = 1.30 mΑ
VC = 10 − I RC RC = 10 − (1.30 )( 2.2 ) = 7.14 V
VE = I E 2 RE 2 = (1.30 )(1) = 1.30 V
VCE 2 = 7.14 − 1.30 = 5.84 V
VCE1 = VCE 2 − VBE 2 = 5.84 − 0.7
VCE1 = 5.14 V
Summary:
  I C1 = 12.8 μΑ       I C 2 = 1.29 mΑ
VCE1 = 5.14 V         VCE 2 = 5.84 V
b.
         0.0128
 g m1 =           = 0.492 mΑ / V
          0.026
         1.292
gm2 =           = 49.7 mΑ / V
         0.026
                  Rib
                                                           V0
                             ϩ
                     Ib
                          V␲1    r␲1
                                               gm1V␲1
     ϩ                       Ϫ
VS                                ϩ                        RC
     Ϫ
                                                  gm2V␲2
                   R1͉͉ R2       V␲2    r␲2
                                  Ϫ


V0 = − ( g m1Vπ 1 + g m 2Vπ 2 ) RC
VS = Vπ 1 + Vπ 2 , Vπ 1 = VS − Vπ 2
       ⎛V               ⎞
Vπ 2 = ⎜ π 1 + g m1Vπ 1 ⎟ rπ 2
       ⎝ rπ 1           ⎠
            ⎛1+ β ⎞
Vπ 2 = Vπ 1 ⎜      ⎟ rπ 2
            ⎝ rπ 1 ⎠
V0 = − ⎡ g m1 (VS − Vπ 2 ) + g m 2Vπ 2 ⎤ RC
       ⎣                                ⎦
V0 = − ⎡ g m1VS + ( g m 2 − g m1 ) Vπ 2 ⎤ RC
       ⎣                                ⎦
                            ⎛r ⎞
Vπ 2 = (VS − Vπ 2 )(1 + β ) ⎜ π 2 ⎟
                            ⎝ rπ 1 ⎠
     ⎡             ⎛ r ⎞⎤                  ⎛r ⎞
Vπ 2 ⎢1 + (1 + β ) ⎜ π 2 ⎟ ⎥ = VS (1 + β ) ⎜ π 2 ⎟
     ⎣             ⎝ rπ 1 ⎠ ⎦              ⎝ rπ 1 ⎠
⎧                                         ⎛r ⎞⎫
       ⎪                             VS (1 + β ) ⎜ π 2 ⎟ ⎪
       ⎪
V0 = − ⎨ g m1VS + ( g m 2 − g m1 ) ⋅             ⎝ rπ 1 ⎠ ⎪ R
                                                           ⎬ C
       ⎪                                          ⎛r ⎞
                                     1 + (1 + β ) ⎜ π 2 ⎟ ⎪
       ⎪                                          ⎝ rπ 1 ⎠ ⎪
       ⎩                                                   ⎭
     V0
Av =
     VS
         ⎧                                     2.01 ⎞ ⎫
         ⎪            ( 49.7 − 0.492 )(101) ⎛
                                            ⎜       ⎟⎪
         ⎪                                  ⎝ 203 ⎠ ⎪ 2.2
     = − ⎨( 0.492 ) +                                 ⎬
         ⎪                            ⎛ 2.01 ⎞        ⎪
                            1 + (101) ⎜      ⎟
         ⎪
         ⎩                            ⎝ 203 ⎠         ⎪
                                                      ⎭
 Av = −55.2
c.
 Ris = R1 R2 Rib
Rib = rπ 1 + (1 + β ) rπ 2
    = 203 + (101)( 2.01) = 406 kΩ
Ris = 91 406 = 74.3 kΩ = Ris
R0 = RC = 2.2 kΩ

6.68
                                                           R0


                                                                 Ix
        ϩ
                                                                      ϩ   Vx
       V␲1     r␲1                      ro1
                                                                      Ϫ
                           gm1V␲1
        Ϫ

                                 VA

                          ϩ
                        V␲2       r␲2                      ro2
                                               gm2V␲2
                          Ϫ



                                 Vx Vx − VA
(1)          I x = g m 2Vπ 2 +        +     + g m1Vπ 1
                                 ro 2   ro1
             Vx − VA                 VA
(2)                  + g m1Vπ 1 =
                ro1               rπ 1 rπ 2
(3)        Vπ 2 = VA = −Vπ 1
Then from (2)
 Vx       ⎛ 1              1 ⎞
     = VA ⎜ + g m1 +             ⎟
 ro1      ⎜r           rπ 1 rπ 2 ⎟
          ⎝ o1                   ⎠
                  Vx Vx VA                       ⎛ 1    1 ⎞     ⎛        1   ⎞
(1) I x = g m 2VA +   + − − g m1VA or I x = Vx ⎜ + ⎟ + VA ⎜ g m 2 − − g m1 ⎟
                  ro 2 ro1 ro1                   ⎝ ro1 ro 2 ⎠   ⎝       ro1  ⎠
Solving for VA from Equation (2) and substituting into Equation (1), we find
1                1
                            + g m1 +
     V                  ro1           rπ 1 rπ 2
Ro = x =
     Ix    1 ⎛ 1              1 ⎞ 1 ⎛ 1                     ⎞
               ⎜ + g m1 +           ⎟+ ⎜              + gm2 ⎟
          ro 2 ⎝ ro1      rπ 1 rπ 2 ⎠ ro1 ⎝ rπ 1 rπ 2       ⎠
For β = 100, VA = 100 V , I C1 = I Bias = 1 mA
                100
ro1 = ro 2 =        = 100 k Ω
                 1
                (100 )( 0.026 )
rπ 1 = rπ 2 =                     = 2.6 k Ω
                       1
                    1
g m1 = g m 2 =          = 38.46 mA/V
                  0.026
                                1               1
                                   + 38.46 +
                               100           2.6 2.6
Then Ro =
                 1 ⎛ 1                 1 ⎞ 1 ⎛ 1                    ⎞
                    ⎜     + 38.46 +         ⎟+    ⎜         + 38.46 ⎟
                100 ⎜ 100
                    ⎝               2.6 2.6 ⎟ 100 ⎜ 2.6 2.6
                                            ⎠     ⎝
                                                                    ⎟
                                                                    ⎠
or Ro = 50.0 k Ω
Now I C 2 = 1 mA, I Bias = 0
                       IC 2 β   I
Replace I Bias by         ⋅   = C 2 , I C1 ≅ 0.01 mA
                        β 1+ β 1+ β
       100                   100
ro 2 =     = 100 k Ω, ro1 =        = 10, 000 k Ω
        1                    0.01
          1
gm2 =           = 38.46 mA/V , g m1 = 0.3846 mA/V
        0.026
       (100 )( 0.026 )
rπ 2 =                 = 2.6 k Ω, rπ 1 = 260 k Ω
             1
Then Ro = 66.4 k Ω

6.69
a.
 RTH = R1 R2 = 93.7 6.3 = 5.90 k Ω
        ⎛ R2 ⎞
 VTH = ⎜          ⎟ VCC
        ⎝ R1 + R2 ⎠
        ⎛     6.3 ⎞
      =⎜             ⎟ (12 ) = 0.756 V
        ⎝ 6.3 + 93.7 ⎠
        0.756 − 0.70
 I BQ =                 = 0.00949 mA
             5.90
 I CQ = 0.949 mA
VCEQ = 12 − ( 0.949 )( 6 ) ⇒ VCEQ = 6.305 V
Transistor:
PQ ≈ I CQVCEQ = ( 0.949 )( 6.305 ) ⇒ PQ = 5.98 mW

RC : PR = I CQ RC = ( 0.949 ) ( 6 ) ⇒ PR = 5.40 mW
            2                       2


b.
2                 AC load line
                                  Ϫ1
                        Slope ϭ
                                 6͉͉105
                                  Ϫ1
                              ϭ
0.949                            5.68 K




                         6.31             12
      100
r0 =       = 105 kΩ
     0.949
Peak signal current = 0.949 mA
V0 ( max ) = ( 5.68 )( 0.949 ) = 5.39 V

          1 V0 ( max ) 1 ⎡ ( 5.39 ) ⎤
              2                    2

PRC =       ⋅         = ⎢            ⎥ ⇒ PRC = 2.42 mW
          2     RC     2⎢ 6 ⎥
                         ⎣           ⎦

6.70
(a)
10 = I BQ RB + VBE ( on ) + (1 + β ) I BQ RE
            10 − 0.7
 I BQ =                    = 0.00369 mA
        100 + (121)( 20 )
I CQ = 0.443 mA, I EQ = 0.447 mA
For RC : PRC = ( 0.443) (10 ) ⇒ PRC = 1.96 mW
                                    2



For RE : PRE = ( 0.447 ) ( 20 ) ⇒ PRE = 4.0 mW
                                    2


(b)
          ΔiC = 0.667 − 0.443 = 0.224 mA
                   1             1
                     ( ΔiC ) RC = ( 0.224 ) (10 )
                            2              2
Then P RC =
                   2             2
          P RC   = 0.251 mW

6.71
a.
              10 − 0.7
 I BQ =                    = 0.00596 mA
           50 + (151)(10 )
 I CQ = 0.894 mA, I EQ = 0.90 mA
VECQ = 20 − ( 0.894 )( 5 ) − ( 0.90 )(10 ) ⇒ VECQ = 6.53 V
 PQ ≅ I CQVECQ = ( 0.894 )( 6.53) ⇒ PQ = 5.84 mW

PRC ≅ I CQ RC = ( 0.894 ) ( 5 ) ⇒ PRC = 4.0 mW
        2                       2



PRE ≅ I EQ RE = ( 0.90 ) (10 ) ⇒ PRE = 8.1 mW
        2                   2


b.
AC load line
                                     Ϫ1
                            Slope ϭ
                                    5͉͉2
                                      Ϫ1
                                 ϭ
0.894                                1.43 K




                     6.53                     20
         −1
ΔiC =         ⋅ Δvec
      1.43 kΩ
ΔiC = 0.894 ⇒ Δvec = ( 0.894 )(1.43) = 1.28 V
      ⎛ 5 ⎞
Δi0 = ⎜     ⎟ ΔiC = 0.639 mA
      ⎝5+2⎠
      1
PRL = ( 0.639 ) ( 2 ) ⇒ PRL = 0.408 mW
                2

      2
       1
PRC = ⋅ ( 0.894 − 0.639 ) ( 5 ) ⇒ PRC = 0.163 mW
                         2

       2
PRE = 0
 PQ = 5.84 − 0.408 − 0.163 ⇒ PQ = 5.27 mW

6.72
             10 − 0.70
 I BQ =                    = 0.00838 mA
          100 + (101)(10 )
 I CQ = 0.838 mA, I EQ = 0.846 mA
VCEQ = 20 − ( 0.838 )(10 ) − ( 0.846 )(10 ) ⇒ VCEQ = 3.16 V

                      AC load line
                                 Ϫ1
                      Slope ϭ
                               RE ͉͉RL͉͉r0
0.838




              3.16                            20
      100
r0 =       = 119 kΩ
     0.838
Neglecting base currents:
a.
   RL = 1 kΩ
                −1       −1
slope =              =
             10 1 119 0.902 kΩ
               −1
     ΔiC =          ⋅ ΔVce
           0.902 kΩ
     ΔiC = 0.838 ⇒ ΔVce = ( 0.902 )( 0.838 ) = 0.756 V
             1 ( 0.756 )
                            2

     PRL =               ⇒ PRL = 0.286 mW
             2      1
b.
RL = 10 kΩ
               −1     −1
slope =             =
           10 10 119 4.80
For ΔiC = 0.838 ⇒ Δvce = ( 0.838 )( 4.80 ) = 4.02
                                            1 ( 3.16 )
                                                     2

Max. swing determined by voltage PRL =                 ⇒ PRL = 0.499 mW
                                            2 10

6.73
a.
            10 − 0.7
I BQ =                    = 0.00838 mA
         100 + (101)(10 )
I CQ = 0.838 mA, I EQ = 0.846 mA
VCEQ = 20 − ( 0.838 )(10 ) − ( 0.846 )(10 ) ⇒ VCEQ = 3.16 V
PQ ≅ I CQVCEQ = ( 0.838 )( 3.16 ) ⇒ PQ = 2.65 mW

PRC ≅ I CQ RC = ( 0.838 ) (10 ) ⇒ PRC = 7.02 mW
        2                    2


b.
                   AC load line
                            Ϫ1
                   Slope ϭ
                           RC ͉͉RL
                           Ϫ1      Ϫ1
0.838                   ϭ        ϭ
                           10͉͉1 0.909 K




            3.16                     20
         −1
ΔiC =           ⋅ Δvce
      0.909 kΩ
For ΔiC = 0.838 ⇒ Δvce = ( 0.909 )( 0.838 ) = 0.762 V
      ⎛ RC ⎞            ⎛ 10 ⎞
Δi0 = ⎜         ⎟ ΔiC = ⎜        ⎟ ΔiC = 0.762 mA
      ⎝ RC + RL ⎠       ⎝ 10 + 1 ⎠
      1
PRL = ( 0.762 ) (1) ⇒ PRL = 0.290 mW
                2

