The
                       potential
                       energy of
                       the water at
                       the top of a
                       waterfall is
                       transformed
                       into kinetic
                       energy in
                       spectacular
                       fashion.




The Importance of
Energy Changes and
Electron Transfer in
Metabolism
The synthesis of glucose and other sugars in plants, the production of ATP from ADP, and the elaboration of
proteins and other biological molecules are all processes in which the Gibbs free energy of the system must
increase. They occur only through coupling to other processes in which the Gibbs free energy decreases by an
even larger amount. There is a local decrease in entropy at the expense of higher entropy of the universe.




                                                                                                               p.416
Ilya Prigogine (1977)
won Nobel Prize
How are oxidation and reduction involved in
metabolism?
 Oxidation-reduction reactions: redox reactions; electrons
  are transferred from donor to acceptor.
 Oxidation : loss of electrons; reduction: the gain of
  electrons
 Substance that losses e- : the one that is oxidized (reducing
  agent/reductant)
 Substance that gains e- : the one that is reduced (oxidizing
  agent/oxidant)
eg. Oxidation     alcohol       aldehyde       Carboxylic acid    CO2
process
    alkane
The half reaction of oxidation of
ethanol to acetaldehyde




                                    Many biologically
                                    important redox
                                    reactions involve
                                    coenzymes, such as
                                    NADH and FADH2.
                                    These coenzymes
                                    appear in many
                                    reactions as one of
                                    the half-reactions that
                                    can be written for a
                                    redox reaction.




                                                       p.420
Another important electron acceptor is the oxidized form of FADH2.




                                   Other several coenzymes contain flavin
                                   group; derived from the vitamin riboflavin
                                   (vit B2)




                                                                                p.421
 ATP can be hydrolized
  easily and the reaction
  releases energy
 The coupling of energy-
  producing reactions
  and energy-requiring
  reactions is a central
  feature in metabolism
  of all organisms
 The phosphorylation of
  ADP to produce ATP
  requires energy (can be
  supplied by oxidation
  of nutrients)
 The hydrolysis from
  ATP to ADP releases
  energy

                            FIGURE 15.5 The phosphoric anhydride bonds in ATP are
                            “highenergy” bonds, referring to the fact that they require or release
                            convenient amounts of energy, depending on the direction of the
                            reaction.
“High energy bond”
 High energy bond: term
  for a reaction in which
  hydrolysis for a specific
  bond releases a useful
  amount of energy.
 Another way to indicate
  such a bond is ~P.
 The energy of hydrolysis
  of ATP is not stored
  energy, just an electric
  current – ATP and electric
  current must be produced
  when they are needed.




                         FIGURE 15.7 Hydrolysis of ATP to ADP (and/or hydrolysis of ADP to AMP)
Table 15-1, p.425
Fig. 15-8, p.425
The oxidation processes takes
                      place when the organism needs
                      the energy that can be generated
                      by the hydrolysis of ATP

                   Example:
                   Let’s examine biological reaction that
                   release energy.

                   Glucose       2 Lactate ions
                   ∆G°’= -184.5 kJmol-1= -44.1 kcal mol-1

                   2 ADP + 2 Pi     2 ATP
                   ∆G°’= 61.0 kJ m mol-1= 14.6 kcal mol-1

                   The overall reaction:
                   Glucose + 2 ADP + 2 Pi      2 Lactate
                   ions + 2 ATP
                       The hydrolysis of ATP produced by
                       breakdown of glucose can be
                       coupled by endergonic processes.
                       eg. muscle contraction in exercise
                       (jogger/long distance-swimmer)
Fig. 15-9, p.426
Activation process is where a step
frequently encountered in
metabolism. A component of
metabolic pathway (metabolite) is
bonded to other molecule,
coenzyme, and the free enrgy
change for breaking this new bond is
negative.
eg. A – metabolite, B – substance

A + coenzyme A-coenzyme
A-coenzyme + B AB + coenzyme

Example of coenzyme: coenzyme A
(CoA)



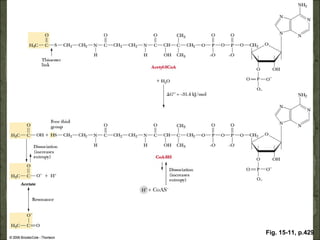
                                       Fig. 15-10, p.428
Fig. 15-11, p.429
Fig. 15-12, p.430
 In carbohydrate metabolism, glucose-6-phosphate reacts
NADP+ to give 6-phosphoglucono-δ-lactone. In this reaction, which
substance is oxidized and which is reduced? Which substance is
oxidizing agent and which is reducing agent?
 there is a reaction in which succinate reacts with FAD to give
fumarate and FADH2. In this reaction, which substance is oxidized
and which is reduced? Which substance is oxidizing agent and
which is reducing agent?
Electron transport and
oxidative phosphorylation
 Oxidative phosphorylation: the synthesis of ATP from
  ADP using energy from mitochondrial electron transfer
  from NADH + H+ and FADH2 to O2. (ADP + Pi ATP)
 Give rise to most of the ATP production associated with
  the complete oxidation of glucose.
 Substrate-level phosphorylation: the synthesis of ATP
  from ADP using energy from the direct metabolism of a
  high energy reactant.
  (A-P + ADP B + ATP).

