Chapter 11
Problem Solutions

11.1
(a)
 −0.7 − ( −3)
                = 0.1 ⇒ RE = 23 K
       RE
3 − 1.5
        = 0.05 ⇒ RC = 30 K
  RC
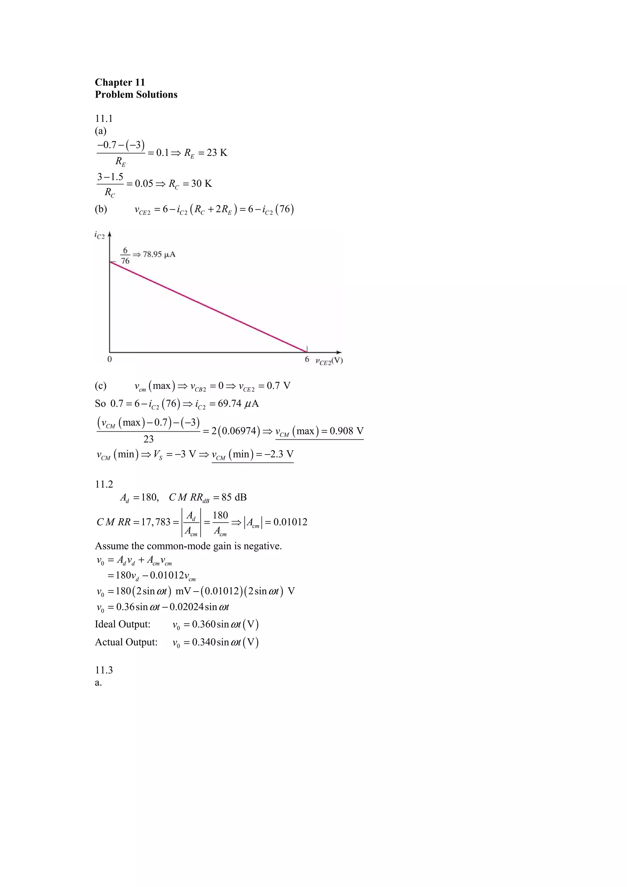
(b)         vCE 2 = 6 − iC 2 ( RC + 2 RE ) = 6 − iC 2 ( 76 )




(c)         vcm ( max ) ⇒ vCB 2 = 0 ⇒ vCE 2 = 0.7 V
So 0.7 = 6 − iC 2 ( 76 ) ⇒ iC 2 = 69.74 μ A
( v ( max ) − 0.7 ) − ( −3) = 2
  CM
                              ( 0.06974 ) ⇒ vCM ( max ) = 0.908 V
               23
vCM    ( min ) ⇒ VS = −3 V ⇒ vCM ( min ) = −2.3 V

11.2
        Ad = 180, C M RRdB = 85 dB
                     Ad    180
C M RR = 17, 783 =       =     ⇒ Acm = 0.01012
                     Acm   Acm
Assume the common-mode gain is negative.
v0 = Ad vd + Acm vcm
   = 180vd − 0.01012vcm
v0 = 180 ( 2sin ω t ) mV − ( 0.01012 )( 2sin ω t ) V
v0 = 0.36sin ω t − 0.02024sin ω t
Ideal Output:          v0 = 0.360sin ω t ( V )
Actual Output:         v0 = 0.340sin ω t ( V )

11.3
a.
10 − 2 ( 0.7 )
I1 =                    ⇒ I1 = 1.01 mA
            8.5
               I1                   1.01
IC 2 =                     =                  ⇒ I C 2 ≅ 1.01 mA
                2                      2
         1+                    1+
            β (1 + β )            (100 )(101)
       ⎛ 100 ⎞ ⎛ 1.01 ⎞
IC 4 = ⎜      ⎟⎜       ⎟ ⇒ I C 4 ≅ 0.50 mA
       ⎝ 101 ⎠ ⎝ 2 ⎠
VCE 2 = ( 0 − 0.7 ) − ( −5 ) ⇒ VCE 2 = 4.3 V
VCE 4 = ⎡5 − ( 0.5 )( 2 ) ⎤ − ( −0.7 ) ⇒ VCE 4 = 4.7 V
        ⎣                 ⎦
b.
For VCE 4 = 2.5 V ⇒ VC 4 = −0.7 + 2.5 = 1.8 V
        5 − 1.8
IC 4 =          ⇒ I C 4 = 1.6 mA
           2
       ⎛ 1+ β ⎞              ⎛ 101 ⎞
IC 2 + ⎜       ⎟ ( 2IC 4 ) = ⎜     ⎟ ( 2 )(1.6 ) ⇒ I C 2 = 3.23 mA
       ⎝   β ⎠               ⎝ 100 ⎠
I1 ≈ I C 2 = 3.23 mA
       10 − 2 ( 0.7 )
R1 =                     ⇒ R1 = 2.66 kΩ
            3.23

11.4
a.         Neglecting base currents
                             30 − 0.7
I1 = I 3 = 400 μ A ⇒ R1 =             ⇒ R1 = 73.25 kΩ
                               0.4
VCE1 = 10 V ⇒ VC1 = 9.3 V
       15 − 9.3
RC =            ⇒ RC = 28.5 kΩ
          0.2
b.
      (100 )( 0.026 )
rπ =                  = 13 kΩ
            0.2
            50
r0 ( Q3 ) =     = 125 kΩ
            0.4
We have
                        β RC   (100 )( 28.5)
          Ad =                   =           ⇒ Ad     = 62
                 2 ( rπ + RB )  2 (13 + 10 )
                          ⎧                  ⎫
                          ⎪                  ⎪
                   β RC ⎪           1        ⎪
         Acm = −          ⎨                  ⎬
                 rπ + RB ⎪      2r0 (1 + β ) ⎪
                           1+
                          ⎪
                          ⎩       rπ + RB ⎪  ⎭
                                ⎧                ⎫
                 (100 )( 28.5 ) ⎪
                                ⎪         1      ⎪
                                                 ⎪
             =−                 ⎨                ⎬ ⇒ Acm = −0.113
                    13 + 10 ⎪ 2 (125 )(101) ⎪
                                 1+
                                ⎪
                                ⎩                ⎪
                                         13 + 10 ⎭
                    ⎛ 62 ⎞
C M RRdB = 20 log10 ⎜       ⎟ ⇒ C M RRdB = 54.8 dB
                    ⎝ 0.113 ⎠
c.
Rid = 2 ( rπ + RB ) = 2 (13 + 10 ) ⇒ Rid = 46 kΩ
        1
Ricm =    ⎡ rπ + RB + 2 (1 + β ) r0 ⎤
        2⎣                          ⎦
        1
       = ⎡13 + 10 + 2 (101)(125 ) ⎤ ⇒ Ricm = 12.6 MΩ
        2⎣                            ⎦

11.5
                                                               IQ                  ( 0.5)
(a)          vCM ( max ) ⇒ VCB = 0 so that vCM ( max ) = 5 −        ( RC ) = 5 −            (8)
                                                               2                     2
vCM ( max ) = 3 V
(b)
            Vd ⎛ I CQ ⎞ Vd ⎛ 0.25 ⎞ ⎛ 0.018 ⎞
ΔI = g m ⋅       =⎜      ⎟⋅   =⎜           ⎟⎜    ⎟ = 0.08654 mA
             2 ⎝ VT ⎠ 2 ⎝ 0.026 ⎠ ⎝ 2 ⎠
 ΔVC 2   = ΔI ⋅ RC = ( 0.08654 ) ( 8 ) = 0.692 V
(c)
     ⎛ 0.25 ⎞ ⎛ 0.010 ⎞
ΔI = ⎜        ⎟⎜         ⎟ = 0.04808 mA
     ⎝ 0.026 ⎠ ⎝ 2 ⎠
ΔVC 2 = ( 0.04808 )( 8 ) = 0.385 V

11.6
P = ( I1 + I C 4 ) (V + − V − )
I1 ≅ I C 4 so 1.2 = 2 I1 ( 6 ) ⇒ I1 = I C 4 = 0.1 mA
         3 − 0.7 − ( −3)
R1 =                       ⇒ R1 = 53 k Ω
              0.1
                                                  3 −1
For vCM = +1V ⇒ VC1 = VC 2 = 1 V ⇒ RC =                ⇒ RC = 40 k Ω
                                                  0.05
One-sided output
     1                   0.05
Ad = g m RC where g m =       = 1.923 mA / V
     2                  0.026
Then
     1
Ad = (1.923)( 40 ) ⇒ Ad = 38.5
     2

11.7
a.
             IE
0 = 0.7 +       ( 2 ) + I E (85) − 5
             2
      5 − 0.7
IE =             ⇒ I E = 0.050 mA
       85 + 1
               ⎛ β ⎞ ⎛ I E ⎞ ⎛ 100 ⎞⎛ 0.050 ⎞
I C1 = I C 2 = ⎜        ⎟⎜ ⎟ = ⎜     ⎟⎜     ⎟
               ⎝ 1 + β ⎠ ⎝ 2 ⎠ ⎝ 101 ⎠⎝ 2 ⎠
Or I C1 = I C 2 = 0.0248 mA
VCE1 = VCE 2 = ⎡5 − I C1 (100 ) ⎤ − ( −0.7 )
               ⎣                ⎦
So VCE1 = VCE 2 = 3.22 V
b.           vcm ( max ) for VCB = 0 and VC = 5 − I C1 (100 ) = 2.52 V
So vcm ( max ) = 2.52 V
vcm ( min ) for Q1 and Q2 at the edge of cutoff ⇒ vcm ( min ) = −4.3 V
(c) Differential-mode half circuits
vd        ⎛V           ⎞
−                          ′
    = Vπ + ⎜ π + g mVπ ⎟ .RE
  2        ⎝ rπ         ⎠
         ⎡ (1 + β ) ⎤
    = Vπ ⎢1 +          ′
                     RE ⎥
         ⎣      rπ       ⎦
Then
                − ( vd / 2 )
 Vπ =
         ⎡ (1 + β ) ⎤
         ⎢1 +       ′
                   RE ⎥
         ⎣    rπ      ⎦
                                   1       β RC
vo = − g mVπ RC ⇒ Ad =               ⋅
                                   2 rπ + (1 + β ) RE
                                                    ′
        β VT         (100 )( 0.026 )              ′
rπ =            =                      = 105 k Ω RE = 2 k Ω
        I CQ            0.0248
Then
         1 (100 )(100 )
 Ad =     ⋅                 ⇒ Ad = 16.3
         2 105 + (101)( 2 )

11.8
a.             For v1 = v2 = 0 and neglecting base currents
        −0.7 − ( −10 )
RE =                           ⇒ RE = 62 kΩ
                0.15
b.
        v02     β RC
Ad =        =
        vd 2 ( rπ + RB )
        β VT         (100 )( 0.026 )
 rπ =            =                     = 34.7 kΩ
         I CQ             0.075
          (100 )( 50 )
Ad =                     ⇒ Ad          = 71.0
        2 ( 34.7 + 0.5 )
                ⎡               ⎤
                ⎢               ⎥
          β RC ⎢       1        ⎥
Acm = −
        rπ + RB ⎢ 2 RE (1 + β ) ⎥
                ⎢1 +            ⎥
                ⎢
                ⎣    rπ + RB ⎥  ⎦
                               ⎡     ⎤
           (100 )( 50 ) ⎢     1      ⎥
    =−               ⎢               ⎥ ⇒ Acm = −0.398
          34.7 + 0.5 ⎢ 2 ( 62 )(101) ⎥
                     ⎢1 + 34.7 + 0.5 ⎥
                     ⎣               ⎦
                         71.0
C M RRdB = 20 log10            ⇒ C M RRdB = 45.0 dB
                        0.398
c.
Rid = 2 ( rπ + RB )
Rid = 2 ( 34.7 + 0.5 ) ⇒ Rid = 70.4 kΩ
Common-mode input resistance
      1
Ricm = ⎡ rπ + RB + 2 (1 + β ) RE ⎤
      2⎣                         ⎦
      1
     = ⎡34.7 + 0.5 + 2 (101)( 62 ) ⎤ ⇒ Ricm = 6.28 MΩ
      2⎣                           ⎦

11.9
(a)
 v1 = v2 = 1 V ⇒ VE = 1.6
       9 − 1.6
IE =           ⇒ 18.97 μ A
        390
 IE
     = 9.49 μ A I C1 = I C 2 = 9.39 μ A
  2
 vC1 = vC 2 = ( 9.39 )( 0.51) − 9 = −4.21 V
(b)
        9.39
 gm =          ⇒ 0.361 mA/V
       0.026
 ΔI = g m d = ( 0.361× 10−3 ) ( 0.005 ) = 1.805 μ A
           V
            2
 ΔvC = (1.805 × 10−6 )( 510 × 103 ) = 0.921 V ⇒ vC 2 = −4.21 + 0.921 ⇒ −3.29 V
vC1 = −4.21 − 0.921 ⇒ −5.13 V

11.10
(a)
 v1 = v2 = 0
 I E1 = I E 2 ≅ 6 μ A
 β = 60
 I C1 = I C 2 = 5.90 μ A
  vC1 = vC 2 = ( 5.90 )( 0.360 ) − 3
      = −0.875 V
VEC1 = VEC 2 = +0.6 − ( −0.875 )
      = 1.475 V
(b)
(i)
        5.90
 gm =         ⇒ 0.227 mA/V
       0.026
 Ad = g m RC = ( 0.227 )( 360 ) = 81.7
 Acm = 0
(ii)
       g R                    ( 60 )( 0.026 )
 Ad = m C = 40.8 rπ =
         2                        0.0059
                            = 264 K
         − ( 0.227 )( 360 )
Acm =                        = −0.0442
             2 ( 61)( 4000 )
        1+
                   264

11.11
For v1 = v2 = 0.20 V
I C1 = I C 2 = 0.1 mA
vC1 = vC 2 = ( 0.1)( 30 ) − 10
    = −7 V
       0.1
gm =          = 3.846 mA/V
      0.026
          v
ΔI = g m d = ( 3.846 )( 0.008 ) ⇒ 30.77 μ A
           2
ΔvC = ΔI ⋅ RC = ( 30.77 × 10−6 )( 30 × 103 ) = 0.923 V
v2 ↑⇒ I C 2 ↓⇒ vC 2 ↓⇒ vC1       = −7 + 0.923
                                 = −6.077 V
vC 2 = −7 − 0.923
     = −7.923 V

11.12
RC = 50 K
For v1 = v2 = 0
        −0.7 − ( −10 )
 IE =
              75
     = 0.124 mA
I C1 = I C 2 = 0.0615 mA
        0.0615
gm =             = 2.365 mA/V
        0.026
       (120 )( 0.026 )
  rπ =                 = 50.7 K
            0.0615
Differential Input
      v            V
v1 = d v2 = − d
       2            2
Half-circuit.
             V                  ⎛ ΔR ⎞
ΔI = + g m d ⇒ ΔvC1 = −ΔI ⎜ RC +     ⎟
              2                 ⎝  2 ⎠
                                  ⎛      ΔR ⎞
                     ΔvC 2 = +ΔI ⎜ RC −      ⎟
                                  ⎝       2 ⎠
                           ⎛       ΔR ⎞      ⎛      ΔR ⎞
 vo = ΔvC1 − ΔvC 2   = −ΔI ⎜ RC +     ⎟ − ΔI ⎜ RC −    ⎟
                           ⎝        2 ⎠      ⎝       2 ⎠
    = −2ΔIRC
        ⎛ V ⎞
   = −2 ⎜ g m d ⎟ RC
        ⎝     2⎠
Ad = − g m RC = − ( 2.365 )( 50 ) = −118.25
Common-mode input.
⎛V           ⎞
     vcm = Vπ + ⎜ π + g mVπ ⎟ ( 2 RE )
                 ⎝ rπ         ⎠
                    vcm
     Vπ =
               ⎛ β⎞
           1 + ⎜ 1 + ⎟ ( 2 RE )
               ⎝ rπ ⎠
                           g m vcm                    β vcm
      ΔI = g mVπ =                          =
                         ⎛1+ β ⎞              rπ + (1 + β )( 2 RE )
                      1+ ⎜       ⎟ ( 2 RE )
                         ⎝ rπ ⎠
                       ⎛       ΔR ⎞
                   − β ⎜ RC +      ⎟ ⋅ vcm
    ΔvC1 = −ΔIR1 =     ⎝        2 ⎠
                    rπ + (1 + β )( 2 RE )
                         ⎛      ΔR ⎞
                     − β ⎜ RC −      ⎟ vcm
                         ⎝        2 ⎠
   ΔvC 2   = −ΔIR2 =
                     rπ + (1 + β )( 2 RE )
                                   ⎛      ΔR ⎞         ⎛      ΔR ⎞
                               − β ⎜ RC +    ⎟ vcm + β ⎜ RC −    ⎟ vcm
      vo = ΔvC1 − ΔvC 2      =     ⎝       2 ⎠         ⎝       2 ⎠
                                       [ ]                  [ ]
                     ⎛ ΔR ⎞
               −2 β ⎜     ⎟ vcm
           =         ⎝ 2 ⎠
             rπ + (1 + β )( 2 RE )
                    − βΔR              − (120 )( 0.5 )
     Acm =                        =
             rπ + (1 + β )( 2 RE ) 50.7 + (121)( 2 )( 75 )
       = −0.0032966
           118.25
C M RR =           = 35,870.5
         0.0032966
C M R R ∫ = 91.1 dB
            dB



11.13
   v1 = v2 = 0
          −0.7 − ( −10 )
  IE =
                75
       = 0.124 mA
  I C1 = I C 2 = 0.0615 mA
         0.0615
  gm =             = 2.365 mA/V
          0.026
Δg m
       = 0.01
 gm
 g m1 = 2.377 mA/V
 g m 2 = 2.353 mA/V
          (120 )( 0.026 )
   rπ =                     = 50.7 K
             0.0615
Vd
  ΔI = g m
                2
                 V
ΔvC1     = − g m1 d Rc
                  2
                  Vd
ΔvC 2    = + gm2     Rc
                   2
                                   Vd           V
      vo = ΔvC1 − ΔvC 2 = − g m1      RC − g m 2 d RC
                                    2            2
        Vd
         =−  RC ( g m1 + g m 2 )
         2
         R                      −50
  Ad = − C ( g m1 + g m 2 ) =        ( 2.377 + 2.353) ⇒ Ad = −118.25
          2                      2
Common-Mode
          − g m1 RC vcm                     − g m 2 RC vcm
ΔvC1 =                          ΔvC 2 =
          ⎛ 1+ β ⎞                          ⎛ 1+ β ⎞
       1+ ⎜       ⎟ ( 2 RE )             1+ ⎜        ⎟ ( 2 RE )
          ⎝ rπ ⎠                            ⎝ rπ ⎠
vo          − ( g m1 − g m 2 ) RC    − ( 2.377 − 2.353) ( 50 )
    = Acm =                        =
vcm            ⎛ 1+ β ⎞                    ⎛ 121 ⎞
            1+ ⎜        ⎟ ( 2 RE )    1+ ⎜        ⎟ ( 2 )( 75 )
               ⎝ rπ ⎠                      ⎝ 50.7 ⎠
       −1.2
    =        ⇒ Acm = −0.003343
      358.99
        C M R R ∫ = 91 dB
                   dB


11.14
(a)
  v1 = v2 = 0
 vE = +0.7 V
       5 − 0.7
 IE =           = 4.3 mA
            1
I C1 = I C 2 = 2.132 mA
 vC1 = vC 2 = ( 2.132 )(1) − 5
     = −2.87 V
(b)        v1 = 0.5, v2 = 0 Q2 on
                               Q1 off
                      ⎛ 120 ⎞
I C1 = 0, I C 2 = 4.3 ⎜     ⎟ mA = 4.264 mA
                      ⎝ 121 ⎠
vC1 = −5 V vC 2 = ( 4.264 ) (1) − 5
                        vC 2 = −0.736 V
                          2.132
(c)           vE ≈ 0.7 V    gm == 82.0 mA/V
                          0.026
        v                     V         (82.0 )
ΔI = g m d ΔvC = ΔI ⋅ RC = g m d ⋅ RC =         ⋅ Vd (1) = 41.0Vd
         2                     2          2
Vd = 0.015 ⇒ Δvc = 0.615 V
vC 2 ↓ vC1 ↑
vC1 = −2.87 + 0.615 = −2.255 V
vC 2 = −2.87 − 0.615 = −3.485 V

11.15
(a)
        IC   1
gm =       =     = 38.46 mA/V
        VT 0.026
        vo   1
Ad =       =    = 100
        vd 0.01
Ad = g m RC
100 = 38.46 RC
Rc = 2.6 K
(b)
With v1 = v2 = 0
vC1 = vC 2 = 10 − (1)( 2.6 ) = 7.4 V ⇒ vcm ( max ) = 7.4 V

11.16
a.
i.          ( v01 − v02 ) = 0
ii.
 I C1 = I C 2 = 1 mA
v01 − v02 = ⎡V + − I C1 RC1 ⎤ − ⎡V + − I C 2 RC 2 ⎤
            ⎣               ⎦ ⎣                   ⎦
          = I C ( RC 2 − RC1 ) = (1)( 7.9 − 8 ) ⇒ v01 − v02 = −0.1 V
b.
                            ⎛v ⎞
I 0 = ( I S 1 + I S 2 ) exp ⎜ BE ⎟
                            ⎝ VT ⎠
       ⎛v ⎞         2 × 10−3
So exp ⎜ BE ⎟ = −13          −13
       ⎝ VT ⎠ 10 + 1.1× 10
              = 9.524 × 109
                 ⎛v     ⎞
                        ⎟ = (10 )( 9.524 × 10 ) ⇒ I C1 = 0.952 mA
                               −13           9
I C1 = I S 1 exp ⎜ BE
                 ⎝ VT   ⎠
I C 2 = (1.1× 10−13 )( 9.524 × 109 ) ⇒ I C 2 = 1.048 mA
i.
 v01 − v02 = I C 2 RC 2 − I C1 RC1 ⇒ v01 − v02 = (1.048 − 0.952 )( 8 ) ⇒ v01 − v02 = 0.768 V
ii.
 v01 − v02 = (1.048 )( 7.9 ) − ( 0.952 )( 8 )
 v01 − v02 = 8.279 − 7.616 ⇒ v01 − v02 = 0.663 V

11.17
From Equation (11.12(b))
             IQ
  iC 2 =
         1 + evd / VT
              1
0.90 =
         1 + evd / VT
                 1
So evd / VT =         − 1 = 0.111
               0.90
vd = VT ln ( 0.111) = ( 0.026 ) ln ( 0.111) ⇒ vd = −0.0571 V

11.18
From Example 11.2, we have
vd ( max )             1
0.5 +               −
        4 ( 0.026 ) 1 + e − vd ( max ) / 0.026
                                               = 0.02
                   v ( max )
             0.5 + d
                  4 ( 0.026 )
      ⎡      v ( max ) ⎤              1
 0.98 ⎢ 0.5 + d          ⎥=
      ⎢
      ⎣      4 ( 0.026 ) ⎥ 1 + e
                         ⎦
                                 − vd ( max ) / 0.026


                                            1
0.490 + 9.423vd ( max ) =               − vd ( max ) / 0.026
                                 1+ e
By trial and error
vd ( max ) = 23.7 mV

11.19
a.
For I1 = 1 mA, VBE3 = 0.7 V
       20 − 0.7
R1 =            ⇒ R1 = 19.3 kΩ
          1
       V      ⎛ I ⎞ 0.026 ⎛ 1 ⎞
R2 = T ⋅ ln ⎜ 1 ⎟ =
              ⎜I ⎟
                               ⋅ ln ⎜     ⎟ ⇒ R2 = 0.599 kΩ
       IQ     ⎝ Q⎠      0.1         ⎝ 0.1 ⎠
b.
       (180 )( 0.026 )
rπ 4 =                 = 46.8 kΩ
             0.1
         0.1
 gm =          = 3.846 mA/V
       0.026
       100
 r04 =      ⇒ 1 MΩ
        0.1
From Chapter 10
R0 = r04 ⎡1 + g m ( RE rπ 4 ) ⎤
          ⎣                   ⎦
RE rπ 4 = 0.599 46.8 = 0.591
R0 = (1) ⎡1 + ( 3.846 )( 0.591) ⎤ = 3.27 MΩ
         ⎣                      ⎦
        100
r01 =        ⇒ 2 MΩ
        0.05
                       ⎡        ⎛ r ⎞⎤
Ricm ≅ ⎡(1 + β ) R0 ⎤ ⎢(1 + β ) ⎜ 01 ⎟⎥
       ⎣            ⎦
                       ⎣        ⎝ 2 ⎠⎦
     = ⎣(181)( 3.27 ) ⎦ ⎣(181)(1) ⎤
       ⎡              ⎤ ⎡           ⎦
        = 592 181 ⇒ Ricm = 139 MΩ
(c)     From Eq. (11.32(b))
         − g m RC
Acm =
         2 (1 + β ) Ro
      1+
            rπ + RB
       0.05
 gm =        = 1.923 mA / V
      0.026
      (180 )( 0.026 )
 rπ =                 = 93.6 k Ω
           0.05
 RB = 0
Then
           − (1.923)( 50 )
 Acm =                      ⇒ Acm = −0.00760
            2 (181)( 3270 )
         1+
                 93.6
11.19
For vCM = 3.5 V and a maximum peak-to-peak swing in the output voltage of 2 V, we need the
quiescent collector voltage to be
VC = 3.5 + 1 = 4.5 V
Assume the bias is ±10 V , and I Q = 0.5 mA.
Then I C = 0.25 mA
             10 − 4.5
Now RC =               ⇒ RC = 22 k Ω
               0.25
                     (100 )( 0.026 )
In this case, rπ =                   = 10.4 k Ω
                          0.25
Then
        (100 )( 22 )
 Ad =                  = 101 So gain specification is met.
       2 (10.4 + 0.5 )
For CMRRdB = 80 dB ⇒
                  1 ⎡ (1 + β ) I Q Ro ⎤ 1 ⎡ (101)( 0.5 ) Ro ⎤
CMRR = 104 =        ⎢1 +              ⎥ = ⎢1 +              ⎥ ⇒ Ro = 1.03 M Ω
                   2⎣         VT β    ⎦ 2 ⎢ ( 0.026 )(100 ) ⎥
                                          ⎣                 ⎦
Need to use a Modified Widlar current source.
Ro = ro ⎡1 + g m ( RE1 rπ ) ⎤
        ⎣                   ⎦
                                100
If VA = 100V , then ro =            = 200 k Ω
                                0.5
       (100 )( 0.026 )
rπ =                = 5.2 k Ω
          0.5
       0.5
gm =         = 19.23 mA / V
      0.026
Then 1030 = 200 ⎡1 + (19.23)( RE1 rπ ) ⎤ ⇒ RE1 rπ = 0.216 k Ω = RE1 5.2 ⇒ RE1 = 225 Ω
                  ⎣                    ⎦
Also let RE 2 = 225 Ω and I REF ≅ 0.5 mA

11.20
                  −0.7 − ( −10 )
(a)        RE =                    ⇒ RE = 37.2 k Ω
                         0.25




(b)
Vπ 1            V               V         ⎛1+ β ⎞                  Ve
     + g mVπ 1 + π 2 + g mVπ 2 = e or (1) ⎜     ⎟ (Vπ 1 + Vπ 2 ) =
 rπ              rπ             RE        ⎝ rπ ⎠                   RE
Vπ 1 V1 − Ve             ⎛ r       ⎞
     =          ⇒ Vπ 1 = ⎜ π ⎟ (V1 − Ve )
 rπ    RB + rπ           ⎝ rπ + RB ⎠
 Vπ 2 = V2 − Ve
Then
      ⎛1+ β
         ⎞ ⎡ rπ                             ⎤ V
(1) ⎜    ⎟⎢          (V1 − Ve ) + (V2 − Ve )⎥ = e
         ⎠ ⎣ rπ + RB
      ⎝ rπ                                  ⎦ RE
From this, we find
                     rπ + RB
              V1 +           ⋅ V2
                        rπ
Ve =
        ⎡ rπ + RB         r + RB ⎤
        ⎢             +1+ π      ⎥
        ⎣ RE (1 + β )       rπ ⎦
Now
Vo = − g mVπ 2 RC = − g m RC (V2 − Ve )
We have
        (120 )( 0.026 )                      0.125
rπ =                      ≅ 25 k Ω,   gm =         = 4.81 mA / V
            0.125                            0.026
(i)
            Vd           V
Set V1 =       and V2 = − d
             2            2
Then
               ⎛ ⎛ 25 + 0.5 ⎞ ⎞
              Vd                       Vd
               ⎜ 1 − ⎜ 25 ⎟ ⎟
               2                          ( −0.02 )
               ⎝     ⎝       ⎠⎠
Ve =                                  = 2
     ⎡ 25 + 0.5            25 + 0.5 ⎤     2.026
     ⎢                 +1+          ⎥
     ⎣ ( 37.2 )(121)         25 ⎦
So
Ve = −0.00494Vd
Now
                     ⎛ V                    ⎞       V
Vo = − ( 4.81)( 50 ) ⎜ − d − ( −0.00494 )Vd ⎟ ⇒ Ad = o = 119
                     ⎝ 2                    ⎠       Vd
(ii)
Set V1 = V2 = Vcm
 Then
                ⎛ 25 + 0.5 ⎞
            Vcm ⎜ 1 +        ⎟
                ⎝       25 ⎠          V ( −2.02 )
Ve =                                 = cm
     ⎡ 25 + 0.5           25 + 0.5 ⎤   2.02567
     ⎢                +1+          ⎥
     ⎣ ( 37.2 )(121)        25 ⎦
Ve = Vcm ( 0.9972 )
Then
Vo = − ( 4.81)( 50 ) ⎡Vcm − Vcm ( 0.9972 ) ⎤
                     ⎣                     ⎦
            Vo
or Acm =        = −0.673
            Vcm

11.21
From Equation (11.18)
v0 = vC 2 − vC1 = g m RC vd
       I CQ
gm =
        VT
For I Q = 2 mA, I CQ = 1 mA
             1
Then g m =        = 38.46 mA/V
           0.026
Now 2 = ( 38.46 ) RC ( 0.015 )
So RC = 3.47 kΩ
Now VC = V + − I C RC         = 10 − (1)( 3.47 )
                              = 6.53 V
For VCB = 0 ⇒ vcm ( max ) = 6.53 V

11.22
The small-signal equivalent circuit is




A KVL equation: v1 = Vπ 1 − Vπ 2 + v2
                       v1 − v2 = Vπ 1 − Vπ 2
A KCL equation
Vπ 1            V
     + g mVπ 1 + π 2 + g mVπ 2 = 0
 rπ              rπ
              ⎛1         ⎞
(Vπ 1 + Vπ 2 ) ⎜   + g m ⎟ = 0 ⇒ Vπ 1 = −Vπ 2
              ⎝ rπ       ⎠
                                   1                         1
Then v1 − v2 = 2Vπ 1 ⇒ Vπ 1 =        ( v1 − v2 ) and Vπ 2 = − ( v1 − v2 )
                                   2                         2
At the v01 node:
v01 v01 − v02
   +          + g mVπ 1 = 0
RC     RL
    ⎛ 1    1 ⎞       ⎛ 1      ⎞ 1
v01 ⎜   +    ⎟ − v02 ⎜        ⎟ = g m ( v2 − v1 )    (1)
    ⎝ RC RL ⎠        ⎝ RL     ⎠ 2
At the v02 node:
v02 v02 − v01
   +          + g mVπ 2 = 0
RC     RL
    ⎛ 1   1 ⎞       ⎛ 1 ⎞ 1
v02 ⎜   +   ⎟ − v01 ⎜ ⎟ = g m ( v1 − v2 )            (2)
    ⎝ RC RL ⎠       ⎝ RL ⎠ 2
From (1):
⎛ R ⎞ 1
v02 = v01 ⎜ 1 + L ⎟ − g m RL ( v2 − v1 )
          ⎝ RC ⎠ 2
Substituting into (2)
    ⎛ R ⎞⎛ 1         1 ⎞ 1                     ⎛ 1   1 ⎞       ⎛ 1    ⎞ 1
v01 ⎜1 + L ⎟ ⎜     +   ⎟ − g m RL ( v2 − v1/ ) ⎜   +   ⎟ − v01 ⎜      ⎟ = g m ( v1 − v2 )
    ⎝    RC ⎠ ⎝ RC RL ⎠ 2                      ⎝ RC RL ⎠       ⎝ RL   ⎠ 2
    ⎛ 1 RL    1 ⎞ 1                 ⎡ ⎛ RL    ⎞⎤
v01 ⎜   + 2 +   ⎟ = g m ( v1 − v2 ) ⎢1 − ⎜ + 1⎟ ⎥
    ⎝ RC RC RC ⎠ 2                  ⎣ ⎝ RC    ⎠⎦
v01 ⎛     RL ⎞    1 ⎛ RL ⎞
    ⎜2+      ⎟ = − gm ⎜  ⎟ ( v1 − v2 )
RC ⎝     RC ⎠     2 ⎝ RC ⎠
For v1 − v2 = vd
             1
           − g m RL
      v01
Av1 =     = 2
      vd ⎛     RL ⎞
           ⎜2+    ⎟
           ⎝   RC ⎠
                             1
                               g m RL
                      v02
From symmetry: Av 2 =     = 2
                      vd ⎛        RL ⎞
                           ⎜2+        ⎟
                           ⎝      RC ⎠
            v02 − v01     g m RL
Then Av =             =
               vd       ⎛     RL ⎞
                        ⎜2+      ⎟
                        ⎝     RC ⎠

11.23
The small-signal equivalent circuit is




KVL equation: v1 = Vπ 1 − Vπ 2 + v2 or v1 − v2 = Vπ 1 − Vπ 2
KCL equation:
Vπ 1                      V
     + g mVπ 1 + g mVπ 2 + π 2 = 0
 rπ                        rπ
              ⎛1         ⎞
(Vπ 1 + Vπ 2 ) ⎜   + g m ⎟ = 0 ⇒ Vπ 1 = −Vπ 2
              ⎝ rπ       ⎠
                                        1
Then v1 − v2 = −2Vπ 2 or Vπ 2 = −         ( v1 − v2 )
                                        2
Now       v0 = − g mVπ 2 ( RC    RL )
               1
              = g m ( RC      RL )( v1 − v2 )
               2
                                v0 1
For v1 − v2 ≡ vd ⇒ Ad =           = g m ( RC       RL )
                                vd 2

11.23
a.
      10 − 7
RD =            ⇒ RD = 6 kΩ
         0.5
I Q = I D1 + I D 2 ⇒ I Q = 1 mA
b.
10 = I D ( 6 ) + VDS − VGS
                   ID
and VGS =             + VTN
                   Kn
                                 0.5
For I D = 0.5 mA, VGS =              + 2 = 3.12 V
                                 0.4
and VDS = 10.12




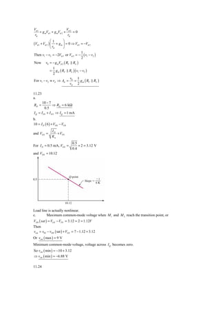
Load line is actually nonlinear.
c.       Maximum common-mode voltage when M 1 and M 2 reach the transition point, or
VDS ( sat ) = VGS − VTN = 3.12 = 2 = 1.12V
Then
vcm = v02 − vDS ( sat ) + VGS = 7 − 1.12 + 3.12
Or vcm ( max ) = 9 V
Minimum common-mode voltage, voltage across I Q becomes zero.
So vcm ( min ) = −10 + 3.12
⇒ vcm ( min ) = −6.88 V

11.24
We have VC 2 = − g mVπ 2 RC = − g m (Vb 2 − Ve ) RC
and
VC1 = − g mVπ 1 RC = − g m (Vb1 − Ve ) RC
Then
V0 = VC 2 − VC1
   = − g m (Vb 2 − Ve ) RC − ⎡ − g m (Vb1 − Ve ) RC ⎤
                             ⎣                      ⎦
   = g m RC (Vb1 − Vb 2 )
                               V0
Differential gain Ad =                 = g m RC
                            Vb1 − Vb 2
Common-mode gain Acm = 0

