TESIS

ANALISIS CAPITAL ASSET PRICING MODEL DAN
ARBITRAGE PRICING THEORY DALAM MEMPREDIKSI
RETURN SAHAM INDUSTRI MANUFAKTUR YANG
TERCATAT DI BURSA EFEK INDONESIA

AN ANALYSIS ON CAPITAL ASSET PRICING MODEL AND
ARBITRAGE PRICING THEORY IN PREDECTING STOCK RETURN
OF MANUFACTURE INDUSTRY LISTED IN
INDONESIA STOCK EXCHANGE

MUSDALIFAH

PROGRAM PASCASARJANA
UNIVERSITAS HASANUDDIN
MAKASSAR
2009
Analisis Capital Asset Pricing Model Dan Arbitrage Pricing
Theory Dalam Memprediksi Return Saham Industri
Manufaktur Yang Tercatat Di Bursa Efek Indonesia

TESIS
Sebagai Salah Satu Syarat untuk Mencapai Gelar Magister

Program Studi
Manajemen dan Keuangan

Disusun dan Diajukan oleh

MUSDALIFAH

Kepada

PROGRAM PASCASARJANA
UNIVERSITAS HASANUDDIN
MAKASSAR
2009

ii
LEMBAR PENGESAHAN
TESIS

Analisis Capital Asset Pricing Model dan Arbitrage Pricing Theory
Dalam Memprediksi Return saham Industri Manufaktur
yang tercatat di Bursa Efek Indonesia

Disusun dan diajukan oleh
MUSDALIFAH
Nomor Pokok P1700207035

Program Studi
Manajamen dan Keuangan

Menyetujui
Komisi Penasihat,

Ketua

Anggota

Prof. Dr. H. Syamsu Alam, SE., M.Si

Ketua Program Studi

Dr. Jusni, SE.,M.Si

Dekan

Manajemen dan Keuangan

Fakultas Ekonomi

Prof. Dr. H. Osman Lewangka, MA

iii

Prof. Dr. H. Muh. Yunus Zain, MA
PERNYATAAN KEASLIAN TESIS

Yang bertanda tangan di bawah ini :
Nama

: Musdalifah

Nomor Mahasiswa : P1700207035
Program Studi

: Manajemen dan Keuangan

Menyatakan dengan sebenarnya bahwa tesis yang saya tulis ini
benar – benar merupakan hasil karya saya sendiri, bukan merupakan
pengambilalihan tulisan atau pemikiran orang lain. Apabila di kemudian
hari terbukti atau dapat dibuktikan bahwa sebagian atau keseluruhan tesis
ini hasil karya orang lain, saya bersedia menerima sanksi atas perbuatan
tersebut.

Makassar, 1 Juni 2009
Yang menyatakan,

(Musdalifah)

iv
PRAKATA

Puji syukur penulis panjatkan ke hadirat Allah SWT dengan
selesainya penyusunan tesis ini.
Gagasan

yang

melatari

tajuk

permasalahan

ini

timbul

dari

pengamatan penulis terhadap fluktuasi return saham industri manufaktur
yang tercatat di Bursa Efek Indonesia. Dan dalam pengamatan penulis
bahwa return saham dapat diprediksi dengan menggunakan dua model
yang paling populer yaitu Capital Asset Pricing Model (CAPM) dan Model
Arbitrage Pricing Theory (APT). Penulis bermaksud menyumbangkan
beberapa konsep yang menjadi dasar perbedaan kedua model tersebut
sehingga mengetahui seberapa besar perbedaan akurasi Capital Asset
Pricing Model (CAPM) dan Model Arbitrage Pricing Theory (APT) dalam
memprediksi return saham industri manufaktur yang tercatat di Bursa Efek
Indonesia.
Penulis menghadapi banyak kendala dalam menyusun tesis ini,
tetapi alhamdulillah atas bantuan dukungan moral dari berbagai pihak,
maka tesis ini selesai pada waktunya. Dalam kesempatan ini penulis
dengan tulus menyampaikan terima kasih kepada Prof.Dr.H.Syamsu
Alam, SE.,M.Si selaku Ketua Komisi Penasihat dan Dr.Jusni,SE.,M.Si
selaku Anggota Komisi Penasehat.
Makassar, 18 Juli 2009
Musdalifah

v
ABSTRAK

MUSDALIFAH. Analisis Capital Asset Pricing Model dan Arbitrage Pricing
Theory Dalam Memprediksi Return Saham Industri manufaktur yang
tercatat di Bursa Efek Indonesia (dibimbing oleh Syamsu Alam dan Jusni).
Penelitian ini bertujuan untuk menunjukkan pengaruh Premi Risiko
dengan Capital Asset Pricing Model, dan pengaruh Inflasi, SBI, Kurs
dengan model Arbitrage Pricing Theory dalam memprediksi return saham,
dan perbedaan Expected Return Capital Asset Pricing Model dan
Expected Return Arbitrage Pricing Theory, serta perbedaan
penyimpangan rata-rata absolut Capital Asset Pricing Model dan model
Arbitrage Pricing Theory pada saham industri manufaktur yang tercatat di
Bursa Efek Indonesia.
Penelitian ini menggunakan metode purpose sampling. Data dianalisis
dengan analisis regresi dan uji beda dua rata – rata sampel.
Premi Risiko yang diukur dengan Capital Asset Pricing Model dan
Inflasi, SBI, Kurs yang diukur dengan model Arbitrage Pricing Theory
menyatakan bahwa variabel tersebut secara bersama-sama mempunyai
pengaruh dalam memprediksi return saham. Dan pengujian beda dua
rata-rata menyatakan bahwa Expected Return Capital Asset Pricing Model
berbeda dengan Expected Return Arbitrage Pricing Theory, dan rata-rata
penyimpangan absolut Capital Asset Pricing Model berbeda dengan
Arbitrage Pricing Theory pada saham industri manufaktur yang tercatat di
Bursa Efek Indonesia.

vi
ABSTRACT

MUSDALIFAH. An Analysis on Capital Asset Pricing Model and Arbitrage
Pricing Theory in predicting Stock Return of Manufacture Industry Listed in
Indonesia Stock Exchange ( supervised by Syamsu Alam dan Jusni).
This research aim to point out the influence of risk premium which is
measured by using capital asset pricing model, and the influence of
inflation, the rate of interest, and the exchange rate which are measured
by using arbitrage pricing theory in predicting stock return, and the
difference between expected return capital asset pricing model and
expected return arbitrage pricing theory, and the difference between mean
absolute deviation capital asset pricing model and arbitrage pricing theory
of the stock return of manufacture industry listed in indonesia stock
exchange.
This research used purposive sampling method, data were then
analyzed using regression analysis and the different test of two flattening
samples.
The results show that risk premium measured by capital asset pricing
model, and the inflation, the rate of interest, and the exchange rate
measured by using arbitrage pricing theory simultaneously give influence
in predicting stock return. And the test different of two flattening samples
indicate that expected return capital asset pricing model is different from
expected return arbitrage pricing theory. Mean absolute deviation of
capital asset pricing model is different from arbitrage pricing theory of the
stock return of manufacture industry listed in indonesia stock exchange.

vii
DAFTAR ISI
hal

PRAKATA ..........................................................................................
ABSTRAK ..........................................................................................
ABSTRACT .......................................................................................
DAFTAR ISI .......................................................................................
DAFTAR TABEL ..............................................................................
DAFTAR GAMBAR .........................................................................
DAFTAR LAMPIRAN ......................................................................

v
vi
vii
viii
x
xii
xiii

I PENDAHULUAN
A.
B.
C.
D.
E.
F.
G.

Latar Belakang Penelitian ..........................................................
Identifikasi Masalah ...................................................................
Rumusan Masalah .....................................................................
Tujuan Penelitian .......................................................................
Manfaat Penelitian .....................................................................
Ruang Lingkup / Batasan Penelitian .........................................
Sistematika Penulisan ...............................................................

1
7
8
8
9
10
11

II LANDASAN TEORI
A. Investasi
1. Definisi Investasi .....................................................................
2. Risiko Investasi .......................................................................
B. Return Saham ...........................................................................
C. Estimasi Risiko dan Return ........................................................
D. Capital Asset Pricing Model .......................................................
E. Arbitrage Pricing Theori - APT ...................................................
1. Perubahan Tingkat Inflasi ......................................................
2. Perubahan Tingkat Suku Bunga BI Rate ..............................
3. Perubahan Nilai Tukar Atau Kurs ..........................................
F. Penelitian – Penelitian Sebelumnya ..........................................
G. Kerangka Pemikiran Teoritis dan Perumusan Hipotesis ...........

13
13
18
19
22
25
26
27
28
29
31

III METODE PENELITIAN
A.
B.
C.
D.
E.
F.

Metode Yang Digunakan ............................................................
Objek dan Waktu Penelitian .......................................................
Populasi Dan Sampel .................................................................
Teknik Pengumpulan Data .........................................................
Definisi Operacional ………………………………………………...
Capital Asset Pricing Model ........................................................

viii

37
38
38
39
40
43
G. Arbitrage Pricing Theory ............................................................. 44
H. Teknik Statistik dan Ekonometrik yang digunakan ..................... 45

IV. GAMBARAN UMUM
A. Pasar Modal ................................................................................ 51
B. Perusahaan – perusahaan industri manufaktur .......................... 53

V. ANALISIS DAN PEMBAHASAN
A. Analisis Capital Asset Pricing Model
1. Estimasi Parameter Alpha dan Beta ………………………….. 60
2. Pendapatan Saham yang sesungguhnya ……………………. 61
3. Pendapatan Pasar ……………………………………………… 63
4. Expected Return CAPM ………………………………………. 69
5. Pendapatan saham yang diharapkan ………………………… 75
B. Analisis Arbitrage Pricing Theory
1. Menghitung A, B1, B2, Dan B3 Untuk Model APT
Pada Industri Manufaktur ……………………………………… 76
2. Model Actual Return APT ……………………………………… 78
3. Menghitung A, B1, B2, Dan B3 Hasil Arima Untuk
Expected Return Model APT…………………………………... 87
4. Model Expected Return APT ………………………………….. 90
5. Pendapatan saham yang diharapkan ………………………… 97
C. Rata-rata Penyimpangan Absolut CAPM dan APT ……………... 98
D. Pembahasan
1. Premi Risiko yang diukur dengan menggunakan CAPM…... 100
2. Inflasi, SBI, dan Kurs yang diukur dengan menggunakan
model APT ........................................................................... 102
3. Uji beda dua rata-rata Expected Return CAPM
dan Expected Return APT…………………………………….. 107
4. Uji beda dua rata-rata penyimpangan Absolut
model CAPM dan model APT .............................................. 110

VI. KESIMPULAN DAN SARAN
A. Kesimpulan …………………………………………………………. 114
B. Saran – saran ………………………………………………………. 116

DAFTAR PUSTAKA
LAMPIRAN

ix
DAFTAR TABEL
nomor

halaman

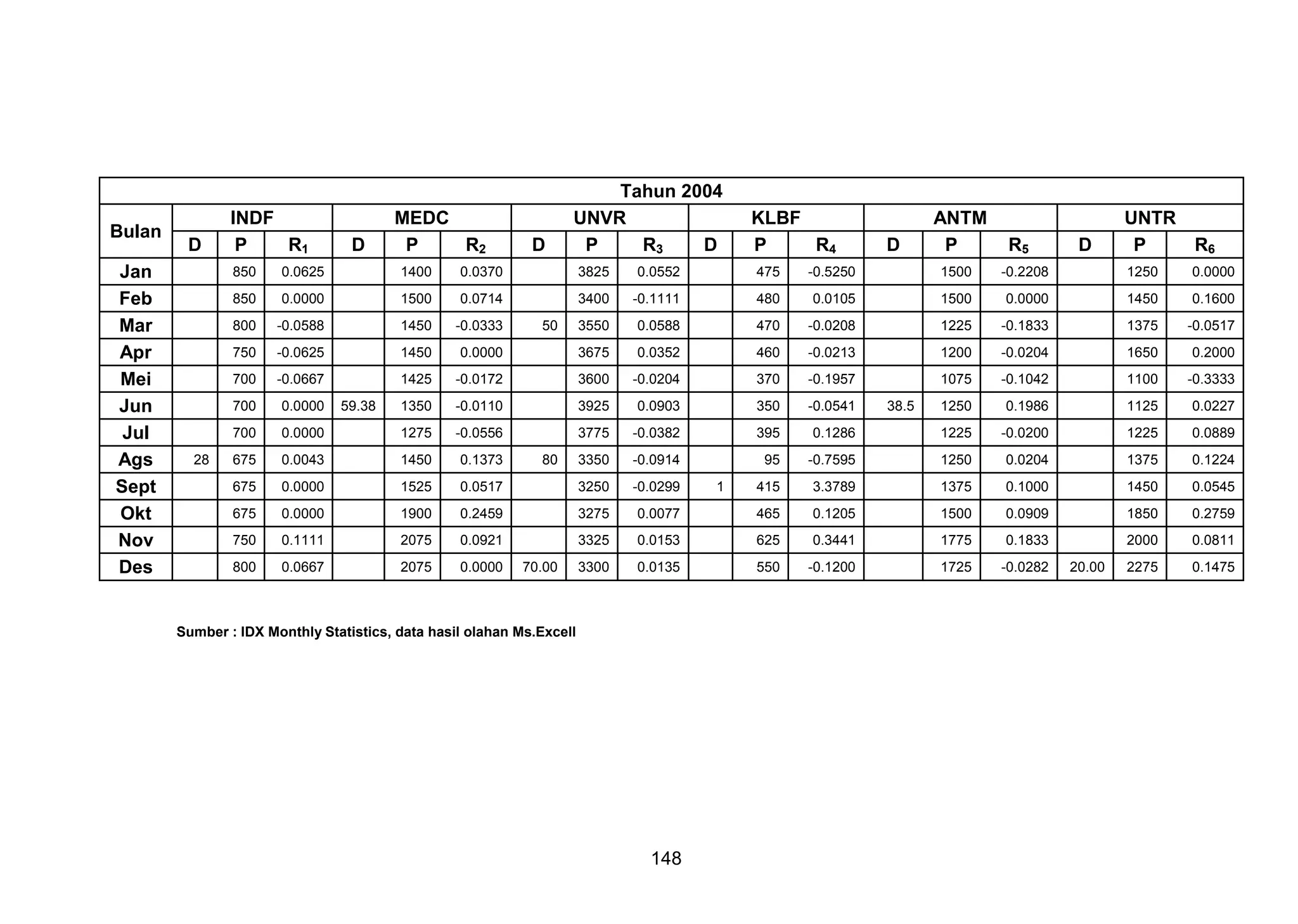
1. Data Perusahaan yang digunakan sebagai sampel ............. 39
1.1. Deskriptive Statistic tahun 2003 ………………………… 54
1.2. Deskriptive Statistic tahun 2004 ………………………… 55
1.3. Deskriptive Statistic tahun 2005 ………………………… 56
1.4. Deskriptive Statistic tahun 2006 ………………………… 57
1.5. Deskriptive Statistic tahun 2007 ………………………… 58
1.6. Deskriptive Statistic tahun2008 …………………………. 59
1.7. Sensitivitas return saham terhadap return market ……. 60
2.1. Actual Return (Ri) Tahunan, Model CAPM ……………. 62
3.1. Alpha, Beta, dan R2 tahun 2003 ……………………….. 63
3.1.1 Deskriptive Statistic …………………………………… 64
3.2. Alpha, Beta, dan R2 tahun 2004 ………………………… 65
3.2.1 Deskriptive Statistic ……………………………………. 65
3.3. Alpha, Beta, dan R2 tahun 2005 ………………………… 66
3.3.1 Deskriptive Statistic …………………………………… 66
3.4. Alpha, Beta, dan R2 tahun 2006 ………………………… 67
3.4.1 Deskriptive Statistic …………………………………… 67
3.5. Alpha, Beta, dan R2 tahun 2007 ………………………… 68
3.5.1 Deskriptive Statistic ……………………………………. 68
3.6. Alpha, Beta, dan R2 tahun 2008 ………………………… 69
3.6.1 Deskriptive Statistic …………………………………… 69
4.1. Koefisien Model CAPM INDF (2003-2008) ……………. 70
4.2. Koefisien Model CAPM MEDC (2003-2008) ………….. 71
4.3. Koefisien Model CAPM UNVR (2003-2008) …………… 72
4.4. Koefisien Model CAPM KLBF (2003-2008) …………… 73
4.5. Koefisien Model CAPM ANTM (2003-2008) …………... 74
4.6. Koefisien Model CAPM UNTR (2003-2008) …………… 75
4.7. Expected Return (E(Ri)) tahunan, Model CAPM ……… 76
5.1. Alpha, B1, B2, dan B3 ……………………………………. 77
5.2. Koefisien Model APT INDF (2003-2008) ...................... 78
5.3. Koefisien Model APT MEDC (2003-2008) .................... 80
5.4. Koefisien Model APT UNVR (2003-2008) ..................... 81
5.5. Koefisien Model APT KLBF (2003-2008) ...................... 83
5.6. Koefisien Model APT ANTM (2003-2008) .................... 84
5.7. Koefisien Model APT UNTR (2003-2008) ..................... 86
5.8. Actual Return (Ri) Tahunan, Model APT ...................... 87
6.1. Alpha, B1, B2, dan B3 (olahan data dari ARIMA) .......... 89
6.2. Alpha, B1, B2, dan B3 Expected Return model APT …. 90
6.3. Expected Return (E(Ri)) tahunan, Model APT ………… 98

x
6.4. MAD Industri Manufaktur selama 5 tahun (2003-2008) . 99
6.5. Group Statistik MAD CAPM dan APT ………………….. 99
7.1.Summary R2, Uji F, Uji T Model CAPM …………………. 100
7.1.1 Keputusan Hipotesis Satu ……………………………… 102
7.2. Summary R2, dan Uji F, Model APT …………………… 103
7.2.1.Keputusan Hipotesis dua ……………………………… 105
7.2.2. Uji T Model APT ………………………………………... 105
7.2.3. Keputusan Hipotesis dua secara parsial …………….. 107
8.1. Ringkasan Statistik Deskriptif CAPM dan APT ............. 108
8.2. Hasil Uji Beda Dua Rata-rata Sample Independent ...... 109
8.3. Keputusan Hipotesis tiga .............................................. 110
8.4. Hasil Uji beda dua rata-rata sample independent ......... 111
8.5. Keputusan Hipotesis empat .......................................... 111

xi
DAFTAR GAMBAR
nomor

halaman

1. Risiko Systematic dan Unsystematic ……………………. 16
2. Kerangka Pemikiran ………………………………………. 36
3. Perkembangan IHSG ……………………………………… 53

xii
DAFTAR LAMPIRAN
nomor

halaman

Daftar IHSG dan Harga Saham ………………………….. 123
Daftar Return IHSG dan Return Harga Saham ………… 126
Market Capitalization dan Proporsi ……………………… 129
Data Proporsi (W), Risiko Perusahaan (R),
dan Penghitungan Rm …………………………………………………………. 135
5. Data Rf, Rm, dan Penghitungan Premi Risiko ................. 141
6. Data Deviden, Harga Penutupan Saham,
Dan Holding Period Return ……………………………….. 146
7. Data Proporsi, Risiko (HPR), dan Penghitungan
Return Realisasi (Actual Return/Ri) ................................. 152
8. Data Nilai Kurs, Data Tingkat Suku Bunga Indonesia
dan Data Tingkat Inflasi …………………………………... 158
9. Data Hasil Olahan ARIMA Inflasi, SBI, dan Kurs ………. 159
10. Tabel Anova ………………………………………………… 162
11. Tabel Model Summary dan Coefficient ………………….. 165
1.
2.
3.
4.

xiii
BAB I
PENDAHULUAN
A. LATAR BELAKANG MASALAH

Investasi merupakan suatu daya tarik bagi para investor dalam
menginvestasikan dananya di pasar modal karena mengharapkan return
(tingkat pengembalian) yang berupa: capital gain, dividen atau bunga.
Sedangkan di sisi lain para pemodal dihadapkan pada risiko atas
investasi. Dengan adanya perubahan risiko investasi tersebut maka
pengharapan investor untuk memperoleh return juga akan berubah.
Dimana sesuai dengan teori keuangan bahwa ada hubungan yang positif
dan linier antara tingkat risiko dan return. Atau dengan kata lain bahwa
apabila ada peningkatan risiko akan diikuti oleh tingkat pengharapan
return yang semakin tinggi pula oleh para investor, demikian juga
sebaliknya. Horne dan Wachoviz (1998:26) mendefinisikan return
sebagai:“Return as benefit which related with owner that includes cash
dividend last year which is paid, together with market cost appreciation or
capital gain which is realization in the end of the year”. Menurut Jones
(2000:124) “return is yield dan capital gain (loss)”. (1) Yield, yaitu cash
flow yang dibayarkan secara periodik kepada pemegang saham (dalam
bentuk dividen), (2) Capital gain (loss), yaitu selisih antara harga saham
pada saat pembelian dengan harga saham pada saat penjualan. Hal
tersebut diperkuat oleh Corrado dan Jordan (2000:5) yang menyatakan
bahwa ”Return from investment security is cash flow and capital
gain/loss”. Berdasarkan pendapat yang telah dikemukakan, dapat diambil
kesimpulan return saham adalah keuntungan yang diperoleh dari
kepemilikan saham investor atas investasi yang dilakukannya, yang terdiri
dari dividen dan capital gain/loss.
Risiko dalam berinvestasi, suatu hal yang tidak dapat dihindari
keberadaannya. Menurut Reilly et al. (2000:III) risiko dapat diartikan “Risk
is the uncertainty that an investment will earn its expected rate of return”
dari

pengertian

tersebut

dinyatakan

bahwa

risiko

merupakan

ketidaktentuan atas investasi yang akan diperoleh terhadap return yang
diharapkan. Sedangkan Sharpe (1999) menyatakan “Risk is the think for
measuring of actual return deviation to expected return”. Jones (2000:10)
mendefinisikan “Risk is defind as the change that actual return on an
investment will be different from the expected return” . Risiko merupakan
perubahan dimana return aktual dari investasi akan berbeda-beda
terhadap return yang diharapkan.
Markowitz

(1952)

ini

menyatakan

bahwa

“Expected

return

merupakan tingkat pengembalian dan variance returns merupakan risiko
atas instrument investasi tersebut”.
Teori

portofolio

yang

dikembangkan

oleh

Markowitz

(1952)

berhubungan dengan pemilihan portofolio yang dapat memaksimalkan
pengembalian yang diharapkan sesuai dengan tingkat risiko yang dapat
diterima. Dengan menggunakan model kuantitatif dan data historis, teori

2
portofolio mendefinisikan “pengembalian portofolio yang diharapkan” dan
tingkat risiko portofolio yang dapat diterima” serta menunjukkan cara
pembentukan portofolio yang optimal.
Pada bulan Oktober 1990, hadiah Nobel dipersembahkan bagi Harry
Markowitz, tokoh pengembang teori portofolio, dan William Sharpe, salah
satu tokoh pencetus teori pasar modal. Penghargaan ini merupakan
pengakuan betapa pentingnya kedua teori tersebut yaitu teori portofolio
dan teori pasar modal. Dan pada penelitian ini difokuskan pada
pembahasan teori pasar modal, teori pasar modal berhubungan dengan
pengaruh keputusan investor terhadap harga sekuritas. Lebih khususnya,
teori

menunjukkan

hubungan

yang

seharusnya

terjadi

antara

pengembalian dan risiko sekuritas jika investor membentuk portofolio yang
sesuai dengan teori portofolio.
Asset Pricing Model ini adalah implikasi kedua teori tersebut dalam
penentuan harga aset.

Berdasarkan asumsi mengenai perilaku dan

harapan investor serta mengenai pasar modal, model ini memperkirakan
harga keseimbangan teoritis suatu aktiva.

Implikasi utama model ini

adalah return yang diharapkan atas aset berhubungan dengan ukuran
risiko asset.
Hubungan return yang diharapkan dan beta dijelaskan dengan Model
Penentuan Harga Aset Kapital (Capital Asset Pricing Model CAPM) yang
dicetuskan oleh William Sharpe (1961),

CAPM didasarkan pada

seperangkat asumsi khusus mengenai perilaku investor dan tersedianya

3
pasar sekuritas yang sempurna, Selanjutnya terjadi evolusi teori yang
membahas perpanjangan dari CAPM yang diperoleh dengan jalan
memodifikasi

asumsi-asumsi

yang

mendasarinya,

seperti

dikemukakan oleh Fisher Black (1972), CAPM Beta Nol,

yang

dan Robert

C.Merton (1973), CAPM Multifaktor, terakhir mendapat kritikan dari
Professor Stephen A. Ross yang mempertanyakan keabsahan dari
asumsi-asumsi CAPM, Stephen A. Ross (1976) mengembangkan model
alternatif yang sepenuhnya berdasarkan dari konsep arbitrase, sehingga
disebut model teori penentuan harga arbitrase (Arbitrage Pricing Theory /
APT).
Ada dua macam Asset Pricing Model yang populer dan dapat
digunakan dalam memprediksi return saham. Kedua model (Capital Asset
Pricing Model / CAPM dan Arbitrage Pricing Theory / APT) ini populer
karena kemudahan dalam aplikasi serta asumsi yang mendasari kedua
model ini.
Model pertama adalah Capital Asset Pricing Model (CAPM). Model
ini diperkenalkan oleh Treynor, Sharpe, Lientner, dan Mossin pada tahun
1960-an.

Model

ini

mengasumsikan

bahwa

pendapatan

saham

dipengaruhi oleh satu faktor, yaitu premi risiko pasar dan merupakan
model dalam menentukan harga suatu aset pada kondisi equilibrium.
Model ini didasarkan pada adanya dalil bahwa return saham sama dengan
tingkat pengembalian bebas risiko plus premi risiko yang hanya tinggal
mencerminkan risiko yang tersisa setelah dilakukan diversifikasi (Eugene

4
F. Brigham: 2006). CAPM mempunyai validitas yang tinggi sebagai alat
pemprediksi return saham satu tahun ke depan, tetapi tidak valid jika data
yang digunakan pada saat pasar berada dalam gejolak yang tinggi (Agus
Sumanto: 2005).
Keadaan equilibrium suatu tingkat keuntungan yang disyaratkan oleh
pemodal untuk suatu saham akan dipengaruhi oleh risiko saham tersebut
(Tandelilin, 2001: 90). Perhatian mengenai model keseimbangan ini telah
secara menerus dikembangkan. Beberapa diantaranya adalah Sharpe
(1964) dan Treynor (1961) yang mengembangkan formulasi meanvariance. Formulasi ini kemudian dikembangkan lebih lanjut dan
diklarifikasi oleh Lintner (1965), Mossin (1966), Fama (1968), dan Long
(1972). Sebagai tambahan, Treynor (1965), Sharpe (1966), dan Jensen
(1968-1969) telah mengembangkan evaluasi portofolio yang mendasarkan
pada Assets Pricing Model ini. Kelemahan-kelemahan empiris yang terjadi
pada model CAPM mendorong para ahli manajemen keuangan untuk
mencari model alternatif yang menerangkan hubungan return dengan
risiko saham. Bodie et al. (2005) menjelaskan bahwa Capital Asset Pricing
Model (CAPM) merupakan hasil utama dari ekonomi keuangan modern.
Capital Asset Pricing Model (CAPM) memberikan prediksi yang tepat
antara hubungan risiko sebuah aset dan tingkat harapan pengembalian
(expected return). Walaupun Capital Asset Pricing Model belum dapat
dibuktikan secara empiris, Capital Asset Pricing Model sudah luas

5
digunakan karena akurasi Capital Asset Pricing Model yang cukup pada
aplikasi penting.
Model yang kedua adalah Arbitrage Pricing Theory (APT). Pada
tahun 1976 Stephen A. Ross merumuskan sebuah teori yang disebut
dengan Arbitrage Pricing Theory (APT), yaitu menyatakan bahwa harga
suatu aset bisa dipengaruhi oleh berbagai faktor, tidak hanya satu faktor
(portofolio pasar) seperti yang telah dikemukakan pada teori CAPM. Pada
model APT faktor – faktor makro ekonomi seperti inflasi, tingkat suku
bunga, nilai tukar mata uang turut diperhitungkan dalam memprediksi
return saham. Meningkatnya laju inflasi bagaikan pisau bermata dua. Di
satu sisi dapat meningkatkan pendapatan dan di sisi lain akan
meningkatkan biaya yang dikeluarkan perusahaan. Jika peningkatan biaya
lebih besar daripada peningkatan pendapatan maka laba perusahaan
akan menurun. Perubahan kurs mata uang akan mempengaruhi iklim
investasi karena perubahan kurs mata uang akan mempengaruhi
perdagangan antar negara. Tingkat suku bunga dijadikan patokan dalam
perbandingan imbalan investasi bila diinvestasikan pada sektor lain. Jika
tingkat pengembalian investasi lebih tinggi dari pada tingkat suku bunga
maka investasi tersebut layak diterima.
Penelitian – penelitian sebelumnya telah banyak dilakukan yang
mengarah pada perbandingan kedua model ini. Penelitian yang dilakukan
Gancar Candra Premananto & Muhammad Madyan (2004) yang
mengemukakan bahwa model CAPM maupun APT masih kurang akurat

6
dalam memprediksi pendapatan saham industri manufaktur sebelum dan
semasa krisis ekonomi. Arduino Cagnetti (2002) melakukan penelitian
tentang perbandingan antara model CAPM dengan APT yang menunjukan
bahwa APT dengan faktor makro ekonomi, seperti : perubahan inflasi
yang diharapkan, inflasi yang tidak terduga, premi risiko, dan tingkat
bunga lebih baik daripada CAPM.
Penulis tertarik melakukan penelitian lebih lanjut tentang Asset
Pricing Model dan tulisan ini diberi judul : “Analisis Capital Asset Pricing
Model dan Arbitrage Pricing Theory

Dalam Memprediksi Return

Saham Industri Manufaktur yang tercatat di Bursa Efek Indonesia”

B. IDENTIFIKASI MASALAH

Ada dua Asset Pricing Model yang dapat digunakan dalam
memprediksi return

investasi pada saham. Model yang pertama yaitu

model CAPM, model ini mengasumsikan bahwa return saham dipengaruhi
satu faktor yaitu premi risiko pasar.
Model yang kedua yaitu model APT, model ini mengasumsikan jika
investor memiliki peluang untuk meningkatkan return tanpa meningkatkan
risiko maka investor tersebut akan memanfaatkan peluang tersebut.
Sehingga dalam model APT ini faktor–faktor yang mempengaruhi return
saham lebih banyak daripada model CAPM, yaitu : perubahan inflasi,
perubahan tingkat suku binga BI rate, dan perubahan nilai tukar atau kurs.

7
C. RUMUSAN MASALAH

Perumusan masalah penelitian ini adalah sebagai berikut :
1. Bagaimana pengaruh premi risiko yang diukur dengan menggunakan
Capital Asset Pricing Model dalam memprediksi return saham Industri
Manufaktur yang tercatat di Bursa Efek Indonesia ?
2. Bagaimana pengaruh inflasi, suku bunga indonesia dan nilai kurs yang
diukur dengan menggunakan model Arbitrage Pricing Theory dalam
memprediksi return saham Industri Manufaktur yang tercatat di Bursa
Efek Indonesia ?
3. Apakah ada perbedaan expected return Capital Asset Pricing Model
dan model Arbitrage Pricing Theory pada saham Industri Manufaktur
yang tercatat di Bursa Efek Indonesia ?
4. Apakah ada perbedaan rata-rata penyimpangan absolut Capital Asset
Pricing Model dan model Arbitrage Pricing Theory pada saham Industri
Manufaktur yang tercatat di Bursa Efek Indonesia ?

D. TUJUAN PENELITIAN

Penelitian ini bertujuan, yaitu :
1. Menunjukkan
menggunakan

pengaruh
Capital

premi
Asset

8

risiko
Pricing

yang
Model

diukur
(CAPM)

dengan
dalam
memprediksi return saham Industri Manufaktur yang tercatat di
Bursa Efek Indonesia.
2. Menunjukkan pengaruh inflasi, suku bunga indonesia dan nilai kurs
yang diukur dengan menggunakan model Arbitrage Pricing Theory
(APT) dalam memprediksi return saham Industri Manufaktur yang
tercatat di Bursa Efek Indonesia.
3. Menunjukkan perbedaan expected return Capital Asset Pricing
Model (CAPM) dan model Arbitrage Pricing Theory (APT) pada
saham Industri Manufaktur yang tercatat di Bursa Efek Indonesia.
4. Menunjukkan perbedaan rata-rata penyimpangan absolut Capital
Asset Pricing Model dan model Arbitrage Pricing Theory pada
saham Industri Manufaktur yang tercatat di Bursa Efek Indonesia.

E. MANFAAT PENELITIAN

1. Bagi Investor
Suatu bahan pertimbangan dalam pengambilan keputusan untuk
melakukan investasi khususnya investasi saham pada sektor
manufaktur.
2. Bagi Perusahaan
Suatu informasi bagi perusahaan untuk dapat meningkatkan kinerja
yang tercermin pada pendapatan sahamnya di pasar modal.
3. Bagi Peneliti dan Pihak Lain

9
Suatu wawasan yang dapat memperkaya penerapan teori dalam
praktek yang sebenarnya. Dan dapat menjadi masukan yang
digunakan sebagai acuan penelitian lebih lanjut.

F. RUANG LINGKUP/BATASAN PENELITIAN

Mengingat luasnya lingkup penelitian ini, maka penulis membatasi
penelitian yang dilakukan, adalah sebagai berikut :
1. Batasan masalah pada CAPM dan APT

yang merupakan dua

model diantara Asset Pricing Model yang ada. Dan pada variabelvariabel tertentu, seperti : premi risiko pasar dalam CAPM,
perubahan inflasi, perubahan tingkat suku bunga SBI, perubahan
nilai tukar terhadap dollar Amerika dalam model APT dan return
saham bulanan pada beberapa saham industri manufaktur yang
tercatat di Bursa Efek Indonesia.
2. Ruang lingkup penelitian ini dibatasi hanya pada perusahaanperusahaan sektor industri manufaktur yang tercatat di Bursa Efek
Indonesia
perusahaan

dan

merupakan

manufaktur

kelompok

tersebut

saham

secara

LQ
terus

45,

dan

menerus

menerbitkan laporan keuangan triwulanannya dari TW l/2003
hingga TW lll/2008, sehingga periode penelitian ini mencakup
bulanan yang dilakukan mulai
2008.

10

Januari 2003 hingga Desember
G. SISTEMATIKA PENULISAN

Sistematika penulisan thesis ini dibagi menjadi lima bab yang
masing-masing terdiri dari sub bagian yang berkaitan, antara lain :
BAB I : PENDAHULUAN
Dalam bab ini penulis mengemukakan latar belakang masalah, identifikasi
masalah, rumusan masalah, tujuan penelitian, manfaat penelitian, ruang
lingkup / batasan masalah dan sistematika penulisan.
BAB II : TINJAUAN PUSTAKA
Pada bab ini penulis akan menjabarkan teori-teori mengenai Definisi
investasi, return saham, estimasi risiko dan return, Model Penilaian Aset
Modal (Capital Asset Pricing Model / CAPM), APT, perubahan inflasi,
perubahan tingkat suku bunga, perubahan kurs, penelitian – penelitian
sebelumnya, kerangka pemikiran teoritis dan perumusan hipotesis.
BAB III : METODOLOGI PENELITIAN
Bab ini membahas tentang jenis penelitian yang digunakan, populasi dan
sampel penelitian, teknik pengumpulan data, definsi operasional, capital
asset pricing model, arbitrage pricing theory, dan teknik statistic serta
ekonometrik yang digunakan.
BAB IV : GAMBARAN UMUM
Bab ini menggambarkan gambaran umum pasar modal dan perusahaanperusahaan yang termasuk kategori industri manufaktur yang tercatat di
Bursa Efek Indonesia.

11
BAB V : ANALISIS DAN PEMBAHASAN
Bab ini berisikan penjelasan analisis mengenai hasil penelitian dan
pembahasan yang mencakup estimasi alpha dan beta masing-masing
saham, menghitung pendapatan saham yang sesungguhnya perusahanperusahaan manufaktur, menghitung pendapatan pasar, model CAPM,
estimasi variable-variabel dalam model APT, menghitung pendapatan
saham yang diharapkan dengan model CAPM dan APT, dan pembahasan
mengenai rata-rata penyimpangan absolut (mean absolut deviation (mad))
untuk model CAPM dan model APT serta pengujian hipotesis untuk
mengetahui pengaruh premi risiko yang diukur dengan menggunakan
Capital Asset Pricing Model (CAPM), pengaruh inflasi, suku bunga
indonesia dan nilai kurs yang diukur dengan menggunakan model
Arbitrage Pricing Theory (APT), perbedaan expected return yang diukur
dengan menggunakan Capital Asset Pricing Model (CAPM) dan model
Arbitrage Pricing Theory (APT), dan perbedaan akurasi Capital Asset
Pricing Model dan model Arbitrage Pricing Theory pada saham Industri
Manufaktur yang tercatat di Bursa Efek Indonesia.
BAB VI : KESIMPULAN DAN SARAN
Merupakan Bab penutup yang memberikan kesimpulan dari hasil
penelitian yang dilakukan penulis. Dan memberikan saran-saran yang
konstruktif yang dapat membangun dan bermanfaat bagi usaha-usaha
penelitian lebih lanjut.

12
BAB Il
TINJAUAN PUSTAKA
A. INVESTASI

1. DEFINISI INVESTASI

Investasi dapat didefinisikan sebagai bentuk pengelolaan dana guna
memberikan keuntungan dengan cara menempatkan pada alokasi yang
diperkirakan memberikan

tambahan

keuntungan. Tentunya

proses

pencarian keuntungan dengan investasi membutuhkan analisis dan
perhitungan mendalam dengan tidak mengesampingkan kehatian-hatian.