      2
       1
PRC = ⋅ ( 0.838 − 0.762 ) (10 ) ⇒ PRC = 0.0289 mW
                          2

       2
PQ = 2.65 − 0.290 − 0.0289 ⇒ PQ = 2.33 mW

Ch06s

  • 1.
    Chapter 6 Problem Solutions 6.1 a. I CQ 2 gm = = ⇒ g m = 76.9 mA/V VT 0.026 β VT (180 )( 0.026 ) rπ = = ⇒ rπ = 2.34 kΩ I CQ 2 VA 150 r0 = = ⇒ r0 = 75 kΩ I CQ 2 b. 0.5 gm = ⇒ g m = 19.2 mA/V 0.026 (180 )( 0.026 ) rπ = ⇒ rπ = 9.36 kΩ 0.5 150 r0 = ⇒ r0 = 300 kΩ 0.5 6.2 (a) I CQ 0.8 gm = = = 30.8 mA/V VT 0.026 β VT (120 )( 0.026 ) rπ = = = 3.9 K I CQ 0.8 VA 120 ro = = = 150 K I CQ 0.8 (b) 0.08 gm = = 3.08 mA/V 0.026 (120 )( 0.026 ) rπ = = 39 K 0.08 120 ro = = 1500 K 0.08 6.3 I CQ I CQ gm = ⇒ 200 = ⇒ I CQ = 5.2 mA VT 0.026 β VT (125)( 0.026 ) rπ = = ⇒ rπ = 0.625 kΩ I CQ 5.2 VA 200 r0 = = ⇒ r0 = 38.5 kΩ I CQ 5.2 6.4
  • 2.
    I CQ I CQ gm = ⇒ 80 = ⇒ I CQ = 2.08 mA VT 0.026 β VT β ( 0.026 ) rπ = ⇒ 1.20 = ⇒ β = 96 I CQ 2.08 6.5 (a) 2 − 0.7 I BQ = = 0.0052 mA 250 I C = (120 )( 0.0052 ) = 0.624 mA 0.624 gm = ⇒ g m = 24 mA / V 0.026 (120 )( 0.026 ) rπ = ⇒ rπ = 5 k Ω 0.624 ro = ∞ ⎛ r ⎞ ⎛ 5 ⎞ (b) Av = − g m RC ⎜ π ⎟ = − ( 24 )( 4 ) ⎜ ⎟ ⇒ Av = −1.88 ⎝ rπ + RB ⎠ ⎝ 5 + 250 ⎠ v v (c) vS = O = O ⇒ vS = −0.426sin100t V Av −1.88 6.6 I CQ gm = , 1.08 ≤ I CQ ≤ 1.32 mA VT 1.08 1.32 ≤ gm ≤ ⇒ 41.5 ≤ g m ≤ 50.8 mA/V 0.026 0.026 β VT (120 )( 0.026 ) rπ = ; rπ ( max ) = = 2.89 kΩ I CQ 1.08 (80 )( 0.026 ) rπ ( min ) = = 1.58 kΩ 1.32 1.58 ≤ rπ ≤ 2.89 kΩ 6.7 a. β VT (120 )( 0.026 ) rπ = 5.4 = = ⇒ I CQ = 0.578 mA I CQ I CQ 1 1 VCEQ = VCC = ( 5 ) = 2.5 V 2 2 VCEQ = VCC − I CQ RC ⇒ 2.5 = 5.0 − ( 0.578 ) RC ⇒ RC = 4.33 kΩ I CQ 0.578 I BQ = = = 0.00482 mA β 120 VBB = I BQ RB + VBE ( on ) = ( 0.00482 )( 25 ) + 0.70 ⇒ VBB = 0.820 V b.
  • 3.
    β VT (120 )( 0.026 ) rπ = = = 5.40 kΩ I CQ 0.578 I CQ 0.578 gm = = = 22.2 mA/V VT 0.026 VA 100 r0 = = = 173 kΩ I CQ 0.578 ⎛ r ⎞ V0 = − g m ( r0 RC ) Vπ , Vπ = ⎜ π ⎟ VS ⎝ rπ + RB ⎠ ⎛ r ⎞ β ( r0 RC ) Av = − g m ⎜ π ⎟ ( r0 RC ) = − ⎝ rπ + RB ⎠ rπ + RB (120 ) ⎡173 ⎣ 4.33⎤ ⎦ (120 )( 4.22 ) Av = − =− ⇒ Av = −16.7 5.40 + 25 30.4 6.8 a. 1 VECQ = VCC = 5 V 2 VECQ = 10 − I CQ RC ⇒ 5 = 10 − ( 0.5 ) RC ⇒ RC = 10 kΩ I CQ 0.5 I BQ = = = 0.005 β 100 VEB ( on ) + I BQ RB = VBB = ( 0.70 ) + ( 0.005 )( 50 ) ⇒ VBB = 0.95 V b. I CQ 0.5 gm = = ⇒ g m = 19.2 mA/V VT 0.026 β VT (100 )( 0.026 ) rπ = = ⇒ rπ = 5.2 kΩ I CQ 0.5 VA ∞ r0 = = ⇒ r0 = ∞ I CQ 0.5 c. Av = − β RC =− (100 )(10 ) ⇒ A = −18.1 v rπ + RB 5.2 + 50 6.9 10 − 4 I CQ = = 1.5 mA 4 1.5 I BQ = = 0.015 mA 100 (100 )( 0.026 ) rπ = = 1.73 K 1.5 v 5sin ω t ( mV ) ib = be = = 2.89sin ω t ( μ A ) rπ 1.73 kΩ So
  • 4.
    iB ( t) = I BQ + iEb = 15 + 2.89sin ω t ( μ A ) iC1 ( t ) = β iB ⇒ iC1 ( t ) = 1.5 + 0.289sin ω t ( mA ) vC ( t ) = 10 − iC1 ( t ) RC = 10 − [1.5 + 0.289sin ω t ] (γ ) vC1 ( t ) = 4 − 1.156sin ω t ( v ) vC ( t ) −1.156 Av = = ⇒ Av = −231 vbe ( t ) 0.005 6.10 vo = 1.2sin ω t ( V ) −1.2sin ω t iC ( t ) RC + vo = 0 ⇒ iC ( t ) = 2 iC ( t ) = −0.60sin ω t ( mA ) iC ( t ) ib ( t ) = = −6sin ω t ( μ A ) β vbe ( t ) = ib ( t ) ⋅ rπ g m rπ = β 100 rπ = =2K 50 vbe ( t ) = −12sin ω t ( mV ) 6.11 a. I CQ ≈ I EQ VCEQ = 5 = 10 − I CQ ( RC + RE ) = 10 − I CQ (1.2 + 0.2) I CQ = 3.57 mA 3.57 I BQ = = 0.0238 mA 150 R1 R2 = RTH = ( 0.1)(1 + β ) RE = ( 0.1)(151)( 0.2 ) = 3.02 kΩ 1 VTH = ⋅ RTH ⋅ (10) − 5 R1 VTH = I BQ RTH + VBE ( on ) + (1 + β ) I BQ RE − 5 1 (3.02)(10) − 5 = ( 0.0238)(3.02) + 0.7 + (151)( 0.0238)( 0.2) − 5 R1 1 ( 30.2 ) = 1.50 ⇒ R1 = 20.1 k Ω R1 20.1R2 = 3.02 ⇒ R2 = 3.55 kΩ 20.1 + R2 b. (150 )( 0.026 ) rp = = 1.09 kΩ 3.57 3.57 gm = = 137 mA/V 0.026
  • 5.
    V0 ϩ V␲ r␲ gmV␲ Ϫ ϩ VS R1͉͉R2 RC Ϫ RE 2 β RC (150 )(1.2 ) Av = =2 ⇒ Av = 2 5.75 rp + (1 + β ) RE 1.09 + (151)( 0.2 ) 6.12 a. ⎛ R2 ⎞ ⎛ 50 ⎞ VTH = ⎜ ⎟ VCC = ⎜ ⎟ (12 ) = 10 V ⎝ R1 + R2 ⎠ ⎝ 50 + 10 ⎠ RTH = R1 R2 = 50 10 = 8.33 kΩ 12 − 0.7 − 10 I BQ = = 0.0119 mA 8.33 + (101)(1) I CQ = 1.19 mA, I EQ = 1.20 mA VECQ = 12 − (1.20 )(1) − (1.19 )( 2 ) VECQ = 8.42 V iC 4 1.19 8.42 12 ␯EC b. V0 Ϫ V␲ r␲ gmV␲ ϩ ϩ VS R1͉͉R2 RC Ϫ RE
  • 6.
    (100 )( 0.026) rp = = 2.18 kΩ 1.19 V0 = g mVp RC ⎛V ⎞ VS = 2 Vp − ⎜ p + g mVp ⎟ RE ⎝ rp ⎠ ⎡ rπ + (1 + β ) RE ⎤ = −Vp ⎢ ⎥ ⎣ rp ⎦ 2 β RC 2 (100 )( 2 ) Av = = ⇒ Av = 2 1.94 rp + (1 + β ) RE 2.18 + (101)(1) c. Approximation: Assume rp does not vary significantly. RC = 2 kΩ ± 5% = 2.1 kΩ or 1.9 kΩ RE = 1 kΩ ± 5% = 1.05 kΩ or 0.95 kΩ For RC ( max ) = 2.1 kΩ and RE ( min ) − (100 )( 2.1) Av = = −2.14 2.18 + (101)( 0.95 ) For RC ( min ) = 1.9 kΩ and RE ( max ) = 1.05 kΩ − (100 )(1.9 ) Av = = −1.76 2.18 + (101)(1.05 ) So 1.76 ≤ Av ≤ 2.14 6.13 (a) VCC = ⎜ 1+ β ⎟ I CQ RE + VECQ + I CQ RC ⎛ ⎞ ⎜ ⎟ β ⎝ ⎠ ⎛ 101 ⎞ 12 = ⎜ ⎟ I CQ (1) + 6 + I CQ ( 2 ) ⎝ 100 ⎠ so that I CQ = 1.99 mA 1.99 I BQ = = 0.0199 mA 100 RTH = ( 0.1)(1 + β ) RE = ( 0.1)(101)(1) = 10.1 k Ω ⎛ R2 ⎞ 1 1 VTH = ⎜ ⎟ V = ⋅ R ⋅ V = (10.1)(12 ) ⎝ R1 + R2 ⎠ CC R1 TH CC R1 VCC = (1 + β ) I BQ RE + VEB ( on ) + I BQ RTH + VTH 121.2 12 = (101)( 0.0199)(1) + 0.7 + ( 0.0199)(10.1) + R1 which yields R1 = 13.3 k Ω and R2 = 41.6 k Ω 2 β RC 2 (100 )( 2 ) (b) Av = = ⇒ Av = 2 1.95 rp + (1 + β ) RE 1.31 + (101)(1) 6.14
  • 7.
    I CQ =0.25 mA, I EQ = 0.2525 mA I BQ = 0.0025 mA I BQ RB + VBE ( on ) + I EQ ( RS + RE ) − 5 = 0 ( 0.0025)( 50 ) + 0.7 + ( 0.2525)( 0.1 + RE ) = 5 RE = 16.4 kΩ VE = − ( 0.0025 )( 50 ) − 0.7 = −0.825 V VC = VCEQ + VE = 3 − 0.825 = 2.175 V 5 − 2.175 RC = ⇒ RC = 11.3 kΩ 0.25 − β RC Av = rπ + (1 + β ) RS (100 )( 0.026 ) rπ = = 10.4 kΩ 0.25 − (100 )(11.3) Av = ⇒ Av = −55.1 10.4 + (101)( 0.1) Ri = RB ⎡ rπ + (1 + β ) RS ⎤ ⎣ ⎦ = 50 ⎡10.4 + (101)( 0.1) ⎤ ⎣ ⎦ Ri = 50 20.5 ⇒ Ri = 14.5 kΩ 6.15 (a) VCC > I CQ ( RC + RE ) + VCEQ 9 = I CQ ( 2.2 + 2 ) + 3.75 So that I CQ = 1.25 mA Assume circuit is to be designed to be bias stable. RTH = R1 R2 = ( 0.1)(1 + β ) RE = ( 0.1)(121)( 2 ) = 24.2 Ω 1.25 I BQ = = 0.01042 mA 120 1 VTH = ⋅ RTH ⋅ VCC = I BQ RTH + VBE ( on ) + I BQ (121)( RE ) R1 1 ( 24.2 )( 9 ) = ( 0.01042 )( 24.2 ) + 0.7 + ( 0.01042 )(121)( 2 ) R1 = 0.2522 + 0.7 + 2.5216 = 3.474 62.7 R2 R1 = 62.7 K = 24.2 62.7 + R2 R2 = 39.4 K (b)
  • 8.
    1.25 gm = = 48.08 mA / V 0.026 (120 )( 0.026 ) rp = = 2.50 k Ω 1.25 100 ro = = 80 k Ω 1.25 Vo ϩ IS V␲ r␲ ro RC RL R1͉͉R2Ϫ gmV␲ Vo = 2 g mVp ( ro RC RL ) Vp = I S ( R1 R2 rp ) Then Vo Rm = = 2 g m ( R1 R2 rp )( ro RC RL ) Is Rm = 2 48.08 ( 24.2 2.5 )( 80 2.2 1) = 2 48.08 ( 2.266 )( 0.6816 ) or Vo Rm = = −74.3 k Ω = −74.3 V / mA Is 6.16 a. 0.80 I EQ = 0.80 mA, I BQ = = 0.0121 mA 66 I CQ = 0.788 mA 0.3 VB = I BQ RB ⇒ RB = ⇒ RB = 24.8 kΩ 0.0121 V − ( −5 ) 5 − 3 RC = C = ⇒ RC = 2.54 kΩ I CQ 0.788 b. 0.788 gm = = 30.3 mA / V 0.026 ( 65)( 0.026) rπ = = 2.14 kΩ 0.788 75 r0 = = 95.2 kΩ 0.788 ⎛ RC r0 ⎞ i0 = ⎜ g V , V = − vS ⎜R r +R ⎟ m π π⎟ ⎝ C 0 L ⎠ i0 ⎛ RC r0 ⎞ Gf = = − gm ⎜ ⎟ vS ⎜R r +R ⎟ ⎝ C 0 L ⎠ ⎛ 2.54 95.2 ⎞ = − ( 30.3) ⎜ ⎜ 2.54 95.2 + 4 ⎟ ⎟ ⎝ ⎠ G f = −11.6 mA/V
  • 9.