This reaction occur in glycolysis and Kreb cycle
 (carbohydrate metabolism).
Fig. 20-1, p.541
C6H12O6 + 6O2   6CO2 + 6H2O + 36 ATP


 Note: on average, 2.5 moles of
 ATP are generated for each
 mole of NADH and 1.5 moles of
 ATP are produced for each mole
 of FADH2.
                                       Fig. 20-2, p.541
Essential information
   The e- transport chain consists of four multi-subunit
    membrane-bound complexes and two mobile e- carriers
    (CoQ and cytochrome c)
   The reaction that take place in three of these complexes
    generate enough energy to drive the phosphorylation of
    ADP to ATP.

• Complex I
   known as NAD-CoQ oxidoreductase – catalyzes the
    first steps of e- transport chain. (NADH to CoQ)
   this complex includes several proteins that contain an
    iron-sulfur cluster and the flavoprotein that oxidizes
    NADH.
   proven to be a challenging task because of its
    complexity (iron-sulfur clusters).
  • CoQ is mobile - it is free to move in the membrane and pass the e -
    to complex III for further transport to O2
NADH + H+ + CoQ → NAD+ + CoQH2




                                 Fig. 20-5, p.546
Complex II
   catalyzes the transfer of e- to CoQ, known as succinate-
    CoQ oxidoreductase.
   its source of e- is differs from oxidizable substrate
    (NADH) – the substrate is succinate (from TCA/Kreb
    cycle), which is oxidized to fumarate by a flavin enzyme.

    Succinate + E-FAD → Fumarate + E-FADH2
    E-FADH2 + Fe-Soxidized → E-FAD + Fe-Sreduced
    Fe-Sreduced + CoQ + 2H+ → Fe-Soxidized + CoQH2

   the overall reaction is exergonic, but there’s not enough
    energy to drive ATP production + no hydrogen ions
    pumped out of the matrix during this step.
Complex III
   CoQH2-cytochrome c oxidoreductase (cyt reductase)
    catalyzes the oxidation of reduced coenzyme Q (CoQH2) –
    the e- are passed along to cyt c.
CoQH2 + 2 Cyt c [Fe (III)] → CoQ + 2 Cyt c [Fe (II)] + 2 H+
note: the oxidation of CoQ involves two e-, whereas the reduction of Fe (III)
  to Fe (II) requires only one e- → two molecules of cyt c are required for
  every molecule of CoQ
Complex IV
  The 4th complex, cytochrome c oxidase, catalyzes the final
   steps of e- transport → transfer the e- from cyt c to oxygen.
  cytochrome c oxidase is an integral part of the inner
   mitochondrial membrane and contains cyt a and a3 and
   two Cu2+ (is an intermediate e- acceptors that lie between
   two a-type cyt).
  The overall reaction:
 2 Cyt c [Fe(II)] + 2 H+ + ½ O2 → 2 Cyt c [Fe(III)] + H2O
   Cyt c → Cyt a → Cu2+ → Cyt a3 → O2
  Both cyt a form the complex known as cytochrome
   oxidase. The reduced cytochrome oxidase is then
   oxidized by O2, which reduced to water.
So, from all four complexes, there are 3 places where e-
transport is coupled to ATP production by proton pumping:
    NADH dehydrogenase reaction
   Oxidation of cyt b
   Reaction of cytochrome oxidase with O2
Cytochromes and other Iron-Containing Proteins
                      of Electron Transport




                                                                  Fig. 20-9, p.551

NADH, FMN and CoQ, the cytochromes are macromolecules and found in all types
of organisms and located in membrane.
p.551
Fig. 20-13, p.555
In glycolysis (carbohydrate metabolism), the NADH
 produced in cytosol, but NADH in the cytosol cannot
 cross the inner mitochondrial membrane to enter the
 e- transport chain.
The e- can be transferred to a carrier that can cross the
 membrane.
The number of ATP generated depends on the nature
 of the carrier.
Glycerol-phosphate shuttle
- This mechanism observed in
mammalian muscles and brain.
                               Fig. 20-21, p.561
Malate-aspartate shuttle
                    - Has been found in
Fig. 20-22, p.562   mammalian kidney, liver
                    and heart.
Table 20-3, p.563
4 different sources of energy
available for working muscles
after rest:

• Creatine phosphate- reacts
directly in substrate-level
phosphorylation to produce
ATP
• Glucose from glycogen
muscles stores; initially
consumed by anaerobic
metabolism
• Glucose from the liver
(glycogen stores and
gluconeogenesis) – consumed
by anaerobic metabolism
• Aerobic metabolism in the
muscles mitochondria.