11.25
(a)
 vcm = 3 V ⇒ VC1 = VC 2 = 3 V
           10 − 3
 Then RC =        ⇒ RC = 70 k Ω
             0.1
(b)
CMRRdB = 75 dB ⇒ CMRR = 5623
 Now
           1 ⎡ (1 + β ) I Q Ro ⎤
CMRR =       ⎢1 +              ⎥
           2⎣       β VT       ⎦
         1 ⎡ (151)( 0.2 ) Ro ⎤
5623 =     ⎢1 +              ⎥ ⇒ Ro = 1.45 M Ω
         2 ⎢ (150 )( 0.026 ) ⎥
           ⎣                 ⎦
Use a Widlar current source.
Ro = ro [1 + g m RE ]
                  ′
Let VA of current source transistor be 100 V.
           100                      0.2
Then ro =       = 500 k Ω, g m =         = 7.69 mA / V
           0.2                     0.026
     (150 )( 0.026 )
rπ =                 = 19.5 k Ω
          0.2
So 1450 = 500 ⎡1 + ( 7.69 ) RE ⎤ ⇒ RE = 0.247 k Ω
                ⎣             ′⎦     ′
     ′
Now RE = RE rπ ⇒ 0.247 = RE 19.5 ⇒ RE = 250Ω
                    ⎛I        ⎞
Then I Q RE = VT ln ⎜ REF     ⎟
                    ⎜ I       ⎟
                    ⎝ Q       ⎠
                               ⎛ I REF ⎞
( 0.2 )( 0.250 ) = ( 0.026 ) ln ⎜
                                ⎜        ⎟ ⇒ I REF = 1.37 mA
                                         ⎟
                               ⎝ ( 0.2 ) ⎠
             10 − 0.7 − ( −10 )
Then R1 =                           ⇒ R1 = 14.1 k Ω
                    1.37

11.26
At terminal A.
                     R (1 + δ ) ⋅ R       R (1 + δ )       R
RTHA = RA R =                         =                ≅     = 5 kΩ
                    R (1 + δ ) + R         2+δ             2
Variation in RTH is not significant
       ⎛ RA ⎞ + R (1 + δ )( 5 ) 5 (1 + δ )
VTHA = ⎜        ⎟V =                =
       ⎝ RA + R ⎠    R (1 + δ ) + R   2+δ
At terminal B.
                 R
RTHB = R R =        = 5 kΩ
                 2
       ⎛ R ⎞ +
VTHB = ⎜        ⎟ V = 2.5 V
       ⎝R+R⎠
From Eq. (11.27)
     − β RC (V2 − V1 )
VO =                    where V2 = VTHB and V1 = VTHA
       2 ( rπ + RB )
                      (120 )( 0.026 )
RB = 5 k Ω, rπ =                        = 12.5 k Ω
                           0.25
            − (120 )( 3)(V2 − V1 )
So VO =                              = −10.3 (V2 − V1 )
                2 (12.5 + 5 )
We can find V2 − V1 = VTHB − VTHA
                       ⎡ 5 (1 + δ ) ⎤
VTHB − VTHA = 2.5 − ⎢               ⎥
                       ⎣ 2+δ ⎦
  2.5 ( 2 + δ ) − 5 (1 + δ ) 2.5δ − 5δ
=                             =
            2+δ                     2+δ
  −2.5δ
≅          = −1.25δ
     2
Then VO = − (10.3)( −1.25 ) δ = 12.9δ
So for −0.01 ≤ δ ≤ 0.01
We have −0.129 ≤ VO 2 ≤ 0.129 V

11.27
a.
Rid = 2rπ
        (180 )( 0.026 )
 rπ =                     = 23.4 kΩ
           0.2
So Rid = 46.8 kΩ
b.          Assuming rμ → ∞, then
Ricm ≅ ⎡(1 + β ) R0 ⎤
       ⎣            ⎦
Ricm = ⎡(181)(1) ⎤
       ⎣          ⎦
      = 181 ⇒ Ricm = 181 MΩ

11.28
(a)
      10 − 0.7 − ( −10 )
 I1 =                    = 0.5 ⇒ R1 = 38.6 K
             R1
        0.026 ⎛ 0.5 ⎞
R2 =         ln ⎜    ⎟ ⇒ R2 = 236 Ω
         0.14 ⎝ 0.14 ⎠
(b)
Ricm ≈ (1 + β ) Ro
                                         0.14
Ro = ro 4 (1 + g m 4 RE ) g m 4 =
                      ′                        = 5.385 mA/V
                                        0.026
                                        (180 )( 0.026 )
                                 rπ 4 =                 = 33.4 K
                                             0.14
                                    ′
                                 RE = 33.4 0.236 = 0.234 K
                                100
                                  ro 4 =
                                     = 714 K
                               0.14
  Ro = 714 ⎡1 + ( 5.385 )( 0.234 ) ⎤
           ⎣                       ⎦
      = 1614 K
Ricm = (181)(1614 ) ≈ 292 MΩ
(c)
            − g m1 RC                          0.07
Acm =                                g m1 =          = 2.692 mA/V
            2 (1 + β ) Ro                      0.026
         1+
                 rπ 1
                                              (180 )( 0.026 )
                                     rπ 1 =                     = 66.86 K
                                                    0.07
       − ( 2.692 )( 40 )
Acm =
         2 (181)(1614 )
      1+
              66.86
Acm = −0.0123

11.29
 Ad 1 = g m1 ( R1 rπ 3 )
         I Q1 / 2
g m1 =              = 19.23I Q1
           VT
          β VT          2 (100 )( 0.026 )          5.2
rπ 3 =              =                          =
         IQ2 / 2              IQ 2                 IQ 2
          g m 3 R2          IQ 2 / 2
Ad 2 =             , g m3 =          = 19.23I Q 2
             2                VT
                 (19.23) I Q 2
Then 30 =             ⋅ R2 ⇒ I Q 2 R2 = 3.12 V
              2
Maximum vo 2 − vo1 = ±18 mV for linearity
vo3 ( max ) = ( ±18 )( 30 ) mV ⇒ ±0.54 V
so I Q 2 R2 = 3.12 V is OK.
From Ad 1 :
⎛    ⎛ 5.2 ⎞ ⎞
                                       ⎜ R1 ⎜
                                            ⎜I ⎟ ⎟⎟
                                       ⎜    ⎝ Q2 ⎠ ⎟
20 = 19.23I Q1 ( R1 rπ 3 ) = 19.23I Q1 ⎜              ⎟
                                       ⎜ R + ⎛ 5.2 ⎞ ⎟
                                       ⎜ 1 ⎜ IQ 2 ⎟ ⎟
                                              ⎜     ⎟
                                       ⎝      ⎝     ⎠⎠
     19.23I Q1 R1 ( 5.2 )
20 =
        I Q 2 R1 + 5.2
       I Q1
Let           ⋅ R1 = 5V ⇒ I Q1 R1 = 10 V
        2
                 19.23 (10 )( 5.2 )
Then 20 =                                 ⇒ I Q 2 R1 = 44.8 V
                   I Q 2 R1 + 5.2
                                       10
Now I Q1 R1 = 10 ⇒ R1 =
                                       I Q1
         ⎛ 10 ⎞          ⎛ IQ2 ⎞
So I Q 2 ⎜
         ⎜I ⎟ ⎟ = 44.8 ⇒ ⎜
                         ⎜I ⎟  ⎟
                                 = 4.48
         ⎝ Q1 ⎠          ⎝ Q1 ⎠
Let I Q1 = 100 μ A, I Q 2 = 448 μ A
Then
I Q 2 R2 = 3.12 ⇒ R2 = 6.96 k Ω
I Q1 R1 = 10 ⇒ R1 = 100 k Ω

11.30
a.
     20 − VGS 3
                = 0.25 (VGS 3 − 2 )
                                    2
I1 =
         50
20 − VGS 3 = 12.5 (VGS 3 − 4VGS 3 + 4 )
                     2

      2
12.5VGS 3 − 49VGS 3 + 30 = 0

                   ( 49 )       − 4 (12.5 )( 30 )
                            2
            49 ±
VGS 3 =                                             ⇒ VGS 3 = 3.16 V
                       2 (12.5 )
        20 − 3.16
I1 =              ⇒ I1 = I Q = 0.337 mA
            50
         IQ
I D1   =     ⇒ I D1 = 0.168 mA
          2
0.168 = 0.25 (VGS 1 − 2 ) ⇒ VGS1 = 2.82 V
                                   2


VDS 4 = −2.82 − ( −10 ) ⇒ VDS 4 = 7.18 V
VD1 = 10 − ( 0.168 )( 24 ) = 5.97 V
VDS1 = 5.97 − ( −2.82 ) ⇒ VDS 1 = 8.79 V
(b)




(c)
Max vCM ⇒ VDS 1 = VDS 2 = VDS ( sat ) = VGS1 − VTN
                                     2.82 − 2 = 0.82 V
Now VD1 = 10 − ( 0.168 )( 24 ) = 5.97 V
VS ( max ) = 5.97 − VDS1 ( sat ) = 5.97 − 0.82
VS ( max ) = 5.15 V
vCM ( max ) = VS ( max ) + VGS1 = 5.15 + 2.82
vCM ( max ) = 7.97 V
vCM ( min ) = V − + VDS 4 ( sat ) + VGS 1
VDS 4 ( sat ) = VGS 4 − VTN = 3.16 − 2 = 1.16 V
Then vCM ( min ) = −10 + 1.16 + 2.82 ⇒ vCM ( min ) = −6.02 V

11.31
a.
I D1 = I D 2 = 120 μ A = 100 ( VGS1 − 1.2 ) ⇒ VGS 1 = VGS 2 = 2.30 V
                                               2


For v1 = v2 = −5.4 V and VDS1 = VDS 2 = 12 V ⇒ −5.4 − 2.30 + 12 = 4.3 V = VD
      10 − 4.3
RD =               ⇒ RD = 47.5 kΩ
         0.12
I Q = I D1 + I D 2 ⇒ I Q = I1 = 240 μ A

I1 = 240 = 200 (VGS 3 − 1.2 ) ⇒ VGS 3 = 2.30 V
                                     2


        20 − 2.3
R1 =             ⇒ R1 = 73.75 kΩ
         0.24
b.
         1               1
r04 =          =                     = 416.7 kΩ
        λ IQ       ( 0.01)( 0.24 )
          1            5.4
ΔI Q =       ⋅ ΔVDS =       ⇒ ΔI Q ≅ 13 μ A
         r04          416.7

11.32
(a)
  I Q = 160 μ A
        k′ ⎛ W ⎞
  I D = n ⎜ ⎟ (VGS − VTN )
                           2

         2⎝L⎠
        80
 80 = ( 4 )(VOS − 0.5 )
                        2

         2
 80 = 160 (Vo5 − 0.5 )
                             2



          80
VGS =          + 0.5 = 1.207 V
         160
       5−2
 RD =         = 37.5 K VDS = 2 − ( −1.207 ) = 3.21 V
       0.08
(c)
VDS ( sat ) = VGS − VTN = 1.207 − 0.5 = 0.707 V
Then VS = VO 2 − VDS ( sat ) = 2 − 0.707 = +1.29 V
And v1 = v2 = vcm = VGS + VS = 1.207 + 1.29
                      vcm = 2.50 V
(b)
11.33
 vD = 5 − ( 0.2 )( 8 ) = 3.4 V
          ID
VGS =        + VTN
          Kn
        0.2
      =      + 0.8 = 1.694 V
        0.25
          VDS ( sat ) = VGS − VTN = 1.694 − 0.8
                      = 0.894 V
VS = VD − VDS ( sat ) = 3.4 − 0.894
                      = 2.506
vCM = VS + VGS = 2.506 + 1.694 ⇒ vCM = 4.2 V
(b)
                                    Vd
ΔvD = ΔI D ⋅ RD      ΔI D = g m ⋅        gm = 2 Kn I D
                                     2
                                             =2     ( 0.25)( 0.2 ) = 0.4472 mA/V
ΔI D = ( 0.4472 )( 0.05 ) ⇒ 22.36 μ A
ΔvD = ( 22.36 × 10−6 )( 8 × 103 ) = 0.179 V
 vD 2 = 3.4 + ΔvD
  vD 2 = 3.4 + 0.179 ⇒ vD 2 = 3.58 V
(c)
 vd = −50 mV
ΔI D = − ( 0.4472 )( 0.025 ) ⇒ −11.18 μ A
ΔvD = − (11.18 × 10−6 )( 8 × 103 ) = −0.0894 V
vD 2 = 3.4 − 0.0894 ⇒ vD 2 = 3.31 V

11.34
a.
I D1 = I D 2 = 0.5 mA
v01 − v02 = ⎡V + − I D1 RD1 ⎤ − ⎡V + − I D 2 RD 2 ⎤
            ⎣                 ⎦ ⎣                 ⎦
v01 − v02 = I D 2 RD 2 − I D1 RD1 = I D ( RD 2 − RD1 )
i.         RD1 − RD 2 = 6 kΩ, v01 − v02 = 0
ii.        RD1 = 6 kΩ, RD 2 = 5.9 kΩ
v01 − v02 = ( 0.5 )( 5.9 − 6 ) ⇒ v01 − v02 = −0.05 V
b.
K n1 = 0.4 mA / V 2 , K n 2 = 0.44 mA / V 2
VGS1 = VGS 2
I Q = ( K n1 + K n 2 )(VGS − VTN )
                                            2



1 = ( 0.4 + 0.44 )(VGS − VTN ) ⇒ (VGS − VTN ) = 1.19
                                        2                   2


 I D1 = ( 0.4 )(1.19 ) = 0.476 mA
 I D 2 = ( 0.44 )(1.19 ) = 0.524 mA
i.
 RD1 = RD 2 = 6 kΩ
v01 − v02 = ( 0.524 − 0.476 )( 6 ) ⇒ v01 − v02 = 0.288 V
ii.
 RD1 = 6 kΩ,              RD 2 = 5.9 kΩ
v01 − v02 = ( 0.524 )( 5.9 ) − ( 0.476 )( 6 )
             = 3.0916 − 2.856 ⇒ v01 − v02 = 0.236 V

11.35
(a)          From Equation (11.69)
iD 2 1  Kn           ⎛ K                        ⎞ 2
    = −     ⋅ vd 1 − ⎜ n                        ⎟ vd
 IQ 2   2IQ          ⎜ 2IQ                      ⎟
                     ⎝                          ⎠
                               0.1             ⎡ 0.1 ⎤ 2
0.90 = 0.50 −                         ⋅ vd 1 − ⎢            ⎥ vd
                           2 ( 0.25 )          ⎢ 2 ( 0.25 ) ⎥
                                               ⎣            ⎦
+0.40 = − ( 0.4472 ) vd 1 − ( 0.2 ) vd
                                     2



0.8945 = −vd 1 − ( 0.2 ) vd
                          2


Square both sides
0.80 = vd (1 − [ 0.2] vd )
        2              2



( 0.2 ) ( vd2 )
                  2      2
                      − vd + 0.80 = 0

 2
       1 ± 1 − 4 ( 0.2 )( 0.80 )
vd =                                     = 4V 2 or 1V 2
                       2 ( 0.2 )
Then vd = ± 2 V or ± 1 V
                           IQ       0.25
But vd      max
                      =         =        = 1.58
                           kn        0.1
So vd = ±1V, ⇒ vd = −1V
b.           From part (a), vd ,max = 1.58 V

11.36
⎛i ⎞
d ⎜ D1 ⎟
  ⎜I ⎟                   ⎛ K         ⎞ 2
  ⎝ Q⎠=         Kn
                    ⋅ 1− ⎜ n
                         ⎜ 2I        ⎟ vd + (
                                     ⎟          ) vd   vd =0
  dvd           2IQ      ⎝ Q         ⎠
                Kn
           =
                2IQ
               iD1 1  Kn
So linear         = +      ⋅ vd
               IQ 2   2 IQ

     1   Kn                 ⎡1    Kn                      ⎛K ⎞ 2          ⎤
       +     ⋅ vd ( max ) − ⎢ +        ⋅ vd ( max ) ⋅ 1 − ⎜ n ⎟vd ( max ) ⎥
     2   2IQ                ⎢2   2 IQ                     ⎝ 2I n ⎠        ⎥
Then                        ⎣                                             ⎦ = 0.02
                             1   Kn
                               +      ⋅v
                             2   2 I Q d ( max )

     ⎡1  Kn               ⎤ ⎡1    Kn                     ⎛K                  ⎞ 2          ⎤
0.98 ⎢ +     ⋅ vd ( max ) ⎥ = ⎢ +     ⋅ vd ( max ) ⋅ 1 − ⎜ n                 ⎟ vd ( max ) ⎥
     ⎢2  2IQ              ⎥ ⎢2    2IQ                    ⎜ 2I                ⎟            ⎥
     ⎣                    ⎦ ⎣                            ⎝ Q                 ⎠            ⎦
                  0.15                    ⎡1   0.15                        ⎛ 0.15 ⎞ 2               ⎤
0.49 + 0.98                ⋅ vd ( max ) = ⎢ +           ⋅ vd ( max ) ⋅ 1 − ⎜           ⎟ vd ( max ) ⎥
                                                                           ⎜ 2 ( 0.2 ) ⎟
                 2 ( 0.2 )                ⎢2  2 ( 0.2 )                    ⎝           ⎠            ⎥
                                          ⎣                                                         ⎦
0.49 + 0.600 vd ( max ) = 0.50 + 0.6124 vd ( max ) ⋅ 1 − ( 0.6124 ) vd ( max )
                                                                     2



0.600 vd ( max ) = 0.010 + 0.6124 vd ( max ) ⋅ 1 − ( 0.6124 ) vd ( max )
                                                               2



By trial and error vd ( max ) ≈ 0.429 V

11.37
(b)
gm = 2 K p I D = 2        ( 0.05 )( 0.008696 )
      = 0.0417 mA/V
         Vd
ΔI = g m    = ( 0.0417 )( 0.05 ) = 0.002085 mA
          2
ΔvD = ( 0.002085 )( 510 ) = 1.063
vD 2 ↑⇒ vD 2 = 1.063 − 4.565 = −3.502 V
vD1 = −1.063 − 4.565 = −5.628 V
9 = I S RS + VSG + 1
I S = 2I D
8 = 2 K P RS (VSG + VTP ) + VSG
                             2



8 = ( 2 )( 0.05 )( 390 )(VSG − 0.8 ) + VSG
                                         2


8 = 39 (VSG − 1.6VSG + 0.64 ) + VSG
          2


    2
39VSG − 61.4VSG + 16.96 = 0
        61.4 ± 3769.96 − 4 ( 39 )(16.96 )
VSG =
                         2 ( 39 )
      = 1.217 V VS = 2.217
I S = 0.01739 mA          I D1 = I D 2 ⇒ 8.696 μ A
vD1 = vD 2 = ( 8.696 )( 0.510 ) − 9 = −4.565 V
(b)
g m = 2 K P I DQ = 2        ( 0.05 )( 0.008696 ) = 0.0417 mA/V
                                  Vd
        ΔvD = ΔI D ⋅ RD              = ( 0.0417 )( 0.05 ) = 0.002085 mA
                             ΔI D = g m ⋅
                                   2
ΔvD = ( 0.002085 )( 510 ) = 1.063 V
v1 ↑, I D1 ↓, vD1 ↓
vD1 = −4.565 − 1.063 = −5.628 V
vD 2 = −4.565 + 1.063 = −3.502 V

11.38
(a)
 v1 = v2 = 0
I D = K n (VSG + VTP )
                         2


ID = 6 μA
   6
     + 0.4 = VSG
  30
VSG = 0.847 V
 VS = +0.847 V
 vD = I D RD − 3
    = ( 6 )( 0.36 ) − 3 = −0.84 V
VSD = VS − vD = 0.847 − ( −0.84 )
 vSD = 1.69 V
(b)
(i)
 Ad = g m RD g m = 2 K n I D
                      =2     ( 30 )( 6 ) = 26.83 μ A/V
 Ad = ( 26.83)( 0.36 ) ⇒ Ad = 9.66
 Acm = 0
(ii)
        g R       ( 26.83)( 0.36 )
  Ad = m D =                       ⇒ Ad = 4.83
          2               2
         − g m RD      − ( 26.83)( 0.36 )
 Acm =               =                    = −0.0448
       1 + 2 g m RO 1 + 2 ( 26.83)( 4 )

11.39
For v1 = v2 = −0.30 V
I D1 = I D 2 = 0.1 mA
           ID
VSG =         − VTP
           KP
          0.1
      =        +1 = 2 V
          0.1
vD1   = vD 2 = ( 0.1)( 30 ) − 10
      = −7 V
 gm = 2 K p I D = 2       ( 0.1)( 0.1) = 0.2 mA/V
           ⎛V ⎞
ΔI D = g m ⎜ d ⎟ = ( 0.2 )( 0.1) = 0.02 mA
           ⎝ 2⎠
ΔvD = ( ΔI D ) RD = ( 0.02 )( 30 ) = 0.6 V
vD 2 ↑⇒ vD 2 = −7 + 0.6 ⇒ vD 2 = −6.4 V
 vD1 = −7 − 0.6 ⇒ vD1 = −7.6 V

11.40
For v1 = v2 = 0
     0 = VGS + 2 I D RS − 10
      10 = VGS + 2 K n RS (VGS − VTN )
                                         2



          = VGS + 2 ( 0.15 )( 75 )(VGS − 1)
                                              2


      2
22.5VGS − 44VGS + 12.5 = 0
So VGS = 1.61 V and I D = ( 0.15 )(1.61 − 1) ⇒ 55.9 μ A
                                                  2



      gm = 2 Kn I D = 2      ( 0.15 )( 0.0559 )
     g m = 0.1831 mA/V
Use Half-circuits – Differential gain
            ⎛V ⎞⎛        ΔR ⎞
vD1 = − g m ⎜ d ⎟ ⎜ RD +      ⎟
            ⎝ 2 ⎠⎝         2 ⎠
           ⎛V ⎞⎛        ΔR ⎞
vo 2 = g m ⎜ d ⎟ ⎜ RD −     ⎟
           ⎝ 2 ⎠⎝        2 ⎠
 vo = vD1 − vD 2 = − g mVd RD
        v
 Ad = o = − g m RD
       Vd
Now – Common-Mode Gain
Vi = Vgs + g mVgs ( 2 RS ) = Vcm
           Vcm
Vgs =
      1 + g m ( 2 RS )
               ⎛       ΔR ⎞
         − g m ⎜ RD + D ⎟ Vcm
               ⎝          2 ⎠
vD1    =
              1 + g m ( 2 RS )
              ⎛        ΔR ⎞
         − gm ⎜ RD − D ⎟ Vcm
              ⎝          2 ⎠
vD 2   =
             1 + g m ( 2 RS )
vO = vD1 − vD 2
           − g m ( ΔRD ) Vcm
So vo =
            1 + g m ( 2 RD )
          vo   − g m ( ΔRD )
Acm =        =
         Vcm 1 + g m ( 2 RS )
Then
Ad = − ( 0.1831)( 50 ) = −9.16
           − ( 0.1831)( 0.5 )
Acm =                               = −0.003216
         1 + ( 0.1831)( 2 )( 75 )
C M R R ∫ = 69.1 dB
             bB



11.41
a.
 Ad = g m ( r02 r04 )
         VA 2 150
 r02 =        =    = 375 kΩ
         I C 2 0.4
         VA 4 100
 r04 =        =    = 250 kΩ
         I C 4 0.4
         IC 2    0.4
gm =          =       = 15.38 mA/V
         VT     0.026
Ad = (15.38 ) ( 375 250 ) ⇒ Ad = 2307
b.
RL = r02 r04 = 375 250 ⇒ RL = 150 kΩ

11.41
From 11.40
I D1 = I D 2 = 55.9 μ A
 g m = 0.183 mA/V
Vd                    ⎛ +V ⎞
Ad : ΔvD1 = − g m1            ⋅ RD
                                 ΔvD 2 = + g m 2 ⎜ d ⎟ RD
                            2                    ⎝ 2 ⎠
                           V               V
vO = ΔvD1 − ΔvD 2 = − g m1 d RD − g m 2 d RD
                             2              2
     −V                         −V        ⎛        Δg   ⎛ Δg ⎞ ⎞
vO = d ⋅ RD ( g m 2 + g m1 ) = d ⋅ RD ⎜ g m − m + ⎜ g m − m ⎟ ⎟
      2                           2       ⎝         2   ⎝  2 ⎠⎠
Ad = − g m RD = − ( 0.183) ( 50 ) = −9.15
                                           ⎛       Δg ⎞          ⎛     Δg ⎞
                                         − ⎜ g m + M ⎟ RD vcm ⎜ g m − M ⎟ RD vCM
                                           ⎝         2 ⎠         ⎝       2 ⎠
ACM : vO = ΔvD1 − ΔvD 2                =                       +
                                              1 + g m ( 2 RS )     1 + g m ( 2 RS )
          vO    −Δg m RD
Acm =        =                          Δg m = ( 0.01) ( 0.183) = 0.00183
          vcm 1 + g m ( 2 RS )
           − ( 0.00183) ( 50 )
Acm =                                  = −0.003216
        1 + ( 0.183)( 2 ) ( 75 )
 C M R R ∫ = 69.1 dB
              dB


11.42
(a)
 v1 = v2 = 0
5 = 2 I D RS + VSG
5 = 2 K p RS (VSG + VTP ) + VSG
                               2


5 = 2 ( 0.5 )( 2 ) (VSG − 1.6VSG + 0.64 ) + VSG
                      2

       2
5 = 2VSG − 2.2VSG + 1.28
   2
2VSG − 2.2VSG − 3.72 = 0
        2.2 ± 4.84 + 4 ( 2 )( 3.72 )
VSG =
                     2 ( 2)
VSG = 2.02 V
                            5 − 2.02
vS = 2.02 V,         IS =              = 1.49 mA
                                 2
                   I D1   = I D 2 = 0.745 mA
vD1 = vD 2 = ( 0.745 (1) − 5 ) ⇒ vD1 = vD 2 = −4.26 V
(b)
5 = I S RS + VSG 2
5 = ( I D1 + I D 2 ) RS + VSG 2
5 = ⎡ K p (VSG1 + VTP ) + K p (VSG 2 + VTP ) ⎤ RS + VSG 2
                       2                    2
    ⎣                                         ⎦
VSG1 = VSG 2 − 1
5 = ( 0.5 )( 2 ) ⎡(VSG 2 − 1.8 ) + (VSG 2 − 0.8 ) ⎤ + VSG 2
                                   2                 2
                 ⎣                                ⎦
5 = ⎡VSG 2 − 3.6VSG 2 + 3.24 + VSG 2 − 1.6VSG 2 + 0.64 ⎤ + VSG 2
    ⎣
        2                           2
                                                          ⎦
        2
5 = 2VSG 2 − 4.2VSG 2 + 3.88
   2
2VSG 2 − 4.2VSG 2 − 1.12 = 0
          4.2 ± 17.64 + 4 ( 2 ) (1.12 )
VSG 2 =
                          2 ( 2)
VSG 2 = 2.339 V VSG1 = 1.339 V
vS = 2.339 V
       = 0.5 (1.339 − 0.8 )              = 0.5 ( 2.339 − 0.8 )
                              2                                  2
I D1                              I D2
I D1   = 0.1453 mA                I D2   = 1.184 mA
vD1    = ( 0.1453)(1) − 5         vD 2   = (1.184 ) (1) − 5
vD1    = −4.855 V                 vD 2   = −3.816 V
(c)
            Vd
ΔI = g m           gm = 2 K p I D
             2
vS ≈ 2.02 V = 2          ( 0.5 )( 0.745 )
                   g m = 1.22 mA/V
ΔI = (1.22 )( 0.1) = 0.122 mA
ΔvD = ( ΔI ) RD = ( 0.122 )(1) = 0.122 V
vD 2 ↓ vD1 ↑
vD1 = −4.26 + 0.122 vD 2 = −4.26 − 0.122
vD1 = −4.138 V          vD 2 = −4.382 V

11.43




                    IQ
a.          gf =         ⇒ I Q = g f ( 4VT ) = ( 8 )( 4 )( 0.026 )
                   4VT
⇒ I Q = 0.832 mA
Neglecting base currents.
     30 − 0.7
R1 =          ⇒ R1 = 35.2 kΩ
      0.832
                    V     100
b.       r04 = r02 = A =       = 240 kΩ
                    I CQ 0.416
I CQ       0.416
gm =           =         = 16 mA / V
         VT        0.026
Ad = g m ( r02 || r04 ) = 16 ( 240 || 240 )
⇒ Ad = 1920
                      (180 )( 0.026 )
Rid = 2rπ , rπ =                        = 11.25 kΩ
                           0.416
⇒ Rid = 22.5 kΩ
R0 = r02 || r04 ⇒ R0 = 120 kΩ
c.       Max. common-mode voltage when
VCB = 0 for Q1 and Q2 .
Therefore
vcm ( max ) = V + − VEB ( Q3 ) = 15 − 0.7
vcm ( max ) = 14.3 V
          Min. common-mode voltage when
VCB = 0 for Q5 .
Therefore
vcm ( min ) = 0.7 + 0.7 + ( −15 ) = −13.6 V
So −13.6 ≤ vcm ≤ 14.3 V
      1
Ricm ≅  (1 + β )( 2 R0 )
      2
    V       100
R0 = A =           = 120 kΩ
    I Q 0.832
Ricm = (181)(120 ) ⇒ Ricm = 21.7 MΩ

11.43
(a)
 gm = 2 Kn I D
    =2        ( 0.4 )(1)
g m = 1.265 mA/V
      v     1
Ad = o =      = 10
      vd 0.1
Ad = g m RD
10 = (1.265 ) RD
RD = 7.91 K
(b)
 Quiescent v1 = v2 = 0
vD1 = vD 2 = 10 − (1)( 7.91) = 2.09 V
          ID          1
VGS =        + VTN =     + 0.8 = 2.38 V
          Kn         0.4
VDS ( sat ) = 2.38 − 0.8 = 1.58
So vcm = vD − VDS ( sat ) + VGS
       = 2.09 − 1.58 + 2.38
vcm = 2.89 V

11.44
g m RD
Ad =
          2
For vCM = 2.5 V
               IQ
I D1 = I D 2 =    = 0.25 mA
                2
                                             10 − 3
Let VD1 = VD 2 = 3 V , then RD =                    ⇒ RD = 28 k Ω
                                              0.25
               g m ( 28 )
Then 100 =                    ⇒ g m = 7.14 mA / V
              2
            k′ ⎛ W            ⎞
And g m = 2 n ⎜               ⎟ ID
            2⎝L               ⎠
         ⎛ 0.080 ⎞ ⎛ W ⎞
7.14 = 2 ⎜       ⎟ ⎜ ⎟ ( 0.25 ) ⇒
         ⎝ 2 ⎠⎝ L ⎠
⎛W ⎞ ⎛W ⎞
⎜ ⎟ = ⎜ ⎟ = 1274 (Extremely large transistors to meet the gain requirement.)
⎝ L ⎠1 ⎝ L ⎠ 2
Need ACM = 0.10
From Eq. (11.64(b))
          g m RD
 ACM =
       1 + 2 g m Ro
             ( 7.14 )( 28)
So 0.10 =                   ⇒ Ro = 140 k Ω
          1 + 2 ( 7.14 ) Ro
For the basic 2-transistor current source
            1            1
Ro = ro =        =             = 200 k Ω
          λ I Q ( 0.01)( 0.5 )
This current source is adequate to meet common-mode gain requirement.