    6.17 (a) I CQ= 0.8 mA ⇒ I BQ = 0.00667 mA I BQ RS + 0.7 + (121) I BQ RE − 15 = 0 ( 0.01667 )( 2.5) + 0.7 + (121)( 0.00667 ) RE = 15 RE = 17.7 K VE = − ( 0.00667 )( 2.5 ) − 0.7 = −0.717 V VC = −0.717 + 7 = 6.283 V 15 − 6.283 RC = = 10.9 K 0.8 0.8 (120 )( 0.026 ) gm = = 30.77 mA/V rπ = = 3.9 K 0.026 0.8 ⎛ r ⎞ vo = − g m ( RC RL ) ⋅ vπ vπ = ⎜ π ⎟ vS ⎝ rπ + RS ⎠ − β ( RC RL ) − (120 ) (10.9 5 ) Av = = rπ + RS 3.9 + 2.5 Av = −64.3 (b) For RS = 0 0.7 + (121)( 0.00667 ) RE = 15 RE = 17.7 K VE = −0.7 ⇒ VC = −0.7 + 7 = 6.3 15 − 6.3 RC = ⇒ RC = 10.9 K 0.8 − β ( RC RL ) Av = = −30.77 (10.9 5 ) rπ Av = −105 6.18 (a) 15 = ( 81) I BQ (10 ) + 0.7 + I BQ ( 2.5 ) 15 − 0.7 I BQ = = 0.0176 mA 2.5 + ( 81)(10 ) I CQ = 1.408 mA 1.408 (80 )( 0.026 ) gm = = 54.15 mA/V rπ = 0.026 1.408 rπ = 1.48 K RS V0 IS ϩ VS ϩ V␲ r␲ RC Io RL Ϫ gmV␲ Ϫ
  • 10.
    − β (RC RL ) − ( 80 ) ( 5 5 ) Vo = − g mVσ ( RC RL ) ⇒ Av = = ⇒ Av = −50.3 rπ + RS 1.48 + 2.5 ⎛ RC ⎞ − g mVπ ⎜ ⎟ i AI = o = ⎝ RC + RL ⎠ = − β ⎛ RC ⎞ V ⎜ ⎟ iS π ⎝ RC + RL ⎠ r π AI = −40 vo ( t ) = ( −50.3)( 4sin ω t ) vo ( t ) = −0.201sin ω t ( V ) 4 sin ω t ( mV ) is = = 1.005sin ω t ( μA ) 2.5 + 1.48 io = −40.2 sin ω t ( μA ) (b) 15 − 0.7 I EQ = = 1.43 mA 10 ⎛ 80 ⎞ I CQ = ⎜ ⎟ (1.43) = 1.412 mA ⎝ 81 ⎠ 1.412 (80 )( 0.026 ) gm = = 54.3 mA/V rπ = = 1.47 K 0.026 1.412 Av = − g m ( RC RL ) = − ( 54.3) ( 5 5 ) ⇒ Av = −136 ⎛ RC ⎞ ⎛ 5 ⎞ AI = − β ⎜ ⎟ = −80 ⎜ ⎟ ⇒ AI = −40 ⎝ RC + RL ⎠ ⎝5+5⎠ vo ( t ) = ( −136 )( 4sin ω t ) ⇒ vo ( t ) = −544sin ω t ⇒ vo ( t ) = −0.544sin ω t ( V ) 4sin ω t ( mV ) is ( t ) = = 2.72sin ω t ( μA ) 1.47 k io ( t ) = ( −40 )( 2.72sin ω t ) io ( t ) = −109sin ω t ( μA ) 6.19 RTH = R1 R2 = 27 15 = 9.64 K ⎛ R2 ⎞ ⎛ 15 ⎞ VTH = ⎜ ⎟ VCC = ⎜ ⎟ ( 9 ) = 3.214 V ⎝ R1 + R2 ⎠ ⎝ 15 + 27 ⎠ V − VBE ( on ) 3.214 − 0.7 2.514 I BQ = TH = = RTH + (1 + β ) RE 9.64 + (101)(1.2 ) 130.84 I BQ = 0.0192 mA I CQ = 1.9214 mA 1.92 (100 )( 0.026 ) gm = = 73.9 mA/V rπ = = 1.35 K 0.026 1.92
  • 11.
    RS V0 IS ϩ VS ϩ RTH V␲ r␲ r0 RC I0 RL Ϫ gmV␲ Ϫ 100 ro = = 52.1 K 1.92 ⎛ r R ⎞ ( Vo = − g mVπ r0 RC RL ) Vπ = ⎜ π TH ⎜r R +R ⎟ VS ⎟ ⎝ π TH S ⎠ rπ RTH = 1.35 9.64 = 1.184 K ⎛ 1.184 ⎞ Vπ = ⎜ ⎟ VS ⎝ 1.184 + 10 ⎠ = 0.1059VS ( Av = − ( 73.9 ) ( 0.1059 ) 52.1 2.2 2 ) = − ( 73.9 ) ( 0.1059 ) ( 52.1 1.0476 ) = − ( 73.9 ) ( 0.1059 ) (1.027 ) Av = −8.04 ⎛ ro RC ⎞ − g mVπ ⎜ ⎜r R +R ⎟ ⎟ I ⎝ o C L ⎠ AI = o = IS Vπ RTH rπ ⎛ ro RC ⎞ AI = − g m ( RTH rπ ) ⎜ ⎜r R +R ⎟ ⎟ ⎝ o C L ⎠ ro RC = 52.1 2.2 = 2.11 K RTH rπ = 9.64 1.35 = 1.184 K ⎛ 2.11 ⎞ AI = − ( 73.9 ) (1.184 ) ⎜ ⎟ ⎝ 2.11 + 2 ⎠ AI = −44.9 Ri = RTH rπ = 9.64 1.35 Ri = 1.184 K 6.20 a. 0.35 I E = 0.35 mA, I B = = 0.00347 mA 101 VB = 2 I B RB = 2 ( 0.00347 )(10 ) ⇒ VB = 2 0.0347 V VE = VB − VBE ( on ) ⇒ VE = 2 0.735 V b.
  • 12.
    VC = VCEQ+ VE = 3.5 − 0.735 = 2.77 V ⎛ b ⎞ ⎛ 100 ⎞ IC = ⎜ ⎟ IE = ⎜ ⎟ ( 0.35 ) = 0.347 mA ⎝ 1+ b ⎠ ⎝ 101 ⎠ V 1 − VC 5 − 2.77 RC = = ⇒ RC = 6.43 kΩ IC 0.347 (c) ⎛ RB rp ⎞ ⎜ R r + R ⎟( C o ) Av = 2 g m ⎜ R r ⎟ ⎝ B π S ⎠ 0.347 100 gm = = 13.3 mA/V , ro = = 288 k Ω 0.026 0.347 (100 )( 0.026 ) rp = = 7.49 k Ω 0.347 RB rp = 10 7.49 = 4.28 k Ω ⎛ 4.28 ⎞ Av = 2 (13.3) ⎜ ⎟ ( 6.43 288 ) ⇒ Av = 2 81.7 ⎝ 4.28 + 0.1 ⎠ d. ⎛ RB rp ⎞ ⎜ R r + R ⎟( C 0 ) Av = 2 g m ⎜ R r ⎟ ⎝ B p S ⎠ RB rp = 10 7.49 = 4.28 kΩ ⎛ 4.28 ⎞ Av = 2 (13.3) ⎜ ⎟ ( 6.43 288 ) ⇒ Av = 2 74.9 ⎝ 4.28 + 0.5 ⎠ 6.21 a. RTH = R1 R2 = 6 1.5 = 1.2 kΩ ⎛ R2 ⎞ + ⎛ 1.5 ⎞ VTH = ⎜ ⎟V = ⎜ ⎟ ( 5 ) = 1.0 V ⎝ R1 + R2 ⎠ ⎝ 1.5 + 6 ⎠ V − VBE ( on ) 1.0 − 0.7 I BQ = TH = = 0.0155 mA RTH + (1 + β ) RE 1.2 + (181)( 0.1) I CQ = 2.80 mA, I EQ = 2.81 VCEQ = V + − I CQ RC − I EQ RE = 5 − ( 2.8 )(1) − ( 2.81)( 0.1) ⇒ VCEQ = 1.92 V b. (180 )( 0.026 ) rp = ⇒ rp = 1.67 kΩ 2.80 2.80 gm = ⇒ g m = 108 mA/V, r0 =` 0.026 (c) ⎛ R1 R2 rp ⎞ Av = 2 g m ⎜ ⎟ ( RC RL ) ⎝ R1 R2 rp + RS ⎠ R1 R2 rp = 6 1.5 1.67 = 0.698 k V ⎛ 0.698 ⎞ Av = 2 (108 ) ⎜ ⎟ (1 1.2 ) ⇒ Av = 2 45.8 ⎝ 0.698 + 0.2 ⎠
  • 13.
    6.22 a. 9 = IEQ RE + VEB ( on ) + I BQ RS 0.75 I EQ = 0.75 mA, I BQ = = 0.00926 mA 81 I CQ = 0.741 mA 9 = ( 0.75 ) RE + 0.7 + ( 0.00926 )( 2 ) ⇒ RE = 11.0 kΩ b. VE = 9 − ( 0.75 )(11) = 0.75 V VC = VE − VECQ = 0.75 − 7 = −6.25 V VC − ( −9 ) 9 − 6.25 RC = = ⇒ RC = 3.71 kΩ I CQ 0.741 c. ⎛ rp ⎞ Av = 2 g m ⎜ ⎟ ( RC || RL || r0 ) ⎝ rp + RS ⎠ (80 )( 0.026 ) rp = = 2.81 kΩ 0.741 80 r0 = = 108 kV 0.741 2 80 Av = ( 3.71||10 ||108 ) 2.81 + 2 Av = 2 43.9 d. Ri = RS + rp = 2 + 2.81 ⇒ Ri = 4.81 kΩ 6.23 4 − 0.7 I BQ = = 0.00647 5 + (101)( 5 ) I CQ = 0.647 mA a. 80 ≤ h fe ≤ 120, 10 ≤ h0e ≤ 20 mS 2.45 kΩ ≤ hie ≤ 3.7 kΩ low gain high gain RS V0 IS ϩ VS ϩ V␲ r␲ RC Io RL Ϫ gmV␲ Ϫ
  • 14.
    ⎛ 1 ⎞ V0 = 2 h fe I b ⎜ RC RL ⎟ ⎝ hoe ⎠ RB V ?S R + RS Ib = B RTH + hie RTH = RB RS = 5 1 = 0.833 kΩ High-gain ⎛ 5 ⎞ ⎜ ⎟ VS 5 +1⎠ Ib = ⎝ = 0.1838VS 0.833 + 3.7 Low-gain ⎛ 5 ⎞ ⎜ ⎟ VS Ib = ⎝ 5 +1⎠ = 0.2538VS 0.833 + 2.45 1 1 For hoe = 10 ⇒ || Rc || RL = || 4 || 4 hoe 0.010 = 100 || 2 = 1.96 kΩ 1 For hoe = 20 ⇒ || 4 || 4 = 50 || 2 = 1.92 kΩ 0.020 Av max = (120 )( 0.1838 )(1.96 ) = 43.2 Av min = ( 80 )( 0.2538 )(1.92 ) = 39.0 39.0 ≤ Av ≤ 43.2 b. Ri = RB hie = 5 3.7 = 2.13 kV or Ri = 5 2.45 = 1.64 kΩ 1.64 ≤ Ri ≤ 2.13 kΩ 1 1 R0 = RC = 4 = 100 || 4 = 3.85 kΩ hoe 0.010 1 or R0 = || 4 = 50 || 4 = 3.70 kΩ 0.020 3.70 ≤ R0 ≤ 3.85 kΩ 6.24 VCC ϭ 10 V RC R1 ␯o RS ϭ 1 k⍀ CC ␯s ϩ R2 Ϫ RE CE
  • 15.
    Assume an npntransistor with b = 100 and VA = ∞. Let VCC = 10 V . 0.5 Av = = 50 0.01 Bias at I CQ = 1 mA and let RE = 1 k Ω For a bias stable circuit RTH = ( 0.1)(1 + b ) RE = ( 0.1)(101)(1) = 10.1 k Ω 1 1 101 VTH = ⋅ RTH ⋅ VCC = (10.1)(10 ) = R1 R1 R1 1 I BQ = = 0.01 mA 100 VTH = I BQ RTH + VBE ( on ) + (1 + b ) I BQ RE 101 = ( 0.01)(10.1) + 0.7 + (101)( 0.01)(1) R1 which yields R1 = 55.8 k Ω and R2 = 12.3 k Ω Now (100 )( 0.026 ) rp = = 2.6 k Ω 1 1 gm = = 38.46 mA/V 0.026 Vo = − g mVp RC ⎛ R1} R2 } rp ⎞ ⎛ 10.1} 2.6 ⎞ where Vp = ⎜ ⎟ ⋅ Vs = ⎜ ⎟ .Vs ⎝ R1} R2 } rp + RS ⎠ ⎝ 10.1} 2.6 + 1 ⎠ or Vp = 0.674 Vs V Then Av = o = − ( 0.674 ) g m RC = − ( 0.674 )( 38.46 ) RC = −50 Vs which yields RC = 1.93 k Ω With this RC, the dc bias is OK. Finish Design, Set RC = 2 K RE = 1 K R1 = 56 K R2 = 12 K RTH = R1 R2 = 9.88 K ⎛ R2 ⎞ ⎛ 12 ⎞ VTH = ⎜ ⎟ VCC = ⎜ ⎟ (10 ) = 1.765 V ⎝ R1 + R2 ⎠ ⎝ 12 + 56 ⎠ 1.765 − 0.7 I BQ = = 9.60 μ A 9.88 + (101)(1) I CQ = 0.9605 mA (100 )( 0.026 ) 0.9605 rπ = = 2.707 K gm = = 36.94 0.9605 0.026 RTH rπ = 2.125 K ⎛ RTH rπ ⎞ ⎛ 2.125 ⎞ Vπ = ⎜ ⎟ Vi = ⎜ ⎟ Vi = ( 0.680 ) Vi ⎝ RTH rπ + RS ⎠ ⎝ 2.125 + 1 ⎠ Av = − ( 0.680 ) g m RC = − ( 0.680 )( 36.94 )( 2 ) = −50.2
  • 16.
    Design specification met. 6.25 a. 6 − 0.7 I BQ = = 0.0169 mA 10 + (101)( 3) I CQ = 1.69 mA, I EQ = 1.71 mA VCEQ = (16 + 6 ) − (1.69 )( 6.8 ) − (1.71)( 3) VCEQ = 5.38 V b. 1.69 gm = ⇒ g m = 65 mA/V 0.026 (100 )( 0.026 ) rp = ⇒ rp = 1.54 kV , r0 = ∞ 1.69 (c) − β ( RC RL ) RB Rib Av = ⋅ rπ + (1 + β ) RE RB Rib + RS Rib = rπ + (1 + β ) RE = 1.54 + (101)(3) = 304.5 k Ω RB Rib = 10 304.5 = 9.68 k Ω Then − (100 )( 6.8 6.8 ) ⎛ 9.68 ⎞ Av = ⋅⎜ ⎟ ⇒ Av = −1.06 1.54 + (101)( 3) ⎝ 9.68 + 0.5 ⎠ ⎛ RC ⎞ i0 = ⎜ ⎟ ( − β ib ) ⎝ RC + RL ⎠ ⎛ RB ⎞ ib = ⎜ ⎟ iS ⎝ RB + rπ + (1 + β ) RE ⎠ ⎛ RC ⎞⎛ RB ⎞ Ai = − ( β ) ⎜ ⎟⎜⎜ R + r + (1 + β ) R ⎟ ⎟ ⎝ RC + RL ⎠⎝ B π E ⎠ ⎛ 6.8 ⎞ ⎛ 10 ⎞ = − (100 ) ⎜ ⎟⎜⎜ 10 + 1.54 + (101)( 3) ⎟ ⇒ Ai = −1.59 ⎟ ⎝ 6.8 + 6.8 ⎠ ⎝ ⎠ (d) Ris = RS + RB Rib = 0.5 + 10 304.5 = 10.2 k Ω (e) 2 b ( RC RL ) Av = rp + (1 + b ) RE 2 (100 ) ( 6.8} 6.8 ) Av = ⇒ Av = 2 1.12 1.54 + (101)( 3) Ai = same as ( c ) ⇒ Ai = 2 1.59 6.26
  • 17.