2. RISIKO INVESTASI

Dalam konteks manajemen investasi, risiko merupakan besarnya
penyimpangan antara tingkat pengembalian yang diharapkan (expected
return) dengan tingkat pengembalian yang dicapai secara nyata (actual
return). Semakin besar penyimpangannya berarti semakin besar tingkat
risikonya. Apabila risiko dinyatakan sebagai seberapa jauh hasil yang
diperoleh bisa menyimpang dari hasil yang diharapkan, maka digunakan
ukuran penyebaran. Alat statistik yang digunakan sebagai ukuran
penyebaran tersebut adalah varians atau deviasi standar.
Bila seorang individu maupun perusahaan melakukan investasi maka
akan dihadapkan pada risiko. Francis (1988), “risiko ada dua macam,

13
yaitu risiko sistematis dan risiko tidak sistematis”. Adapun risiko-risiko
tersebut

dapat

didefinisikan

sebagai

kemungkinan

terjadinya

penyimpangan dari sesuatu yang diharapkan atau dengan kata lain
penyimpangan tingkat keuntungan yang terjadi dari tingkat keuntungan
yang diharapkan (Haugen, 1997).
Dalam konteks portofolio risiko dibedakan menjadi dua, yaitu:
(1) Risiko tidak sistematis (unsystematic risk)
Risiko tidak sitematis (unsystematicrisk atau spesific-risk) yaitu
risiko yang hanya dialami oleh investasi tersebut, yang bisa
disebabkan oleh faktor manajemen, ciri khusus jenis industri, jenis
persaingan usaha. Misalnya struktur modal, struktur assets,
tingkat

likuiditas,

tingkat

keuntungan.

Risiko

yang

dapat

dihilangkan dengan melakukan diversifikasi investasi (diversifiedrisk) terhadap berbagai macam saham adalah risiko yang hanya
mempengaruhi perusahaan atau saham tertentu saja tanpa
mempengaruhi perusahaan atau saham lainnya, fluktuasi risiko ini
besarnya berbeda – beda antara satu saham dengan saham
lainnya. Karena perbedaan itulah maka masing – masing saham
memiliki tingkat sensitifitas yang berbeda terhadap setiap
perubahan pasar. Parameter yang digunakan dalam risiko tidak
sistematis adalah standar deviasi. Standar deviasi adalah risiko
yang dihadapi oleh investor saat ini dianggap sama dengan
tingkat

variabilitas

dari

return

14

yang

diharapkan.

Semakin
berfluktuasi tingkat harapan return yang akan didapat maka
tingkat risiko juga tinggi.
(2) Risiko sistematis (systematic risk)
Risiko sistematis (systematic-risk atau market-risk) yaitu risiko
yang dialami oleh semua investasi tanpa terkecuali. Risiko ini
disebabkan adanya kemungkinan ketidakstabilan pada kondisi
ekonomi, politik, dan sosial yang akan berpengaruh langsung
pada seluruh saham yang ada di bursa atau dengan kata lain
kondisi tersebut berpengaruh pada pasar secara keseluruhan.
Misalnya, adanya perubahan tingkat suku bunga, kurs valas,
kebijakan pemerintah. Sehingga sifatnya umum dan berlaku bagi
semua saham dalam bursa saham yang bersangkutan. Risiko
yang tidak dapat dihilangkan dengan melakukan diversifikasi
(undiversified-risk) adalah risiko yang mempengaruhi seluruh
saham yang ada di bursa sehingga dengan menginvestasikan
dana ke berbagai macam sekuritas tidak dapat menghilangkan
risiko tersebut.

Parameter yang digunakan dalam mengukur

risiko ini adalah beta. Pengertian beta menurut Jones (2000:178)
adalah “Beta a measure of valatility, or relative systematic risk”.
Dimana pengertian volatilitas adalah sebagai fluktuasi dari return
suatu sekuritas dalam suatu periode tertentu. Jika fluktuasi return
sekuritas secara statistik mengikuti fluktuasi return pasar, maka
beta dari sekuritas tersebut bernilai 1. Misalnya, apabila return

15
pasar naik sebesar 5%, maka investor akan menghargapkan
kenaikan return sekuritasnya sebesar 5% pula. Scott et al.
(2000:201) yang menyatakan bahwa “Beta a measure stock’s
volatility relative to an average stock”. Lain halnya dengan
pendapat Brealey, et. al. (2001:290) yang mendefinisikan “beta is
a sensitivity of a stock’s return to the return on the market
portofolio”. Sedangkan menurut Ross et al. (2003:431) beta
adalah “The amount of systematic risk present a particular risky
asset relative to that in an average risky asset”. Dapat
disimpulkan bahwa beta adalah pengukur volatilitas suatu risiko
sistematis pada sekuritas. Beta suatu sekuritas dapat dihitung
dengan titik estimasi yang menggunakan data historis maupun
estimasi secara subjektif. Beta historis dapat dihitung dengan
menggunakan data historis berupa data pasar (return sekuritas
dan return pasar).

(Sumber: Ross, et al. 2003:274)
Gambar 1. Risiko Systematic dan Unsystematic

16
Gambar 1 di atas menjelaskan hubungan risiko sistematis dan
risiko tidak sistematis. Risiko tersebut digambarkan melalui risiko
total

yang

merupakan

penjumlahan

dari

risiko

sistematis

(Systematic risk) dan risiko tidak sistematis (Unsystematic risk).
Risiko tersebut dipergunakan karena dapat mengukur secara garis
besar tingkat risiko secara keseluruhan.
Ada beberapa jenis risiko investasi yang mungkin timbul dan perlu
dipertimbangkan dalam membuat keputusan investasi. Menurut Halim
(2003: 47), risiko tersebut adalah sebagai berikut:
(1) Risiko tingkat bunga (interest rate risk), merupakan risiko yang
timbul akibat perubahan tingkat bunga yang berlaku di pasar.
Biasanya risiko ini berjalan berlawanan dengan harga-harga
instrumen pasar modal.
(2) Risiko pasar (market risk), merupakan risiko yang timbul akibat
kondisi

perekonomian

negara

yang

berubah-ubah

yang

dipengaruhi oleh resesi dan kondisi perekonomian lain. Ketika
security market index meningkat secara terus-menerus selama
jangka waktu tertentu, trend yang menaik ini disebut bull market.
Sebaliknya, ketika security market index menurun secara terusmenerus selama jangka waktu tertentu, trend yang menurun ini
disebut bear market. Dengan kekuatan bull market dan bear
market ini cenderung mempengaruhi semua saham secara
sistematis, sehingga imbalan pasar menjadi berfluktuasi.

17
(3) Risiko daya beli (purchasing power-risk), merupakan risiko yang
timbul akibat pengaruh perubahan tingkat inflasi, di mana
perubahan ini akan menyebabkan berkurangnya daya beli uang
yang diinvestasikan maupun bunga yang diperoleh dari investasi.
Sehingga menyebabkan nilai riil pendapatan akan lebih kecil.
(4) Risiko mata uang (currency risk), merupakan risiko yang timbul
akibat pengaruh perubahan nilai tukar mata uang domestik
(misalnya rupiah) dengan mata uang negara lain (misalnya dollar
Amerika).

B. RETURN SAHAM

Dalam melakukan investasi seorang investor mengharapkan tingkat
pengembalian tertentu sebagai imbalan dan mengambil risiko tertentu.
Dalam konteks manajemen investasi, return merupakan imbalan yang
diperoleh dari investasi. Return ini dibedakan menjadi dua, pertama return
yang telah terjadi (actual return) yang dihitung berdasarkan data histories,
kedua return yang diharapkan (expected return) akan diperoleh investor di
masa yang akan datang. Menurut Halim (2003: 30), komponen return
meliputi:
(1) capital gain (loss) merupakan keuntungan (kerugian) bagi investor
yang diperoleh dari kelebihan harga jual (harga beli) diatas harga
beli (harga jual) yang keduanya terjadi di pasar sekunder.

18
(2) Yield merupakan pendapatan atau aliran kas yang diterima
investor yang diterima investor secara periodik, misalnya berupa
dividen atau bunga. Yield dinyatakan dari persentase dari modal
yang ditanamkan.
Menurut Jogiyanto (2003:109) saham dibedakan menjadi dua: (1)
return realisasi merupakan return yang telah terjadi, (2) return ekspektasi
merupakan return yang diharapkan akan diperoleh oleh investor di masa
yang akan datang. Berdasarkan pengertian return, bahwa return suatu
saham adalah hasil yang diperoleh dari investasi dengan cara menghitung
selisih harga saham periode berjalan dengan periode sebelumnya dengan
mengabaikan dividen, Ross et al. (2003:238)

C. ESTIMASI RISIKO DAN RETURN

Menurut Radcliffe (1997, 217-218), beberapa ukuran statistik yang
dapat digunakan untuk menggambarkan suatu risiko dan return, di
antaranya adalah :

1) Mean Absolute Deviation

Mean Absolute Deviation menunjukkan kemungkinan perbedaan
antara return yang mungkin diterima dengan expected return-nya.
Cara ini cukup masuk akal untuk menunjukkan tingkat risiko suatu

19
portofolio untuk mengetahui hubungan atau correlation di antara return
sekuritas.

2) Standard Deviation

Standard deviation mengukur volatilitas dari return, cara ini sering
digunakan untuk mengukur risiko. Secara statistik metode standar
deviasi memiliki beberapa kelebihan diantaranya pengukurannya
dilakukan dengan cara menyebarkan return (memperhitungkan nilai
yang terjadi di atas dan di bawah expected return). Di samping itu
standar deviasi juga dapat digunakan dengan menggunakan data
aktual return masa lalu (ex post standard deviation) atau dari estimasi
potensial returnnya (ex ante standard deviation).
Dalam melakukan estimasi return, harus dibedakan antara return
realisasi yaitu return yang telah terjadi dan return ekspetasi (expected
return) yaitu return yang belum terjadi tetapi yang diharapkan akan terjadi
di masa mendatang. Return realisasi yang dihitung berdasarkan data
historis penting sebagai salah satu ukuran kinerja suatu perusahaan. Rate
of return saham yang merupakan keuntungan dari capital gain dan dividen
dalam periode tertentu diperoleh dengan persamaan berikut :

Di mana:

20
Rt = rate of return (return realisasi) saham pada bulan ke-t
Pt = harga saham pada bulan ke-t
Pt-1 = harga saham pada satu bulan sebelum bulan ke-t
D = dividen pada bulan ke-t
Return realisasi ini berguna sebagai dasar penentuan tingkat keuntungan
yang diharapkan (expected return). Expected return sangat mungkin
berlainan

dengan

return

yang

diterima,

karena

adanya

suatu

ketidakpastian.
Perhitungan expected return dapat dilakukan dengan menggunakan
rata-rata aritmatik dan rata-rata geometrik. Metode rata-rata aritmatik
dinyatakan dalam persamaan berikut :

Untuk metode rata-rata geometrik, persamaannya dinyatakan sebagai
berikut :

Penggunaan perhitungan rata-rata aritmatik dan rata-rata geometrik
adalah tergantung pada tujuan investor. Rata-rata aritmatik diterapkan
untuk mengukur kinerja rata-rata selama satu periode, dan merupakan
cara yang bagus untuk memperkirakan expected return pada periode
berikutnya.

21
Sedangkan

perhitungan

rata-rata

geometrik

digunakan

untuk

mengukur perubahan kekayaan yang terjadi pada periode-periode
sebelumnya (multiple periods). Rata-rata geometrik mengukur tingkat
pertumbuhan majemuk (compound rate of growth) selama periode yang
ditentukan. Hal ini sering digunakan dalam investasi dan keuangan untuk
merefleksikan tingkat pertumbuhan (growth rate) yang konsisten (steady)
dari dana yang telah diinvestasikan selama periode-periode sebelumnya
(Jones, 2004:153).
Mengacu kepada kedua metode perhitungan tersebut, maka rata-rata
geometrik merupakan metode perhitungan yang sesuai untuk digunakan
dalam penelitian ini. Dengan kata lain, rata-rata aritmatik tidak digunakan.

D. MODEL PENILAIAN ASET MODAL
(CAPITAL ASSET PRICING MODE L - CAPM)

CAPM dikembangkan pertama kali pada tahun 1960 oleh William F
Sharpe, Lintner dan Mossin. Weston, Besley dan Brigham (1996: 193)
mendefinisikan CAPM sebagai berikut : “A Model based on the proposition
that any stock’s required rate of return is equal to the risk free of return
plus a risk premium, where risk reflect diversification”. CAPM merupakan
suatu model yang menghubungkan tingkat pendapatan yang diharapkan
dari suatu aset yang berisiko dengan risiko dari aset tersebut pada kondisi
pasar yang seimbang.

22
Menurut teori CAPM tingkat pendapatan yang diharapkan dari suatu
sekuritas dapat dihitung dengan menggunakan rumus:

Keterangan:
E(Ri) = Tingkat pendapatan yang diharapkan dari sekuritas i yang
mengandung risiko
RF

= Tingkat pendapatan bebes risiko

E(RM) = Tingkat pendapatan yang diharapkan dari portofolio pasar.
βi

= Tolak ukur risiko yang tidak bisa terdiversifikasi dari surat
berharga yang ke-i.
Sebagian asumsi yang digunakan untuk CAPM juga digunakan untuk

pendekatan normative dalam investasi yang dijelaskan dalam

bab

terdahulu. Asumsi-asumsi ini adalah sebagai berikut:
(1) Investor mengevaluasi portofolio dengan melihat ekspektasi
return dan standar diviasi (sebagai risiko) portofolio untuk satu
periode.
(2) Investor tidak pernah puas, jadi jika diberi pilihan antara dua
portofolio yang identik, mereka akan memilih portofolio yang
memberi ekspektasi return yang lebih tinggi.
(3) Investor adalah risk averse, jadi jika diberi pilihan antara dua
portofolio identik, mereka memilih portofolio dengan standar
diviasi yang lebih rendah.

23
(4) Aset individual dapat dibagi tidak terbatas, artinya investor dapat
membeli sebagian saham jika investor berminat.
(5) Terdapat tingkat bebas risiko dengan investor dapat memberi
pinjaman (berinvestasi) atau meminjam uang.
(6) Pajak dan biaya transaksi tidak relevan.
Asumsi tambahan:
(7) Semua investor memiliki satu periode yang sama.
(8) Tingkat bunga bebas risiko sama untuk semua investor.
(9) Informasi ini bebas diperoleh dan tersedia secara cepat untuk
semua investor.
(10)Investor mempunyai ekspektasi yang homogen (homogeneous
expectation), artinya mereka memiliki persepsi yang sama dalam hal
ekspektasi return, standar diviasi dan kovarian sekurtas.
Dengan memperhatikan asumsi-asumsi ini, CAPM mengubah situasi
ke kasus ekstrim saja. Setiap orang mempunyai informasi yang sama dan
sepakat mengenai prospek sekuritas. Secara implisit hal ini berarti
investor menganalisis dan memproses informasi dengan cara yang sama.
Pasar sekuritas adalah pasar sempurna (perfect market), artinya tidak
ada pertentangan untuk melakukan investasi.

24
E. TEORI ARBITRASE HARGA (ARBITRAGE PRICING THEORI - APT)

Capital Asset Pricing Model bukanlah satu-satunya teori yang
mencoba menjelaskan bagaimana suatu aktiva ditentukan harganya oleh
pasar. Ross (1976) merumuskan suatu teori yang disebut sebagai
Arbitrage

Pricing

Theory

(APT).

Seperti

halnya

CAPM,

APT

menggambarkan hubungan antara risiko dan pendapatan, tetapi dengan
menggunakan asumsi dan prosedur yang berbeda. Tiga asumsi yang
mendasari model Arbitrage Pricing Theory (APT) adalah: (Reilly, 2000);
(1) Pasar Modal dalam kondisi persaingan sempurna,
(2) Para Investor selalu lebih menyukai kekayaan yang lebih
daripada kurang dengan kepastian,
(3) Hasil dari proses stochastic artinya bahwa pendapatan asset
dapat dianggap sebagai K model faktor.
Dari asumsi yang menyatakan investor percaya bahwa pendapatan
sekuritas akan ditentukan oleh sebuah model faktorial dengan k faktor
risiko.
Untuk menghitung pendapatan sekuritas yang diharapkan pada model
APT dapat digunakan rumus sebagai berikut:

Keterangan :
E(Ri,t) = Tingkat pendapatan yang diharapkan sekuritas i pada periode t
ai = Konstanta

25
bik = Sensitivitas pendapatan sekuritas i terhadap faktor k pada periode t.
Fkt = Faktor k yang mempengaruhi pendapatan pada periode t
eit = random error

1. PERUBAHAN TINGKAT INFLASI

Inflasi adalah kecenderungan barang-barang naik secara umum dan
dalam jangka waktu yang tertentu (Case dan Fair, 1999). Hubungan
antara positif antara inflasi dan harga saham adalah semakin tinggi inflasi
maka semakin tinggi barang dan jasa yang pada akhirnya meningkatkan
profit perusahaan dan harga sahamnya.
Meningkatnya pertumbuhan inflasi merupakan suatu ancaman atau
peluang bagi perusahaan. Jika inflasi ditimbulkan oleh permintaan
masyarakat yang terlalu kuat (demand pull inflation) maka pendapatan
perusahaan

akan

meningkat

dan

akhirnya

akan

meningkatkan

profitabilitas perusahaan. Jika inflasi ditimbulkan oleh kenaikan ongkos
produksi secara terus – menerus (cost push inflation) maka biaya yang
dikeluarkan perusahaan akan meningkat. Investor akan mengharapakan
return yang relatif tinggi pada saat tingkat inflasi sedang tinggi. Dan
sebaliknya investor akan mengharapkan return relatif rendah jika inflasi
rendah. Menurut Jamli (2001), untuk mengukur pertumbuhan inflasi dapat
digunakan formula sebagai berikut:
Pinflasi =

inf lasit  inf lasit 1
inf lasit 1

26
Keterangan:
P inflasi

: perubahan inflasi

inflasi t

: inflasi pada periode ke – t

inflasi t-1

: inflasi pada periode sebelum ke – t

2. PERUBAHAN TINGKAT SUKU BUNGA INDOESIA

Tingkat bunga adalah tingkat bunga deposito bulanan bank-bank
pemerintah yang selaku bank sentral mempunyai tugas untuk memelihara
agar sistem moneter dapat bekerja secara efisien melalui kebijakan –
kebijakan yang dibuat oleh bank Indonesia. Dimana hubungan negatif
antara tingkat suku bunga dan harga saham adalah semakin tinggi tingkat
suku bunga maka semakin rendah investasi (biaya modal yang semakin
tinggi) yang pada akhirnya berdampak semakin turunnya harga-harga
saham.
Para investor biasanya melihat BI rate sebagai patokan dalam
berinvestasi pada pasar modal. Karena BI rate merupakan imbalan bebas
risiko sehingga menjadi tolak ukur dalam pengembalian investasi. Nilai BI
rate mempunyai hubungan yang terbalik dengan return saham yang
diharapkan . Jika suku bunga ini lebih tinggi daripada return yang
diarapkan maka investor akan memilih deposito sebagai pilihan
investasinya. Sasanti (2005), “untuk mengetahui perubahan tingkat suku
bunga SBI dapat digunakan formula sebagai berikut:

27
Keterangan:
pBI rate : perubahan suku bunga BI rate
BI ratet : suku bunga BI rate periode ke – t
BI ratet-1 : suku bunga BI rate sebelum periode ke – t

3. PERUBAHAN NILAI TUKAR ATAU KURS

Kurs antara dua negara adalah harga di mana penduduk kedua
negara saling melakukan perdagangan. Hal ini disebabkan oleh adanya
kebutuhan barang dari kedua belah pihak tetapi mempunyai mata uang
yang berbeda. Mankiw (2000: 192), membedakan kurs menjadi dua, yaitu:
1) kurs nominal (nominal exchange rate) adalah harga relatif dari mata
uang dua negara.
2) kurs riil (real exchange rate) adalah harga relatif dari barang –
barang kedua negara.
Kurs adalah perbandingan antara mata uang dalam negeri dengan
mata uang luar negeri. Kurs yang dipergunakan dalam penelitian ini
adalah kurs US$ terhadap Rupiah. US$ dipilih penulis karena US$
merupakan hard currency yang paling stabil dan paling diakui sebagai
mata uang untuk transaksi internasional oleh semua negara. Hubungan
negatif antara nilai tukar dan harga saham adalah semakin menguat mata

28
uang rupiah terhadap dolar (semakin rendah nilai rupiah per dolar)
menyebabkan meningkatnya aliran modal masuk ke Indonesia yang pada
akhirnya meningkatkan pendapatan nasional dan harga-harga saham.
Dalam penelitian Dahlifah (2005) perubahan kurs dihitung dengan
formula sebagai berikut:

Keterangan:
pKurs : perubahan kurs
Kurst : kurs periode ke – t
Kurst-1 : kurs sebelum periode ke – t
F. PENELITIAN – PENELITIAN SEBELUMNYA

Chen, Roll, dan Ross (1986) melakukan penelitian dalam 2 tahap.
Tahap pertama dengan menggunakan regresi time series yang hasilnya
menyatakan bahwa terdapat empat faktor yang mendasari perubahan
harga saham, yaitu: Tingkat Inflasi, Perbedaan antara tingkat suku bunga
jangka pendek dan jangka panjang, Perbedaan antara tingkat keuntungan
obligasi yang berisiko tinggi dan rendah, Tingkat kegiatan dalam industri.
Tahap kedua, mereka melakukan regresi cross section dengan
menggunakan variabel beta yang didapat dari regresi tahap pertama dari
masing-masing perusahaan dan faktor untuk setiap portofolionya.

29
Hasilnya menunjukkan bahwa beta faktor tidak signifikan mempengaruhi
return saham.
Sorensen, Menrich, dan Thun Chee (1989), melakukan penelitian
dengan membuat model untuk Solomon Brother Risk Index Model yang
menyatakan bahwa terdapat tujuh faktor penting yang mempengaruhi
returns saham, yaitu: Economic growth, Business Cycle, Long Term
Interest, Short Term Interest, Inflation, Currency Fluctuastion, dan Market
Index Securities.
Riskianto (1992) seperti yang dikutip oleh Maurin Sitorus (2004),
menggunakan data di BEJ dari tahun 1984 sampai dengan tahun 1988
menguji Capital Asset Pricing Model

(CAPM) dan Arbitrage Pricing

Theory (APT), dimana di dalam pengujian APT digunakan dua faktor yaitu
return pasar dan inflasi. Baik CAPM maupun APT menunjukkan tidak
adanya pola yang jelas antara beta dari return pasar maupun beta dari
inflasi.
Bambang Trisilo (1995) seperti yang dikutip oleh Maurin Sitorus
(2004), melakukan pengujian CAPM yang berorientasi konsumsi dengan
menggunakan

data

triwulan

dan

gabungan

CAPM-APT

dengan

menggunakan data bulanan di BEJ. Variabel bebas pada model APT ialah
deposito berjangka, inflasi yang diharapkan, residual Indeks Harga
Konsumen (IHK) sebagai tingkat inflasi yang tidak diharapkan, return
pasar yang diukur dengan IHSG. Hasil yang didapat pada penelitian ini
ialah koefisien beta pada model CAPM maupun gabungan CAPM-APT

30
tidak signifikan, sementara beta konsumsi pada CAPM berorientasi
konsumsi signifikan dalam menjelaskan variasi return saham di BEI.

G. KERANGKA PEMIKIRAN TEORITIS DAN PERUMUSAN HIPOTESIS

1. PENGARUH
PREMI
RISIKO
YANG
DIUKUR
DENGAN
MENGGUNAKAN CAPITAL ASSET PRICING MODEL DALAM
MEMPREDIKSI RETURN SAHAM

Dalam model Markowitz sebagaimana telah dibahas dimuka, investor
bisa menentukan pilihan portofolio optimal dari berbagai pilihan portofolio
yang ada pada garis portofolio yang efisien. Akan tetapi, model Markowitz
tersebut membatasi pilihan investor hanya pada portofolio yang terdiri dari
aset berisiko. Padahal dalam kenyataannya, investor bebas memilih
portofolio yang juga terdiri dari aset bebas risiko. Oleh karena itu muncul
teori yang didasari oleh teori portofolio yaitu teori Capital Asset Pricing
Model (CAPM) yang mula-mula dikenalkan oleh Sharpe pada tahun 1964,
kemudian disempurnakan oleh Lintner dan Mossin beberapa tahun
kemudian. Dalam teori ini diajarkan bahwa return yang disyaratkan dari
sebuah investasi pada surat berharga ditentukan oleh dua komponen,
yaitu return investasi bebas risiko (risk free rate) dan premi risiko (risk
premium). Persamaan CAPM menunjukkan bahwa saham dengan risiko
yang besar harus mampu memberikan premi risiko yang besar pula;
demikian sebaliknya.

31
Dengan demikian premi risiko yang diukur dengan menggunakan
Capital Asset Pricing Model mempunyai pengaruh tambahan (adjusted
effect), yakni pengaruh positif atau negatif dalam memprediksi return
saham Industri Manufaktur yang tercatat di Bursa Efek Indonesia.
Sehingga dapat disusun hipotesis sebagai berikut :
Hipotesis satu : Premi Risiko yang diukur dengan menggunakan Capital
Asset Pricing Model mempunyai “pengaruh tambahan”
dalam memprediksi return saham Industri Manufaktur
yang tercatat di Bursa Efek Indonesia

2. PENGARUH INFLASI, SUKU BUNGA INDONESIA DAN NILAI KURS
YANG DIUKUR DENGAN MENGGUNAKAN MODEL ARBITRAGE
PRICING THEORY (APT) DALAM MEMPREDIKSI RETURN SAHAM

Variabel-variabel makroekonomi (inflasi, suku bunga indonesia dan
kurs) tersebut merupakan variabel yang dapat menggerakkan harga
saham adalah suatu teori yang dapat diterima secara umum (Maysami
dan Sim Kho, 2000). Banyak metode yang dapat dipergunakan untuk
mengkaji hubungan variabel-variabel makroekonomi terhadap pasar
modal suatu negara. Salah satu teori yang sering dipergunakan adalah
konsep Arbitrage Pricing Theory (APT) yang dikembangkan oleh Ross
(1976). Konsep APT ini merupakan konsep model keseimbangan yang
mempergunakan hukum satu harga (the law of one price), dimana dua
kesempatan investasi yang identik sama tidak bisa dijual dengan harga
yang berbeda (Elton et. al., 1995). Dengan menggunakan APT, Chen et.

32
al. (1986) membuktikan bahwa variabel-variabel makro ekonomi memiliki
pengaruh yang sistematik terhadap tingkat kembalian (return) pasar
saham.
Dari uraian diatas tentang variabel-variabel makroekonomi yaitu
inflasi, suku bunga indonesia, dan nilai kurs yang diukur dengan
menggunakan model Arbitrage Pricing Theory mempunyai pengaruh
tambahan (adjusted effect), yakni pengaruh positif atau negatif dalam
memprediksi return saham Industri Manufaktur yang tercatat di Bursa Efek
Indonesia. Sehingga dapat disusun hipotesis sebagai berikut :
Hipotesis dua : Inflasi, SBI, dan Kurs yang diukur dengan menggunakan
model Arbitrage Pricing Theory mempunyai “pengaruh
tambahan” dalam memprediksi return saham Industri
Manufaktur yang tercatat di Bursa Efek Indonesia.

3. PERBEDAAN EXPECTED RETURN YANG DIUKUR DENGAN
MENGGUNAKAN CAPITAL ASSET PRICING MODEL (CAPM) DAN
MODEL ARBITRAGE PRICING THEORY (APT)

Harapan keuntungan di masa datang merupakan kompensasi atas
waktu dan risiko yang terkait dengan investasi yang dilakukan. Dalam
konteks investasi, harapan keuntungan tersebut sering disebut sebagai
return. Seorang investor mengharapkan return yang tinggi dari investasi
yang dilakukannya. Namun, untuk mendapatkan return yang tinggi,
investor menghadapi risiko yang tinggi pula. Artinya semakin tinggi return
yang diharapkan semakin tinggi risiko investasi. Penelitian Siegel (1992)

33
yang membandingkan return saham dan obligasi di Amerika dalam kurun
waktu hampir seabad (1902-1990) menemukan bahwa return saham jauh
melebihi return obligasi. Hal itu diikuti pula dengan fakta bahwa risiko
saham jauh lebih tinggi dibandingkan risiko obligasi.
Expected return yang diukur dengan menggunakan capital asset
pricing model mempunyai komponen yang terdiri dari premi risiko (Rm-Rf)
yang terdiri dari imbalan pasar (Rm) dan premi bebas risiko (Rf).
Risiko investasi bisa diartikan sebagai kemungkinan terjadinya
perbedaan antara return aktual dengan return yang diharapkan. Dua
konsep ini, risiko maupun return, bagaikan dua sisi mata uang yang selalu
berdampingan. Artinya, dalam berinvestasi, di samping menghitung return
yang diharapkan, investor harus memperhitungkan risikonya. Investor
perlu mencari alternatif investasi yang menawarkan tingkat return yang
paling tinggi dengan tingkat risiko tertentu, atau investasi yang
menawarkan return tertentu pada tingkat risiko terendah.
Pada tahun 1976 Stephen A. Ross merumuskan sebuah teori yang
disebut dengan Arbitrage Pricing Theory (APT), yaitu menyatakan bahwa
harga suatu aset bisa dipengaruhi oleh berbagai faktor, tidak hanya satu
faktor (portofolio pasar) seperti yang telah dikemukakan pada teori CAPM.
Pada model APT faktor – faktor makro ekonomi seperti inflasi, tingkat
suku

bunga,

nilai

tukar

mata

uang

memprediksi return saham.

34

turut

diperhitungkan

dalam
Expected return industri manufaktur yang tercatat di bursa efek
indonesia yang diukur dengan menggunakan capital asset pricing model
yang terdiri dari komponen premi risiko berbeda dengan expected return
yang diukur dengan menggunakan model arbitrage pricing model yang
terdiri dari komponen inflasi, suku bunga indonesia, dan nilai kurs.
Sehingga dari uraian tersebut, maka dapat disusun hipótesis sebagai
berikut :
Hipotesis tiga : Expected return capital asset pricing model berbeda
dengan expected return model arbitrage pricing model
pada industri manufaktur yang tercatat di Bursa Efek
Indonesia.

4. PERBEDAAN AKURASI CAPITAL ASSET PRICING MODEL
(CAPM) DAN MODEL ARBITRAGE PRICING THEORY (APT)

Menurut Radcliffe (1997, 217-218), beberapa ukuran statistik yang
dapat digunakan untuk menggambarkan suatu risiko dan return, di
antaranya adalah : Mean Absolute Deviation menunjukkan kemungkinan
perbedaan antara return yang mungkin diterima dengan expected returnnya. Cara ini cukup masuk akal untuk menunjukkan tingkat risiko suatu
portofolio untuk mengetahui hubungan atau correlation di antara return
sekuritas.
Akurasi suatu model ini diukur dengan menggunakan Mean Absolut
Deviation (MAD), model yang mempunyai MAD yang lebih kecil berarti
lebih akurat dibandingkan model yang mempunyai MAD yang lebih besar.

35
Maka akan dilakukan pengujian perbedaan rata-rata penyimpangan
absolut Capital Asset Pricing Model dan mdel Arbitrage Pricing Theory
berdasarkan Mean Absolut Deviation (MAD) pada masing-masing model
(capital asset pricing model –CAPM dan model arbitrage pricing theoryAPT) dalam memprediksi return saham Industri Manufaktur yang tercatat
di Bursa Efek Indonesia selama periode 5 tahun (tahun 2003 hingga
2008). Maka dapat disusun hipótesis sebagai berikut :
Hipotesis empat : Expected return capital asset pricing model berbeda
rata-rata penyimpangan absolut dengan expected return
model arbitrage pricing model pada industri manufaktur
yang tercatat di Bursa Efek Indonesia
Uraian pemikiran teoritis inilah yang mengantar peneliti sekaligus
penulis menskemakan kerangka pemikiran tersebut, sebagaimana yang
tersaji pada Gambar 2.

CAPM

Premi Risiko
Pasar

Analisis
Regresi
Tunggal
CAPM
&
APT

Suku Bunga
SBI

APT

Kurs Rupiah
Terhadap
US $

Analisis
Regresi
Berganda

Tingkat Inflasi

Gambar 2. Kerangka Pemikiran

36

MAD
CAPM
&
MAD
APT

Return
Saham
BAB Ill
METODE PENELITIAN
A. JENIS PENELITIAN

Berdasarkan pada masalah, tujuan, hipotesis penelitian dan
kerangka pemikiran maka jenis penelitian ini adalah penelitian uji hipótesis
regresi korelasi yang hendak melihat perbedaan akurasi yang signifikan
capital asset

pricing

model

dan

arbitrage

pricing

theory

dalam

memprediksi return saham industri manufaktur yang tercatat di Bursa Efek
Indonesia.
Unit analisis pada penelitian ini adalah perusahaan manufaktur yang
terdaftar di Bursa Efek Indonesia. Time horizone pada penelitian adalah
menggunakan basis bulanan selama 6 tahun, dari tahun 2003 sampai
dengan tahun 2008. Jenis time horizone ini adalah longitudinal study, yaitu
penelitian dimana data diperoleh pada beberapa batas waktu untuk
menjawab sebuah pertanyaan penelitian (Sekaran: 238).
Variabel merupakan apa pun yang dapat membedakan atau
mengubah nilai
(Sekaran: 249). Penelitian ini menggunakan variabel Tingkat Pendapatan
Saham Industri Manufaktur sebagai variabel dependen (terikat) dan
variabel premi risiko pasar yang dimodelkan dalam CAPM, dan variabel
inflasi, tingkat suku bunga SBI, nilai tukar rupiah terhadap dolar yang
dimodelkan dalam APT sebagai variabel independen (bebas).

37
B. OBJEK DAN WAKTU PENELITIAN

Obyek penelitian adalah perusahaan manufaktur yang terdaftar pada
Bursa Efek Indonesia dan tergolong dalam kelompok saham yang
mempunyai nilai pasar (kapitalisasi) yang besar dan tingkat likuiditas yang
tinggi. Perusahaan-perusahaan tersebut terdaftar minimal selama satu
tahun dalam daftar saham indeks LQ 45

selama periode 2003-2008.

Penelitian ini dilaksanakan mulai dari bulan September 2008 - Mei 2009.

C. POPULASI DAN SAMPEL
Pada penelitian ini, populasi yang diambil adalah saham – saham
industri manufaktur yang terdaftar pada kelompok saham indeks LQ 45 di
Bursa Efek Indonesia.
Indeks saham LQ 45 merupakan indeks yang diperkenalkan oleh BEI
sejak 24 April 1997, adapun criteria saham yang masuk dalam
perhitungan indeks LQ 45, antara lain :
1. Perusahaan masuk dalam ranking 60 terbesar dari total transaksi
saham di pasar regular (rata-rata nilai transaksi selama 12 bulan
terakhir).
2. Ranking berdasarkan Kapitalisasi Pasar (rata-rata kapitalisasi pasar
selama 12 bulan terakhir).
3. Perusahaan tercatat di BEI minimum 30 hari bursa.

38
Pada penelitian ini, pengambilan sampel disesuaikan dengan kriteria
yang telah ditentukan sebelumnya. Adapun kriterianya :


Saham perusahan yang masuk dalam industri manufaktur selama
periode waktu Januari 2003 - Desember 2008 secara berturutturut dan konsisten dan data keuangan yang lengkap dan dapat
diandalkan kebenarannya pada tahun 2003-2008.

Berdasarkan kriteria diatas, jumlah sampel yang memenuhi syarat
adalah sebanyak 6 perusahaan, sebagaimana yang tersaji pada table 1.
Tabel 1. Data Perusahaan yang Digunakan Sebagai Sampel
No

Nama Perusahaan

Kode

1

PT. Indofood Sukses Makmur Tbk

INDF

2

PT. Kalbe Farma Tbk

KLBF

3

PT. Medco Energi International Tbk

MEDC

4

PT. Unilever Indonesia Tbk

UNVR

5

PT. Aneka Tambang Tbk

ANTM

6

PT. United Tractors Tbk

UNTR

D. TEKNIK PENGUMPULAN DATA

Penelitian ini menggunakan data sekunder harga saham masingmasing perusahaan pada industri manufaktur yang terdaftar di Bursa Efek
Indonesia. Selain harga saham yang merupakan variabel dependen,
penelitian ini juga menggunakan data-data tingkat suku bunga SBI

39
bulanan untuk mencari imbalan aset bebas risiko, IHSG untuk mencari
imbalan pasar, tingkat inflasi bulanan, serta nilai tukar mata uang rupiah
terhadap dollar Amerika sebagai variabel independen.
Data-data sekunder didapat langsung dari Situs Web Resmi Bank
Indonesia: http://www.bi.go.id, sebagai sumber data untuk memperoleh
tingkat suku bunga SBI, inflasi dan perubahan kurs US$ dalam jangka
waktu 6 tahun. Dan Situs Web Resmi Bursa Efek Indonesia:
http://www.idx.go.id untuk harga saham, Market Capitalization dan Indeks
Harga Saham individual setiap sekuritas yang diteliti, IHSG dan daftar
perusahaan manufaktur yang masuk kategori LQ 45 secara terus menerus
dalam jangka waktu 6 tahun. Data dikumpulkan oleh peneliti bersumber
dari Laporan Keuangan Tahunan emiten yang diperoleh dari buku
Indonesian Capital Market Direktory (ICMD) tahun 2003 -2008 dan
Laporan Penerbitan Indeks Saham LQ 45 oleh BEJ mulai dari tahun 2003
hingga tahun 2008. Data tersebut kemudian dipilih berdasarkan metoda
purpose sampling untuk dijadikan sampel pada penelitian ini.