11.45
Not in detail, Approximation looks good.
a.
     −V − ( −5 )
                   and I S = 2 I D = 2 K n (VGS 1 − VTN )
                                                          2
I S = GS 1
          RS
5 − VGS 1
          = 2 ( 0.050 )(VGS 1 − 1)
                                   2

   20
5 − VGS 1 = 2 (VGS1 − 2VGS1 + 1)
                 2

   2
2VGS1 − 3VGS 1 − 3 = 0

              ( 3)       + 4 ( 2 )( 3)
                     2
         3±
VGS1 =                                   ⇒ VGS1 = 2.186 V
                 2 ( 2)
      5 − 2.186
IS =             ⇒ I S = 0.141 mA
           20
              I
I D1 = I D 2 = S ⇒ I D1 = I D 2 = 0.0704 mA
               2
v02 = 5 − ( 0.0704 )( 25 ) ⇒ v02 = 3.24 V
b.
g m = 2 K n (VGS − VTN ) = 2 ( 0.05 )( 2.186 − 1)
g m = 0.119 mA/V
       1              1
r0 =         =                    = 710 kΩ
     λ I DQ ( 0.02 )( 0.0704 )
Vgs1 = v1 − VS , Vgs 2 = v2 − VS
v01              v −V
     + g mVgs1 + 01 S = 0
RD                 r0

    ⎛ 1     1⎞                   V
v01 ⎜     + ⎟ + g m ( v1 − VS ) − S = 0              (1)
    ⎝ RD r0 ⎠                     r0
v02              v − VS
     + g mVgs 2 + 02      =0
RD                   r0
    ⎛ 1    1⎞                   V
v02 ⎜    + ⎟ + g m ( v2 − VS ) − S = 0               (2)
    ⎝ RD r0 ⎠                    r0
         v − V v − VS                    V
g mVgs1 + 01 S + 02          + g mVgs 2 = S
            r0         r0                RS
                    v01 v02 2VS                     V
g m ( v1 − VS ) +      +    −    + g m ( v2 − VS ) = S
                    r0   r0   r0                    RS
                    v01 v02        ⎧       2 1 ⎫
g m ( v1 + v2 ) +      +    = VS   ⎨2 g m + + ⎬            (3)
                    r0   r0        ⎩       r0 RS ⎭
From (1)
        ⎛      1⎞
     VS ⎜ g m + ⎟ − g m v1
v01 = ⎝
               r0 ⎠
          ⎛ 1     1⎞
          ⎜    + ⎟
          ⎝ RD r0 ⎠
Then
                    ⎛       1⎞
                 VS ⎜ g m + ⎟ − g m v1
                                                 ⎧       2 1 ⎫
g m ( v1 + v2 ) + ⎝
                            r0 ⎠        v
                                       + 02 = VS ⎨2 g m + + ⎬ (3)
                        ⎛ 1      1⎞      r0      ⎩       r0 RS ⎭
                     r0 ⎜     + ⎟
                        ⎝ RD r0 ⎠
⎛ 1     1⎞       ⎛       1⎞             ⎛ 1     1⎞     ⎧         2 1 ⎫ ⎛ 1        1⎞
g m ( v1 + v2 ) r0 ⎜    + ⎟ + VS ⎜ g m + ⎟ − g m v1 + v02 ⎜      + ⎟ = VS ⎨2 g m + + ⎬ ⋅ r0 ⎜       + ⎟
                   ⎝ RD r0 ⎠        ⎝       r0 ⎠           ⎝ RD r0 ⎠      ⎩        r0 RS ⎭ ⎝ RD r0 ⎠
                ⎛     r ⎞                ⎛ 1     1⎞     ⎧
                                                        ⎪⎛        2 1 ⎞⎛        r0 ⎞ ⎛       1 ⎞⎪ ⎫
g m ( v1 + v2 ) ⎜ 1 + 0 ⎟ − g m v1 + v02 ⎜     + ⎟ = VS ⎨⎜ 2 g m + +    ⎟ ⎜1 +     ⎟ − ⎜ gm + ⎟⎬
                ⎝     RD ⎠               ⎝ RD r0 ⎠      ⎪⎝
                                                        ⎩         r0 RS ⎠ ⎝ RD ⎠ ⎝           r0 ⎠ ⎪
                                                                                                  ⎭
    ⎛      r             r ⎞       ⎛ 1   1⎞       ⎧         2 1             r   2       r           1⎫
g m ⎜ v1 ⋅ 0 + v2 + v2 ⋅ 0 ⎟ + v02 ⎜    + ⎟ = VS ⎨2 g m + +         + 2gm ⋅ 0 +    + 0 − gm − ⎬
    ⎝ RD                RD ⎠       ⎝ RD r0 ⎠      ⎩        r0 RS            RD RD RS RD             r0 ⎭
    ⎛                    r ⎞       ⎛ 1   1⎞       ⎧
                                                  ⎪        1 1 ⎛         r0 ⎞ 2               ⎫
                                                                                 (1 + g m r0 )⎪ (4)
           r
g m ⎜ v1 ⋅ 0 + v2 + v2 ⋅ 0 ⎟ + v02 ⎜    + ⎟ = VS ⎨2 g m + +         ⎜1 +    ⎟+                ⎬
    ⎝ RD                RD ⎠       ⎝ RD r0 ⎠      ⎪
                                                  ⎩        r0 RS ⎝ RD ⎠ RD                    ⎪
                                                                                              ⎭
                                  ⎛ 1    1⎞              ⎛      1⎞
Then substituting into (2), v02 ⎜      + ⎟ + g m v2 = VS ⎜ g m + ⎟
                                  ⎝ RD r0 ⎠              ⎝      r0 ⎠
                              ⎡ 710              710 ⎤       ⎡1       1 ⎤
Substitute numbers: ( 0.119 ) ⎢ v1     + v2 + v2     ⎥ + v02 ⎢ 25 + 710 ⎥                         (4)
                              ⎣ 25                25 ⎦       ⎣          ⎦
                                     ⎧           1     1 ⎛ 710 ⎞ 2                              ⎫
                                = VS ⎨0.119 +       + ⎜1 +          ⎟ + ⎡1 + ( 0.119 )( 710 ) ⎤ ⎬
                                                                          ⎣                   ⎦
                                     ⎩         710 20 ⎝         25 ⎠ 25                         ⎭
( 0.119 ) [ 28.4v1 + 29.4v2 ] + ( 0.0414 ) v02 = VS {0.1204 + 1.470 + 6.8392}
                                               = VS ( 8.4296 )
or VS = 0.4010v1 + 0.4150v2 + 0.00491v02
          ⎛ 1       1 ⎞                       ⎛           1 ⎞
Then v02 ⎜ +            ⎟ + ( 0.119 ) v2 = VS ⎜ 0.119 +     ⎟          (2)
          ⎝ 25 710 ⎠                          ⎝         710 ⎠
v02 ( 0.0414 ) + v2 ( 0.119 ) = ( 0.1204 ) [ 0.401v1 + 0.4150v2 + 0.00491v02 ]
v02 ( 0.0408 ) = ( 0.04828 ) v1 − ( 0.0690 ) v2
v02 = (1.183) v1 − (1.691) v2
                    vd
Now      v1 = vcm +
                     2
                   vd
        v2 = vcm −
                    2
                 ⎛      v ⎞            ⎛      v ⎞
So v02 = (1.183) ⎜ vcm + d ⎟ − (1.691) ⎜ vcm − d ⎟
                 ⎝       2⎠            ⎝       2⎠
Or v02 = 1.437vd − 0.508vcm ⇒ Ad = 1.437, Acm = −0.508
                     ⎛ 1.437 ⎞
C M R RdB = 20 log10 ⎜       ⎟ ⇒ C M R RdB = 9.03 dB
                     ⎝ 0.508 ⎠

11.46




KVL:
v1 = Vgs1 − Vgs 2 + v2
So v1 − v2 = Vgs1 − Vgs 2
KCL:
g mVgs1 + g mVgs 2 = 0 ⇒ Vgs1 = −Vgs 2
           1                      1
So Vgs1 = ( v1 − v2 ) , Vgs 2 = − ( v1 − v2 )
           2                      2
Now
v02 v02 − v01
    +             = − g mVgs 2
RD        RL
                                                       (1)
                        ⎛ 1   1 ⎞ v01
                  = v02 ⎜   +   ⎟−
                        ⎝ RD RL ⎠ RL
v01 v01 − v02
   +          = − g mVgs1
RD     RL
                                                       (2)
                     ⎛ 1     1 ⎞ v02
               = v01 ⎜    +    ⎟−
                     ⎝ RD RL ⎠ RL
                    ⎛    R ⎞
From (1): v01 = v02 ⎜ 1 + L ⎟ + g m RLVgs 2
                    ⎝    RD ⎠
Substitute into (2):
                   ⎛     R ⎞⎛ 1       1 ⎞           ⎛ 1      1 ⎞         v02
− g mVgs1 = v02 ⎜1 + L ⎟ ⎜         +     ⎟ + g m RL ⎜     +    ⎟ Vgs 2 −
                   ⎝     RD ⎠ ⎝ RD RL ⎠             ⎝ RD RL ⎠            RL
                          ⎛     R ⎞⎛ 1 ⎞                  ⎛ 1    R        1 ⎞
− g m ⋅ ( v1 − v2 ) + g m ⎜ 1 + L ⎟ ⎜ ⎟ ( v1 − v2 ) = v02 ⎜    + L +
                                                                   2         ⎟
                          ⎝ RD ⎠ ⎝ 2 ⎠                    ⎝ RD RD RD ⎠
                                                 1
                                                   ⋅ g m RL
1 ⎛ RL ⎞              v02 ⎛ RL ⎞          v02
 gm ⎜  ⎟ ( v1 − v2 ) = ⎜ 2 + ⎟ ⇒ Ad 2 =        = 2
2 ⎝ RD ⎠              RD ⎝  RD ⎠        v1 − v2 ⎛      RL ⎞
                                                ⎜2+        ⎟
                                                ⎝      RD ⎠
                               1
                             − ⋅ g m RL
                       v01
From symmetry Ad 1 =        = 2
                     v1 − v2 ⎛    RL ⎞
                             ⎜2+      ⎟
                             ⎝    RD ⎠
              v02 − v01     g m RL
Then Av =               =
               v1 − v2    ⎛     RL ⎞
                          ⎜2+      ⎟
                          ⎝     RD ⎠

11.47
v1 − v2 = Vgs1 − Vgs 2 and g mVgs1 + g mVgs 2 = 0 ⇒ Vgs1 = −Vgs 2
Then v1 − v2 = −2Vgs 2
                   1
Or Vgs 2 = −         ( v1 − v2 )
                   2
                                      gm
v0 = − g mVgs 2 ( RD RL ) =              ( RD RL ) ( v1 − v2 )
                                       2
               gm
Or Ad =
                2
                  ( RD RL )

11.48
                                                  Kn IQ
From Equation (11.64(a)), Ad =                             ⋅ RD
                                                       2
                        2
We need Ad =               = 10
                       0.2
                    K n ( 0.5 )
Then 10 =             ⋅ RD or K n ⋅ RD = 20
                2
If we set RD = 20 k Ω, then K n = 1 mA / V 2
For this case VD = 10 − ( 0.25 )( 20 ) = 5 V
         0.25
VGS =          + 1 = 1.5 V
            1
VDS ( sat ) = VGS − VTN = 1.5 − 1 = 0.5 V
Then vcm ( max ) = VD − VDS ( sat ) + VGS
                        = 5 − 0.5 + 1.5
Or vcm ( max ) = 6 V

11.49
Vd 1 = − g mVgs1 RD = − g m RD (V1 − Vs )
Vd 2 = − g mVgs 2 RD = − g m RD (V2 − Vs )
Now Vo = Vd 2 − Vd 1 = − g m RD (V2 − Vs ) − ( − g m RD (V1 − Vs ) )
Vo = g m RD (V1 − V2 )
Define V1 − V2 ≡ Vd
             V
Then Ad = o = g m RD and Acm = 0
             Vd

11.49
 Ad = g m ( r02 r04 )
g m = 2 kn I DQ          =2        ( 0.12 )( 0.075 )
                  = 0.1897 mA/V
         1            1
r02 =        =                   = 889 kΩ
      λn I DQ ( 0.015 )( 0.075 )
           1                   1
r04 =              =                     = 667 kΩ
        λ p I DQ       ( 0.02 )( 0.075 )
Ad = ( 0.1897 ) ( 889 667 ) ⇒ Ad = 72.3

11.50
(a)
⎛ K′ ⎞⎛W      ⎞ ⎛ 0.080 ⎞
                                       ⎟ (10 ) = 0.40 mA / V
                                                             2
K n1 = K n 2 = ⎜ n ⎟ ⎜       ⎟=⎜
               ⎝ 2 ⎠⎝ L      ⎠ ⎝ 2 ⎠
                   ID         0.1
VGS1 = VGS 2 =        + VTN =     + 1 = 1.5 V
                   Kn         0.4
VDS1 ( sat ) = 1.5 − 1 = 0.5 V
For vCM = +3 V ⇒ VD1 = VD 2 = vCM − VGS 1 + VDS 1 ( sat )
= 3 − 1.5 + 0.5 ⇒ VD1 = VD 2 = 2 V
       10 − 2
RD =          ⇒ RD = 80 k Ω
        0.1
(b)
     1
Ad =   g m RD and g m = 2 ( 0.4 )( 0.1) = 0.4 mA / V
     2
            1
Then Ad = ( 0.4 )( 80 ) = 16
            2
                                         16
C M R RdB = 45 ⇒ C M R R = 177.8 =
                                         Acm
So Acm = 0.090
            g m RD
 Acm =
         1 + 2 g m Ro
            ( 0.4 )(80 )
0.090 =                      ⇒ Ro = 443 k Ω
          1 + 2 ( 0.4 ) Ro
If we assume λ = 0.01 V −1 for the current source transistor, then
       1          1
 ro =      =               = 500 k Ω
      λ I Q ( 0.01)( 0.2 )
So the CMRR specification can be met by a 2-transistor current source.
    ⎛W ⎞ ⎛W ⎞
Let ⎜ ⎟ = ⎜ ⎟ = 1
    ⎝ L ⎠3 ⎝ L ⎠ 4
                     ⎛ 0.080 ⎞                                 IQ             0.2
                             ⎟ (1) = 0.040 mA / V and VGS 3 =
                                                 2
Then K n 3 = K n 4 = ⎜                                             + VTN =         + 1 = 3.24 V
                     ⎝   2 ⎠                                  K n3            0.04
For vCM = −3 V , VD 3 = −3 − VGS1 = −3 − 1.5 = −4.5 V ⇒ VDS 3 ( min ) = −4.5 − ( −10 ) = 5.5 V > VDS 3 ( sat )

So design is OK.
                         ⎛W ⎞
On reference side: For ⎜ ⎟ ≥ 1, VGS ( max ) = 3.24 V
                         ⎝L⎠
20 − VGS 3 = 20 − 3.24 = 16.76 V
       16.67
Then         = 5.17 ⇒ We need six transistors in series.
        3.24
20 − 3.24
VGS =              = 2.793 V
             6
          ⎛ K′ ⎞⎛W ⎞
        = ⎜ n ⎟ ⎜ ⎟ (VGS − VTN )
                                 2
I REF
          ⎝ 2 ⎠⎝ L ⎠
      ⎛ 0.080 ⎞⎛ W ⎞              ⎛W ⎞
              ⎟⎜ ⎟ ( 2.793 − 1) ⇒ ⎜ ⎟ = 1.56 for each of the 6 transistors.
                               2
0.2 = ⎜
      ⎝ 2 ⎠⎝ L ⎠                  ⎝L⎠

11.51




        1
Ad =      g m RD
        2
gm = 2 Kn I D = 2      ( 0.25 )( 0.25) = 0.50 mA / V
     1
Ad =   ( 0.50 )( 3) = 0.75
     2
From Problem 11.26
5 (1 + δ )
V1 = VA =                       , V2 = VB = 2.5 V and V1 − V2 = 1.25δ
                   2+δ
Then
Vo 2 = Ad ⋅ (V1 − V2 ) = ( 0.75 )(1.25δ ) = 0.9375δ
So for −0.01 ≤ δ ≤ 0.01
−9.375 ≤ Vo 2 ≤ 9.375 mV

11.52
From previous results
       v −v
 Ad 1 = o 2 o1 = g m1 R1 = 2 K n1 I Q1 ⋅ R1 = 20
        v1 − v2
                      vo3    1           1
and Ad 2 =                  = g m 3 R2 =   2 K n3 I Q 2 ⋅ R2 = 30
                  vo 2 − vo1 2           2
       I Q1 R1                          I Q 2 R2
Set              = 5 V and                          = 2.5 V
         2                                  2
Let I Q1 = I Q 2 = 0.1 mA
Then R1 = 100 k Ω, R2 = 50 k Ω
                                                               2
       ⎛ 0.06 ⎞ ⎛ W ⎞        ⎛ 20 ⎞    ⎛W ⎞ ⎛W ⎞
Then 2 ⎜      ⎟ ⎜ ⎟ ( 0.1) = ⎜     ⎟ ⇒ ⎜ ⎟ = ⎜ ⎟ = 6.67
       ⎝ 2 ⎠ ⎝ L ⎠1          ⎝ 100 ⎠   ⎝ L ⎠1 ⎝ L ⎠ 2
                                                                     2
      ⎛ 0.060 ⎞ ⎛ W ⎞        ⎛ 2 ( 30 ) ⎞   ⎛W ⎞ ⎛W ⎞
and 2 ⎜       ⎟ ⎜ ⎟ ( 0.1) = ⎜          ⎟ ⇒ ⎜ ⎟ = ⎜ ⎟ = 240
      ⎝ 2 ⎠ ⎝ L ⎠3           ⎝ 50 ⎠         ⎝ L ⎠3 ⎝ L ⎠ 4

11.53
                                                    2
                               ⎛ v ⎞
a.               iD1   = I DSS ⎜ 1 − GS 1 ⎟
                               ⎝     VP ⎠
                                    2
             ⎛ v ⎞
iD 2 = I DSS ⎜ 1 − GS 2 ⎟
             ⎝     VP ⎠
                                ⎛ v ⎞               ⎛ v ⎞
     iD1 − iD 2         = I DSS ⎜1 − GS 1 ⎟ − I DSS ⎜ 1 − GS 2 ⎟
                                ⎝    VP ⎠           ⎝     VP ⎠
                                I DSS
                        =                ( vGS 2 − vGS1 )
                             VP
                                    I DSS                  I DSS
                        =−                   ⋅ vd =                 ⋅ vd
                                    VP                   ( −VP )
iD1 + iD 2 = I Q ⇒ iD 2 = I Q − iD1

(                           )
                                2           I DSS          2
      iD1 − I Q − iD1               =                   ⋅ vd
                                         ( −VP )
                                                    2



iD1 − 2 iD1 ( I Q − iD1 ) + ( I Q − iD1 ) =
                                                                   I DSS          2
                                                                               ⋅ vd
                                                               ( −VP )
                                                                           2



                                          1⎡                  ⎤
Then iD1 ( I Q − iD1 ) =
                                                    I
                                           ⎢ I Q − DSS 2 ⋅ vd ⎥
                                                            2

                                          2⎢
                                           ⎣      ( −VP ) ⎦   ⎥
Square both sides
2
             1⎡        I         ⎤
i − iD1 I Q + ⎢ I Q − DSS 2 ⋅ vd ⎥ = 0
 2
 D1
                               2

             4⎢
              ⎣      ( −VP ) ⎥   ⎦
                                                            2
                    ⎛ 1⎞⎡        I         ⎤
        I Q ± I − 4 ⎜ ⎟ ⎢ I Q − DSS 2 ⋅ vd ⎥
                   2                     2

                               ( −VP ) ⎥
                   Q
                    ⎝ 4⎠⎢
                        ⎣                  ⎦
iD1 =
                                2
                 ⎡                              2
                                                  ⎤
           1 2 ⎢ 2 2 I Q I DSS vd ⎛ I DSS vd ⎞ ⎥
                                 2         2
        IQ
iD1 =    ±   IQ − IQ −             +⎜         ⎟
                 ⎢     ( −VP ) ⎜ ( −VP ) ⎟ ⎥
                               2            2
      2 2                           ⎝         ⎠ ⎦
                 ⎣
Use + sign
                                                                2
        IQ 1 2 I Q I DSS 2                ⎛ I          ⎞
iD1   =  +              ⋅ vd            − ⎜ DSS 2 ⋅ vd ⎟
                                                     2

        2 2 ( −VP )2                      ⎜ ( −V )     ⎟
                                          ⎝     P      ⎠
                                                        2               2
        IQ       1 IQ         2 I DSS ⎛ I DSS          ⎞ ⎛v ⎞
iD1 =        +             vd        −⎜                ⎟ ⎜ d ⎟
        2        2 ( −VP )            ⎜ I              ⎟ V
                                IQ    ⎝ Q              ⎠ ⎝ P⎠
Or
                                                        2               2
iD1 1 ⎛ 1                ⎞      2 I DSS ⎛ I DSS        ⎞ ⎛ vd ⎞
   = +⎜                  ⎟ ⋅ vd        −⎜              ⎟ ⎜ ⎟
I Q 2 ⎝ −2VP                            ⎜ I            ⎟ V
                         ⎠        IQ    ⎝ Q            ⎠ ⎝ P⎠
We had
iD 2 = I Q − iD1
Then
                                                        2               2
iD 2 1 ⎛ 1               ⎞      2 I DSS ⎛ I DSS        ⎞ ⎛ vd ⎞
     = −⎜                ⎟ ⋅ vd        −⎜              ⎟ ⎜ ⎟
 I Q 2 ⎝ −2VP                           ⎜ I            ⎟ V
                         ⎠        IQ    ⎝ Q            ⎠ ⎝ P⎠
b.
If iD1 = I Q , then
                                                   2                2
  1 ⎛ 1                ⎞      2 I DSS ⎛ I DSS     ⎞ ⎛ vd ⎞
1= +⎜                  ⎟ ⋅ vd        −⎜           ⎟ ⎜ ⎟
  2 ⎝ −2VP                            ⎜ I         ⎟ V
                       ⎠        IQ    ⎝ Q         ⎠ ⎝ P⎠
                                    2         2
          2 I DSS ⎛ I DSS        ⎞ ⎛ vd ⎞
VP = vd          −⎜              ⎟ ⎜ ⎟
                  ⎜ I            ⎟ V
            IQ    ⎝ Q            ⎠ ⎝ P⎠
Square both sides
⎡ 2I    ⎛I                      ⎞ ⎛ vd ⎞ ⎤
                                               2      2

          = v ⎢ DSS − ⎜ DSS                   ⎟ ⎜ ⎟ ⎥
     2         2
VP
              ⎢ IQ    ⎜ I                     ⎟ V
                                              ⎠ ⎝ P⎠ ⎥
               d

              ⎣       ⎝ Q                               ⎦
           2           2
⎛ I DSS   ⎞ ⎛ 1 ⎞ 2 2 2 I DSS 2
          ⎟ ⎜ ⎟ ( vd ) −
                                                                2
⎜                            ⋅ vd + VP                              =0
⎜ I       ⎟ V
⎝ Q       ⎠ ⎝ P⎠         IQ
                                          2                 2        2
          2 I DSS   ⎛ 2I                 ⎞     ⎛I       ⎞ ⎛ 1 ⎞
                                                        ⎟ ⎜ ⎟ (VP )
                                                                    2
                  ± ⎜ DSS                ⎟ − 4 ⎜ DSS
                    ⎜ I                  ⎟     ⎜ I      ⎟ V
 2
            IQ      ⎝ Q                  ⎠     ⎝ Q      ⎠ ⎝ P⎠
vd =                                             2          2
                                   ⎛ 2I         ⎞ ⎛ 1 ⎞
                                 2 ⎜ DSS        ⎟ ⎜ ⎟
                                   ⎜ IQ         ⎟ ⎝ VP ⎠
                                   ⎝            ⎠
          2 ⎛ IQ ⎞
vd = (VP ) ⎜
 2
                    ⎟
            ⎝ I DSS ⎠
                                  1/ 2
             ⎛ IQ ⎞
Or vd = VP ⎜         ⎟
             ⎝ I DSS ⎠
c.       For vd small,
       IQ 1 IQ              2 I DSS
 iD1 ≈   + ⋅           ⋅ vd
        2 2 ( −VP )           IQ

          diD1                  1 IQ        2 I DSS
gf =                        =    ⋅        ⋅
                                2 ( −VP )
                   vd → 0
          d vd                                IQ

                   ⎛ 1 ⎞ I Q I DSS
Or ⇒ g f ( max ) = ⎜     ⎟
                   ⎝ −VP ⎠   2

11.53
 Ad = g m ( ro 2 Ro )
Want Ad = 400
From Example 11.15, ro 2 = 1 M Ω
Assuming that g m = 0.283 mA / V for the PMOS from Example 11.15, then Ro = 285 M Ω.
                                                      ⎛ k ′ ⎞⎛ W ⎞
So 400 = g m (1000 285000 ) ⇒ g m = 0.4014 mA / V = 2 ⎜ n ⎟ ⎜ ⎟ I DQ
                                                      ⎝ 2 ⎠ ⎝ L ⎠1
          ⎛ 0.080 ⎞ ⎛ W ⎞        ⎛W ⎞ ⎛W ⎞
0.04028 = ⎜       ⎟ ⎜ ⎟ ( 0.1) ⇒ ⎜ ⎟ = ⎜ ⎟ = 10.1
          ⎝ 2 ⎠ ⎝ L ⎠1           ⎝ L ⎠1 ⎝ L ⎠ 2

11.54
a.
I Q = I D1 + I D 2 ⇒ I Q = 1 mA
v0 = 7 = 10 − ( 0.5 ) RD ⇒ RD = 6 kΩ
b.
              ⎛ 1 ⎞ I Q ⋅ I DSS
g f ( max ) = ⎜     ⎟
              ⎝ −VP ⎠    2

               ⎛ 1 ⎞ (1)( 2 )
 g f ( max ) = ⎜ ⎟            ⇒ g f ( max ) = 0.25 mA/V
               ⎝ 4⎠     2
c.
        g R
 Ad = m D = g f ( max ) ⋅ RD
          2
 Ad = ( 0.25 )( 6 ) ⇒ Ad = 1.5
11.55
a.
       −VGS − ( −5 )
                                                     2
                                        ⎛ V ⎞
IS =                      = ( 2 ) I DSS ⎜ 1 − GS ⎟
             RS                         ⎝    VP ⎠
                                             2
                             ⎛     V ⎞
5 − VGS = ( 2 )( 0.8 )( 20 ) ⎜ 1 − GS ⎟
                             ⎜ ( −2 ) ⎟
                             ⎝         ⎠
                  ⎛              1 2 ⎞
5 − VGS = ( 2 )16 ⎜1 + VGS + VGS ⎟
                  ⎝              4   ⎠
   2
8VGS + 33VGS + 27 = 0
         −33 ± 1089 − 4 ( 8 )( 27 )
VGS =
                      2 (8)
      = −1.125 V
         5 − ( −1.125 )
  IS =
             20
      = 0.306 mA
 I D1 = I D 2 = 0.153 mA
 vo 2 = 1.17 V
(b)

11.56
Equivalent circuit and analysis is identical to that in problem 11.36.
        1
          ⋅ g m RL
 Ad 2 = 2
       ⎛      RL ⎞
       ⎜2+        ⎟
       ⎝      RD ⎠
         1
       − ⋅ g m RL
 Ad 1 = 2
       ⎛    RL ⎞
       ⎜2+      ⎟
       ⎝    RD ⎠
         v02 − v01     g m RL
  Av =             =
            vd       ⎛     RL ⎞
                     ⎜2+      ⎟
                     ⎝     RD ⎠

11.57
(a)
 Ad = g m ( ro 2 ro 4 )
         0.1
gm =           = 3.846 mA/V
       0.026
       120
ro 2 =      = 1200 K
       0.1
       80
ro 4 =     = 800 K
       0.1
Ad = ( 3.846 ) (1200 800 )
Ad = 1846
(b)
For Ad = 923 = ( 3.846 ) (1200 800 RL )
                                  480 RL
      240 = 480 RL =                      ⇒ RL = 480 K
                                 480 + RL

11.58
(a)
                               ⎛       2⎞
 I Q = 250 μ A I REF = I Q ⎜ 1 + ⎟
                               ⎝ β⎠
                                 ⎛       2 ⎞
                           = 250 ⎜1 +       ⎟ = 252.8 μ A
                                 ⎝ 180 ⎠
       5 − ( 0.7 ) − ( −5 )
 R1 =                       ⇒ R1 = 36.8 K
            0.2528
(b)
                                          0.125
 Ad = g m ( ro 2 ro 4 )           gm =           = 4.808 mA/V
                                          0.026
                                          150
                                  ro 2 =        = 1200 K
                                         0.125
                                          100
 Ad = ( 4.808 ) (1200 800 ) ro 4 =              = 800 K
                                         0.125
 Ad = 2308
(c)
                     2 (180 )( 0.026 )
Rid = 2rπ =                              ⇒ Rid = 74.9 K
                          0.125
 Ro = ro 2 ro 4 = 1200 800 = 480 K = Ro
(d)
 vcm ( max ) = 5 − 0.7 = 4.3 V
 vcm ( min ) = 0.7 + 0.7 − 5 = −3.6 V

11.59
a.
                       ⎛ IQ ⎞ ⎛ 1 ⎞
I 0 = I B3 + I B 4 ≈ 2 ⎜ ⎟ ⎜ ⎟
                       ⎝ 2 ⎠⎝ β ⎠
      I Q 0.2
I0 =       =        ⇒ I0 = 2 μ A
       β 100
b.
              V       100
 r02 = r04 = A =            = 1000 kΩ
              I CQ 0.1
        I CQ          0.1
gm =             =         = 3.846 mA/V
        VT           0.026
Ad = g m ( r02 r04 ) = ( 3.846 ) (1000 1000 ) ⇒ Ad = 1923
c.
             (
 Ad = g m r02 r04 RL         )
Ad = ( 3.846 ) (1000 1000 250 ) ⇒ Ad = 641

11.60
a.
Ad = g m ( r02 r04 RL )
         I CQ       IQ
gm =            =
         VT         2VT
     V      125
r02 = A 2 =
     I CQ I CQ
         VA 4 80
r04 =        =
         I CQ I CQ
If I Q = 2 mA, then g m = 38.46 mA/V
r02 = 125 kΩ, r04 = 80 kΩ
So Ad = 38.46 ⎡125 80 200 ⎤
               ⎣             ⎦
Or Ad = 1508
For each gain of 1000. lower the current level
For I Q = 0.60 mA, I CQ = 0.30 mA
        0.3
gm =          = 11.54 mA/V
       0.026
      125
r02 =      = 417 kΩ
      0.3
      80
r04 =     = 267 kΩ
      0.3
Ad = 11.54 ⎡ 417 267 200 ⎤ = 1036
            ⎣             ⎦
So I Q = 0.60 mA is adequate
b.
For V + = 10 V, VBE = VEB = 0.6 V
For VCB = 0, vcm ( max ) = V + − 2VEB = 10 − 2 ( 0.6 )
Or vcm ( max ) = 8.8 V

11.61
a.            From symmetry.
                                      0.1
VGS 3 = VGS 4 = VDS 3 = VDS 4 =           +1
                                      0.1
Or VDS 3 = VDS 4 = 2 V
                    0.1
VSG1 = VSG 2 =          +1 = 2 V
                    0.1
VSD1   = VSD 2 = VSG1 − (VDS 3 − 10 )
       = 2 − ( 2 − 10 )
Or VSD1 = VSD 2 = 10 V
b.
           1                  1
r0 n =              =                 ⇒ 1 MΩ
         λn I DQ        ( 0.01)( 0.1)
            1                1
r0 p =              =                ⇒ 0.667 MΩ
         λP I DQ ( 0.015 )( 0.1)
g m = 2 K p (VSG + VTP )
    = 2 ( 0.1)( 2 − 1) = 0.2 mA / V
Ad = g m ( ron rop ) = ( 0.2 ) (1000 667 ) ⇒ Ad   = 80
(c)
IQ
I D 2 = I D1 =            = 0.1 mA
                     2
            1            1
 ro 4 =           =              = 1000 k Ω
          λn I D 4 ( 0.01)( 0.1)
             1                  1
 ro 2 =              =                     = 667 k Ω
          λP I D 2        ( 0.015)( 0.1)
 Ro = ro 2 ro 4 = 667 1000 = 400 k Ω

11.62
 Ad = g m ( ro 4 ro 2 )

           ⎛ 0.08 ⎞
gm = 2 ⎜           ⎟ ( 2.5 )( 0.05 )
           ⎝ 2 ⎠
     = 0.1414 mA/V
              1
ro 4 =                   = 1000 K
       ( 0.02 )( 0.05 )
                 1
ro 2 =                     = 1333 K
          ( 0.015)( 0.05 )
Ad = ( 0.1414 ) (1000 1333)
Ad = 80.8

11.63
 R04 = r04 ⎡1 + g m 4 ( R rπ 4 ) ⎤
           ⎣                     ⎦
        80
  r04 =     = 800 K
        0.1
         0.1
gm4 =          = 3.846
        0.026
        (100 )( 0.026 )
 rπ 4 =
              0.1
      = 26 K
R rπ 4 = 1 26 = 0.963 K
Assume β = 100
           (100 )( 0.026 )
 rπ 3 =                         = 26 kΩ
                 0.1
        0.1
g m3 =        = 3.846 mA/V
       0.026
 R04 = 800 ⎡1 + ( 3.846 )( 0.963) ⎤ ⇒ 3.763 MΩ
           ⎣                      ⎦
⇒ R0 = 3.763MΩ
 Then
 Av = − g m ( r02 R0 )
      120
 r02 =      = 1200 kΩ
      0.1
       0.1
 gm =         = 3.846 mA/V
      0.026
 Av = − ( 3.846 ) ⎡1200 3763⎤ ⇒ Av = −3499
                  ⎣         ⎦
b.
For
80
 R = 0, r04 =              = 800 kΩ
                     0.1
Av = − g m ( r02     r04 )
      = − ( 3.846 ) ⎡1200 800 ⎤ ⇒ Av = −1846
                    ⎣         ⎦
(c)        For part (a), Ro = ( 3.763 1.2 ) = 0.910 M Ω
For part (b), Ro = (1.2 0.8 ) = 0.48 M Ω

11.64
          IE5  I +I     I +I
I B5 =        = B3 B4 = C 3 C 4
         1+ β   1+ β   β (1 + β )
Now I C 3 + I C 4 ≈ I Q
              IQ
So I B 5 ≈
           β (1 + β )
          IE6     I Q1
I B6 =        =
         1 + β β (1 + β )
For balance, we want I B 6 = I B 5
So that I Q1 = I Q

11.65
Resistance looking into drain of M4.




Vsg 4 ≅ I X R1
                     VX − Vsg 4
I X ± g m 4Vsg 4 =
                         r04
    ⎡              R ⎤ V
I X ⎢1 + g m 4 R1 + 1 ⎥ = X
    ⎣              r04 ⎦ r04
               ⎡           R ⎤
Or R0 = r04 ⎢1 + g m 4 R1 + 1 ⎥
               ⎣           r04 ⎦
a.
Ad = g m 2 ( ro 2 Ro )
g m 2 = 2 K n I DQ = 2       ( 0.080 )( 0.1)
                  = 0.179 mA / V
           1          1
 ro 2 =        =                = 667 k Ω
        λn I DQ ( 0.015 )( 0.1)
g m 4 = 2 K P I DQ = 2       ( 0.080 )( 0.1)
                         = 0.179 mA / V
             1               1
 ro 4 =              =                = 500 k Ω
          λ p I DQ     ( 0.02 )( 0.1)
           ⎡                   1 ⎤
 R0 = 500 ⎢1 + ( 0.179 )(1) +       = 590.5 kΩ
           ⎣                  500 ⎥
                                  ⎦
 Ad = ( 0.179 ) ⎡667 590.5⎤ ⇒ Ad = 56.06
                ⎣           ⎦
b.
When R1 = 0, R0 = r04 = 500 kΩ
 Ad = ( 0.179 ) ⎡667 500 ⎤ ⇒ Ad = 51.15
                ⎣        ⎦
(c)         For part (a), Ro = ro 2 Ro = 667 590.5 ⇒ Ro = 313 k Ω
For part (b), Ro = ro 2 ro 4 = 667 500 ⇒ Ro = 286 kΩ

11.66
Let β = 100, VA = 100 V
VA 100
ro 2 =       =    = 1000 k Ω
         I CQ 0.1
Ro 4 = ro 4 [1 + g m RE ] where RE = rπ RE
                      ′          ′
Now
         (100 )( 0.026 )
rπ =                = 26 k Ω
          0.1
      0.1
gm =         = 3.846 mA / V
     0.026
 ′
RE = 26 1 = 0.963 k Ω
Then Ro 4 = 1000 ⎡1 + ( 3.846 )( 0.963) ⎤ = 4704 k Ω
                  ⎣                     ⎦
Ad = g m ( ro 2 Ro 4 ) = 3.846 (1000 4704 ) ⇒ Ad = 3172

11.67
(a) For Q2, Q4




                    Vx − Vπ 4                          V
(1)          Ix =             + g m 2Vπ 2 + g m 4Vπ 4 + x
                       ro 2                            ro 4
                            Vx − Vπ 4    V
(2)           g m 2Vπ 2 +             = π4
                               ro 2    rπ 4 rπ 2
(3)          Vπ 4 = −Vπ 2
              Vx          ⎡ 1          1         ⎤
From (2)           = Vπ 4 ⎢          +     + gm2 ⎥
              ro 2        ⎢
                          ⎣ rπ 4 rπ 2 ro 2       ⎥
                                                 ⎦
Now
       ⎛ β      ⎞ ⎛ IQ
                     ⎞ ⎛ 120 ⎞
IC 4 = ⎜        ⎟⎜   ⎟=⎜      ⎟ ( 0.5 ) = 0.496 mA
       ⎝ 1+ β   ⎠⎝ 2 ⎠ ⎝ 121 ⎠
         ⎛ IQ ⎞ ⎛ 1 ⎞ ⎛ β ⎞              ⎛ 120 ⎞
IC 2   = ⎜ ⎟⎜        ⎟⎜      ⎟ = ( 0.5 ) ⎜        ⎟ ⇒ I C 2 = 0.0041 mA
                                         ⎜ (121)2 ⎟
         ⎝ 2 ⎠⎝ 1+ β ⎠⎝ 1+ β ⎠           ⎝        ⎠
So
         (120 )( 0.026 )
rπ 2 =                  = 761 k Ω
           0.0041
        0.0041
gm2 =             = 0.158 mA/V
         0.026
        100
ro 2 =          ⇒ 24.4 M Ω
       0.0041
       (120 ) ( 0.026 )
rπ 4 =                  = 6.29 k Ω
           0.496
        0.496
gm4 =            = 19.08 mA / V
        0.026
        100
ro 4 =         = 202 k Ω
       0.496
Now
Vx          ⎡     1      1          ⎤                            Vx
     = Vπ 4 ⎢         +      + 0.158⎥ ⇒ which yields Vπ 4 =
ro 2        ⎢ 6.29 761 24400
            ⎣                       ⎥
                                    ⎦                       ( 0.318) ro 2
From (1),
     V V           ⎛                 1 ⎞
I x = x + x + Vπ 4 ⎜ g m 4 − g m 2 − ⎟
     ro 2 ro 4     ⎝                ro 2 ⎠
    ⎡                 ⎛                   1 ⎞⎤
Ix ⎢ 1                ⎜ 19.08 − 0.158 −       ⎟
                 1                      24400 ⎠ ⎥
                    +⎝
                                                                     V
  =⎢          +                                 ⎥ which yields Ro 2 = x = 135 k Ω
Vx ⎢ 24400 202             ( 0.318)( 24400 ) ⎥                       Ix
    ⎢                                           ⎥
    ⎣                                           ⎦
           80
Now ro 6 =     = 160 k Ω
           0.5
Then Ro = Ro 2 ro 6 = 135 160 ⇒ Ro = 73.2 k Ω
(b)
                            Δi
Ad = g m Ro where g m =
       c            c