    ie ϩ ϩ vCE ϩ vCE ris gmv␲ ␲o vbe Ϫ Ϫ Ϫ ϩ vCE gmv␲ Ϫ vCe 1 r= = g m vCe g m ⎛ 1 ⎞ So re = rp ⎜ ⎟ r0 ⎝ gm ⎠ 6.27 Let b = 100, VA = ∞ VCC RC R1 ␯o RS ϭ 100 ⍀ CC ␯s ϩ R2 Ϫ RE Let VCC = 2.5 V P = ( I R + I C ) VCC ⇒ 0.12 = ( I R + I C )( 2.5 ) ⇒ I R + I C = 48 mA, Let I R = 8mA, I C = 40 mA VCC 2.5 R1 + R2 > = ⇒ 312.5 k Ω IR 8 40 I BQ = = 0.4 mA 100
  • 18.
    Let RE =2 k Ω. For a bias stable circuit RTH = ( 0.1)(1 + b ) RE = ( 0.1)(101)( 2 ) = 20.2 k Ω 1 VTH = ⋅ RTH ⋅ VCC = I BQ RTH + VBE ( on ) + (1 + b ) I BQ RE R1 1 ( 20.2 )( 2.5 ) = ( 0.0004 )( 20.2 ) + 0.7 + (101)( 0.0004 )( 2 ) R1 which yields R1 = 64 k V and R2 = 29.5 k Ω (100 )( 0.026 ) rπ = = 65 k Ω Neglect RS 0.04 Vo 2 b RC Av = > Vs rπ + (1 + b ) RE 2 100 RC −10 = ⇒ RC = 26.7 k Ω 65 + (101)( 2 ) With this RC , dc biasing is OK. 6.28 100 Need a voltage gain of = 20. 5 Assume a sign inversion from a common-emitter is not important. Use the configuration for Figure 6.31. Let RS = 0. Need an input resistance of 5 × 102 3 Ri = = 25 × 103 = 25 k Ω 0.2 × 102 6 Ri = RTH Rib . Let RTH = 50 k Ω, Rib = 50 k Ω Rib = rp + (1 + b ) RE > (1 + b ) RE Rib 50 For b = 100, RE = = = 0.495 k Ω 1 + b 101 Let RE = 0.5 k V , VCC = 10 V , I CQ = 0.2 mA 0.2 Then I BQ = = 0.002 mA 100 VTH = I BQ RTH + VBE ( on ) + (1 + β ) I BQ RE 1 1 ⋅ RTH ⋅ VCC = ( 50)(10) = ( 0.002)(50) + 0.7 + (101)( 0.002 )( 0.5) R1 R1 which yields R1 = 555 k Ω and R2 = 55 k Ω − β RC (100)( 0.026) Now Av = , rπ = = 13 k Ω rπ + (1 + β ) RE 0.2 So − (100 ) RC −20 = ⇒ RC = 12.7 k Ω 13 + (101)( 0.5) [Note: I CQ RC = ( 0.2 )(12.7 ) = 2.54 V. So dc biasing is OK.] 6.29
  • 19.
    VCC ϭ 10V R1 RE CC ␯o ␯s ϩ R2 Ϫ RC 2 b RC b = 80, Av = rp + (1 + b ) RE First approximation: R ( Av ) ≈ C = 10 ⇒ RC = 10 RE RE Set RC = 12 RE VEC ≈ VCC − I C ( RC + RE ) = 10 − I C (13RE ) 1 For VEC = VCC = 5 2 5 = 10 − I C (13RE ) For I C = 0.7 mA I E = 0.709, I B = 0.00875 mA ⇒ RE = 0.55 kΩ − RC = 6.6 kΩ Bias stable ⇒ R1 R2 = RTH = ( 0.1)(1 + β ) RE = ( 0.1)(81)( 0.55 ) = 4.46 kΩ 1 10 = ( 0.709 )( 0.55 ) + 0.7 + ( 0.00875 )( 4.46 ) + ( 4.46 )(10 ) R1 1 8.87 = ( 4.46 ) ⇒ R1 = 5.03 kΩ R1 5.03R2 = 4.46 ⇒ R2 = 39.4 kΩ 5.03 + R2 10 10 = = 0.225 mA R1 + R2 5.03 + 39.4 0.7 + 0.225 ≅ 0.925 mA from VCC source. (80 ) ( 0.026 ) Now rπ = = 2.97 kΩ 0.7 (80 )( 6.6 ) Av = = 11.1 2.97 + ( 81)( 0.55 ) 6.30
  • 20.
    ϩ5V R1 RC CC2 CC1 ␯o RL ϭ 10 K ␯s ϩ Ϫ R2 CE RE Ϫ5V β = 120 Let I CQ = 0.35 mA, I EQ = 0.353 mA I BQ = 0.00292 mA Let RE = 2 kΩ. For VCEQ = 4 V ⇒ 10 = 4 + ( 0.35) RC + ( 0.353)( 2) (120 )( 0.026 ) RC = 15.1 kΩ, rπ = = 8.91 kΩ 0.35 − β ( RC RL ) (120 ) (15.1 10 ) Av = =− rπ 8.91 Av = −81.0 For bias stable circuit: R1 R2 = RTH = ( 0.1)(1 + β ) RE = ( 0.1)(121)( 2 ) = 24.2 kΩ ⎛ R2 ⎞ 1 VTH = ⎜ ⎟ (10) − 5 = ⋅ RTH ⋅ (10 ) − 5 ⎝ R1 + R2 ⎠ R1 VTH = I BQ RTH + VBE ( on ) + (1 + β ) I BQ RE − 5 1 ( 24.2 )(10 ) − 5 = ( 0.00292 )( 24.2 ) + 0.7 + (121)( 0.00292 )( 2 ) − 5 R1 1 ( 242 ) = 1.477, R1 = 164 kΩ R1 164 R2 = 24.2 ⇒ R2 = 28.4 kΩ 164 + R2 10 = 0.052, 0.35 + 0.052 = 0.402 mA 164 + 28.4 So bias current specification is met. 6.31 From Prob. 6.12,
  • 21.
    RTH = R1}R2 = 10}50 = 8.33 kΩ ⎛ R2 ⎞ ⎛ 50 ⎞ VTH = ⎜ ⎟ (12 ) = ⎜ ⎟ (12 ) = 10 V ⎝ R1 + R2 ⎠ ⎝ 50 + 10 ⎠ 12 − 0.7 − 10 I BQ = = 0.0119 mA 8.33 + (101)(1) I CQ = 1.19 mA, I EQ = 1.20 mA VECQ = 12 − (1.19 )( 2 ) − (120 )(1) = 8.42 V 1.19 1 8.42 11 12 For 1 ≤ vEC ≤ 11 DvEC = 11 − 8.42 = 2.58 ⇒ Output voltage swing = 5.16 V (peak-to-peak) 6.32 5 − 0.7 I BQ = = 0.00315 mA 50 + (101)( 0.1 + 12.9) I CQ = 0.315 mA, I EQ = 0.319 mA VCEQ = ( 5 + 5 ) − ( 0.315 )( 6 ) − ( 0.319 )(13) VCEQ = 3.96 V AC load line Ϫ1 Slope ϭ 6.1 K 0.315 3.96 10 1 ΔiC = − Δv 6.1 eC For ΔiC = 0.315 − 0.05 = 0.265 ⇒ ΔvEC = 1.62 vEC ( min ) = 3.96 − 1.62 = 2.34 Output signal swing determined by current:
  • 22.
    Max. output swing= 3.24 V peak-to-peak 6.33 From Problem 4.18, I CQ = 1.408 mA, I EQ = 1.426 mA (a) VECQ = 30 − (1.408 )( 5 ) − (1.426 )(10 ) = 8.7 V IC (mA) AC load line Ϫ1 Slope ϭ RC ͉͉RL Ϫ1 1.408 ϭ 2.5 kΩ 8.7 ␯EC (V) vEC ( max ) = 8.7 + ΔI C ⋅ ( 2.5 ) = 8.7 + (1.408 )( 2.5 ) = 12.22 Set vEC ( max ) = 12 = 8.7 + ΔI C ( 2.5 ) ⇒ ΔI C = 1.32 mA So ΔvEC (peak-to-peak) = 2(12 − 8.7) = 6.6 V (b) ΔiC (peak-to-peak) = 2(1.32) = 2.64 mA 6.34 I EQ = 0.80 mA, I CQ = 0.792 mA I BQ = 0.00792 mA VE = 0.7 + ( 0.00792 )(10 ) = 0.779 V VC = I CQ RC − 5 = ( 0.792 )( 4 ) − 5 = 2 1.83 V VECQ = 0.779 − ( −1.83) = 2.61 V Load line: Assume VE remains constant at ≈ 0.78 V IC (mA) AC load line Ϫ1 Slope ϭ RC ͉͉RL Ϫ1 1.408 ϭ 2.5 kΩ 8.7 ␯EC (V) 21 DiC = v ? ec 2 kV Collector current swing = 0.792 − 0.08 = 0.712 mA Dvec = ( 0.712 )( 2 ) = 1.424 V Output swing determined by current. Max. output swing = 2.85 V peak-to-peak 2.85 Swing in i0 current = 4 = 0.712 mA peak-to-peak
  • 23.
    6.35 6 − 0.7 I BQ = = 0.0169 mA 10 + (101)( 3) I CQ = 1.69 mA, I EQ = 1.71 mA VCEQ = (16 + 6 ) − (1.69 )( 6.8 ) − (1.71)( 3) VCEQ = 5.38 V AC load line Ϫ1 Slope ϭ 3.4 ϩ 3 1.69 Ϫ1 ϭ 6.4 K 5.38 22 1 DiC = 2 Dvce 6.4 4.38 For vce ( min ) = 1 V, Dvce = 5.38 − 1 = 4.38 V ⇒ DiC = = 0.684 mA 6.4 Output swing limited by voltage: Δvce = Max. swing in output voltage = 8.76 V peak-to-peak 1 Δi0 = ΔiC ⇒ Δi0 = 0.342 mA 2 or Δi0 = 0.684 mA (peak-to-peak) 6.36 AC load line Ϫ1 Slope ϭ 1.05 K 2.65 Q-point ICQ VCEQ 9 100 ro = I CQ Neglect ro as (E) approx. dc load line VCE = 9 − I C ( 3.4 )
  • 24.
    ΔI C =I CQ − 0.1 ΔVCE = VCEQ − 1 Also ΔVCE = ΔI C ( RC RL ) = ΔI C (1.05 ) Or VCEQ − 1 = ( I CQ − 0.1) (1.05 ) Substituting the expression for the dc load line. ⎡9 − I CQ ( 3.4 ) − 1⎤ = ( I CQ − 0.1) (1.05 ) ⎣ ⎦ 8.105 = I CQ ( 4.45 ) ⇒ I CQ = 1.821 mA VCEQ = 2.81 V 1.821 I BQ = = 0.01821 100 RTH = ( 0.1)(101)(1.2 ) = 12.12 K 1 1 VTH = ⋅ RTH ⋅ VCC = (12.12 ) ( 9 ) = ( 0.01821) (12.12 ) + 0.7 + (101)( 0.01821)(1.2 ) R1 R1 = 0.2207 + 0.7 + 2.20705 R1 = 34.9 K R2 = 18.6 K 34.9 R2 = 12.12 34.9 + R2 6.37 dc load line 5 ϭ 4.55 mA 1 ϩ 0.1 AC load line Ϫ1 Slope ϭ ICQ 1͉͉1.2 Ϫ1 ϭ 0.545 K VCEQ 5 For maximum symmetrical swing ΔiC = I CQ − 0.25 1 ΔvCE = VCEQ − 0.5 and ΔiC = ⋅ | ΔvCE | 0.545 kΩ VCEQ − 0.5 I CQ − 0.25 = 0.545 VCEQ = 5 − I CQ (1.1) 0.545 ( I CQ − 0.25 ) = ⎡5 − I CQ (1.1) ⎤ − 0.5 ⎣ ⎦ ( 0.545 + 1.1) I CQ = 5 − 0.5 + 0.136 I CQ = 2.82 mA, I BQ = 0.0157 mA RTH = R1 R2 = ( 0.1)(1 + β ) RE = ( 0.1)(181)( 0.1) = 1.81 kΩ 1 VTH = ⋅ RTH ⋅ V + = I BQ RTH + VBE ( on ) + (1 + β ) I BQ RE R1
  • 25.
    1 (1.81)( 5 ) = ( 0.0157 )(1.81) + 0.7 + (181)( 0.0157 )( 0.1) R1 1 ( 9.05 ) = 1.013 ⇒ R1 = 8.93 kΩ R1 8.93R2 = 1.81 ⇒ R2 =2.27 kΩ 8.93 + R2 6.38 I CQ = 0.647 mA , VCEQ > 10 − ( 0.647 )( 9 ) = 4.18 V DiC = I CQ = 0.647 mA So DvCE = DiC ( 4} 4 ) = ( 0.647 )( 2 ) = 1.294 V Voltage swing is well within the voltage specification. Then DvCE = 2 (1.294 ) = 2.59 V peak-to-peak 6.39 a. RTH = R1} R2 = 10}10 = 5 kΩ ⎛ R2 ⎞ ⎛ 10 ⎞ VTH = ⎜ ⎟ (18 ) − 9 = ⎜ ⎟ (18 ) − 9 = 0 ⎝ R1 + R2 ⎠ ⎝ 10 + 10 ⎠ 0 − 0.7 − ( −9 ) I BQ = = 0.0869 mA 5 + (181)( 0.5 ) I CQ = 15.6 mA, I EQ = 15.7 mA VCEQ = 18 − (15.7 )( 0.5 ) ⇒ VCEQ = 10.1 V b. AC load line Ϫ1 Slope ϭ 0.5͉͉0.3 Ϫ1 15.6 ϭ 0.188 K 10.1 18 c. (180 )( 0.026 ) rπ = = 0.30 kΩ 15.6 (1 + β )( RE RL ) ⎛ R1 R2 Rib ⎞ Av = ⋅⎜ ⎟ rπ + (1 + β ) ( RE RL ) ⎝ R1 R2 Rib + RS ⎠ Rib = rπ + (1 + β )( RE RL ) = 0.30 + (181)( 0.5 0.3) or Rib = 34.2 k Ω R1 R2 Rib = 5 34.2 = 4.36 k Ω (181)( 0.5 0.3) ⎛ 4.36 ⎞ Av = ⋅⎜ ⎟ ⇒ Av = 0.806 0.3 + (181)( 0.5 0.3) ⎝ 4.36 + 1 ⎠ d.