E. DEFINISI OPERASIONAL

Definisi operasional merupakan penjelasan dan pengertian teoretis
variable untuk dapat diamati dan diukur. Dalam penelitian ini definisi
operasional yang dimaksud adalah sebagai berikut.
(1) Return saham

40
merupakan tingkat keuntungan yang diperoleh dari investasi. Dalam
penelitian ini return saham merupakan return saham-saham sampel LQ 45
yang dihitung secara bulanan. Return dalam penelitian ini dapat diperoleh
dengan menggunakan rumus:

keterangan:
Ri = Return saham
Pt = Harga saham pada periode t
Pt-1 = Harga saham pada periode t-1
(2) Varian saham
Merupakan penyimpangan tingkat pengembalian pada penyimpangan
rata-rata pengembalian saham yang diukur dengan persentase (%).
Varian saham (σ2) merupakan kuadrat dari standar deviasi saham (σ).
(3) Return pasar
Adalah tingkat pengembalian yang diperoleh dari investasi pada saham
yang ada di bursa, yang tercermin dari indeks IHSG bulanan yang diukur
dengan persentase (%).

Keterangan :
Rmt = Return pasar periode ke-t
It = Indeks IHSG periode ke-t
It-1 = Indeks IHSG periode ke-t-1

41
(4) Risiko sistematis
Risiko sistematis ditunjukkan oleh parameter beta yang merupakan rasio
antara kovarian return saham terhadap return pasar, pada model CAPM,
dan pada model APT, k faktor tersebut antara lain :


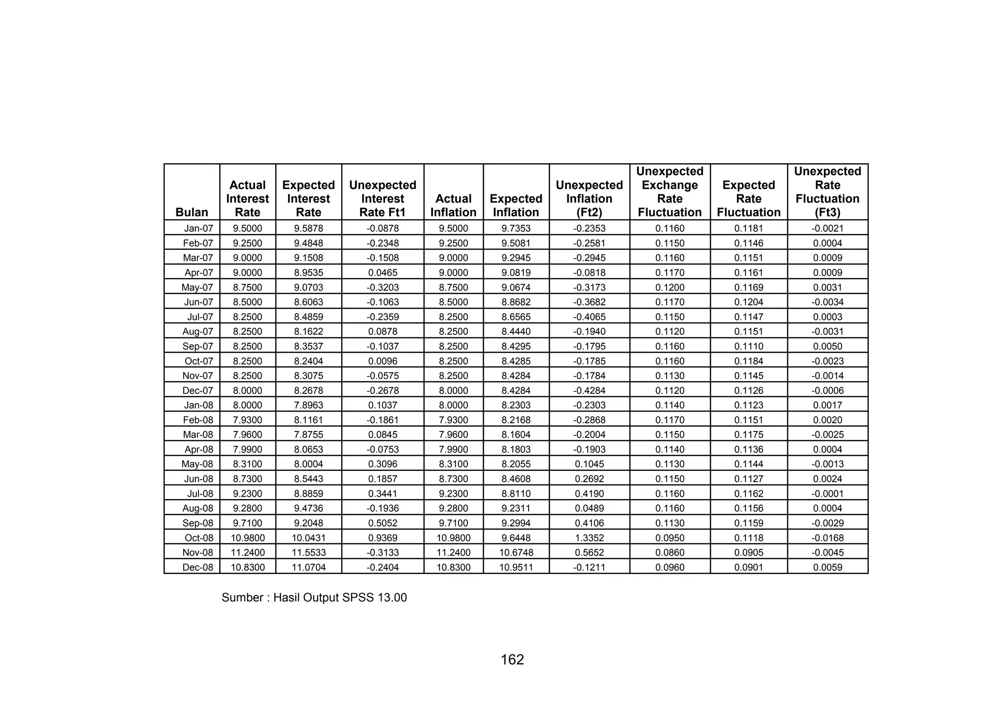
Tingkat suku bunga yang tidak diharapkan (unxpected intrest rate)
adalah selisih tingkat suku bunga sesungguhnya dengan tingkat
suku bunga yang diharapkan. Tingkat suku bunga yang diharapkan
dihitung dengan menggunakan metode ARIMA.



Tingkat inflasi yang tidak diharapkan (unexpected inflation) adalah
selisih tingkat inflasi sesungguhnya dengan tingkat inflasi yang
diharapkan. Tingkat inflasi yang diharapkan dihitung dengan
menggunakan metode ARIMA.



Tingkat perubahan kurs yang tidak diharapkan ( unexpected
exchange rate fluctuation) adalah selisih tingkat perubahan kurs
sesungguhnya dengan tingkat perubahan kurs yang diharapkan.
Tingkat

perubahan

kurs

yang

diharapkan

dihitung

dengan

menggunakan metode ARIMA.


Data mengenai tingkat bunga, tingkat inflasi dan perubahan kurs
sesungguhnya, didapat langsung dari Situs Web Resmi Bank
Indonesia: http://www.bi.go.id, secara bulanan dalam jangka waktu
6 tahun.

(5) Return bebas risiko

42
Merupakan tingkat pengembalian yang diperoleh dari aktiva bebas risiko.
Dalam penelitian ini yang digunakan sebagai tingkat bunga bebas risiko
adalah tingkat suku bunga Sertifikat Bank Indonesia (SBI) yang diterbitkan
oleh Bank Indonesia periode bulanan dengan ukuran persentase (%).

F. CAPITAL ASSET PRICING MODEL

Dalam penelitian expected return yang diukur dengan menggunakan
Capital Asset Pricing Model dalam memprediksi return saham Industri
Manufaktur

yang

tercatat

di

Bursa

Efek

Indonesia

berdasarkan

perhitungan dan analisis dari premi risiko setiap saham selama periode
tertentu ini berdampak pada keputusan investor.
Untuk menghitung expected return yang menggunakan Capital Asset
Pricing Model memerlukan tahapan pengerjaan sebagai berikut :
1) Menentukan periode estimasi (estimation Period) yang akan
digunakan untuk mengestimasi parameter alpha dan beta tiap-tiap
saham. Periode estimasi dalam penelitian ini dari Januari 2003 Desember 2008.
2) Menghitung pendapatan saham yang sesungguhnya (Actual
Return) perusahaan-perusahaan Manufaktur.
3) Menghitung pendapatan pasar (market return).
4) Menghitung beta (β) dengan menggunakan rumus market model
yang meregresikan antara pendapatan saham yang sesungguhnya
(actual return) dengan pendapatan pasar (market return).

43
5) Setelah beta (β) masing-masing perusahaan diperoleh kemudian
membentuk sebuah model persamaan berdasarkan model CAPM.
6) Menghitung pendapatan saham yang diharapkan (expected return)
dengan menggunakan model CAPM.
7) Menghitung

rata-rata

penyimpangan

absolut

(Mean

Absolut

Deviation (MAD)) untuk model CAPM dengan rumus Model CAPM :

Perhitungan tersebut diterapkan secara individual pada setiap saham
Industri Manufaktur yang tercatat di Bursa Efek Indonesia di dalam sampel
penelitian.

G. ARBITRAGE PRICING THEORY

Expected return yang diukur dengan menggunakan model arbitrage
pricing model yang terdiri dari komponen inflasi, suku bunga indonesia,
dan nilai kurs pada saham Industri Manufaktur yang tercatat di Bursa Efek
Indonesia dan berdasarkan perhitungan dan analisis tersebut ini pun
berdampak pada keputusan investor.
Untuk menghitung expected return yang menggunakan model
arbitrage pricing model memerlukan tahapan pengerjaan sebagai berikut :
1. Menghitung

a,

b1,

b2,

dan

b3

perusahaanperusahaan Manufaktur.

44

untuk

model

APT

pada
2. Menghitung pendapatan saham yang sesungguhnya (Actual
Return) perusahaan-perusahaan Manufaktur.
3. Menghitung b1, b2, dan b3 yang merupakan hasil ARIMA program
SPSS 13.00 pada perusahaanperusahaan Manufaktur.
4. Menghitung pendapatan saham yang diharapkan (expected return)
dengan menggunakan model APT.
5. Menghitung

rata-rata

penyimpangan

absolut

(Mean

Absolut

Deviation (MAD)) untuk model APT dengan rumus Model CAPM :

Perhitungan tersebut diterapkan secara individual pada setiap saham
Industri Manufaktur yang tercatat di Bursa Efek Indonesia di dalam sampel
penelitian.

H. TEKNIK STATISTIK DAN EKONOMETRIK YANG DIGUNAKAN

1. PENGARUH
PREMI
RISIKO
YANG
DIUKUR
DENGAN
MENGGUNAKAN CAPITAL ASSET PRICING MODEL DALAM
MEMPREDIKSI RETURN SAHAM

Untuk

menguji

menggunakan

pengaruh

capital

asset

premi
pricing

risiko

yang

model

diukur

dengan

dilakukan

dengan

menggunakan regresi linier tunggal dimana variabel terikatnya expected
return capital asset pricing model sedangkan variabel bebasnya adalah
premi risiko. Tujuan pengujian ini adalah untuk mengetahui pengaruh
variabel bebas (premi risiko) yang diukur dengan menggunakan capital

45
asset pricing model dalam memprediksi return (variabel terikat, expected
return capital asset pricing model ) saham Indutri Manufaktur yang tercatat
di bursa efek indonesia.
Dalam penelitian ini model regresi sebagai berikut :

Keterangan :
Ri-Rf : pendapatan saham pada perusahaan i
Rf

: imbalan aset bebas risiko

Rm

: imbalan pasar

α

: konstanta

βi

: slope (kepekaan saham i terhadap premium)

℮

: error
Analisis regresi ini dimaksudkan untuk mengetahui besarnya

koefisien

regresi

masing-masing

variabel.

Koefisien

regresi

ini

menunjukkan sensitivitas variable terikat, dalam hal ini expected return
saham capital asset pricing model terhadap perubahan variabel bebas
(premi risiko). Variabel terikat (expected return saham capital asset pricing
model) akan meningkat atau menurun sebesar β unit jika variabel premi
risiko meningkat atau menurun sebesar satu unit.

46
2. PENGARUH INFLASI, SUKU BUNGA INDONESIA DAN NILAI KURS
YANG DIUKUR DENGAN MENGGUNAKAN MODEL ARBITRAGE
PRICING THEORY (APT) DALAM MEMPREDIKSI RETURN SAHAM

Untuk menguji pengaruh inflasi, suku bunga indonesia dan nilai kurs
yang diukur dengan menggunakan model Arbitrage Pricing Theory
dilakukan dengan menggunakan regresi linier berganda dimana variabel
terikatnya expected return Arbitrage Pricing Theory sedangkan variabel
bebasnya adalah inflasi, suku bunga indonesia dan nilai kurs. Tujuan
pengujian ini adalah untuk mengetahui pengaruh variabel – variabel bebas
(inflasi, suku bunga indonesia dan nilai kurs) yang diukur dengan
menggunakan model arbitrage pricing theory (APT) dalam memprediksi
return (variabel terikat, expected return Arbitrage Pricing Theory) saham
Industri Manufaktur yang tercatat di Bursa Efek Indonesia.
Dalam penelitian ini model regresi sebagai berikut :

Keterangan :
Ri-Rf

: Pendapatan saham pada perusahaan i

α

: konstanta

β

: koefisien korelasi

pInflasi

: perubahan inflasi

pBI Rata

: perubahan tingkat suku bunga SBI

pkurs

: perubahan nilai tukar rupiah terhadap dolar

℮

: error

47
Analisis regresi ini dimaksudkan untuk mengetahui besarnya
koefisien

regresi

masing-masing

variabel.

Koefisien

regresi

ini

menunjukkan sensitivitas variable terikat, dalam hal ini expected return
Arbitrage Pricing Theory terhadap perubahan variabel bebas (inflasi, suku
bunga indonesia dan nilai kurs). Variabel terikat (expected return Arbitrage
Pricing Theory) akan meningkat atau menurun sebesar β unit jika variabel
inflasi, suku bunga indonesia dan nilai kurs meningkat atau menurun
sebesar satu unit. Hal yang sama akan terjadi jika variabel bebas lainnya
meningkat atau menurun satu unit, maka variabel terikat akan meningkat
atau menurun sebesar koefisien regresi variabel yang bersangkutan.

3. STATISTIK UJI BEDA DUA RATA-RATA UNTUK INDEPENDENT
SAMPLE EXPECTED RETURN YANG DIUKUR DENGAN
MENGGUNAKAN CAPITAL ASSET PRICING MODEL (CAPM) DAN
MODEL ARBITRAGE PRICING THEORY (APT)

Untuk mengetahui perbedaan expected return yang diukur dengan
menggunakan capital asset pricing model (CAPM) dan model arbitrage
pricing theory (APT) pada saham industri manufaktur yang tercatat di
bursa efek indonesia, dilakukan tahapan-tahapan sebagai berikut:
(1) Menghitung expected return yang diukur dengan menggunakan
capital asset pricing model (CAPM) dan model arbitrage pricing
theory (APT);
(2) Dilakukan uji statistik, yaitu uji rata-rata dua sampel independen (ttest);

48
(3) Dari hasil uji statistik tersebut, selanjutnya diambil kesimpulan
tentang expected return yang diukur dengan menggunakan capital
asset pricing model (CAPM) dan model arbitrage pricing theory (APT)
pada saham industri manufaktur yang tercatat di bursa efek
indonesia pada saham Industri Manufaktur yang tercatat di Bursa
Efek Indonesia

4. STATISTIK UJI BEDA DUA RATA-RATA UNTUK INDEPENDENT
SAMPLE MEAN ABSOLUT DEVIATION (MAD) CAPM DAN APT

Untuk mengetahui perbedaan rata-rata penyimpangan absolut (mean
absolut deviation (mad)) CAPM dan APT pada saham industri manufaktur
yang tercatat di bursa efek indonesia, dilakukan tahapan-tahapan sebagai
berikut:
i. Menghitung selisih antara actual return dan expected return yang
diukur dengan menggunakan capital asset pricing model (CAPM) dan
model arbitrage pricing theory (APT) dibagi dengan banyaknya
obeservasi pengamatan yang dilakukan peneliti, dengan rumus yang
sama diterapkan sama pada capital asset pricing model (CAPM) dan
model arbitrage pricing theory (APT), yaitu :

ii. Dilakukan uji statistik, yaitu uji rata-rata dua sampel independen (ttest);

49
iii. Dari hasil uji statistik tersebut, selanjutnya diambil kesimpulan
tentang perbedaan rata-rata penyimpangan absolut Capital Asset
Pricing Model dan mdel Arbitrage Pricing Theory berdasarkan Mean
Absolut Deviation (MAD) pada masing-masing model (capital asset
pricing model –CAPM dan model arbitrage pricing theory-APT) dalam
memprediksi return saham Industri Manufaktur yang tercatat di Bursa
Efek Indonesia.

50
BAB IV
GAMBARAN UMUM
A. PASAR MODAL

Pertumbuhan bursa efek pada tahun-tahun berikutnya menjadi
semakin cepat, terutama sejak dilakukan sistim otomasi perdagangan
pada tanggal 25 Mei 1995 seperti yang dikutip dari Panduan Indeks Harga
Saham Bursa Efek Indonesia (2008), semua indikator perdagangan
seperti nilai, volume dan frekuensi transaksi menunjukkan pertumbuhan
yang luar biasa. Pada tahun 2007, rata-rata nilai transaksi telah mencapai
angka di atas Rp 4,3 triliun per hari. Bahkan pada tahun 2008, sampai
dengan semester pertama, rata-rata nilai transaksi harian meningkat
menjadi Rp 5,6 triliun. Meskipun pada Semester II, terjadi penurunan
karena ada krisis “subprime” di Amerika yang mempengaruhi semua
bursa di dunia tidak terkecuali Indonesia, akan tetapi rata-rata nilai
transaksi pada tahun 2008 masih lebih tinggi dari tahun 2007 yaitu
sebesar Rp 4,5 triliun. Angka-angka tersebut meningkat luar biasa jika
dibandingkan dengan awal-awal swastanisasi bursa efek atau sebelum
diberlakukan otomasi perdagangan. Pada tahun 1994, rata-rata nilai
transaksi hanya sebesar Rp 104 miliar per hari. Hal ini berarti dalam kurun
waktu 14 tahun rata-rata nilai transaksi harian telah meningkat sebesar
lebih kurang 4.000%.

51
Seiring dengan perkembangan pasar dan tuntutan untuk lebih
meningkatkan efisiensi serta daya saing di kawasan regional, maka efektif
tanggal 3 Desember 2007 secara resmi PT Bursa Efek Jakarta digabung
dengan PT Bursa Efek Surabaya dan berganti nama menjadi PT Bursa
Efek Indonesia.
Selain aktivitas transaksi yang meningkat, dalam kurun yang sama,
Indek Harga Saham Gabungan (IHSG) juga menunjukkan kenaikan yang
luar biasa. Pada akhir tahun 1994, IHSG masih berada pada level
469,640. Meskipun sempat mengalami penurunan pada saat krisis
ekonomi melanda Indonesia tahun 1997, akan tetapi pada era tahun
2000-an IHSG mengalami pertumbuhan yang luar biasa. Pada tanggal 9
Januari 2008, IHSG mencapai level tertinggi sepanjang sejarah Pasar
Modal Indonesia yaitu ditutup pada level 2.830,263 atau meningkat
sebesar 502,65% dibandingkan penutupan tahun 1994.
Indeks Harga Saham Gabungan (IHSG) pertama kali diperkenalkan
pada tanggal 1 April 1983 sebagai indikator pergerakan harga saham
yang tercatat di bursa. Hari dasar perhitungan indeks adalah tanggal 10
Agustus 1982 dengan nilai 100. Sedangkan jumlah emiten yang tercatat
pada waktu itu adalah sebanyak 13 emiten. Sekarang ini (Desember2008)
jumlah emiten yang tercatat di Bursa Efek Indonesia sudah mencapai 396
emiten.
Nilai IHSG yang semakin tinggi merupakan bentuk kepercayaan
investor atas kondisi ekonomi Indonesia yang semakin kondusif.

52
Perkembangan IHSG selama tiga tahun terakhir dapat dilihat pada
gambar 3. Perkembangan IHSG

Faktor domestik inilah yang menjadi salah satu factor utama dari
pergerakan IHSG, faktor-faktor fundamental suatu negara seperti inflasi,
pendapatan nasional, jumlah uang yang beredar, suku bunga, maupun
nilai tukar Rupiah. Berbagai faktor fundamental tersebut dianggap dapat
berpengaruh pada ekspektasi investor yang akhirnya berpengaruh pada
pergerakan Indeks.

B. PERUSAHAAN – PERUSAHAAN MANUFAKTUR

1. RETURN SAHAM TERHADAP RETURN PASAR TAHUN 2003

Pada table 1.1 Descriptive Statistic terlihat bahwa pergerakan return
IHSG tertinggi mencapai 13 % pada bulan April 2003, dan return IHSG
terendah sebesar -9% pada bulan Januari 2003. Pergerakan return INDF
tertinggi mencapai 21 % pada bulan April dan Mei 2003, dan return INDF
terendah sebesar -13% pada bulan Agustus 2003. Pergerakan return

53
MEDCO tertinggi mencapai 7 % pada bulan Agustus tahun 2003, dan
return MEDCO terendah sebesar -7% pada bulan Mei 2003. Pergerakan
return UNVR tertinggi mencapai 17 % pada bulan April dan Mei 2003, dan
return UNVR terendah sebesar -88 % pada bulan september 2003.
Pergerakan return KLBF tertinggi mencapai 32 % pada bulan April 2003,
dan return KLBF terendah sebesar -11 % pada bulan Oktober 2003.
Tabel 1.1
Descriptive Statistics
N

Minimum

Maximum

Mean

Std. Deviation

Variance

IHSG

12

-.09

.13

.0434

.06637

.004

INDF

12

-.13

.21

.0303

.11804

.014

MEDC

12

-.07

.07

.0008

.04199

.002

UNVR

12

-.88

.17

-.0277

.27953

.078

KLBF

12

-.11

.32

.0209

.11680

.014

ANTM

12

-.09

.57

.1125

.17050

.029

UNTR

12
12

-.12

.42

.1404

.19654

.039

Valid N (listwise)

Sumber : Hasil Output SPSS 13.00

Pergerakan return ANTM tertinggi mencapai 57 % pada bulan
Desember 2003, dan return ANTM terendah sebesar -9% pada bulan April
2003. Pergerakan return UNTR tertinggi mencapai 42 % pada bulan April
2003, dan return UNTR terendah sebesar -12 % pada bulan Januari 2003.

2. RETURN SAHAM TERHADAP RETURN PASAR TAHUN 2004

Pada table 1.2 Descriptive Statistic terlihat bahwa pergerakan return
IHSG tertinggi mencapai 14 % pada bulan November 2004, dan return
IHSG terendah sebesar -7% pada bulan Mei 2004. Pergerakan return

54
INDF tertinggi mencapai 11 % pada bulan November 2004, dan return
INDF terendah sebesar -7% pada bulan Mei 2004. Pergerakan return
MEDCO tertinggi mencapai 25 % pada bulan Oktober 2004, dan return
MEDCO terendah sebesar -6% pada bulan Juli 2004. Pergerakan return
UNVR tertinggi mencapai 9 % pada bulan Juni 2004, dan return UNVR
terendah sebesar -11 % pada bulan Februari 2004. Pergerakan return
KLBF tertinggi mencapai 337 % pada bulan September 2004, dan return
KLBF terendah sebesar -76 % pada bulan Agustus 2004.
Tabel 1.2
Descrip tive Statistics
N
IHSG
INDF
MEDCO
UNVR
KLBF
ANTM
UNTR
Valid N (listwise)

12
12
12
12
12
12
12
12

Minimum
-.07
-.07
-.06
-.11
-.76
-.22
-.33

Maxim um
.14
.11
.25
.09
3.37
.18
.28

Mean
.0327
.0013
.0397
-.0061
.1897
-.0016
.0633

St d. Dev iation
.05621
.05559
.08806
.06181
1.04314
.12557
.15354

Sumber : Hasil Output SPSS 13.00

Pergerakan return ANTM tertinggi mencapai 18 % pada bulan Maret
2004, dan return ANTM terendah sebesar -22% pada bulan Januari 2004.
Pergerakan return UNTR tertinggi mencapai 28 % pada bulan Oktober
2004, dan return UNTR terendah sebesar -33 % pada bulan Mei 2004.

3. RETURN SAHAM TERHADAP RETURN PASAR TAHUN 2005

Pada table 1.3 Descriptive Statistic terlihat bahwa pergerakan return
IHSG tertinggi mencapai 6 % pada bulan Desember 2005, dan return
IHSG terendah sebesar -5% pada bulan April 2005. Pergerakan return

55
INDF tertinggi mencapai 25 % pada bulan Maret 2005, dan return INDF
terendah sebesar -28% pada bulan Agustus 2005. Pergerakan return
MEDCO tertinggi mencapai 47 % pada bulan Juni 2005, dan return
MEDCO terendah sebesar -15% pada bulan Juli 2005. Pergerakan return
UNVR tertinggi mencapai 22 % pada bulan Mei 2005, dan return UNVR
terendah sebesar -11 % pada bulan Juni 2005. Pergerakan return KLBF
tertinggi mencapai 26 % pada bulan Januari 2005, dan return KLBF
terendah sebesar -6 % pada bulan Maret 2005.
Tabel 1.3
Descrip tive Statistics
N
IHSG
INDF
MEDCO
UNVR
KLBF
ANTM
UNTR
Valid N (listwise)

12
12
12
12
12
12
12
12

Minimum
-.05
-.28
-.15
-.11
-.06
-.09
-.15

Maxim um
.06
.25
.47
.22
.26
.32
.24

Mean
.0221
.0206
.0516
.0247
.0539
.0685
.0468

St d. Dev iation
.03258
.14269
.16298
.08290
.09417
.11338
.12152

Sumber : Hasil Output SPSS 13.00

Pergerakan return ANTM tertinggi mencapai 32 % pada bulan
Desember 2005, dan return ANTM terendah sebesar -9% pada bulan
Agustus 2005. Pergerakan return UNTR tertinggi mencapai 24 % pada
bulan Januari 2005, dan return UNTR terendah sebesar -15 % pada bulan
Maret 2005.

4. RETURN SAHAM TERHADAP RETURN PASAR TAHUN 2006

Pada table 1.4 Descriptive Statistic terlihat bahwa pergerakan return
IHSG tertinggi mencapai 11 % pada bulan April 2006, dan return IHSG

56
terendah sebesar -9% pada bulan Mei 2006. Pergerakan return INDF
tertinggi mencapai 27 % pada bulan April 2006, dan return INDF terendah
sebesar -17% pada bulan Mei 2006. Pergerakan return MEDCO tertinggi
mencapai 16 % pada bulan Januari dan April 2006, dan return MEDCO
terendah sebesar -17% pada bulan Mei 2006. Pergerakan return UNVR
tertinggi mencapai 25 % pada bulan November 2006, dan return UNVR
terendah sebesar -12 % pada bulan Mei 2006. Pergerakan return KLBF
tertinggi mencapai 31 % pada bulan Januari 2006, dan return KLBF
terendah sebesar -14 % pada bulan Mei 2006.
Tabel 1.4
Descrip tive Statistics
N
IHSG
INDF
MEDCO
UNVR
KLBF
ANTM
UNTR
Valid N (listwise)

12
12
12
12
12
12
12
12

Minimum
-.09
-.17
-.17
-.12
-.14
-.23
-.02

Maxim um
.11
.27
.16
.25
.31
.32
.21

Mean
.0387
.0398
.0083
.0399
.0226
.0781
.0518

St d. Dev iation
.05391
.12008
.09553
.08580
.12988
.14342
.06459

Sumber : Hasil Output SPSS 13.00

Pergerakan return ANTM tertinggi mencapai 32 % pada bulan April 2006,
dan return ANTM terendah sebesar -23% pada bulan Mei 2006.
Pergerakan return UNTR tertinggi mencapai 21 % pada bulan April 2006,
dan return UNTR terendah sebesar -2 % pada bulan Desember 2006.

5. RETURN SAHAM TERHADAP RETURN PASAR TAHUN 2007

Pada table 1.5 Descriptive Statistic terlihat bahwa pergerakan return
IHSG tertinggi mencapai 12 % pada bulan Oktober 2007, dan return IHSG

57
terendah sebesar -7% pada bulan Agustus 2007. Pergerakan return INDF
tertinggi mencapai 25 % pada bulan April dan Mei 2007, dan return INDF
terendah sebesar -8% pada bulan Februari 2007. Pergerakan return
MEDCO tertinggi mencapai 21 % pada bulan Juli tahun 2007, dan return
MEDCO terendah sebesar -9% pada bulan Agustus 2007. Pergerakan
return UNVR tertinggi mencapai 12 % pada bulan Juli 2007, dan return
UNVR terendah sebesar -11 % pada bulan Januari 2007. Pergerakan
return KLBF tertinggi mencapai 12 % pada Juni 2007, dan return KLBF
terendah sebesar -10 % pada November 2007.
Tabel 1.5
Descrip tive Statistics
N
IHSG
INDF
MEDCO
UNVR
KLBF
ANTM
UNTR
Valid N (listwise)

12
12
12
12
12
12
12
12

Minimum
-.07
-.08
-.09
-.11
-.10
-.79
-.06

Maxim um
.12
.25
.21
.12
.12
.40
.34

Mean
.0368
.0598
.0351
.0041
.0070
.0328
.0475

St d. Dev iation
.05472
.10182
.09111
.07120
.06995
.32022
.10154

Sumber : Hasil Output SPSS 13.00

Pergerakan return ANTM tertinggi mencapai 40 % pada November
2007, dan return ANTM terendah sebesar -79% pada bulan Juli 2007.
Pergerakan return UNTR tertinggi mencapai 34 % pada bulan Oktober
2007, dan return UNTR terendah sebesar -6 % pada bulan Agustus 2007.

6. RETURN SAHAM TERHADAP RETURN PASAR TAHUN 2008

Pada table 1.6 Descriptive Statistic terlihat bahwa pergerakan return
IHSG tertinggi mencapai 9 % pada Desember 2008, dan return IHSG

58
terendah sebesar -31% pada Oktober 2008.

Pergerakan return INDF

tertinggi mencapai 23 % pada Mei 2008, dan return INDF terendah
sebesar -44% pada bulan oktober 2008. Pergerakan return MEDCO
tertinggi mencapai 29 % pada Mei 2008, dan return MEDCO terendah
sebesar -42% pada Oktober 2008. Pergerakan return UNVR tertinggi
mencapai 5 % pada Agustus 2008, dan return UNVR terendah sebesar -1
% pada bulan Oktober 2008. Pergerakan return KLBF tertinggi mencapai
12 % pada bulan November 2008, dan return KLBF terendah sebesar -44
% Oktober 2008.
Tabel 1.6
Descriptive Statistics
N
IHSG
INDF
MEDCO
UNVR
KLBF
ANTM
UNTR
Valid N (listwise)

12
12
12
12
12
12
12
12

Minimum
-.31
-.44
-.42
-.01
-.44
-.29
-.67

Maxim um
.09
.23
.29
.05
.12
.15
.26

Mean
-.0509
-.0662
-.0613
.0124
-.0810
-.1007
-.0313

St d. Dev iation
.10691
.16646
.19576
.02114
.12921
.14322
.24323

Sumber : Hasil Output SPSS 13.00

Pergerakan return ANTM tertinggi mencapai 15 % pada Februari 2008,
dan return ANTM terendah sebesar -29% pada bulan Oktober 2008.
Pergerakan return UNTR tertinggi mencapai 26 % pada November 2008,
dan return UNTR terendah sebesar -67 % pada bulan Oktober 2008.

59
BAB V
ANALISIS DAN PEMBAHASAN
A. ANALISIS CAPITAL ASSET PRICING MODEL (CAPM)

1. ESTIMASI PARAMETER ALPHA DAN BETA TIAP-TIAP SAHAM

Kepekaan return saham terhadap perubahan pasar biasa disebut
dengan beta investasi. Beta secara singkat dapat dihitung berdasarkan
data historis return saham dan proyeksinya serta return pasar saham.
Beta saham positif berarti mempunyai hubungan positif dengan kondisi
pasar, bila return pasar naik maka return saham juga naik dan sebaliknya.
Nilai dari beta (β) tersebut dapat dihitung dengan rumus: Budie et al.
(2006:416)
βi =

Cov ( Ri , Rm )
2
m

Setelah data diolah dengan menggunakan Ms. Excell dan hasil
output SPSS 13, maka sensitivitas return saham terhadap market return
(IHSG), yaitu :
Tabel 1.7 Sensitivitas return saham terhadap market return (IHSG)
Beta

Emiten
2003

2004

2005

2006

2007

2008

INDF

0.322

0.562

-0.040

0.159

-0.178

0.276

MEDCO

0.530

0.083

0.003

-0.042

0.242

0.044

UNVR

-0.025

0.191

0.156

0.481

0.329

0.569

KLBF
ANTM
UNTR

-0.081
-0.061
0.154

0.020
-0.045
0.128

0.145
0.149
0.005

0.206
-0.110
0.308

0.399
0.081
0.178

0.223
0.319
-0.008

Sumber : Hasil Output Ms. Excell dan SPSS 13.00

60
2. MENGHITUNG PENDAPATAN SAHAM YANG SESUNGGUHNYA
(ACTUAL RETURN) PERUSAHAAN-PERUSAHAN MANUFAKTUR
Langkah – langkah penghitungan, sebagai berikut :
 Rate of return saham yang merupakan keuntungan dari capital gain
dan dividen dalam periode tertentu diperoleh dengan persamaan
berikut :

Perhitungan :
Rate of return pada bulan Agustus tahun 2003, dimana terdapat
pembagian deviden, seperti :
Rt =

(675  775)  28
= - 0.0929
775

Dan seterusnya sampai ke perhitungan bulan Desember tahun 2008,
yang dapat dilihat pada lampiran F.
 Kemudian menghitung proporsi saham, dengan persamaan :
Wt =

Market Capitaliza tion
Total Nilai Keseluruha n Market Capitaliza tion

Perhitungan Proporsi saham (W t) INDF, pada bulan Agustus tahun
2003, seperti :
Wt =

7,415,534
= 0.20308
36,514,945

Dan seterusnya sampai ke perhitungan bulan Desember tahun 2008,
yang dapat dilihat pada lampiran C.

61
 Kemudian
Ri =

W .R
t

t

Perhitungan :
Setelah diperoleh nilai Rate of return dan proporsi saham, maka Actual
Return bulan Agustus 2003 diperoleh, seperti :
Ri = 0.20308(- 0.0929) = -0.0189
Artinya actual return yang diperoleh mengalami penurunan sebesar
1,89%.
Dan seterusnya sampai ke perhitungan bulan Desember tahun 2008,
yang dapat dilihat pada lampiran G.
Setelah melalui langkah – langkah perhitungan yang merupakan data
bulanan kemudian dirata-ratakan menjadi tahunan yang menggunakan
model CAPM, dan semua data diolah dengan menggunakan Ms.Excell,
maka diperoleh Actual Return tahunan, sebagai berikut :
Tabel 2.1 Actual Return (Ri) Tahunan, Model CAPM

SAHAM

TAHUN
2003

2004

2005

2006

2007

2008

Ri.INDF

0.00862

0.00054

0.00351

0.00469

0.00797

-0.00602

Ri.MEDC

0.00101

0.00526

0.00888

0.00181

0.00349

-0.00376

Ri.UNVR

-0.02171

-0.00032

0.01318

0.01692

0.00271

0.00603

Ri.KLBF

0.00831

0.01456

0.00532

0.00397

0.00098

-0.00385

Ri.ANTM

0.00642

0.00028

0.00520

0.00931

0.01053

-0.01191

Ri.UNTR

0.00437

0.00683

0.00649

0.00820

0.00890

-0.00294

Sumber : Hasil Output Ms. Excell

62
3. MENGHITUNG PENDAPATAN PASAR (MARKET RETURN)

Rm =

W .R
t

IHSG

Hasil perhitungan dapat dilihat pada lampiran 4.
Setelah

diperoleh

Market

Return, maka

selanjutnya

dilakukan

pengurangan terhadap Free Return (Rf) untuk mengetahui Premi Risiko
setiap saham perusahaan, dan kemudian mencari sensitivitas Premi
Risiko terhadap Actual Return yang artinya mencari nilai beta untuk model
CAPM.

a. Analisis Premi Risiko terhadap Actual Return Tahun 2003

Pada table 3.1 terlihat bahwa sensitivitas Premi Risiko terhadap
actual return saham INDF (Beta) sebesar 0.09, dan R Square Change
sebesar 0.024 atau 2.4%, artinya premi risiko mempengaruhi actual return
hanya sebesar 2.4% saja dan seterusnya.
Tabel 3.1 Alpha, Beta dan R2 Tahun 2003
Saham

Alpha

Beta

R

2

INDF

0.000

0.090

0.024

MEDC

0.003

-0.016

0.020

UNVR

-0.042

0.984

0.025

KLBF

0.008

0.011

0.001

ANTM

0.008

-0.062

0.020

UNTR

0.006

-0.055

0.066

63
Sumber : Hasil Output SPSS 13.00

Dan pada table 3.1.1, terlihat bahwa rata-rata beta yang dicapai oleh
perusahaan yang diteliti selama tahun 2003 hanya mencapai 0.1587,
dimana UNVR memiliki beta yang tertinggi sebesar 0.98, dan MEDC yang
memiliki beta negative sebesar -0.016. Dan hanya UNTR yang
mempunyai premi risiko sebesar 7% saja mempengaruhi actual returnnya.
Tabel 3.1.1
Descriptive Statistics
N
Alpha
Beta
Rsquare
Valid N (listwise)

Minimum
-.04
-.06
.00

6
6
6
6

Maxim um
.01
.98
.07

Mean
-.0028
.1587
.0260

Sumber : Hasil Output SPSS 13.00

b. Analisis Premi Risiko terhadap Actual Return Tahun 2004

Pada table 3.2 terlihat bahwa sensitivitas Premi Risiko terhadap actual
return saham UNTR (Beta) sebesar 0.113, dan R Square Change sebesar
0.021 atau 2.1%, artinya premi risiko mempengaruhi actual return hanya
sebesar 2.1% saja dan seterusnya.
Dan pada table 3.2.1, terlihat bahwa rata-rata beta yang dicapai oleh
perusahaan yang diteliti selama tahun 2004 mencapai -0.1728, dimana
UNTR memiliki beta yang tertinggi sebesar 0.11, dan UNVR yang memiliki
beta negative sebesar -0.56. Dan hanya UNVR yang mempunyai premi
risiko sebesar 8% saja mempengaruhi actual returnnya.

64
Tabel 3.2 Alpha, Beta dan R2 Tahun 2004
Saham

Alpha

Beta

R

2

INDF

0.008

-0.085

0.048

MEDC

0.005

0.007

0.000

UNVR

0.061

-0.556

0.081

KLBF

0.018

-0.446

0.008

ANTM

0.000

-0.070

0.020

UNTR

0.005

0.113

0.021

Sumber : Hasil Output SPSS 13.00
Tabel 3.2.1
Descriptive Statistics
N
Alpha
Beta
Rsquare
Valid N (listwise)

6
6
6
6

Minimum
.00
-.56
.00

Maxim um
.06
.11
.08

Mean
.0162
-.1728
.0297

Sumber : Hasil Output SPSS 13.00

c. Analisis Premi Risiko terhadap Actual Return Tahun 2005

Pada table 3.3 terlihat bahwa sensitivitas Premi Risiko terhadap
actual return saham INDF (Beta) sebesar 0.228, dan R Square Change
sebesar 0.231 atau 23.1%, artinya premi risiko mempengaruhi actual
return sebesar 23.1% dan seterusnya.
Dan pada table 3.3.1, terlihat bahwa rata-rata beta yang dicapai oleh
perusahaan yang diteliti selama tahun 2005 mencapai 0.1630, dimana
UNVR memiliki beta yang tertinggi sebesar 0.26, dan ANTM yang memiliki
beta terendah sebesar 0.07. Dan UNTR yang mempunyai premi risiko
hingga mencapai 32% mempengaruhi actual returnnya.