                           vd / 2
vd
Δi = g m1Vπ 1 + g m 3Vπ 3 and Vπ 1 + Vπ 3 =
                                              2
      ⎛V               ⎞
Also ⎜ π 1 + g m1Vπ 1 ⎟ rπ 3 = Vπ 3
      ⎝ rπ 1           ⎠
        ⎛1+ β ⎞
So Vπ 1 ⎜      ⎟ rπ 3 = Vπ 3
        ⎝ rπ 1 ⎠
        ⎛ 121 ⎞
Or Vπ 1 ⎜     ⎟ ( 6.29 ) = Vπ 3 ≅ Vπ 1
        ⎝ 761 ⎠
               v               v
Then 2Vπ 1 = d ⇒ Vπ 1 = d
                2              4
                                                  ⎛v ⎞         ⎛v ⎞
So Δi = ( g m1 + g m 3 ) Vπ 1 = ( 0.158 + 19.08 ) ⎜ d ⎟ = 9.62 ⎜ d ⎟
                                                  ⎝ 4⎠         ⎝ 2⎠
           Δi
So g m =
     c
                = 9.62 ⇒ Ad = ( 9.62 )( 73.2 ) ⇒ Ad = 704
         vd / 2
Now Rid = 2 Ri where Ri = rπ 1 + (1 + β ) rπ 3
Ri = 761 + (121)( 6.29 ) = 1522 k Ω
Then Rid = 3.044 M Ω



11.69
(a)
 Ad = 100 = g m ( ro 2 ro 4 )
Let I Q = 0.5 mA
         1           1
ro 2 =       =                 = 200 k Ω
       λn I D ( 0.02 )( 0.25 )
           1           1
ro 4 =         =                  = 160 k Ω
         λP I D ( 0.025 )( 0.25 )
Then 100 = g m ( 200 160 ) ⇒ g m = 1.125 mA / V

       ⎛ K′ ⎞⎛W        ⎞
gm = 2 ⎜ n ⎟ ⎜         ⎟ ID
       ⎝ 2 ⎠⎝ L        ⎠
          ⎛ 0.080 ⎞ ⎛ W ⎞          ⎛W ⎞
1.125 = 2 ⎜       ⎟ ⎜ ⎟ ( 0.25 ) ⇒ ⎜ ⎟ = 31.6
          ⎝ 2 ⎠⎝ L ⎠               ⎝ L ⎠n
    ⎛W ⎞                        ⎛W ⎞
Now ⎜ ⎟ somewhat arbitrary. Let ⎜ ⎟ = 31.6
    ⎝ L ⎠P                      ⎝ L ⎠P

11.70
Ad = g m ( ro 2 ro 4 )
P = ( I Q + I REF ) (V + − V − )
Let I Q = I REF
Then 0.5 = 2 I Q ( 3 − ( −3) ) ⇒ I Q = I REF = 0.0417 mA
           1             1
ro 2 =         =                    = 3205 k Ω
         λn I D ( 0.015 )( 0.0208 )
           1             1
ro 4 =         =                   = 2404 k Ω
         λP I D ( 0.02 )( 0.0208 )
Then
Ad = 80 = g m ( 3205 2404 ) ⇒ g m = 0.0582 mA/V

       ⎛ k ′ ⎞⎛ W ⎞
gm = 2 ⎜ n ⎟ ⎜ ⎟ I D
       ⎝ 2 ⎠ ⎝ L ⎠n
           ⎛ 0.080 ⎞⎛ W ⎞            ⎛W ⎞
0.0582 = 2 ⎜       ⎟⎜ ⎟ ( 0.0208 ) ⇒ ⎜ ⎟ = 1.02
           ⎝ 2 ⎠⎝ L ⎠ n              ⎝ L ⎠n

11.71
 Ad = g m ( ro 2 Ro )
     ≈ g m ro 2
         1
ro 2 =
       λn I D
               1
    =                   = 666.7 K
         ( 0.015)( 0.1)
Ad = 400 = g m ( 666.7 )
      g m = 0.60 mA/V
    ⎛ k′ ⎞⎛ W     ⎞
= 2 ⎜ n ⎟⎜        ⎟ ID
    ⎝ 2 ⎠⎝ L      ⎠
          ⎛ 0.08 ⎞ ⎛ W ⎞
0.60 = 2 ⎜       ⎟ ⎜ ⎟ ( 0.1)
          ⎝ 2 ⎠⎝ L ⎠
               ⎛W ⎞
0.090 = 0.004 ⎜ ⎟
               ⎝L⎠
⎛W ⎞ ⎛W ⎞
⎜ ⎟ = ⎜ ⎟ = 22.5
⎝ L ⎠1 ⎝ L ⎠ 2

11.72
Ad = g m ( Ro 4 Ro 6 )
where
Ro 4 = ro 4 + ro 2 [1 + g m 4 ro 4 ]
Ro 6 = ro 6 + ro8 [1 + g m 6 ro 6 ]
We have
                       1
ro 2 = ro 4 =                       = 1667 k Ω
              ( 0.015 )( 0.040 )
                        1
ro 6 = ro8 =                      = 1250 k Ω
                ( 0.02 )( 0.040 )
        ⎛ 0.060 ⎞
gm4 = 2 ⎜       ⎟ (15 )( 0.040 ) = 0.268 mA/V
        ⎝ 2 ⎠
        ⎛ 0.025 ⎞
gm6 = 2 ⎜       ⎟ (10 )( 0.040 ) = 0.141 mA/V
        ⎝ 2 ⎠
Then
Ro 4 = 1667 + 1667 ⎡1 + ( 0.268 )(1667 ) ⎤ ⇒ 748 M Ω
                   ⎣                     ⎦
Ro 6 = 1250 + 1250 ⎡1 + ( 0.141)(1250 ) ⎤ ⇒ 222.8 M Ω
                   ⎣                    ⎦
(a)
Ro = Ro 4 Ro 6 = 748 222.8 ⇒               Ro = 172 M Ω
(b)
 Ad = g m 4 ( Ro 4 Ro 6 ) = ( 0.268 )(172000 ) ⇒ Ad = 46096

11.73
 Ad = g m ( ro 2 ro 4 )
                 1
ro 2 = ro 4 =
                λ ID
                1
      =                    = 500 K
          ( 0.02 )( 0.1)
gm = 2 Kn I D = 2           ( 0.5)( 0.1)
    = 0.4472 mA/V
 Ad = ( 0.4472 ) ( 500 500 ) ⇒ Ad = 112
 Ro = ro 2 ro 4 = 500 500 ⇒ Ro = 250 K

11.74
(a)
I DP = K p (VSG + VTP )
                              2



   0.4
       + 1 = VSG 3 = 1.894 V
   0.5
I DN = K n (VGS − VTN )
                              2



  0.4
       + 1 = VGS 1 = 1.894 V
  0.5
VDS1 ( sat ) = VGS1 − VTN = 1.894 − 1 = 0.894 V
V + = VSG 3 + VDS1 ( sat ) − VGS 1 + vCM
V + = 1.894 + 0.894 − 1.894 + 4 ⇒ V + = 4.89 V = −V −
(b)
Ad = g m ( ro 2 ro 4 )
                    1                1
ro 2 = ro 4 =            =                   = 166.7 K
                λ ID       ( 0.015 )( 0.4 )
gm = 2 Kn I D           = 2 ( 0.5 )( 0.4 ) = 0.8944 mA/V
Ad = ( 0.8944 ) (166.7 166.7 ) ⇒ Ad = 74.5

11.75
(a)         For vcm = +2V ⇒ V + = 2.7 V
 If I Q is a 2-transistor current source,
V − = vcm − 0.7 − 0.7
V − = −3.4 V ⇒ V + = −V − = 3.4 V
(b)
                               100
 Ad = g m ( ro 2 ro 4 ) ro 2 =     = 1000 K
                               0.1
                               60
                        ro 4 =     = 600 K
                               0.1
                                0.1
                        gm =          = 3.846 mA/V
                               0.026
 Ad = ( 3.846 ) (1000 600 ) ⇒ Ad = 1442

11.76
(a)         V + = −V − = 3.4 V
(b)
        75
ro 2 =      = 1250 K
       0.06
        40
ro 4 =      = 666.7 K
       0.06
        0.06
gm =         = 2.308 mA/V
       0.026
Ad = ( 2.308 ) (1250 666.7 )
Ad = 1004

11.77
g m1 = 2 K n I Bias1 = 2            ( 0.2 )( 0.25 ) = 0.447 mA/V
         I CQ        0.75
gm2 =           =         = 28.85 mA/V
          VT        0.026
         β VT       (120 )( 0.026 )
rπ 2 =          =                        = 4.16 kΩ
         I CQ                0.75
i0 = g m1Vgs1 + g m 2Vπ 2
Vπ 2 = g m1Vgs1rπ 2 and vi = Vgs1 + Vπ 2
i0 = Vgs1 ( g m1 + g m 2 ⋅ g m1rπ 2 )
                                                  vi
vi = Vgs1 + g m1Vgs1rπ 2 and Vgs1 =
                                              1 + g m1rπ 2
            g m1 (1 + β )
i0 = vi ⋅
            1 + g m1rπ 2
        i0 g m1 (1 + β )     ( 0.447 )(121)
gm =
 C
           =             =
        vi   1 + g m1rπ 2 1 + ( 0.447 )( 4.16 )
⇒ g m = 18.9 mA/V
    C




11.78
                  1                1
r0 ( M 2 ) =             =                    = 500 kΩ
               λn I DQ       ( 0.01)( 0.2 )
               VA    80
 r0 ( Q2 ) =       =    = 400 kΩ
               I CQ 0.2
g m ( M 2 ) = 2 K n I DQ = 2           ( 0.2 )( 0.2 )
             = 0.4 mA/V
Ad = g m ( M 2 ) ⎡ r0 ( M 2 ) r0 ( Q2 ) ⎤
                 ⎣                      ⎦
     = 0.4 ⎡500 400 ⎤ ⇒ Ad = 88.9
           ⎣        ⎦
If the IQ current source is ideal, Acm = 0 and C M RRdB = ∞

11.79
a.




b.           Assume RL is capacitively coupled. Then
I CQ + I DQ = I Q
          VBE 0.7
I DQ =        =   = 0.0875 mA
           R1   8
 I CQ = 0.9 − 0.0875 = 0.8125 mA
 g m1 = 2 K P I DQ = 2 (1)( 0.0875 ) ⇒ g m1 = 0.592 mA/V
          I CQ        0.8125
gm2 =             =          ⇒ g m 2 = 31.25 mA/V
           VT         0.026
          β VT         (100 )( 0.026 )
 rπ 2 =           =                      ⇒ rπ 2 = 3.2 kΩ
           I CQ           0.8125
c.
V0 = ( − g m1Vsg − g m 2Vπ 2 ) RL
Vi + Vsg = V0 ⇒ Vsg = V0 − Vi
Vπ 2 = ( g m1Vsg ) ( R1 rπ 2 )
V0 = − ⎡ g m1Vsg + g m 2 g m1Vsg ( R1 rπ 2 ) ⎤ RL
       ⎣                                     ⎦
V0 = − (V0 − Vi ) ⎣ g m1 + g m 2 g m1 ( R1 rπ 2 ) ⎦ RL
                  ⎡                               ⎤
          ⎡ g m1 + g m 2 g m1 ( R1 rπ 2 ) ⎦ RL
                                          ⎤
        = ⎣
    V0
Av =
    Vi 1 + ⎡ g m1 + g m 2 g m1 ( R1 rπ 2 ) ⎤ RL
            ⎣                               ⎦
We find
g m1 + g m 2 g m1 ( R1 rπ 2 ) = 0.592 + ( 31.25 )( 0.592 ) ( 8 3.2 )
                                  = 42.88
                    ( 42.88 )( RL )
Then Av =
                  1 + ( 42.88 )( RL )

11.80
a.          Assume RL is capacitively coupled.
         0.7
I DQ   =      = 0.0875 mA
          8
I CQ   = 1.2 − 0.0875 = 1.11 mA
g m1 = 2 K p I DQ = 2 (1)( 0.0875 ) ⇒ g m1 = 0.592 mA/V
          I CQ        1.11
gm2 =             =         ⇒ g m 2 = 42.7 mA/V
           VT         0.026
          β VT        (100 )( 0.026 )
rπ 2 =            =                     ⇒ rπ 2 = 2.34 kΩ
          I CQ             1.11
b.
Vsg = VX
I X = g m 2Vπ 2 + g m1Vsg
(g    V
     m1 sg   )(R1   rπ 2 ) = Vπ 2
I X = VX ⎡ g m1 + g m 2 g m1 ( R1 rπ 2 ) ⎤
         ⎣                               ⎦
      VX                   1
R0 =      =
      IX     g m1 + g m 2 g m1 ( R1 rπ 2 )
                              1
      =                                           ⇒ R0 = 21.6 Ω
          0.592 + ( 0.592 )( 42.7 ) ( 8 2.34 )

11.81
(a)




                          Vo − ( −Vπ )
(1)           g m 2Vπ +                  =0
                               ro 2
                          Vo − ( −Vπ )                −Vπ −Vπ                      ⎛ 1 1⎞
(2)           g m 2Vπ +                  = g m1Vi +        +    or 0 = g m1Vi − Vπ ⎜ + ⎟
                               ro 2                    ro1   rπ                    ⎝ ro1 rπ ⎠
                   g m1Vi
Then Vπ =
                ⎛ 1 1⎞
                ⎜ + ⎟
                ⎝ ro1 rπ ⎠
From (1)
⎛         1 ⎞    Vo
⎜ g m 2 + ⎟ Vπ +      =0
⎝        ro 2 ⎠  ro 2
                                         ⎛       1 ⎞
                                         ⎜ gm2 + ⎟
           ⎛         1 ⎞
Vo = −ro 2 ⎜ g m 2 + ⎟ Vπ = −ro 2 g m1Vi ⎝
                                                ro 2 ⎠
           ⎝        ro 2 ⎠                ⎛ 1 1⎞
                                          ⎜ + ⎟
                                          ⎝ ro1 rπ ⎠
                    ⎛         1 ⎞
         − g m1ro 2 ⎜ g m 2 + ⎟
    V
Av = o =            ⎝        ro 2 ⎠
    Vi         ⎛ 1 1⎞
               ⎜ + ⎟
               ⎝ ro1 rπ ⎠
Now
g m1 = 2 K n I Q = 2           ( 0.25)( 0.025 ) = 0.158 mA / V
          IQ        0.025
gm2 =           =         = 0.9615 mA / V
          VT        0.026
          1                1
ro1 =           =                      = 2000 k Ω
         λ IQ       ( 0.02 )( 0.025)
         VA   50
ro 2 =      =      = 2000 k Ω
         I Q 0.025
         β VT       (100 )( 0.026 )
rπ =            =                     = 104 k Ω
         IQ             0.025
Then
                          ⎛           1 ⎞
      − ( 0.158 )( 2000 ) ⎜ 0.9615 +      ⎟
Av =                      ⎝          2000 ⎠
                                            ⇒ Av = −30039
                 ⎛ 1          1 ⎞
                 ⎜        +     ⎟
                 ⎝ 2000 104 ⎠
To find Ro; set Vi = 0 ⇒ g m1Vi = 0
Vx − ( −Vπ )
I x = g m 2Vπ +
                         ro 2
Vπ = − I x ( ro1 rπ )
Then
      ⎛         1 ⎞                     V
I x = ⎜ g m 2 + ⎟ ( − I x ) ( ro1 rπ ) + x
      ⎝        ro 2 ⎠                   ro 2
Combining terms,
        Vx        ⎡               ⎛         1 ⎞⎤
 Ro =      = ro 2 ⎢1 + ( ro1 rπ ) ⎜ g m 2 + ⎟ ⎥
        Ix        ⎣               ⎝        ro 2 ⎠ ⎦
             ⎡                 ⎛           1 ⎞⎤
      = 2000 ⎢1 + ( 2000 104 ) ⎜ 0.9615 +      ⎟ ⇒ Ro = 192.2 M Ω
             ⎣                 ⎝          2000 ⎠ ⎥
                                                 ⎦

(b)




                           Vo − ( −Vgs 3 )
(1)         g m 3Vgs 3 +                       =0
                                  ro3
                           Vo − ( −Vgs 3 )                     −Vgs 3 − ( −Vπ 2 )               ⎛         1 ⎞ Vgs 3
(2)         g m 3Vgs 3 +                       = g m 2Vπ 2 +                        or 0 = Vπ 2 ⎜ g m 2 + ⎟ −
                                  ro3                                 ro 2                      ⎝        ro 2 ⎠ ro 2
            Vπ 2               −Vgs 3 − ( −Vπ 2 )            ( −Vπ 2 )
(3)              + g m 2Vπ 2 +                    = g m1Vi +
            rπ 2                      ro 2                      ro1
                                Vgs 3
From (2), Vπ 2 =
                             ⎛         1 ⎞
                        ro 2 ⎜ g m 2 + ⎟
                             ⎝        ro 2 ⎠
Then
                 ⎛ 1             1    1⎞           Vgs 3
(3)         Vπ 2 ⎜      + gm2 +     + ⎟ = g m1Vi +
                 ⎝ rπ 2         ro 2 ro1 ⎠          ro 2
or
Vgs 3           ⎡ 1          1    1⎤           Vgs 3
                      ⎢ + gm2 +       + ⎥ = g m1Vi +
     ⎛          1 ⎞ r
ro 2 ⎜ g m 2 + ⎟ ⎣ π 2
                                  ro 2 ro1 ⎦          ro 2
     ⎝         ro 2 ⎠
              Vgs 3           ⎡ 1              1        1 ⎤              Vgs 3
        ⎛                1 ⎞⎣ ⎢104 + 0.9615 + 2000 + 2000 ⎥ = 0.9615Vi + 2000
2000 ⎜ 0.9615 +                                            ⎦
                            ⎟
        ⎝              2000 ⎠
Then Vgs 3 = 1.83 × 105 Vi
          ⎛         1 ⎞      −V               ⎛          1 ⎞
                                                             ⎟ (1.83 ×10 ) Vi
                                                                        5
From (1), ⎜ g m 3 + ⎟ Vgs 3 = o or Vo = −2000 ⎜ 0.158 +
          ⎝        ro 3 ⎠    ro3              ⎝         2000 ⎠
    V
Av = o = −5.80 × 107
    Vi




To find Ro
                                   Vx − ( −Vgs 3 )
(1)           I x = g m 3Vgs 3 +
                                          ro3
                             Vx − ( −Vgs 3 )                    −Vgs 3 − ( −Vπ 2 )
(2)           g m 3Vgs 3 +                      = g m 2Vπ 2 +
                                   ro 3                                ro 2
(3)       Vπ 2 = − I x ( ro1 rπ 2 )
                      ⎛         1 ⎞ V
From (1) I x = Vgs 3 ⎜ g m 3 + ⎟ + x
                      ⎝        ro 3 ⎠ ro3
            ⎛           1 ⎞ Vx
I x = Vgs 3 ⎜ 0.158 +        ⎟+
            ⎝         2000 ⎠ 2000
                   V
              Ix − x
So Vgs 3 =        2000
               0.1585
From (2),
      ⎡          1     1 ⎤ V           ⎛       1 ⎞
Vgs 3 ⎢ g m 3 +      + ⎥ + x = Vπ 2 ⎜ g m 2 + ⎟
      ⎣         ro 3 ro 2 ⎦ ro 3       ⎝      ro 2 ⎠
      ⎡              1      1 ⎤ Vx               ⎛           1 ⎞
Vgs 3 ⎢ 0.158 +          +       ⎥ + 2000 = Vπ 2 ⎜ 0.9615 + 2000 ⎟
      ⎣             2000 2000 ⎦                  ⎝               ⎠
     ⎡ I − Vx / 2000 ⎤              Vx
Then ⎢ x             ⎥ ( 0.159 ) + 2000 = − I x ( 2000 104 ) ( 0.962 )
     ⎣ 0.1585 ⎦
             V
We find Ro = x = 6.09 × 1010 Ω
              Ix

11.82
Assume emitter of Q1 is capacitively coupled to signal ground.
            ⎛ 80 ⎞
I CQ = 0.2 ⎜ ⎟ = 0.1975 mA
            ⎝ 81 ⎠
        0.2
I DQ =       = 0.00247 mA
         81
      (80 )( 0.026 )
rπ =                 = 10.5 k Ω
          0.1975
             0.1975
g m ( Q1 ) =         = 7.60 mA / V
              0.026
gm ( M1 ) = 2 K n I D = 2     ( 0.2 )( 0.00247 )
g m ( M 1 ) = 0.0445 mA / V




                                                           Vπ
Vi = Vgs + Vπ and Vπ = g m ( M 1 ) Vgs rπ or Vgs =
                                                      g m ( M 1 ) rπ
             ⎛       1              ⎞                    Vi
Then Vi = Vπ ⎜ 1 +
             ⎜ g (M )r              ⎟ or Vπ =
                                    ⎟
             ⎝         1 π          ⎠          ⎛            1     ⎞
                                               ⎜1 +
                   m
                                               ⎜ g (M ) r ⎟       ⎟
                                               ⎝        m     1 π ⎠

                                    V      − g m ( Q1 ) RC
Vo = − g m ( Q1 ) Vπ RC ⇒ Av = o =
                                    Vi ⎛            1        ⎞
                                         ⎜1 +
                                         ⎜ g (M )r ⎟         ⎟
                                         ⎝      m      1 π ⎠

                   − ( 7.60 )( 20 )
Then Av =                               ⇒ Av = −48.4
             ⎛              1         ⎞
             ⎜1 +
             ⎜ ( 0.0445 )(10.5 ) ⎟    ⎟
             ⎝                        ⎠
11.83
Using the results from Chapter 4 for the emitter-follower:
            ⎡        rπ 9 + r07 R011 ⎤
            ⎢ rπ 8 +                 ⎥
                          1+ β
 R0 = R4 || ⎢                        ⎥
            ⎢          1+ β          ⎥
            ⎢                        ⎥
            ⎣                        ⎦
        β VT (100 )( 0.026 )
 rπ 8 =      =                   = 2.6 kΩ
        IC8              1
           IC 8        1
 IC 9 ≈           =       = 0.01 mA
           β          100
           (100 )( 0.026 )
  rπ 9 =            = 260 kΩ
           0.01
       V    100
  r07 = A =     = 500 kΩ
       I Q 0.2
           VA 100
 r011 =       =    = 500 kΩ
           I Q 0.2
                                        0.2
R011 = r011 [1 + g m RE ] , g m =
                      ′                      = 7.69
                                       0.026
           (100 ) ( 0.026 )
 rπ 11 =                = 13 kΩ
             0.2
   ′
 RE = 0.2 13 = 0.197 kΩ
R011 = 500 ⎡1 + ( 7.69 )( 0.197 ) ⎤ = 1257 kΩ
           ⎣                      ⎦
Then
          ⎡       260 + 500 1257 ⎤
          ⎢ 2.6 +                ⎥
R0 = 5 || ⎢             101      ⎥
          ⎢          101         ⎥
          ⎢
          ⎣                      ⎥
                                 ⎦
   = 5 0.0863 ⇒ R0 = 0.0848 K ⇒ 84.8 Ω

11.84
 Ri = rπ 1 + (1 + β ) rπ 2
         (100 )( 0.026 )
rπ 2 =                      = 5.2 kΩ
                  0.5
      (100 )( 0.026 ) (100 ) ( 0.026 )
                                   2

rπ 1 =               =                  = 520 kΩ
        ( 0.5 /100 )         0.5
 Ri = 520 + (101)( 5.2 ) ⇒ Ri ≅ 1.05 MΩ
         rπ 3 + 50        (100 )( 0.026 )
 R0 = 5                 , rπ 3 =               = 2.6 kΩ
                  101                   1
            2.6 + 50
 R0 = 5              = 5 0.521 ⇒ R0 = 0.472 kΩ
              101
⎛V                ⎞
V0 = − ⎜ π 3 + g m 3Vπ 3 ⎟ ( 5 )
       ⎝ rπ 3            ⎠
           ⎛1+ β ⎞
V0 = −Vπ 3 ⎜       ⎟ ( 5)                   (1)
           ⎝ rπ 3 ⎠
Vπ 3              (V − V )
     = g m 2Vπ 2 + 0 π 3
rπ 3                 50
                 ⎛ 1    1 ⎞ V
g m 2Vπ 2 = Vπ 3 ⎜     + ⎟− 0               (2)
                 ⎝ rπ 3 50 ⎠ 50
       ⎛V               ⎞
Vπ 2 = ⎜ π 1 + g m1Vπ 1 ⎟ rπ 2
       ⎝ rπ 1           ⎠
                                            (3)
            ⎛ 1+ β ⎞
     = Vπ 1 ⎜      ⎟ rπ 2
            ⎝ rπ 1 ⎠
and
Vin = Vπ 1 + Vπ 2                           (4)
         0.5
gm2 =         = 19.23 mA/V
        0.026
Then
           ⎛ 101 ⎞
V0 = −Vπ 3 ⎜     ⎟ ( 5 ) ⇒ Vπ 3 = −V0 ( 0.005149 )            (1)
           ⎝ 2.6 ⎠
And
                             ⎛ 1    1 ⎞ V
19.23Vπ 2 = −V0 ( 0.005149 ) ⎜    + ⎟− 0
                             ⎝ 2.6 50 ⎠ 50                    (2)
          = −V0 ( 0.02208 )
Or Vπ 2 = −V0 ( 0.001148 )
And
Vπ 1 = Vin − Vπ 2 = Vin + V0 ( 0.001148 )                     (4)
So
                                            ⎛ 101 ⎞
−V0 ( 0.001148 ) = ⎡Vin + V0 ( 0.001148 ) ⎤ ⎜
                   ⎣                      ⎦ 520 ⎟ ( 5.2 )     (3)
                                            ⎝     ⎠
                                                            V0
−V0 ( 0.001148 ) − V0 ( 0.001159 ) = Vin (1.01) ⇒ Av =          = −438
                                                            Vin

11.85
5
I2 =      = 1 mA
        5
          1
VGS 2 =       + 0.8 = 2.21 V
         0.5
     2.21 − ( −5 )
I1 =               = 0.206 mA
         35




V0 = ( g m 2Vgs 2 ) ( R2 r02 )
Vgs 2 = ( g m1Vsg1 ) ( r01 R1 ) − V0 and Vsg1 = −Vin
So Vgs 2 = − ( g m1Vin ) ( r01 R1 ) − V0
Then
V0 = g m 2 ( R2 r02 ) ⎡ − ( g m1Vin ) ( r01 R1 ) − V0 ⎤
                      ⎣                               ⎦
        V0 − g m 2 ( R2 r02 ) g m1 ( r01 R1 )
Av =        =
        Vin       1 + g m 2 ( R2 r02 )
gm2 = 2 Kn2 I D 2 = 2            ( 0.5 )(1) = 1.414 mA / V
g m1 = 2 K p1 I D1 = 2           ( 0.2 )( 0.206 ) = 0.406 mA / V
          1                  1
r01 =             =                      = 485 kΩ
        λ1 I D1       ( 0.01)( 0.206 )
          1           1
r02 =           =           = 100 kΩ
        λ2 I D 2 ( 0.01)(1)
R2 r02 = 5 100 = 4.76 kΩ
R1 r01 = 35 485 = 32.6 kΩ
                  − (1.414 )( 4.76 )( 0.406 )( 32.6 )
Then Av =
                          1 + (1.414 )( 4.76 )
So ⇒ Av = −11.5
Output Resistance—From the results for a source follower in Chapter 6.
      1              1
R0 =      R2 r02 =       5 100
     gm2           1.414
                            = 0.707 4.76
So R0 = 0.616 kΩ

11.86
a.
5
R2 =        ⇒ R2 = 10 kΩ
        0.5
              I D2           0.5
VSG 2 =            − VTP 2 =      + 1 = 2.41 V
              K p2           0.25
        5 − ( −2.41)
R1 =                      ⇒ R1 = 74.1 kΩ
              0.1
b.




V0 = − ( g m 2Vsg 2 ) ( r02 R2 )
Vsg 2 = V0 − ⎡ − ( g m1Vgs1 ) ( r01 R1 ) ⎤ and Vgs1 = Vin
             ⎣                           ⎦
        V0 − ( g m 2 ) ( r02 R2 ) ( g m1 ) ( r01 R1 )
Av =        =
        Vin         1 + ( g m 2 ) ( r02 R2 )
g m1 = 2 K n1 I D1 = 2         ( 0.1)( 0.1) = 0.2 mA / V
gm2 = 2 K p 2 I D 2 = 2         ( 0.25)( 0.5) = 0.707 mA / V
          1                1
r01 =             =                   = 1000 kΩ
        λ1 I D1       ( 0.01)( 0.1)
          1            1
r02 =           =               = 200 kΩ
        λ2 I D 2 ( 0.01)( 0.5 )
r02 R2 = 200 10 = 9.52 kΩ
r01 R1 = 1000 74.1 = 69.0 kΩ
                  − ( 0.707 )( 9.52 )( 0.2 )( 69 )
Then Av =
                        1 + ( 0.707 )( 9.52 )
So ⇒ Av = −12.0
         1             1
R0 =        R2 r02 =       10 200
        gm2          0.707
     = 1.414 9.52
Or R0 = 1.23 kΩ

11.87
a.
I C 2 = 0.25 mA
      5−2
R=          ⇒ R = 12 kΩ
       0.25
        v − VBE ( on )         2 − 0.7
I C 3 = 02             ⇒ RE1 =         ⇒ RE1 = 2.6 kΩ
             RE1                 0.5
        5 − v03 5 − 3
RC =           =      ⇒ RC = 4 kΩ
          IC 3   0.5
       ⎡ v03 − VBE ( on ) ⎤ − ( −5 )
IC 4 = ⎣                  ⎦
                  RE 2
          3 − 0.7 + 5
RE 2 =                ⇒ RE 2 = 2.43 kΩ
               3
b.           Input resistance to base of Q3,
         Ri 3 = rπ 3 + (1 + β ) RE1
                   (100 )( 0.026 )
          rπ 3 =               = 5.2 kΩ
                      0.5
         Ri 3 = 5.2 + (101)( 2.6 ) = 267.8 kΩ
                v      1
         Ad 1 = 02 = g m 2 ( R Ri 3 )
                vd 2
          0.25
         gm2 =   = 9.62 mA/V
         0.026
         1
   Ad 1 = ( 9.62 ) (12 267.8 ) ⇒ Ad 1 = 55.2
         2
    v      − β ( RC Ri 4 )
Now 03 =
    v02 rπ 3 + (1 + β ) RE1
where Ri 4 = rπ 4 + (1 + β ) RE 2
       v0      (1 + β ) RE 2
and       =
       v03 rπ 4 + (1 + β ) RE 2
         (100 )( 0.026 )
rπ 4 =            = 0.867 kΩ
          3
v0      (101)( 2.43)
   =                     = 0.9965
v03 0.867 + (101)( 2.43)
Ri 4 = 0.867 + (101)( 2.43) = 246.3 kΩ
rπ 3 = 5.2 kΩ
      v03 − (100 ) ( 4 246.3)
So        =                    = −1.47
      v02   5.2 + (101)( 2.6 )
            v0
So Ad =         = ( 55.2 )( 0.9965 )( −1.47 ) ⇒ Ad = −80.9
            vd
c.          Using Equation (11.32b)
           − g m 2 ( R Ri 3 )
Acm1 =
               2 (1 + β ) R0
          1+
                    rπ 2
         (100 )( 0.026 )
rπ 2 =                 = 10.4 kΩ
           0.25
       − ( 9.62 ) (12 267.8 )
Acm1 =                          = −0.0569 = Acm1
             2 (101)(100 )
        1+
                   10.4
             ⎛ v0 ⎞⎛ v03 ⎞
Then Acm = ⎜ ⎟⎜           ⎟ ⋅ Acm1
             ⎝ v03 ⎠⎝ v02 ⎠
= ( 0.9965 )( −1.47 )( −0.0569 ) ⇒ Acm = 0.08335
                    ⎛ 80.9 ⎞
C M RRdB = 20 log10 ⎜         ⎟ ⇒ C M RRdB = 59.7 dB
                    ⎝ 0.08335 ⎠

11.88
a.
         10 − v01 10 − 2
RC1 =            =       ⇒ RC1 = 80 kΩ
           I C1    0.1
         10 − v04 10 − 6
RC 2 =           =       ⇒ RC 2 = 20 kΩ
           IC 4    0.2
b.
                  v01 − v02
         Ad 1 =             = − g m1 ( RC1 rπ 3 )
                     vd
                  0.1
         g m1 =         = 3.846 mA/V
                0.026
                (180 )( 0.026 )
         rπ 3 =                  = 23.4 kΩ
                       0.2
         Ad 1 = − ( 3.846 ) ( 80 23.4 ) ⇒ Ad 1 = −69.6
                     v04    1
         Ad 2 =            = g m 4 RC 2
                  v01 − v02 2
            0.2
       gm4 =      = 7.692 mA/V
          0.026
          1
    Ad 2 = ( 7.692 )( 20 ) = 76.9
          2
Then Ad = ( 76.9 )( −69.6 ) ⇒ Ad = −5352

11.89
a.        Neglect the effect of r0 in determining the differential-mode gain.
       v02 1
Ad 1 =     = g m 2 ( RC Ri 3 ) where Ri 3 = rπ 3 + (1 + β ) RE
       vd 2
               − β RC 2
A2 =
         rπ 3 + (1 + β ) RE
       12 − 0.7 − ( −12 )         23.3
I1 =                          =        = 1.94 mA ≈ I C 5
                  R1               12
         1
           ⋅ (1.94 )
gm2 = 2              = 37.3 mA/V
           0.026
       ( 200 )( 0.026 )
rπ 3 =
               IC 3
            1
v02 = 12 −    (1.94 )(8) = 4.24 V
            2
        4.24 − 0.7
IC 3 =              = 1.07 mA
           3.3
       ( 200 )( 0.026 )
rπ 3 =                  = 4.86 kΩ
            1.07
Ri 3 = 4.86 + ( 201)( 3.3) = 668 kΩ
          1
Ad 1 =      ( 37.3) ⎣8 668⎦ = 147.4
                    ⎡     ⎤
          2
Then
Ad = Ad 1 ⋅ A2 = (147.4 )( −1.197 ) ⇒ Ad = −176
                  VA     80
R0 = r05 =             =     = 41.2 kΩ
                  I C 5 1.94
           − g m 2 ( RC Ri 3 )
Acm1 =
               2 (1 + β ) R0
          1+
                    rπ 2
         ( 200 )( 0.026 )
rπ 2 =                       = 5.36 kΩ
            1
              ⋅ (1.94 )
            2
− ( 37.3) ( 8 668 )
Acm1 =                             = −0.09539
         2 ( 201)( 41.2 )
      1+
               5.36
A2 = −1.197
Acm = ( −0.09539 )( −1.197 ) ⇒ Acm = 0.114

b.
 vd = v1 − v2 = 2.015sin ω t − 1.985sin ω t
 vd = 0.03sin ω t ( V )
       v +v
vcm = 1 2 = 2.0sin ω t
          2
 v03 = Ad vd + Acm vcm
     = ( −176 )( 0.03) + ( 0.114 )( 2 )
Or v03 = −5.052sin ω t
Ideal, Acm = 0
So
v03 = Ad vd = ( −176 )( 0.03)
v03 = −5.28sin ω t
c.
Rid = 2rπ 2 = 2 ( 5.36 ) ⇒ Rid = 10.72 kΩ
2 Ricm ≅ 2 (1 + β ) R0 (1 + β ) r0
      VA          80
r0 =        =             = 82.5 kΩ
      IC 2    1
                ⋅ (1.94 )
              2
2 Ricm = ⎡ 2 ( 201)( 41.2 ) ⎤ ⎡( 201)( 82.5 ) ⎤
           ⎣                ⎦ ⎣               ⎦
       = 16.6 MΩ 16.6 MΩ
So ⇒ Ricm = 4.15 MΩ

11.90
a.
     24 − VGS 4
                = kn (VGS 4 − VTh )
                                    2
I1 =
        R1
24 − VGS 4 = ( 55 )( 0.2 )(VGS 4 − 2 )
                                          2


24 − VGS 4 = 11 (VGS 4 − 4VGS 4 + 4 )
                   2


    2
11VGS 4 − 43VGS 4 + 20 = 0

                 ( 43)       − 4 (11)( 20 )
                         2
          43 ±
VGS 4 =                                       = 3.37 V
                     2 (11)
     24 − 3.37
I1 =               = 0.375 mA = I Q
         55
            ⎛ 0.375 ⎞
v02 = 12 − ⎜          ⎟ ( 40 ) = 4.5 V
            ⎝ 2 ⎠
v02 − VGS 3
             = I D 3 = kn (VGS 3 − VTh )
                                         2