  • 26.
    Rib = rp+ (1 + b ) ( RE } RL ) Rib = 0.30 + (181)( 0.188 ) ⇒ Rib = 34.3 kΩ rp + R1} R2 } RS 0.3 + 5}1 Ro = RE = 0.5 ⇒ Ro = 6.18 Ω 1+ b 181 6.40 a. RTH = R1} R2 = 10}10 = 5 kΩ ⎛ R2 ⎞ VTH = ⎜ ⎟ ( −10 ) = 2 5 V ⎝ R1 + R2 ⎠ VTH = I BQ RTH + VBE ( on ) + (1 + b ) I BQ RE − 10 2 5 − 0.7 − ( −10 ) I BQ = = 0.0174 mA 5 + (121)( 2 ) I CQ = 2.09 mA, I EQ = 2.11 mA VCEQ = 10 − ( 2.09 )(1) − ( 2.11)( 2 ) ⇒ VCEQ = 3.69 V b. AC load line Ϫ1 Slope ϭ 2͉͉2 Ϫ1 2.09 ϭ 1K 3.69 10 c. (120 )( 0.026 ) rπ = = 1.49 kΩ 2.09 (1 + β ) ( RE RL ) ⎛ R1 R2 Rib ⎞ Av = ⋅⎜ ⎟ rπ + (1 + β ) ( RE RL ) ⎜ R1 R2 Rib + RS ⎟ ⎝ ⎠ Rib = rπ + (1 + β ) ( RE RL ) = 1.49 + (121) ( 2 2) Rib = 122.5 k Ω, R1 R2 Rib = 5 122.5 = 4.80 k Ω (121) ( 2 2) ⎛ 4.80 ⎞ Av = ⋅⎜ ⎟ ⇒ Av = 0.484 1.49 + (121) ( 2 2) ⎝ 4.80 + 5 ⎠ d. Rib = rπ + (1 + b ) ( RE } RL ) Rib = 1.49 + (121) ( 2} 2 ) 1 Rib = 122 kΩ rπ + R1} R2 } RS 1.49 + 5}5 Ro = RE =2 1 Ro = 32.4 Ω 1+ b 121 6.41 a.
  • 27.
    RTH = R1R2 = 60 40 = 24 kΩ ⎛ R2 ⎞ ⎛ 40 ⎞ VTH = ⎜ ⎟ VCC = ⎜ ⎟ ( 5) = 2 V ⎝ R1 + R2 ⎠ ⎝ 40 + 60 ⎠ 5 − 0.7 − 2 I BQ = = 0.0130 mA 24 + ( 51)( 3) I CQ = 0.650 mA, I EQ = 0.663 mA VECQ = 5 − I EQ RE = 5 − ( 0.663)(3) ⇒ VECQ = 3.01 V b. 1.63 AC load line Ϫ1 Slope ϭ 51 Θ 50 Ι Θ3͉͉4Ι 0.65 Ϫ1 ϭ 1.75 K 3.01 5 c. ( 50 )( 0.026 ) 80 rπ = = 2 kΩ, r0 = = 123 kΩ 0.650 0.65 ′ Define RL = RE RL r0 = 3 4 123 = 1.69 kΩ (1 + β ) RL ′ ( 51)(1.69 ) Av = = ⇒ Av = 0.977 rπ (1 + β ) RL′ 2 + ( 51)(1.69 ) ⎛ RE r0 ⎞ Ai = (1 + β ) I b ⎜ ⎟ ⎜R r +R ⎟ ⎝ E 0 L ⎠ ⎛ RTH ⎞ Ib = I S ⎜ ⎟ ⎝ RTH + Rib ⎠ Rib = rπ + (1 + β ) RL = 2 + ( 51)(1.69 ) = 88.2 ′ RE r0 = 3 r0 = 3 123 = 2.93 ⎛ 2.93 ⎞ ⎛ 24 ⎞ Ai = ( 51) ⎜ ⎟⎜ ⎟ ⇒ Ai = 4.61 ⎝ 2.93 + 4 ⎠ ⎝ 24 + 88.2 ⎠ d. Rib = rπ + (1 + β ) RE RL r0 = 2 + ( 51)(1.69 ) ⇒ Rib = 88.2 kΩ rπ ⎛ 2⎞ R0 = RE = ⎜ ⎟ 3 = 0.0392 3 1+ β ⎝ 51 ⎠ R0 = 38.7 Ω e. Assume variations in rπ and r0 have negligible effects R1 = 60 ± 5% R1 = 63 kΩ, R1 = 57 kΩ R2 = 40 ± 5% R2 = 42 kΩ, R2 = 38 kΩ RE = 3 ± 5% RE = 3.15 kΩ, RE = 2.85 kΩ RL = 4 ± 5% RL = 4.2 kΩ, RL = 3.8 kΩ
  • 28.
    ⎛ RE r0⎞ ⎛ RTH ⎞ Ai = (1 + β ) ⎜ ⎜ R r + R ⎟⎜ R + R ⎟ ⎟ ⎝ E 0 L ⎠ ⎝ TH ib ⎠ Rib = rπ + (1 + β ) ( RE RL r0 ) RTH ( max ) = 25.2 kΩ, RTH ( min ) = 22.8 kΩ Rib ( max ) = 92.5 kΩ, Rib ( min ) = 84.0 kΩ RE ( max ) , RL ( min ) , Rib = 88.6 kΩ RE ( min ) , RL ( max ) , Rib = 87.4 kΩ RE ( max ) r0 = 3.07 kΩ RE ( min ) r0 = 2.79 kΩ For RE ( min ) , RL ( max ) , RTH ( min ) ⎛ 2.79 ⎞ ⎛ 22.8 ⎞ Ai = ( 51) ⎜ ⎟⎜ ⎟ ⇒ Ai = 4.21 ⎝ 2.79 + 4.2 ⎠ ⎝ 22.8 + 87.4 ⎠ For RE ( max ) , RL ( min ) , RTH ( max ) ⎛ 3.07 ⎞⎛ 25.2 ⎞ Ai = ( 51) ⎜ ⎟⎜ ⎟ ⇒ Ai = 5.05 ⎝ 3.07 + 3.8 ⎠⎝ 25.2 + 88.6 ⎠ 6.42 (a) 0.5 I BQ = = 0.00617 mA 81 VB = I BQ RB = ( 0.00617 )(10 ) ⇒ VB = 0.0617 V VE = VB + 0.7 ⇒ VE = 0.7617 V (b) ⎛ 80 ⎞ I CQ = ( 0.5 ) ⎜ ⎟ = 0.494 mA ⎝ 81 ⎠ I CQ 0.494 gm = = ⇒ g m = 19 mA / V VT 0.026 β VT (80 )( 0.026 ) rπ = = ⇒ rπ = 4.21 k Ω I CQ 0.494 VA 150 ro = = ⇒ ro = 304 k Ω I CQ 0.494 (c) RS VЈ S Ϫ IS Vs ϩ RB V␲ r␲ ro Ϫ gmV␲ ϩ Vo RL Io For RS = 0 ⎛V ⎞ Vo = − ⎜ π + g mVπ ⎟ ( RL ro ) ⎝ rπ ⎠
  • 29.
    −Vo so that Vπ= ⎛1+ β ⎞ ⎜ ⎟ ( RL ro ) ⎝ rπ ⎠ Now Vs + Vπ = Vo Vo or Vs = Vo − Vπ = Vo + ⎛ 1+ β ⎞ ⎜ ⎟ ( RL ro ) ⎝ rπ ⎠ We find Vo (1 + β )( RL ro ) (81)( 0.5 304 ) Av = = = Vs rπ + (1 + β )( RL ro ) 4.21 + ( 81)( 0.5 304 ) (81)( 0.5 ) ≅ ⇒ Av = 0.906 4.21 + ( 81)( 0.5 ) Rib = rπ + (1 + β )( RL ro ) ≅ 4.21 + ( 81)( 0.5 ) = 44.7 k Ω ⎛ RB ⎞ ⎛ ro ⎞ Ib = ⎜ ⎟ ⋅ I s and I o = ⎜ ⎟ (1 + β ) I b ⎝ RB + Rib ⎠ ⎝ ro + RL ⎠ Then Io ⎛ RB ⎞⎛ ro ⎞ Ai = = (1 + β ) ⎜ ⎟⎜ ⎟ Is ⎝ RB + Rib ⎠⎝ ro + RL ⎠ ⎛ 10 ⎞ Ai ≅ ( 81) ⎜ ⎟ (1) ⇒ Ai = 14.8 ⎝ 10 + 44.7 ⎠ (d) ⎛ RB + Rib ⎞ ⎛ 10 44.7 ⎞ ⎜ R R + R ⎟ s ⎜ 10 44.7 + 2 ⎟ s ( Vs′ = ⎜ ⋅V = ⋅ V = 0.803) Vs ⎟ ⎜ ⎟ ⎝ B ib s ⎠ ⎝ ⎠ Then Av = ( 0.803)( 0.906 ) ⇒ Av = 0.728 Ai = 14.8 (Unchanged) 6.43 (a) (100 )( 0.026 ) I CQ = 1.98 mA rπ = = 1.313 K 1.98 VA 100 ro = = I CQ 1.98 = 50.5 K rπ + RS 1.31 + 10 Ro = ro = 50.5 ⇒ Ro = 112 Ω 1+ β 101 0.112 50.5 ⇒ Ro ≅ 112 Ω (b) From Equation 4.68 (1 + β ) ( ro RL ) 100 Av = ro = = 50.5 K rπ + (1 + β ) ( ro RL ) 1.98 (i)
  • 30.
    RL = 0.5K (101) ( 50.5 0.5) Av = 1.31 + (101) ( 50.5 0.5 ) (101)( 0.4951) Av = ⇒ Av = 0.974 1.31 + (101)( 0.4951) (ii) RL = 5 K ro RL = 50.5 5 = 4.5495 (101)( 4.55) Av = ⇒ Av = 0.997 1.31 + (101)( 4.55 ) 6.44 5 − 0.7 I EQ = = 1.303 I CQ = 1.293 mA 3.3 (125 )( 0.026 ) rπ = = 2.51 K 1.293 1.293 gm = = 49.73 mA/V 0.026 (a) Rib = rπ + (1 + β ) ( RE RL ) = 2.51 + (126 ) ( 3.3 1) Rib = 99.2 K rπ 2.51 Ro = RE = 3.3 = 3.3 0.01992 1+ β 126 Ro = 19.8 Ω (b) v 2sin ω t is = s = ⇒ is ( t ) = 20.2sin ω t ( μ A ) Rib 99.2 veb ( t ) = −is ( t ) rπ = ( −20.2 )( 2.51) sin ω t veb ( t ) = −50.6sin ω t ( mV ) (1 + β ) ( RE RL ) (126 ) ( 3.3 1) (126 )( 0.7674 ) Av = = = rπ + (1 + β ) ( RE RL ) 2.51 + (126 ) ( 3.3 1) 2.51 + (126 )( 0.7674 ) Av = 0.9747 ⇒ vo ( t ) = 1.95sin ω t ( V ) v (t ) io ( t ) = o ⇒ io ( t ) = 1.95sin ω t ( mA ) RL 6.45 a. I EQ = 1 mA , VCEQ = VCC − I EQ RE 5 = 10 − (1)( RE ) ⇒ RE = 5 kΩ 1 I BQ = = 0.0099 mA 101 10 = I BQ RB + VBE ( on ) + I EQ RE 10 = ( 0.0099 ) RB + 0.7 + (1)( 5 ) ⇒ RB = 434 kΩ b.
  • 31.
    ␯b ␯0 RB RE (100 )( 0.026 ) rπ = = 2.63 kΩ 0.99 v0 (1 + β ) RE(101)( 5 ) = = = 0.995 vb rπ + (1 + β ) RE 2.63 + (101)( 5 ) v0 4 ⇒ vb = = ⇒ vb = 4.02 V peak-to-peak at base 0.995 0.995 RS ␯b ϩ ␯S RB͉͉Rib Ϫ Rib = rπ + (1 + β ) RE = 508 kΩ RB Rib = 434 508 = 234 kΩ RB Rib 234vS 234 vb = ⋅ vS = = vS RB Rib + RS 234 + 0.7 234.7 4.02 vb = 0.997vS ⇒ vS = ⇒ vS = 4.03 V peak-to-peak 0.997 c. Rib = rπ + (1 + β ) ( RE RL ) Rib = 2.63 + (101) ( 5 1) = 86.8 kΩ RB Rib = 434 86.8 = 72.3 kΩ ⎛ 72.3 ⎞ vb = ⎜ ⎟ vS = 0.99vS = ( 0.99 )( 4.03) ⎝ 72.3 + 0.7 ⎠ vb = 3.99 V peak-to-peak (1 + β )( RE RL ) v0 = ⋅ vb rπ + (1 + β )( RE RL ) (101)( 0.833) = ( 3.99 ) 2.63 + (101)( 0.833) v0 = 3.87 V peak-to-peak 6.46
  • 32.
    RTH = R1R2 = 40 60 = 24 kΩ ⎛ 60 ⎞ VTH = ⎜ ⎟ (10 ) = 6 V ⎝ 60 + 40 ⎠ 6 − 0.7 β = 75 I BQ = = 0.0131 mA 24 + ( 76 )( 5 ) I CQ = 0.984 mA 6 − 0.7 β = 150 I BQ = = 0.00680 mA 24 + (151)( 5 ) I CQ = 1.02 mA ( 75 )( 0.026 ) β = 75 rπ = = 1.98 kΩ 0.984 β = 150 rπ = 3.82 kΩ β = 75 Rib = rπ + (1 + β )( RE RL ) = 65.3 kΩ β = 150 Rib = 130 kΩ (1 + β )( RE RL ) R1 R2 Rib Av = ⋅ rπ + (1 + β )( RE RL ) R1 R2 Rib + RS For β = 75, R1 R2 Rib = 40 60 65.3 = 17.5 k Ω ( 76 )( 0.833) 17.5 Av = ⋅ ⇒ Av = 0.789 1.98 + ( 76 )( 0.833) 17.5 + 4 For β = 150, R1 R2 Rib = 40 60 130 = 20.3 k Ω (151)( 0.833) 20.3 Av = ⋅ ⇒ Av = 0.811 3.82 + (151)( 0.833) 20.3 + 4 So 0.789 ≤ Av ≤ 0.811 ⎛ RE ⎞ ⎛ RTH ⎞ Ai = (1 + β ) ⎜ ⎟⎜ ⎟ ⎝ RE + RL ⎠ ⎝ RTH + Rib ⎠ β = 75 ⎛ 5 ⎞⎛ 24 ⎞ Ai = ( 76 ) ⎜ ⎟⎜ ⎟ ⇒ Ai = 17.0 ⎝ 5 + 1 ⎠ ⎝ 24 + 65.3 ⎠ β = 150 ⎛ 5 ⎞ ⎛ 24 ⎞ Ai = (151) ⎜ ⎟ ⎜ ⎟ ⇒ Ai = 19.6 ⎝ 6 ⎠ ⎝ 24 + 130 ⎠ 17.0 ≤ Ai ≤ 19.6 6.47 (a)
  • 33.