Ch01 cont.

  • 1.
    The potential energy of the water at the top of a waterfall is transformed into kinetic energy in spectacular fashion. The Importance of Energy Changes and Electron Transfer in Metabolism
  • 2.
    The synthesis ofglucose and other sugars in plants, the production of ATP from ADP, and the elaboration of proteins and other biological molecules are all processes in which the Gibbs free energy of the system must increase. They occur only through coupling to other processes in which the Gibbs free energy decreases by an even larger amount. There is a local decrease in entropy at the expense of higher entropy of the universe. p.416
  • 3.
  • 4.
    How are oxidationand reduction involved in metabolism?  Oxidation-reduction reactions: redox reactions; electrons are transferred from donor to acceptor.  Oxidation : loss of electrons; reduction: the gain of electrons  Substance that losses e- : the one that is oxidized (reducing agent/reductant)  Substance that gains e- : the one that is reduced (oxidizing agent/oxidant) eg. Oxidation alcohol aldehyde Carboxylic acid CO2 process alkane
  • 5.
    The half reactionof oxidation of ethanol to acetaldehyde Many biologically important redox reactions involve coenzymes, such as NADH and FADH2. These coenzymes appear in many reactions as one of the half-reactions that can be written for a redox reaction. p.420
  • 6.
    Another important electronacceptor is the oxidized form of FADH2. Other several coenzymes contain flavin group; derived from the vitamin riboflavin (vit B2) p.421
  • 7.
     ATP canbe hydrolized easily and the reaction releases energy  The coupling of energy- producing reactions and energy-requiring reactions is a central feature in metabolism of all organisms  The phosphorylation of ADP to produce ATP requires energy (can be supplied by oxidation of nutrients)  The hydrolysis from ATP to ADP releases energy FIGURE 15.5 The phosphoric anhydride bonds in ATP are “highenergy” bonds, referring to the fact that they require or release convenient amounts of energy, depending on the direction of the reaction.
  • 8.
    “High energy bond” High energy bond: term for a reaction in which hydrolysis for a specific bond releases a useful amount of energy.  Another way to indicate such a bond is ~P.  The energy of hydrolysis of ATP is not stored energy, just an electric current – ATP and electric current must be produced when they are needed. FIGURE 15.7 Hydrolysis of ATP to ADP (and/or hydrolysis of ADP to AMP)
  • 9.
  • 10.
  • 11.
    The oxidation processestakes place when the organism needs the energy that can be generated by the hydrolysis of ATP Example: Let’s examine biological reaction that release energy. Glucose 2 Lactate ions ∆G°’= -184.5 kJmol-1= -44.1 kcal mol-1 2 ADP + 2 Pi 2 ATP ∆G°’= 61.0 kJ m mol-1= 14.6 kcal mol-1 The overall reaction: Glucose + 2 ADP + 2 Pi 2 Lactate ions + 2 ATP The hydrolysis of ATP produced by breakdown of glucose can be coupled by endergonic processes. eg. muscle contraction in exercise (jogger/long distance-swimmer) Fig. 15-9, p.426
  • 12.
    Activation process iswhere a step frequently encountered in metabolism. A component of metabolic pathway (metabolite) is bonded to other molecule, coenzyme, and the free enrgy change for breaking this new bond is negative. eg. A – metabolite, B – substance A + coenzyme A-coenzyme A-coenzyme + B AB + coenzyme Example of coenzyme: coenzyme A (CoA) Fig. 15-10, p.428
  • 13.
  • 14.
  • 15.
     In carbohydratemetabolism, glucose-6-phosphate reacts NADP+ to give 6-phosphoglucono-δ-lactone. In this reaction, which substance is oxidized and which is reduced? Which substance is oxidizing agent and which is reducing agent?
  • 16.
     there isa reaction in which succinate reacts with FAD to give fumarate and FADH2. In this reaction, which substance is oxidized and which is reduced? Which substance is oxidizing agent and which is reducing agent?
  • 17.
  • 18.