    R5
4.5 − VGS 3 = ( 0.2 ) ( 6 ) (VGS 3 − 4VGS 3 + 4 )
                               2


     2
1.2VGS 3 − 3.8VGS 3 + 0.3 = 0

                   ( 3.8)       − 4 (1.2 ) ( 0.3)
                            2
          3.8 ±
VGS 3 =                                             = 3.09 V
                       2 (1.2 )
         4.5 − 3.09
I D3 =              = 0.235 mA
             6

                                   ( 0.2 ) ⎛
                                               0.375 ⎞
  gm2 = 2 Kn I D2 = 2                      ⎜         ⎟
                                          ⎝      2 ⎠
          = 0.387 mA/V
         1            1
   Ad 1 =   g m 2 RD = ( 0.387 )( 40 ) ⇒ Ad 1 = 7.74
         2            2
         − g m 3 RD 2
    A2 =
         1 + g m 3 R5
   g m3 = 2 K n I D3 = 2           ( 0.2 )( 0.235 )
          = 0.434 mA/V
             − ( 0.434 ) ( 4 )
    A2 =                           = −0.482
            1 + ( 0.434 )( 6 )
So Ad = Ad 1 ⋅ A2 = ( 7.74 ) ( −0.482 ) ⇒ Ad = −3.73
                   1            1
    R0 = r05 =         =                  = 133 kΩ
                  λ I Q ( 0.02 )( 0.375 )
              − g m 2 RD      − ( 0.387 ) ( 40 )
  Acm1 =                  =
            1 + 2 g m 2 R0 1 + 2 ( 0.387 ) (133)
          = −0.149
   Acm = ( −0.149 )( −0.482 ) ⇒ Acm = 0.0718
b.
 vd = v1 − v2 = 0.3sin ω t
       v +v
vcm = 1 2 = 2sin ω t
          2
 v03 = Ad vd + Acm vcm
     = ( −3.73)( 0.3) + ( 0.0718 )( 2 ) ⇒ v03 = −0.975sin ω t ( V )
Ideal, Acm = 0
v03 = Ad vd = ( −3.73)( 0.3)
Or
 ⇒ v03 = −1.12sin ω t ( V )

11.91
The low-frequency, one-sided differential gain is
v02 1        ⎛ r       ⎞
Av 2 =       = g m RC ⎜ π ⎟
         vd 2         ⎝ rπ + RB ⎠
         1
           ⋅ β RC
       = 2
         rπ + RB
            (100 )( 0.026 )
     rπ =                     = 5.2 kΩ
                 0.5
       1
         ⋅ (100 )(10 )
Av 2 = 2               ⇒ Av 2 = 87.7
         5.2 + 0.5
CM = Cμ (1 + g m RC )
      0.5
 gm =        = 19.23 mA/V
     0.026
CM = 2 ⎡1 + (19.23)(10 ) ⎤ ⇒ CM = 387 pF
       ⎣                 ⎦
                    1
 fH =
         2π ⎡ rπ RB ⎤ ( Cπ + CM )
            ⎣       ⎦
                            1
       =                                         So ⇒ f H = 883 kHz
         2π ⎣5.2 0.5⎦ × 10 × ( 8 + 387 ) × 10−12
            ⎡         ⎤     3




11.92
                                                 1                  1
a.            From Equation (11.117), f Z =           =
                                              2π R0 C0 2π ( 5 × 106 )( 0.8 × 10−12 )
Or f Z = 39.8 kHz
b.         From Problem 11.69, f H = 883 kHz. From Equation (11.116(b)), the low-frequency
common- mode gain is
                  − g m RC
 Acm =
        ⎡⎛ RB ⎞ 2 (1 + β ) R0 ⎤
        ⎢⎜ 1 +    ⎟+          ⎥
        ⎣⎝     rπ ⎠        rπ ⎦
   rπ = 5.2 kΩ, g m = 19.23 mA/V
So
                     − (19.23)(10 )
Acm =
         ⎡⎛ 0.5 ⎞ 2 (101) ( 5 × 106 ) ⎤
         ⎢⎜ 1 +     ⎟+                ⎥
         ⎢⎝ 5.2 ⎠      5.2 × 103      ⎥
         ⎣                            ⎦
                   −4
       = −9.9 × 10
                    ⎛ 87.7 ⎞
C M RRdB = 20 log10 ⎜         −4 ⎟
                                   = 98.9 dB
                    ⎝ 9.9 × 10 ⎠
11.93
                                                      gm
a.         From Equation (7.72), fT =
                                             2π ( Cπ + Cμ )
       1
gm =        = 38.46 mA/V
     0.026
                  38.46 × 10−3
Then 800 × 106 =
                 2π ( Cπ + Cμ )
Or Cπ + Cμ = 7.65 × 10−12 F = 7.65 pF
And Cπ = 6.65 pF
CM = Cμ (1 + g m RC ) = 1 ⎡1 + ( 38.46 )(10 ) ⎤
                          ⎣                   ⎦
                       = 386 pF
                 1
fH =
     2π ⎡ rπ RB ⎤ ( Cπ + CM )
        ⎣        ⎦
        (120 )( 0.026 )
 rπ =                     = 3.12 kΩ
              1
                        1
 fH =
      2π ⎡3.12 1⎤ × 10 × ( 6.65 + 386 ) × 10−12
         ⎣      ⎦
                           3


Or f H = 535 kHz
                                                   1               1
b.         From Equation (11.140), f Z =                =
                                                2π R0 C0 2π (10 × 106 )(10−12 )
Or f Z = 15.9 kHz

11.94
The differential-mode half circuit is:




           ⎛v ⎞                       ⎛1⎞
       g m ⎜ d ⎟ RC                   ⎜ ⎟ β RC
v02 =      ⎝ 2⎠       or Av =         ⎝ 2⎠
         ⎛1+ β ⎞              rπ      + (1 + β ) RE
      1+ ⎜       ⎟ RE
         ⎝   rπ ⎠
        (100 )( 0.026 )
 rπ =                     = 5.2 kΩ
             0.5
      ⎛1⎞
      ⎜ ⎟ (100 )(10 )     500
 Av = ⎝ ⎠
       2
                      =
      5.2 + (101) RE 5.2 + (101) RE
a.   For RE = 0.1 kΩ : Av = 32.7
b.   For RE = 0.25 kΩ : Av = 16.4