    ⎛ I ⎞ 9 = ⎜ E ⎟ (100 ) + VBE ( on ) + I E RE ⎝ 1+ β ⎠ 9 − 0.7 IE = ⎛ 100 ⎞ ⎜ ⎟ + RE ⎝ 1+ β ⎠ 8.3 β = 50 I E = = 2.803 mA ⎛ 100 ⎞ ⎜ ⎟ +1 ⎝ 51 ⎠ 8.3 β = 200 I E = = 5.543 mA ⎛ 100 ⎞ ⎜ ⎟ +1 ⎝ 201 ⎠ 2.80 ≤ I E ≤ 5.54 mA VE = I E RE , β = 50, VE = 2.80 V β = 200, VE = 5.54 V (b) β = 50, I CQ = 2.748 mA, rπ = 0.473 K β = 200, I CQ = 5.515 mA, rπ = 0.943 K Ri = RB ⎡ rπ + (1 + β ) RE ⎣ RL ⎤ ⎦ β = 50 ⇒ Ri = 100 ⎡ 0.473 + ( 51)(1 1) ⎤ = 100 25.97 = 20.6 K ⎣ ⎦ β = 200 ⇒ Ri = 100 ⎡0.943 + ( 201)(1 1) ⎤ = 100 101.4 = 50.3 K ⎣ ⎦ From Fig. (4.68) (1 + β ) ( RE RL ) ⎛ Ri ⎞ Av = ⋅⎜ ⎟ rπ + (1 + β ) ( RE RL ) ⎝ Ri + RS ⎠ ( 51) (1 1) ⎛ 20.6 ⎞ = ⋅⎜ ⎟ 0.473 + ( 51) (1 1) ⎝ 20.6 + 10 ⎠ β = 50 ⇒ Av = 0.661 ( 201) (1 1) ⎛ 50.3 ⎞ β = 200 ⇒ Av = ⎜ ⎟ 0.943 + ( 201) (1 1) ⎝ 50.3 + 10 ⎠ Av = 0.826 6.48 Vo = (1 + β ) I b RL Vs Ib = rπ + (1 + β ) RL (1 + β ) RL so Av = rπ + (1 + β ) RL For β = 100, RL = 0.5 k Ω (100 )( 0.026 ) rπ = = 5.2 k Ω 0.5
  • 34.
    (101)( 0.5 ) ThenAv ( min ) = = 0.9066 5.2 + (101)( 0.5 ) Then β = 180, RL = 500 k Ω (180 )( 0.026 ) rπ = = 9.36 k Ω 0.5 (181)( 500 ) Then Av ( max ) = = 0.9999 9.36 + (181)( 500 ) 6.49 Rib IS Ib ϩ V␲ r␲ gmV␲ ϭ ␤Ib Ϫ ␯S ϩ R1͉͉R2 Ϫ RE RL I0 ⎛ RE ⎞ I 0 = (1+ β ) I b ⎜ ⎟ ⎝ RE + RL ⎠ ⎛ R1 R2 ⎞ Ib = I S ⎜ ⎟ ⎝ R1 R2 + Rib ⎠ Rib = rπ + (1 + β )( RE RL ) VCC = 10 V, For VCEQ = 5 V ⎛1+ β ⎞ 5 = 10 − ⎜ ⎟ I CQ RE ⎝ β ⎠ β = 80, For RE = 0.5 kΩ I CQ = 9.88 mA, I EQ = 10 mA, I BQ = 0.123 mA (80 )( 0.026 ) rπ = = 0.211 kΩ 9.88 Rib = 0.211 + ( 81)( 0.5 0.5 ) ⇒ Rib = 20.46 kΩ I0 ⎛ RE ⎞ ⎛ R1 R2 ⎞ Ai = = (1 + β ) ⎜ ⎟⎜ ⎟ IS ⎝ RE + RL ⎠⎝ R1 R2 + Rib ⎠ ⎛ 1 ⎞⎛ R1 R2 ⎞ 8 = ( 81) ⎜ ⎟ ⎜ ⎟ ⎝ 2 ⎠ ⎝ R1 R2 + 20.46 ⎠ 0.1975 ⎡ R1} R2 + 20.46 ⎤ = R1} R2 ⎣ ⎦ R1} R2 ⇒ 5.04 kΩ
  • 35.
    VTH = IBQ RTH + VBE ( on ) + (1 + b ) I BQ RE 1 ( 5.04 )(10 ) = ( 0.123)( 5.04 ) + 0.7 + (10 )( 0.5 ) ⇒ R1 = 7.97 kΩ R1 7.97 R2 = 5.04 ⇒ R2 = 13.7 kΩ 7.97 + R2 rπ 0.211 Now Ro = RE = 0.5 or Ro = 2.59 Ω 1+ b 81 (b) Rib = 0.211 + (81) ( 0.5 2) = 32.6 k Ω ⎛ 0.5 ⎞ ⎛ 5.04 ⎞ Ai = ( 81) ⎜ ⎟⎜ ⎟ = ( 81)( 0.2 )( 0.134 ) ⎝ 0.5 + 2 ⎠ ⎝ 5.04 + 32.6 ⎠ Ai = 2.17 6.50 Ri = RTH Rib where Rib = rπ + (1 + β ) RE 5 − 3.5 VCEQ = 3.5, I CQ = 0.75 mA 2 (120 )( 0.026 ) rπ = = 4.16 k Ω 0.75 Rib = 4.16 + (121) ( 2 ) = 246 k Ω Then Ri = 120 = RTH 246 ⇒ RTH = 234 k Ω 0.75 I BQ = = 0.00625 mA 120 VTH = I BQ RTH + VBE ( on ) + (1+ β ) I BQ RE 1 1 ⋅ RTH ⋅ VCC = ( 234)(5) = ( 0.00625) ( 234) + 0.7 + (121)( 0.00625 )( 2 ) R1 R1 which yields R1 = 318 k Ω and R2 = 886 k Ω 6.51 a. 12 Let RE = 24 Ω and VCEQ = 1 VCC = 12 V ⇒ I EQ = = 0.5 A 2 24 I CQ = 0.493 A, I BQ = 6.58 mA ( 75)( 0.026 ) rπ = = 3.96 Ω 0.493 Reb Is Ib ϩ V␲ r␲ gmV␲ ϭ ␤Ib Ϫ VS ϩ R1 ͉͉ R2 Ϫ ϭ Rrn RE RL Io
  • 36.
    ⎛ RE ⎞ I0 = (1 + β ) I b ⎜ ⎟ ⎝ RE + RL ⎠ ⎛ RTH ⎞ Ib = I S ⎜ ⎟ ⎝ RTH + Rib ⎠ Rib = rπ + (1 + β ) ( RE RL ) = 3.96 + ( 76 )( 24 8 ) ⇒ Rib = 460 Ω I0 ⎛ RE ⎞ ⎛ RTH ⎞ Ai = = (1 + β ) ⎜ ⎟⎜ ⎟ IS ⎝ RE + RL ⎠ ⎝ RTH + Rib ⎠ ⎛ 24 ⎞ ⎛ RTH ⎞ 8 = ( 76) ⎜ ⎟⎜ ⎟ ⎝ 24 + 8 ⎠ ⎝ RTH + 460 ⎠ RTH 0.140 = ⇒ RTH = 74.9 Ω (Minimum value) RTH + 460 dc analysis: 1 VTH = ⋅ RTH ⋅ VCC R1 = I BQ RTH + VBE ( on ) + I EQ RE 1 ( 74.9 )( 24 ) = ( 0.00658)( 74.9 ) + 0.70 + ( 0.5 )( 24 ) R1 = 13.19 136 R2 R1 = 136 Ω, = 74.9 ⇒ R2 = 167 Ω 136 + R2 b. AC load line Ϫ1 Slope ϭ 24͉͉8 Ϫ1 0.493 ϭ 6⍀ 12 24 1 ΔiC = − Δvce 6 For ΔiC = 0.493 ⇒ Δvce = ( 0.493)( 6 ) ⇒ Max. swing in output voltage for this design = 5.92 V peak-to-peak c. rπ 3.96 R0 = RE = 24 = 0.0521 24 ⇒ R0 = 52 mΩ 1+ β 76 6.52 The output of the emitter follower is ⎛ RL ⎞ vo = ⎜ ⎟ ⋅ vTH ⎝ RL + Ro ⎠
  • 37.
    Ro ϩ ␯TH ϩ ␯O RL Ϫ Ϫ For vO to be within 5% for a range of RL , we have RL ( min ) RL ( max ) = ( 0.95 ) RL ( min ) + Ro RL ( max ) + Ro 4 10 = ( 0.95 ) which yields Ro = 0.364 k Ω 4 + Ro 10 + Ro ⎛ r + R1 R2 RS ⎞ We have Ro = ⎜ π ⎟ RE ro ⎝ 1+ β ⎠ The first term dominates Let R1 R2 RS ≅ RS , then rπ + RS r +4 Ro ≅ ⇒ 0.364 = π 1+ β 1+ β rπ 4 β VT 4 or 0.364 = + = + 1 + β 1 + β I CQ (1 + β ) 1 + β VT 4 0.364 ≅ + I CQ 1 + β 4 4 4 V The factor is in the range of = 0.044 to = 0.0305. We can set Ro ≅ 0.32 = T 1+ β 91 131 I CQ Or I CQ = 0.08125 mA. To take into account other factors, set I CQ = 0.15 mA, 0.15 I BQ = = 0.00136 mA 110 5 For VCEQ ≅ 5 V , set RE = = 33.3 k Ω 0.15 Design a bias stable circuit. ⎛ R2 ⎞ 1 VTH = ⎜ ⎟ (10) − 5 = ( RTH )(10) − 5 ⎝ R1 + R2 ⎠ R1 RTH = ( 0.1)(1 + β ) RE = ( 0.1)(111)(33.3) = 370 k Ω VTH = I BQ RTH + VBE ( on ) + (1 + β ) I BQ RE − 5 1 So ( 370 )(10 ) − 5 = ( 0.00136 )( 370 ) + 0.7 + (111)( 0.00136 )( 33.3) − 5 R 1 which yields R1 = 594 k Ω and R2 = 981 k Ω (1 + β ) ( RE RL ) ⎛ RTH Rib ⎞ Now Av = ⋅⎜ ⎟ rπ + (1 + β ) ( RE RL ) ⎝ RTH Rib + RS ⎠ β VT Rib = rπ + (1 + β ) ( RE RL ) and rπ = I CQ For β = 90, RL = 4 k Ω, rπ = 15.6 k Ω, Rib = 340.6 k Ω ( 91)( 33.3 4 ) 370 340.6 Av = ⋅ ⇒ Av = 0.9332 15.6 + ( 91)( 33.3 4 ) 370 340.6 + 4
  • 38.
    For β =90, RL = 10 k Ω Rib = 715.4 k Ω ( 91)( 33.3 10 ) 370 715.4 Av = ⋅ ⇒ Av = 0.9625 15.6 + ( 91)( 33.3 10 ) 370 715.4 + 4 For β = 130, RL = 4 k Ω rπ = 22.5 k Ω, Rib = 490 k Ω (131)( 33.3 4 ) 370 490 Av = ⋅ ⇒ Av = 0.9360 22.5 + (131)( 33.3 4 ) 370 490 + 4 For β = 130, RL = 10 k Ω Rib = 1030 k Ω (131)( 33.3 10 ) 370 1030 Av = ⋅ ⇒ Av = 0.9645 22.5 + (131)( 33.3 10 ) 370 1030 + 4 Now vO ( min ) = Av ( min ) .vS = 3.73sin ω t vO ( max ) = Av ( max ) .vS = 3.86sin ω t ΔvO = 3.5% vO 6.53 PAVG = iL ( rms ) RL ⇒ 1 = iL ( rms )(12 ) 2 2 so iL ( rms ) = 0.289 A ⇒ iL ( peak ) = 2 ( 0.289 ) iL ( peak ) = 0.409 A vL ( peak ) = iL ( peak ) ⋅ RL = ( 0.409 )(12 ) = 4.91 V 4.91 Need a gain of = 0.982 5 With RS = 10 k Ω, we will not be able to meet this voltage gain requirement. Need to insert a buffer or an op-amp voltage follower (see Chapter 9) between RS and CC1 . 1 Set I EQ = 0.5 A, VCEQ = (12 − ( −12 ) ) = 8 V 3 24 = I EQ RE + VCEQ = ( 0.5 ) RE + 8 ⇒ RE = 32 Ω 50 Let β = 50, I CQ = ( 0.5 ) = 0.49 A 51 β VT ( 50 )( 0.026 ) rπ = = = 2.65 Ω I CQ 0.49 Rib = rπ + (1 + β ) ( RE RL ) = 2.65 + ( 51) ( 32 12 ) Rib = 448 Ω (1 + β ) ( RE RL ) ( 51) ( 32 12 ) Av = = = 0.994 rπ + (1 + β ) ( RE RL ) 2.65 + ( 51) ( 32 12 ) So gain requirement has been met.
  • 39.
    0.49 I BQ = = 0.0098 A = 9.8 mA 50 24 Let I R ≅ ≅ 10 I B = 98 mA R1 + R2 So that R1 + R2 = 245 Ω R2 VTH = ( 24 ) − 12 = I BQ RTH + VBE ( on ) + I EQ RE − 12 R1 + R2 ⎛ R2 ⎞ ( 0.0098) R1 R2 ⎜ 245 ⎟ ( 24 ) = 245 + 0.7 + ( 0.5 )( 32 ) ⎝ ⎠ Now R1 = 245 − R2 So we obtain 4 × 10−5 R2 + 0.0882 R2 − 16.7 = 0 which yields R2 = 175 Ω and R1 = 70 Ω 2 6.54 (a) RTH = R1 R2 = 25.6 10.4 = 7.40 k Ω ⎛ R2 ⎞ ⎛ 10.4 ⎞ VTH = ⎜ ⎟ (VCC ) = ⎜ ⎟ (18 ) = 5.2 V ⎝ R1 + R2 ⎠ ⎝ 10.4 + 25.6 ⎠ VTH = I BQ RTH + VBE ( on ) + (1 + β ) I BQ RE 5.2 − 0.7 I BQ = = 0.0117 mA 7.40 + (126 )( 3) Then I CQ = 1.46 mA and I EQ = 1.47 mA VCEQ = VCC − I CQ RC − I EQ RE VCEQ = 18 − (1.46 )( 4 ) − (1.47 )( 3) ⇒ VCEQ = 7.75 V (b) (125) ( 0.026 ) rπ = = 2.23 k Ω 1.46 1.46 gm = = 56.2 mA / V 0.026 Re Vo Ie r␲ ␤Ib Is RS RE RC RL Ib RTH
  • 40.
    rπ + RTH2.23 + 7.40 Re = = = 0.0764 k Ω 1+ β 126 − ( RS RE ) − (100 3) Ie = ⋅ Is = ⋅ Is (R S RE ) + Re (100 3) + 0.0764 or I e = − ( 0.974 ) I s ⎛ β ⎞ Vo = − I c ( RC RL ) = − ⎜ ⎟ I e ( RC RL ) ⎝ 1+ β ⎠ Vo ⎛ β ⎞ ⎛ 125 ⎞ Then = −⎜ ⎟ ( −0.974 )( RC RL ) = ⎜ ⎟ ( 0.974 )( 4 4 ) Is ⎝ 1+ β ⎠ ⎝ 126 ⎠ V Then Rm = o = 1.93 k Ω = 1.93 V / mA Is (c) ( ) ( Vs = I s RS R E Re = I s 100 3 0.0764 = I s ( 0.0744 )) Vs or I s = 0.0744 V V which yields o = o ( 0.0744 ) = 1.93 I s Vs Vo or Av = = 25.9 Vs 6.55 (a) β ( RC RL ) Av = , RL = 12 k Ω, β = 100 rπ + R1 R2 Let R1 R2 = 50 k Ω, I CQ = 0.5 mA VTH = I BQ RTH + VBE ( on ) + (1+ β ) I BQ RE 0.5 (100 )( 0.026 ) I BQ = = 0.005 mA, rπ = = 5.2 k Ω 100 0.5 1 1 ⋅ RTH ⋅ VCC = ( 50 )(12 ) = ( 0.005 )( 50 ) + 0.7 + (101)( 0.005 )( 0.5 ) R1 R1 which yields R1 = 500 k Ω and R2 = 55.6 k Ω (100 )(12 12 ) Av = = 10.9, Design criterion is met. 5.2 + 50 (b) I CQ = 0.5 mA, I EQ = 0.505 mA VCEQ = 12 − ( 0.5)(12) − ( 0.505)( 0.5) ⇒ VCEQ = 5.75 V 0.5 Av = g m ( RC RL ) , g m = = 19.23 mA / V 0.026 Av = (19.23) (12 12 ) ⇒ Av = 115 6.56 a. Emitter current