65
Tabel 3.3.1
Descrip tive Statistics
N
Alpha
Beta
Rsquare
Valid N (listwise)

Minimum
.01
.07
.03

6
6
6
6

Maxim um
.04
.26
.32

Mean
.0163
.1630
.1647

Sumber : Hasil Output SPSS 13.00

Tabel 3.3 Alpha, Beta dan R2 Tahun 2005
Saham

Alpha

Beta

R

2

INDF

0.015

0.228

0.231

MEDC

0.041

0.100

0.031

UNVR

0.008

0.259

0.088

KLBF

0.009

0.096

0.206

ANTM

0.008

0.067

0.117

UNTR

0.017

0.228

0.315

Sumber : Hasil Output SPSS 13.00

d. Analisis Premi Risiko terhadap Actual Return Tahun 2006

Pada table 3.4 terlihat bahwa sensitivitas Premi Risiko terhadap
actual return saham INDF (Beta) sebesar 0.054, dan R Square Change
sebesar 0.010 atau 1.0%, artinya premi risiko mempengaruhi actual return
hanya sebesar 1.0% saja dan seterusnya.
Dan pada table 3.4.1, terlihat bahwa rata-rata beta yang dicapai oleh
perusahaan yang diteliti selama tahun 2006 mencapai 0.0333, dimana
UNVR memiliki beta yang tertinggi sebesar 0.79, dan KLBF yang memiliki
beta terendah sebesar -0.27. Dan UNVR mempunyai premi risiko hingga
mencapai 42% yang mempengaruhi actual returnnya.

66
2

Tabel 3.4 Alpha, Beta dan R Tahun 2006
Saham

Alpha

Beta

R

2

INDF

0.003

0.054

0.010

MEDC

0.006

-0.229

0.141

UNVR

-0.139

0.791

0.424

KLBF

0.018

-0.272

0.070

ANTM

0.009

-0.013

0.000

UNTR

0.017

-0.131

0.117

Sumber : Hasil Output SPSS 13.00
Tabel 3.4.1
Descrip tive Statistics
N
Alpha
Beta
Rsquare
Valid N (listwise)

6
6
6
6

Minimum
-.14
-.27
.00

Maxim um
.02
.79
.42

Mean
-.0143
.0333
.1270

Sumber : Hasil Output SPSS 13.00

e. Analisis Premi Risiko terhadap Actual Return Tahun 2007

Pada table 3.5 terlihat bahwa sensitivitas Premi Risiko terhadap
actual return saham MEDC (Beta) sebesar 0.020, dan R Square Change
sebesar 0.001 atau 0.1%, artinya premi risiko mempengaruhi actual return
hanya sebesar 0.1% saja dan seterusnya. Dan pada table 3.5.1, terlihat
bahwa rata-rata beta yang dicapai oleh perusahaan yang diteliti selama
tahun 2007 mencapai -0.2215, dimana UNVR memiliki beta yang tertinggi
sebesar 0.64, dan ANTM yang memiliki beta terendah sebesar -1.57. Dan
UNVR

mempunyai

premi

risiko

mempengaruhi actual returnnya.

67

hingga

mencapai

23%

yang
2

Tabel 3.5 Alpha, Beta dan R Tahun 2007
Saham

Alpha

Beta

R

2

INDF

0.005

-0.349

0.157

MEDC

0.003

0.020

0.001

UNVR

-0.078

0.643

0.227

KLBF

-0.006

0.128

0.092

ANTM

0.056

-1.569

0.164

UNTR

0.018

-0.202

0.024

Sumber : Hasil Output SPSS 13.00
Tabel 3.5.1
Descriptive Statistics
N
Alpha
Beta
Rsquare
Valid N (listwise)

6
6
6
6

Minimum
-.08
-1.57
.00

Maxim um
.06
.64
.23

Mean
-.0003
-.2215
.1108

Sumber : Hasil Output SPSS 13.00

f. Analisis Premi Risiko terhadap Actual Return Tahun 2008

Pada table 3.6. terlihat bahwa sensitivitas Premi Risiko terhadap
actual return saham INDF (Beta) sebesar 0.291, dan R Square Change
sebesar 0.306 atau 30.6%, artinya premi risiko mempengaruhi actual
return hanya sebesar 30.6% saja dan seterusnya.
Dan pada table 3.6.1, terlihat bahwa rata-rata beta yang dicapai oleh
perusahaan yang diteliti selama tahun 2008 mencapai 0.1862, dimana
UNTR memiliki beta yang tertinggi sebesar 0.47, dan UNVR yang memiliki
beta terendah sebesar 0.05. Dan KLBF mempunyai premi risiko hingga
mencapai 32% yang mempengaruhi actual returnnya.

68
Tabel 3.6 Alpha, Beta dan R2 Tahun 2008
Saham

Alpha

INDF

Beta

R

2

-0.009

0.291

0.306

MEDC

0.000

0.165

0.202

UNVR

-0.003

0.047

0.133

KLBF

-0.003

0.066

0.322

ANTM

-0.014

0.077

0.027

UNTR

0.009

0.471

0.316

Sumber : Hasil Output SPSS 13.00
Tabel 3.6.1
Descriptive Statistics
N
Alpha
Beta
Rsquare
Valid N (listwise)

6
6
6
6

Minimum
-.01
.05
.03

Maximum
.01
.47
.32

Mean
-.0033
.1862
.2177

Sumber : Hasil Output SPSS 13.00

4. EXPECTED RETURN MODEL CAPM

Model Penilaian Aset Modal (CAPM), yang akan digunakan adalah :
Ri – Rf = α + βi (Rm – Rf)
Setelah data diolah dengan menggunakan Ms. Excell dan SPSS 13.00,
maka diperoleh output, sebagai berikut :

a. Analisis Model CAPM INDF tahun 2003-2008

Pada tabel 4.1 terlihat bahwa koefisien-koefisien yang membentuk
persamaan model CAPM INDF tahun 2003-2008, sebagai berikut :

69
Ri – Rf = 0.016 – 0.496 (Rm – Rf)
Persamaan regresi tersebut dapat diinterpretasikan sebagaimana
berikut :
Intercept bernilai 0.016 dapat diinterpretasikan bahwa jika seluruh
variabel bebasnya bernilai nol, maka besarnya pendapatan saham adalah
sama dengan nilai intercept tersebut, yakni 0.016.
Tabel 4.1
a
Coeffi ci ents

Model
1

(Constant)
PR.INDF

Unstandardized
Coef f icients
B
St d. Error
.016
.003
-.496
.041

St andardized
Coef f icients
Beta
-.824

t
5.888
-12.182

Sig.
.000
.000

Zero-order
-.824

Correlations
Part ial
-.824

Part
-.824

a. Dependent Variable: ER

Sumber : Hasil Output SPSS 13.00

Koefisien regresi Premi Risiko sebesar -0.496, artinya Premi Risiko
mempunyai pengaruh yang negatif terhadap Pendapatan saham. Dalam
hal ini, jika variabel Premi Risiko meningkat satu unit, dengan asumsi
variabel lainnya konstan (ceterus paribus), maka nilai pendapatan saham
akan turun sebesar -0.496 unit. Sebaliknya jika variabel Premi Risiko turun
satu unit, maka Pendapatan saham naik sebesar 0.496 unit.

b. Analisis Model CAPM MEDC tahun 2003-2008

Pada tabel 4.2 terlihat bahwa koefisien-koefisien yang membentuk
persamaan model CAPM MEDC tahun 2003-2008, sebagai berikut :
Ri – Rf = 0.017 – 0.741 (Rm – Rf)

70
Persamaan regresi tersebut dapat diinterpretasikan sebagaimana
berikut :
Intercept bernilai 0.017 dapat diinterpretasikan bahwa jika seluruh
variabel bebasnya bernilai nol, maka besarnya pendapatan saham adalah
sama dengan nilai intercept tersebut, yakni 0.017.
Tabel 4.2
a
Coeffi ci ents

Model
1

(Constant)
PR.MEDC

Unstandardized
Coef f icients
B
St d. Error
.017
.003
-.741
.046

St andardized
Coef f icients
Beta
-.885

t
6.311
-15.942

Sig.
.000
.000

Zero-order
-.885

Correlations
Part ial

Part

-.885

-.885

a. Dependent Variable: ER

Sumber : Hasil Output SPSS 13.00

Koefisien regresi Premi Risiko sebesar -0.741, artinya Premi Risiko
mempunyai pengaruh yang negatif terhadap Pendapatan saham. Dalam
hal ini, jika variabel Premi Risiko meningkat satu unit, dengan asumsi
variabel lainnya konstan (ceterus paribus), maka nilai pendapatan saham
akan turun sebesar -0.741 unit. Sebaliknya jika variabel Premi Risiko turun
satu unit, maka Pendapatan saham naik sebesar 0.741 unit.

c. Analisis Model CAPM UNVR tahun 2003-2008

Pada tabel 4.3 terlihat bahwa koefisien-koefisien yang membentuk
persamaan model CAPM UNVR tahun 2003-2008, sebagai berikut :
Ri – Rf = 0.03 – 0.14 (Rm – Rf)
Persamaan regresi tersebut dapat diinterpretasikan sebagaimana
berikut :

71
Intercept bernilai 0.003 dapat diinterpretasikan bahwa jika seluruh
variabel bebasnya bernilai nol, maka besarnya pendapatan saham adalah
sama dengan nilai intercept tersebut, yakni 0.003.
Tabel 4.3
a
Coeffi ci ents

Model
1

(Constant)
PR.UNVR

Unstandardized
Coef f icients
B
St d. Error
.003
.009
-.014
.064

St andardized
Coef f icients
Beta
-.026

t
.338
-.217

Sig.
.736
.828

a. Dependent Variable: ER

Sumber : Hasil Output SPSS 13.00

Koefisien regresi Premi Risiko sebesar -0.14, artinya Premi Risiko
mempunyai pengaruh yang negatif terhadap Pendapatan saham. Dalam
hal ini, jika variabel Premi Risiko meningkat satu unit, dengan asumsi
variabel lainnya konstan (ceterus paribus), maka nilai pendapatan saham
akan turun sebesar -0.14 unit. Sebaliknya jika variabel Premi Risiko turun
satu unit, maka Pendapatan saham naik sebesar 0.14 unit.

d. Analisis Model CAPM KLBF tahun 2003-2008

Pada tabel 4.4 terlihat bahwa koefisien-koefisien yang membentuk
persamaan model CAPM KLBF tahun 2003-2008, sebagai berikut :
Ri – Rf = 0.017 – 0.870 (Rm – Rf)
Persamaan regresi tersebut dapat diinterpretasikan sebagaimana
berikut :

72
Intercept bernilai 0.017 dapat diinterpretasikan bahwa jika seluruh
variabel bebasnya bernilai nol, maka besarnya pendapatan saham adalah
sama dengan nilai intercept tersebut, yakni 0.017.
Koefisien regresi Premi Risiko sebesar -0.870, artinya Premi
Risiko mempunyai pengaruh yang negatif terhadap Pendapatan saham.
Dalam hal ini, jika variabel Premi Risiko meningkat satu unit, dengan
asumsi variabel lainnya konstan (ceterus paribus), maka nilai pendapatan
saham akan turun sebesar -0.870 unit. Sebaliknya jika variabel Premi
Risiko turun satu unit, maka Pendapatan saham naik sebesar 0.870 unit.
Tabel 4.4
a
Coeffi ci ents

Model
1

(Constant)
PR.KLBF

Unstandardized
Coef f icients
B
St d. Error
.017
.002
-.870
.038

St andardized
Coef f icients
Beta
-.940

t
9.704
-22.971

Sig.
.000
.000

a. Dependent Variable: ER

Sumber : Hasil Output SPSS 13.00

e. Analisis Model CAPM ANTM tahun 2003-2008

Pada tabel 4.5 terlihat bahwa koefisien-koefisien yang membentuk
persamaan model CAPM ANTM tahun 2003-2008, sebagai berikut :
Ri – Rf = 0.010 – 0.922 (Rm – Rf)
Persamaan regresi tersebut dapat diinterpretasikan sebagaimana
berikut :

73
Intercept bernilai 0.010 dapat diinterpretasikan bahwa jika seluruh
variabel bebasnya bernilai nol, maka besarnya pendapatan saham adalah
sama dengan nilai intercept tersebut, yakni 0.010.
Tabel 4.5
a
Coeffi ci ents

Model
1

(Constant)
PR.ANTM

Unstandardized
Coef f icients
B
St d. Error
.010
.002
-.922
.062

St andardized
Coef f icients
Beta
-.870

t
4.184
-14.749

Sig.
.000
.000

a. Dependent Variable: ER

Sumber : Hasil Output SPSS 13.00

Koefisien regresi Premi Risiko sebesar -0.922, artinya Premi Risiko
mempunyai pengaruh yang negatif terhadap Pendapatan saham. Dalam
hal ini, jika variabel Premi Risiko meningkat satu unit, dengan asumsi
variabel lainnya konstan (ceterus paribus), maka nilai pendapatan saham
akan turun sebesar -0.922 unit. Sebaliknya jika variabel Premi Risiko turun
satu unit, maka Pendapatan saham naik sebesar 0.922 unit.

f. Analisis Model CAPM UNTR tahun 2003-2008

Pada tabel 4.6 terlihat bahwa koefisien-koefisien yang membentuk
persamaan model CAPM UNTR tahun 2003-2008, sebagai berikut :
Ri – Rf = 0.013 – 0.644 (Rm – Rf)
Persamaan regresi tersebut dapat diinterpretasikan sebagaimana
berikut :

74
Intercept bernilai 0.013 dapat diinterpretasikan bahwa jika seluruh
variabel bebasnya bernilai nol, maka besarnya pendapatan saham adalah
sama dengan nilai intercept tersebut, yakni 0.013.

Tabel 4.6
a
Coeffi ci ents

Model
1

(Constant)
PR.UNTR

Unstandardized
Coef f icients
B
St d. Error
.013
.002
-.644
.039

St andardized
Coef f icients
Beta
-.892

t
6.621
-16.548

Sig.
.000
.000

a. Dependent Variable: ER

Sumber : Hasil Output SPSS 13.00

Koefisien regresi Premi Risiko sebesar -0.644, artinya Premi Risiko
mempunyai pengaruh yang negatif terhadap Pendapatan saham. Dalam
hal ini, jika variabel Premi Risiko meningkat satu unit, dengan asumsi
variabel lainnya konstan (ceterus paribus), maka nilai pendapatan saham
akan turun sebesar -0.644 unit. Sebaliknya jika variabel Premi Risiko turun
satu unit, maka Pendapatan saham naik sebesar 0.644 unit.

5. MENGHITUNG PENDAPATAN SAHAM
(EXPECTED RETURN) MODEL CAPM

YANG

DIHARAPKAN

Persamaan model CAPM untuk memperoleh pendapatan saham yang
diharapkan, yaitu :
E (Ri) – Rf = α + β (Rm –Rf)
Setelah Data tersebut diolah menggunakan model diatas dengan
Kertas Kerja Ms.Excell untuk setiap masing – masing saham (INDF,

75
MEDC, UNVR, KLBF, dan UNTR), maka diperoleh Expected Return
tahunan berdasarkan model CAPM Industri Manufaktur yang tercatat di
Bursa Efek Indonesia selama periode tahun 2003-2008, sehingga
diperoleh nilai Expected Returnnya sebagai berikut :
Tabel 4.7 Expected Return (E(Ri)) Tahunan, Model CAPM
TAHUN

SAHAM

2003

2004

2005

2006

2007

2008

E(Ri).INDF

-0.05640

-0.00898

0.06008

-0.00515

-0.01346

0.03254

E(Ri).MEDC

-0.03286

-0.00400

0.08271

-0.01964

-0.01252

0.02261

E(Ri).UNVR

-0.05640

-0.00898

0.06008

-0.00515

-0.01346

0.03254

E(Ri).KLBF

-0.02601

0.00557

0.05261

-0.01744

-0.01573

0.02238

E(Ri).ANTM

-0.02813

-0.00924

0.05229

-0.01303

-0.00577

0.01408

E(Ri).UNTR

-0.03043

-0.00253

0.05327

-0.01416

-0.00711

0.02220

Sumber : Hasil Output Ms. Excell

B. ANALISIS ARBITRAGE PRICING THEORY (APT)

1. MENGHITUNG A, B1, B2, B3 DAN B4 UNTUK MODEL APT PADA
INDUSTRI MANUFAKTUR

Model Penilaian APT multi index model, yang akan digunakan :
Ri – ERi = α + β pInflasi + + β pSBI+ β pkurs
Saham INDF tahun 2003, sensitivitas perubahan Inflasi (B 1) sebesar
0.049 ; sensitivitas perubahan SBI (B2) sebesar -0.075 dan sensitivitas
perubahan Kurs (B3) sebesar 0.34, artinya setiap perubahan B 1, B2, dan
B3 akan menimbulkan dampak perubahan peningkatan atau penurunan
terhadap actual return, dan seterusnya. Setelah diperoleh nilai alpha, B1,
B2, dan B3, nilai – nilai tersebut kemudian dimasukkan dalam model APT.

76
Tabel 5.1 Alpha, B1, B2, dan B3
Saham

Alpha

B1

B2

B3

INDF

-0.035

0.049

-0.075

0.347

MEDC

0.019

0.013

0.029

-0.134

UNVR

1.009

0.117

-1.193

-8.606

KLBF

-0.103

0.055

0.009

0.921

ANTM

-0.128

-0.047

0.137

1.104

UNTR

-0.077

-0.005

0.083

0.678
-0.275

Tahun 2003

Tahun 2004
INDF

0.034

-0.058

-0.047

MEDC

-0.15

-0.108

0.446

1.366

UNVR

0.047

0.224

-0.21

-0.455

KLBF

-1.212

-0.544

3.847

10.785

ANTM

0.014

-0.032

0.204

-0.094

UNTR

-0.132

-0.069

0.437

1.221

Tahun 2005
INDF

-0.132

0.032

-0.185

1.303

MEDC

0.002

-0.007

-0.086

0.109

UNVR

-0.385

0.035

-0.002

3.642

KLBF

-0.132

-0.003

0.02

1.266

ANTM

0.082

-0.005

-0.107

-0.661

UNTR

-0.114

-0.004

-0.121

1.166

Tahun 2006
INDF

-0.472

-0.015

0.022

4.115

MEDC

-0.22

0.009

0.242

1.967

UNVR

-0.41

0.006

-0.785

3.54

KLBF

0.163

0

0.242

-1.327

ANTM

-0.397

-0.041

0.091

3.509

UNTR

-0.362

-0.019

0.218

3.231
0.13

Tahun 2007
INDF

-0.003

-0.216

0.219

MEDC

-0.036

0.027

0.066

0.35

UNVR

-0.449

0.133

-0.669

3.819

KLBF

-0.057

-0.041

-0.156

0.48

ANTM

0.184

-0.533

2.596

-1.135

UNTR

-0.208

-0.062

0.492

1.95
-0.137

Tahun 2008
INDF

0.008

0.155

-0.237

MEDC

-0.005

0.088

-0.157

0.012

UNVR

0.02

-0.028

-0.035

-0.106

KLBF

0.026

0.042

-0.077

-0.273

ANTM

0.001

-0.111

-0.104

-0.05

UNTR

0.216

0.39

-0.544

-2.037

Sumber : Hasil Output SPSS 13.00

77
2. MODEL ACTUAL RETURN APT

a. Analisis Model APT INDF tahun 2003-2008

Pada tabel 5.2 terlihat bahwa koefisien-koefisien yang membentuk
persamaan model APT INDF tahun 2003-2008, sebagai berikut :
Ri – ERi = -0.033 + 0.016 pInflasi – 0.123 pSBI+ 0.309 pkurs
Persamaan regresi tersebut dapat diinterpretasikan sebagaimana
berikut :
Intercept bernilai -0.013 dapat diinterpretasikan bahwa jika seluruh
variabel bebasnya bernilai nol, maka besarnya pendapatan saham adalah
sama dengan nilai intercept tersebut, yakni minus 0.013.
Koefisien regresi Perubahan Inflasi sebesar 0,016 memberikan
gambaran bahwa jika

Perubahan Inflasi meningkat satu unit, dengan

asumsi variabel lain konstan (ceterus paribus), maka Pendapatan Saham
yang ditunjukkan oleh saham yang bersangkutan akan meningkat sebesar
0,016 unit. Sebaliknya, jika Perubahan Inflasi turun sebesar satu unit
maka Pendapatan Saham akan turun sebesar 0,016 unit.
Tabel 5.2
a
Coeffi ci ents

Model
1

(Constant)
Inf lasi
SBI
Kurs

Unstandardized
Coef f icients
B
St d. Error
-.033
.021
.016
.007
-.123
.036
.309
.184

a. Dependent Variable: Ri

Sumber : Hasil Output SPSS 13.00

78

St andardized
Coef f icients
Beta
.237
-.466
.214

t
-1.542
2.241
-3.459
1.681

Sig.
.128
.028
.001
.097
Koefisien regresi Perubahan SBI sebesar -0.123, artinya Perubahan
SBI mempunyai pengaruh yang negatif terhadap Pendapatan saham.
Dalam hal ini, jika variabel Perubahan SBI meningkat satu unit, dengan
asumsi variabel lainnya konstan (ceterus paribus), maka nilai pendapatan
saham akan turun sebesar -0.123 unit. Sebaliknya jika variabel Perubahan
SBI turun satu unit, maka Pendapatan saham naik sebesar 0.123 unit.
Nilai koefisien regresi untuk Perubahan Kurs adalah 0.309, artinya
bahwa jika Perubahan Kurs meningkat satu unit, dengan asumsi variabel
yang lainnya konstan (ceterus paribus), maka Pendapatan Saham akan
meningkat sebesar 0.309 unit. Jika Perubahan Kurs turun satu unit
maka Pendapatan Saham turun 0.309 unit.

b. Analisis Model APT MEDC tahun 2003-2008

Pada tabel 5.3 terlihat bahwa koefisien-koefisien yang membentuk
persamaan model APT MEDC tahun 2003-2008, sebagai berikut :
Ri – ERi = -0.017 + 0.003 pInflasi + 0.001 pSBI + 0.167 pkurs
Persamaan regresi tersebut dapat diinterpretasikan sebagaimana
berikut :
Intercept bernilai -0.017 dapat diinterpretasikan bahwa jika seluruh
variabel bebasnya bernilai nol, maka besarnya pendapatan saham adalah
sama dengan nilai intercept tersebut, yakni minus 0.017.

79
Koefisien regresi Perubahan Inflasi sebesar 0,003 memberikan
gambaran bahwa jika

Perubahan Inflasi meningkat satu unit, dengan

asumsi variabel lain konstan (ceterus paribus), maka Pendapatan Saham
yang ditunjukkan oleh saham yang bersangkutan akan meningkat sebesar
0,003 unit. Sebaliknya, jika Perubahan Inflasi turun sebesar satu unit
maka Pendapatan Saham akan turun sebesar 0,003 unit.
Koefisien regresi Perubahan SBI sebesar 0,001 memberikan
gambaran bahwa jika

Perubahan Inflasi meningkat satu unit, dengan

asumsi variabel lain konstan (ceterus paribus), maka Pendapatan Saham
yang ditunjukkan oleh saham yang bersangkutan akan meningkat sebesar
0,001 unit. Sebaliknya, jika Perubahan Inflasi turun sebesar satu unit
maka Pendapatan Saham akan turun sebesar 0,001 unit.
Tabel 5.3
a
Coeffi ci ents

Model
1

(Constant)
Inf lasi
SBI
Kurs

Unstandardized
Coef f icients
B
St d. Error
-.017
.016
.003
.006
.001
.028
.167
.142

St andardized
Coef f icients
Beta
.069
.009
.183

t
-1.013
.540
.052
1.177

Sig.
.315
.591
.959
.243

a. Dependent Variable: Ri

Sumber : Hasil Output SPSS 13.00

Koefisien regresi Perubahan Kurs sebesar 0,167 memberikan
gambaran bahwa jika

Perubahan Inflasi meningkat satu unit, dengan

asumsi variabel lain konstan (ceterus paribus), maka Pendapatan Saham
yang ditunjukkan oleh saham yang bersangkutan akan meningkat sebesar
0,167 unit. Sebaliknya, jika Perubahan Inflasi turun sebesar satu unit
maka Pendapatan Saham akan turun sebesar 0,167 unit.

80
c. Analisis Model APT UNVR tahun 2003-2008

Pada tabel 5.4 terlihat bahwa koefisien-koefisien yang membentuk
persamaan model APT MEDC tahun 2003-2008, sebagai berikut :
Ri – ERi = 0.201 + 0.039 pInflasi – 0.286 pSBI – 1.734 pkurs
Persamaan regresi tersebut dapat diinterpretasikan sebagaimana
berikut :
Intercept bernilai 0.201 dapat diinterpretasikan bahwa jika seluruh
variabel bebasnya bernilai nol, maka besarnya pendapatan saham adalah
sama dengan nilai intercept tersebut, yakni 0.201.
Tabel 5.4
Coefficientsa

M
odel
1

(Constant)
Inflasi
SBI
Kurs

Unstandardized
Coefficients
B
Std. Error
.201
.049
.039
.017
-.286
.082
-1.734
.425

Standardized
Coefficients
Beta
.265
-.505
-.562

t
4.116
2.318
-3.473
-4.076

Sig.
.000
.023
.001
.000

a. Dependent Vari able: Ri

Sumber : Hasil Output SPSS 13.00

Koefisien regresi Perubahan Inflasi sebesar 0,039 memberikan
gambaran bahwa jika Perubahan Inflasi meningkat satu unit, dengan
asumsi variabel lain konstan (ceterus paribus), maka Pendapatan Saham
yang ditunjukkan oleh saham yang bersangkutan akan meningkat sebesar
0,039 unit. Sebaliknya, jika Perubahan Inflasi turun sebesar satu unit
maka Pendapatan Saham akan turun sebesar 0,039 unit.
Koefisien regresi Perubahan SBI sebesar -0.286, artinya Perubahan
SBI mempunyai pengaruh yang negatif terhadap Pendapatan saham.
Dalam hal ini, jika variabel Perubahan SBI meningkat satu unit, dengan

81
asumsi variabel lainnya konstan (ceterus paribus), maka nilai pendapatan
saham akan turun sebesar -0.286 unit. Sebaliknya jika variabel Perubahan
SBI turun satu unit, maka Pendapatan saham naik sebesar 0.286 unit.
Koefisien regresi Perubahan Kurs sebesar -1.734, artinya Perubahan
Kurs mempunyai pengaruh yang negatif terhadap Pendapatan saham.
Dalam hal ini, jika variabel Perubahan Kurs meningkat satu unit, dengan
asumsi variabel lainnya konstan (ceterus paribus), maka nilai pendapatan
saham akan turun sebesar -1.734 unit. Sebaliknya jika variabel Perubahan
SBI turun satu unit, maka Pendapatan saham naik sebesar 1.734 unit.

d. Analisis Model APT KLBF tahun 2003-2008

Pada tabel 5.5 terlihat bahwa koefisien-koefisien yang membentuk
persamaan model APT MEDC tahun 2003-2008, sebagai berikut :
Ri – ERi = -0.027 - 0.012 pInflasi + 0.030 pSBI + 0.281 pkurs
Persamaan regresi tersebut dapat diinterpretasikan sebagaimana
berikut :
Intercept bernilai -0.027 dapat diinterpretasikan bahwa jika seluruh
variabel bebasnya bernilai nol, maka besarnya pendapatan saham adalah
sama dengan nilai intercept tersebut, yakni minus 0.027.
Koefisien regresi Perubahan Inflasi sebesar -0.12, artinya Perubahan
Inflasi mempunyai pengaruh yang negatif terhadap Pendapatan saham.
Dalam hal ini, jika variabel Perubahan Inflasi meningkat satu unit, dengan

82
asumsi variabel lainnya konstan (ceterus paribus), maka nilai pendapatan
saham akan turun sebesar -0.12 unit. Sebaliknya jika variabel Perubahan
SBI turun satu unit, maka Pendapatan saham naik sebesar 0.12 unit.
Tabel 5.5
a
Coeffi ci ents

Model
1

(Constant)
Inf lasi
SBI
Kurs

Unstandardized
Coef f icients
B
St d. Error
-.027
.041
-.012
.014
.030
.069
.281
.354

St andardized
Coef f icients
Beta
-.106
.072
.124

t
-.664
-.816
.439
.793

Sig.
.509
.418
.662
.431

a. Dependent Variable: Ri

Sumber : Hasil Output SPSS 13.00

Koefisien regresi Perubahan SBI sebesar 0,030 memberikan
gambaran bahwa jika

Perubahan SBI meningkat satu unit, dengan

asumsi variabel lain konstan (ceterus paribus), maka Pendapatan Saham
yang ditunjukkan oleh saham yang bersangkutan akan meningkat sebesar
0,030 unit. Sebaliknya, jika Perubahan Inflasi turun sebesar satu unit
maka Pendapatan Saham akan turun sebesar 0,030 unit.
Koefisien regresi Perubahan Kurs sebesar 0,281 memberikan
gambaran bahwa jika

Perubahan Inflasi meningkat satu unit, dengan

asumsi variabel lain konstan (ceterus paribus), maka Pendapatan Saham
yang ditunjukkan oleh saham yang bersangkutan akan meningkat sebesar
0,281 unit. Sebaliknya, jika Perubahan Inflasi turun sebesar satu unit
maka Pendapatan Saham akan turun sebesar 0,281 unit.

83
e. Analisis Model APT ANTM tahun 2003-2008

Pada tabel 5.6 terlihat bahwa koefisien-koefisien yang membentuk
persamaan model APT MEDC tahun 2003-2008, sebagai berikut :
Ri – ERi = -0.016 - 0.030 pInflasi + 0.024 pSBI + 0.169 pkurs
Persamaan regresi tersebut dapat diinterpretasikan sebagaimana
berikut :
Intercept bernilai -0.016 dapat diinterpretasikan bahwa jika seluruh
variabel bebasnya bernilai nol, maka besarnya pendapatan saham adalah
sama dengan nilai intercept tersebut, yakni minus 0.016.
Koefisien
Perubahan

regresi

Inflasi

Perubahan

mempunyai

Inflasi

pengaruh

sebesar
yang

-0.030,
negatif

artinya
terhadap

Pendapatan saham. Dalam hal ini, jika variabel Perubahan Inflasi
meningkat satu unit, dengan asumsi variabel lainnya konstan (ceterus
paribus), maka nilai pendapatan saham akan turun sebesar -0.030 unit.
Sebaliknya jika variabel Perubahan SBI turun satu unit, maka Pendapatan
saham naik sebesar 0.030 unit.
Tabel 5.6
a
Coeffi ci ents

Model
1

(Constant)
Inf lasi
SBI
Kurs

Unstandardized
Coef f icients
B
St d. Error
-.016
.043
-.030
.015
.024
.072
.169
.373

a. Dependent Variable: Ri

Sumber : Hasil Output SPSS 13.00

84

St andardized
Coef f icients
Beta
-.254
.053
.069

t
-.370
-2.006
.330
.453

Sig.
.713
.049
.742
.652
Koefisien regresi Perubahan SBI sebesar 0,024 memberikan
gambaran bahwa jika

Perubahan SBI meningkat satu unit, dengan

asumsi variabel lain konstan (ceterus paribus), maka Pendapatan Saham
yang ditunjukkan oleh saham yang bersangkutan akan meningkat sebesar
0,024 unit. Sebaliknya, jika Perubahan Inflasi turun sebesar satu unit
maka Pendapatan Saham akan turun sebesar 0,024 unit.
Koefisien regresi Perubahan Kurs sebesar 0,169 memberikan
gambaran bahwa jika

Perubahan Inflasi meningkat satu unit, dengan

asumsi variabel lain konstan (ceterus paribus), maka Pendapatan Saham
yang ditunjukkan oleh saham yang bersangkutan akan meningkat sebesar
0,169 unit. Sebaliknya, jika Perubahan Inflasi turun sebesar satu unit
maka Pendapatan Saham akan turun sebesar 0,169 unit.

f. Analisis Model APT UNTR tahun 2003-2008

Pada tabel 5.7 terlihat bahwa koefisien-koefisien yang membentuk
persamaan model APT MEDC tahun 2003-2008, sebagai berikut :
Ri – ERi = 0.043 + 0.004 pInflasi - 0.171 pSBI - 0.329 pkurs
Persamaan regresi tersebut dapat diinterpretasikan sebagaimana
berikut :
Intercept bernilai 0.043 dapat diinterpretasikan bahwa jika seluruh
variabel bebasnya bernilai nol, maka besarnya pendapatan saham adalah
sama dengan nilai intercept tersebut, yakni 0.043.

85
Tabel 5.7
a
Coeffi ci ents

Model
1

(Constant)
Inf lasi
SBI
Kurs

Unstandardized
Coef f icients
B
St d. Error
.043
.031
.004
.011
-.171
.051
-.329
.266

St andardized
Coef f icients
Beta
.040
-.507
-.179

t
1.405
.338
-3.324
-1.239

Sig.
.165
.736
.001
.220

a. Dependent Variable: Ri

Sumber : Hasil Output SPSS 13.00

Koefisien regresi Perubahan Inflasi sebesar 0,004 memberikan
gambaran bahwa jika Perubahan Inflasi meningkat satu unit, dengan
asumsi variabel lain konstan (ceterus paribus), maka Pendapatan Saham
yang ditunjukkan oleh saham yang bersangkutan akan meningkat sebesar
0,004 unit. Sebaliknya, jika Perubahan Inflasi turun sebesar satu unit
maka Pendapatan Saham akan turun sebesar 0,004 unit.
Koefisien regresi Perubahan SBI sebesar -0.171, artinya Perubahan
SBI mempunyai pengaruh yang negatif terhadap Pendapatan saham.
Dalam hal ini, jika variabel Perubahan SBI meningkat satu unit, dengan
asumsi variabel lainnya konstan (ceterus paribus), maka nilai pendapatan
saham akan turun sebesar -0.171 unit. Sebaliknya jika variabel Perubahan
SBI turun satu unit, maka Pendapatan saham naik sebesar 0.171 unit.
Koefisien regresi Perubahan Kurs sebesar -0.329, artinya Perubahan
Kurs mempunyai pengaruh yang negatif terhadap Pendapatan saham.
Dalam hal ini, jika variabel Perubahan Kurs meningkat satu unit, dengan
asumsi variabel lainnya konstan (ceterus paribus), maka nilai pendapatan
saham akan turun sebesar -0.329 unit. Sebaliknya jika variabel Perubahan
SBI turun satu unit, maka Pendapatan saham naik sebesar 0.329 unit.