     Oxidative phosphorylation:the synthesis of ATP from ADP using energy from mitochondrial electron transfer from NADH + H+ and FADH2 to O2. (ADP + Pi ATP)  Give rise to most of the ATP production associated with the complete oxidation of glucose.  Substrate-level phosphorylation: the synthesis of ATP from ADP using energy from the direct metabolism of a high energy reactant. (A-P + ADP B + ATP). This reaction occur in glycolysis and Kreb cycle (carbohydrate metabolism).
  • 19.
  • 20.
    C6H12O6 + 6O2 6CO2 + 6H2O + 36 ATP Note: on average, 2.5 moles of ATP are generated for each mole of NADH and 1.5 moles of ATP are produced for each mole of FADH2. Fig. 20-2, p.541
  • 21.
    Essential information  The e- transport chain consists of four multi-subunit membrane-bound complexes and two mobile e- carriers (CoQ and cytochrome c)  The reaction that take place in three of these complexes generate enough energy to drive the phosphorylation of ADP to ATP. • Complex I  known as NAD-CoQ oxidoreductase – catalyzes the first steps of e- transport chain. (NADH to CoQ)  this complex includes several proteins that contain an iron-sulfur cluster and the flavoprotein that oxidizes NADH.  proven to be a challenging task because of its complexity (iron-sulfur clusters). • CoQ is mobile - it is free to move in the membrane and pass the e - to complex III for further transport to O2
  • 22.
    NADH + H++ CoQ → NAD+ + CoQH2 Fig. 20-5, p.546
  • 23.
    Complex II  catalyzes the transfer of e- to CoQ, known as succinate- CoQ oxidoreductase.  its source of e- is differs from oxidizable substrate (NADH) – the substrate is succinate (from TCA/Kreb cycle), which is oxidized to fumarate by a flavin enzyme. Succinate + E-FAD → Fumarate + E-FADH2 E-FADH2 + Fe-Soxidized → E-FAD + Fe-Sreduced Fe-Sreduced + CoQ + 2H+ → Fe-Soxidized + CoQH2  the overall reaction is exergonic, but there’s not enough energy to drive ATP production + no hydrogen ions pumped out of the matrix during this step.
  • 24.
    Complex III  CoQH2-cytochrome c oxidoreductase (cyt reductase) catalyzes the oxidation of reduced coenzyme Q (CoQH2) – the e- are passed along to cyt c. CoQH2 + 2 Cyt c [Fe (III)] → CoQ + 2 Cyt c [Fe (II)] + 2 H+ note: the oxidation of CoQ involves two e-, whereas the reduction of Fe (III) to Fe (II) requires only one e- → two molecules of cyt c are required for every molecule of CoQ
  • 25.
    Complex IV The 4th complex, cytochrome c oxidase, catalyzes the final steps of e- transport → transfer the e- from cyt c to oxygen.  cytochrome c oxidase is an integral part of the inner mitochondrial membrane and contains cyt a and a3 and two Cu2+ (is an intermediate e- acceptors that lie between two a-type cyt).  The overall reaction: 2 Cyt c [Fe(II)] + 2 H+ + ½ O2 → 2 Cyt c [Fe(III)] + H2O Cyt c → Cyt a → Cu2+ → Cyt a3 → O2  Both cyt a form the complex known as cytochrome oxidase. The reduced cytochrome oxidase is then oxidized by O2, which reduced to water.
  • 26.
    So, from allfour complexes, there are 3 places where e- transport is coupled to ATP production by proton pumping:  NADH dehydrogenase reaction Oxidation of cyt b Reaction of cytochrome oxidase with O2
  • 27.
    Cytochromes and otherIron-Containing Proteins of Electron Transport Fig. 20-9, p.551 NADH, FMN and CoQ, the cytochromes are macromolecules and found in all types of organisms and located in membrane.
  • 28.
  • 29.
  • 30.
    In glycolysis (carbohydratemetabolism), the NADH produced in cytosol, but NADH in the cytosol cannot cross the inner mitochondrial membrane to enter the e- transport chain. The e- can be transferred to a carrier that can cross the membrane. The number of ATP generated depends on the nature of the carrier.
  • 31.
    Glycerol-phosphate shuttle - Thismechanism observed in mammalian muscles and brain. Fig. 20-21, p.561
  • 32.
    Malate-aspartate shuttle - Has been found in Fig. 20-22, p.562 mammalian kidney, liver and heart.
  • 33.
  • 34.
    4 different sourcesof energy available for working muscles after rest: • Creatine phosphate- reacts directly in substrate-level phosphorylation to produce ATP • Glucose from glycogen muscles stores; initially consumed by anaerobic metabolism • Glucose from the liver (glycogen stores and gluconeogenesis) – consumed by anaerobic metabolism • Aerobic metabolism in the muscles mitochondria.