  • 41.
    I EQ =I CC = 0.5 mA 0.5 I BQ = = 0.00495 mA 101 VE = I EQ RE = ( 0.5 )(1) ⇒ VE = 0.5 V VB = VE + VBE ( on ) = 0.5 + 0.7 ⇒ VB = 1.20 V VC = VB + I BQ RB = 1.20 + ( 0.00495 )(100 ) ⇒ VC = 1.7 V b. (100 )( 0.026 ) rπ = = 5.25 kΩ (100 )( 0.00495 ) (100 )( 0.00495 ) gm = = 19.0 mA/V 0.026 Ri gmV␲ V0 RS Ϫ VS ϩ RE V␲ r␲ RB RL Ϫ ϩ gmV␲ RS ͉͉RE Ϫ ΂ ΃ RE ϩ V Ϫ V␲ r␲ RE ϩ RS S ϩ Vo = − g mVπ ( RB RL ) RE Rie Vπ = − ⋅ VS = − ( 0.4971) VS RE Rie + RS Vo = (19 )( 0.4971) VS (100 1) Av = 9.37 c. gmV␲ IX Ϫ VX ϩ Ϫ RE V␲ r␲ ϩ VX VX IX = + − g mVπ , Vπ = −VX RE rπ IX 1 1 1 = = + + gm VX Ri RE rπ 1 1 or Ri = RE rπ = 1 5.253 gm 19 Ri = 0.84 0.05252 ⇒ Ri = 49.4 Ω 6.57 (a) I EQ = 1 mA, I CQ = 0.9917 mA
  • 42.
    VC = 5− ( 0.9917 )( 2 ) = 3.017 V VE = −0.7 V VCEQ = 3.72 V (b) Av = g m ( RC RL ) 0.9917 gm = = 38.14 mA/V 0.026 Av = ( 38.14 ) ( 2 10 ) ⇒ Av = 63.6 6.58 (a) 10 − 0.7 I EQ = = 0.93 mA 10 I CQ = 0.921 mA VECQ = 20 − ( 0.93)(10 ) − ( 0.921)( 5 ) VECQ = 6.10 V (b) 0.921 gm = = 35.42 mA/V 0.026 Av = g m ( RC RL ) = ( 35.42 ) ( 5 50 ) Av = 161 6.59 (a) I EQ = 0.93 mA, I CQ = 0.921 mA VECQ = 6.10 V 0.921 (b) gm = = 35.42 mA/V rπ = 2.82 K 0.026 From Eq. 6.90 Av = g m ( RC RL ) ⎡ rπ R R ⎤ RS ⎢1 + β E S ⎥ ⎣ ⎦ ( 35.42 ) ( 50 5 ) ⎡ 2.82 ⎤ = ⎢ 101 10 0.1⎥ 0.1 ⎣ ⎦ ( 35.42 )( 4.545 ) Av = [0.0218] 0.1 Av = 35.1 6.60 (a) ⎛ 60 ⎞ I CQ = ⎜ ⎟ (1) ⇒ I CQ = 0.984 mA ⎝ 61 ⎠ ⎛ 1⎞ VCEQ = I BQ RB + VBE ( on ) = ⎜ ⎟ (100 ) + 0.7 ⎝ 61 ⎠ VCEQ = 2.34 V (b)
  • 43.
    Av = gm (RB RL ) ⎡ rπ ⎤ RS ⎥ ⎢ RS ⎣1 + β ⎦ 0.984 gm = = 37.85 mA/V 0.026 rπ = 1.59 K ( 37.85) (100 2 ) ⎡1.59 ⎤ Av = ⎢ 61 0.05⎥ 0.05 ⎣ ⎦ = 1484 ⎡ 0.0261 0.05⎤ ⎣ ⎦ Av = 25.4 6.61 is ( peak ) = 2.5 mA, Vo ( peak ) = 5 mV vo 5 × 102 3 So we need Rm = = = 2 × 103 = 2 k Ω is 2.5 × 102 6 From Problem 4.54 Vo ⎛ β ⎞ ⎛ RS RE ⎞ =⎜ ⎟ ( RC RL ) ⎜ ⎜R R +R ⎟ ⎟ Is ⎝ 1+ β ⎠ ⎝ S E ie ⎠ Let RC = 4 k Ω, RL = 5 k Ω, RE = 2 k Ω Now β = 120, so we have ⎛ 120 ⎞ ⎛ RS RE ⎞ ⎛ RS RE ⎞ 2=⎜ ⎟ ( 4 5) ⎜ ⎜R R +R ⎟ = 2.204 ⎜ ⎟ ⎜R R +R ⎟ ⎟ ⎝ 121 ⎠ ⎝ S E ie ⎠ ⎝ S E ie ⎠ RS RE Then = 0.9075 RS RE + Re RS RE = 50 2 = 1.923 k Ω, so that Rie = 0.196 k Ω Assume VCEQ = 3 V VCC ≅ I CQ ( RC + RE ) + VCEQ 5 = I CQ ( 4 + 2 ) + 3 ⇒ I CQ = 0.333 mA (120 )( 0.026 ) rπ = = 9.37 k Ω 0.333 r + RTH 9.37 + RTH Rie = π ⇒ 0.196 = 1+ β 121 which yields RTH = 14.35 k Ω Now VTH = I BQ RTH + VBE ( on ) + I EQ RE 1 ⎛ 121 ⎞ I BQ = = 0.00833 mA, I EQ = ⎜ ⎟ (1) = 1.008 mA 120 ⎝ 120 ⎠ 1 1 VTH = ⋅ RTH ⋅ VCC = (14.35 )( 5 ) = ( 0.00833)(14.35 ) + 0.7 + (1.008 )( 2 ) R1 R1 which yields R1 = 25.3 k Ω and R2 = 33.2 k Ω 6.62 a.
  • 44.
    20 − 0.7 I EQ = = 1.93 mA 10 I CQ = 1.91 mA VECQ = VCC + VEB ( on ) − I C RC = 25 + 0.7 − (1.91)( 6.5 ) ⇒ VECQ = 13.3 V b. Rie RS h fe Ib V0 IS Ie VS ϩ RE RC RL Ϫ hie Ib Neglect effect hoe From Problem 6-16, assume 2.45 ≤ hie ≤ 3.7 kΩ 80 ≤ h fe ≤ 120 Vo = ( h fe I b ) ( RC RL ) hie ⎛ RE ⎞ Rie = , Ie = ⎜ ⎟ IS 1 + h fe ⎝ RE + Rie ⎠ ⎛ I ⎞ VS Ib = ⎜ e ⎟ , I S = ⎜ 1+ h ⎟ RS + RE Rie ⎝ fe ⎠ ⎛ h fe ⎞ ⎛ RE ⎞ ⎛ 1 ⎞ ⎜ 1+ h ⎟( C Av = ⎜ R RL ) ⎜ ⎟×⎜ ⎟ ⎟ ⎝ fe ⎠ ⎝ RE + Rie ⎠ ⎝ RS + RE Rie ⎠ High gain device: hie = 3.7 kΩ, h fe = 120 3.7 Rie = = 0.0306 kΩ 121 RE Rie = 10 0.0306 = 0.0305 ⎛ 120 ⎞ ⎛ 10 ⎞⎛ 1 ⎞ Av = ⎜ ⎟ ( 6.5 5 ) ⎜ ⎟⎜ ⎟ ⇒ Av = 2.711 ⎝ 121 ⎠ ⎝ 10 + 0.0306 ⎠ ⎝ 1 + 0.0305 ⎠ Low gain device: hie = 2.45 kΩ, h fe = 80 2.45 Rie = = 0.03025 kΩ 81 RE Rie = 10 0.03025 = 0.0302 ⎛ 80 ⎞ ⎛ 10 ⎞⎛ 1 ⎞ Av = ⎜ ⎟ ( 6.5 5 ) ⎜ ⎟⎜ ⎟ ⇒ Av = 2.70 So Av ≈ constant ⎝ 81 ⎠ ⎝ 10 + 0.03025 ⎠ ⎝ 1 + 0.0302 ⎠ 2.70 ≤ Av ≤ 2.71 c. Ri = RE Rie We found 0.0302 ≤ Ri ≤ 0.0305 kΩ Neglecting hoe , Ro = RC = 6.5 kΩ 6.63 a. Small-signal voltage gain
  • 45.
    Av = gm ( RC RL ) ⇒ 25 = g m ( RC 1) For VECQ = 3 V ⇒ VC = −VECQ + VEB ( on ) = −3 + 0.7 ⇒ VC = −2.3 5 − 2.3 2.7 VCC − I CQ RC + VC = 0 ⇒ I CQ = = = I CQ RC RC For I CQ = 1 mA, RC = 2.7 kΩ 1 gm = = 38.5 mA/V 0.026 Av = ( 38.5 )( 2.7 1) = 28.1 Design criterion satisfied and VECQ satisfied. ⎛ 101 ⎞ IE = ⎜ ⎟ (1) = 1.01 mA ⎝ 100 ⎠ 5 − 0.7 VEE = I E RE + VEB ( on ) ⇒ RE = ⇒ RE = 4.26 kΩ 1.01 b. β VT (100)( 0.026) rπ = = ⇒ rπ = 2.6 kΩ, g m = 38.5 mA/V, ro = ∞ I CQ 1 6.64 a. ⎛ R2 ⎞ ⎛ 20 ⎞ VTH 1 = ⎜ ⎟ VCC = ⎜ ⎟ (10 ) ⇒ VTH 1 = 2.0 V ⎝ R1 + R2 ⎠ ⎝ 20 + 80 ⎠ RTH 1 = R1 R2 = 20 80 = 16 kΩ 2 − 0.7 I B1 = = 0.0111 mA 16 + (101)(1) 1.11 I C1 = 1.11 mA ⇒ g m1 = ⇒ g m1 = 42.74 mA/V 0.026 (100)( 0.026) rπ 1 = ⇒ rπ 1 = 2.34 kΩ 1.11 ∞ r01 = ⇒ r01 = ∞ 1.11 ⎛ R4 ⎞ ⎛ 15 ⎞ VTH 2 = ⎜ ⎟ VCC = ⎜ ⎟ (10 ) = 1.50 V ⎝ R3 + R4 ⎠ ⎝ 15 + 85 ⎠ RTH 2 = R3 R4 = 15 85 = 12.75 kΩ 1.50 − 0.70 IB2 = = 0.01265 mA 12.75 + (101)( 0.5 ) 1.265 I C 2 = 1.265 mA ⇒ g m 2 = ⇒ g m2 = 48.65 mA/V 0.026 (100 )( 0.026 ) rπ 2 = ⇒ rπ 2 = 2.06 kΩ 1.26 r02 = ∞ b. Av1 = − g m1 RC1 = − ( 42.7 )( 2 ) ⇒ Av1 = −85.48 Av 2 = − g m 2 ( RC 2 RL ) = − ( 48.5) ( 4 4) ⇒ Av 2 = −97.3 c. Input resistance of 2nd stage
  • 46.
    Ri 2 =R3 R4 rπ 2 = 15 85 2.06 = 12.75 2.06 ⇒ Ri 2 = 1.773 kΩ Av′1 = − g m1 ( RC1 Ri 2 ) = − ( 42.7 ) ( 2 1.77B) Av′1 = −40.17 Overall gain: Av = ( −40.17 )( −97.3) ⇒ Av = 3909 If we had Av1 ⋅ Av 2 = ( −85.48)( −97.3) = 8317 Loading effect reduces overall gain 6.65 a. ⎛ R2 ⎞ ⎛ 12.7 ⎞ VTH 1 = ⎜ ⎟ VCC = ⎜ ⎟ (12) ⇒ VTH 1 = 1.905 V ⎝ R1 + R2 ⎠ ⎝ 12.7 + 67.3 ⎠ RTH 1 = R1 R2 = 12.7 67.3 = 10.68 kΩ 1.905 − 0.70 I B1 = = 0.00477 mA 10.68 + (121)( 2 ) I C1 = 0.572 mA 0.572 g m1 = ⇒ g m1 = 22 mA/V 0.026 (120 )( 0.026 ) rπ 1 = ⇒ rπ 1 = 5.45 kΩ 0.572 ∞ r01 = ⇒ r01 = ∞ 0.572 ⎛ R4 ⎞ ⎛ 45 ⎞ VTH 2 = ⎜ ⎟ VCC = ⎜ ⎟ (12) ⇒ VTH 2 = 9.0 V ⎝ R3 + R4 ⎠ ⎝ 45 + 15 ⎠ RTH 2 = R3 R4 = 15 45 = 11.25 kΩ 9.0 − 0.70 I B2 = = 0.0405 mA 11.25 + (121)(1.6) I C2 = 4.86 mA 4.86 gm2 = ⇒ g m 2 = 187 mA/V 0.026 (120 )( 0.026 ) rπ 2 = ⇒ rπ 2 = 0.642 kΩ 4.86 r02 = ∞ b. I E1 = 0.577 mA VCEQ1 = 12 − ( 0.572 ) (10 ) − ( 0.577 ) ( 2 ) ⇒ VCEQ1 = 5.13 V I E 2 = 4.90 VCEQ 2 = 12 − ( 4.90 )(1.6 ) ⇒ VCEQ 2 = 4.16 V
  • 47.
    Q1 AC load line Ϫ1 Slope ϭ 10͉͉7.92 Ϫ1 ϭ 4.42 K 0.572 5.13 12 Q2 AC load line Ϫ1 Slope ϭ 1.6͉͉0.25 Ϫ1 4.86 ϭ 0.216 K 4.16 12 Ri 2 = R3 R4 Rib Rib = rπ 2 + (1 + β ) ( RE 2 RL ) = 0.642 + (121) (1.6 0.25 ) Rib = 26.8 Ri 2 = 15 45 26.8 Ri 2 = 7.92 kΩ c. Av1 = − g m1 ( RC1 Ri 2 ) = − ( 22 )(10 7.92 ) ⇒ Av 2 = −97.2 (1 + β )( RE 2 RL ) Av 2 = rπ 2 + (1 + β )( RE 2 RL ) (121)( 0.216 ) = = 0.976 0.642 + (121)( 0.216 ) Overall gain = ( −97.2 )( 0.976 ) = −94.9 d. RiS = R1 R2 rπ 1 = 67.3 12.7 5.45 ⇒ RiS = 3.61 kΩ rπ 2 + RS Ro = RE 2 where 1+ β RS = R3 R4 RC1 = 15 45 10 ⇒ RS = 5.29 kΩ 0.642 + 5.29 Ro = 1.6 ⇒ 0.049 1.6 ⇒ Ro = 47.6 Ω 121 e. −1 ΔiC = ⋅ Δvce , ΔiC = 4.86 0.216 kΩ Δvce = ( 4.86 )( 0.216 ) = 1.05 V Max. output voltage swing = 2.10 V peak-to-peak 6.66 (a)
  • 48.