86
Setelah Data di substitusikan ke persamaan regresi yang telah
dibahas sebagaimana berikut :
Ri – ERi = α + β pInflasi + β pSBI+ β pkurs
Data tersebut diolah dengan menggunakan Ms.Excell untuk setiap
masing – masing saham (INDF, MEDC, UNVR, KLBF, dan UNTR), maka
diperoleh Actual Return tahunan berdasarkan model APT, sebagai berikut:
Tabel 5.8 Actual Return (Ri) Tahunan, Model APT

SAHAM

TAHUN
2003

2004

2005

2006

2007

2008

Ri.INDF

0.00862

0.00077

0.00395

0.00466

0.00828

-0.00606

Ri.MEDC

0.00087

0.00496

0.00900

0.00193

0.00336

-0.00378

Ri.UNVR

-0.02178

-0.00017

0.01307

0.01666

0.00294

0.00623

Ri.KLBF

0.00866

0.01485

0.00566

0.00409

0.00093

-0.00388

Ri.ANTM

0.00607

0.00039

0.00488

0.00936

0.01033

-0.01230

Ri.UNTR

0.00441

0.00673

0.00613

0.00824

0.00911

-0.00260

Sumber : Hasil Output Ms. Excell dan SPSS 13.00

3. MENGHITUNG B1, B2, DAN B3 HASIL ARIMA UNTUK EXPECTED
RETURN MODEL APT PADA INDUSTRI MANUFAKTUR

Persamaan model APT untuk memperoleh pendapatan saham yang
diharapkan, yaitu :

87
Olahan data ARIMA ini dapat dilihat pada lampiran
Setelah data diolah dengan menggunakan Ms. Excell dan hasil
output SPSS 13.00, maka diperoleh sebagai berikut :

88
Tabel 6.1 Alpha, B1, B2, dan B3
Saham

Alpha

B1

B2

B3

Tahun 2003
INDF

-0.059

-0.001

-0.002

0.421

MEDC

-0.029

0.090

-0.017

3.106

UNVR

-0.059

-0.001

-0.002

0.421

KLBF

-0.22

0.087

-0.017

3.077

ANTM

-0.024

0.094

-0.018

3.351

UNTR

-0.027

0.093

-0.018

3.285

Tahun 2004
INDF

0.015

0.282

0.016

1.144

MEDC

0.011

0.182

0.003

0.647

UNVR

0.015

0.282

0.016

1.144

KLBF

0.027

0.254

0.014

0.686

ANTM

0.007

0.195

0.005

0.693

UNTR

0.011

0.167

0.000

0.619

Tahun 2005
INDF

0.038

0.036

0.027

-2.438

MEDC

0.057

0.042

0.033

-3.044

UNVR

0.038

0.036

0.027

-2.438

KLBF

0.026

0.043

0.034

-3.097

ANTM

0.025

0.044

0.035

-3.186

UNTR

0.030

0.037

0.029

-2.672

Tahun 2006
INDF

0.000

0.024

-0.009

0.570

MEDC

-0.024

0.023

0.061

0.428

UNVR

0.000

0.024

-0.009

0.570

KLBF

-0.022

0.024

0.060

0.490

ANTM

-0.017

0.019

0.050

0.360

UNTR

-0.018

0.021

0.057

0.465

Tahun 2007
INDF

-0.015

0.071

-0.040

2.379

MEDC

0.008

0.076

0.041

1.599

UNVR

-0.015

0.071

-0.040

2.379

KLBF

0.001

0.072

0.032

1.605

ANTM

0.055

0.147

0.166

1.447

UNTR

0.018

0.087

0.057

1.701

Tahun 2008
INDF

0.017

0.047

0.054

-0.412

MEDC

0.009

0.047

0.041

-0.357

UNVR

0.017

0.047

0.054

-0.412

KLBF

0.008

0.052

0.045

-0.424

ANTM

0.000

0.053

0.042

-0.466

UNTR

0.014

0.029

0.026

-0.233

Sumber : Hasil Output SPSS 13.00

89
4. MODEL EXPECTED RETURN APT

Setelah diperoleh nilai alpha, b1, b2, dan b3, (hasil ARIMA program
SPSS

13.00)

sebagaimana

yang

tersaji

pada

tabel

6.2,

maka

disubstitusikan kembali dan diinterpretasikan ke dalam expected return
model APT, yaitu :
Ri – ERi = α + β pInflasi + β pSBI+ β pkurs
Tabel 6.2 Alpha, B1, B2, dan B3
(Expected Return APT periode tahun 2003-2008)
Saham
Alpha
INDF
0.006
MEDC
0.012
UNVR
0.007
KLBF
0.009
ANTM
0.007
UNTR
0.008
Sumber : Hasil Output SPSS 13.00

B1
0.080
0.120
0.080
0.105
0.107
0.098

B2
0.020
0.011
0.021
0.008
0.007
0.007

B3
-1.992
0.209
-1.992
-0.237
-0.096
0.582

a. Analisis Expected Return Model APT INDF tahun 2003-2008

Pada tabel 6.2 terlihat bahwa koefisien-koefisien yang membentuk
persamaan model APT INDF tahun 2003-2008, sebagai berikut :
Ri – ERi = 0.006 + 0.080 pInflasi + 0.020 pSBI - 1.992 pkurs
Persamaan regresi tersebut dapat diinterpretasikan sebagaimana
berikut : Intercept bernilai 0.006 dapat diinterpretasikan bahwa jika seluruh
variabel bebasnya bernilai nol, maka besarnya pendapatan saham adalah
sama dengan nilai intercept tersebut, yakni 0.006.
Koefisien regresi Perubahan Inflasi sebesar 0.080 memberikan
gambaran bahwa jika

Perubahan Inflasi meningkat satu unit, dengan

90
asumsi variabel lain konstan (ceterus paribus), maka Pendapatan Saham
yang ditunjukkan oleh saham yang bersangkutan akan meningkat sebesar
0.080 unit. Sebaliknya, jika Perubahan Inflasi turun sebesar satu unit
maka Pendapatan Saham akan turun sebesar 0.080 unit.
Koefisien regresi Perubahan SBI sebesar 0.020, artinya Perubahan
SBI mempunyai pengaruh yang positif terhadap Pendapatan saham.
Dalam hal ini, jika variabel Perubahan SBI meningkat satu unit, dengan
asumsi variabel lainnya konstan (ceterus paribus), maka nilai pendapatan
saham akan naik sebesar 0.020 unit dan begitupun sebaliknya.
Nilai koefisien regresi untuk Perubahan Kurs adalah - 1.992, artinya
bahwa jika Perubahan Kurs meningkat satu unit, dengan asumsi variabel
yang lainnya konstan (ceterus paribus), maka Pendapatan Saham akan
turun sebesar - 1.992 unit. Sebaliknya jika variabel Perubahan Kurs turun
satu unit, maka Pendapatan saham naik sebesar - 1.992 unit.

b. Analisis Expected Return Model APT MEDCO tahun 2003-2008

Pada tabel 6.2 terlihat bahwa koefisien-koefisien yang membentuk
persamaan model APT MEDCO tahun 2003-2008, sebagai berikut :
Ri – ERi = 0.012 + 0.120 pInflasi + 0.011 pSBI + 0.209 pkurs
Persamaan regresi tersebut dapat diinterpretasikan sebagaimana berikut :
Intercept bernilai 0.012 dapat diinterpretasikan bahwa jika seluruh variabel

91
bebasnya bernilai nol, maka besarnya pendapatan saham adalah sama
dengan nilai intercept tersebut, yakni 0.012.
Koefisien regresi Perubahan Inflasi sebesar 0.120 memberikan
gambaran bahwa jika

Perubahan Inflasi meningkat satu unit, dengan

asumsi variabel lain konstan (ceterus paribus), maka Pendapatan Saham
yang ditunjukkan oleh saham yang bersangkutan akan meningkat sebesar
0.120 unit. Sebaliknya, jika Perubahan Inflasi turun sebesar satu unit
maka Pendapatan Saham akan turun sebesar 0.120 unit.
Koefisien regresi Perubahan SBI sebesar 0.011, artinya Perubahan
SBI mempunyai pengaruh yang positif terhadap Pendapatan saham.
Dalam hal ini, jika variabel Perubahan SBI meningkat satu unit, dengan
asumsi variabel lainnya konstan (ceterus paribus), maka nilai pendapatan
saham akan naik sebesar 0.011 unit dan begitupun sebaliknya.
Koefisien regresi Kurs sebesar 0.209 memberikan gambaran bahwa
jika Perubahan Kurs meningkat satu unit, dengan asumsi variabel lain
konstan (ceterus paribus), maka Pendapatan Saham yang ditunjukkan
oleh saham yang bersangkutan akan meningkat sebesar 0.209 unit.
Sebaliknya, jika Perubahan Kurs turun sebesar satu unit maka
Pendapatan Saham akan turun sebesar 0.209 unit.

92
c. Analisis Expected Return Model APT UNVR tahun 2003-2008

Pada tabel 6.2 terlihat bahwa koefisien-koefisien yang membentuk
persamaan model APT UNVR tahun 2003-2008, sebagai berikut :
Ri – ERi = 0.006 + 0.080 pInflasi + 0.020 pSBI - 1.992 pkurs
Persamaan regresi tersebut dapat diinterpretasikan sebagaimana
berikut : Intercept bernilai 0.006 dapat diinterpretasikan bahwa jika seluruh
variabel bebasnya bernilai nol, maka besarnya pendapatan saham adalah
sama dengan nilai intercept tersebut, yakni 0.006.
Koefisien regresi Perubahan Inflasi sebesar 0.080 memberikan
gambaran bahwa jika

Perubahan Inflasi meningkat satu unit, dengan

asumsi variabel lain konstan (ceterus paribus), maka Pendapatan Saham
yang ditunjukkan oleh saham yang bersangkutan akan meningkat sebesar
0.080 unit. Sebaliknya, jika Perubahan Inflasi turun sebesar satu unit
maka Pendapatan Saham akan turun sebesar 0.080 unit.
Koefisien regresi Perubahan SBI sebesar 0.020, artinya Perubahan
SBI mempunyai pengaruh yang positif terhadap Pendapatan saham.
Dalam hal ini, jika variabel Perubahan SBI meningkat satu unit, dengan
asumsi variabel lainnya konstan (ceterus paribus), maka nilai pendapatan
saham akan naik sebesar 0.020 unit dan begitupun sebaliknya.
Nilai koefisien regresi untuk Perubahan Kurs adalah - 1.992, artinya
bahwa jika Perubahan Kurs meningkat satu unit, dengan asumsi variabel
yang lainnya konstan (ceterus paribus), maka Pendapatan Saham akan

93
turun sebesar - 1.992 unit. Sebaliknya jika variabel Perubahan Kurs turun
satu unit, maka Pendapatan saham naik sebesar - 1.992 unit.

d. Analisis Expected Return Model APT KLBF tahun 2003-2008

Pada tabel 6.2 terlihat bahwa koefisien-koefisien yang membentuk
persamaan model APT KLBF tahun 2003-2008, sebagai berikut :
Ri – ERi = 0.009 + 0.105 pInflasi + 0.008 pSBI – 0.237 pkurs
Persamaan regresi tersebut dapat diinterpretasikan sebagaimana
berikut : Intercept bernilai 0.009 dapat diinterpretasikan bahwa jika seluruh
variabel bebasnya bernilai nol, maka besarnya pendapatan saham adalah
sama dengan nilai intercept tersebut, yakni 0.009.
Koefisien regresi Perubahan Inflasi sebesar 0.105 memberikan
gambaran bahwa jika

Perubahan Inflasi meningkat satu unit, dengan

asumsi variabel lain konstan (ceterus paribus), maka Pendapatan Saham
yang ditunjukkan oleh saham yang bersangkutan akan meningkat sebesar
0.105 unit. Sebaliknya, jika Perubahan Inflasi turun sebesar satu unit
maka Pendapatan Saham akan turun sebesar 0.105 unit.
Koefisien regresi Perubahan SBI sebesar 0.008, artinya Perubahan
SBI mempunyai pengaruh yang positif terhadap Pendapatan saham.
Dalam hal ini, jika variabel Perubahan SBI meningkat satu unit, dengan
asumsi variabel lainnya konstan (ceterus paribus), maka nilai pendapatan
saham akan naik sebesar 0.008 unit dan begitupun sebaliknya.

94
Nilai koefisien regresi untuk Perubahan Kurs adalah –0.237, artinya
bahwa jika Perubahan Kurs meningkat satu unit, dengan asumsi variabel
yang lainnya konstan (ceterus paribus), maka Pendapatan Saham akan
turun sebesar -0.237 unit. Sebaliknya jika variabel Perubahan Kurs turun
satu unit, maka Pendapatan saham naik sebesar -0.237 unit.

e. Analisis Expected Return Model APT ANTM tahun 2003-2008

Pada tabel 6.2 terlihat bahwa koefisien-koefisien yang membentuk
persamaan model APT ANTM tahun 2003-2008, sebagai berikut :
Ri – ERi = 0.007 + 0.107 pInflasi + 0.007 pSBI – 0.096 pkurs
Persamaan regresi tersebut dapat diinterpretasikan sebagaimana
berikut : Intercept bernilai 0.007 dapat diinterpretasikan bahwa jika seluruh
variabel bebasnya bernilai nol, maka besarnya pendapatan saham adalah
sama dengan nilai intercept tersebut, yakni 0.007.
Koefisien regresi Perubahan Inflasi sebesar 0.107 memberikan
gambaran bahwa jika

Perubahan Inflasi meningkat satu unit, dengan

asumsi variabel lain konstan (ceterus paribus), maka Pendapatan Saham
yang ditunjukkan oleh saham yang bersangkutan akan meningkat sebesar
0.107 unit. Sebaliknya, jika Perubahan Inflasi turun sebesar satu unit
maka Pendapatan Saham akan turun sebesar 0.107 unit.
Koefisien regresi Perubahan SBI sebesar 0.007, artinya Perubahan
SBI mempunyai pengaruh yang positif terhadap Pendapatan saham.

95
Dalam hal ini, jika variabel Perubahan SBI meningkat satu unit, dengan
asumsi variabel lainnya konstan (ceterus paribus), maka nilai pendapatan
saham akan naik sebesar 0.007 unit dan begitupun sebaliknya.
Nilai koefisien regresi untuk Perubahan Kurs adalah –0.096, artinya
bahwa jika Perubahan Kurs meningkat satu unit, dengan asumsi variabel
yang lainnya konstan (ceterus paribus), maka Pendapatan Saham akan
turun sebesar -0.237 unit. Sebaliknya jika variabel Perubahan Kurs turun
satu unit, maka Pendapatan saham naik sebesar -0.096 unit.

f. Analisis Expected Return Model APT UNTR tahun 2003-2008

Pada tabel 6.2 terlihat bahwa koefisien-koefisien yang membentuk
persamaan model APT UNTR tahun 2003-2008, sebagai berikut :
Ri – ERi = 0.008 + 0.098 pInflasi + 0.007 pSBI + 0.582 pkurs
Persamaan regresi tersebut dapat diinterpretasikan sebagaimana
berikut : Intercept bernilai 0.008 dapat diinterpretasikan bahwa jika seluruh
variabel bebasnya bernilai nol, maka besarnya pendapatan saham adalah
sama dengan nilai intercept tersebut, yakni 0.008.
Koefisien regresi Perubahan Inflasi sebesar 0.098 memberikan
gambaran bahwa jika

Perubahan Inflasi meningkat satu unit, dengan

asumsi variabel lain konstan (ceterus paribus), maka Pendapatan Saham
yang ditunjukkan oleh saham yang bersangkutan akan meningkat sebesar

96
0.098 unit. Sebaliknya, jika Perubahan Inflasi turun sebesar satu unit
maka Pendapatan Saham akan turun sebesar 0.098 unit.
Koefisien regresi Perubahan SBI sebesar 0.007, artinya Perubahan
SBI mempunyai pengaruh yang positif terhadap Pendapatan saham.
Dalam hal ini, jika variabel Perubahan SBI meningkat satu unit, dengan
asumsi variabel lainnya konstan (ceterus paribus), maka nilai pendapatan
saham akan naik sebesar 0.007 unit dan begitupun sebaliknya.
Koefisien regresi Kurs sebesar 0.582 memberikan gambaran bahwa
jika Perubahan Kurs meningkat satu unit, dengan asumsi variabel lain
konstan (ceterus paribus), maka Pendapatan Saham yang ditunjukkan
oleh saham yang bersangkutan akan meningkat sebesar 0.582 unit.
Sebaliknya, jika Perubahan Kurs turun sebesar satu unit maka
Pendapatan Saham akan turun sebesar 0.582 unit.

5. MENGHITUNG PENDAPATAN SAHAM YANG DIHARAPKAN
(EXPECTED RETURN) DENGAN MENGGUNAKAN MODEL APT

Setelah Data tersebut diolah dengan menggunakan Kertas Kerja
Ms.Excell untuk setiap masing – masing saham (INDF, MEDC, UNVR,
KLBF, dan UNTR), maka diperoleh Expected Return tahunan berdasarkan
model APT Industri Manufaktur yang tercatat di Bursa Efek Indonesia
selama periode tahun 2003-2008, sehingga diperoleh nilai Expected
Returnnya sebagai berikut :

97
Tabel 6.3 Expected Return (E(Ri)) Tahunan, Model APT

SAHAM

TAHUN
2003

2004

2005

2006

2007

2008

E(Ri).INDF

-0.4078

1.0218

-2.0023

0.6920

2.0553

-0.1596

E(Ri).MEDC

2.2678

0.5155

-2.5818

0.5962

1.3787

-0.1256

E(Ri).UNVR

-0.4078

1.0218

-2.0023

0.6920

2.0553

-0.1596

E(Ri).KLBF

2.0486

0.5759

-2.6645

0.6590

1.3692

-0.1890

E(Ri).ANTM

2.5158

0.5585

-2.7533

0.5249

1.3903

-0.2419

E(Ri).UNTR

2.4470

0.4857

-2.2420

0.6355

1.5054

-0.0138

Sumber : Hasil Output Ms. Excell

C. RATA-RATA PENYIMPANGAN ABSOLUT (MEAN ABSOLUT
DEVIATION (MAD)) UNTUK CAPM DAN APT

Dalam penelitian ini keakuratan suatu model diukur dengan
menggunakan Mean Absolut Deviation (MAD), model yang mempunyai
MAD yang lebih kecil berarti lebih akurat dibandingkan model yang
mempunyai MAD yang lebih besar.

Setelah data diolah dengan persamaan yang di atas dengan
menggunakan program Ms.Excell, maka diperoleh :

98
Tabel 6.4 MAD Industri Manufaktur selama 5 tahun (2003-2008)

No

NAMA

MAD CAPM

MAD APT

1
2
3
4
5
6

INDF
MEDC
UNVR
KLBF
ANTM
UNTR

0.0018
0.0033
0.0014
0.0013
0.0016
0.0018

0.1965
0.3391
0.1971
0.2948
0.3293
0.4643

Sumber : Hasil Output Ms. Excell dan output SPSS 13.00

Tabel 6.5
Group Statisti cs

MAD

Model
CAPM
APT

N
6
6

Mean
.0019
.3035

St d. Dev iation
.00073
.10063

St d. Error
Mean
.00030
.04108

Sumber : Hasil output SPSS 13.00

Rata-rata MAD model CAPM dalam memprediksi return saham
industri manufaktur sebesar 0.019 dengan standar deviasi 0.00073.
Adapun rata-rata MAD model APT dalam memprediksi return saham
industri manufaktur sebesar 0.3035 dengan standar deviasi 0.10063.
Secara deskriptif terlihat bahwa rata-rata MAD CAPM lebih kecil
dibandingkan rata-rata MAD APT yang berarti model CAPM lebih akurat
dibandingkan model APT dalam memprediksi return saham industri
manufaktur. Perbedaan Mean Absolut Deviation (MAD CAPM dan MAD
APT) ini perlu diuji secara statistik untuk mengetahui apakah perbedaan
tersebut signifikan.

99
D. PEMBAHASAN

1. PENGARUH
PREMI
RISIKO
YANG
DIUKUR
DENGAN
MENGGUNAKAN CAPITAL ASSET PRICING MODEL DALAM
MEMPREDIKSI RETURN SAHAM INDUTRI MANUFAKTUR YANG
TERCATAT DI BURSA EFEK INDONESIA

Pada bagian ini akan diuji nilai R2, F-statistic serta significant level.
Nilai R2 menunjukkan bagaimana model yang dibentuk dengan variable
bebas (premi risiko) dimasukkan secara bersamaan, dapat menjelaskan
variabel terikat. Nilai F-statistik dan significant level bertujuan menguji
apakah variable bebas (premi risiko) mempunyai pengaruh dengan
Expected Return Capital Asset Pricing Model sebagai variabel terikat.
Pada INDF, pada Tabel 7.1 terlihat bahwa, nilai R2 sebesar 0,675.
Hal ini menunjukkan 67.5 persen Expected Return Capital Asset Pricing
Model dapat dijelaskan oleh variabel Premi Risiko. Sedangkan sisanya
dijelaskan oleh sebab-sebab lain. Nilai F-hitung adalah 148.461, dengan
tingkat probabilitas (nilai-p) sebesar 0.000. Karena nilai-p < 0,05 maka H0
ditolak.
2

Tabel 7.1 Summary R , Uji F, Uji T Model CAPM
Industri Manufaktur selama periode 5 tahun (2003-2008)
Uji F
2
No
Nama
R
F
Sig.
1
INDF
0.675
148.461
0.000
2
MEDC
0.784
254.152
0.000
3
UNVR
0.001
0.047
0.828
4
KLBF
0.883
527.666
0.000
5
ANTM
0.757
217.525
0.000
6
UNTR
0.796
273.852
0.000
Sumber : Hasil output Regrssion Program SPSS 13.00

100
MEDC, Tabel 7.1 terlihat bahwa, nilai R2 sebesar 0.784. Hal ini
menunjukkan 78.4 persen Expected Return Capital Asset Pricing Model
dapat dijelaskan oleh variabel Premi Risiko. Sedangkan sisanya
dijelaskan oleh sebab-sebab lain. Nilai F-hitung adalah 254.152, dengan
tingkat probabilitas (nilai-p) sebesar 0.000. Karena nilai-p < 0,05 maka H0
ditolak. UNVR, nilai R2 sebesar 0.001. Hal ini menunjukkan 0.1 persen
Expected Return Capital Asset Pricing Model dapat dijelaskan oleh
variabel Premi Risiko. Sedangkan sisanya dijelaskan oleh sebab-sebab
lain. Nilai F-hitung adalah 0.047, dengan tingkat probabilitas (nilai-p)
sebesar 0.828. Karena nilai-p > 0,05 maka H0 gagal ditolak. KLBF, nilai
R2 sebesar 0.883. Hal ini menunjukkan 88.3 persen Expected Return
Capital Asset Pricing Model dapat dijelaskan oleh variabel Premi Risiko.
Sedangkan sisanya dijelaskan oleh sebab-sebab lain. Nilai F-hitung
adalah 527.666, dengan tingkat probabilitas (nilai-p) sebesar 0.000.
Karena nilai-p < 0,05 maka H0 ditolak. ANTM, nilai R2 sebesar 0,757. Hal
ini menunjukkan 75.7 persen Expected Return Capital Asset Pricing Model
dapat dijelaskan oleh variabel Premi Risiko. Sedangkan sisanya
dijelaskan oleh sebab-sebab lain. Nilai F-hitung adalah 217.525, dengan
tingkat probabilitas (nilai-p) sebesar 0.000. Karena nilai-p < 0,05 maka H0
ditolak. UNTR, nilai R2 sebesar 0.796. Hal ini menunjukkan 79.6 persen
Expected Return Capital Asset Pricing Model dapat dijelaskan oleh
variabel Premi Risiko. Sedangkan sisanya dijelaskan oleh sebab-sebab
lain. Nilai F-hitung adalah 273.852, dengan tingkat probabilitas (nilai-p)

101
sebesar 0.000. Karena nilai-p < 0,05 maka H0 ditolak yang berarti ada
pengaruh variable bebas (Premi Risiko) terhadap Expected Return Capital
Asset Pricing Model. Dengan demikian penelitian mendukung hipotesis
satu, sebagaimana yang tersaji pada table 7.1.1.
Tabel 7.1.1 Keputusan Hipotesis satu
Saham

Keputusan
Hipotesis

INDF

Ho ditolak

MEDC

Ho ditolak

UNVR

Ho gagal ditolak

KLBF

Ho ditolak

ANTM

Ho ditolak

UNTR

Ho ditolak

Kesimpulan
Premi Risiko mempunyai pengaruh dalam memprediksi
return saham
Premi Risiko mempunyai pengaruh dalam memprediksi
return saham
Premi Risiko tidak mempunyai pengaruh dalam
memprediksi return saham
Premi Risiko mempunyai pengaruh dalam memprediksi
return saham
Premi Risiko mempunyai pengaruh dalam memprediksi
return saham
Premi Risiko mempunyai pengaruh dalam memprediksi
return saham

Sumber : Hasil Pengujian-pengujian Hipotesis

2. PENGARUH INFLASI, SUKU BUNGA INDONESIA DAN NILAI KURS
YANG DIUKUR DENGAN MENGGUNAKAN MODEL ARBITRAGE
PRICING THEORY (APT) DALAM MEMPREDIKSI RETURN SAHAM
INDUSTRI MANUFAKTUR YANG TERCATAT DI BURSA EFEK
INDONESIA

Pada bagian ini akan diuji nilai R2, F-statistic dan significant level,
dan T-statistik serta significant level. Nilai R2 menunjukkan bagaimana
model yang dibentuk dengan variable – variabel bebas (Inflasi, SBI, dan
Kurs) dimasukkan secara bersamaan, dapat menjelaskan variabel terikat.
Nilai F-statistik dan significant level bertujuan menguji apakah variabelvariabel bebas (Inflasi, SBI, dan Kurs) yang dipilih benar-benar
berhubungan dengan Expected Return model Arbitrage Pricing Theory

102
sebagai variabel terikat. Adapun table 7.1 dan 7.2 adalah summary table
yang terdapat pada lampiran I.
2

Tabel 7.2 Summary R dan Uji F Model APT
Industri Manufaktur selama periode 5 tahun (2003-2008)
No

Nama

1
2
3
4
5
6

INDF
MEDC
UNVR
KLBF
ANTM
UNTR

R

2

0.699
0.748
0.699
0.801
0.774
0.774

Uji F
F
52.609
67.258
52.609
90.952
77.743
77.616

Sig.
0.000
0.000
0.000
0.000
0.000
0.000

Sumber : Hasil output Regrssion Program SPSS 13.00

Pada INDF, pada Tabel 7.2 terlihat bahwa, nilai R2 sebesar 0,699.
Hal ini menunjukkan 69.9 persen Expected Return model Arbitrage Pricing
Theory dapat dijelaskan oleh variabel-variabel bebas (Inflasi, SBI, Kurs).
Sedangkan sisanya dijelaskan oleh sebab-sebab lain. Nilai F-hitung
adalah 52.609, dengan tingkat probabilitas (nilai-p) sebesar 0.000. Karena
nilai-p < 0,05 maka H0 ditolak. MEDC, nilai R2 sebesar 0.748. Hal ini
menunjukkan 74.8 persen Expected Return model Arbitrage Pricing
Theory dapat dijelaskan oleh variabel-variabel bebas (Inflasi, SBI, Kurs).
Sedangkan sisanya dijelaskan oleh sebab-sebab lain. Nilai F-hitung
adalah 67.258, dengan tingkat probabilitas (nilai-p) sebesar 0.000. Karena
nilai-p < 0,05 maka H0 ditolak. UNVR, nilai R2 sebesar 0,699. Hal ini
menunjukkan 69.9 persen Expected Return model Arbitrage Pricing
Theory dapat dijelaskan oleh variabel-variabel bebas (Inflasi, SBI, Kurs).
Sedangkan sisanya dijelaskan oleh sebab-sebab lain. Nilai F-hitung
adalah 52.609, dengan tingkat probabilitas (nilai-p) sebesar 0.000. Karena

103
nilai-p < 0,05 maka H0 ditolak. KLBF, nilai R2 sebesar 0.801. Hal ini
menunjukkan 80.1 persen Expected Return model Arbitrage Pricing
Theory dapat dijelaskan oleh variabel-variabel bebas (Inflasi, SBI, Kurs).
Sedangkan sisanya dijelaskan oleh sebab-sebab lain. Nilai F-hitung
adalah 90.952, dengan tingkat probabilitas (nilai-p) sebesar 0.000. Karena
nilai-p < 0,05 maka H0 ditolak. ANTM, nilai R2 sebesar 0.774. Hal ini
menunjukkan 77.4 persen Expected Return model Arbitrage Pricing
Theory dapat dijelaskan oleh variabel-variabel bebas (Inflasi, SBI, Kurs).
Sedangkan sisanya dijelaskan oleh sebab-sebab lain. Nilai F-hitung
adalah 77.743, dengan tingkat probabilitas (nilai-p) sebesar 0.000. Karena
nilai-p < 0,05 maka H0 ditolak. UNTR, nilai R2 sebesar 0.774. Hal ini
menunjukkan 77.4 persen Expected Return model Arbitrage Pricing
Theory dapat dijelaskan oleh variabel-variabel bebas (Inflasi, SBI, Kurs).
Sedangkan sisanya dijelaskan oleh sebab-sebab lain. Nilai F-hitung
adalah 77.616, dengan tingkat probabilitas (nilai-p) sebesar 0.000. Karena
nilai-p < 0,05 maka H0 ditolak. Dari hasil tersebut dapat disimpulkan
bahwa model regresi yang mengaitkan Inflasi, SBI, dan Kurs dengan
Expected Return model Arbitrage Pricing Theory memberikan hasil
pengujian yang menyatakan bahwa variabel Inflasi, SBI, dan Kurs secara
bersama-sama dapat menjelaskan Expected Return model Arbitrage
Pricing Theory, sebagaimana yang tersaji pada tabel 7.2.1

104
Tabel 7.2.1 Keputusan Hipótesis dua
Hipótesis
Hipótesis
dua

Keputusan
Hipotesis

Kesimpulan

Ho ditolak

Inflasi, SBI, dan Kurs yang diukur dengan menggunakan
model Arbitrage Pricing Theory mempunyai “pengaruh
tambahan” dalam memprediksi return saham Industri
Manufaktur yang tercatat di Bursa Efek Indonesia.

Sumber : Hasil Pengujian-pengujian Hipótesis

Bagian uji statistik-t digunakan untuk menguji signifikansi variabel –
variable bebas (Inflasi, SBI, dan Kurs), apakah variabel-variabel bebas
(Inflasi, SBI, dan Kurs) tersebut secara parsial memiliki pengaruh terhadap
model regresi. Adapun tabel uji T hasil regresi terdapat pada lampiran J.
Tabel 7.2.2 Uji T Model CAPM Industri Manufaktur
selama periode 5 tahun (2003-2008)
INDF
T
Sig.
6.62
.000

MEDC
T
Sig.
10.135
.000

B2

3.54

.001

1.939

B3

-2.03

.046

.219

B1

UNVR
T
Sig.
6.62
.000

KLBF
T
Sig.
11.840
.000

ANTM
T
Sig.
11.121
.000

UNTR
T
Sig.
11.315
.000

.057

3.54

.001

1.784

.079

1.485

.142

1.756

.084

.827

-2.03

.046

-.331

.741

-.123

.902

.834

.407

Sumber : Hasil output Regrssion Program SPSS 13.00

INDF, uji statistik t tersebut yang terlihat pada tabel 7.2.2 bahwa,
nilai-p Inflasi, SBI, dan Kurs masing-masing adalah 0.00, 0.01, dan 0.46.
Nilai-p Inflasi dan SBI < 0.05 yang berarti dapat digunakan untuk
memprediksi Expected Return model Arbitrage Pricing Theory dan nilai-p
Kurs >0,05 artinya tidak dapat digunakan untuk memprediksi Expected
Return model Arbitrage Pricing Theory. MEDC, nilai-p Inflasi, SBI, dan
Kurs masing-masing adalah 0.000, 0.057, dan 0.827. Nilai-p Inflasi < 0.05
yang berarti dapat digunakan untuk memprediksi Expected Return model
Arbitrage Pricing Theory dan nilai-p SBI dan Kurs >0,05 artinya tidak
dapat digunakan untuk memprediksi Expected Return model Arbitrage

105
Pricing Theory. UNVR, nilai-p Inflasi, SBI, dan Kurs masing-masing adalah
0.00, 0.01, dan 0.46. Nilai-p Inflasi dan SBI < 0.05 yang berarti dapat
digunakan untuk memprediksi Expected Return model Arbitrage Pricing
Theory dan nilai-p Kurs >0,05 artinya tidak dapat digunakan untuk
memprediksi Expected Return model Arbitrage Pricing Theory. KLBF,
nilai-p Inflasi, SBI, dan Kurs masing-masing adalah 0.000, 0.079, dan
0.741. Nilai-p Inflasi < 0.05 yang berarti dapat digunakan untuk
memprediksi Expected Return model Arbitrage Pricing Theory dan nilai-p
SBI dan Kurs >0,05 artinya tidak dapat digunakan untuk memprediksi
Expected Return model Arbitrage Pricing Theory. ANTM, nilai-p Inflasi,
SBI, dan Kurs masing-masing adalah 0.00, 0.142, dan 0.902. Nilai-p
Inflasi < 0.05 yang berarti dapat digunakan untuk memprediksi Expected
Return model Arbitrage Pricing Theory dan nilai-p SBI dan Kurs >0,05
artinya tidak dapat digunakan untuk memprediksi Expected Return model
Arbitrage Pricing Theory. UNTR, nilai-p Inflasi, SBI, dan Kurs masingmasing adalah 0.00, 0.084, dan 0.407. Nilai-p Inflasi < 0.05 yang berarti
dapat digunakan untuk memprediksi Expected Return model Arbitrage
Pricing Theory dan nilai-p SBI dan Kurs >0,05 artinya tidak dapat
digunakan untuk memprediksi Expected Return model Arbitrage Pricing
Theory.

106
Tabel 7.2.3 Keputusan Hipotesis dua secara parsial
Saham

Hipotesis

Keputusan

Kesimpulan

Ho ditolak

Hipotesis dua

SBI mempunyai pengaruh dalam memprediksi return saham
Kurs tidak mempunyai pengaruh dalam memprediksi return saham
Inflasi mempunyai pengaruh dalam memprediksi return saham

Ho gagal ditolak

SBI tidak mempunyai pengaruh dalam memprediksi return saham
Kurs tidak mempunyai pengaruh dalam memprediksi return saham
Inflasi mempunyai pengaruh dalam memprediksi return saham

Ho gagal ditolak

SBI tidak mempunyai pengaruh dalam memprediksi return saham
Kurs tidak mempunyai pengaruh dalam memprediksi return saham

Ho ditolak
UNTR

Ho ditolak

Ho gagal ditolak

Hipotesis dua

Inflasi mempunyai pengaruh dalam memprediksi return saham

Ho ditolak
ANTM

Kurs tidak mempunyai pengaruh dalam memprediksi return saham

Ho gagal ditolak

Hipotesis dua

SBI tidak mempunyai pengaruh dalam memprediksi return saham

Ho ditolak
KLBF

Inflasi mempunyai pengaruh dalam memprediksi return saham

Ho gagal ditolak

Ho gagal ditolak

Hipotesis dua

Kurs tidak mempunyai pengaruh dalam memprediksi return saham

Ho ditolak
UNVR

SBI mempunyai pengaruh dalam memprediksi return saham

Ho gagal ditolak

Hipotesis dua

Ho ditolak

Ho ditolak
MEDC

Hipotesis dua

Inflasi mempunyai pengaruh dalam memprediksi return saham

Ho gagal ditolak

INDF

Inflasi mempunyai pengaruh dalam memprediksi return saham

Ho gagal ditolak

SBI tidak mempunyai pengaruh dalam memprediksi return saham

Ho gagal ditolak
Sumber : Hasil Pengujian-pengujian Hipotesis

Kurs tidak mempunyai pengaruh dalam memprediksi return saham

3. STATISTIK UJI BEDA DUA RATA-RATA UNTUK INDEPENDENT
SAMPLE EXPECTED RETURN YANG DIUKUR DENGAN
MENGGUNAKAN CAPITAL ASSET PRICING MODEL (CAPM) DAN
MODEL ARBITRAGE PRICING THEORY (APT) PADA SAHAM
INDUSTRI MANUFAKTUR YANG TERCATAT DI BURSA EFEK
INDONESIA

Pada bagian ini akan dilakukan pengujian terhadap Expected Return
Capital Asset Pricing Model dan Expected Return model Arbitrage Pricing
Theory untuk Industri Manufaktur yang tercatat di Bursa Efek Indonesia
selama periode 5 tahun (2003-2008).
Ringkasan statistik deskriptif untuk nilai Expected Return Capital Asset
Pricing Model dan Expected Return model Arbitrage Pricing Theory untuk
Industri Manufaktur dapat dilihat pada Tabel 8.1 berikut ini :

107
Tabel 8.1 Ringkasan Statistik Deskriptif CAPM dan APT Industri Manufaktur
periode 5 tahun (2003-2008)
Group Statistics

INDF
MEDC
UNVR
KLBF
ANTM
UNTR

Expected Return
CAPM dan APT
CAPM
APT
CAPM
APT
CAPM
APT
CAPM
APT
CAPM
APT
CAPM
APT

N
72
72
72
72
72
72
72
72
72
72
72
72

Mean
.0014
.1999
.0060
.3418
.0014
.1999
.0036
.2999
.0017
.3324
.0035
.4696

Std. Dev iat ion
.04402
1.36526
.04709
1.59113
.04402
1.36526
.03952
1.57952
.04029
1.70309
.03625
1.53425

Std. Error
Mean
.00519
.16090
.00555
.18752
.00519
.16090
.00466
.18615
.00475
.20071
.00427
.18081

Sumber : Pengolahan data dengan SPSS

Pada Tabel 8.1 terlihat bahwa rata-rata Expected Return Capital
Asset Pricing Model untuk INDF, MEDC, UNVR, KLBF, ANTM, dan UNTR
masing-masing sebesar : 0.0014, 0.0060, 0.0014, 0.0036, 0.0017, dan
0.0035. Artinya Expected Return Capital Asset Pricing Model MEDC lebih
besar dari KLBF lebih besar dari UNTR lebih besar dari ANTM lebih besar
dari INDF dan UNVR serta Expected Return model Arbitrage Pricing
Theory untuk INDF, MEDC, UNVR, KLBF, ANTM, dan UNTR masingmasing sebesar : 0.1999, 0.3418, 0.1999, 0.2999, 0.3324, dan 0.4696,
artinya Expected Return model Arbitrage Pricing Theory UNTR lebih besar
dari MEDC lebih besar dari ANTM lebih besar dari KLBF lebih besar dari
INDF dan UNVR.
Selanjutnya dilakukan analisis apakah rata-rata Expected return
capital asset pricing model dengan expected return model arbitrage
pricing model pada industri manufaktur yang tercatat di bursa efek

108
indonesia adalah berbeda secara signifikan atau tidak. Dalam hal ini
Digunakan hipotesis, sebagai berikut :
Tabel 8.2 Hasil Uji Rata-rata Sampel Independen
Independent Samples Test
Levene's Test f or
Equality of Variances

F
INDF

MEDC

UNVR

KLBF

ANTM

UNTR

Equal variances
assumed
Equal variances
not assumed
Equal variances
assumed
Equal variances
not assumed
Equal variances
assumed
Equal variances
not assumed
Equal variances
assumed
Equal variances
not assumed
Equal variances
assumed
Equal variances
not assumed
Equal variances
assumed
Equal variances
not assumed

120.586

Sig.

t

Sig. (2-tailed)

df

Mean
Diff erence

Std. Error
Diff erence

95% Confidence
Interv al of the
Diff erence
Lower
Upper

.000

-.51669

.11977

71.148

.222

-.19846

.16098

-.51943

.12252

-1.790

142

.076

-.33577

.18760

-.70661

.03508

71.124

.078

-.33577

.18760

-.70982

.03828

-1.233

142

.220

-.19846

.16098

-.51669

.11977

71.148

.222

-.19846

.16098

-.51943

.12252

-1.591

142

.114

-.29632

.18621

-.66441

.07178

71.089

.116

-.29632

.18621

-.66760

.07496

-1.647

142

.102

-.33069

.20077

-.72757

.06619

71.079

.104

-.33069

.20077

-.73100

.06962

-2.577

142

.011

-.46610

.18086

-.82363

-.10857

-2.577

97.384

.000

.16098

-1.647

87.590

.000

-.19846

-1.591

88.976

.000

.220

-1.233

120.586

142

-1.790

.000

-1.233
-1.233

84.483

.000

t-test for Equality of Means

71.079

.012

-.46610

.18086

-.82672

-.10547

Sumber : Pengolahan data dengan SPSS 13.00

Hipotesis tiga : Expected return capital asset pricing model berbeda
dengan expected return model arbitrage pricing model
pada industri manufaktur yang tercatat di bursa efek
indonesia
Pada Tabel 8.2 terlihat bahwa T-hitung untuk INDF, MEDC, UNVR,
KLBF, dan ANTM dengan equal variance assumed masing-masing adalah
-1.233, -1.790, -1.233, -1.591, dan -1.647 dengan nilai-p masing-masing
0.220, 0.076, 0.220, 0.114, dan 0.102. Oleh karena nilai-p untuk uji dua
sisi (INDF) 0,220/2 > 0,025, (MEDC) 0.076/2 > 0.025, (UNVR) 0.220/2 >

109
0.025, (KLBF) 0.114/2 > 0.025, dan (ANTM) 0.102/2 > 0.025 maka H0
gagal ditolak, artinya Expected return capital asset pricing model tidak
berbeda dengan expected return model arbitrage pricing model pada
INDF, MEDC, UNVR, KLBF dan ANTM. Dan pada UNTR dengan equal
variance assumed adalah -2.577 dengan nilai-p 0.011. Oleh karena nilai-p
untuk uji dua sisi 0,011/2 < 0,025 maka H0 gagal ditolak, artinya Expected
return capital asset pricing model berbeda dengan expected return model
arbitrage pricing model pada UNTR. Dengan demikian penelitian
mendukung hipotesis tiga, sebagaimana yang tersaji pada table 8.3.
Tabel 8.3 Keputusan Hipótesis tiga
Saham

Keputusan
Hipotesis

INDF

Ho gagal ditolak

MEDC

Ho gagal ditolak

UNVR

Ho gagal ditolak

KLBF

Ho gagal ditolak

ANTM

Ho gagal ditolak

UNTR

Ho ditolak

Kesimpulan
Expected return capital asset pricing model tidak berbeda
dengan expected return model arbitrage pricing model
Expected return capital asset pricing model tidak berbeda
dengan expected return model arbitrage pricing model
Expected return capital asset pricing model tidak berbeda
dengan expected return model arbitrage pricing model
Expected return capital asset pricing model tidak berbeda
dengan expected return model arbitrage pricing model
Expected return capital asset pricing model tidak berbeda
dengan expected return model arbitrage pricing model
Expected return capital asset pricing model berbeda
dengan expected return model arbitrage pricing model

Sumber : Hasil Pengujian-pengujian Hipótesis

4. STATISTIK UJI BEDA DUA RATA-RATA PENYIMPANGAN
ABSOLUT (MAD) CAPM DAN APT PADA SAHAM INDUSTRI
MANUFAKTUR YANG TERCATAT DI BURSA EFEK INDONESIA

Pada bagian ini akan dilakukan pengujian perbedaan rata-rata
penyimpangan absolut Capital Asset Pricing Model dan mdel Arbitrage
Pricing Theory berdasarkan Mean Absolut Deviation (MAD) pada masing-

110
masing model (CAPM dan APT) dalam memprediksi return saham Industri
Manufaktur yang tercatat di Bursa Efek Indonesia selama periode 5 tahun.
Tabel 8.4 Hasil Uji Rata-rata Sampel Independen
Independent Samples Test
Levene's Test f or
Equality of Variances

F
MAD

Equal variances
assumed
Equal variances
not assumed

Sig.