Editor's Notes

  • #2 The potential energy of the water at the top of a waterfall is transformed into kinetic energy in spectacular fashion.
  • #3 The synthesis of glucose and other sugars in plants, the production of ATP from ADP, and the elaboration of proteins and other biological molecules are all processes in which the Gibbs free energy of the system must increase. They occur only through coupling to other processes in which the Gibbs free energy decreases by an even larger amount. There is a local decrease in entropy at the expense of higher entropy of the universe.
  • #4 The characteristics of isolated, closed, and open systems. Isolated systems exchange neither matter nor energy with their surroundings. Closed systems may exchange energy, but not matter, with their surroundings. Open systems may exchange either matter or energy with the surroundings.
  • #5 FIGURE 15.2 Comparison of the state of reduction of carbon atoms in biomolecules: -CH2O- (fats) >-CHOH- (carbohydrates) >- C=O (carbonyls) >-COOH (carboxyls) > CO2 (carbon dioxide, the final product of catabolism).
  • #11 FIGURE 15.8 When phosphoenolpyruvate is hydrolyzed to pyruvate and phosphate, it results in an increase in entropy. Both the formation of the keto form of pyruvate and the resonance structures of phosphate lead to the increase in entropy.
  • #12 FIGURE 15.9 The role of ATP as energy currency in processes that release energy and processes that use energy.
  • #13 FIGURE 15.10 (a) The structure of coenzyme A. (b) Space-filling model of coenzyme A.
  • #14 FIGURE 15.11 The hydrolysis of acetyl-CoA. The products are stabilized by resonance and by dissociation.
  • #15 FIGURE 15.12 The role of electron transfer and ATP production in metabolism. NAD+, FAD, and ATP are constantly recycled.
  • #20 FIGURE 20.1 A proton gradient is established across the inner mitochondrial membrane as a result of electron transport. Transfer of electrons through the electron transport chain leads to the pumping of protons from the matrix to the intermembrane space. The proton gradient (also called the pH gradient), together with the membrane potential (a voltage across the membrane), provides the basis of the coupling mechanism that drives ATP synthesis.
  • #21 FIGURE 20.2 Schematic representation of the electron transport chain, showing sites of proton pumping coupled to oxidative phosphorylation. FMN is the flavin coenzyme f lavin m ono n ucleotide, which differs from FAD in not having an adenine nucleotide. CoQ is coenzyme Q (see Figure 20.4). Cyt b , cyt c 1, cyt c , and cyt aa 3 are the hemecontaining proteins cytochrome b , cytochrome c 1, cytochrome c , and cytochrome aa 3, respectively.
  • #22 FIGURE 20.4 The oxidized and reduced forms of coenzyme Q. Coenzyme Q is also called ubiquinone.
  • #23 FIGURE 20.5 The electron transport chain, showing the respiratory complexes. In the reduced cytochromes, the iron is in the Fe(II) oxidation state; in the oxidized cytochromes, the oxygen is in the Fe(III) oxidation state.
  • #25 FIGURE 20.7 The compositions and locations of respiratory complexes in the inner mitochondrial membrane, showing the flow of electrons from NADH to O2. Complex II is not involved and not shown. NADH has accepted electrons from substrates such as pyruvate, isocitrate,  -ketoglutarate, and malate. Note that the binding site for NADH is on the matrix side of the membrane. Coenzyme Q is soluble in the lipid bilayer. Complex III contains two b -type cytochromes, which are involved in the Q cycle. Cytochrome c is loosely bound to the membrane, facing the intermembrane space. In Complex IV, the binding site for oxygen lies on the side toward the matrix.
  • #28 FIGURE 20.9 The heme group of cytochromes. (a) Structures of the heme of all b cytochromes and of hemoglobin and myoglobin. The wedge bonds show the fifth and sixth coordination sites of the iron atom. (b) A comparison of the side chains of a and c cytochromes to those of b cytochromes.
  • #30 FIGURE 20.13 The creation of a proton gradient in chemiosmotic coupling. The overall effect of the electron transport reaction series is to move protons (H+) out of the matrix into the intermembrane space, creating a difference in pH across the membrane.
  • #32 FIGURE 20.21 The glycerol–phosphate shuttle.
  • #33 FIGURE 20.22 The malate–aspartate shuttle.
  • #35 Cancer survivor and champion cyclist Lance Armstrong on his way to a third Tour de France victory.