Ch11s

  • 1.
    Chapter 11 Problem Solutions 11.1 (a) −0.7 − ( −3) = 0.1 ⇒ RE = 23 K RE 3 − 1.5 = 0.05 ⇒ RC = 30 K RC (b) vCE 2 = 6 − iC 2 ( RC + 2 RE ) = 6 − iC 2 ( 76 ) (c) vcm ( max ) ⇒ vCB 2 = 0 ⇒ vCE 2 = 0.7 V So 0.7 = 6 − iC 2 ( 76 ) ⇒ iC 2 = 69.74 μ A ( v ( max ) − 0.7 ) − ( −3) = 2 CM ( 0.06974 ) ⇒ vCM ( max ) = 0.908 V 23 vCM ( min ) ⇒ VS = −3 V ⇒ vCM ( min ) = −2.3 V 11.2 Ad = 180, C M RRdB = 85 dB Ad 180 C M RR = 17, 783 = = ⇒ Acm = 0.01012 Acm Acm Assume the common-mode gain is negative. v0 = Ad vd + Acm vcm = 180vd − 0.01012vcm v0 = 180 ( 2sin ω t ) mV − ( 0.01012 )( 2sin ω t ) V v0 = 0.36sin ω t − 0.02024sin ω t Ideal Output: v0 = 0.360sin ω t ( V ) Actual Output: v0 = 0.340sin ω t ( V ) 11.3 a.
  • 2.
    10 − 2( 0.7 ) I1 = ⇒ I1 = 1.01 mA 8.5 I1 1.01 IC 2 = = ⇒ I C 2 ≅ 1.01 mA 2 2 1+ 1+ β (1 + β ) (100 )(101) ⎛ 100 ⎞ ⎛ 1.01 ⎞ IC 4 = ⎜ ⎟⎜ ⎟ ⇒ I C 4 ≅ 0.50 mA ⎝ 101 ⎠ ⎝ 2 ⎠ VCE 2 = ( 0 − 0.7 ) − ( −5 ) ⇒ VCE 2 = 4.3 V VCE 4 = ⎡5 − ( 0.5 )( 2 ) ⎤ − ( −0.7 ) ⇒ VCE 4 = 4.7 V ⎣ ⎦ b. For VCE 4 = 2.5 V ⇒ VC 4 = −0.7 + 2.5 = 1.8 V 5 − 1.8 IC 4 = ⇒ I C 4 = 1.6 mA 2 ⎛ 1+ β ⎞ ⎛ 101 ⎞ IC 2 + ⎜ ⎟ ( 2IC 4 ) = ⎜ ⎟ ( 2 )(1.6 ) ⇒ I C 2 = 3.23 mA ⎝ β ⎠ ⎝ 100 ⎠ I1 ≈ I C 2 = 3.23 mA 10 − 2 ( 0.7 ) R1 = ⇒ R1 = 2.66 kΩ 3.23 11.4 a. Neglecting base currents 30 − 0.7 I1 = I 3 = 400 μ A ⇒ R1 = ⇒ R1 = 73.25 kΩ 0.4 VCE1 = 10 V ⇒ VC1 = 9.3 V 15 − 9.3 RC = ⇒ RC = 28.5 kΩ 0.2 b. (100 )( 0.026 ) rπ = = 13 kΩ 0.2 50 r0 ( Q3 ) = = 125 kΩ 0.4 We have β RC (100 )( 28.5) Ad = = ⇒ Ad = 62 2 ( rπ + RB ) 2 (13 + 10 ) ⎧ ⎫ ⎪ ⎪ β RC ⎪ 1 ⎪ Acm = − ⎨ ⎬ rπ + RB ⎪ 2r0 (1 + β ) ⎪ 1+ ⎪ ⎩ rπ + RB ⎪ ⎭ ⎧ ⎫ (100 )( 28.5 ) ⎪ ⎪ 1 ⎪ ⎪ =− ⎨ ⎬ ⇒ Acm = −0.113 13 + 10 ⎪ 2 (125 )(101) ⎪ 1+ ⎪ ⎩ ⎪ 13 + 10 ⎭ ⎛ 62 ⎞ C M RRdB = 20 log10 ⎜ ⎟ ⇒ C M RRdB = 54.8 dB ⎝ 0.113 ⎠ c.
  • 3.
    Rid = 2( rπ + RB ) = 2 (13 + 10 ) ⇒ Rid = 46 kΩ 1 Ricm = ⎡ rπ + RB + 2 (1 + β ) r0 ⎤ 2⎣ ⎦ 1 = ⎡13 + 10 + 2 (101)(125 ) ⎤ ⇒ Ricm = 12.6 MΩ 2⎣ ⎦ 11.5 IQ ( 0.5) (a) vCM ( max ) ⇒ VCB = 0 so that vCM ( max ) = 5 − ( RC ) = 5 − (8) 2 2 vCM ( max ) = 3 V (b) Vd ⎛ I CQ ⎞ Vd ⎛ 0.25 ⎞ ⎛ 0.018 ⎞ ΔI = g m ⋅ =⎜ ⎟⋅ =⎜ ⎟⎜ ⎟ = 0.08654 mA 2 ⎝ VT ⎠ 2 ⎝ 0.026 ⎠ ⎝ 2 ⎠ ΔVC 2 = ΔI ⋅ RC = ( 0.08654 ) ( 8 ) = 0.692 V (c) ⎛ 0.25 ⎞ ⎛ 0.010 ⎞ ΔI = ⎜ ⎟⎜ ⎟ = 0.04808 mA ⎝ 0.026 ⎠ ⎝ 2 ⎠ ΔVC 2 = ( 0.04808 )( 8 ) = 0.385 V 11.6 P = ( I1 + I C 4 ) (V + − V − ) I1 ≅ I C 4 so 1.2 = 2 I1 ( 6 ) ⇒ I1 = I C 4 = 0.1 mA 3 − 0.7 − ( −3) R1 = ⇒ R1 = 53 k Ω 0.1 3 −1 For vCM = +1V ⇒ VC1 = VC 2 = 1 V ⇒ RC = ⇒ RC = 40 k Ω 0.05 One-sided output 1 0.05 Ad = g m RC where g m = = 1.923 mA / V 2 0.026 Then 1 Ad = (1.923)( 40 ) ⇒ Ad = 38.5 2 11.7 a. IE 0 = 0.7 + ( 2 ) + I E (85) − 5 2 5 − 0.7 IE = ⇒ I E = 0.050 mA 85 + 1 ⎛ β ⎞ ⎛ I E ⎞ ⎛ 100 ⎞⎛ 0.050 ⎞ I C1 = I C 2 = ⎜ ⎟⎜ ⎟ = ⎜ ⎟⎜ ⎟ ⎝ 1 + β ⎠ ⎝ 2 ⎠ ⎝ 101 ⎠⎝ 2 ⎠ Or I C1 = I C 2 = 0.0248 mA VCE1 = VCE 2 = ⎡5 − I C1 (100 ) ⎤ − ( −0.7 ) ⎣ ⎦ So VCE1 = VCE 2 = 3.22 V b. vcm ( max ) for VCB = 0 and VC = 5 − I C1 (100 ) = 2.52 V So vcm ( max ) = 2.52 V vcm ( min ) for Q1 and Q2 at the edge of cutoff ⇒ vcm ( min ) = −4.3 V (c) Differential-mode half circuits
  • 4.
    vd ⎛V ⎞ − ′ = Vπ + ⎜ π + g mVπ ⎟ .RE 2 ⎝ rπ ⎠ ⎡ (1 + β ) ⎤ = Vπ ⎢1 + ′ RE ⎥ ⎣ rπ ⎦ Then − ( vd / 2 ) Vπ = ⎡ (1 + β ) ⎤ ⎢1 + ′ RE ⎥ ⎣ rπ ⎦ 1 β RC vo = − g mVπ RC ⇒ Ad = ⋅ 2 rπ + (1 + β ) RE ′ β VT (100 )( 0.026 ) ′ rπ = = = 105 k Ω RE = 2 k Ω I CQ 0.0248 Then 1 (100 )(100 ) Ad = ⋅ ⇒ Ad = 16.3 2 105 + (101)( 2 ) 11.8 a. For v1 = v2 = 0 and neglecting base currents −0.7 − ( −10 ) RE = ⇒ RE = 62 kΩ 0.15 b. v02 β RC Ad = = vd 2 ( rπ + RB ) β VT (100 )( 0.026 ) rπ = = = 34.7 kΩ I CQ 0.075 (100 )( 50 ) Ad = ⇒ Ad = 71.0 2 ( 34.7 + 0.5 ) ⎡ ⎤ ⎢ ⎥ β RC ⎢ 1 ⎥ Acm = − rπ + RB ⎢ 2 RE (1 + β ) ⎥ ⎢1 + ⎥ ⎢ ⎣ rπ + RB ⎥ ⎦ ⎡ ⎤ (100 )( 50 ) ⎢ 1 ⎥ =− ⎢ ⎥ ⇒ Acm = −0.398 34.7 + 0.5 ⎢ 2 ( 62 )(101) ⎥ ⎢1 + 34.7 + 0.5 ⎥ ⎣ ⎦ 71.0 C M RRdB = 20 log10 ⇒ C M RRdB = 45.0 dB 0.398 c. Rid = 2 ( rπ + RB ) Rid = 2 ( 34.7 + 0.5 ) ⇒ Rid = 70.4 kΩ Common-mode input resistance 1 Ricm = ⎡ rπ + RB + 2 (1 + β ) RE ⎤ 2⎣ ⎦ 1 = ⎡34.7 + 0.5 + 2 (101)( 62 ) ⎤ ⇒ Ricm = 6.28 MΩ 2⎣ ⎦ 11.9
  • 5.
    (a) v1 =v2 = 1 V ⇒ VE = 1.6 9 − 1.6 IE = ⇒ 18.97 μ A 390 IE = 9.49 μ A I C1 = I C 2 = 9.39 μ A 2 vC1 = vC 2 = ( 9.39 )( 0.51) − 9 = −4.21 V (b) 9.39 gm = ⇒ 0.361 mA/V 0.026 ΔI = g m d = ( 0.361× 10−3 ) ( 0.005 ) = 1.805 μ A V 2 ΔvC = (1.805 × 10−6 )( 510 × 103 ) = 0.921 V ⇒ vC 2 = −4.21 + 0.921 ⇒ −3.29 V vC1 = −4.21 − 0.921 ⇒ −5.13 V 11.10 (a) v1 = v2 = 0 I E1 = I E 2 ≅ 6 μ A β = 60 I C1 = I C 2 = 5.90 μ A vC1 = vC 2 = ( 5.90 )( 0.360 ) − 3 = −0.875 V VEC1 = VEC 2 = +0.6 − ( −0.875 ) = 1.475 V (b) (i) 5.90 gm = ⇒ 0.227 mA/V 0.026 Ad = g m RC = ( 0.227 )( 360 ) = 81.7 Acm = 0 (ii) g R ( 60 )( 0.026 ) Ad = m C = 40.8 rπ = 2 0.0059 = 264 K − ( 0.227 )( 360 ) Acm = = −0.0442 2 ( 61)( 4000 ) 1+ 264 11.11
  • 6.
    For v1 =v2 = 0.20 V I C1 = I C 2 = 0.1 mA vC1 = vC 2 = ( 0.1)( 30 ) − 10 = −7 V 0.1 gm = = 3.846 mA/V 0.026 v ΔI = g m d = ( 3.846 )( 0.008 ) ⇒ 30.77 μ A 2 ΔvC = ΔI ⋅ RC = ( 30.77 × 10−6 )( 30 × 103 ) = 0.923 V v2 ↑⇒ I C 2 ↓⇒ vC 2 ↓⇒ vC1 = −7 + 0.923 = −6.077 V vC 2 = −7 − 0.923 = −7.923 V 11.12 RC = 50 K For v1 = v2 = 0 −0.7 − ( −10 ) IE = 75 = 0.124 mA I C1 = I C 2 = 0.0615 mA 0.0615 gm = = 2.365 mA/V 0.026 (120 )( 0.026 ) rπ = = 50.7 K 0.0615 Differential Input v V v1 = d v2 = − d 2 2 Half-circuit. V ⎛ ΔR ⎞ ΔI = + g m d ⇒ ΔvC1 = −ΔI ⎜ RC + ⎟ 2 ⎝ 2 ⎠ ⎛ ΔR ⎞ ΔvC 2 = +ΔI ⎜ RC − ⎟ ⎝ 2 ⎠ ⎛ ΔR ⎞ ⎛ ΔR ⎞ vo = ΔvC1 − ΔvC 2 = −ΔI ⎜ RC + ⎟ − ΔI ⎜ RC − ⎟ ⎝ 2 ⎠ ⎝ 2 ⎠ = −2ΔIRC ⎛ V ⎞ = −2 ⎜ g m d ⎟ RC ⎝ 2⎠ Ad = − g m RC = − ( 2.365 )( 50 ) = −118.25 Common-mode input.
  • 7.
    ⎛V ⎞ vcm = Vπ + ⎜ π + g mVπ ⎟ ( 2 RE ) ⎝ rπ ⎠ vcm Vπ = ⎛ β⎞ 1 + ⎜ 1 + ⎟ ( 2 RE ) ⎝ rπ ⎠ g m vcm β vcm ΔI = g mVπ = = ⎛1+ β ⎞ rπ + (1 + β )( 2 RE ) 1+ ⎜ ⎟ ( 2 RE ) ⎝ rπ ⎠ ⎛ ΔR ⎞ − β ⎜ RC + ⎟ ⋅ vcm ΔvC1 = −ΔIR1 = ⎝ 2 ⎠ rπ + (1 + β )( 2 RE ) ⎛ ΔR ⎞ − β ⎜ RC − ⎟ vcm ⎝ 2 ⎠ ΔvC 2 = −ΔIR2 = rπ + (1 + β )( 2 RE ) ⎛ ΔR ⎞ ⎛ ΔR ⎞ − β ⎜ RC + ⎟ vcm + β ⎜ RC − ⎟ vcm vo = ΔvC1 − ΔvC 2 = ⎝ 2 ⎠ ⎝ 2 ⎠ [ ] [ ] ⎛ ΔR ⎞ −2 β ⎜ ⎟ vcm = ⎝ 2 ⎠ rπ + (1 + β )( 2 RE ) − βΔR − (120 )( 0.5 ) Acm = = rπ + (1 + β )( 2 RE ) 50.7 + (121)( 2 )( 75 ) = −0.0032966 118.25 C M RR = = 35,870.5 0.0032966 C M R R ∫ = 91.1 dB dB 11.13 v1 = v2 = 0 −0.7 − ( −10 ) IE = 75 = 0.124 mA I C1 = I C 2 = 0.0615 mA 0.0615 gm = = 2.365 mA/V 0.026 Δg m = 0.01 gm g m1 = 2.377 mA/V g m 2 = 2.353 mA/V (120 )( 0.026 ) rπ = = 50.7 K 0.0615
  • 8.
    Vd ΔI= g m 2 V ΔvC1 = − g m1 d Rc 2 Vd ΔvC 2 = + gm2 Rc 2 Vd V vo = ΔvC1 − ΔvC 2 = − g m1 RC − g m 2 d RC 2 2 Vd =− RC ( g m1 + g m 2 ) 2 R −50 Ad = − C ( g m1 + g m 2 ) = ( 2.377 + 2.353) ⇒ Ad = −118.25 2 2 Common-Mode − g m1 RC vcm − g m 2 RC vcm ΔvC1 = ΔvC 2 = ⎛ 1+ β ⎞ ⎛ 1+ β ⎞ 1+ ⎜ ⎟ ( 2 RE ) 1+ ⎜ ⎟ ( 2 RE ) ⎝ rπ ⎠ ⎝ rπ ⎠ vo − ( g m1 − g m 2 ) RC − ( 2.377 − 2.353) ( 50 ) = Acm = = vcm ⎛ 1+ β ⎞ ⎛ 121 ⎞ 1+ ⎜ ⎟ ( 2 RE ) 1+ ⎜ ⎟ ( 2 )( 75 ) ⎝ rπ ⎠ ⎝ 50.7 ⎠ −1.2 = ⇒ Acm = −0.003343 358.99 C M R R ∫ = 91 dB dB 11.14 (a) v1 = v2 = 0 vE = +0.7 V 5 − 0.7 IE = = 4.3 mA 1 I C1 = I C 2 = 2.132 mA vC1 = vC 2 = ( 2.132 )(1) − 5 = −2.87 V (b) v1 = 0.5, v2 = 0 Q2 on Q1 off ⎛ 120 ⎞ I C1 = 0, I C 2 = 4.3 ⎜ ⎟ mA = 4.264 mA ⎝ 121 ⎠ vC1 = −5 V vC 2 = ( 4.264 ) (1) − 5 vC 2 = −0.736 V 2.132 (c) vE ≈ 0.7 V gm == 82.0 mA/V 0.026 v V (82.0 ) ΔI = g m d ΔvC = ΔI ⋅ RC = g m d ⋅ RC = ⋅ Vd (1) = 41.0Vd 2 2 2 Vd = 0.015 ⇒ Δvc = 0.615 V vC 2 ↓ vC1 ↑ vC1 = −2.87 + 0.615 = −2.255 V vC 2 = −2.87 − 0.615 = −3.485 V 11.15
  • 9.
    (a) IC 1 gm = = = 38.46 mA/V VT 0.026 vo 1 Ad = = = 100 vd 0.01 Ad = g m RC 100 = 38.46 RC Rc = 2.6 K (b) With v1 = v2 = 0 vC1 = vC 2 = 10 − (1)( 2.6 ) = 7.4 V ⇒ vcm ( max ) = 7.4 V 11.16 a. i. ( v01 − v02 ) = 0 ii. I C1 = I C 2 = 1 mA v01 − v02 = ⎡V + − I C1 RC1 ⎤ − ⎡V + − I C 2 RC 2 ⎤ ⎣ ⎦ ⎣ ⎦ = I C ( RC 2 − RC1 ) = (1)( 7.9 − 8 ) ⇒ v01 − v02 = −0.1 V b. ⎛v ⎞ I 0 = ( I S 1 + I S 2 ) exp ⎜ BE ⎟ ⎝ VT ⎠ ⎛v ⎞ 2 × 10−3 So exp ⎜ BE ⎟ = −13 −13 ⎝ VT ⎠ 10 + 1.1× 10 = 9.524 × 109 ⎛v ⎞ ⎟ = (10 )( 9.524 × 10 ) ⇒ I C1 = 0.952 mA −13 9 I C1 = I S 1 exp ⎜ BE ⎝ VT ⎠ I C 2 = (1.1× 10−13 )( 9.524 × 109 ) ⇒ I C 2 = 1.048 mA i. v01 − v02 = I C 2 RC 2 − I C1 RC1 ⇒ v01 − v02 = (1.048 − 0.952 )( 8 ) ⇒ v01 − v02 = 0.768 V ii. v01 − v02 = (1.048 )( 7.9 ) − ( 0.952 )( 8 ) v01 − v02 = 8.279 − 7.616 ⇒ v01 − v02 = 0.663 V 11.17 From Equation (11.12(b)) IQ iC 2 = 1 + evd / VT 1 0.90 = 1 + evd / VT 1 So evd / VT = − 1 = 0.111 0.90 vd = VT ln ( 0.111) = ( 0.026 ) ln ( 0.111) ⇒ vd = −0.0571 V 11.18 From Example 11.2, we have
  • 10.
    vd ( max) 1 0.5 + − 4 ( 0.026 ) 1 + e − vd ( max ) / 0.026 = 0.02 v ( max ) 0.5 + d 4 ( 0.026 ) ⎡ v ( max ) ⎤ 1 0.98 ⎢ 0.5 + d ⎥= ⎢ ⎣ 4 ( 0.026 ) ⎥ 1 + e ⎦ − vd ( max ) / 0.026 1 0.490 + 9.423vd ( max ) = − vd ( max ) / 0.026 1+ e By trial and error vd ( max ) = 23.7 mV 11.19 a. For I1 = 1 mA, VBE3 = 0.7 V 20 − 0.7 R1 = ⇒ R1 = 19.3 kΩ 1 V ⎛ I ⎞ 0.026 ⎛ 1 ⎞ R2 = T ⋅ ln ⎜ 1 ⎟ = ⎜I ⎟ ⋅ ln ⎜ ⎟ ⇒ R2 = 0.599 kΩ IQ ⎝ Q⎠ 0.1 ⎝ 0.1 ⎠ b. (180 )( 0.026 ) rπ 4 = = 46.8 kΩ 0.1 0.1 gm = = 3.846 mA/V 0.026 100 r04 = ⇒ 1 MΩ 0.1 From Chapter 10 R0 = r04 ⎡1 + g m ( RE rπ 4 ) ⎤ ⎣ ⎦ RE rπ 4 = 0.599 46.8 = 0.591 R0 = (1) ⎡1 + ( 3.846 )( 0.591) ⎤ = 3.27 MΩ ⎣ ⎦ 100 r01 = ⇒ 2 MΩ 0.05 ⎡ ⎛ r ⎞⎤ Ricm ≅ ⎡(1 + β ) R0 ⎤ ⎢(1 + β ) ⎜ 01 ⎟⎥ ⎣ ⎦ ⎣ ⎝ 2 ⎠⎦ = ⎣(181)( 3.27 ) ⎦ ⎣(181)(1) ⎤ ⎡ ⎤ ⎡ ⎦ = 592 181 ⇒ Ricm = 139 MΩ (c) From Eq. (11.32(b)) − g m RC Acm = 2 (1 + β ) Ro 1+ rπ + RB 0.05 gm = = 1.923 mA / V 0.026 (180 )( 0.026 ) rπ = = 93.6 k Ω 0.05 RB = 0 Then − (1.923)( 50 ) Acm = ⇒ Acm = −0.00760 2 (181)( 3270 ) 1+ 93.6
  • 11.
    11.19 For vCM =3.5 V and a maximum peak-to-peak swing in the output voltage of 2 V, we need the quiescent collector voltage to be VC = 3.5 + 1 = 4.5 V Assume the bias is ±10 V , and I Q = 0.5 mA. Then I C = 0.25 mA 10 − 4.5 Now RC = ⇒ RC = 22 k Ω 0.25 (100 )( 0.026 ) In this case, rπ = = 10.4 k Ω 0.25 Then (100 )( 22 ) Ad = = 101 So gain specification is met. 2 (10.4 + 0.5 ) For CMRRdB = 80 dB ⇒ 1 ⎡ (1 + β ) I Q Ro ⎤ 1 ⎡ (101)( 0.5 ) Ro ⎤ CMRR = 104 = ⎢1 + ⎥ = ⎢1 + ⎥ ⇒ Ro = 1.03 M Ω 2⎣ VT β ⎦ 2 ⎢ ( 0.026 )(100 ) ⎥ ⎣ ⎦ Need to use a Modified Widlar current source. Ro = ro ⎡1 + g m ( RE1 rπ ) ⎤ ⎣ ⎦ 100 If VA = 100V , then ro = = 200 k Ω 0.5 (100 )( 0.026 ) rπ = = 5.2 k Ω 0.5 0.5 gm = = 19.23 mA / V 0.026 Then 1030 = 200 ⎡1 + (19.23)( RE1 rπ ) ⎤ ⇒ RE1 rπ = 0.216 k Ω = RE1 5.2 ⇒ RE1 = 225 Ω ⎣ ⎦ Also let RE 2 = 225 Ω and I REF ≅ 0.5 mA 11.20 −0.7 − ( −10 ) (a) RE = ⇒ RE = 37.2 k Ω 0.25 (b)
  • 12.
    Vπ 1 V V ⎛1+ β ⎞ Ve + g mVπ 1 + π 2 + g mVπ 2 = e or (1) ⎜ ⎟ (Vπ 1 + Vπ 2 ) = rπ rπ RE ⎝ rπ ⎠ RE Vπ 1 V1 − Ve ⎛ r ⎞ = ⇒ Vπ 1 = ⎜ π ⎟ (V1 − Ve ) rπ RB + rπ ⎝ rπ + RB ⎠ Vπ 2 = V2 − Ve Then ⎛1+ β ⎞ ⎡ rπ ⎤ V (1) ⎜ ⎟⎢ (V1 − Ve ) + (V2 − Ve )⎥ = e ⎠ ⎣ rπ + RB ⎝ rπ ⎦ RE From this, we find rπ + RB V1 + ⋅ V2 rπ Ve = ⎡ rπ + RB r + RB ⎤ ⎢ +1+ π ⎥ ⎣ RE (1 + β ) rπ ⎦ Now Vo = − g mVπ 2 RC = − g m RC (V2 − Ve ) We have (120 )( 0.026 ) 0.125 rπ = ≅ 25 k Ω, gm = = 4.81 mA / V 0.125 0.026 (i) Vd V Set V1 = and V2 = − d 2 2 Then ⎛ ⎛ 25 + 0.5 ⎞ ⎞ Vd Vd ⎜ 1 − ⎜ 25 ⎟ ⎟ 2 ( −0.02 ) ⎝ ⎝ ⎠⎠ Ve = = 2 ⎡ 25 + 0.5 25 + 0.5 ⎤ 2.026 ⎢ +1+ ⎥ ⎣ ( 37.2 )(121) 25 ⎦ So Ve = −0.00494Vd Now ⎛ V ⎞ V Vo = − ( 4.81)( 50 ) ⎜ − d − ( −0.00494 )Vd ⎟ ⇒ Ad = o = 119 ⎝ 2 ⎠ Vd (ii) Set V1 = V2 = Vcm Then ⎛ 25 + 0.5 ⎞ Vcm ⎜ 1 + ⎟ ⎝ 25 ⎠ V ( −2.02 ) Ve = = cm ⎡ 25 + 0.5 25 + 0.5 ⎤ 2.02567 ⎢ +1+ ⎥ ⎣ ( 37.2 )(121) 25 ⎦ Ve = Vcm ( 0.9972 ) Then Vo = − ( 4.81)( 50 ) ⎡Vcm − Vcm ( 0.9972 ) ⎤ ⎣ ⎦ Vo or Acm = = −0.673 Vcm 11.21 From Equation (11.18)
  • 13.
    v0 = vC2 − vC1 = g m RC vd I CQ gm = VT For I Q = 2 mA, I CQ = 1 mA 1 Then g m = = 38.46 mA/V 0.026 Now 2 = ( 38.46 ) RC ( 0.015 ) So RC = 3.47 kΩ Now VC = V + − I C RC = 10 − (1)( 3.47 ) = 6.53 V For VCB = 0 ⇒ vcm ( max ) = 6.53 V 11.22 The small-signal equivalent circuit is A KVL equation: v1 = Vπ 1 − Vπ 2 + v2 v1 − v2 = Vπ 1 − Vπ 2 A KCL equation Vπ 1 V + g mVπ 1 + π 2 + g mVπ 2 = 0 rπ rπ ⎛1 ⎞ (Vπ 1 + Vπ 2 ) ⎜ + g m ⎟ = 0 ⇒ Vπ 1 = −Vπ 2 ⎝ rπ ⎠ 1 1 Then v1 − v2 = 2Vπ 1 ⇒ Vπ 1 = ( v1 − v2 ) and Vπ 2 = − ( v1 − v2 ) 2 2 At the v01 node: v01 v01 − v02 + + g mVπ 1 = 0 RC RL ⎛ 1 1 ⎞ ⎛ 1 ⎞ 1 v01 ⎜ + ⎟ − v02 ⎜ ⎟ = g m ( v2 − v1 ) (1) ⎝ RC RL ⎠ ⎝ RL ⎠ 2 At the v02 node: v02 v02 − v01 + + g mVπ 2 = 0 RC RL ⎛ 1 1 ⎞ ⎛ 1 ⎞ 1 v02 ⎜ + ⎟ − v01 ⎜ ⎟ = g m ( v1 − v2 ) (2) ⎝ RC RL ⎠ ⎝ RL ⎠ 2 From (1):
  • 14.
    ⎛ R ⎞1 v02 = v01 ⎜ 1 + L ⎟ − g m RL ( v2 − v1 ) ⎝ RC ⎠ 2 Substituting into (2) ⎛ R ⎞⎛ 1 1 ⎞ 1 ⎛ 1 1 ⎞ ⎛ 1 ⎞ 1 v01 ⎜1 + L ⎟ ⎜ + ⎟ − g m RL ( v2 − v1/ ) ⎜ + ⎟ − v01 ⎜ ⎟ = g m ( v1 − v2 ) ⎝ RC ⎠ ⎝ RC RL ⎠ 2 ⎝ RC RL ⎠ ⎝ RL ⎠ 2 ⎛ 1 RL 1 ⎞ 1 ⎡ ⎛ RL ⎞⎤ v01 ⎜ + 2 + ⎟ = g m ( v1 − v2 ) ⎢1 − ⎜ + 1⎟ ⎥ ⎝ RC RC RC ⎠ 2 ⎣ ⎝ RC ⎠⎦ v01 ⎛ RL ⎞ 1 ⎛ RL ⎞ ⎜2+ ⎟ = − gm ⎜ ⎟ ( v1 − v2 ) RC ⎝ RC ⎠ 2 ⎝ RC ⎠ For v1 − v2 = vd 1 − g m RL v01 Av1 = = 2 vd ⎛ RL ⎞ ⎜2+ ⎟ ⎝ RC ⎠ 1 g m RL v02 From symmetry: Av 2 = = 2 vd ⎛ RL ⎞ ⎜2+ ⎟ ⎝ RC ⎠ v02 − v01 g m RL Then Av = = vd ⎛ RL ⎞ ⎜2+ ⎟ ⎝ RC ⎠ 11.23 The small-signal equivalent circuit is KVL equation: v1 = Vπ 1 − Vπ 2 + v2 or v1 − v2 = Vπ 1 − Vπ 2 KCL equation:
  • 15.
    Vπ 1 V + g mVπ 1 + g mVπ 2 + π 2 = 0 rπ rπ ⎛1 ⎞ (Vπ 1 + Vπ 2 ) ⎜ + g m ⎟ = 0 ⇒ Vπ 1 = −Vπ 2 ⎝ rπ ⎠ 1 Then v1 − v2 = −2Vπ 2 or Vπ 2 = − ( v1 − v2 ) 2 Now v0 = − g mVπ 2 ( RC RL ) 1 = g m ( RC RL )( v1 − v2 ) 2 v0 1 For v1 − v2 ≡ vd ⇒ Ad = = g m ( RC RL ) vd 2 11.23 a. 10 − 7 RD = ⇒ RD = 6 kΩ 0.5 I Q = I D1 + I D 2 ⇒ I Q = 1 mA b. 10 = I D ( 6 ) + VDS − VGS ID and VGS = + VTN Kn 0.5 For I D = 0.5 mA, VGS = + 2 = 3.12 V 0.4 and VDS = 10.12 Load line is actually nonlinear. c. Maximum common-mode voltage when M 1 and M 2 reach the transition point, or VDS ( sat ) = VGS − VTN = 3.12 = 2 = 1.12V Then vcm = v02 − vDS ( sat ) + VGS = 7 − 1.12 + 3.12 Or vcm ( max ) = 9 V Minimum common-mode voltage, voltage across I Q becomes zero. So vcm ( min ) = −10 + 3.12 ⇒ vcm ( min ) = −6.88 V 11.24
  • 16.
    We have VC2 = − g mVπ 2 RC = − g m (Vb 2 − Ve ) RC and VC1 = − g mVπ 1 RC = − g m (Vb1 − Ve ) RC Then V0 = VC 2 − VC1 = − g m (Vb 2 − Ve ) RC − ⎡ − g m (Vb1 − Ve ) RC ⎤ ⎣ ⎦ = g m RC (Vb1 − Vb 2 ) V0 Differential gain Ad = = g m RC Vb1 − Vb 2 Common-mode gain Acm = 0 11.25 (a) vcm = 3 V ⇒ VC1 = VC 2 = 3 V 10 − 3 Then RC = ⇒ RC = 70 k Ω 0.1 (b) CMRRdB = 75 dB ⇒ CMRR = 5623 Now 1 ⎡ (1 + β ) I Q Ro ⎤ CMRR = ⎢1 + ⎥ 2⎣ β VT ⎦ 1 ⎡ (151)( 0.2 ) Ro ⎤ 5623 = ⎢1 + ⎥ ⇒ Ro = 1.45 M Ω 2 ⎢ (150 )( 0.026 ) ⎥ ⎣ ⎦ Use a Widlar current source. Ro = ro [1 + g m RE ] ′ Let VA of current source transistor be 100 V. 100 0.2 Then ro = = 500 k Ω, g m = = 7.69 mA / V 0.2 0.026 (150 )( 0.026 ) rπ = = 19.5 k Ω 0.2 So 1450 = 500 ⎡1 + ( 7.69 ) RE ⎤ ⇒ RE = 0.247 k Ω ⎣ ′⎦ ′ ′ Now RE = RE rπ ⇒ 0.247 = RE 19.5 ⇒ RE = 250Ω ⎛I ⎞ Then I Q RE = VT ln ⎜ REF ⎟ ⎜ I ⎟ ⎝ Q ⎠ ⎛ I REF ⎞ ( 0.2 )( 0.250 ) = ( 0.026 ) ln ⎜ ⎜ ⎟ ⇒ I REF = 1.37 mA ⎟ ⎝ ( 0.2 ) ⎠ 10 − 0.7 − ( −10 ) Then R1 = ⇒ R1 = 14.1 k Ω 1.37 11.26 At terminal A. R (1 + δ ) ⋅ R R (1 + δ ) R RTHA = RA R = = ≅ = 5 kΩ R (1 + δ ) + R 2+δ 2 Variation in RTH is not significant ⎛ RA ⎞ + R (1 + δ )( 5 ) 5 (1 + δ ) VTHA = ⎜ ⎟V = = ⎝ RA + R ⎠ R (1 + δ ) + R 2+δ
  • 17.
    At terminal B. R RTHB = R R = = 5 kΩ 2 ⎛ R ⎞ + VTHB = ⎜ ⎟ V = 2.5 V ⎝R+R⎠ From Eq. (11.27) − β RC (V2 − V1 ) VO = where V2 = VTHB and V1 = VTHA 2 ( rπ + RB ) (120 )( 0.026 ) RB = 5 k Ω, rπ = = 12.5 k Ω 0.25 − (120 )( 3)(V2 − V1 ) So VO = = −10.3 (V2 − V1 ) 2 (12.5 + 5 ) We can find V2 − V1 = VTHB − VTHA ⎡ 5 (1 + δ ) ⎤ VTHB − VTHA = 2.5 − ⎢ ⎥ ⎣ 2+δ ⎦ 2.5 ( 2 + δ ) − 5 (1 + δ ) 2.5δ − 5δ = = 2+δ 2+δ −2.5δ ≅ = −1.25δ 2 Then VO = − (10.3)( −1.25 ) δ = 12.9δ So for −0.01 ≤ δ ≤ 0.01 We have −0.129 ≤ VO 2 ≤ 0.129 V 11.27 a. Rid = 2rπ (180 )( 0.026 ) rπ = = 23.4 kΩ 0.2 So Rid = 46.8 kΩ b. Assuming rμ → ∞, then Ricm ≅ ⎡(1 + β ) R0 ⎤ ⎣ ⎦ Ricm = ⎡(181)(1) ⎤ ⎣ ⎦ = 181 ⇒ Ricm = 181 MΩ 11.28 (a) 10 − 0.7 − ( −10 ) I1 = = 0.5 ⇒ R1 = 38.6 K R1 0.026 ⎛ 0.5 ⎞ R2 = ln ⎜ ⎟ ⇒ R2 = 236 Ω 0.14 ⎝ 0.14 ⎠ (b)
  • 18.
    Ricm ≈ (1+ β ) Ro 0.14 Ro = ro 4 (1 + g m 4 RE ) g m 4 = ′ = 5.385 mA/V 0.026 (180 )( 0.026 ) rπ 4 = = 33.4 K 0.14 ′ RE = 33.4 0.236 = 0.234 K 100 ro 4 = = 714 K 0.14 Ro = 714 ⎡1 + ( 5.385 )( 0.234 ) ⎤ ⎣ ⎦ = 1614 K Ricm = (181)(1614 ) ≈ 292 MΩ (c) − g m1 RC 0.07 Acm = g m1 = = 2.692 mA/V 2 (1 + β ) Ro 0.026 1+ rπ 1 (180 )( 0.026 ) rπ 1 = = 66.86 K 0.07 − ( 2.692 )( 40 ) Acm = 2 (181)(1614 ) 1+ 66.86 Acm = −0.0123 11.29 Ad 1 = g m1 ( R1 rπ 3 ) I Q1 / 2 g m1 = = 19.23I Q1 VT β VT 2 (100 )( 0.026 ) 5.2 rπ 3 = = = IQ2 / 2 IQ 2 IQ 2 g m 3 R2 IQ 2 / 2 Ad 2 = , g m3 = = 19.23I Q 2 2 VT (19.23) I Q 2 Then 30 = ⋅ R2 ⇒ I Q 2 R2 = 3.12 V 2 Maximum vo 2 − vo1 = ±18 mV for linearity vo3 ( max ) = ( ±18 )( 30 ) mV ⇒ ±0.54 V so I Q 2 R2 = 3.12 V is OK. From Ad 1 :
  • 19.
    ⎛ 5.2 ⎞ ⎞ ⎜ R1 ⎜ ⎜I ⎟ ⎟⎟ ⎜ ⎝ Q2 ⎠ ⎟ 20 = 19.23I Q1 ( R1 rπ 3 ) = 19.23I Q1 ⎜ ⎟ ⎜ R + ⎛ 5.2 ⎞ ⎟ ⎜ 1 ⎜ IQ 2 ⎟ ⎟ ⎜ ⎟ ⎝ ⎝ ⎠⎠ 19.23I Q1 R1 ( 5.2 ) 20 = I Q 2 R1 + 5.2 I Q1 Let ⋅ R1 = 5V ⇒ I Q1 R1 = 10 V 2 19.23 (10 )( 5.2 ) Then 20 = ⇒ I Q 2 R1 = 44.8 V I Q 2 R1 + 5.2 10 Now I Q1 R1 = 10 ⇒ R1 = I Q1 ⎛ 10 ⎞ ⎛ IQ2 ⎞ So I Q 2 ⎜ ⎜I ⎟ ⎟ = 44.8 ⇒ ⎜ ⎜I ⎟ ⎟ = 4.48 ⎝ Q1 ⎠ ⎝ Q1 ⎠ Let I Q1 = 100 μ A, I Q 2 = 448 μ A Then I Q 2 R2 = 3.12 ⇒ R2 = 6.96 k Ω I Q1 R1 = 10 ⇒ R1 = 100 k Ω 11.30 a. 20 − VGS 3 = 0.25 (VGS 3 − 2 ) 2 I1 = 50 20 − VGS 3 = 12.5 (VGS 3 − 4VGS 3 + 4 ) 2 2 12.5VGS 3 − 49VGS 3 + 30 = 0 ( 49 ) − 4 (12.5 )( 30 ) 2 49 ± VGS 3 = ⇒ VGS 3 = 3.16 V 2 (12.5 ) 20 − 3.16 I1 = ⇒ I1 = I Q = 0.337 mA 50 IQ I D1 = ⇒ I D1 = 0.168 mA 2 0.168 = 0.25 (VGS 1 − 2 ) ⇒ VGS1 = 2.82 V 2 VDS 4 = −2.82 − ( −10 ) ⇒ VDS 4 = 7.18 V VD1 = 10 − ( 0.168 )( 24 ) = 5.97 V VDS1 = 5.97 − ( −2.82 ) ⇒ VDS 1 = 8.79 V (b) (c)
  • 20.
    Max vCM ⇒VDS 1 = VDS 2 = VDS ( sat ) = VGS1 − VTN 2.82 − 2 = 0.82 V Now VD1 = 10 − ( 0.168 )( 24 ) = 5.97 V VS ( max ) = 5.97 − VDS1 ( sat ) = 5.97 − 0.82 VS ( max ) = 5.15 V vCM ( max ) = VS ( max ) + VGS1 = 5.15 + 2.82 vCM ( max ) = 7.97 V vCM ( min ) = V − + VDS 4 ( sat ) + VGS 1 VDS 4 ( sat ) = VGS 4 − VTN = 3.16 − 2 = 1.16 V Then vCM ( min ) = −10 + 1.16 + 2.82 ⇒ vCM ( min ) = −6.02 V 11.31 a. I D1 = I D 2 = 120 μ A = 100 ( VGS1 − 1.2 ) ⇒ VGS 1 = VGS 2 = 2.30 V 2 For v1 = v2 = −5.4 V and VDS1 = VDS 2 = 12 V ⇒ −5.4 − 2.30 + 12 = 4.3 V = VD 10 − 4.3 RD = ⇒ RD = 47.5 kΩ 0.12 I Q = I D1 + I D 2 ⇒ I Q = I1 = 240 μ A I1 = 240 = 200 (VGS 3 − 1.2 ) ⇒ VGS 3 = 2.30 V 2 20 − 2.3 R1 = ⇒ R1 = 73.75 kΩ 0.24 b. 1 1 r04 = = = 416.7 kΩ λ IQ ( 0.01)( 0.24 ) 1 5.4 ΔI Q = ⋅ ΔVDS = ⇒ ΔI Q ≅ 13 μ A r04 416.7 11.32 (a) I Q = 160 μ A k′ ⎛ W ⎞ I D = n ⎜ ⎟ (VGS − VTN ) 2 2⎝L⎠ 80 80 = ( 4 )(VOS − 0.5 ) 2 2 80 = 160 (Vo5 − 0.5 ) 2 80 VGS = + 0.5 = 1.207 V 160 5−2 RD = = 37.5 K VDS = 2 − ( −1.207 ) = 3.21 V 0.08 (c) VDS ( sat ) = VGS − VTN = 1.207 − 0.5 = 0.707 V Then VS = VO 2 − VDS ( sat ) = 2 − 0.707 = +1.29 V And v1 = v2 = vcm = VGS + VS = 1.207 + 1.29 vcm = 2.50 V (b)
  • 21.
    11.33 vD =5 − ( 0.2 )( 8 ) = 3.4 V ID VGS = + VTN Kn 0.2 = + 0.8 = 1.694 V 0.25 VDS ( sat ) = VGS − VTN = 1.694 − 0.8 = 0.894 V VS = VD − VDS ( sat ) = 3.4 − 0.894 = 2.506 vCM = VS + VGS = 2.506 + 1.694 ⇒ vCM = 4.2 V (b) Vd ΔvD = ΔI D ⋅ RD ΔI D = g m ⋅ gm = 2 Kn I D 2 =2 ( 0.25)( 0.2 ) = 0.4472 mA/V ΔI D = ( 0.4472 )( 0.05 ) ⇒ 22.36 μ A ΔvD = ( 22.36 × 10−6 )( 8 × 103 ) = 0.179 V vD 2 = 3.4 + ΔvD vD 2 = 3.4 + 0.179 ⇒ vD 2 = 3.58 V (c) vd = −50 mV ΔI D = − ( 0.4472 )( 0.025 ) ⇒ −11.18 μ A ΔvD = − (11.18 × 10−6 )( 8 × 103 ) = −0.0894 V vD 2 = 3.4 − 0.0894 ⇒ vD 2 = 3.31 V 11.34 a. I D1 = I D 2 = 0.5 mA v01 − v02 = ⎡V + − I D1 RD1 ⎤ − ⎡V + − I D 2 RD 2 ⎤ ⎣ ⎦ ⎣ ⎦ v01 − v02 = I D 2 RD 2 − I D1 RD1 = I D ( RD 2 − RD1 ) i. RD1 − RD 2 = 6 kΩ, v01 − v02 = 0 ii. RD1 = 6 kΩ, RD 2 = 5.9 kΩ v01 − v02 = ( 0.5 )( 5.9 − 6 ) ⇒ v01 − v02 = −0.05 V b.
  • 22.
    K n1 =0.4 mA / V 2 , K n 2 = 0.44 mA / V 2 VGS1 = VGS 2 I Q = ( K n1 + K n 2 )(VGS − VTN ) 2 1 = ( 0.4 + 0.44 )(VGS − VTN ) ⇒ (VGS − VTN ) = 1.19 2 2 I D1 = ( 0.4 )(1.19 ) = 0.476 mA I D 2 = ( 0.44 )(1.19 ) = 0.524 mA i. RD1 = RD 2 = 6 kΩ v01 − v02 = ( 0.524 − 0.476 )( 6 ) ⇒ v01 − v02 = 0.288 V ii. RD1 = 6 kΩ, RD 2 = 5.9 kΩ v01 − v02 = ( 0.524 )( 5.9 ) − ( 0.476 )( 6 ) = 3.0916 − 2.856 ⇒ v01 − v02 = 0.236 V 11.35 (a) From Equation (11.69) iD 2 1 Kn ⎛ K ⎞ 2 = − ⋅ vd 1 − ⎜ n ⎟ vd IQ 2 2IQ ⎜ 2IQ ⎟ ⎝ ⎠ 0.1 ⎡ 0.1 ⎤ 2 0.90 = 0.50 − ⋅ vd 1 − ⎢ ⎥ vd 2 ( 0.25 ) ⎢ 2 ( 0.25 ) ⎥ ⎣ ⎦ +0.40 = − ( 0.4472 ) vd 1 − ( 0.2 ) vd 2 0.8945 = −vd 1 − ( 0.2 ) vd 2 Square both sides 0.80 = vd (1 − [ 0.2] vd ) 2 2 ( 0.2 ) ( vd2 ) 2 2 − vd + 0.80 = 0 2 1 ± 1 − 4 ( 0.2 )( 0.80 ) vd = = 4V 2 or 1V 2 2 ( 0.2 ) Then vd = ± 2 V or ± 1 V IQ 0.25 But vd max = = = 1.58 kn 0.1 So vd = ±1V, ⇒ vd = −1V b. From part (a), vd ,max = 1.58 V 11.36