9.156

t-test for Equality of Means

t

.013

Sig. (2-tailed)

df

Mean
Dif f erence

Std. Error
Dif f erence

95% Confidence
Interv al of the
Dif f erence
Lower
Upper

-7.342

10

.000

-.30165

.04108

-.39319

-.21011

-7.342

5.001

.001

-.30165

.04108

-.40726

-.19604

Sumber : Pengolahan data dengan SPSS 13.00

Hipotesis yang digunakan dalam penelitian ini adalah :
Hipotesis empat : Expected return capital asset pricing model berbeda
rata-rata penyimpangan absolut dengan expected return
model arbitrage pricing model pada industri manufaktur
yang tercatat di bursa efek indonesia
Pada tabel 8.4 terlihat bahwa T-hitung dengan equal variance
assumed adalah -7.342 dengan nilai-p 0.000. Oleh karena nilai-p untuk uji
dua sisi 0,000/2 < 0,025 maka H0 ditolak, artinya Expected return capital
asset pricing model berbeda akurasi dengan expected return model
arbitrage pricing model. Dengan demikian penelitian mendukung hipotesis
enam, sebagaimana yang tersaji pada tabel 8.5.
Tabel 8.5 Keputusan Hipótesis empat
Hipótesis

Keputusan
Hipotesis

Hipótesis
empat

Ho ditolak

Kesimpulan
Expected return capital asset pricing model berbeda
rata-rata penyimpangan absolute dengan expected
return model arbitrage pricing model

Sumber : Hasil Pengujian-pengujian Hipótesis

111
Model CAPM yang menggunakan pendapatan pasar saham aktual
sebagai variabel, lepas dari unsur bias dalam penentuan variabel dan
semua

investor

jika

menggunakan

model

CAPM

maka

akan

menggunakan pendapatan pasar saham aktual sebagai variabel
(homogen), dan salah satu asumsi model CAPM yang masih berlaku
dalam model APT adalah bahwa Investor mempunyai kepercayaan yang
bersifat homogen (Tande Lilin, 2001; 06), dan model CAPM, perubahan
faktor non ekonomi dan company actions (perusahaan yang mempunyai
kapitalisasi pasar yang besar) sudah tercakup dalam perubahan dari
pendapatan pasar saham. Sedangkan
Pada model APT, penggunaan variabel-variabel makro ekonomi
dalam penelitian tidak bisa menjelaskan variasi pendapatan saham
industri manufaktur yang disebabkan oleh faktor non ekonomi (misalnya
sosial, politik, keamanan dsb), padahal seringkali faktor non ekonomi
merupakan faktor dominan yang mempengaruhi pergerakan harga
saham di Bursa Efek Jakarta. Selain itu, model APT yang digunakan
dalam penelitian ini juga tidak bisa menjelaskan variasi pendapatan
saham industri manufaktur yang disebabkan oleh company actions
(seperti right isue, stock split, warrant dll.). Sedangkan berdasarkan
penelitian yang dilakukan oleh Widyawati (1996), Nisful laila (1996),
Nanang Hamdani (1997) dan Neneng Zumainah (2001) diperoleh
kesimpulan bahwa company actions (right isue, stock split, warrant)
mempunyai pengaruh yang signifikan terhadap pendapatan saham di

112
BEI. Hal ini menyebabkan model CAPM lebih akurat dibandingkan
dengan model APT dalam memprediksi pendapatan saham industri
manufaktur yang tercatat di Bursa Efek Indonesia.

113
BAB VI
KESIMPULAN DAN SARAN

A. KESIMPULAN

1. Faktor Premi Risiko (Rm-Rf) yang diukur dengan menggunakan
Capital Asset Pricing Model (CAPM) mempunyai pengaruh dalam
memprediksi return saham Industri Manufaktur yang tercatat di Bursa
Efek Indonesia, terutama pada saham INDF, MEDCO, KLBF, ANTM
dan UNTR, Kecuali pada saham UNVR, Faktor Premi Risiko (Rm-Rf)
yang diukur dengan menggunakan Capital Asset Pricing Model
(CAPM) tidak mempunyai pengaruh dalam memprediksi return saham
2. Inflasi, SBI, dan Kurs dengan Expected Return model Arbitrage Pricing
Theory memberikan hasil pengujian yang menyatakan bahwa variabel
Inflasi, SBI, dan Kurs secara bersama-sama dapat menjelaskan
Expected Return model Arbitrage Pricing Theory. Faktor Suku Bunga
dan Kurs yang diukur dengan menggunakan model Arbitrage Pricing
Theory tidak mempunyai pengaruh dalam memprediksi return saham
MEDC, KLBF, ANTM dan UNTR, lain halnya pada saham INDF dan
UNTR, hanya faktor kurs yang diukur dengan menggunakan model
Arbitrage

Pricing

Theory

tidak

mempunyai

pengaruh

dalam

memprediksi return saham. Faktor inflasi pada semua saham INDF,
MEDC, UNVR, KLBF, ANTM dan UNTR yang diukur dengan

114
menggunakan model Arbitrage Pricing Theory mempunyai pengaruh
dalam memprediksi return saham.
3. T-hitung untuk INDF, MEDC, UNVR, KLBF, dan ANTM dengan equal
variance assumed masing-masing adalah -1.233, -1.790, -1.233, 1.591, dan -1.647 dengan nilai-p masing-masing 0.220, 0.076, 0.220,
0.114, dan 0.102. Oleh karena nilai-p untuk uji dua sisi (INDF) 0,220/2
> 0,025, (MEDC) 0.076/2 > 0.025, (UNVR) 0.220/2 > 0.025, (KLBF)
0.114/2 > 0.025, dan (ANTM) 0.102/2 > 0.025 maka H0 gagal ditolak,
artinya Expected return capital asset pricing model tidak berbeda
dengan expected return model arbitrage pricing model pada INDF,
MEDC, UNVR, KLBF dan ANTM. Dan pada UNTR dengan equal
variance assumed adalah -2.577 dengan nilai-p 0.011. Oleh karena
nilai-p untuk uji dua sisi 0,011/2 < 0,025 maka H0 ditolak, artinya
Expected return capital asset pricing model berbeda dengan expected
return model arbitrage pricing model pada UNTR.
4. T-hitung dengan equal variance assumed adalah -7.342 dengan nilai-p
0.000. Oleh karena nilai-p untuk uji dua sisi 0,000/2 < 0,025 maka H0
ditolak, artinya Expected return capital asset pricing model berbeda
rata-rata penyimpangan absolut dengan expected return model
arbitrage pricing model. Rata-rata MAD model CAPM dalam
memprediksi return saham industri manufaktur sebesar 0,0278 dengan
standar deviasi 0,00327. Adapun rata-rata MAD model APT dalam
memprediksi return saham industri manufaktur sebesar 1.1816 dengan

115
standar deviasi 0,12492. Secara deskriptif menunjukkan bahwa model
CAPM lebih akurat dibandingkan model APT dalam memprediksi
return saham industri manufaktur.

B. SARAN - SARAN

1. Pendapatan pasar saham dalam penelitian ini mampu menjelaskan
variasi dari pendapatan saham industri manufaktur kecuali pada
saham UNVR, maka disarankan bagi peneliti selanjutnya untuk
meneliti variabel yang dominan sebagai tolak ukur perusahaan dalam
memprediksi return saham perusahaan tersebut.
2. Faktor-faktor makro ekonomi (Inflasi, SBI, dan Kurs) yang diteliti,
hanya Inflasi yang mampu menjelaskan variasi dari pendapatan saham
industri manufaktur. Maka disarankan bagi penelitian selanjutnya untuk
meneliti faktor penyebab apa variabel-variabel (SBI dan Kurs) tersebut
yang membentuk model APT tidak mampu menjelaskan prediksi return
saham perusahaan.
3. Penelitian ini menggunakan model ARIMA (Box-Jenkin). Pada kondisi
nyata tidak semua investor menggunakan model ARIMA untuk
mengestimasi faktor makro ekonomi tersebut. Ada berbagai macam
metode atau cara yang bisa digunakan untuk mengestimasi data time
series faktor makro tersebut, diantaranya adalah metode least square,
smoothing, exponential smoothing, dekomposisi, moving average dll.
Disarankan bagi penelitian selanjutnya untuk meneliti model yang

116
sesuai untuk mencari variabel-veriabel yang dimasukkan dalam model
APT (tingkat bunga yang tidak diharapkan, tingkat inflasi yang tidak
diharapkan dan tingkat pertumbuhan yang tidak diharapkan) adalah
dengan cara mengurangi tingkat bunga aktual, tingkat inflasi aktual
dan tingkat perubahan kurs aktual dengan nilai pengharapan faktorfaktor tersebut. Sehingga hasil dari prediksi faktor makro yang
digunakan dalam pembentukan model APT kemungkinan tidak terjadi
bias dan akurat.

117
DAFTAR PUSTAKA
Arianto, E. 1996. Pengujian Standard CAPM di Bursa Efek Jakarta,
Pengamatan selama periode 1994-1995. Majalah Manajemen,
ISSN: 0216-1400, edisi Sep-Okt 1996. Dapat diakses di
http://strategika.wordpress.com
Bank Indonesia. 2005. Sertifikat Bank Indonesia. www.bi.go.id
Bodie, Kane, Marcus.2001.Essentials Of Investment, Fourth Edition,
McGrawHill.
Brealey, Richard A.Stewart C, Myers. Alan J, Marcus. 2001.
Fundamentals of Corporate Finace. Third Edition.Singapore: Mc
Graw-Hill.
Brigham, E.F., and Gapenski, L.C., 1994. Financial Management Theory
and Practice, 7th ed. The Dryden Press. Florida (page 207).
______. Weston. and Besle. 1996. Modern Portofolio, Elevent Edition,
New York: TheDryden Press.
Cagnetti, A. (2002), “Capital Asset Pricing Model and Arbitrage Pricing
Theory in the Italian Stock Market: An Empirical Study”,
unpublished working paper.
Case, K. E. dan R. C. Fair (1999), Principle of Economics, 5th Edition,
Prentice Hall International, Inc., New Jersey
Chen, N.F., R.Roll and S.Ross (1986), “Economic Forces and the Stock
Market”, Journal of Business, Vol.59, pp.383-403.
Corrado, Charles J. and Jordan, Bradford D. 2000. Fundamentals of
Investment Analisis Fourth Edition.Singapore: Mc Graw-Hill.
E.F. Fama, Risk, Return and Equilibrium: Some Clarifying Comments,
Journal of Finance 23, no.1 (Maret 1968) : 29-40.
Eric H.sorensen, Joseph J.Mezrich, dan chee Thum, “The Salomon
Brother U.S Stock Risk Attribute Model,”Salomon Brother,
NY,Oktober 1989.
Francis, Jack C. (1988), Management of Investment, 2nd ed., International
Editions Financial Series, Singapore: McGraw Hill.

118
Gloria Gonza´lez-Rivera,1998, “Dynamic Asset Pricing and Statistical
Properties of Risk”, Journal of Economics and Business 1998;
50:461–470 0148-6195 © 1998 Elsevier Science Inc., New York,
New York.
Halim, Abdul, (2003), Analisis Investasi, Jilid 1, Edisi Pertama, Salemba
Empat, Jakarta.
Hamdani, Nanang. 1997. Pengaruh Pengumuman Pemecahan Saham
Terhadap Pendapatan Saham. Skripsi, Fakultas Ekonomi
Universitas Airlangga, Surabaya.
Hermanto, B. (1998); Nominal Stock Return Volatility on the Jakarta Stock
Exchange and Changes in Government Policy; Ph.D Disertation,
Department of Accounting and Finance, University of Birmingham,
UK.
Horne, James C. V. and Wachoviz Jr, John M. 1998. Fundamental of
Financial Management 8th ed, New Jersey: Prentice Hall
International.
Jack L.Treynor,”Toward a Theory Of Market Value Risky Asset”, makalah
tidak diterbitkan, Arthur D.Little, Cambridge, MA, 1961.
Jensen. “Risk, The Pricing of Capital Assets and the Evaluation of
Investment Portfolios”. Journal of Business 42 (April 1969), 167247.
Jogiyanto. 2003. Teori Portofolio dan Analisis Investasi. Edisi Tiga.
Yogyakarta: BPFE
Jones, Charles P. 2000. Investment: Analysis and Management, 7th
edition, New York: John Willey and Sons.Inc.
Kandel, S., Stambaugh, R.F., 1996. On The Predictability Of Stock
Returns: An Asset Allocation Perspective. Journal of Finance 51,
385}424.
Laila, Nisful. 1996. Analisis Dampak Penerbitan Right Issue Terhadap
Tingkat Pengembalian Saham (Studi Kasus BEJ) Periode 19941995. Skripsi, Surabaya: Fakultas Ekonomi Universitas Airlangga
Lintner, J. (1965), “The Valuation of Risk Assets and Selection of Risky
Investments in Stock Portfolios and Capital Budgets”, Review of
Economics and Statistics, Vol.47, pp.13-37.

119
Long, J.B. Jr., 1974. Stock prices, inflation, and the term structure of
interest rates. Journal of Financial Economics 1, 131-170.
Manurung, Adler Haymans (1996c); Pengaruh Variabel Makro, Investor
Asing, Bursa yang Telah Maju terhadap Indeks BEJ; Tesis Magister
Ekonomi, Fakultas Pascasarjana, Universitas Indonesia.
Markowitz, H. M., “Portfolio Selection”, Journal of finance, Volume 7 ,1952
Mossin, J. (1966), “Equilibrium in a Capital Market”, Econometrica,
ol.34,pp.768-783.
Reilly, Frank K & Keith C. Brown. 2000. Investment Analysis and Fortofolio
Management, Sixth Edition, New York: The Dryden Press
Ross, S.A., “The Arbitrage Theory of Capital Asset Pricing”, Journal of
Economic Theory, Vol.13, 1976
_____. Westerfield,Randolph W. Jordan, Bradford D. 2003. Fundamentals
of Corporate Finance.Sixth edition. New York: Mc Graw-Hill
Scott, Besley., Eugene F, Bringham. 2000. Essentials of Managerial
Finance, Twelfth Edition. Orlando:Harcourt Inc
Sitorus, Maurin. 2004. Pengaruh Variabel Makroekonomi Terhadap
Kinerja Saham Pertambangan Minyak Dan Gas Bumi Sebagai
Emiten Di Bursa Efek Indonesia. Tesis, Surabaya: Pascasarjana
Universitas Airlangga.
Sharpe, William. 1999. Investment, Sixth Edition. New Jersey: Prentice
Hall.
_____, “Capital Asset Prices: A Theory of Market Equilibrium Under
Conditions of Risk”, Journal of Finance, Vol.19, 1964
_____, Gordon J.Alexander, Jeffery V.Bailey, “INVESTASI”, Edisi keenam
Bahasa Indonesia, Penerbit PT.Indeks Kelompok Gramedia, 2005,
Yakarta.
Syaichu, Mohammad. 2001. Perbandingan Keakuratan Keakuratan
Capital Asset Pricing Model (CAPM) dan Arbitrage Pricing Theory
(APT) dalam Memprediksi Pendapatan Saham Di Bursa Efek
Jakarta, Tesis, Surabaya: Pascasarjana Universitas Airlangga.
Tandelilin, Eduardus, 2001. Analisis Investasi Manajemen Portfolio,
Cetakan Pertama, Yogyakarta: BPFE

120
Widyawati. 1996. Analisis Pengaruh Pengumuman Right Issue Terhadap
Perubahan Harga Saham dan Faktor-Faktor yang Mempengaruhi
Perubahan Harga Saham, Skripsi, Surabaya: .Fakultas Ekonomi
Universitas Airlangga,
Zumainah, Neneng. 1985. Dampak Pengumuman Konversi Waran
Menjadi Saham Biasa Terhadap Pendapatan Abnormal Saham.
Skripsi, Fakultas Ekonomi Universitas Airlangga, Surabaya, 2001.
The Journal of Finance, Vol XL. No. 4 September 1985.

121
LAMPIRAN

122
LAMPIRAN 1.
DAFTAR IHSG DAN HARGA PENUTUPAN SAHAM PERUSAHAAN

TAHUN 2003
Bulan
Jan
Feb
Mar
Apr
Mei
Jun
Jul
Ags
Sept
Okt
Nov
Des

IHSG
388.44
399.22
398.00
450.86
494.77
505.49
507.98
529.67
597.65
625.55
617.08
691.89

INDF
550
575
600
725
875
850
775
675
725
700
675
800

MEDC
1300
1350
1325
1350
1250
1200
1150
1225
1275
1300
1325
1350

UNVR
19400
18200
18000
21000
24500
26700
26600
27800
3350
3225
3175
3625

KLBF
255
285
310
400
550
600
525
600
625
800
800
1000

ANTM
700
800
800
725
825
825
825
850
1050
1150
1225
1925

UNTR
270
290
285
405
525
475
550
495
675
800
900
1250

Sumber : IDX Monthly Statistics, data hasil olahan Ms.Excell

TAHUN 2004
Bulan

IHSG

INDF

MEDC

UNVR

KLBF

ANTM

UNTR

Jan

752.93
761.08
735.67
783.41
732.51
732.40
756.98
754.70
820.13
860.48
977.76
1,000.23

850
850
800
750
700
700
700
675
675
675
750
800

1400
1500
1450
1450
1425
1350
1275
1450
1525
1900
2075
2075

3825
3400
3550
3675
3600
3925
3775
3350
3250
3275
3325
3300

475
480
470
460
370
350
395
95
415
465
625
550

1500
1500
1225
1200
1075
1250
1225
1250
1375
1500
1775
1725

1250
1450
1375
1650
1100
1125
1225
1375
1450
1850
2000
2275

Feb
Mar
Apr
Mei
Jun
Jul
Ags
Sept
Okt
Nov
Des

Sumber : IDX Monthly Statistics, data hasil olahan Ms.Excell

123
TAHUN 2005
Bulan
Jan
Feb
Mar
Apr
Mei
Jun
Jul
Ags
Sept
Okt
Nov
Des

IHSG
1045,43
1073,83
1080,17
1029,61
1088,17
1122,38
1182,30
1050,10
1079,27
1066,22
1096,64
1162,63

INDF
870
930
1160
1020
1200
1100
1090
790
730
820
850
910

MEDC
2600
2450
2450
2575
2575
3775
3200
3325
3625
3525
3325
3375

UNVR
3500
3550
3825
3750
4575
4075
4350
4225
4075
4375
4325
4275

KLBF
690
790
740
720
780
880
900
850
850
850
890
990

ANTM
1780
2100
2200
2100
2300
2400
2400
2175
2575
2575
2725
3600

UNTR
2825
3125
2650
2900
3225
3750
4375
3850
3750
3700
3500
3650

Sumber : IDX Monthly Statistics, data hasil olahan Ms.Excell

TAHUN 2006
Bulan
Jan
Feb
Mar
Apr
Mei
Jun
Jul
Ags
Sept
Okt
Nov
Des

IHSG

INDF

MEDC

UNVR

KLBF

ANTM

UNTR

1232.32
1230.66
1322.97
1464.41
1329.99
1310.26
1351.65
1431.26
1534.62
1582.63
1718.96
1805.52

880
840
890
1130
940
880
1050
1190
1250
1330
1400
1350

3900
4125
4150
4800
3975
3725
3800
3600
3475
3325
3250
3550

4300
4275
4250
4575
4025
4125
4225
4475
4600
4800
6000
6600

1300
1360
1360
1520
1310
1250
1200
1120
1320
1360
1180
1190

4275
4025
4350
5750
4450
4625
5200
5400
5500
6950
7550
8000

3825
3975
4500
5450
5400
5400
5600
5750
6050
6550
6450
6550

Sumber : IDX Monthly Statistics, data hasil olahan Ms.Excell

124
TAHUN 2007
Bulan
Jan
Feb
Mar
Apr
Mei
Jun
Jul
Ags
Sept
Okt
Nov
Des

IHSG

INDF

MEDC

UNVR

KLBF

ANTM

UNTR

1757.26

1690

3425

5850

1300

7800

6750

1740.97

1560

3650

5600

1220

9100

6950

1830.92

1520

3575

5700

1210

11850

7400

1999.17

1640

3525

5650

1260

15600

7900

2084.32

1730

3575

6300

1240

14000

7550

2139.28

2025

3525

6700

1390

12550

8250

2348.67

2000

4275

7500

1490

2700

8600

2194.34

1860

3900

6800

1360

2250

8100

2359.21

1930

4150

6800

1330

2775

8200

2643.49

2200

4675

6650

1360

3350

10950

2688.33

2525

5400

6650

1220

4675

11250

2745.83

2575

5150

6750

1260

4475

10900

Sumber : IDX Monthly Statistics, data hasil olahan Ms.Excell

TAHUN 2008
Bulan
Jan
Feb
Mar
Apr
Mei
Jun
Jul
Ags
Sept
Okt
Nov
Des

IHSG

INDF

MEDC

UNVR

KLBF

ANTM

UNTR

2627.25

2825

4050

6900

1200

3575

13300

2721.94

2925

4125

6800

1050

4100

13250

2447.29

2325

3325

6900

980

3350

12550

2304.51

2275

3925

6800

910

3500

12050

2444.34

2800

5050

6750

880

3250

14450

2349.1

2400

4725

6750

850

3175

12150

2304.5

2275

4600

6900

800

2475

11400

2165.94

2250

4900

7250

750

1890

10350

1832.5

1960

3625

7500

650

1460

9450

1256.7

1090

2100

7450

365

1040

3150

1241.54

970

1850

7700

410

1020

3975

1355.4

930

1870

7800

400

1090

4400

Sumber : IDX Monthly Statistics, data hasil olahan Ms.Excell

125
LAMPIRAN 2.
DAFTAR RETURN IHSG DAN RETURN HARGA PENUTUPAN SAHAM

TAHUN 2003
Bulan

IHSG

INDF

MEDC

UNVR

KLBF

ANTM

UNTR

Jan
Feb
Mar
Apr
Mei
Jun
Jul
Ags
Sept
Okt
Nov
Des

-0.0860

-0.0830

-0.0370

0.0660

-0.0730

0.1670

-0.1150

0.0280

0.0450

0.0380

-0.0620

0.0000

0.1430

0.0740

-0.0030

0.0430

-0.0190

-0.0110

0.0590

0.0000

-0.0170

0.1330

0.2080

0.0190

0.1670

0.3150

-0.0940

0.4210

0.0970

0.2070

-0.0740

0.1670

0.0140

0.1380

0.2960

0.0220

-0.0290

-0.0400

0.0900

-0.0970

0.0000

-0.0950

0.0050

-0.0880

-0.0420

-0.0040

-0.0310

0.0000

0.1580

0.0430

-0.1290

0.0650

0.0450

0.0160

0.0300

-0.1000

0.1280

0.0740

0.0410

-0.8790

0.1560

0.2350

0.3640

0.0470

-0.0340

0.0200

-0.0370

-0.1080

0.0950

0.1850

-0.0140

-0.0360

0.0190

-0.0160

-0.0150

0.0650

0.1250

0.5710

0.3890

0.1210
0.1850
0.0190
0.1420
0.0150
Sumber : IDX Monthly Statistics, data hasil olahan Ms.Excell

TAHUN 2004
BULAN

IHSG

INDF

MEDC

UNVR

KLBF

ANTM

UNTR

Jan
Feb
Mar
Apr
Mei
Jun
Jul
Ags
Sept
Okt
Nov
Des

0.0880

0.0630

0.0370

0.0550

-0.5250

-0.2210

0.0000

0.0110

0.0000

0.0710

-0.1110

0.0110

0.0000

0.1600

-0.0330

-0.0590

-0.0330

0.0440

-0.0210

-0.1830

-0.0520

0.0650

-0.0630

0.0000

0.0350

-0.0210

-0.0200

0.2000

-0.0650

-0.0670

-0.0170

-0.0200

-0.1960

-0.1040

-0.3330

0.0000

0.0000

-0.0530

0.0900

-0.0540

0.1630

0.0230

0.0340

0.0000

-0.0560

-0.0380

0.1290

-0.0200

0.0890

-0.0030

-0.0360

0.1370

-0.1130

-0.7590

0.0200

0.1220

0.0870

0.0000

0.0520

-0.0300

3.3680

0.1000

0.0550

0.0490

0.0000

0.2460

0.0080

0.1200

0.0910

0.2760

0.1360

0.1110

0.0920

0.0150

0.3440

0.1830

0.0810

0.0230

0.0670

0.0000

-0.0080

-0.1200

-0.0280

0.1380

Sumber : IDX Monthly Statistics, data hasil olahan Ms.Excell

126
TAHUN 2005
BULAN

IHSG

INDF

MEDC

UNVR

KLBF

ANTM

UNTR

Jan
Feb
Mar
Apr
Mei
Jun
Jul
Ags
Sept
Okt
Nov
Des

0.0450

0.0880

0.2530

0.0610

0.2550

0.0320

0.2420

0.0270

0.0690

-0.0580

0.0140

0.1450

0.1800

0.1060

0.0060

0.2470

0.0000

0.0770

-0.0630

0.0480

-0.1520

-0.0470

-0.1210

0.0510

-0.0200

-0.0270

-0.0450

0.0940

0.0570

0.1760

0.0000

0.2200

0.0830

0.0950

0.1120

0.0310

-0.0830

0.4660

-0.1090

0.1280

0.0430

0.1630

0.0530

-0.0090

-0.1520

0.0670

0.0230

0.0000

0.1670

-0.0120

-0.2750

0.0390

-0.0290

-0.0560

-0.0940

-0.1200

0.0280

-0.0760

0.0900

-0.0360

0.0000

0.1840

-0.0260

-0.0120

0.1230

-0.0280

0.0740

0.0000

0.0000

-0.0130

0.0290

0.0370

-0.0570

-0.0110

0.0470

0.0580

-0.0540

0.0600

0.0710

0.0150

-0.0120

0.1120

0.3210

0.0430

Sumber : IDX Monthly Statistics, data hasil olahan Ms.Excell

TAHUN 2006
BULAN

IHSG

INDF

MEDC

UNVR

KLBF

ANTM

UNTR

Jan
Feb
Mar
Apr
Mei
Jun
Jul
Ags
Sept
Okt
Nov
Des

0.0600

-0.0330

0.1560

0.0060

0.3130

0.1880

0.0480

-0.0010

-0.0450

0.0580

-0.0060

0.0460

-0.0580

0.0390

0.0750

0.0600

0.0060

-0.0060

0.0000

0.0810

0.1320

0.1070

0.2700

0.1570

0.0760

0.1180

0.3220

0.2110

-0.0920

-0.1680

-0.1720

-0.1200

-0.1380

-0.2260

-0.0090

-0.0150

-0.0640

-0.0630

0.0250

-0.0460

0.0390

0.0000

0.0320

0.1930

0.0200

0.0240

-0.0400

0.1240

0.0370

0.0590

0.1330

-0.0530

0.0590

-0.0670

0.0380

0.0270

0.0720

0.0500

-0.0350

0.0280

0.1790

0.0190

0.0520

0.0310

0.0640

-0.0430

0.0430

0.0300

0.2640

0.0830

0.0860

0.0530

-0.0230

0.2500

-0.1320

0.0860

-0.0150

0.0500

-0.0360

0.0920

0.1000

0.0080

0.0600

0.0160

Sumber : IDX Monthly Statistics, data hasil olahan Ms.Excell

127
TAHUN 2007
BULAN

IHSG

INDF

MEDC

UNVR

KLBF

ANTM

UNTR

Jan
Feb
Mar
Apr
Mei
Jun
Jul
Ags
Sept
Okt
Nov
Des

-0.0270

0.2520

-0.0350

-0.1140

0.0920

-0.0250

0.0310

-0.0090

-0.0770

0.0660

-0.0430

-0.0620

0.1670

0.0300

0.0520

-0.0260

-0.0210

0.0180

-0.0080

0.3020

0.0650

0.0920

0.0790

-0.0140

-0.0090

0.0410

0.3160

0.0680

0.0430

0.0550

0.0140

0.1150

-0.0160

-0.1030

-0.0440

0.0260

0.1710

-0.0140

0.0630

0.1210

-0.1040

0.0930

0.0980

-0.0120

0.2130

0.1190

0.0720

-0.7850

0.0420

-0.0660

-0.0700

-0.0880

-0.0930

-0.0870

-0.1670

-0.0580

0.0750

0.0380

0.0640

0.0000

-0.0220

0.2330

0.0120

0.1200

0.1400

0.1270

-0.0220

0.0230

0.2070

0.3350

0.0170

0.1480

0.1550

0.0000

-0.1030

0.3960

0.0270

0.0210

0.0200

-0.0460

0.0150

0.0330

-0.0430

-0.0310

Sumber : IDX Monthly Statistics, data hasil olahan Ms.Excell

BULAN
Jan
Feb
Mar
Apr
Mei
Jun
Jul
Ags
Sept
Okt
Nov
Des

IHSG

INDF

TAHUN 2008
MEDC UNVR

-0.0430

0.0970

-0.2140

0.0220

-0.0480

-0.2010

0.2200

0.0360

0.0350

0.0190

-0.0140

-0.1250

0.1470

-0.0040

-0.1010

-0.2050

-0.1940

0.0150

-0.0670

-0.1830

-0.0530

-0.0580

-0.0220

0.1800

-0.0140

-0.0710

0.0450

-0.0400

0.0610

0.2310

0.2870

-0.0070

-0.0330

-0.0710

0.1990

-0.0390

-0.1430

-0.0640

0.0000

-0.0340

-0.0230

-0.1590

-0.0190

-0.0520

-0.0260

0.0220

-0.0590

-0.2200

-0.0620

-0.0600

-0.0110

0.0650

0.0510

-0.0630

-0.2360

-0.0920

-0.1540

-0.1290

-0.2600

0.0340

-0.1330

-0.2280

-0.0870

-0.3140

-0.4440

-0.4210

-0.0070

-0.4380

-0.2880

-0.6670

-0.0120

-0.1100

-0.1190

0.0340

0.1230

-0.0190

0.2620

0.0920

-0.0410

0.0110

0.0130

-0.0240

0.0690

0.1070

KLBF

ANTM

UNTR

Sumber : IDX Monthly Statistics, data hasil olahan Ms.Excell

128
LAMPIRAN 3.
Market Capitalization dan proporsi

Bulan
Jan
Feb
Mar
Apr
Mei
Jun
Jul
Ags
Sept
Okt
Nov
Des

INDF

W1

MEDC

W2

UNVR

TAHUN 2003
W3
KLBF

W4

ANTM

W5

UNTR

W6

Total

5,396,318

0.24039

4,332,187

0.19298

9,931,910

0.44243

1,035,504

0.04613

1,335,384

0.05949

417,312

0.01859

22,448,615

5,396,318

0.20051

4,498,809

0.16716

13,886,600

0.51597

1,157,328

0.04300

1,526,154

0.05671

448,224

0.01665

26,913,433

5,630,940

0.20851

4,415,498

0.16350

13,734,000

0.50855

1,258,848

0.04661

1,526,154

0.05651

440,496

0.01631

27,005,936

6,804,053

0.21977

4,498,809

0.14531

16,023,000

0.51755

1,624,320

0.05247

1,383,077

0.04467

625,968

0.02022

30,959,227

8,212,897

0.23011

4,165,564

0.11671

18,693,500

0.52376

2,233,440

0.06258

1,573,846

0.04410

811,498

0.02274

35,690,745

8,026,779

0.21610

3,998,942

0.10766

20,372,100

0.54847

2,436,480

0.06560

1,573,846

0.04237

735,606

0.01980

37,143,753

7,318,534

0.20325

3,832,319

0.10643

20,295,800

0.56366

2,131,920

0.05921

1,573,846

0.04371

854,984

0.02374

36,007,403

7,415,534

0.20308

3,322,154

0.09098

21,195,250

0.58045

2,132,120

0.05839

1,569,898

0.04299

879,989

0.02410

36,514,945

6,846,370

0.16203

4,248,876

0.10056

25,560,500

0.60493

2,538,000

0.06007

2,003,077

0.04741

1,056,907

0.02501

42,253,730

6,545.120

0.00021

4,322.00

0.00014

25,668,995

0.81248

2,446,121

0.07743

2,221,569

0.07032

1,245,685

0.03943

31,593,237

6,374,207

0.15171

4,415,498

0.10509

24,225,250

0.57659

3,248,640

0.07732

2,336,923

0.05562

1,413,853

0.03365

42,014,371

7,554,616

0.15289

4,498,809

0.09105

27,658,750

0.55976

4,060,800

0.08218

3,672,307

0.07432

1,966,436

0.03980

49,411,718

Sumber : IDX Monthly Statistics, data hasil olahan Ms.Excell
Bulan
Jan
Feb
Mar
Apr
Mei
Jun
Jul
Ags
Sept
Okt
Nov
Des