    5 − 2( 0.7 ) I R1 = = 72 mA 0.050 0.7 IR2 = = 1.4 mA 0.5 ⎛ β ⎞ IC 2 =⎜ ⎟ ( 72 − 1.4 ) ⇒ I C 2 = 69.9 mA ⎝ 1+ β ⎠ 69.9 IB2 = = 0.699 mA 100 ⎛ β ⎞ I C1 =⎜ ⎟ (1.4 + 0.699 ) ⇒ I C1 = 2.08 mA ⎝ 1+ β ⎠ (b) ϩ Vs ϩ Ϫ V␲1 r␲1 gm1V␲1 gm2V␲2 Ϫ r␲2 ϩ 0.5 k⍀ V␲2 Ϫ Vo 50 Ω Vs = Vπ 1 + Vπ 2 + Vo (1) ⎛V V ⎞ Vo = ⎜ π 2 + π 2 + g m 2Vπ 2 ⎟ ( 0.05 ) ⎝ 0.5 rπ 2 ⎠ (100 )( 0.026 ) rπ 2 = = 0.0372 k Ω 69.9 69.9 gm2 = = 2688 mA / V 0.026 ⎛ 1 1 ⎞ V Vo = Vπ 2 ⎜ + + 2688 ⎟ ( 0.05 ) so that (1) Vπ 2 = o ⎝ 0.5 0.0372 ⎠ 135.8 (2)
  • 49.
    Vπ 1 V V + g m1Vπ 1 = π 2 + π 2 rπ 1 0.5 rπ 2 (100 )( 0.026 ) rπ 1 = = 1.25 k Ω 2.08 2.08 g m1 = = 80 mA / V 0.026 ⎛ 1 ⎞ ⎛ 1 1 ⎞ Vπ 1 ⎜ + 80 ⎟ = Vπ 2 ⎜ + ⎟ ⎝ 1.25 ⎠ ⎝ 0.5 0.0372 ⎠ ⎛ V ⎞ Vπ 1 ( 80.8 ) = Vπ 2 ( 28.88 ) = ⎜ o ⎟ ( 28.88 ) or (2) Vπ 1 = Vo ( 0.00261) ⎝ 136.7 ⎠ V V Then Vs = Vo ( 0.00261) + o + Vo = Vo (1.00993) or Av = o = 0.990 136.7 Vs (c) Rib = rπ 1 (1 + β ) [ Rx ] Ix ϩ Vx ϩ Ϫ 0.5 k⍀ V␲2 r␲2 gm2V␲2 Ϫ Vo 50 ⍀ Vπ 2 Vπ 2 ⎛ 1 1 ⎞ Ix = + = Vπ 2 ⎜ + ⎟ 0.5 rπ 2 ⎝ 0.5 rπ 2 ⎠ Vo V − Vπ 2 = x = I x + g m 2Vπ 2 0.05 0.05 ⎛ 1 ⎞ Ix ⎜ + gm2 ⎟ Vx ⎛ 1 ⎞ ⎝ 0.05 ⎠ − I x = Vπ 2 ⎜ + gm2 ⎟ = 0.05 ⎝ 0.05 ⎠ ⎛ 1 1 ⎞ ⎜ + ⎟ ⎝ 0.5 rπ 2 ⎠ Vx We find = Rx = 4.74 k Ω Ix Then Rib = 1.25 + (101) ( 2.89 ) ⇒ Rib = 480 k Ω
  • 50.
    ϩ V␲1 r␲1 gm1V␲1 gm2V␲2 Ϫ r␲2 ϩ 0.5 k⍀ V␲2 Ϫ Ix ϩ 50 ⍀ Ϫ Vx To find Ro: Vx V (1) Ix = − g m 2Vπ 2 − π 2 0.05 0.5 rπ 2 ⎛V ⎞ ⎛ 1 ⎞ (2) Vπ 2 = ⎜ π 1 + g m1Vπ 1 ⎟ ( 0.5 rπ 2 ) = Vπ 1 ⎜ + 80 ⎟ ( 0.5 0.0372 ) or Vπ 2 = ( 2.77 ) Vπ 1 ⎝ rπ 1 ⎠ ⎝ 1.25 ⎠ (3) Vπ 1 + Vπ 2 + Vx = 0 ⇒ Vπ 1 + ( 2.77 ) Vπ 1 + Vx = 0 so that Vπ 1 = − ( 0.2653) Vx and Vπ 2 = ( 2.77 ) ⎡ − ( 0.2653) Vx ⎤ = − ( 0.735 ) Vx ⎣ ⎦ Vx ⎛ 1 ⎞ Now I x = − Vπ 2 ⎜ g m 2 + ⎟ 0.05 ⎜ 0.5 rπ 2 ⎟ ⎝ ⎠ Vx ⎡ 1 ⎤ Vx So that I x = + ( 0.735 ) Vx ⎢ 2688 + ⎥ which yields Ro = = 0.496 Ω 0.05 ⎢ ⎣ 0.5 0.0372 ⎥ ⎦ Ix 6.67 a. RTH = R1 R2 = 335 125 = 91.0 kΩ ⎛ R2 ⎞ VTH = ⎜ ⎟ VCC ⎝ R1 + R2 ⎠ ⎛ 125 ⎞ =⎜ ⎟ (10 ) = 2.717 V ⎝ 125 + 335 ⎠ VTH = I B1 RTH + VBE1 + VBE 2 + I E 2 RE 2 I E 2 = (1 + β ) I E1 = (1 + β ) I B1 2 2.717 − 1.40 I B1 = ⇒ I B1 = 0.128 μΑ 91.0 + (101) (1) 2 I C1 = 12.8 μΑ I C 2 = β I E1 = β (1 + β ) I B1 = (100 )(101)( 0.128 μΑ ) I C 2 = 1.29 mΑ, I E 2 = 1.31 mΑ I RC = I C 2 + I C1 = 1.29 + 0.0128 = 1.30 mΑ
  • 51.
    VC = 10− I RC RC = 10 − (1.30 )( 2.2 ) = 7.14 V VE = I E 2 RE 2 = (1.30 )(1) = 1.30 V VCE 2 = 7.14 − 1.30 = 5.84 V VCE1 = VCE 2 − VBE 2 = 5.84 − 0.7 VCE1 = 5.14 V Summary: I C1 = 12.8 μΑ I C 2 = 1.29 mΑ VCE1 = 5.14 V VCE 2 = 5.84 V b. 0.0128 g m1 = = 0.492 mΑ / V 0.026 1.292 gm2 = = 49.7 mΑ / V 0.026 Rib V0 ϩ Ib V␲1 r␲1 gm1V␲1 ϩ Ϫ VS ϩ RC Ϫ gm2V␲2 R1͉͉ R2 V␲2 r␲2 Ϫ V0 = − ( g m1Vπ 1 + g m 2Vπ 2 ) RC VS = Vπ 1 + Vπ 2 , Vπ 1 = VS − Vπ 2 ⎛V ⎞ Vπ 2 = ⎜ π 1 + g m1Vπ 1 ⎟ rπ 2 ⎝ rπ 1 ⎠ ⎛1+ β ⎞ Vπ 2 = Vπ 1 ⎜ ⎟ rπ 2 ⎝ rπ 1 ⎠ V0 = − ⎡ g m1 (VS − Vπ 2 ) + g m 2Vπ 2 ⎤ RC ⎣ ⎦ V0 = − ⎡ g m1VS + ( g m 2 − g m1 ) Vπ 2 ⎤ RC ⎣ ⎦ ⎛r ⎞ Vπ 2 = (VS − Vπ 2 )(1 + β ) ⎜ π 2 ⎟ ⎝ rπ 1 ⎠ ⎡ ⎛ r ⎞⎤ ⎛r ⎞ Vπ 2 ⎢1 + (1 + β ) ⎜ π 2 ⎟ ⎥ = VS (1 + β ) ⎜ π 2 ⎟ ⎣ ⎝ rπ 1 ⎠ ⎦ ⎝ rπ 1 ⎠
  • 52.
    ⎛r ⎞⎫ ⎪ VS (1 + β ) ⎜ π 2 ⎟ ⎪ ⎪ V0 = − ⎨ g m1VS + ( g m 2 − g m1 ) ⋅ ⎝ rπ 1 ⎠ ⎪ R ⎬ C ⎪ ⎛r ⎞ 1 + (1 + β ) ⎜ π 2 ⎟ ⎪ ⎪ ⎝ rπ 1 ⎠ ⎪ ⎩ ⎭ V0 Av = VS ⎧ 2.01 ⎞ ⎫ ⎪ ( 49.7 − 0.492 )(101) ⎛ ⎜ ⎟⎪ ⎪ ⎝ 203 ⎠ ⎪ 2.2 = − ⎨( 0.492 ) + ⎬ ⎪ ⎛ 2.01 ⎞ ⎪ 1 + (101) ⎜ ⎟ ⎪ ⎩ ⎝ 203 ⎠ ⎪ ⎭ Av = −55.2 c. Ris = R1 R2 Rib Rib = rπ 1 + (1 + β ) rπ 2 = 203 + (101)( 2.01) = 406 kΩ Ris = 91 406 = 74.3 kΩ = Ris R0 = RC = 2.2 kΩ 6.68 R0 Ix ϩ ϩ Vx V␲1 r␲1 ro1 Ϫ gm1V␲1 Ϫ VA ϩ V␲2 r␲2 ro2 gm2V␲2 Ϫ Vx Vx − VA (1) I x = g m 2Vπ 2 + + + g m1Vπ 1 ro 2 ro1 Vx − VA VA (2) + g m1Vπ 1 = ro1 rπ 1 rπ 2 (3) Vπ 2 = VA = −Vπ 1 Then from (2) Vx ⎛ 1 1 ⎞ = VA ⎜ + g m1 + ⎟ ro1 ⎜r rπ 1 rπ 2 ⎟ ⎝ o1 ⎠ Vx Vx VA ⎛ 1 1 ⎞ ⎛ 1 ⎞ (1) I x = g m 2VA + + − − g m1VA or I x = Vx ⎜ + ⎟ + VA ⎜ g m 2 − − g m1 ⎟ ro 2 ro1 ro1 ⎝ ro1 ro 2 ⎠ ⎝ ro1 ⎠ Solving for VA from Equation (2) and substituting into Equation (1), we find
  • 53.
    1 1 + g m1 + V ro1 rπ 1 rπ 2 Ro = x = Ix 1 ⎛ 1 1 ⎞ 1 ⎛ 1 ⎞ ⎜ + g m1 + ⎟+ ⎜ + gm2 ⎟ ro 2 ⎝ ro1 rπ 1 rπ 2 ⎠ ro1 ⎝ rπ 1 rπ 2 ⎠ For β = 100, VA = 100 V , I C1 = I Bias = 1 mA 100 ro1 = ro 2 = = 100 k Ω 1 (100 )( 0.026 ) rπ 1 = rπ 2 = = 2.6 k Ω 1 1 g m1 = g m 2 = = 38.46 mA/V 0.026 1 1 + 38.46 + 100 2.6 2.6 Then Ro = 1 ⎛ 1 1 ⎞ 1 ⎛ 1 ⎞ ⎜ + 38.46 + ⎟+ ⎜ + 38.46 ⎟ 100 ⎜ 100 ⎝ 2.6 2.6 ⎟ 100 ⎜ 2.6 2.6 ⎠ ⎝ ⎟ ⎠ or Ro = 50.0 k Ω Now I C 2 = 1 mA, I Bias = 0 IC 2 β I Replace I Bias by ⋅ = C 2 , I C1 ≅ 0.01 mA β 1+ β 1+ β 100 100 ro 2 = = 100 k Ω, ro1 = = 10, 000 k Ω 1 0.01 1 gm2 = = 38.46 mA/V , g m1 = 0.3846 mA/V 0.026 (100 )( 0.026 ) rπ 2 = = 2.6 k Ω, rπ 1 = 260 k Ω 1 Then Ro = 66.4 k Ω 6.69 a. RTH = R1 R2 = 93.7 6.3 = 5.90 k Ω ⎛ R2 ⎞ VTH = ⎜ ⎟ VCC ⎝ R1 + R2 ⎠ ⎛ 6.3 ⎞ =⎜ ⎟ (12 ) = 0.756 V ⎝ 6.3 + 93.7 ⎠ 0.756 − 0.70 I BQ = = 0.00949 mA 5.90 I CQ = 0.949 mA VCEQ = 12 − ( 0.949 )( 6 ) ⇒ VCEQ = 6.305 V Transistor: PQ ≈ I CQVCEQ = ( 0.949 )( 6.305 ) ⇒ PQ = 5.98 mW RC : PR = I CQ RC = ( 0.949 ) ( 6 ) ⇒ PR = 5.40 mW 2 2 b.
  • 54.
    2 AC load line Ϫ1 Slope ϭ 6͉͉105 Ϫ1 ϭ 0.949 5.68 K 6.31 12 100 r0 = = 105 kΩ 0.949 Peak signal current = 0.949 mA V0 ( max ) = ( 5.68 )( 0.949 ) = 5.39 V 1 V0 ( max ) 1 ⎡ ( 5.39 ) ⎤ 2 2 PRC = ⋅ = ⎢ ⎥ ⇒ PRC = 2.42 mW 2 RC 2⎢ 6 ⎥ ⎣ ⎦ 6.70 (a) 10 = I BQ RB + VBE ( on ) + (1 + β ) I BQ RE 10 − 0.7 I BQ = = 0.00369 mA 100 + (121)( 20 ) I CQ = 0.443 mA, I EQ = 0.447 mA For RC : PRC = ( 0.443) (10 ) ⇒ PRC = 1.96 mW 2 For RE : PRE = ( 0.447 ) ( 20 ) ⇒ PRE = 4.0 mW 2 (b) ΔiC = 0.667 − 0.443 = 0.224 mA 1 1 ( ΔiC ) RC = ( 0.224 ) (10 ) 2 2 Then P RC = 2 2 P RC = 0.251 mW 6.71 a. 10 − 0.7 I BQ = = 0.00596 mA 50 + (151)(10 ) I CQ = 0.894 mA, I EQ = 0.90 mA VECQ = 20 − ( 0.894 )( 5 ) − ( 0.90 )(10 ) ⇒ VECQ = 6.53 V PQ ≅ I CQVECQ = ( 0.894 )( 6.53) ⇒ PQ = 5.84 mW PRC ≅ I CQ RC = ( 0.894 ) ( 5 ) ⇒ PRC = 4.0 mW 2 2 PRE ≅ I EQ RE = ( 0.90 ) (10 ) ⇒ PRE = 8.1 mW 2 2 b.
  • 55.
    AC load line Ϫ1 Slope ϭ 5͉͉2 Ϫ1 ϭ 0.894 1.43 K 6.53 20 −1 ΔiC = ⋅ Δvec 1.43 kΩ ΔiC = 0.894 ⇒ Δvec = ( 0.894 )(1.43) = 1.28 V ⎛ 5 ⎞ Δi0 = ⎜ ⎟ ΔiC = 0.639 mA ⎝5+2⎠ 1 PRL = ( 0.639 ) ( 2 ) ⇒ PRL = 0.408 mW 2 2 1 PRC = ⋅ ( 0.894 − 0.639 ) ( 5 ) ⇒ PRC = 0.163 mW 2 2 PRE = 0 PQ = 5.84 − 0.408 − 0.163 ⇒ PQ = 5.27 mW 6.72 10 − 0.70 I BQ = = 0.00838 mA 100 + (101)(10 ) I CQ = 0.838 mA, I EQ = 0.846 mA VCEQ = 20 − ( 0.838 )(10 ) − ( 0.846 )(10 ) ⇒ VCEQ = 3.16 V AC load line Ϫ1 Slope ϭ RE ͉͉RL͉͉r0 0.838 3.16 20 100 r0 = = 119 kΩ 0.838 Neglecting base currents: a. RL = 1 kΩ −1 −1 slope = = 10 1 119 0.902 kΩ −1 ΔiC = ⋅ ΔVce 0.902 kΩ ΔiC = 0.838 ⇒ ΔVce = ( 0.902 )( 0.838 ) = 0.756 V 1 ( 0.756 ) 2 PRL = ⇒ PRL = 0.286 mW 2 1 b.
  • 56.
    RL = 10kΩ −1 −1 slope = = 10 10 119 4.80 For ΔiC = 0.838 ⇒ Δvce = ( 0.838 )( 4.80 ) = 4.02 1 ( 3.16 ) 2 Max. swing determined by voltage PRL = ⇒ PRL = 0.499 mW 2 10 6.73 a. 10 − 0.7 I BQ = = 0.00838 mA 100 + (101)(10 ) I CQ = 0.838 mA, I EQ = 0.846 mA VCEQ = 20 − ( 0.838 )(10 ) − ( 0.846 )(10 ) ⇒ VCEQ = 3.16 V PQ ≅ I CQVCEQ = ( 0.838 )( 3.16 ) ⇒ PQ = 2.65 mW PRC ≅ I CQ RC = ( 0.838 ) (10 ) ⇒ PRC = 7.02 mW 2 2 b. AC load line Ϫ1 Slope ϭ RC ͉͉RL Ϫ1 Ϫ1 0.838 ϭ ϭ 10͉͉1 0.909 K 3.16 20 −1 ΔiC = ⋅ Δvce 0.909 kΩ For ΔiC = 0.838 ⇒ Δvce = ( 0.909 )( 0.838 ) = 0.762 V ⎛ RC ⎞ ⎛ 10 ⎞ Δi0 = ⎜ ⎟ ΔiC = ⎜ ⎟ ΔiC = 0.762 mA ⎝ RC + RL ⎠ ⎝ 10 + 1 ⎠ 1 PRL = ( 0.762 ) (1) ⇒ PRL = 0.290 mW 2 2 1 PRC = ⋅ ( 0.838 − 0.762 ) (10 ) ⇒ PRC = 0.0289 mW 2 2 PQ = 2.65 − 0.290 − 0.0289 ⇒ PQ = 2.33 mW