  • 23.
    ⎛i ⎞ d ⎜D1 ⎟ ⎜I ⎟ ⎛ K ⎞ 2 ⎝ Q⎠= Kn ⋅ 1− ⎜ n ⎜ 2I ⎟ vd + ( ⎟ ) vd vd =0 dvd 2IQ ⎝ Q ⎠ Kn = 2IQ iD1 1 Kn So linear = + ⋅ vd IQ 2 2 IQ 1 Kn ⎡1 Kn ⎛K ⎞ 2 ⎤ + ⋅ vd ( max ) − ⎢ + ⋅ vd ( max ) ⋅ 1 − ⎜ n ⎟vd ( max ) ⎥ 2 2IQ ⎢2 2 IQ ⎝ 2I n ⎠ ⎥ Then ⎣ ⎦ = 0.02 1 Kn + ⋅v 2 2 I Q d ( max ) ⎡1 Kn ⎤ ⎡1 Kn ⎛K ⎞ 2 ⎤ 0.98 ⎢ + ⋅ vd ( max ) ⎥ = ⎢ + ⋅ vd ( max ) ⋅ 1 − ⎜ n ⎟ vd ( max ) ⎥ ⎢2 2IQ ⎥ ⎢2 2IQ ⎜ 2I ⎟ ⎥ ⎣ ⎦ ⎣ ⎝ Q ⎠ ⎦ 0.15 ⎡1 0.15 ⎛ 0.15 ⎞ 2 ⎤ 0.49 + 0.98 ⋅ vd ( max ) = ⎢ + ⋅ vd ( max ) ⋅ 1 − ⎜ ⎟ vd ( max ) ⎥ ⎜ 2 ( 0.2 ) ⎟ 2 ( 0.2 ) ⎢2 2 ( 0.2 ) ⎝ ⎠ ⎥ ⎣ ⎦ 0.49 + 0.600 vd ( max ) = 0.50 + 0.6124 vd ( max ) ⋅ 1 − ( 0.6124 ) vd ( max ) 2 0.600 vd ( max ) = 0.010 + 0.6124 vd ( max ) ⋅ 1 − ( 0.6124 ) vd ( max ) 2 By trial and error vd ( max ) ≈ 0.429 V 11.37 (b) gm = 2 K p I D = 2 ( 0.05 )( 0.008696 ) = 0.0417 mA/V Vd ΔI = g m = ( 0.0417 )( 0.05 ) = 0.002085 mA 2 ΔvD = ( 0.002085 )( 510 ) = 1.063 vD 2 ↑⇒ vD 2 = 1.063 − 4.565 = −3.502 V vD1 = −1.063 − 4.565 = −5.628 V 9 = I S RS + VSG + 1 I S = 2I D 8 = 2 K P RS (VSG + VTP ) + VSG 2 8 = ( 2 )( 0.05 )( 390 )(VSG − 0.8 ) + VSG 2 8 = 39 (VSG − 1.6VSG + 0.64 ) + VSG 2 2 39VSG − 61.4VSG + 16.96 = 0 61.4 ± 3769.96 − 4 ( 39 )(16.96 ) VSG = 2 ( 39 ) = 1.217 V VS = 2.217 I S = 0.01739 mA I D1 = I D 2 ⇒ 8.696 μ A vD1 = vD 2 = ( 8.696 )( 0.510 ) − 9 = −4.565 V (b)
  • 24.
    g m =2 K P I DQ = 2 ( 0.05 )( 0.008696 ) = 0.0417 mA/V Vd ΔvD = ΔI D ⋅ RD = ( 0.0417 )( 0.05 ) = 0.002085 mA ΔI D = g m ⋅ 2 ΔvD = ( 0.002085 )( 510 ) = 1.063 V v1 ↑, I D1 ↓, vD1 ↓ vD1 = −4.565 − 1.063 = −5.628 V vD 2 = −4.565 + 1.063 = −3.502 V 11.38 (a) v1 = v2 = 0 I D = K n (VSG + VTP ) 2 ID = 6 μA 6 + 0.4 = VSG 30 VSG = 0.847 V VS = +0.847 V vD = I D RD − 3 = ( 6 )( 0.36 ) − 3 = −0.84 V VSD = VS − vD = 0.847 − ( −0.84 ) vSD = 1.69 V (b) (i) Ad = g m RD g m = 2 K n I D =2 ( 30 )( 6 ) = 26.83 μ A/V Ad = ( 26.83)( 0.36 ) ⇒ Ad = 9.66 Acm = 0 (ii) g R ( 26.83)( 0.36 ) Ad = m D = ⇒ Ad = 4.83 2 2 − g m RD − ( 26.83)( 0.36 ) Acm = = = −0.0448 1 + 2 g m RO 1 + 2 ( 26.83)( 4 ) 11.39
  • 25.
    For v1 =v2 = −0.30 V I D1 = I D 2 = 0.1 mA ID VSG = − VTP KP 0.1 = +1 = 2 V 0.1 vD1 = vD 2 = ( 0.1)( 30 ) − 10 = −7 V gm = 2 K p I D = 2 ( 0.1)( 0.1) = 0.2 mA/V ⎛V ⎞ ΔI D = g m ⎜ d ⎟ = ( 0.2 )( 0.1) = 0.02 mA ⎝ 2⎠ ΔvD = ( ΔI D ) RD = ( 0.02 )( 30 ) = 0.6 V vD 2 ↑⇒ vD 2 = −7 + 0.6 ⇒ vD 2 = −6.4 V vD1 = −7 − 0.6 ⇒ vD1 = −7.6 V 11.40 For v1 = v2 = 0 0 = VGS + 2 I D RS − 10 10 = VGS + 2 K n RS (VGS − VTN ) 2 = VGS + 2 ( 0.15 )( 75 )(VGS − 1) 2 2 22.5VGS − 44VGS + 12.5 = 0 So VGS = 1.61 V and I D = ( 0.15 )(1.61 − 1) ⇒ 55.9 μ A 2 gm = 2 Kn I D = 2 ( 0.15 )( 0.0559 ) g m = 0.1831 mA/V Use Half-circuits – Differential gain ⎛V ⎞⎛ ΔR ⎞ vD1 = − g m ⎜ d ⎟ ⎜ RD + ⎟ ⎝ 2 ⎠⎝ 2 ⎠ ⎛V ⎞⎛ ΔR ⎞ vo 2 = g m ⎜ d ⎟ ⎜ RD − ⎟ ⎝ 2 ⎠⎝ 2 ⎠ vo = vD1 − vD 2 = − g mVd RD v Ad = o = − g m RD Vd Now – Common-Mode Gain
  • 26.
    Vi = Vgs+ g mVgs ( 2 RS ) = Vcm Vcm Vgs = 1 + g m ( 2 RS ) ⎛ ΔR ⎞ − g m ⎜ RD + D ⎟ Vcm ⎝ 2 ⎠ vD1 = 1 + g m ( 2 RS ) ⎛ ΔR ⎞ − gm ⎜ RD − D ⎟ Vcm ⎝ 2 ⎠ vD 2 = 1 + g m ( 2 RS ) vO = vD1 − vD 2 − g m ( ΔRD ) Vcm So vo = 1 + g m ( 2 RD ) vo − g m ( ΔRD ) Acm = = Vcm 1 + g m ( 2 RS ) Then Ad = − ( 0.1831)( 50 ) = −9.16 − ( 0.1831)( 0.5 ) Acm = = −0.003216 1 + ( 0.1831)( 2 )( 75 ) C M R R ∫ = 69.1 dB bB 11.41 a. Ad = g m ( r02 r04 ) VA 2 150 r02 = = = 375 kΩ I C 2 0.4 VA 4 100 r04 = = = 250 kΩ I C 4 0.4 IC 2 0.4 gm = = = 15.38 mA/V VT 0.026 Ad = (15.38 ) ( 375 250 ) ⇒ Ad = 2307 b. RL = r02 r04 = 375 250 ⇒ RL = 150 kΩ 11.41 From 11.40 I D1 = I D 2 = 55.9 μ A g m = 0.183 mA/V
  • 27.
    Vd ⎛ +V ⎞ Ad : ΔvD1 = − g m1 ⋅ RD ΔvD 2 = + g m 2 ⎜ d ⎟ RD 2 ⎝ 2 ⎠ V V vO = ΔvD1 − ΔvD 2 = − g m1 d RD − g m 2 d RD 2 2 −V −V ⎛ Δg ⎛ Δg ⎞ ⎞ vO = d ⋅ RD ( g m 2 + g m1 ) = d ⋅ RD ⎜ g m − m + ⎜ g m − m ⎟ ⎟ 2 2 ⎝ 2 ⎝ 2 ⎠⎠ Ad = − g m RD = − ( 0.183) ( 50 ) = −9.15 ⎛ Δg ⎞ ⎛ Δg ⎞ − ⎜ g m + M ⎟ RD vcm ⎜ g m − M ⎟ RD vCM ⎝ 2 ⎠ ⎝ 2 ⎠ ACM : vO = ΔvD1 − ΔvD 2 = + 1 + g m ( 2 RS ) 1 + g m ( 2 RS ) vO −Δg m RD Acm = = Δg m = ( 0.01) ( 0.183) = 0.00183 vcm 1 + g m ( 2 RS ) − ( 0.00183) ( 50 ) Acm = = −0.003216 1 + ( 0.183)( 2 ) ( 75 ) C M R R ∫ = 69.1 dB dB 11.42 (a) v1 = v2 = 0 5 = 2 I D RS + VSG 5 = 2 K p RS (VSG + VTP ) + VSG 2 5 = 2 ( 0.5 )( 2 ) (VSG − 1.6VSG + 0.64 ) + VSG 2 2 5 = 2VSG − 2.2VSG + 1.28 2 2VSG − 2.2VSG − 3.72 = 0 2.2 ± 4.84 + 4 ( 2 )( 3.72 ) VSG = 2 ( 2) VSG = 2.02 V 5 − 2.02 vS = 2.02 V, IS = = 1.49 mA 2 I D1 = I D 2 = 0.745 mA vD1 = vD 2 = ( 0.745 (1) − 5 ) ⇒ vD1 = vD 2 = −4.26 V (b) 5 = I S RS + VSG 2 5 = ( I D1 + I D 2 ) RS + VSG 2 5 = ⎡ K p (VSG1 + VTP ) + K p (VSG 2 + VTP ) ⎤ RS + VSG 2 2 2 ⎣ ⎦ VSG1 = VSG 2 − 1 5 = ( 0.5 )( 2 ) ⎡(VSG 2 − 1.8 ) + (VSG 2 − 0.8 ) ⎤ + VSG 2 2 2 ⎣ ⎦ 5 = ⎡VSG 2 − 3.6VSG 2 + 3.24 + VSG 2 − 1.6VSG 2 + 0.64 ⎤ + VSG 2 ⎣ 2 2 ⎦ 2 5 = 2VSG 2 − 4.2VSG 2 + 3.88 2 2VSG 2 − 4.2VSG 2 − 1.12 = 0 4.2 ± 17.64 + 4 ( 2 ) (1.12 ) VSG 2 = 2 ( 2)
  • 28.
    VSG 2 =2.339 V VSG1 = 1.339 V vS = 2.339 V = 0.5 (1.339 − 0.8 ) = 0.5 ( 2.339 − 0.8 ) 2 2 I D1 I D2 I D1 = 0.1453 mA I D2 = 1.184 mA vD1 = ( 0.1453)(1) − 5 vD 2 = (1.184 ) (1) − 5 vD1 = −4.855 V vD 2 = −3.816 V (c) Vd ΔI = g m gm = 2 K p I D 2 vS ≈ 2.02 V = 2 ( 0.5 )( 0.745 ) g m = 1.22 mA/V ΔI = (1.22 )( 0.1) = 0.122 mA ΔvD = ( ΔI ) RD = ( 0.122 )(1) = 0.122 V vD 2 ↓ vD1 ↑ vD1 = −4.26 + 0.122 vD 2 = −4.26 − 0.122 vD1 = −4.138 V vD 2 = −4.382 V 11.43 IQ a. gf = ⇒ I Q = g f ( 4VT ) = ( 8 )( 4 )( 0.026 ) 4VT ⇒ I Q = 0.832 mA Neglecting base currents. 30 − 0.7 R1 = ⇒ R1 = 35.2 kΩ 0.832 V 100 b. r04 = r02 = A = = 240 kΩ I CQ 0.416
  • 29.
    I CQ 0.416 gm = = = 16 mA / V VT 0.026 Ad = g m ( r02 || r04 ) = 16 ( 240 || 240 ) ⇒ Ad = 1920 (180 )( 0.026 ) Rid = 2rπ , rπ = = 11.25 kΩ 0.416 ⇒ Rid = 22.5 kΩ R0 = r02 || r04 ⇒ R0 = 120 kΩ c. Max. common-mode voltage when VCB = 0 for Q1 and Q2 . Therefore vcm ( max ) = V + − VEB ( Q3 ) = 15 − 0.7 vcm ( max ) = 14.3 V Min. common-mode voltage when VCB = 0 for Q5 . Therefore vcm ( min ) = 0.7 + 0.7 + ( −15 ) = −13.6 V So −13.6 ≤ vcm ≤ 14.3 V 1 Ricm ≅ (1 + β )( 2 R0 ) 2 V 100 R0 = A = = 120 kΩ I Q 0.832 Ricm = (181)(120 ) ⇒ Ricm = 21.7 MΩ 11.43 (a) gm = 2 Kn I D =2 ( 0.4 )(1) g m = 1.265 mA/V v 1 Ad = o = = 10 vd 0.1 Ad = g m RD 10 = (1.265 ) RD RD = 7.91 K (b) Quiescent v1 = v2 = 0 vD1 = vD 2 = 10 − (1)( 7.91) = 2.09 V ID 1 VGS = + VTN = + 0.8 = 2.38 V Kn 0.4 VDS ( sat ) = 2.38 − 0.8 = 1.58 So vcm = vD − VDS ( sat ) + VGS = 2.09 − 1.58 + 2.38 vcm = 2.89 V 11.44
  • 30.
    g m RD Ad= 2 For vCM = 2.5 V IQ I D1 = I D 2 = = 0.25 mA 2 10 − 3 Let VD1 = VD 2 = 3 V , then RD = ⇒ RD = 28 k Ω 0.25 g m ( 28 ) Then 100 = ⇒ g m = 7.14 mA / V 2 k′ ⎛ W ⎞ And g m = 2 n ⎜ ⎟ ID 2⎝L ⎠ ⎛ 0.080 ⎞ ⎛ W ⎞ 7.14 = 2 ⎜ ⎟ ⎜ ⎟ ( 0.25 ) ⇒ ⎝ 2 ⎠⎝ L ⎠ ⎛W ⎞ ⎛W ⎞ ⎜ ⎟ = ⎜ ⎟ = 1274 (Extremely large transistors to meet the gain requirement.) ⎝ L ⎠1 ⎝ L ⎠ 2 Need ACM = 0.10 From Eq. (11.64(b)) g m RD ACM = 1 + 2 g m Ro ( 7.14 )( 28) So 0.10 = ⇒ Ro = 140 k Ω 1 + 2 ( 7.14 ) Ro For the basic 2-transistor current source 1 1 Ro = ro = = = 200 k Ω λ I Q ( 0.01)( 0.5 ) This current source is adequate to meet common-mode gain requirement. 11.45 Not in detail, Approximation looks good. a. −V − ( −5 ) and I S = 2 I D = 2 K n (VGS 1 − VTN ) 2 I S = GS 1 RS 5 − VGS 1 = 2 ( 0.050 )(VGS 1 − 1) 2 20 5 − VGS 1 = 2 (VGS1 − 2VGS1 + 1) 2 2 2VGS1 − 3VGS 1 − 3 = 0 ( 3) + 4 ( 2 )( 3) 2 3± VGS1 = ⇒ VGS1 = 2.186 V 2 ( 2) 5 − 2.186 IS = ⇒ I S = 0.141 mA 20 I I D1 = I D 2 = S ⇒ I D1 = I D 2 = 0.0704 mA 2 v02 = 5 − ( 0.0704 )( 25 ) ⇒ v02 = 3.24 V b. g m = 2 K n (VGS − VTN ) = 2 ( 0.05 )( 2.186 − 1) g m = 0.119 mA/V 1 1 r0 = = = 710 kΩ λ I DQ ( 0.02 )( 0.0704 )
  • 31.
    Vgs1 = v1− VS , Vgs 2 = v2 − VS v01 v −V + g mVgs1 + 01 S = 0 RD r0 ⎛ 1 1⎞ V v01 ⎜ + ⎟ + g m ( v1 − VS ) − S = 0 (1) ⎝ RD r0 ⎠ r0 v02 v − VS + g mVgs 2 + 02 =0 RD r0 ⎛ 1 1⎞ V v02 ⎜ + ⎟ + g m ( v2 − VS ) − S = 0 (2) ⎝ RD r0 ⎠ r0 v − V v − VS V g mVgs1 + 01 S + 02 + g mVgs 2 = S r0 r0 RS v01 v02 2VS V g m ( v1 − VS ) + + − + g m ( v2 − VS ) = S r0 r0 r0 RS v01 v02 ⎧ 2 1 ⎫ g m ( v1 + v2 ) + + = VS ⎨2 g m + + ⎬ (3) r0 r0 ⎩ r0 RS ⎭ From (1) ⎛ 1⎞ VS ⎜ g m + ⎟ − g m v1 v01 = ⎝ r0 ⎠ ⎛ 1 1⎞ ⎜ + ⎟ ⎝ RD r0 ⎠ Then ⎛ 1⎞ VS ⎜ g m + ⎟ − g m v1 ⎧ 2 1 ⎫ g m ( v1 + v2 ) + ⎝ r0 ⎠ v + 02 = VS ⎨2 g m + + ⎬ (3) ⎛ 1 1⎞ r0 ⎩ r0 RS ⎭ r0 ⎜ + ⎟ ⎝ RD r0 ⎠
  • 32.
    ⎛ 1 1⎞ ⎛ 1⎞ ⎛ 1 1⎞ ⎧ 2 1 ⎫ ⎛ 1 1⎞ g m ( v1 + v2 ) r0 ⎜ + ⎟ + VS ⎜ g m + ⎟ − g m v1 + v02 ⎜ + ⎟ = VS ⎨2 g m + + ⎬ ⋅ r0 ⎜ + ⎟ ⎝ RD r0 ⎠ ⎝ r0 ⎠ ⎝ RD r0 ⎠ ⎩ r0 RS ⎭ ⎝ RD r0 ⎠ ⎛ r ⎞ ⎛ 1 1⎞ ⎧ ⎪⎛ 2 1 ⎞⎛ r0 ⎞ ⎛ 1 ⎞⎪ ⎫ g m ( v1 + v2 ) ⎜ 1 + 0 ⎟ − g m v1 + v02 ⎜ + ⎟ = VS ⎨⎜ 2 g m + + ⎟ ⎜1 + ⎟ − ⎜ gm + ⎟⎬ ⎝ RD ⎠ ⎝ RD r0 ⎠ ⎪⎝ ⎩ r0 RS ⎠ ⎝ RD ⎠ ⎝ r0 ⎠ ⎪ ⎭ ⎛ r r ⎞ ⎛ 1 1⎞ ⎧ 2 1 r 2 r 1⎫ g m ⎜ v1 ⋅ 0 + v2 + v2 ⋅ 0 ⎟ + v02 ⎜ + ⎟ = VS ⎨2 g m + + + 2gm ⋅ 0 + + 0 − gm − ⎬ ⎝ RD RD ⎠ ⎝ RD r0 ⎠ ⎩ r0 RS RD RD RS RD r0 ⎭ ⎛ r ⎞ ⎛ 1 1⎞ ⎧ ⎪ 1 1 ⎛ r0 ⎞ 2 ⎫ (1 + g m r0 )⎪ (4) r g m ⎜ v1 ⋅ 0 + v2 + v2 ⋅ 0 ⎟ + v02 ⎜ + ⎟ = VS ⎨2 g m + + ⎜1 + ⎟+ ⎬ ⎝ RD RD ⎠ ⎝ RD r0 ⎠ ⎪ ⎩ r0 RS ⎝ RD ⎠ RD ⎪ ⎭ ⎛ 1 1⎞ ⎛ 1⎞ Then substituting into (2), v02 ⎜ + ⎟ + g m v2 = VS ⎜ g m + ⎟ ⎝ RD r0 ⎠ ⎝ r0 ⎠ ⎡ 710 710 ⎤ ⎡1 1 ⎤ Substitute numbers: ( 0.119 ) ⎢ v1 + v2 + v2 ⎥ + v02 ⎢ 25 + 710 ⎥ (4) ⎣ 25 25 ⎦ ⎣ ⎦ ⎧ 1 1 ⎛ 710 ⎞ 2 ⎫ = VS ⎨0.119 + + ⎜1 + ⎟ + ⎡1 + ( 0.119 )( 710 ) ⎤ ⎬ ⎣ ⎦ ⎩ 710 20 ⎝ 25 ⎠ 25 ⎭ ( 0.119 ) [ 28.4v1 + 29.4v2 ] + ( 0.0414 ) v02 = VS {0.1204 + 1.470 + 6.8392} = VS ( 8.4296 ) or VS = 0.4010v1 + 0.4150v2 + 0.00491v02 ⎛ 1 1 ⎞ ⎛ 1 ⎞ Then v02 ⎜ + ⎟ + ( 0.119 ) v2 = VS ⎜ 0.119 + ⎟ (2) ⎝ 25 710 ⎠ ⎝ 710 ⎠ v02 ( 0.0414 ) + v2 ( 0.119 ) = ( 0.1204 ) [ 0.401v1 + 0.4150v2 + 0.00491v02 ] v02 ( 0.0408 ) = ( 0.04828 ) v1 − ( 0.0690 ) v2 v02 = (1.183) v1 − (1.691) v2 vd Now v1 = vcm + 2 vd v2 = vcm − 2 ⎛ v ⎞ ⎛ v ⎞ So v02 = (1.183) ⎜ vcm + d ⎟ − (1.691) ⎜ vcm − d ⎟ ⎝ 2⎠ ⎝ 2⎠ Or v02 = 1.437vd − 0.508vcm ⇒ Ad = 1.437, Acm = −0.508 ⎛ 1.437 ⎞ C M R RdB = 20 log10 ⎜ ⎟ ⇒ C M R RdB = 9.03 dB ⎝ 0.508 ⎠ 11.46 KVL:
  • 33.
    v1 = Vgs1− Vgs 2 + v2 So v1 − v2 = Vgs1 − Vgs 2 KCL: g mVgs1 + g mVgs 2 = 0 ⇒ Vgs1 = −Vgs 2 1 1 So Vgs1 = ( v1 − v2 ) , Vgs 2 = − ( v1 − v2 ) 2 2 Now v02 v02 − v01 + = − g mVgs 2 RD RL (1) ⎛ 1 1 ⎞ v01 = v02 ⎜ + ⎟− ⎝ RD RL ⎠ RL v01 v01 − v02 + = − g mVgs1 RD RL (2) ⎛ 1 1 ⎞ v02 = v01 ⎜ + ⎟− ⎝ RD RL ⎠ RL ⎛ R ⎞ From (1): v01 = v02 ⎜ 1 + L ⎟ + g m RLVgs 2 ⎝ RD ⎠ Substitute into (2): ⎛ R ⎞⎛ 1 1 ⎞ ⎛ 1 1 ⎞ v02 − g mVgs1 = v02 ⎜1 + L ⎟ ⎜ + ⎟ + g m RL ⎜ + ⎟ Vgs 2 − ⎝ RD ⎠ ⎝ RD RL ⎠ ⎝ RD RL ⎠ RL ⎛ R ⎞⎛ 1 ⎞ ⎛ 1 R 1 ⎞ − g m ⋅ ( v1 − v2 ) + g m ⎜ 1 + L ⎟ ⎜ ⎟ ( v1 − v2 ) = v02 ⎜ + L + 2 ⎟ ⎝ RD ⎠ ⎝ 2 ⎠ ⎝ RD RD RD ⎠ 1 ⋅ g m RL 1 ⎛ RL ⎞ v02 ⎛ RL ⎞ v02 gm ⎜ ⎟ ( v1 − v2 ) = ⎜ 2 + ⎟ ⇒ Ad 2 = = 2 2 ⎝ RD ⎠ RD ⎝ RD ⎠ v1 − v2 ⎛ RL ⎞ ⎜2+ ⎟ ⎝ RD ⎠ 1 − ⋅ g m RL v01 From symmetry Ad 1 = = 2 v1 − v2 ⎛ RL ⎞ ⎜2+ ⎟ ⎝ RD ⎠ v02 − v01 g m RL Then Av = = v1 − v2 ⎛ RL ⎞ ⎜2+ ⎟ ⎝ RD ⎠ 11.47
  • 34.
    v1 − v2= Vgs1 − Vgs 2 and g mVgs1 + g mVgs 2 = 0 ⇒ Vgs1 = −Vgs 2 Then v1 − v2 = −2Vgs 2 1 Or Vgs 2 = − ( v1 − v2 ) 2 gm v0 = − g mVgs 2 ( RD RL ) = ( RD RL ) ( v1 − v2 ) 2 gm Or Ad = 2 ( RD RL ) 11.48 Kn IQ From Equation (11.64(a)), Ad = ⋅ RD 2 2 We need Ad = = 10 0.2 K n ( 0.5 ) Then 10 = ⋅ RD or K n ⋅ RD = 20 2 If we set RD = 20 k Ω, then K n = 1 mA / V 2 For this case VD = 10 − ( 0.25 )( 20 ) = 5 V 0.25 VGS = + 1 = 1.5 V 1 VDS ( sat ) = VGS − VTN = 1.5 − 1 = 0.5 V Then vcm ( max ) = VD − VDS ( sat ) + VGS = 5 − 0.5 + 1.5 Or vcm ( max ) = 6 V 11.49 Vd 1 = − g mVgs1 RD = − g m RD (V1 − Vs ) Vd 2 = − g mVgs 2 RD = − g m RD (V2 − Vs ) Now Vo = Vd 2 − Vd 1 = − g m RD (V2 − Vs ) − ( − g m RD (V1 − Vs ) ) Vo = g m RD (V1 − V2 ) Define V1 − V2 ≡ Vd V Then Ad = o = g m RD and Acm = 0 Vd 11.49 Ad = g m ( r02 r04 ) g m = 2 kn I DQ =2 ( 0.12 )( 0.075 ) = 0.1897 mA/V 1 1 r02 = = = 889 kΩ λn I DQ ( 0.015 )( 0.075 ) 1 1 r04 = = = 667 kΩ λ p I DQ ( 0.02 )( 0.075 ) Ad = ( 0.1897 ) ( 889 667 ) ⇒ Ad = 72.3 11.50 (a)
  • 35.
    ⎛ K′ ⎞⎛W ⎞ ⎛ 0.080 ⎞ ⎟ (10 ) = 0.40 mA / V 2 K n1 = K n 2 = ⎜ n ⎟ ⎜ ⎟=⎜ ⎝ 2 ⎠⎝ L ⎠ ⎝ 2 ⎠ ID 0.1 VGS1 = VGS 2 = + VTN = + 1 = 1.5 V Kn 0.4 VDS1 ( sat ) = 1.5 − 1 = 0.5 V For vCM = +3 V ⇒ VD1 = VD 2 = vCM − VGS 1 + VDS 1 ( sat ) = 3 − 1.5 + 0.5 ⇒ VD1 = VD 2 = 2 V 10 − 2 RD = ⇒ RD = 80 k Ω 0.1 (b) 1 Ad = g m RD and g m = 2 ( 0.4 )( 0.1) = 0.4 mA / V 2 1 Then Ad = ( 0.4 )( 80 ) = 16 2 16 C M R RdB = 45 ⇒ C M R R = 177.8 = Acm So Acm = 0.090 g m RD Acm = 1 + 2 g m Ro ( 0.4 )(80 ) 0.090 = ⇒ Ro = 443 k Ω 1 + 2 ( 0.4 ) Ro If we assume λ = 0.01 V −1 for the current source transistor, then 1 1 ro = = = 500 k Ω λ I Q ( 0.01)( 0.2 ) So the CMRR specification can be met by a 2-transistor current source. ⎛W ⎞ ⎛W ⎞ Let ⎜ ⎟ = ⎜ ⎟ = 1 ⎝ L ⎠3 ⎝ L ⎠ 4 ⎛ 0.080 ⎞ IQ 0.2 ⎟ (1) = 0.040 mA / V and VGS 3 = 2 Then K n 3 = K n 4 = ⎜ + VTN = + 1 = 3.24 V ⎝ 2 ⎠ K n3 0.04 For vCM = −3 V , VD 3 = −3 − VGS1 = −3 − 1.5 = −4.5 V ⇒ VDS 3 ( min ) = −4.5 − ( −10 ) = 5.5 V > VDS 3 ( sat ) So design is OK. ⎛W ⎞ On reference side: For ⎜ ⎟ ≥ 1, VGS ( max ) = 3.24 V ⎝L⎠ 20 − VGS 3 = 20 − 3.24 = 16.76 V 16.67 Then = 5.17 ⇒ We need six transistors in series. 3.24
  • 36.
    20 − 3.24 VGS= = 2.793 V 6 ⎛ K′ ⎞⎛W ⎞ = ⎜ n ⎟ ⎜ ⎟ (VGS − VTN ) 2 I REF ⎝ 2 ⎠⎝ L ⎠ ⎛ 0.080 ⎞⎛ W ⎞ ⎛W ⎞ ⎟⎜ ⎟ ( 2.793 − 1) ⇒ ⎜ ⎟ = 1.56 for each of the 6 transistors. 2 0.2 = ⎜ ⎝ 2 ⎠⎝ L ⎠ ⎝L⎠ 11.51 1 Ad = g m RD 2 gm = 2 Kn I D = 2 ( 0.25 )( 0.25) = 0.50 mA / V 1 Ad = ( 0.50 )( 3) = 0.75 2 From Problem 11.26
  • 37.
    5 (1 +δ ) V1 = VA = , V2 = VB = 2.5 V and V1 − V2 = 1.25δ 2+δ Then Vo 2 = Ad ⋅ (V1 − V2 ) = ( 0.75 )(1.25δ ) = 0.9375δ So for −0.01 ≤ δ ≤ 0.01 −9.375 ≤ Vo 2 ≤ 9.375 mV 11.52 From previous results v −v Ad 1 = o 2 o1 = g m1 R1 = 2 K n1 I Q1 ⋅ R1 = 20 v1 − v2 vo3 1 1 and Ad 2 = = g m 3 R2 = 2 K n3 I Q 2 ⋅ R2 = 30 vo 2 − vo1 2 2 I Q1 R1 I Q 2 R2 Set = 5 V and = 2.5 V 2 2 Let I Q1 = I Q 2 = 0.1 mA Then R1 = 100 k Ω, R2 = 50 k Ω 2 ⎛ 0.06 ⎞ ⎛ W ⎞ ⎛ 20 ⎞ ⎛W ⎞ ⎛W ⎞ Then 2 ⎜ ⎟ ⎜ ⎟ ( 0.1) = ⎜ ⎟ ⇒ ⎜ ⎟ = ⎜ ⎟ = 6.67 ⎝ 2 ⎠ ⎝ L ⎠1 ⎝ 100 ⎠ ⎝ L ⎠1 ⎝ L ⎠ 2 2 ⎛ 0.060 ⎞ ⎛ W ⎞ ⎛ 2 ( 30 ) ⎞ ⎛W ⎞ ⎛W ⎞ and 2 ⎜ ⎟ ⎜ ⎟ ( 0.1) = ⎜ ⎟ ⇒ ⎜ ⎟ = ⎜ ⎟ = 240 ⎝ 2 ⎠ ⎝ L ⎠3 ⎝ 50 ⎠ ⎝ L ⎠3 ⎝ L ⎠ 4 11.53 2 ⎛ v ⎞ a. iD1 = I DSS ⎜ 1 − GS 1 ⎟ ⎝ VP ⎠ 2 ⎛ v ⎞ iD 2 = I DSS ⎜ 1 − GS 2 ⎟ ⎝ VP ⎠ ⎛ v ⎞ ⎛ v ⎞ iD1 − iD 2 = I DSS ⎜1 − GS 1 ⎟ − I DSS ⎜ 1 − GS 2 ⎟ ⎝ VP ⎠ ⎝ VP ⎠ I DSS = ( vGS 2 − vGS1 ) VP I DSS I DSS =− ⋅ vd = ⋅ vd VP ( −VP ) iD1 + iD 2 = I Q ⇒ iD 2 = I Q − iD1 ( ) 2 I DSS 2 iD1 − I Q − iD1 = ⋅ vd ( −VP ) 2 iD1 − 2 iD1 ( I Q − iD1 ) + ( I Q − iD1 ) = I DSS 2 ⋅ vd ( −VP ) 2 1⎡ ⎤ Then iD1 ( I Q − iD1 ) = I ⎢ I Q − DSS 2 ⋅ vd ⎥ 2 2⎢ ⎣ ( −VP ) ⎦ ⎥ Square both sides
  • 38.
    2 1⎡ I ⎤ i − iD1 I Q + ⎢ I Q − DSS 2 ⋅ vd ⎥ = 0 2 D1 2 4⎢ ⎣ ( −VP ) ⎥ ⎦ 2 ⎛ 1⎞⎡ I ⎤ I Q ± I − 4 ⎜ ⎟ ⎢ I Q − DSS 2 ⋅ vd ⎥ 2 2 ( −VP ) ⎥ Q ⎝ 4⎠⎢ ⎣ ⎦ iD1 = 2 ⎡ 2 ⎤ 1 2 ⎢ 2 2 I Q I DSS vd ⎛ I DSS vd ⎞ ⎥ 2 2 IQ iD1 = ± IQ − IQ − +⎜ ⎟ ⎢ ( −VP ) ⎜ ( −VP ) ⎟ ⎥ 2 2 2 2 ⎝ ⎠ ⎦ ⎣ Use + sign 2 IQ 1 2 I Q I DSS 2 ⎛ I ⎞ iD1 = + ⋅ vd − ⎜ DSS 2 ⋅ vd ⎟ 2 2 2 ( −VP )2 ⎜ ( −V ) ⎟ ⎝ P ⎠ 2 2 IQ 1 IQ 2 I DSS ⎛ I DSS ⎞ ⎛v ⎞ iD1 = + vd −⎜ ⎟ ⎜ d ⎟ 2 2 ( −VP ) ⎜ I ⎟ V IQ ⎝ Q ⎠ ⎝ P⎠ Or 2 2 iD1 1 ⎛ 1 ⎞ 2 I DSS ⎛ I DSS ⎞ ⎛ vd ⎞ = +⎜ ⎟ ⋅ vd −⎜ ⎟ ⎜ ⎟ I Q 2 ⎝ −2VP ⎜ I ⎟ V ⎠ IQ ⎝ Q ⎠ ⎝ P⎠ We had iD 2 = I Q − iD1 Then 2 2 iD 2 1 ⎛ 1 ⎞ 2 I DSS ⎛ I DSS ⎞ ⎛ vd ⎞ = −⎜ ⎟ ⋅ vd −⎜ ⎟ ⎜ ⎟ I Q 2 ⎝ −2VP ⎜ I ⎟ V ⎠ IQ ⎝ Q ⎠ ⎝ P⎠ b. If iD1 = I Q , then 2 2 1 ⎛ 1 ⎞ 2 I DSS ⎛ I DSS ⎞ ⎛ vd ⎞ 1= +⎜ ⎟ ⋅ vd −⎜ ⎟ ⎜ ⎟ 2 ⎝ −2VP ⎜ I ⎟ V ⎠ IQ ⎝ Q ⎠ ⎝ P⎠ 2 2 2 I DSS ⎛ I DSS ⎞ ⎛ vd ⎞ VP = vd −⎜ ⎟ ⎜ ⎟ ⎜ I ⎟ V IQ ⎝ Q ⎠ ⎝ P⎠ Square both sides
  • 39.
    ⎡ 2I ⎛I ⎞ ⎛ vd ⎞ ⎤ 2 2 = v ⎢ DSS − ⎜ DSS ⎟ ⎜ ⎟ ⎥ 2 2 VP ⎢ IQ ⎜ I ⎟ V ⎠ ⎝ P⎠ ⎥ d ⎣ ⎝ Q ⎦ 2 2 ⎛ I DSS ⎞ ⎛ 1 ⎞ 2 2 2 I DSS 2 ⎟ ⎜ ⎟ ( vd ) − 2 ⎜ ⋅ vd + VP =0 ⎜ I ⎟ V ⎝ Q ⎠ ⎝ P⎠ IQ 2 2 2 2 I DSS ⎛ 2I ⎞ ⎛I ⎞ ⎛ 1 ⎞ ⎟ ⎜ ⎟ (VP ) 2 ± ⎜ DSS ⎟ − 4 ⎜ DSS ⎜ I ⎟ ⎜ I ⎟ V 2 IQ ⎝ Q ⎠ ⎝ Q ⎠ ⎝ P⎠ vd = 2 2 ⎛ 2I ⎞ ⎛ 1 ⎞ 2 ⎜ DSS ⎟ ⎜ ⎟ ⎜ IQ ⎟ ⎝ VP ⎠ ⎝ ⎠ 2 ⎛ IQ ⎞ vd = (VP ) ⎜ 2 ⎟ ⎝ I DSS ⎠ 1/ 2 ⎛ IQ ⎞ Or vd = VP ⎜ ⎟ ⎝ I DSS ⎠ c. For vd small, IQ 1 IQ 2 I DSS iD1 ≈ + ⋅ ⋅ vd 2 2 ( −VP ) IQ diD1 1 IQ 2 I DSS gf = = ⋅ ⋅ 2 ( −VP ) vd → 0 d vd IQ ⎛ 1 ⎞ I Q I DSS Or ⇒ g f ( max ) = ⎜ ⎟ ⎝ −VP ⎠ 2 11.53 Ad = g m ( ro 2 Ro ) Want Ad = 400 From Example 11.15, ro 2 = 1 M Ω Assuming that g m = 0.283 mA / V for the PMOS from Example 11.15, then Ro = 285 M Ω. ⎛ k ′ ⎞⎛ W ⎞ So 400 = g m (1000 285000 ) ⇒ g m = 0.4014 mA / V = 2 ⎜ n ⎟ ⎜ ⎟ I DQ ⎝ 2 ⎠ ⎝ L ⎠1 ⎛ 0.080 ⎞ ⎛ W ⎞ ⎛W ⎞ ⎛W ⎞ 0.04028 = ⎜ ⎟ ⎜ ⎟ ( 0.1) ⇒ ⎜ ⎟ = ⎜ ⎟ = 10.1 ⎝ 2 ⎠ ⎝ L ⎠1 ⎝ L ⎠1 ⎝ L ⎠ 2 11.54 a. I Q = I D1 + I D 2 ⇒ I Q = 1 mA v0 = 7 = 10 − ( 0.5 ) RD ⇒ RD = 6 kΩ b. ⎛ 1 ⎞ I Q ⋅ I DSS g f ( max ) = ⎜ ⎟ ⎝ −VP ⎠ 2 ⎛ 1 ⎞ (1)( 2 ) g f ( max ) = ⎜ ⎟ ⇒ g f ( max ) = 0.25 mA/V ⎝ 4⎠ 2 c. g R Ad = m D = g f ( max ) ⋅ RD 2 Ad = ( 0.25 )( 6 ) ⇒ Ad = 1.5
  • 40.
    11.55 a. −VGS − ( −5 ) 2 ⎛ V ⎞ IS = = ( 2 ) I DSS ⎜ 1 − GS ⎟ RS ⎝ VP ⎠ 2 ⎛ V ⎞ 5 − VGS = ( 2 )( 0.8 )( 20 ) ⎜ 1 − GS ⎟ ⎜ ( −2 ) ⎟ ⎝ ⎠ ⎛ 1 2 ⎞ 5 − VGS = ( 2 )16 ⎜1 + VGS + VGS ⎟ ⎝ 4 ⎠ 2 8VGS + 33VGS + 27 = 0 −33 ± 1089 − 4 ( 8 )( 27 ) VGS = 2 (8) = −1.125 V 5 − ( −1.125 ) IS = 20 = 0.306 mA I D1 = I D 2 = 0.153 mA vo 2 = 1.17 V (b) 11.56 Equivalent circuit and analysis is identical to that in problem 11.36. 1 ⋅ g m RL Ad 2 = 2 ⎛ RL ⎞ ⎜2+ ⎟ ⎝ RD ⎠ 1 − ⋅ g m RL Ad 1 = 2 ⎛ RL ⎞ ⎜2+ ⎟ ⎝ RD ⎠ v02 − v01 g m RL Av = = vd ⎛ RL ⎞ ⎜2+ ⎟ ⎝ RD ⎠ 11.57 (a) Ad = g m ( ro 2 ro 4 ) 0.1 gm = = 3.846 mA/V 0.026 120 ro 2 = = 1200 K 0.1 80 ro 4 = = 800 K 0.1 Ad = ( 3.846 ) (1200 800 ) Ad = 1846 (b)
  • 41.
    For Ad =923 = ( 3.846 ) (1200 800 RL ) 480 RL 240 = 480 RL = ⇒ RL = 480 K 480 + RL 11.58 (a) ⎛ 2⎞ I Q = 250 μ A I REF = I Q ⎜ 1 + ⎟ ⎝ β⎠ ⎛ 2 ⎞ = 250 ⎜1 + ⎟ = 252.8 μ A ⎝ 180 ⎠ 5 − ( 0.7 ) − ( −5 ) R1 = ⇒ R1 = 36.8 K 0.2528 (b) 0.125 Ad = g m ( ro 2 ro 4 ) gm = = 4.808 mA/V 0.026 150 ro 2 = = 1200 K 0.125 100 Ad = ( 4.808 ) (1200 800 ) ro 4 = = 800 K 0.125 Ad = 2308 (c) 2 (180 )( 0.026 ) Rid = 2rπ = ⇒ Rid = 74.9 K 0.125 Ro = ro 2 ro 4 = 1200 800 = 480 K = Ro (d) vcm ( max ) = 5 − 0.7 = 4.3 V vcm ( min ) = 0.7 + 0.7 − 5 = −3.6 V 11.59 a. ⎛ IQ ⎞ ⎛ 1 ⎞ I 0 = I B3 + I B 4 ≈ 2 ⎜ ⎟ ⎜ ⎟ ⎝ 2 ⎠⎝ β ⎠ I Q 0.2 I0 = = ⇒ I0 = 2 μ A β 100 b. V 100 r02 = r04 = A = = 1000 kΩ I CQ 0.1 I CQ 0.1 gm = = = 3.846 mA/V VT 0.026 Ad = g m ( r02 r04 ) = ( 3.846 ) (1000 1000 ) ⇒ Ad = 1923 c. ( Ad = g m r02 r04 RL ) Ad = ( 3.846 ) (1000 1000 250 ) ⇒ Ad = 641 11.60 a.
  • 42.
    Ad = gm ( r02 r04 RL ) I CQ IQ gm = = VT 2VT V 125 r02 = A 2 = I CQ I CQ VA 4 80 r04 = = I CQ I CQ If I Q = 2 mA, then g m = 38.46 mA/V r02 = 125 kΩ, r04 = 80 kΩ So Ad = 38.46 ⎡125 80 200 ⎤ ⎣ ⎦ Or Ad = 1508 For each gain of 1000. lower the current level For I Q = 0.60 mA, I CQ = 0.30 mA 0.3 gm = = 11.54 mA/V 0.026 125 r02 = = 417 kΩ 0.3 80 r04 = = 267 kΩ 0.3 Ad = 11.54 ⎡ 417 267 200 ⎤ = 1036 ⎣ ⎦ So I Q = 0.60 mA is adequate b. For V + = 10 V, VBE = VEB = 0.6 V For VCB = 0, vcm ( max ) = V + − 2VEB = 10 − 2 ( 0.6 ) Or vcm ( max ) = 8.8 V 11.61 a. From symmetry. 0.1 VGS 3 = VGS 4 = VDS 3 = VDS 4 = +1 0.1 Or VDS 3 = VDS 4 = 2 V 0.1 VSG1 = VSG 2 = +1 = 2 V 0.1 VSD1 = VSD 2 = VSG1 − (VDS 3 − 10 ) = 2 − ( 2 − 10 ) Or VSD1 = VSD 2 = 10 V b. 1 1 r0 n = = ⇒ 1 MΩ λn I DQ ( 0.01)( 0.1) 1 1 r0 p = = ⇒ 0.667 MΩ λP I DQ ( 0.015 )( 0.1) g m = 2 K p (VSG + VTP ) = 2 ( 0.1)( 2 − 1) = 0.2 mA / V Ad = g m ( ron rop ) = ( 0.2 ) (1000 667 ) ⇒ Ad = 80 (c)
  • 43.
    IQ I D 2= I D1 = = 0.1 mA 2 1 1 ro 4 = = = 1000 k Ω λn I D 4 ( 0.01)( 0.1) 1 1 ro 2 = = = 667 k Ω λP I D 2 ( 0.015)( 0.1) Ro = ro 2 ro 4 = 667 1000 = 400 k Ω 11.62 Ad = g m ( ro 4 ro 2 ) ⎛ 0.08 ⎞ gm = 2 ⎜ ⎟ ( 2.5 )( 0.05 ) ⎝ 2 ⎠ = 0.1414 mA/V 1 ro 4 = = 1000 K ( 0.02 )( 0.05 ) 1 ro 2 = = 1333 K ( 0.015)( 0.05 ) Ad = ( 0.1414 ) (1000 1333) Ad = 80.8 11.63 R04 = r04 ⎡1 + g m 4 ( R rπ 4 ) ⎤ ⎣ ⎦ 80 r04 = = 800 K 0.1 0.1 gm4 = = 3.846 0.026 (100 )( 0.026 ) rπ 4 = 0.1 = 26 K R rπ 4 = 1 26 = 0.963 K Assume β = 100 (100 )( 0.026 ) rπ 3 = = 26 kΩ 0.1 0.1 g m3 = = 3.846 mA/V 0.026 R04 = 800 ⎡1 + ( 3.846 )( 0.963) ⎤ ⇒ 3.763 MΩ ⎣ ⎦ ⇒ R0 = 3.763MΩ Then Av = − g m ( r02 R0 ) 120 r02 = = 1200 kΩ 0.1 0.1 gm = = 3.846 mA/V 0.026 Av = − ( 3.846 ) ⎡1200 3763⎤ ⇒ Av = −3499 ⎣ ⎦ b. For