UNVR

TAHUN 2004
W3
KLBF

8,026,779

0.15875

4,665,432

0.09227

29,184,750

0.57720

3,857,760

0.07630

2,861,538

0.05659

1,966,544

0.03889

50,562,803

8,026,809

0.16719

4,998,677

0.10412

25,942,000

0.54035

3,898,368

0.08120

2,861,538

0.05960

2,282,046

0.04753

48,009,438

7,554,644

0.15808

4,832,055

0.10111

27,086,500

0.56676

3,817,152

0.07987

2,336,923

0.04890

2,164,218

0.04528

47,791,492

7,082,481

0.14580

4,832,055

0.09947

28,040,250

0.57722

3,735,936

0.07691

2,289,230

0.04712

2,597,951

0.05348

48,577,903

6,610,932

0.14492

4,748,743

0.10410

27,468,000

0.60213

3,004,992

0.06587

2,050,769

0.04496

1,734,636

0.03803

45,618,072

6,610,932

0.13361

4,498,809

0.09093

29,947,750

0.60527

2,842,560

0.05745

2,384,615

0.04820

3,193,342

0.06454

49,478,008

6,610,932

0.13578

4,248,876

0.08727

28,803,250

0.59159

3,208,032

0.06589

2,336,923

0.04800

3,479,814

0.07147

48,687,827

6,374,828

0.13778

4,832,055

0.10444

25,560,500

0.55244

3,208,032

0.06934

2,384,615

0.05154

3,908,275

0.08447

46,268,305

6,374,828

0.13747

5,081,988

0.10959

24,797,500

0.53476

3,370,464

0.07268

2,623,076

0.05657

4,123,697

0.08893

46,371,553

6,374,828

0.12854

6,331,658

0.12767

24,988,250

0.50384

3,776,544

0.07615

2,861,538

0.05770

5,262,751

0.10611

49,595,569

7,083,142

0.13235

6,914,837

0.12920

25,369,750

0.47403

5,076,000

0.09484

3,386,153

0.06327

5,689,936

0.10631

53,519,818

7,555,351

0.14021

6,914,837

0.12832

25,179,000

0.46725

4,466,880

0.08289

3,290,769

0.06107

6,480,447

0.12026

53,887,284

INDF

W1

MEDC

W2

Sumber : IDX Monthly Statistics, data hasil olahan Ms.Excell

130

W4

ANTM

W5

UNTR

W6

Total
Bulan
Jan
Feb
Mar
Apr
Mei
Jun
Jul
Ags
Sept
Okt
Nov
Des

W2

UNVR

TAHUN 2005
W3
KLBF

W4

ANTM

W5

W6

Total

8,216,444

0.13518

8,664,374

0.14255

26,705,000

0.43937

5,603,904

0.09220

3,471,999

0.05712

8,119,173

0.13358

60,780,894

9,112,336

0.14267

8,164,506

0.12783

27,889,250

0.43664

5,985,556

0.09371

4,101,538

0.06422

8,618,695

0.13494

63,871,881

10,955,259

0.16400

8,164,506

0.12223

29,184,750

0.43691

6,009,984

0.08997

4,292,307

0.06426

8,191,922

0.12264

66,798,728

9,633,073

0.14790

8,581,062

0.13174

28,612,500

0.43928

5,847,552

0.08978

4,053,845

0.06224

8,406,354

0.12906

65,134,386

11,333,027

0.14740

10,497,222

0.13653

34,907,250

0.45400

6,334,848

0.08239

4,483,076

0.05831

9,333,161

0.12139

76,888,584

10,388,608

0.13597

12,580,004

0.16465

31,092,250

0.40694

7,147,008

0.09354

4,578,461

0.05992

10,618,746

0.13898

76,405,077

10,294,166

0.13068

10,663,845

0.13537

33,190,500

0.42134

7,309,440

0.09279

4,626,153

0.05873

12,689,660

0.16109

78,773,764

9,675,552

0.12507

10,693,950

0.13823

32,998,250

0.42654

6,998,540

0.09046

3,998,950

0.05169

12,996,850

0.16800

77,362,092

9,675,982

0.13049

10,993,222

0.14825

31,898,950

0.43018

6,568,948

0.08859

3,898,959

0.05258

11,116,858

0.14992

74,152,919

8,216,444

0.11533

10,497,222

0.14734

31,092,250

0.43643

6,334,848

0.08892

4,483,076

0.06293

10,618,746

0.14905

71,242,586

8,027,561

0.10698

11,080,401

0.14766

32,999,750

0.43977

7,228,224

0.09633

5,436,922

0.07245

10,265,793

0.13681

75,038,651

8,594,212

0.10768

11,247,024

0.14092

32,618,250

0.40868

10,054,454

0.12597

6,819,999

0.08545

10,479,663

0.13130

79,813,602

INDF

W1

MEDC

Sumber : IDX Monthly Statistics, data hasil olahan Ms.Excell

131

UNTR
Bulan
Jan
Feb
Mar
Apr
May
Jun
Jul
Aug
Sep
Oct
Nov
Dec

INDF

Tahun 2006
W3
KLBF

W1

MEDC

W2

UNVR

W5

UNTR

W6

8,310,886

0.0962

12,996,561

0.15045

32,809,000

0.37981

13,202,819

0.15284

8,155,383

0.09441

10,907,405

0.12627

86,382,054

7,933,119

0.0911

13,746,362

0.15778

32,618,250

0.37439

13,812,180

0.15854

7,678,460

0.08813

11,335,146

0.13010

87,123,517

8,405,328

0.0938

13,829,674

0.15434

32,427,500

0.36189

13,812,180

0.15414

8,298,460

0.09261

12,832,241

0.14321

89,605,383

10,672,934

0.1031

15,995,767

0.15451

34,907,250

0.33719

15,437,142

0.14912

10,969,229

0.10596

15,541,270

0.15012

103,523,592

8,877,538

0.0986

13,246,495

0.14714

30,710,750

0.34113

13,304,379

0.14778

8,489,229

0.09430

15,398,689

0.17105

90,027,080

8,310,886

0.0933

12,413,382

0.13930

31,473,750

0.35318

12,695,018

0.14246

8,823,075

0.09901

15,398,689

0.17280

89,114,800

9,919,998

0.1068

12,663,316

0.13632

32,236,750

0.34703

12,187,217

0.13120

9,916,398

0.10675

15,969,011

0.17191

92,892,690

11,238,585

0.1177

11,996,825

0.12568

34,144,250

0.35771

11,374,736

0.11917

10,301,537

0.10792

16,396,752

0.17178

95,452,685

11,805,236

0.1185

11,580,269

0.11623

35,098,000

0.35227

13,405,939

0.13455

10,492,306

0.10531

17,252,235

0.17316

99,633,985

12,560,771

0.1185

11,080,401

0.10452

36,624,000

0.34546

13,812,180

0.13029

13,258,459

0.12506

18,678,040

0.17618

106,013,851

13,221,865

0.1154

10,830,467

0.09450

45,780,000

0.39943

11,984,097

0.10456

14,403,074

0.12567

18,392,879

0.16048

114,612,382

12,749,655

0.1054

11,830,203

0.09780

50,358,000

0.41631

12,085,657

0.09991

15,261,536

0.12617

18,678,040

0.15441

120,963,091

Sumber : IDX Monthly Statistics, data hasil olahan Ms.Excell

132

W4

ANTM

Total
Bulan
Jan
Feb
Mar
Apr
Mei
Jun
Jul
Ags
Sept
Okt
Nov
Des

Tahun 2007
W3
KLBF

INDF

W1

MEDC

W2

UNVR

W4

ANTM

W5

UNTR

W6

15,960,679

0.13374

11,413,646

0.09564

44,635,500

0.37402

13,202,819

0.11063

14,879,997

0.12468

19,248,361

0.16129

119,341,002

14,732,935

0.12361

12,163,448

0.10205

42,728,000

0.35848

12,390,338

0.10395

17,359,997

0.14565

19,818,683

0.16627

119,193,401

14,355,167

0.11415

11,913,514

0.09473

43,491,000

0.34583

12,288,777

0.09772

22,606,150

0.17976

21,101,907

0.16780

125,756,515

15,488,470

0.11437

11,746,891

0.08674

43,109,500

0.31832

12,796,578

0.09449

29,759,994

0.21975

22,527,712

0.16634

135,429,145

16,338,447

0.11913

11,913,514

0.08686

48,069,000

0.35048

12,593,458

0.09182

26,707,687

0.19473

21,529,649

0.15698

137,151,755

19,124,483

0.13320

11,746,891

0.08182

51,121,000

0.35605

14,116,860

0.09832

23,941,534

0.16675

23,525,775

0.16386

143,576,543

18,888,378

0.12096

14,246,230

0.09123

57,606,500

0.36891

15,132,461

0.09691

25,753,841

0.16493

24,523,838

0.15705

156,151,248

17,566,192

0.12474

12,996,561

0.09229

51,884,000

0.36845

13,812,180

0.09808

21,461,534

0.15241

23,098,034

0.16403

140,818,501

18,227,285

0.12374

13,829,674

0.09389

51,884,000

0.35223

13,507,499

0.09170

26,469,226

0.17969

23,383,195

0.15874

147,300,879

20,777,216

0.12662

15,579,211

0.09494

50,739,500

0.30922

13,812,180

0.08418

31,953,840

0.19474

31,225,120

0.19030

164,087,067

23,846,577

0.13128

17,995,238

0.09907

50,739,500

0.27933

12,390,338

0.06821

44,592,299

0.24549

32,080,602

0.17661

181,644,554

24,318,787

0.13545

17,162,125

0.09559

51,502,500

0.28685

12,796,578

0.07127

42,684,607

0.23773

31,082,539

0.17312

179,547,136

Sumber : IDX Monthly Statistics, data hasil olahan Ms.Excell

133

Total
Bulan
Jan
Feb
Mar
Apr
Mei
Jun
Jul
Ags
Sept
Okt
Nov
Des

INDF

W1

MEDC

W2

UNVR

Tahun 2008
W3
KLBF

W4

ANTM

W5

UNTR

W6

Total

26,679,834

0.15070

13,496,428

0.07624

52,647,000

0.29738

12,187,217

0.06884

34,099,994

0.19262

37,926,401

0.21423

177,036,874

27,624,253

0.15278

13,746,362

0.07603

51,884,000

0.28695

10,663,815

0.05898

39,107,685

0.21629

37,783,821

0.20897

180,809,936

21,957,739

0.12183

11,080,401

0.06148

52,647,000

0.29210

9,952,894

0.05522

31,953,840

0.17729

52,647,000

0.29210

180,238,874

21,485,530

0.13146

13,079,872

0.08003

51,884,000

0.31745

9,241,973

0.05655

33,384,609

0.20426

34,361,890

0.21024

163,437,874

26,443,729

0.15032

16,828,880

0.09566

51,502,500

0.29276

8,937,293

0.05080

30,999,994

0.17622

41,205,751

0.23423

175,918,147

22,666,054

0.13865

15,745,833

0.09632

51,502,500

0.31504

8,632,612

0.05281

30,284,610

0.18525

34,647,051

0.21194

163,478,660

21,485,530

0.13979

15,329,277

0.09973

52,647,000

0.34252

8,124,812

0.05286

23,607,688

0.15359

32,508,344

0.21150

153,702,651

21,249,425

0.14352

16,329,012

0.11029

55,317,500

0.37363

7,617,011

0.05145

18,027,689

0.12176

29,514,154

0.19935

148,054,791

18,510,610

0.13242

12,080,137

0.08642

57,225,000

0.40939

6,601,409

0.04723

13,926,151

0.09963

31,438,990

0.22491

139,782,297

9,570,665

0.09814

6,998,148

0.07176

56,843,500

0.58290

3,706,945

0.03801

9,919,998

0.10172

10,479,663

0.10746

97,518,919

8,517,014

0.08470

6,165,035

0.06131

58,751,000

0.58429

4,163,966

0.04141

9,729,229

0.09676

13,224,330

0.13152

100,550,574

8,165,797

0.07927

6,231,684

0.06050

59,514,000

0.57775

4,062,406

0.03944

10,396,921

0.10093

14,638,260

0.14211

103,009,068

Sumber : IDX Monthly Statistics, data hasil olahan Ms.Excell

134
LAMPIRAN 4.
DATA PROPORSI (W), RESIKO PERUSAHAAN (R), DAN PENGHITUNGAN Rm
TAHUN 2003
INDF
Bulan
Jan
Feb

W1

MEDC

R1

Rm

0.240

0.322

0.077

0.201

0.322

0.065

Mar

0.209

0.322

Apr

0.220

0.322

Mei

0.230

Jun
Jul

W2

UNVR

R2

Rm

0.193

0.53

0.167

0.53

0.067

0.164

0.071

0.145

0.322

0.074

0.216

0.322

0.203

0.322

Ags

0.203

Sept
Okt

KLBF

ANTM

UNTR

W3

R3

Rm

W4

R4

Rm

W5

R5

Rm

W6

0.102

0.442

-0.025

-0.011

0.046

-0.081

-0.004

0.059

-0.061

-0.004

0.089

0.516

-0.025

-0.013

0.043

-0.081

-0.003

0.057

-0.061

-0.003

0.53

0.087

0.509

-0.025

-0.013

0.047

-0.081

-0.004

0.057

-0.061

0.53

0.077

0.518

-0.025

-0.013

0.052

-0.081

-0.004

0.447

-0.061

0.117

0.53

0.062

0.524

-0.025

-0.013

0.063

-0.081

-0.005

0.044

0.070

0.108

0.53

0.057

0.548

-0.025

-0.014

0.066

-0.081

-0.005

0.065

0.106

0.53

0.056

0.564

-0.025

-0.014

0.059

-0.081

-0.005

0.322

0.065

0.091

0.53

0.048

0.580

-0.025

-0.015

0.058

-0.081

0.162

0.322

0.052

0.101

0.53

0.053

0.605

-0.025

-0.015

0.060

0.000

0.322

0.000

0.000

0.53

0.000

0.812

-0.025

-0.020

0.077

Nov

0.152

0.322

0.049

0.105

0.53

0.056

0.577

-0.025

-0.014

Des

0.153

0.322

0.049

0.091

0.53

0.048

0.560

-0.025

-0.014

Sumber : IDX Monthly Statistics, data hasil olahan Ms.Excell

135

R6

Rm

0.019

0.154

0.003

0.017

0.154

0.003

-0.003

0.016

0.154

0.003

-0.027

0.020

0.154

0.003

-0.061

-0.003

0.023

0.154

0.004

0.042

-0.061

-0.003

0.020

0.154

0.003

0.044

-0.061

-0.003

0.024

0.154

0.004

-0.005

0.043

-0.061

-0.003

0.024

0.154

0.004

-0.081

-0.005

0.047

-0.061

-0.003

0.025

0.154

0.004

-0.081

-0.006

0.070

-0.061

-0.004

0.039

0.154

0.006

0.077

-0.081

-0.006

0.056

-0.061

-0.003

0.034

0.154

0.005

0.082

-0.081

-0.007

0.074

-0.061

-0.005

0.040

0.154

0.006
TAHUN 2004
INDF
Bulan
Jan

W1

MEDC

R1

Rm

0.159

0.562

0.089

Feb

0.167

0.562

Mar

0.158

Apr

0.146

Mei
Jun
Jul

W2

UNVR

R2

Rm

0.092

0.083

0.008

0.094

0.104

0.083

0.562

0.089

0.101

0.562

0.082

0.099

0.145

0.562

0.081

0.134

0.562

0.136

0.562

Ags

0.138

Sept

0.137

Okt
Nov
Des

W3

KLBF

R6

Rm

0.577

0.191

0.110

0.076

0.02

0.002

0.057

-0.045

-0.003

0.039

0.128

0.005

0.009

0.540

0.191

0.103

0.081

0.02

0.002

0.060

-0.045

-0.003

0.048

0.128

0.006

0.083

0.008

0.567

0.191

0.108

0.080

0.02

0.002

0.049

-0.045

-0.002

0.045

0.128

0.006

0.083

0.008

0.577

0.191

0.110

0.077

0.02

0.002

0.047

-0.045

-0.002

0.053

0.128

0.007

0.104

0.083

0.009

0.602

0.191

0.115

0.066

0.02

0.001

0.045

-0.045

-0.002

0.038

0.128

0.005

0.075

0.091

0.083

0.008

0.605

0.191

0.116

0.057

0.02

0.001

0.048

-0.045

-0.002

0.065

0.128

0.008

0.076

0.087

0.083

0.007

0.592

0.191

0.113

0.066

0.02

0.001

0.048

-0.045

-0.002

0.071

0.128

0.009

0.562

0.077

0.104

0.083

0.009

0.552

0.191

0.106

0.069

0.02

0.001

0.052

-0.045

-0.002

0.084

0.128

0.011

0.562

0.077

0.110

0.083

0.009

0.535

0.191

0.102

0.073

0.02

0.001

0.057

-0.045

-0.003

0.089

0.128

0.011

0.129

0.562

0.072

0.128

0.083

0.011

0.504

0.191

0.096

0.076

0.02

0.002

0.058

-0.045

-0.003

0.106

0.128

0.014

0.132

0.562

0.074

0.129

0.083

0.011

0.474

0.191

0.091

0.948

0.02

0.019

0.063

-0.045

-0.003

0.106

0.128

0.014

0.140

0.562

0.079

0.128

0.083

0.011

0.467

0.191

0.089

0.083

0.02

0.002

0.061

-0.045

-0.003

0.120

0.128

0.015

136

R4

Rm

W5

UNTR

Rm

Sumber : IDX Monthly Statistics, data hasil olahan Ms.Excell

W4

ANTM

R3

R5

Rm

W6
TAHUN 2005
INDF

MEDC
R2

UNVR
Rm

W3

R3

KLBF

UNTR

Bulan
Jan

W1

R1

Rm

W2

Rm

W4

Rm

W5

Rm

W6

0.135

-0.04

-0.005

0.143

0.003

0.00043

0.439

0.156

0.069

0.092

0.145

0.013

0.057

0.149

0.009

0.134

0.005

0.001

Feb

0.143

-0.04

-0.006

0.128

0.003

0.00038

0.437

0.156

0.068

0.094

0.145

0.014

0.064

0.149

0.010

0.135

0.005

0.001

Mar

0.164

-0.04

-0.007

0.122

0.003

0.00037

0.437

0.156

0.068

0.090

0.145

0.013

0.064

0.149

0.010

0.123

0.005

0.001

Apr

0.148

-0.04

-0.006

0.132

0.003

0.00040

0.439

0.156

0.069

0.090

0.145

0.013

0.062

0.149

0.009

0.129

0.005

0.001

Mei

0.147

-0.04

-0.006

0.137

0.003

0.00041

0.454

0.156

0.071

0.082

0.145

0.012

0.058

0.149

0.009

0.121

0.005

0.001

Jun

0.136

-0.04

-0.005

0.165

0.003

0.00049

0.407

0.156

0.063

0.094

0.145

0.014

0.060

0.149

0.009

0.139

0.005

0.001

Jul

0.131

-0.04

-0.005

0.135

0.003

0.00041

0.421

0.156

0.066

0.093

0.145

0.013

0.059

0.149

0.009

0.161

0.005

0.001

Ags

0.125

-0.04

-0.005

0.138

0.003

0.00041

0.427

0.156

0.067

0.090

0.145

0.013

0.052

0.149

0.008

0.168

0.005

0.001

Sept

0.130

-0.04

-0.005

0.148

0.003

0.00044

0.430

0.156

0.067

0.089

0.145

0.013

0.053

0.149

0.008

0.150

0.005

0.001

Okt

0.115

-0.04

-0.005

0.147

0.003

0.00044

0.436

0.156

0.068

0.089

0.145

0.013

0.063

0.149

0.009

0.149

0.005

0.001

Nov

0.107

-0.04

-0.004

0.148

0.003

0.00044

0.440

0.156

0.069

0.096

0.145

0.014

0.072

0.149

0.011

0.137

0.005

0.001

Des

0.108

-0.04

-0.004

0.141

0.003

0.00042

0.409

0.156

0.064

0.126

0.145

0.018

0.085

0.149

0.013

0.131

0.005

0.001

Sumber : IDX Monthly Statistics, data hasil olahan Ms.Excell

137

R4

ANTM
R5

R6

Rm
Tahun 2006
INDF

MEDC

UNVR

KLBF

W1

R1

Rm

W2

R2

Rm

W3

R3

Rm

W5

R5

Rm

W6

R6

Rm

Jan

0.096

0.159

0.015

0.150

-0.042

-0.006

0.380

0.481

0.183

0.153

0.206

0.0315

0.094

-0.11

-0.010

0.126

0.308

0.039

Feb

0.091

0.159

0.014

0.158

-0.042

-0.007

0.374

0.481

0.180

0.159

0.206

0.0327

0.088

-0.11

-0.010

0.130

0.308

0.040

Mar

0.094

0.159

0.015

0.154

-0.042

-0.006

0.362

0.481

0.174

0.154

0.206

0.0318

0.093

-0.11

-0.010

0.143

0.308

0.044

Apr

0.103

0.159

0.016

0.155

-0.042

-0.006

0.337

0.481

0.162

0.149

0.206

0.0307

0.106

-0.11

-0.012

0.150

0.308

0.046

May

0.099

0.159

0.016

0.147

-0.042

-0.006

0.341

0.481

0.164

0.148

0.206

0.0304

0.094

-0.11

-0.010

0.171

0.308

0.053

Jun

0.093

0.159

0.015

0.139

-0.042

-0.006

0.353

0.481

0.170

0.142

0.206

0.0293

0.099

-0.11

-0.011

0.173

0.308

0.053

Jul

0.107

0.159

0.017

0.136

-0.042

-0.006

0.347

0.481

0.167

0.131

0.206

0.0270

0.107

-0.11

-0.012

0.172

0.308

0.053

Aug

0.118

0.159

0.019

0.126

-0.042

-0.005

0.358

0.481

0.172

0.119

0.206

0.0245

0.108

-0.11

-0.012

0.172

0.308

0.053

Sep

0.119

0.159

0.019

0.116

-0.042

-0.005

0.352

0.481

0.169

0.135

0.206

0.0277

0.105

-0.11

-0.012

0.173

0.308

0.053

Oct

0.119

0.159

0.019

0.105

-0.042

-0.004

0.345

0.481

0.166

0.130

0.206

0.0268

0.125

-0.11

-0.014

0.176

0.308

0.054

Nov

0.115

0.159

0.018

0.095

-0.042

-0.004

0.399

0.481

0.192

0.105

0.206

0.0215

0.126

-0.11

-0.014

0.160

0.308

0.049

Dec

0.105

0.159

0.017

0.098

-0.042

-0.004

0.416

0.481

0.200

0.100

0.206

0.0206

0.126

-0.11

-0.014

0.154

0.308

0.048

138

R4

Rm

UNTR

Bulan

Sumber : IDX Monthly Statistics, data hasil olahan Ms.Excell

W4

ANTM
Tahun 2007
INDF
R1

MEDC
Rm

W2

UNVR
W3

R3

KLBF

UNTR

Bulan

W1

R2

Rm

Rm

W4

Rm

W5

Rm

W6

Jan

0.134

-0.178

-0.024

0.096

0.242

0.023

0.374

0.329

0.123

0.111

0.399

0.044

0.125

0.081

0.010

0.161

0.178

0.029

Feb

0.124

-0.178

-0.022

0.102

0.242

0.025

0.358

0.329

0.118

0.104

0.399

0.041

0.146

0.081

0.012

0.166

0.178

0.030

Mar

0.114

-0.178

-0.020

0.095

0.242

0.023

0.346

0.329

0.114

0.098

0.399

0.039

0.180

0.081

0.015

0.168

0.178

0.030

Apr

0.114

-0.178

-0.020

0.087

0.242

0.021

0.318

0.329

0.105

0.094

0.399

0.038

0.220

0.081

0.018

0.166

0.178

0.030

Mei

0.119

-0.178

-0.021

0.087

0.242

0.021

0.350

0.329

0.115

0.092

0.399

0.037

0.195

0.081

0.016

0.157

0.178

0.028

Jun

0.133

-0.178

-0.024

0.082

0.242

0.020

0.356

0.329

0.117

0.098

0.399

0.039

0.167

0.081

0.014

0.164

0.178

0.029

Jul

0.121

-0.178

-0.022

0.091

0.242

0.022

0.369

0.329

0.121

0.097

0.399

0.039

0.165

0.081

0.013

0.157

0.178

0.028

Ags

0.125

-0.178

-0.022

0.092

0.242

0.022

0.368

0.329

0.121

0.098

0.399

0.039

0.152

0.081

0.012

0.164

0.178

0.029

Sept

0.124

-0.178

-0.022

0.094

0.242

0.023

0.352

0.329

0.116

0.092

0.399

0.037

0.180

0.081

0.015

0.159

0.178

0.028

Okt

0.127

-0.178

-0.023

0.095

0.242

0.023

0.309

0.329

0.102

0.084

0.399

0.034

0.195

0.081

0.016

0.190

0.178

0.034

Nov

0.131

-0.178

-0.023

0.099

0.242

0.024

0.279

0.329

0.092

0.068

0.399

0.027

0.245

0.081

0.020

0.177

0.178

0.031

Des

0.135

-0.178

-0.024

0.096

0.242

0.023

0.287

0.329

0.094

0.071

0.399

0.028

0.238

0.081

0.019

0.173

0.178

0.031

Sumber : IDX Monthly Statistics, data hasil olahan Ms.Excell

139

R4

ANTM
R5

R6

Rm
Tahun 2008
INDF
R1

MEDC
R2

UNVR
R3

KLBF

UNTR

Bulan

W1

Rm

W2

Rm

W3

Rm

W4

Rm

W5

Rm

W6

Jan

0.151

0.276

0.042

0.076

0.044

0.003

0.297

0.569

0.169

0.069

0.223

0.015

0.193

0.319

0.061

0.214

-0.008

-0.0017

Feb

0.153

0.276

0.042

0.076

0.044

0.003

0.287

0.569

0.163

0.059

0.223

0.013

0.216

0.319

0.069

0.209

-0.008

-0.0017

Mar

0.122

0.276

0.034

0.061

0.044

0.003

0.292

0.569

0.166

0.055

0.223

0.012

0.177

0.319

0.057

0.292

-0.008

-0.0023

Apr

0.131

0.276

0.036

0.080

0.044

0.004

0.317

0.569

0.181

0.057

0.223

0.013

0.204

0.319

0.065

0.210

-0.008

-0.0017

Mei

0.150

0.276

0.041

0.096

0.044

0.004

0.293

0.569

0.167

0.051

0.223

0.011

0.176

0.319

0.056

0.234

-0.008

-0.0019

Jun

0.139

0.276

0.038

0.096

0.044

0.004

0.315

0.569

0.179

0.053

0.223

0.012

0.185

0.319

0.059

0.212

-0.008

-0.0017

Jul

0.140

0.276

0.039

0.100

0.044

0.004

0.343

0.569

0.195

0.053

0.223

0.012

0.154

0.319

0.049

0.212

-0.008

-0.0017

Ags

0.144

0.276

0.040

0.110

0.044

0.005

0.374

0.569

0.213

0.051

0.223

0.011

0.122

0.319

0.039

0.199

-0.008

-0.0016

Sept

0.132

0.276

0.037

0.086

0.044

0.004

0.409

0.569

0.233

0.047

0.223

0.011

0.100

0.319

0.032

0.225

-0.008

-0.0018

Okt

0.198

0.276

0.055

0.072

0.044

0.003

0.583

0.569

0.332

0.038

0.223

0.008

0.102

0.319

0.032

0.107

-0.008

-0.0009

Nov

0.085

0.276

0.023

0.061

0.044

0.003

0.584

0.569

0.332

0.041

0.223

0.009

0.097

0.319

0.031

0.132

-0.008

-0.0011

Des

0.079

0.276

0.022

0.061

0.044

0.003

0.578

0.569

0.329

0.039

0.223

0.009

0.101

0.319

0.032

0.142

-0.008

-0.0011

Sumber : IDX Monthly Statistics, data hasil olahan Ms.Excell

140

R4

ANTM
R5

R6

Rm
LAMPIRAN 5.
DATA Rf, Rm, DAN PENGHITUNGAN PREMI RISIKO PASAR (Rm – Rf)

TAHUN 2003
INDF
Bulan

MEDC

Rf

Rm

Jan

0.000

0.077

0.077

0.000

Feb

-0.035

0.065

0.100

-0.035

Mar

-0.069

0.067

(Rm - Rf)

0.136

Rf

-0.069

Apr

-0.030

0.071

0.101

-0.030

Mei

-0.056

0.074

0.130

-0.056

Jun

-0.087

0.070

0.157

-0.087

Jul

-0.045

0.065

0.111

-0.045

Ags

-0.021

0.065

0.086

-0.021

Sept

-0.028

0.052

0.080

-0.028

Okt

-0.021

0.000

0.021

-0.021

Nov
Des

0.001
-0.021

0.049
0.049

0.048
0.070

0.001
-0.021

Rm
0.102
0.089
0.087
0.077
0.062
0.057
0.056
0.048
0.053
0.000
0.056
0.048

UNVR
(Rm - Rf)

Rf

Rm

0.102

0.000

-0.011

0.124

-0.035

-0.013

0.155

-0.069

0.107
0.118

KLBF
(Rm - Rf)

Rf

Rm

-0.011

0.000

-0.004

0.023

-0.035

-0.003

-0.013

0.056

-0.069

-0.030

-0.013

0.017

-0.056

-0.013

0.043

0.144

-0.087

-0.014

0.102

-0.045

0.069

-0.021

0.081
0.021

ANTM
Rf

Rm

-0.004

0.000

-0.004

0.032

-0.035

-0.003

-0.004

0.065

-0.069

-0.030

-0.004

0.026

-0.056

-0.005

0.051

0.073

-0.087

-0.005

-0.014

0.031

-0.045

-0.015

0.006

-0.021

-0.028

-0.015

0.013

-0.021

-0.020

0.000

0.055

0.001

-0.014

0.069

-0.021

-0.014

UNTR
Rf

Rm

-0.004

0.000

0.003

0.003

0.032

-0.035

0.003

0.038

-0.003

0.065

-0.069

0.003

0.071

-0.030

-0.027

0.003

-0.030

0.003

0.033

-0.056

-0.003

0.053

-0.056

0.004

0.060

0.082

-0.087

-0.003

0.085

-0.087

0.003

0.090

-0.005

0.040

-0.045

-0.003

0.042

-0.045

0.004

0.049

-0.005

0.016

-0.021

-0.003

0.018

-0.021

0.004

0.025

-0.028

-0.005

0.023

-0.028

-0.003

0.025

-0.028

0.004

0.032

-0.021

-0.006

0.015

-0.021

-0.004

0.016

-0.021

0.006

0.027

-0.016

0.001

-0.006

-0.007

0.001

-0.003

-0.005

0.001

0.005

0.004

0.007

-0.021

-0.007

0.015

-0.021

-0.005

0.017

-0.021

0.006

0.027

Sumber : IDX Monthly Statistics, data hasil olahan Ms.Excell

141

(Rm - Rf)

(Rm - Rf)

(Rm - Rf)
TAHUN 2004
INDF
Bulan

Rf

Jan

0.000

Feb

-0.048

Mar

-0.008

Apr

-0.012

Mei

-0.001

Jun

0.003

Jul

0.003

Ags

0.001

Sept

0.003

Okt

0.003

Nov
Des

0.000
0.003

Rm
0.089
0.094
0.089
0.082
0.081
0.075
0.076
0.077
0.077
0.072
0.074
0.079

MEDC
(Rm - Rf)

Rf

0.089

0.000

0.142

-0.048

0.097

-0.008

0.094

-0.012

0.083

-0.001

0.072

0.003

0.074

0.003

0.076

0.001

0.075

0.003

0.070

0.003

0.074
0.076

0.000
0.003

Rm
0.008
0.009
0.008
0.008
0.009
0.008
0.007
0.009
0.009
0.011
0.011
0.011

UNVR
(Rm - Rf)

Rf

Rm

0.008

0.000

0.110

0.057

-0.048

0.103

0.016

-0.008

0.020
0.010

KLBF
(Rm - Rf)

Rf

Rm

0.110

0.000

0.002

0.152

-0.048

0.002

0.108

0.116

-0.008

-0.012

0.110

0.122

-0.001

0.115

0.116

0.005

0.003

0.116

0.005

0.003

0.007

0.001

0.006
0.008

ANTM
Rf

Rm

0.002

0.000

-0.003

0.050

-0.048

-0.003

0.002

0.010

-0.008

-0.002

-0.012

0.002

0.014

-0.012

-0.001

0.001

0.003

-0.001

0.113

0.003

0.001

-0.002

0.113

0.110

0.003

0.001

0.106

0.104

0.001

0.001

0.003

0.102

0.099

0.003

0.003

0.096

0.094

0.003

0.011

0.000

0.091

0.091

0.008

0.003

0.089

0.087

Sumber : IDX Monthly Statistics, data hasil olahan Ms.Excell

142

(Rm - Rf)

UNTR
(Rm - Rf)

Rf

Rm

(Rm - Rf)

-0.003

0.000

0.005

0.005

0.046

-0.048

0.006

0.054

0.006

-0.008

0.006

0.014

-0.002

0.010

-0.012

0.007

0.019

-0.002

-0.001

-0.001

0.005

0.006

0.003

-0.002

-0.005

0.003

0.008

0.006

-0.001

0.003

-0.002

-0.005

0.003

0.009

0.006

0.000

0.001

-0.002

-0.004

0.001

0.011

0.009

0.001

-0.001

0.003

-0.003

-0.005

0.003

0.011

0.009

0.002

-0.001

0.003

-0.003

-0.005

0.003

0.014

0.011

0.000

0.019

0.019

0.000

-0.003

-0.003

0.000

0.014

0.014

0.003

0.002

-0.001

0.003

-0.003

-0.005

0.003

0.015

0.013
TAHUN 2005
INDF
Bulan

Rf

Rm

MEDC
(Rm - Rf)

Rf

Jan

0.000

-0.005

-0.005

0.000

Feb

0.001

-0.006

-0.007

0.001

Mar

0.001

-0.007

-0.008

0.001

Apr

0.035

-0.006

-0.041

0.035

Mei

0.032

-0.006

-0.038

0.032

Jun

0.038

-0.005

-0.043

0.038

Jul

0.029

-0.005

-0.034

0.029

Ags

0.120

-0.005

-0.125

0.120

Sept

0.052

-0.005

-0.057

0.052

Okt

0.100

-0.005

-0.105

0.100

Nov
Des

0.114
0.041

-0.004
-0.004

-0.118
-0.045

0.114
0.041

Rm
0.00000
-0.00001
-0.00001
-0.00143
-0.00125
-0.00163
-0.00100
-0.01503
-0.00292
-0.01046
-0.01340
-0.00184

UNVR
(Rm - Rf)

Rf

Rm

KLBF
(Rm - Rf)

Rf

Rm

ANTM
(Rm - Rf)

Rf

Rm

UNTR
(Rm - Rf)

Rf

Rm

(Rm - Rf)

0.000

0.000

0.069

0.069

0.000

0.013

0.013

0.000

0.009

0.009

0.000

0.001

0.001

-0.001

0.001

0.068

0.067

0.001

0.014

0.012

0.001

0.010

0.008

0.001

0.001

-0.001

-0.001

0.001

0.068

0.067

0.001

0.013

0.012

0.001

0.010

0.008

0.001

0.001

-0.001

-0.036

0.035

0.069

0.034

0.035

0.013

-0.022

0.035

0.009

-0.026

0.035

0.001

-0.034

-0.034

0.032

0.071

0.038

0.032

0.012

-0.021

0.032

0.009

-0.024

0.032

0.001

-0.032

-0.039

0.038

0.063

0.026

0.038

0.014

-0.024

0.038

0.009

-0.029

0.038

0.001

-0.037

-0.030

0.029

0.066

0.037

0.029

0.013

-0.016

0.029

0.009

-0.020

0.029

0.001

-0.028

-0.135

0.120

0.067

-0.054

0.120

0.013

-0.107

0.120

0.008

-0.112

0.120

0.001

-0.119

-0.054

0.052

0.067

0.016

0.052

0.013

-0.039

0.052

0.008

-0.044

0.052

0.001

-0.051

-0.110

0.100

0.068

-0.032

0.100

0.013

-0.087

0.100

0.009

-0.091

0.100

0.001

-0.099

-0.127

0.114

0.069

-0.045

0.114

0.014

-0.100

0.114

0.011

-0.103

0.114

0.001

-0.113

-0.043

0.041

0.064

0.023

0.041

0.018

-0.023

0.041

0.013

-0.028

0.041

0.001

-0.040

Sumber : IDX Monthly Statistics, data hasil olahan Ms.Excell

143
TAHUN 2006
INDF
Bulan

MEDC

Rf

Rm

Jan

0.000

0.015

0.015

0.000

Feb

-0.001

0.014

0.015

-0.001

Mar

-0.001

0.015

(Rm - Rf)

0.016

Rf

-0.001

Apr

0.001

0.016

0.016

0.001

Mei

-0.019

0.016

0.035

-0.019

Jun

0.000

0.015

0.015

0.000

Jul

-0.020

0.017

0.037

-0.020

Ags

-0.041

0.019

0.060

-0.041

Sept

-0.043

0.019

0.061

-0.043

Okt

-0.044

0.019

0.063

-0.044

Nov
Des

-0.047
-0.049

0.018
0.017

0.065
0.066

-0.047
-0.049

Rm
-0.006
-0.007
-0.006
-0.006
-0.006
-0.006
-0.006
-0.005
-0.005
-0.004
-0.004
-0.004

UNVR
(Rm - Rf)

Rf

Rm

-0.006

0.000

0.183

-0.006

-0.001

0.180

-0.006

-0.001

-0.007
0.013
-0.006

KLBF
(Rm - Rf)

Rf

Rm

0.183

0.000

0.031

0.181

-0.001

0.033

0.174

0.175

-0.001

0.001

0.162

0.161

-0.019

0.164

0.183

0.000

0.170

0.170

0.014

-0.020

0.167

0.036

-0.041

0.172

0.038

-0.043

0.040

-0.044

0.043
0.045

ANTM
Rf

Rm

0.031

0.000

-0.010

0.033

-0.001

-0.010

0.032

0.033

-0.001

0.001

0.031

0.030

-0.019

0.030

0.049

0.000

0.029

0.029

0.187

-0.020

0.027

0.213

-0.041

0.025

0.169

0.212

-0.043

0.166

0.211

-0.044

-0.047

0.192

0.239

-0.049

0.200

0.249

Sumber : IDX Monthly Statistics, data hasil olahan Ms.Excell

144

(Rm - Rf)

UNTR
(Rm - Rf)

Rf

Rm

(Rm - Rf)

-0.010

0.000

0.039

0.039

-0.009

-0.001

0.040

0.041

-0.010

-0.009

-0.001

0.044

0.045

0.001

-0.012

-0.012

0.001

0.046

0.045

-0.019

-0.010

0.008

-0.019

0.053

0.072

0.000

-0.011

-0.011

0.000

0.053

0.053

0.047

-0.020

-0.012

0.008

-0.020

0.053

0.073

0.065

-0.041

-0.012

0.029

-0.041

0.053

0.094

0.028

0.070

-0.043

-0.012

0.031

-0.043

0.053

0.096

0.027

0.071

-0.044

-0.014

0.031

-0.044

0.054

0.099

-0.047

0.022

0.068

-0.047

-0.014

0.033

-0.047

0.049

0.096

-0.049

0.021

0.069

-0.049

-0.014

0.035

-0.049

0.048

0.096
TAHUN 2007
INDF
Bulan

MEDC

Rf

Rm

Jan

0.000

-0.024

-0.024

0.000

Feb

-0.026

-0.022

0.004

-0.026

Mar

-0.027

-0.020

(Rm - Rf)

0.007

Rf

-0.027

Apr

0.000

-0.020

-0.020

0.000

Mei

-0.028

-0.021

0.007

-0.028

Jun

-0.029

-0.024

0.005

-0.029

Jul

-0.029

-0.022

0.008

-0.029

Ags

0.000

-0.022

-0.022

0.000

Sept

0.000

-0.022

-0.022

0.000

Okt

0.000

-0.023

-0.023

0.000

Nov

0.000

-0.023

-0.023

0.000

Des

-0.030

-0.024

0.006

-0.030

Rm
0.023
0.025
0.023
0.021
0.021
0.020
0.022
0.022
0.023
0.023
0.024
0.023

UNVR
(Rm - Rf)

Rf

Rm

0.023

0.000

0.123

0.051

-0.026

0.118

0.050

-0.027

0.021
0.049
0.048

KLBF
(Rm - Rf)

Rf

Rm

0.123

0.000

0.044

0.144

-0.026

0.041

0.114

0.141

-0.027

0.000

0.105

0.105

-0.028

0.115

0.143

-0.029

0.117

0.146

0.051

-0.029

0.121

0.022

0.000

0.121

0.023

0.000

0.023
0.024
0.053

ANTM
Rf

Rm

0.044

0.000

0.010

0.068

-0.026

0.012

0.039

0.066

-0.027

0.000

0.038

0.038

-0.028

0.037

0.064

-0.029

0.039

0.068

0.151

-0.029

0.039

0.121

0.000

0.039

0.116

0.116

0.000

0.000

0.102

0.102

0.000

0.092

0.092

-0.030

0.094

0.125

Sumber : IDX Monthly Statistics, data hasil olahan Ms.Excell

145

(Rm - Rf)

UNTR
(Rm - Rf)

Rf

Rm

(Rm - Rf)