  • 44.
    80 R =0, r04 = = 800 kΩ 0.1 Av = − g m ( r02 r04 ) = − ( 3.846 ) ⎡1200 800 ⎤ ⇒ Av = −1846 ⎣ ⎦ (c) For part (a), Ro = ( 3.763 1.2 ) = 0.910 M Ω For part (b), Ro = (1.2 0.8 ) = 0.48 M Ω 11.64 IE5 I +I I +I I B5 = = B3 B4 = C 3 C 4 1+ β 1+ β β (1 + β ) Now I C 3 + I C 4 ≈ I Q IQ So I B 5 ≈ β (1 + β ) IE6 I Q1 I B6 = = 1 + β β (1 + β ) For balance, we want I B 6 = I B 5 So that I Q1 = I Q 11.65 Resistance looking into drain of M4. Vsg 4 ≅ I X R1 VX − Vsg 4 I X ± g m 4Vsg 4 = r04 ⎡ R ⎤ V I X ⎢1 + g m 4 R1 + 1 ⎥ = X ⎣ r04 ⎦ r04 ⎡ R ⎤ Or R0 = r04 ⎢1 + g m 4 R1 + 1 ⎥ ⎣ r04 ⎦ a.
  • 45.
    Ad = gm 2 ( ro 2 Ro ) g m 2 = 2 K n I DQ = 2 ( 0.080 )( 0.1) = 0.179 mA / V 1 1 ro 2 = = = 667 k Ω λn I DQ ( 0.015 )( 0.1) g m 4 = 2 K P I DQ = 2 ( 0.080 )( 0.1) = 0.179 mA / V 1 1 ro 4 = = = 500 k Ω λ p I DQ ( 0.02 )( 0.1) ⎡ 1 ⎤ R0 = 500 ⎢1 + ( 0.179 )(1) + = 590.5 kΩ ⎣ 500 ⎥ ⎦ Ad = ( 0.179 ) ⎡667 590.5⎤ ⇒ Ad = 56.06 ⎣ ⎦ b. When R1 = 0, R0 = r04 = 500 kΩ Ad = ( 0.179 ) ⎡667 500 ⎤ ⇒ Ad = 51.15 ⎣ ⎦ (c) For part (a), Ro = ro 2 Ro = 667 590.5 ⇒ Ro = 313 k Ω For part (b), Ro = ro 2 ro 4 = 667 500 ⇒ Ro = 286 kΩ 11.66 Let β = 100, VA = 100 V
  • 46.
    VA 100 ro 2= = = 1000 k Ω I CQ 0.1 Ro 4 = ro 4 [1 + g m RE ] where RE = rπ RE ′ ′ Now (100 )( 0.026 ) rπ = = 26 k Ω 0.1 0.1 gm = = 3.846 mA / V 0.026 ′ RE = 26 1 = 0.963 k Ω Then Ro 4 = 1000 ⎡1 + ( 3.846 )( 0.963) ⎤ = 4704 k Ω ⎣ ⎦ Ad = g m ( ro 2 Ro 4 ) = 3.846 (1000 4704 ) ⇒ Ad = 3172 11.67 (a) For Q2, Q4 Vx − Vπ 4 V (1) Ix = + g m 2Vπ 2 + g m 4Vπ 4 + x ro 2 ro 4 Vx − Vπ 4 V (2) g m 2Vπ 2 + = π4 ro 2 rπ 4 rπ 2 (3) Vπ 4 = −Vπ 2 Vx ⎡ 1 1 ⎤ From (2) = Vπ 4 ⎢ + + gm2 ⎥ ro 2 ⎢ ⎣ rπ 4 rπ 2 ro 2 ⎥ ⎦
  • 47.
    Now ⎛ β ⎞ ⎛ IQ ⎞ ⎛ 120 ⎞ IC 4 = ⎜ ⎟⎜ ⎟=⎜ ⎟ ( 0.5 ) = 0.496 mA ⎝ 1+ β ⎠⎝ 2 ⎠ ⎝ 121 ⎠ ⎛ IQ ⎞ ⎛ 1 ⎞ ⎛ β ⎞ ⎛ 120 ⎞ IC 2 = ⎜ ⎟⎜ ⎟⎜ ⎟ = ( 0.5 ) ⎜ ⎟ ⇒ I C 2 = 0.0041 mA ⎜ (121)2 ⎟ ⎝ 2 ⎠⎝ 1+ β ⎠⎝ 1+ β ⎠ ⎝ ⎠ So (120 )( 0.026 ) rπ 2 = = 761 k Ω 0.0041 0.0041 gm2 = = 0.158 mA/V 0.026 100 ro 2 = ⇒ 24.4 M Ω 0.0041 (120 ) ( 0.026 ) rπ 4 = = 6.29 k Ω 0.496 0.496 gm4 = = 19.08 mA / V 0.026 100 ro 4 = = 202 k Ω 0.496 Now Vx ⎡ 1 1 ⎤ Vx = Vπ 4 ⎢ + + 0.158⎥ ⇒ which yields Vπ 4 = ro 2 ⎢ 6.29 761 24400 ⎣ ⎥ ⎦ ( 0.318) ro 2 From (1), V V ⎛ 1 ⎞ I x = x + x + Vπ 4 ⎜ g m 4 − g m 2 − ⎟ ro 2 ro 4 ⎝ ro 2 ⎠ ⎡ ⎛ 1 ⎞⎤ Ix ⎢ 1 ⎜ 19.08 − 0.158 − ⎟ 1 24400 ⎠ ⎥ +⎝ V =⎢ + ⎥ which yields Ro 2 = x = 135 k Ω Vx ⎢ 24400 202 ( 0.318)( 24400 ) ⎥ Ix ⎢ ⎥ ⎣ ⎦ 80 Now ro 6 = = 160 k Ω 0.5 Then Ro = Ro 2 ro 6 = 135 160 ⇒ Ro = 73.2 k Ω (b) Δi Ad = g m Ro where g m = c c vd / 2
  • 48.
    vd Δi = gm1Vπ 1 + g m 3Vπ 3 and Vπ 1 + Vπ 3 = 2 ⎛V ⎞ Also ⎜ π 1 + g m1Vπ 1 ⎟ rπ 3 = Vπ 3 ⎝ rπ 1 ⎠ ⎛1+ β ⎞ So Vπ 1 ⎜ ⎟ rπ 3 = Vπ 3 ⎝ rπ 1 ⎠ ⎛ 121 ⎞ Or Vπ 1 ⎜ ⎟ ( 6.29 ) = Vπ 3 ≅ Vπ 1 ⎝ 761 ⎠ v v Then 2Vπ 1 = d ⇒ Vπ 1 = d 2 4 ⎛v ⎞ ⎛v ⎞ So Δi = ( g m1 + g m 3 ) Vπ 1 = ( 0.158 + 19.08 ) ⎜ d ⎟ = 9.62 ⎜ d ⎟ ⎝ 4⎠ ⎝ 2⎠ Δi So g m = c = 9.62 ⇒ Ad = ( 9.62 )( 73.2 ) ⇒ Ad = 704 vd / 2 Now Rid = 2 Ri where Ri = rπ 1 + (1 + β ) rπ 3 Ri = 761 + (121)( 6.29 ) = 1522 k Ω Then Rid = 3.044 M Ω 11.69 (a) Ad = 100 = g m ( ro 2 ro 4 ) Let I Q = 0.5 mA 1 1 ro 2 = = = 200 k Ω λn I D ( 0.02 )( 0.25 ) 1 1 ro 4 = = = 160 k Ω λP I D ( 0.025 )( 0.25 ) Then 100 = g m ( 200 160 ) ⇒ g m = 1.125 mA / V ⎛ K′ ⎞⎛W ⎞ gm = 2 ⎜ n ⎟ ⎜ ⎟ ID ⎝ 2 ⎠⎝ L ⎠ ⎛ 0.080 ⎞ ⎛ W ⎞ ⎛W ⎞ 1.125 = 2 ⎜ ⎟ ⎜ ⎟ ( 0.25 ) ⇒ ⎜ ⎟ = 31.6 ⎝ 2 ⎠⎝ L ⎠ ⎝ L ⎠n ⎛W ⎞ ⎛W ⎞ Now ⎜ ⎟ somewhat arbitrary. Let ⎜ ⎟ = 31.6 ⎝ L ⎠P ⎝ L ⎠P 11.70
  • 49.
    Ad = gm ( ro 2 ro 4 ) P = ( I Q + I REF ) (V + − V − ) Let I Q = I REF Then 0.5 = 2 I Q ( 3 − ( −3) ) ⇒ I Q = I REF = 0.0417 mA 1 1 ro 2 = = = 3205 k Ω λn I D ( 0.015 )( 0.0208 ) 1 1 ro 4 = = = 2404 k Ω λP I D ( 0.02 )( 0.0208 ) Then Ad = 80 = g m ( 3205 2404 ) ⇒ g m = 0.0582 mA/V ⎛ k ′ ⎞⎛ W ⎞ gm = 2 ⎜ n ⎟ ⎜ ⎟ I D ⎝ 2 ⎠ ⎝ L ⎠n ⎛ 0.080 ⎞⎛ W ⎞ ⎛W ⎞ 0.0582 = 2 ⎜ ⎟⎜ ⎟ ( 0.0208 ) ⇒ ⎜ ⎟ = 1.02 ⎝ 2 ⎠⎝ L ⎠ n ⎝ L ⎠n 11.71 Ad = g m ( ro 2 Ro ) ≈ g m ro 2 1 ro 2 = λn I D 1 = = 666.7 K ( 0.015)( 0.1) Ad = 400 = g m ( 666.7 ) g m = 0.60 mA/V ⎛ k′ ⎞⎛ W ⎞ = 2 ⎜ n ⎟⎜ ⎟ ID ⎝ 2 ⎠⎝ L ⎠ ⎛ 0.08 ⎞ ⎛ W ⎞ 0.60 = 2 ⎜ ⎟ ⎜ ⎟ ( 0.1) ⎝ 2 ⎠⎝ L ⎠ ⎛W ⎞ 0.090 = 0.004 ⎜ ⎟ ⎝L⎠ ⎛W ⎞ ⎛W ⎞ ⎜ ⎟ = ⎜ ⎟ = 22.5 ⎝ L ⎠1 ⎝ L ⎠ 2 11.72
  • 50.
    Ad = gm ( Ro 4 Ro 6 ) where Ro 4 = ro 4 + ro 2 [1 + g m 4 ro 4 ] Ro 6 = ro 6 + ro8 [1 + g m 6 ro 6 ] We have 1 ro 2 = ro 4 = = 1667 k Ω ( 0.015 )( 0.040 ) 1 ro 6 = ro8 = = 1250 k Ω ( 0.02 )( 0.040 ) ⎛ 0.060 ⎞ gm4 = 2 ⎜ ⎟ (15 )( 0.040 ) = 0.268 mA/V ⎝ 2 ⎠ ⎛ 0.025 ⎞ gm6 = 2 ⎜ ⎟ (10 )( 0.040 ) = 0.141 mA/V ⎝ 2 ⎠ Then Ro 4 = 1667 + 1667 ⎡1 + ( 0.268 )(1667 ) ⎤ ⇒ 748 M Ω ⎣ ⎦ Ro 6 = 1250 + 1250 ⎡1 + ( 0.141)(1250 ) ⎤ ⇒ 222.8 M Ω ⎣ ⎦ (a) Ro = Ro 4 Ro 6 = 748 222.8 ⇒ Ro = 172 M Ω (b) Ad = g m 4 ( Ro 4 Ro 6 ) = ( 0.268 )(172000 ) ⇒ Ad = 46096 11.73 Ad = g m ( ro 2 ro 4 ) 1 ro 2 = ro 4 = λ ID 1 = = 500 K ( 0.02 )( 0.1) gm = 2 Kn I D = 2 ( 0.5)( 0.1) = 0.4472 mA/V Ad = ( 0.4472 ) ( 500 500 ) ⇒ Ad = 112 Ro = ro 2 ro 4 = 500 500 ⇒ Ro = 250 K 11.74 (a) I DP = K p (VSG + VTP ) 2 0.4 + 1 = VSG 3 = 1.894 V 0.5 I DN = K n (VGS − VTN ) 2 0.4 + 1 = VGS 1 = 1.894 V 0.5 VDS1 ( sat ) = VGS1 − VTN = 1.894 − 1 = 0.894 V V + = VSG 3 + VDS1 ( sat ) − VGS 1 + vCM V + = 1.894 + 0.894 − 1.894 + 4 ⇒ V + = 4.89 V = −V − (b)
  • 51.
    Ad = gm ( ro 2 ro 4 ) 1 1 ro 2 = ro 4 = = = 166.7 K λ ID ( 0.015 )( 0.4 ) gm = 2 Kn I D = 2 ( 0.5 )( 0.4 ) = 0.8944 mA/V Ad = ( 0.8944 ) (166.7 166.7 ) ⇒ Ad = 74.5 11.75 (a) For vcm = +2V ⇒ V + = 2.7 V If I Q is a 2-transistor current source, V − = vcm − 0.7 − 0.7 V − = −3.4 V ⇒ V + = −V − = 3.4 V (b) 100 Ad = g m ( ro 2 ro 4 ) ro 2 = = 1000 K 0.1 60 ro 4 = = 600 K 0.1 0.1 gm = = 3.846 mA/V 0.026 Ad = ( 3.846 ) (1000 600 ) ⇒ Ad = 1442 11.76 (a) V + = −V − = 3.4 V (b) 75 ro 2 = = 1250 K 0.06 40 ro 4 = = 666.7 K 0.06 0.06 gm = = 2.308 mA/V 0.026 Ad = ( 2.308 ) (1250 666.7 ) Ad = 1004 11.77 g m1 = 2 K n I Bias1 = 2 ( 0.2 )( 0.25 ) = 0.447 mA/V I CQ 0.75 gm2 = = = 28.85 mA/V VT 0.026 β VT (120 )( 0.026 ) rπ 2 = = = 4.16 kΩ I CQ 0.75
  • 52.
    i0 = gm1Vgs1 + g m 2Vπ 2 Vπ 2 = g m1Vgs1rπ 2 and vi = Vgs1 + Vπ 2 i0 = Vgs1 ( g m1 + g m 2 ⋅ g m1rπ 2 ) vi vi = Vgs1 + g m1Vgs1rπ 2 and Vgs1 = 1 + g m1rπ 2 g m1 (1 + β ) i0 = vi ⋅ 1 + g m1rπ 2 i0 g m1 (1 + β ) ( 0.447 )(121) gm = C = = vi 1 + g m1rπ 2 1 + ( 0.447 )( 4.16 ) ⇒ g m = 18.9 mA/V C 11.78 1 1 r0 ( M 2 ) = = = 500 kΩ λn I DQ ( 0.01)( 0.2 ) VA 80 r0 ( Q2 ) = = = 400 kΩ I CQ 0.2 g m ( M 2 ) = 2 K n I DQ = 2 ( 0.2 )( 0.2 ) = 0.4 mA/V Ad = g m ( M 2 ) ⎡ r0 ( M 2 ) r0 ( Q2 ) ⎤ ⎣ ⎦ = 0.4 ⎡500 400 ⎤ ⇒ Ad = 88.9 ⎣ ⎦ If the IQ current source is ideal, Acm = 0 and C M RRdB = ∞ 11.79 a. b. Assume RL is capacitively coupled. Then
  • 53.
    I CQ +I DQ = I Q VBE 0.7 I DQ = = = 0.0875 mA R1 8 I CQ = 0.9 − 0.0875 = 0.8125 mA g m1 = 2 K P I DQ = 2 (1)( 0.0875 ) ⇒ g m1 = 0.592 mA/V I CQ 0.8125 gm2 = = ⇒ g m 2 = 31.25 mA/V VT 0.026 β VT (100 )( 0.026 ) rπ 2 = = ⇒ rπ 2 = 3.2 kΩ I CQ 0.8125 c. V0 = ( − g m1Vsg − g m 2Vπ 2 ) RL Vi + Vsg = V0 ⇒ Vsg = V0 − Vi Vπ 2 = ( g m1Vsg ) ( R1 rπ 2 ) V0 = − ⎡ g m1Vsg + g m 2 g m1Vsg ( R1 rπ 2 ) ⎤ RL ⎣ ⎦ V0 = − (V0 − Vi ) ⎣ g m1 + g m 2 g m1 ( R1 rπ 2 ) ⎦ RL ⎡ ⎤ ⎡ g m1 + g m 2 g m1 ( R1 rπ 2 ) ⎦ RL ⎤ = ⎣ V0 Av = Vi 1 + ⎡ g m1 + g m 2 g m1 ( R1 rπ 2 ) ⎤ RL ⎣ ⎦ We find g m1 + g m 2 g m1 ( R1 rπ 2 ) = 0.592 + ( 31.25 )( 0.592 ) ( 8 3.2 ) = 42.88 ( 42.88 )( RL ) Then Av = 1 + ( 42.88 )( RL ) 11.80 a. Assume RL is capacitively coupled. 0.7 I DQ = = 0.0875 mA 8 I CQ = 1.2 − 0.0875 = 1.11 mA g m1 = 2 K p I DQ = 2 (1)( 0.0875 ) ⇒ g m1 = 0.592 mA/V I CQ 1.11 gm2 = = ⇒ g m 2 = 42.7 mA/V VT 0.026 β VT (100 )( 0.026 ) rπ 2 = = ⇒ rπ 2 = 2.34 kΩ I CQ 1.11 b.
  • 54.
    Vsg = VX IX = g m 2Vπ 2 + g m1Vsg (g V m1 sg )(R1 rπ 2 ) = Vπ 2 I X = VX ⎡ g m1 + g m 2 g m1 ( R1 rπ 2 ) ⎤ ⎣ ⎦ VX 1 R0 = = IX g m1 + g m 2 g m1 ( R1 rπ 2 ) 1 = ⇒ R0 = 21.6 Ω 0.592 + ( 0.592 )( 42.7 ) ( 8 2.34 ) 11.81 (a) Vo − ( −Vπ ) (1) g m 2Vπ + =0 ro 2 Vo − ( −Vπ ) −Vπ −Vπ ⎛ 1 1⎞ (2) g m 2Vπ + = g m1Vi + + or 0 = g m1Vi − Vπ ⎜ + ⎟ ro 2 ro1 rπ ⎝ ro1 rπ ⎠ g m1Vi Then Vπ = ⎛ 1 1⎞ ⎜ + ⎟ ⎝ ro1 rπ ⎠ From (1)
  • 55.
    1 ⎞ Vo ⎜ g m 2 + ⎟ Vπ + =0 ⎝ ro 2 ⎠ ro 2 ⎛ 1 ⎞ ⎜ gm2 + ⎟ ⎛ 1 ⎞ Vo = −ro 2 ⎜ g m 2 + ⎟ Vπ = −ro 2 g m1Vi ⎝ ro 2 ⎠ ⎝ ro 2 ⎠ ⎛ 1 1⎞ ⎜ + ⎟ ⎝ ro1 rπ ⎠ ⎛ 1 ⎞ − g m1ro 2 ⎜ g m 2 + ⎟ V Av = o = ⎝ ro 2 ⎠ Vi ⎛ 1 1⎞ ⎜ + ⎟ ⎝ ro1 rπ ⎠ Now g m1 = 2 K n I Q = 2 ( 0.25)( 0.025 ) = 0.158 mA / V IQ 0.025 gm2 = = = 0.9615 mA / V VT 0.026 1 1 ro1 = = = 2000 k Ω λ IQ ( 0.02 )( 0.025) VA 50 ro 2 = = = 2000 k Ω I Q 0.025 β VT (100 )( 0.026 ) rπ = = = 104 k Ω IQ 0.025 Then ⎛ 1 ⎞ − ( 0.158 )( 2000 ) ⎜ 0.9615 + ⎟ Av = ⎝ 2000 ⎠ ⇒ Av = −30039 ⎛ 1 1 ⎞ ⎜ + ⎟ ⎝ 2000 104 ⎠ To find Ro; set Vi = 0 ⇒ g m1Vi = 0
  • 56.
    Vx − (−Vπ ) I x = g m 2Vπ + ro 2 Vπ = − I x ( ro1 rπ ) Then ⎛ 1 ⎞ V I x = ⎜ g m 2 + ⎟ ( − I x ) ( ro1 rπ ) + x ⎝ ro 2 ⎠ ro 2 Combining terms, Vx ⎡ ⎛ 1 ⎞⎤ Ro = = ro 2 ⎢1 + ( ro1 rπ ) ⎜ g m 2 + ⎟ ⎥ Ix ⎣ ⎝ ro 2 ⎠ ⎦ ⎡ ⎛ 1 ⎞⎤ = 2000 ⎢1 + ( 2000 104 ) ⎜ 0.9615 + ⎟ ⇒ Ro = 192.2 M Ω ⎣ ⎝ 2000 ⎠ ⎥ ⎦ (b) Vo − ( −Vgs 3 ) (1) g m 3Vgs 3 + =0 ro3 Vo − ( −Vgs 3 ) −Vgs 3 − ( −Vπ 2 ) ⎛ 1 ⎞ Vgs 3 (2) g m 3Vgs 3 + = g m 2Vπ 2 + or 0 = Vπ 2 ⎜ g m 2 + ⎟ − ro3 ro 2 ⎝ ro 2 ⎠ ro 2 Vπ 2 −Vgs 3 − ( −Vπ 2 ) ( −Vπ 2 ) (3) + g m 2Vπ 2 + = g m1Vi + rπ 2 ro 2 ro1 Vgs 3 From (2), Vπ 2 = ⎛ 1 ⎞ ro 2 ⎜ g m 2 + ⎟ ⎝ ro 2 ⎠ Then ⎛ 1 1 1⎞ Vgs 3 (3) Vπ 2 ⎜ + gm2 + + ⎟ = g m1Vi + ⎝ rπ 2 ro 2 ro1 ⎠ ro 2 or
  • 57.
    Vgs 3 ⎡ 1 1 1⎤ Vgs 3 ⎢ + gm2 + + ⎥ = g m1Vi + ⎛ 1 ⎞ r ro 2 ⎜ g m 2 + ⎟ ⎣ π 2 ro 2 ro1 ⎦ ro 2 ⎝ ro 2 ⎠ Vgs 3 ⎡ 1 1 1 ⎤ Vgs 3 ⎛ 1 ⎞⎣ ⎢104 + 0.9615 + 2000 + 2000 ⎥ = 0.9615Vi + 2000 2000 ⎜ 0.9615 + ⎦ ⎟ ⎝ 2000 ⎠ Then Vgs 3 = 1.83 × 105 Vi ⎛ 1 ⎞ −V ⎛ 1 ⎞ ⎟ (1.83 ×10 ) Vi 5 From (1), ⎜ g m 3 + ⎟ Vgs 3 = o or Vo = −2000 ⎜ 0.158 + ⎝ ro 3 ⎠ ro3 ⎝ 2000 ⎠ V Av = o = −5.80 × 107 Vi To find Ro Vx − ( −Vgs 3 ) (1) I x = g m 3Vgs 3 + ro3 Vx − ( −Vgs 3 ) −Vgs 3 − ( −Vπ 2 ) (2) g m 3Vgs 3 + = g m 2Vπ 2 + ro 3 ro 2 (3) Vπ 2 = − I x ( ro1 rπ 2 ) ⎛ 1 ⎞ V From (1) I x = Vgs 3 ⎜ g m 3 + ⎟ + x ⎝ ro 3 ⎠ ro3 ⎛ 1 ⎞ Vx I x = Vgs 3 ⎜ 0.158 + ⎟+ ⎝ 2000 ⎠ 2000 V Ix − x So Vgs 3 = 2000 0.1585
  • 58.
    From (2), ⎡ 1 1 ⎤ V ⎛ 1 ⎞ Vgs 3 ⎢ g m 3 + + ⎥ + x = Vπ 2 ⎜ g m 2 + ⎟ ⎣ ro 3 ro 2 ⎦ ro 3 ⎝ ro 2 ⎠ ⎡ 1 1 ⎤ Vx ⎛ 1 ⎞ Vgs 3 ⎢ 0.158 + + ⎥ + 2000 = Vπ 2 ⎜ 0.9615 + 2000 ⎟ ⎣ 2000 2000 ⎦ ⎝ ⎠ ⎡ I − Vx / 2000 ⎤ Vx Then ⎢ x ⎥ ( 0.159 ) + 2000 = − I x ( 2000 104 ) ( 0.962 ) ⎣ 0.1585 ⎦ V We find Ro = x = 6.09 × 1010 Ω Ix 11.82 Assume emitter of Q1 is capacitively coupled to signal ground. ⎛ 80 ⎞ I CQ = 0.2 ⎜ ⎟ = 0.1975 mA ⎝ 81 ⎠ 0.2 I DQ = = 0.00247 mA 81 (80 )( 0.026 ) rπ = = 10.5 k Ω 0.1975 0.1975 g m ( Q1 ) = = 7.60 mA / V 0.026 gm ( M1 ) = 2 K n I D = 2 ( 0.2 )( 0.00247 ) g m ( M 1 ) = 0.0445 mA / V Vπ Vi = Vgs + Vπ and Vπ = g m ( M 1 ) Vgs rπ or Vgs = g m ( M 1 ) rπ ⎛ 1 ⎞ Vi Then Vi = Vπ ⎜ 1 + ⎜ g (M )r ⎟ or Vπ = ⎟ ⎝ 1 π ⎠ ⎛ 1 ⎞ ⎜1 + m ⎜ g (M ) r ⎟ ⎟ ⎝ m 1 π ⎠ V − g m ( Q1 ) RC Vo = − g m ( Q1 ) Vπ RC ⇒ Av = o = Vi ⎛ 1 ⎞ ⎜1 + ⎜ g (M )r ⎟ ⎟ ⎝ m 1 π ⎠ − ( 7.60 )( 20 ) Then Av = ⇒ Av = −48.4 ⎛ 1 ⎞ ⎜1 + ⎜ ( 0.0445 )(10.5 ) ⎟ ⎟ ⎝ ⎠
  • 59.
    11.83 Using the resultsfrom Chapter 4 for the emitter-follower: ⎡ rπ 9 + r07 R011 ⎤ ⎢ rπ 8 + ⎥ 1+ β R0 = R4 || ⎢ ⎥ ⎢ 1+ β ⎥ ⎢ ⎥ ⎣ ⎦ β VT (100 )( 0.026 ) rπ 8 = = = 2.6 kΩ IC8 1 IC 8 1 IC 9 ≈ = = 0.01 mA β 100 (100 )( 0.026 ) rπ 9 = = 260 kΩ 0.01 V 100 r07 = A = = 500 kΩ I Q 0.2 VA 100 r011 = = = 500 kΩ I Q 0.2 0.2 R011 = r011 [1 + g m RE ] , g m = ′ = 7.69 0.026 (100 ) ( 0.026 ) rπ 11 = = 13 kΩ 0.2 ′ RE = 0.2 13 = 0.197 kΩ R011 = 500 ⎡1 + ( 7.69 )( 0.197 ) ⎤ = 1257 kΩ ⎣ ⎦ Then ⎡ 260 + 500 1257 ⎤ ⎢ 2.6 + ⎥ R0 = 5 || ⎢ 101 ⎥ ⎢ 101 ⎥ ⎢ ⎣ ⎥ ⎦ = 5 0.0863 ⇒ R0 = 0.0848 K ⇒ 84.8 Ω 11.84 Ri = rπ 1 + (1 + β ) rπ 2 (100 )( 0.026 ) rπ 2 = = 5.2 kΩ 0.5 (100 )( 0.026 ) (100 ) ( 0.026 ) 2 rπ 1 = = = 520 kΩ ( 0.5 /100 ) 0.5 Ri = 520 + (101)( 5.2 ) ⇒ Ri ≅ 1.05 MΩ rπ 3 + 50 (100 )( 0.026 ) R0 = 5 , rπ 3 = = 2.6 kΩ 101 1 2.6 + 50 R0 = 5 = 5 0.521 ⇒ R0 = 0.472 kΩ 101
  • 60.
    ⎛V ⎞ V0 = − ⎜ π 3 + g m 3Vπ 3 ⎟ ( 5 ) ⎝ rπ 3 ⎠ ⎛1+ β ⎞ V0 = −Vπ 3 ⎜ ⎟ ( 5) (1) ⎝ rπ 3 ⎠ Vπ 3 (V − V ) = g m 2Vπ 2 + 0 π 3 rπ 3 50 ⎛ 1 1 ⎞ V g m 2Vπ 2 = Vπ 3 ⎜ + ⎟− 0 (2) ⎝ rπ 3 50 ⎠ 50 ⎛V ⎞ Vπ 2 = ⎜ π 1 + g m1Vπ 1 ⎟ rπ 2 ⎝ rπ 1 ⎠ (3) ⎛ 1+ β ⎞ = Vπ 1 ⎜ ⎟ rπ 2 ⎝ rπ 1 ⎠ and Vin = Vπ 1 + Vπ 2 (4) 0.5 gm2 = = 19.23 mA/V 0.026 Then ⎛ 101 ⎞ V0 = −Vπ 3 ⎜ ⎟ ( 5 ) ⇒ Vπ 3 = −V0 ( 0.005149 ) (1) ⎝ 2.6 ⎠ And ⎛ 1 1 ⎞ V 19.23Vπ 2 = −V0 ( 0.005149 ) ⎜ + ⎟− 0 ⎝ 2.6 50 ⎠ 50 (2) = −V0 ( 0.02208 ) Or Vπ 2 = −V0 ( 0.001148 ) And Vπ 1 = Vin − Vπ 2 = Vin + V0 ( 0.001148 ) (4) So ⎛ 101 ⎞ −V0 ( 0.001148 ) = ⎡Vin + V0 ( 0.001148 ) ⎤ ⎜ ⎣ ⎦ 520 ⎟ ( 5.2 ) (3) ⎝ ⎠ V0 −V0 ( 0.001148 ) − V0 ( 0.001159 ) = Vin (1.01) ⇒ Av = = −438 Vin 11.85
  • 61.
    5 I2 = = 1 mA 5 1 VGS 2 = + 0.8 = 2.21 V 0.5 2.21 − ( −5 ) I1 = = 0.206 mA 35 V0 = ( g m 2Vgs 2 ) ( R2 r02 ) Vgs 2 = ( g m1Vsg1 ) ( r01 R1 ) − V0 and Vsg1 = −Vin So Vgs 2 = − ( g m1Vin ) ( r01 R1 ) − V0 Then V0 = g m 2 ( R2 r02 ) ⎡ − ( g m1Vin ) ( r01 R1 ) − V0 ⎤ ⎣ ⎦ V0 − g m 2 ( R2 r02 ) g m1 ( r01 R1 ) Av = = Vin 1 + g m 2 ( R2 r02 ) gm2 = 2 Kn2 I D 2 = 2 ( 0.5 )(1) = 1.414 mA / V g m1 = 2 K p1 I D1 = 2 ( 0.2 )( 0.206 ) = 0.406 mA / V 1 1 r01 = = = 485 kΩ λ1 I D1 ( 0.01)( 0.206 ) 1 1 r02 = = = 100 kΩ λ2 I D 2 ( 0.01)(1) R2 r02 = 5 100 = 4.76 kΩ R1 r01 = 35 485 = 32.6 kΩ − (1.414 )( 4.76 )( 0.406 )( 32.6 ) Then Av = 1 + (1.414 )( 4.76 ) So ⇒ Av = −11.5 Output Resistance—From the results for a source follower in Chapter 6. 1 1 R0 = R2 r02 = 5 100 gm2 1.414 = 0.707 4.76 So R0 = 0.616 kΩ 11.86 a.
  • 62.
    5 R2 = ⇒ R2 = 10 kΩ 0.5 I D2 0.5 VSG 2 = − VTP 2 = + 1 = 2.41 V K p2 0.25 5 − ( −2.41) R1 = ⇒ R1 = 74.1 kΩ 0.1 b. V0 = − ( g m 2Vsg 2 ) ( r02 R2 ) Vsg 2 = V0 − ⎡ − ( g m1Vgs1 ) ( r01 R1 ) ⎤ and Vgs1 = Vin ⎣ ⎦ V0 − ( g m 2 ) ( r02 R2 ) ( g m1 ) ( r01 R1 ) Av = = Vin 1 + ( g m 2 ) ( r02 R2 ) g m1 = 2 K n1 I D1 = 2 ( 0.1)( 0.1) = 0.2 mA / V gm2 = 2 K p 2 I D 2 = 2 ( 0.25)( 0.5) = 0.707 mA / V 1 1 r01 = = = 1000 kΩ λ1 I D1 ( 0.01)( 0.1) 1 1 r02 = = = 200 kΩ λ2 I D 2 ( 0.01)( 0.5 ) r02 R2 = 200 10 = 9.52 kΩ r01 R1 = 1000 74.1 = 69.0 kΩ − ( 0.707 )( 9.52 )( 0.2 )( 69 ) Then Av = 1 + ( 0.707 )( 9.52 ) So ⇒ Av = −12.0 1 1 R0 = R2 r02 = 10 200 gm2 0.707 = 1.414 9.52 Or R0 = 1.23 kΩ 11.87 a. I C 2 = 0.25 mA 5−2 R= ⇒ R = 12 kΩ 0.25 v − VBE ( on ) 2 − 0.7 I C 3 = 02 ⇒ RE1 = ⇒ RE1 = 2.6 kΩ RE1 0.5 5 − v03 5 − 3 RC = = ⇒ RC = 4 kΩ IC 3 0.5 ⎡ v03 − VBE ( on ) ⎤ − ( −5 ) IC 4 = ⎣ ⎦ RE 2 3 − 0.7 + 5 RE 2 = ⇒ RE 2 = 2.43 kΩ 3
  • 63.
    b. Input resistance to base of Q3, Ri 3 = rπ 3 + (1 + β ) RE1 (100 )( 0.026 ) rπ 3 = = 5.2 kΩ 0.5 Ri 3 = 5.2 + (101)( 2.6 ) = 267.8 kΩ v 1 Ad 1 = 02 = g m 2 ( R Ri 3 ) vd 2 0.25 gm2 = = 9.62 mA/V 0.026 1 Ad 1 = ( 9.62 ) (12 267.8 ) ⇒ Ad 1 = 55.2 2 v − β ( RC Ri 4 ) Now 03 = v02 rπ 3 + (1 + β ) RE1 where Ri 4 = rπ 4 + (1 + β ) RE 2 v0 (1 + β ) RE 2 and = v03 rπ 4 + (1 + β ) RE 2 (100 )( 0.026 ) rπ 4 = = 0.867 kΩ 3 v0 (101)( 2.43) = = 0.9965 v03 0.867 + (101)( 2.43) Ri 4 = 0.867 + (101)( 2.43) = 246.3 kΩ rπ 3 = 5.2 kΩ v03 − (100 ) ( 4 246.3) So = = −1.47 v02 5.2 + (101)( 2.6 ) v0 So Ad = = ( 55.2 )( 0.9965 )( −1.47 ) ⇒ Ad = −80.9 vd c. Using Equation (11.32b) − g m 2 ( R Ri 3 ) Acm1 = 2 (1 + β ) R0 1+ rπ 2 (100 )( 0.026 ) rπ 2 = = 10.4 kΩ 0.25 − ( 9.62 ) (12 267.8 ) Acm1 = = −0.0569 = Acm1 2 (101)(100 ) 1+ 10.4 ⎛ v0 ⎞⎛ v03 ⎞ Then Acm = ⎜ ⎟⎜ ⎟ ⋅ Acm1 ⎝ v03 ⎠⎝ v02 ⎠ = ( 0.9965 )( −1.47 )( −0.0569 ) ⇒ Acm = 0.08335 ⎛ 80.9 ⎞ C M RRdB = 20 log10 ⎜ ⎟ ⇒ C M RRdB = 59.7 dB ⎝ 0.08335 ⎠ 11.88 a. 10 − v01 10 − 2 RC1 = = ⇒ RC1 = 80 kΩ I C1 0.1 10 − v04 10 − 6 RC 2 = = ⇒ RC 2 = 20 kΩ IC 4 0.2
  • 64.
    b. v01 − v02 Ad 1 = = − g m1 ( RC1 rπ 3 ) vd 0.1 g m1 = = 3.846 mA/V 0.026 (180 )( 0.026 ) rπ 3 = = 23.4 kΩ 0.2 Ad 1 = − ( 3.846 ) ( 80 23.4 ) ⇒ Ad 1 = −69.6 v04 1 Ad 2 = = g m 4 RC 2 v01 − v02 2 0.2 gm4 = = 7.692 mA/V 0.026 1 Ad 2 = ( 7.692 )( 20 ) = 76.9 2 Then Ad = ( 76.9 )( −69.6 ) ⇒ Ad = −5352 11.89 a. Neglect the effect of r0 in determining the differential-mode gain. v02 1 Ad 1 = = g m 2 ( RC Ri 3 ) where Ri 3 = rπ 3 + (1 + β ) RE vd 2 − β RC 2 A2 = rπ 3 + (1 + β ) RE 12 − 0.7 − ( −12 ) 23.3 I1 = = = 1.94 mA ≈ I C 5 R1 12 1 ⋅ (1.94 ) gm2 = 2 = 37.3 mA/V 0.026 ( 200 )( 0.026 ) rπ 3 = IC 3 1 v02 = 12 − (1.94 )(8) = 4.24 V 2 4.24 − 0.7 IC 3 = = 1.07 mA 3.3 ( 200 )( 0.026 ) rπ 3 = = 4.86 kΩ 1.07 Ri 3 = 4.86 + ( 201)( 3.3) = 668 kΩ 1 Ad 1 = ( 37.3) ⎣8 668⎦ = 147.4 ⎡ ⎤ 2 Then Ad = Ad 1 ⋅ A2 = (147.4 )( −1.197 ) ⇒ Ad = −176 VA 80 R0 = r05 = = = 41.2 kΩ I C 5 1.94 − g m 2 ( RC Ri 3 ) Acm1 = 2 (1 + β ) R0 1+ rπ 2 ( 200 )( 0.026 ) rπ 2 = = 5.36 kΩ 1 ⋅ (1.94 ) 2
  • 65.
    − ( 37.3)( 8 668 ) Acm1 = = −0.09539 2 ( 201)( 41.2 ) 1+ 5.36 A2 = −1.197 Acm = ( −0.09539 )( −1.197 ) ⇒ Acm = 0.114 b. vd = v1 − v2 = 2.015sin ω t − 1.985sin ω t vd = 0.03sin ω t ( V ) v +v vcm = 1 2 = 2.0sin ω t 2 v03 = Ad vd + Acm vcm = ( −176 )( 0.03) + ( 0.114 )( 2 ) Or v03 = −5.052sin ω t Ideal, Acm = 0 So v03 = Ad vd = ( −176 )( 0.03) v03 = −5.28sin ω t c. Rid = 2rπ 2 = 2 ( 5.36 ) ⇒ Rid = 10.72 kΩ 2 Ricm ≅ 2 (1 + β ) R0 (1 + β ) r0 VA 80 r0 = = = 82.5 kΩ IC 2 1 ⋅ (1.94 ) 2 2 Ricm = ⎡ 2 ( 201)( 41.2 ) ⎤ ⎡( 201)( 82.5 ) ⎤ ⎣ ⎦ ⎣ ⎦ = 16.6 MΩ 16.6 MΩ So ⇒ Ricm = 4.15 MΩ 11.90 a. 24 − VGS 4 = kn (VGS 4 − VTh ) 2 I1 = R1 24 − VGS 4 = ( 55 )( 0.2 )(VGS 4 − 2 ) 2 24 − VGS 4 = 11 (VGS 4 − 4VGS 4 + 4 ) 2 2 11VGS 4 − 43VGS 4 + 20 = 0 ( 43) − 4 (11)( 20 ) 2 43 ± VGS 4 = = 3.37 V 2 (11) 24 − 3.37 I1 = = 0.375 mA = I Q 55 ⎛ 0.375 ⎞ v02 = 12 − ⎜ ⎟ ( 40 ) = 4.5 V ⎝ 2 ⎠ v02 − VGS 3 = I D 3 = kn (VGS 3 − VTh ) 2 R5
  • 66.
    4.5 − VGS3 = ( 0.2 ) ( 6 ) (VGS 3 − 4VGS 3 + 4 ) 2 2 1.2VGS 3 − 3.8VGS 3 + 0.3 = 0 ( 3.8) − 4 (1.2 ) ( 0.3) 2 3.8 ± VGS 3 = = 3.09 V 2 (1.2 ) 4.5 − 3.09 I D3 = = 0.235 mA 6 ( 0.2 ) ⎛ 0.375 ⎞ gm2 = 2 Kn I D2 = 2 ⎜ ⎟ ⎝ 2 ⎠ = 0.387 mA/V 1 1 Ad 1 = g m 2 RD = ( 0.387 )( 40 ) ⇒ Ad 1 = 7.74 2 2 − g m 3 RD 2 A2 = 1 + g m 3 R5 g m3 = 2 K n I D3 = 2 ( 0.2 )( 0.235 ) = 0.434 mA/V − ( 0.434 ) ( 4 ) A2 = = −0.482 1 + ( 0.434 )( 6 ) So Ad = Ad 1 ⋅ A2 = ( 7.74 ) ( −0.482 ) ⇒ Ad = −3.73 1 1 R0 = r05 = = = 133 kΩ λ I Q ( 0.02 )( 0.375 ) − g m 2 RD − ( 0.387 ) ( 40 ) Acm1 = = 1 + 2 g m 2 R0 1 + 2 ( 0.387 ) (133) = −0.149 Acm = ( −0.149 )( −0.482 ) ⇒ Acm = 0.0718 b. vd = v1 − v2 = 0.3sin ω t v +v vcm = 1 2 = 2sin ω t 2 v03 = Ad vd + Acm vcm = ( −3.73)( 0.3) + ( 0.0718 )( 2 ) ⇒ v03 = −0.975sin ω t ( V ) Ideal, Acm = 0 v03 = Ad vd = ( −3.73)( 0.3) Or ⇒ v03 = −1.12sin ω t ( V ) 11.91 The low-frequency, one-sided differential gain is
  • 67.
    v02 1 ⎛ r ⎞ Av 2 = = g m RC ⎜ π ⎟ vd 2 ⎝ rπ + RB ⎠ 1 ⋅ β RC = 2 rπ + RB (100 )( 0.026 ) rπ = = 5.2 kΩ 0.5 1 ⋅ (100 )(10 ) Av 2 = 2 ⇒ Av 2 = 87.7 5.2 + 0.5 CM = Cμ (1 + g m RC ) 0.5 gm = = 19.23 mA/V 0.026 CM = 2 ⎡1 + (19.23)(10 ) ⎤ ⇒ CM = 387 pF ⎣ ⎦ 1 fH = 2π ⎡ rπ RB ⎤ ( Cπ + CM ) ⎣ ⎦ 1 = So ⇒ f H = 883 kHz 2π ⎣5.2 0.5⎦ × 10 × ( 8 + 387 ) × 10−12 ⎡ ⎤ 3 11.92 1 1 a. From Equation (11.117), f Z = = 2π R0 C0 2π ( 5 × 106 )( 0.8 × 10−12 ) Or f Z = 39.8 kHz b. From Problem 11.69, f H = 883 kHz. From Equation (11.116(b)), the low-frequency common- mode gain is − g m RC Acm = ⎡⎛ RB ⎞ 2 (1 + β ) R0 ⎤ ⎢⎜ 1 + ⎟+ ⎥ ⎣⎝ rπ ⎠ rπ ⎦ rπ = 5.2 kΩ, g m = 19.23 mA/V So − (19.23)(10 ) Acm = ⎡⎛ 0.5 ⎞ 2 (101) ( 5 × 106 ) ⎤ ⎢⎜ 1 + ⎟+ ⎥ ⎢⎝ 5.2 ⎠ 5.2 × 103 ⎥ ⎣ ⎦ −4 = −9.9 × 10 ⎛ 87.7 ⎞ C M RRdB = 20 log10 ⎜ −4 ⎟ = 98.9 dB ⎝ 9.9 × 10 ⎠
  • 68.
    11.93 gm a. From Equation (7.72), fT = 2π ( Cπ + Cμ ) 1 gm = = 38.46 mA/V 0.026 38.46 × 10−3 Then 800 × 106 = 2π ( Cπ + Cμ ) Or Cπ + Cμ = 7.65 × 10−12 F = 7.65 pF And Cπ = 6.65 pF CM = Cμ (1 + g m RC ) = 1 ⎡1 + ( 38.46 )(10 ) ⎤ ⎣ ⎦ = 386 pF 1 fH = 2π ⎡ rπ RB ⎤ ( Cπ + CM ) ⎣ ⎦ (120 )( 0.026 ) rπ = = 3.12 kΩ 1 1 fH = 2π ⎡3.12 1⎤ × 10 × ( 6.65 + 386 ) × 10−12 ⎣ ⎦ 3 Or f H = 535 kHz 1 1 b. From Equation (11.140), f Z = = 2π R0 C0 2π (10 × 106 )(10−12 ) Or f Z = 15.9 kHz 11.94 The differential-mode half circuit is: ⎛v ⎞ ⎛1⎞ g m ⎜ d ⎟ RC ⎜ ⎟ β RC v02 = ⎝ 2⎠ or Av = ⎝ 2⎠ ⎛1+ β ⎞ rπ + (1 + β ) RE 1+ ⎜ ⎟ RE ⎝ rπ ⎠ (100 )( 0.026 ) rπ = = 5.2 kΩ 0.5 ⎛1⎞ ⎜ ⎟ (100 )(10 ) 500 Av = ⎝ ⎠ 2 = 5.2 + (101) RE 5.2 + (101) RE
  • 69.
    a. For RE = 0.1 kΩ : Av = 32.7 b. For RE = 0.25 kΩ : Av = 16.4