0.010

0.000

0.029

0.029

0.038

-0.026

0.030

0.056

0.015

0.042

-0.027

0.030

0.057

0.000

0.018

0.018

0.000

0.030

0.030

-0.028

0.016

0.044

-0.028

0.028

0.056

-0.029

0.014

0.042

-0.029

0.029

0.058

0.068

-0.029

0.013

0.043

-0.029

0.028

0.057

0.039

0.000

0.012

0.012

0.000

0.029

0.029

0.037

0.037

0.000

0.015

0.015

0.000

0.028

0.028

0.000

0.034

0.034

0.000

0.016

0.016

0.000

0.034

0.034

0.000

0.027

0.027

0.000

0.020

0.020

0.000

0.031

0.031

-0.030

0.028

0.059

-0.030

0.019

0.050

-0.030

0.031

0.061
TAHUN 2008
INDF
Bulan

MEDC

Rf

Rm

Jan

0.000

0.042

0.042

0.000

Feb

-0.009

0.042

0.051

-0.009

Mar

0.004

0.034

(Rm - Rf)

0.030

Rf

0.004

Apr

0.004

0.036

0.033

0.004

Mei

0.040

0.041

0.001

0.040

Jun

0.051

0.038

-0.012

0.051

Jul

0.057

0.039

-0.019

0.057

Ags

0.005

0.040

0.034

0.005

Sept

0.046

0.037

-0.010

0.046

Okt

0.131

0.055

-0.076

0.131

Nov

0.024

0.023

0.000

0.024

Des

-0.036

0.022

0.058

-0.036

Rm
0.003
0.003
0.003
0.004
0.004
0.004
0.004
0.005
0.004
0.003
0.003
0.003

UNVR
(Rm - Rf)

Rf

Rm

0.003

0.000

0.169

0.012

-0.009

0.163

-0.001

0.004

KLBF
(Rm - Rf)

Rf

Rm

0.169

0.000

0.015

0.172

-0.009

0.013

0.166

0.162

0.004

0.012

ANTM
(Rm - Rf)

Rf

Rm

0.015

0.000

0.061

0.022

-0.009

0.069

0.009

0.004

UNTR
(Rm - Rf)

Rf

Rm

(Rm - Rf)

0.061

0.000

-0.002

-0.002

0.078

-0.009

-0.002

0.007

0.057

0.053

0.004

-0.002

-0.006

0.000

0.004

0.181

0.177

0.004

0.013

0.009

0.004

0.065

0.061

0.004

-0.002

-0.005

-0.036

0.040

0.167

0.127

0.040

0.011

-0.029

0.040

0.056

0.016

0.040

-0.002

-0.042

-0.046

0.051

0.179

0.129

0.051

0.012

-0.039

0.051

0.059

0.009

0.051

-0.002

-0.052

-0.053

0.057

0.195

0.138

0.057

0.012

-0.045

0.057

0.049

-0.008

0.057

-0.002

-0.059

-0.001

0.005

0.213

0.207

0.005

0.011

0.006

0.005

0.039

0.033

0.005

-0.002

-0.007

-0.043

0.046

0.233

0.187

0.046

0.011

-0.036

0.046

0.032

-0.015

0.046

-0.002

-0.048

-0.128

0.131

0.332

0.201

0.131

0.008

-0.122

0.131

0.032

-0.098

0.131

-0.001

-0.132

-0.021

0.024

0.332

0.309

0.024

0.009

-0.014

0.024

0.031

0.007

0.024

-0.001

-0.025

0.039

-0.036

0.329

0.365

-0.036

0.009

0.045

-0.036

0.032

0.069

-0.036

-0.001

0.035

Sumber : IDX Monthly Statistics, data hasil olahan Ms.Excell

146
LAMPIRAN 6.
DATA DEVIDEN, HARGA SAHAM, DAN PERHITUNGAN HPR (HOLDING PERIOD RETURN)

Bulan
Jan
Feb
Mar
Apr
Mei
Jun
Jul
Ags
Sept
Okt
Nov
Des

D

INDF
P
R1

D

MEDC
P
R2

D

Tahun 2003
UNVR
P
R3
D

KLBF
P
R4

D

ANTM
P

R5

D

UNTR
P
R6

550

1300

0.0000

19400

0.0000

255

0.0000

700

0.0000

270

0.0000

575

0.0455

1350

0.0385

18200

-0.0619

285

0.1176

800

0.1429

290

0.0741

600

0.0435

1325

-0.0185

18000

0.0110

310

0.0877

800

0.0000

285

-0.0172

725

0.2083

1350

0.0189

21000

0.1667

400

0.2903

725

-0.0938

405

0.4211

875

0.2069

1250

-0.0741

24500

0.1667

550

0.3750

825

0.1379

525

0.2963

850

-0.0286

1200

0.0488

26700

0.0898

600

0.0909

825

0.0000

475

-0.0952

775

-0.0882

1150

-0.0417

26600

-0.0037

525

-0.1250

825

0.0000

550

0.1579

675

-0.0929

1225

0.0652

27800

0.0639

600

0.1429

850

0.0720

495

-0.1000

725

0.0741

1275

0.0408

3350

-0.8795

625

0.0450

1050

0.2353

675

0.3636

700

-0.0345

1300

0.0196

3225

-0.0373

800

0.2800

1150

0.0952

800

0.1852

675

-0.0357

1325

0.0192

3175

-0.0155

800

0.0000

1225

0.0652

900

0.1250

800

28

0.0000

0.1852

1350

0.0189

3625

0.1417

1000

0.2500

1925

0.5714

1250

0.4069

111

400.00

500.00

Sumber : IDX Monthly Statistics, data hasil olahan Ms.Excell

147

2

34.42

16.23
Bulan
Jan
Feb
Mar
Apr
Mei
Jun
Jul
Ags
Sept
Okt
Nov
Des

D

INDF
P
R1

D

MEDC
P
R2

D

Tahun 2004
UNVR
P
R3
D

KLBF
P
R4

D

ANTM
P

R5

D

UNTR
P
R6

850

1400

0.0370

3825

0.0552

475

-0.5250

1500

-0.2208

1250

0.0000

850

0.0000

1500

0.0714

3400

-0.1111

480

0.0105

1500

0.0000

1450

0.1600

800

-0.0588

1450

-0.0333

3550

0.0588

470

-0.0208

1225

-0.1833

1375

-0.0517

750

-0.0625

1450

0.0000

3675

0.0352

460

-0.0213

1200

-0.0204

1650

0.2000

700

-0.0667

1425

-0.0172

3600

-0.0204

370

-0.1957

1075

-0.1042

1100

-0.3333

700

0.0000

1350

-0.0110

3925

0.0903

350

-0.0541

1250

0.1986

1125

0.0227

700

0.0000

1275

-0.0556

3775

-0.0382

395

0.1286

1225

-0.0200

1225

0.0889

675

0.0043

1450

0.1373

3350

-0.0914

95

-0.7595

1250

0.0204

1375

0.1224

675

0.0000

1525

0.0517

3250

-0.0299

415

3.3789

1375

0.1000

1450

0.0545

675

0.0000

1900

0.2459

3275

0.0077

465

0.1205

1500

0.0909

1850

0.2759

750

0.1111

2075

0.0921

3325

0.0153

625

0.3441

1775

0.1833

2000

0.0811

800

28

0.0625

0.0667

2075

0.0000

3300

0.0135

550

-0.1200

1725

-0.0282

2275

0.1475

59.38

50

80

70.00

Sumber : IDX Monthly Statistics, data hasil olahan Ms.Excell

148

1

38.5

20.00
Bulan
Jan
Feb
Mar
Apr
Mei
Jun
Jul
Ags
Sept
Okt
Nov
Des

D

INDF
P
R1

D

MEDC
P
R2

D

Tahun 2005
UNVR
P
R3
D

KLBF
P
R4

D

ANTM
P

148.08

1780

0.1177

2825

0.2418

R5

D

UNTR
P
R6

870

2600

0.2530

3500

0.0606

690

0.2545

930

0.0690

2450

-0.0577

3550

0.0143

790

0.1449

2100

0.1798

3125

0.1062

1160

0.2473

2450

0.0000

3825

0.0944

740

-0.0633

2200

0.0476

2650

-0.1520

1020

-0.1207

2575

0.0510

3750

-0.0196

720

-0.0270

2100

-0.0455

2900

0.0943

1200

0.1765

2575

0.0000

4575

0.2200

780

0.0833

2300

0.0952

3225

0.1121

1100

-0.0833

3775

0.5062

4075

-0.1093

880

0.1282

2400

0.0435

3750

0.1628

1090

-0.0091

3200

-0.1523

4350

0.0871

900

0.0261

2400

0.0000

4375

0.1760

790

-0.2752

3325

0.0391

4225

-0.0287

850

-0.0556

2175

-0.0938

3850

-0.1200

730

-0.0544

3625

0.0902

4075

-0.0355

850

0.0000

2575

0.1839

3750

-0.0260

820

0.1233

3525

-0.0276

4375

0.0736

850

0.0000

2575

0.0000

3700

-0.0133

850

0.0366

3325

-0.0567

4325

-0.0114

890

0.0471

2725

0.0583

3500

-0.0541

910

17

0.0875

0.0706

3375

0.0150

4275

0.0023

990

0.1124

3575

0.3119

3675

0.0500

103.4

60.00

80.00

60.00

Sumber : IDX Monthly Statistics, data hasil olahan Ms.Excell

149

3

35
Bulan
Jan
Feb
Mar
Apr
Mei
Jun
Jul
Ags
Sept
Okt
Nov
Des

D

INDF
P
R1

D

MEDC
P
R2

D

Tahun 2006
UNVR
P
R3
D

KLBF
P
R4

D

ANTM
P

R5

D

UNTR
P
R6

880

3900

0.1556

4300

0.0058

1300

0.3131

4275

0.1958

3825

0.0408

840

-0.0455

4125

0.0577

4275

-0.0058

1360

0.0462

4025

-0.0585

3975

0.0392

890

0.0595

4150

0.0061

4250

-0.0058

1360

0.0000

4350

0.0807

4500

0.1321

1130

0.2697

4800

0.1566

4575

0.0765

1520

0.1176

5750

0.3218

5450

0.2111

940

-0.1681

3975

-0.1719

4025

-0.1202

1310

-0.1382

4450

-0.2261

5400

-0.0092

880

-0.0638

3725

-0.0368

4125

0.0248

1250

-0.0458

4625

0.0393

5400

0.0204

1050

0.1932

3800

0.0201

4225

0.0533

1200

-0.0399

5200

0.1568

5600

0.0370

1190

0.1381

3600

-0.0526

4475

0.0592

1120

-0.0667

5400

0.0385

5750

0.0268

1250

0.0504

3475

-0.0347

4600

0.0279

1320

0.1786

5500

0.0185

6050

0.0522

1330

0.0640

3325

-0.0432

4800

0.0435

1360

0.0303

6950

0.2636

6550

0.0826

1400

0.0526

3250

-0.0226

6000

0.2500

1180

-0.1324

7550

0.0863

6450

-0.0084

1350

5

-0.0330

-0.0357

3550

0.0923

6600

0.1133

1190

0.0085

8000

0.0596

6550

0.0155

103.7

120.00

80.00

Sumber : IDX Monthly Statistics, data hasil olahan Ms.Excell

150

0.16

150.05

110

45
Bulan
Jan
Feb
Mar
Apr
Mei
Jun
Jul
Ags
Sept
Okt
Nov
Des

D

INDF
P
R1

D

MEDC
P
R2

D

Tahun 2007
UNVR
P
R3
D

KLBF
P
R4

D

ANTM
P

R5

D

UNTR
P

R6

1690

3425

-0.0352

5850

-0.1136

1300

0.0924

7800

-0.0250

6750

0.0305

1560

-0.0769

3650

0.0657

5600

-0.0427

1220

-0.0615

9100

0.1667

6950

0.0296

1520

-0.0256

3575

-0.0205

5700

0.0179

1210

-0.0082

11850

0.3022

7400

0.0647

1640

0.0789

3525

-0.0140

5650

-0.0088

1260

0.0413

15600

0.3165

7900

0.0676

1730

0.0549

3575

0.0142

6300

0.1150

1240

-0.0159

14000

-0.1026

7550

-0.0443

2025

0.1705

3525

-0.0140

6700

0.0635

1390

0.1210

12550

-0.1036

8250

0.0927

2000

0.0030

4275

0.2274

125.00

7500

0.1381

1490

0.0798

2700

-0.7589

8600

0.0630

1860

-0.0700

3900

-0.0877

125.00

6800

-0.0767

1360

-0.0872

2250

-0.1667

8100

-0.0581

1930

0.0376

4150

0.0641

6800

0.0000

1330

-0.0221

2775

0.2333

8200

0.0123

2200

0.1399

4675

0.1265

6650

-0.0221

1360

0.0226

3350

0.2072

10950

0.3354

2525

0.1477

5400

0.1551

6650

0.0000

1220

-0.1029

4675

0.3955

11250

0.0329

2575

31

0.2519

0.0198

5150

-0.0463

6750

0.0286

1260

0.0328

4475

-0.0428

10900

-0.0311

51.71

90.00

Sumber : IDX Monthly Statistics, data hasil olahan Ms.Excell

151

10.9

325.58

170

60
Bulan
Jan
Feb
Mar
Apr
Mei
Jun
Jul
Ags
Sept
Okt
Nov
Des

D

INDF
P
R1

D

MEDC
P
R2

D

Tahun 2008
UNVR
P
R3
D

KLBF
P
R4

D

ANTM
P

R5

D

UNTR
P

R6

2825

4050

-0.2136

6900

0.0222

1200

-0.0476

3575

-0.2011

13300

0.2202

2925

0.0354

4125

0.0185

6800

-0.0145

1050

-0.1250

4100

0.1469

13250

-0.0038

2325

-0.2051

3325

-0.1939

6900

0.0147

980

-0.0667

3350

-0.1829

12550

-0.0528

2275

-0.0215

3925

0.1805

6800

-0.0145

910

-0.0714

3500

0.0448

12050

-0.0398

2800

0.2308

5050

0.2866

6750

-0.0074

880

-0.0176

3250

-0.0714

14450

0.1992

2400

-0.1429

4725

-0.0644

6750

0.0000

850

-0.0341

3175

-0.0231

12150

-0.1488

2275

-0.0521

4600

-0.0265

6900

0.0470

800

-0.0588

2475

-0.2205

11400

-0.0617

2250

0.0079

4900

0.0652

7250

0.0507

750

-0.0625

1890

-0.1494

10350

-0.0921

1960

-0.1289

3625

-0.2515

7500

0.0345

650

-0.1333

1460

-0.2275

9450

-0.0870

1090

-0.4439

2100

-0.4207

7450

-0.0067

365

-0.4385

1040

-0.2877

3150

-0.6667

970

-0.1101

1850

-0.1190

7700

0.0336

410

0.1233

1020

-0.0192

3975

0.2619

930

43

0.0971

-0.0412

1870

0.0108

7800

0.0130

400

-0.0244

1090

0.0686

4400

0.1069

42.66

167.00

Sumber : IDX Monthly Statistics, data hasil olahan Ms.Excell

152

14

215.23

150
LAMPIRAN 7.
DATA PROPORSI, HPR (R), DAN PENGHITUNGAN RETURN REALISASI (ACTUAL RETURN / Ri)

Bulan
Jan
Feb
Mar
Apr
Mei
Jun
Jul
Ags
Sept
Okt
Nov
Des

W1

INDF
R1

Ri

0.2404

0.0000

0.2005

Tahun 2003
UNVR
R3
Ri
W4

W2

MEDC
R2

KLBF
R4

W5

ANTM
R5

W6

UNTR
R6

Ri

W3

Ri

Ri

Ri

0.0000

0.1930

0.0000

0.0000

0.4424

0.0000

0.0000

0.0461

0.0000

0.0000

0.0595

0.0000

0.0000

0.0186

0.0000

0.0000

0.0455

0.0091

0.1672

0.0385

0.0064

0.5160

-0.0619

-0.0319

0.0430

0.1176

0.0051

0.0567

0.1429

0.0081

0.0167

0.0741

0.0012

0.2085

0.0435

0.0091

0.1635

-0.0185

-0.0030

0.5086

0.0110

0.0056

0.0466

0.0877

0.0041

0.0565

0.0000

0.0000

0.0163

-0.0172

-0.0003

0.2198

0.2083

0.0458

0.1453

0.0189

0.0027

0.5176

0.1667

0.0863

0.0525

0.2903

0.0152

0.0447

-0.0938

-0.0042

0.0202

0.4211

0.0085

0.2301

0.2069

0.0476

0.1167

-0.0741

-0.0086

0.5238

0.1667

0.0873

0.0626

0.3750

0.0235

0.0441

0.1379

0.0061

0.0227

0.2963

0.0067

0.2161

-0.0286

-0.0062

0.1077

0.0488

0.0053

0.5485

0.0898

0.0493

0.0656

0.0909

0.0060

0.0424

0.0000

0.0000

0.0198

-0.0952

-0.0019

0.2033

-0.0882

-0.0179

0.1064

-0.0417

-0.0044

0.5637

-0.0037

-0.0021

0.0592

-0.1250

-0.0074

0.0437

0.0000

0.0000

0.0237

0.1579

0.0037

0.2031

-0.0929

-0.0189

0.0910

0.0652

0.0059

0.5805

0.0639

0.0371

0.0584

0.1429

0.0083

0.0430

0.0720

0.0031

0.0241

-0.1000

-0.0024

0.1620

0.0741

0.0120

0.1006

0.0408

0.0041

0.6049

-0.8795

-0.5320

0.0601

0.0450

0.0027

0.0474

0.2353

0.0112

0.0250

0.3636

0.0091

0.0002

-0.0345

0.0000

0.0001

0.0196

0.0000

0.8125

-0.0373

-0.0303

0.0774

0.2800

0.0217

0.0703

0.0952

0.0067

0.0394

0.1852

0.0073

0.1517

-0.0357

-0.0054

0.1051

0.0192

0.0020

0.5766

-0.0155

-0.0089

0.0773

0.0000

0.0000

0.0556

0.0652

0.0036

0.0337

0.1250

0.0042

0.1529

0.1852

0.0283

0.0910

0.0189

0.0017

0.5598

0.1417

0.0793

0.0822

0.2500

0.0205

0.0743

0.5714

0.0425

0.0398

0.4069

0.0162

Sumber : IDX Monthly Statistics, data hasil olahan Ms.Excell

153
Bulan
Jan
Feb
Mar
Apr
Mei
Jun
Jul
Ags
Sept
Okt
Nov
Des

W1

INDF
R1

Ri

0.1587

0.0625

0.0099

0.1672

0.0000

0.1581
0.1458

Tahun 2004
UNVR
R3
Ri
W4

W2

MEDC
R2

KLBF
R4

W5

ANTM
R5

Ri

W3

0.0923

0.0370

0.0034

0.5772

0.0552

0.0318

0.0000

0.1041

0.0714

0.0074

0.5404

-0.1111

-0.0588

-0.0093

0.1011

-0.0333

-0.0034

0.5668

-0.0625

-0.0091

0.0995

0.0000

0.0000

0.5772

0.1449

-0.0667

-0.0097

0.1041

-0.0172

-0.0018

0.1336

0.0000

0.0000

0.0909

-0.0110

0.1358

0.0000

0.0000

0.0873

0.1378

0.0043

0.0006

0.1044

0.1375

0.0000

0.0000

0.1285

0.0000

0.1323

0.1111

0.1402

0.0667

Ri

0.0763

-0.5250

-0.0401

Ri

0.0566

-0.2208

-0.0125

-0.0600

0.0812

0.0105

0.0009

0.0596

0.0000

0.0588

0.0333

0.0799

0.0352

0.0203

0.0769

-0.0208

-0.0017

0.0489

-0.0213

-0.0016

0.0471

0.6021

-0.0204

-0.0123

0.0659

-0.1957

-0.0129

-0.0010

0.6053

0.0903

0.0546

0.0575

-0.0541

-0.0556

-0.0048

0.5916

0.1373

0.0143

0.5524

-0.0382

-0.0226

0.0659

-0.0914

-0.0505

0.0693

0.1096

0.0517

0.0057

0.5348

-0.0299

-0.0160

0.0727

0.0000

0.1277

0.2459

0.0147

0.1292

0.0921

0.0314

0.5038

0.0077

0.0039

0.0119

0.4740

0.0153

0.0072

0.0093

0.1283

0.0000

0.0000

0.4673

0.0135

0.0063

Sumber : IDX Monthly Statistics, data hasil olahan Ms.Excell

154

W6

UNTR
R6

Ri

0.0389

0.0000

0.0000

0.0000

0.0475

0.1600

0.0076

-0.1833

-0.0090

0.0453

-0.0517

-0.0023

-0.0204

-0.0010

0.0535

0.2000

0.0107

0.0450

-0.1042

-0.0047

0.0380

-0.3333

-0.0127

-0.0031

0.0482

0.1986

0.0096

0.0645

0.0227

0.0015

0.1286

0.0085

0.0480

-0.0200

-0.0010

0.0715

0.0889

0.0064

-0.7595

-0.0527

0.0515

0.0204

0.0011

0.0845

0.1224

0.0103

3.3789

0.2456

0.0566

0.1000

0.0057

0.0889

0.0545

0.0049

0.0761

0.1205

0.0092

0.0577

0.0909

0.0052

0.1061

0.2759

0.0293

0.0948

0.3441

0.0326

0.0633

0.1833

0.0116

0.1063

0.0811

0.0086

0.0829

-0.1200

-0.0099

0.0611

-0.0282

-0.0017

0.1203

0.1475

0.0177
Bulan
Jan
Feb
Mar
Apr
Mei
Jun
Jul
Ags
Sept
Okt
Nov
Des

W1

INDF
R1

Ri

0.1352

0.0875

0.1427

0.0690

Tahun 2005
UNVR
R3
Ri
W4

W2

MEDC
R2

KLBF
R4

Ri

W3

0.0118

0.1426

0.2530

0.0361

0.4394

0.0606

0.0266

0.0098

0.1278

-0.0577

-0.0074

0.4366

0.0143

W5

ANTM
R5

Ri

0.0922

0.2545

0.0062

0.0937

W6

UNTR
R6

Ri

Ri

0.0235

0.0571

0.1177

0.0067

0.1336

0.2418

0.0323

0.1449

0.0136

0.0642

0.1798

0.0115

0.1349

0.1062

0.0143

0.1640

0.2473

0.0406

0.1222

0.0000

0.0000

0.4369

0.0944

0.0412

0.0900

-0.0633

-0.0057

0.0643

0.0476

0.0031

0.1226

-0.1520

-0.0186

0.1479

-0.1207

-0.0178

0.1317

0.0510

0.0067

0.4393

-0.0196

-0.0086

0.0898

-0.0270

-0.0024

0.0622

-0.0455

-0.0028

0.1291

0.0943

0.0122

0.1474

0.1765

0.0260

0.1365

0.0000

0.0000

0.4540

0.2200

0.0999

0.0824

0.0833

0.0069

0.0583

0.0952

0.0056

0.1214

0.1121

0.0136

0.1360

-0.0833

-0.0113

0.1646

0.5062

0.0833

0.4069

-0.1093

-0.0445

0.0935

0.1282

0.0120

0.0599

0.0435

0.0026

0.1390

0.1628

0.0226

0.1307

-0.0091

-0.0012

0.1354

-0.1523

-0.0206

0.4213

0.0871

0.0367

0.0928

0.0261

0.0024

0.0587

0.0000

0.0000

0.1611

0.1760

0.0284

0.1251

-0.2752

-0.0344

0.1382

0.0391

0.0054

0.4265

-0.0287

-0.0123

0.0905

-0.0556

-0.0050

0.0517

-0.0938

-0.0048

0.1680

-0.1200

-0.0202

0.1305

-0.0544

-0.0071

0.1483

0.0902

0.0134

0.4302

-0.0355

-0.0153

0.0886

0.0000

0.0000

0.0526

0.1839

0.0097

0.1499

-0.0260

-0.0039

0.1153

0.1233

0.0142

0.1473

-0.0276

-0.0041

0.4364

0.0736

0.0321

0.0889

0.0000

0.0000

0.0629

0.0000

0.0000

0.1491

-0.0133

-0.0020

0.1070

0.0366

0.0039

0.1477

-0.0567

-0.0084

0.4398

-0.0114

-0.0050

0.0963

0.0471

0.0045

0.0725

0.0583

0.0042

0.1368

-0.0541

-0.0074

0.1077

0.0706

0.0076

0.1409

0.0150

0.0021

0.4087

0.0023

0.0009

0.1260

0.1124

0.0142

0.0854

0.3119

0.0267

0.1313

0.0500

0.0066

Sumber : IDX Monthly Statistics, data hasil olahan Ms.Excell

155
Bulan
Jan
Feb
Mar
Apr
Mei
Jun
Jul
Ags
Sept
Okt
Nov
Des

W1

INDF
R1

Ri

0.0962

-0.0330

0.0911

Tahun 2006
UNVR
R3
Ri
W4

W2

MEDC
R2

KLBF
R4

W5

ANTM
R5

W6

UNTR
R6

Ri

W3

Ri

Ri

Ri

-0.0032

0.1505

0.1556

0.0234

0.3798

0.0058

0.0022

0.1528

0.3131

0.0479

0.0944

0.1958

0.0185

0.1263

0.0408

0.0052

-0.0455

-0.0041

0.1578

0.0577

0.0091

0.3744

-0.0058

-0.0022

0.1585

0.0462

0.0073

0.0881

-0.0585

-0.0052

0.1301

0.0392

0.0051

0.0938

0.0595

0.0056

0.1543

0.0061

0.0009

0.3619

-0.0058

-0.0021

0.1541

0.0000

0.0000

0.0926

0.0807

0.0075

0.1432

0.1321

0.0189

0.1031

0.2697

0.0278

0.1545

0.1566

0.0242

0.3372

0.0765

0.0258

0.1491

0.1176

0.0175

0.1060

0.3218

0.0341

0.1501

0.2111

0.0317

0.0986

-0.1681

-0.0166

0.1471

-0.1719

-0.0253

0.3411

-0.1202

-0.0410

0.1478

-0.1382

-0.0204

0.0943

-0.2261

-0.0213

0.1710

-0.0092

-0.0016

0.0933

-0.0638

-0.0060

0.1393

-0.0368

-0.0051

0.3532

0.0248

0.0088

0.1425

-0.0458

-0.0065

0.0990

0.0393

0.0039

0.1728

0.0204

0.0035

0.1068

0.1932

0.0206

0.1363

0.0201

0.0027

0.3470

0.0533

0.0185

0.1312

-0.0399

-0.0052

0.1068

0.1568

0.0167

0.1719

0.0370

0.0064

0.1177

0.1381

0.0163

0.1257

-0.0526

-0.0066

0.3577

0.0592

0.0212

0.1192

-0.0667

-0.0079

0.1079

0.0385

0.0042

0.1718

0.0268

0.0046

0.1185

0.0504

0.0060

0.1162

-0.0347

-0.0040

0.3523

0.0279

0.0098

0.1346

0.1786

0.0240

0.1053

0.0185

0.0020

0.1732

0.0522

0.0090

0.1185

0.0640

0.0076

0.1045

-0.0432

-0.0045

0.3455

0.0435

0.0150

0.1303

0.0303

0.0039

0.1251

0.2636

0.0330

0.1762

0.0826

0.0146

0.1154

0.0526

0.0061

0.0945

-0.0226

-0.0021

0.3994

0.2500

0.0999

0.1046

-0.1324

-0.0138

0.1257

0.0863

0.0108

0.1605

-0.0084

-0.0013

0.1054

-0.0357

-0.0038

0.0978

0.0923

0.0090

0.4163

0.1133

0.0472

0.0999

0.0085

0.0008

0.1262

0.0596

0.0075

0.1544

0.0155

0.0024

Sumber : IDX Monthly Statistics, data hasil olahan Ms.Excell

156
Bulan
Jan
Feb
Mar
Apr
Mei
Jun
Jul
Ags
Sept
Okt
Nov
Des

W1

INDF
R1

Ri

0.1337

0.2519

0.1236

Tahun 2007
UNVR
R3
Ri
W4

W2

MEDC
R2

KLBF
R4

W5

ANTM
R5

W6

UNTR
R6

Ri

W3

Ri

Ri

Ri

0.0337

0.0956

-0.0352

-0.0034

0.3740

-0.1136

-0.0425

0.1106

0.0924

0.0102

0.1247

-0.0250

-0.0031

0.1613

0.0305

0.0049

-0.0769

-0.0095

0.1020

0.0657

0.0067

0.3585

-0.0427

-0.0153

0.1040

-0.0615

-0.0064

0.1456

0.1667

0.0243

0.1663

0.0296

0.0049

0.1142

-0.0256

-0.0029

0.0947

-0.0205

-0.0019

0.3458

0.0179

0.0062

0.0977

-0.0082

-0.0008

0.1798

0.3022

0.0543

0.1678

0.0647

0.0109

0.1144

0.0789

0.0090

0.0867

-0.0140

-0.0012

0.3183

-0.0088

-0.0028

0.0945

0.0413

0.0039

0.2197

0.3165

0.0695

0.1663

0.0676

0.0112

0.1191

0.0549

0.0065

0.0869

0.0142

0.0012

0.3505

0.1150

0.0403

0.0918

-0.0159

-0.0015

0.1947

-0.1026

-0.0200

0.1570

-0.0443

-0.0070

0.1332

0.1705

0.0227

0.0818

-0.0140

-0.0011

0.3561

0.0635

0.0226

0.0983

0.1210

0.0119

0.1668

-0.1036

-0.0173

0.1639

0.0927

0.0152

0.1210

0.0030

0.0004

0.0912

0.2274

0.0207

0.3689

0.1381

0.0509

0.0969

0.0798

0.0077

0.1649

-0.7589

-0.1252

0.1571

0.0630

0.0099

0.1247

-0.0700

-0.0087

0.0923

-0.0877

-0.0081

0.3684

-0.0767

-0.0282

0.0981

-0.0872

-0.0086

0.1524

-0.1667

-0.0254

0.1640

-0.0581

-0.0095

0.1237

0.0376

0.0047

0.0939

0.0641

0.0060

0.3522

0.0000

0.0000

0.0917

-0.0221

-0.0020

0.1797

0.2333

0.0419

0.1587

0.0123

0.0020

0.1266

0.1399

0.0177

0.0949

0.1265

0.0120

0.3092

-0.0221

-0.0068

0.0842

0.0226

0.0019

0.1947

0.2072

0.0404

0.1903

0.3354

0.0638

0.1313

0.1477

0.0194

0.0991

0.1551

0.0154

0.2793

0.0000

0.0000

0.0682

-0.1029

-0.0070

0.2455

0.3955

0.0971

0.1766

0.0329

0.0058

0.1354

0.0198

0.0027

0.0956

-0.0463

-0.0044

0.2868

0.0286

0.0082

0.0713

0.0328

0.0023

0.2377

-0.0428

-0.0102

0.1731

-0.0311

-0.0054

Sumber : IDX Monthly Statistics, data hasil olahan Ms.Excell

157
Bulan
Jan
Feb
Mar
Apr
Mei
Jun
Jul
Ags
Sept
Okt
Nov
Des

W1

INDF
R1

Ri

0.1507

0.0971

0.1528

Tahun 2008
UNVR
R3
Ri
W4

W2

MEDC
R2

KLBF
R4

W5

ANTM
R5

W6

UNTR
R6

Ri

W3

Ri

Ri

Ri

0.0146

0.0762

-0.2136

-0.0163

0.2974

0.0222

0.0066

0.0688

-0.0476

-0.0033

0.1926

-0.2287

-0.0441

0.2142

0.2202

0.0472

0.0354

0.0054

0.0760

0.0185

0.0014

0.2870

-0.0145

-0.0042

0.0590

-0.1250

-0.0074

0.2163

0.0846

0.0183

0.2090

-0.0038

-0.0008

0.1218

-0.2051

-0.0250

0.0615

-0.1939

-0.0119

0.2921

0.0147

0.0043

0.0552

-0.0667

-0.0037

0.1773

-0.1974

-0.0350

0.2921

-0.0528

-0.0154

0.1315

-0.0215

-0.0028

0.0800

0.1805

0.0144

0.3175

-0.0145

-0.0046

0.0565

-0.0714

-0.0040

0.2043

0.1294

0.0264

0.2102

-0.0398

-0.0084

0.1503

0.2308

0.0347

0.0957

0.2866

0.0274

0.2928

-0.0074

-0.0022

0.0508

-0.0176

-0.0009

0.1762

-0.1417

-0.0250

0.2342

0.1992

0.0467

0.1386

-0.1429

-0.0198

0.0963

-0.0644

-0.0062

0.3150

0.0000

0.0000

0.0528

-0.0341

-0.0018

0.1853

0.0410

0.0076

0.2119

-0.1488

-0.0315

0.1398

-0.0521

-0.0073

0.0997

-0.0265

-0.0026

0.3425

0.0470

0.0161

0.0529

-0.0588

-0.0031

0.1536

-0.1877

-0.0288

0.2115

-0.0617

-0.0131

0.1435

0.0079

0.0011

0.1103

0.0652

0.0072

0.3736

0.0507

0.0190

0.0514

-0.0625

-0.0032

0.1218

-0.2282

-0.0278

0.1993

-0.0921

-0.0184

0.1324

-0.1289

-0.0171

0.0864

-0.2515

-0.0217

0.4094

0.0345

0.0141

0.0472

-0.1333

-0.0063

0.0996

-0.2335

-0.0233

0.2249

-0.0870

-0.0196

0.0981

-0.4439

-0.0436

0.0718

-0.4207

-0.0302

0.5829

-0.0067

-0.0039

0.0380

-0.4385

-0.0167

0.1017

-0.1463

-0.0149

0.1075

-0.6667

-0.0716

0.0847

-0.1101

-0.0093

0.0613

-0.1190

-0.0073

0.5843

0.0336

0.0196

0.0414

0.1233

0.0051

0.0968

0.0014

0.0001

0.1315

0.2619

0.0344

0.0793

-0.0412

-0.0033

0.0605

0.0108

0.0007

0.5778

0.0130

0.0075

0.0394

-0.0244

-0.0010

0.1009

0.0332

0.0033

0.1421

0.1069

0.0152

Sumber : IDX Monthly Statistics, data hasil olahan Ms.Excell

158
LAMPIRAN 8.
DAFTAR NILAI KURS, SUKU BUNGA INDONESIA, DAN INFLASI

Tahun 2003
BLN

Tahun 2004

Tahun 2005

Tahun 2006

Tahun 2007

Tahun 2008

Kurs

Suku
Bunga

Inflasi

Kurs

Suku
Bunga

Inflasi

Kurs

Suku
Bunga

Inflasi

Kurs

Suku
Bunga

Inflasi

Kurs

Suku
Bunga

Inflasi

Kurs

Suku
Bunga

Inflasi

Jan

4.01

12.69

8.68

3.04

7.86

4.82

0.10

7.42

7.32

-4.28

12.75

17.03

3.24

9.50

6.26

0.64

8.00

7.36

Feb

4.64

12.24

7.60

2.88

7.48

4.60

0.28

7.43

7.15

-5.18

12.74

17.92

2.95

9.25

6.30

0.53

7.93

7.40

Mar

4.23

11.40

7.17

2.31

7.42

5.11

-1.37

7.44

8.81

-3.01

12.73

15.74

2.48

9.00

6.52

-0.21

7.96

8.17

Apr

3.44

11.06

7.62

1.41

7.33

5.92

-0.42

7.70

8.12

-2.66

12.74

15.40

2.71

9.00

6.29

-0.97

7.99

8.96

Mei

3.29

10.44

7.15

0.85

7.32

6.47

0.55

7.95

7.40

-3.10

12.50

15.60

2.74

8.75

6.01

-2.07

8.31

10.38

Jun

2.55

9.53

6.98

0.51

7.34

6.83

0.83

8.25

7.42

-3.03

12.50

15.53

2.73

8.50

5.77

-2.30

8.73

11.03

8.49

7.84

-2.90

12.25

15.15

2.19

8.25

6.06

-2.67

9.23

11.90

Jul

2.83

9.10

6.27

0.16

7.36

7.20

0.65

Ags

2.40

8.91

6.51

0.70

7.37

6.67

1.18

9.51

8.33

-3.15

11.75

14.90

1.74

8.25

6.51

-2.57

9.28

11.85

Sept

2.33

8.66

6.33

1.12

7.39

6.27

0.94

10.00

9.06

-3.30

11.25

14.55

1.30

8.25

6.95

-2.43

9.71

12.14

Okt

2.00

8.48

6.48

1.19

7.41

6.22

-6.89

11.00

17.89

4.46

10.75

6.29

1.37

8.25

6.88

-0.79

10.98

11.77

Nov

2.96

8.49

5.53

1.23

7.41

6.18

-6.13

12.25

18.38

4.98

10.25

5.27

1.54

8.25

6.71

-0.44

11.24

11.68

Des

3.15

8.31

5.16

1.03

7.43

6.40

-4.36

12.75

17.11

3.15

9.75

6.60

1.41

8.00

6.59

-0.23

10.83

11.06

Sumber ; Bank Indonesia. 2005. Sertifikat Bank Indonesia. www.bi.go.id

159
LAMPIRAN 9.
DATA HASIL OLAHAN ARIMA INFLASI, SBI, DAN KURS

Bulan

Actual
Interest
Rate

Expected
Interest
Rate

Unexpected
Interest
Rate Ft1

Actual
Inflation

Expected
Inflation

Unexpected
Inflation
(Ft2)

Unexpected
Exchange
Rate
Fluctuation

Expected
Rate
Fluctuation

Unexpected
Rate
Fluctuation
(Ft3)

Jan-03

12.6900

12.9486

-0.2586

8.6800

10.0009

-1.3209

0.1190

0.1146

0.0044

Feb-03
Mar-03

12.2400
11.4000

12.5354
12.0690

-0.2954
-0.6690

7.6000
7.1700

8.8764
7.9439

-1.2764
-0.7739

0.1190
0.1190

0.1185
0.1183

0.0005
0.0008
0.0036

Apr-03

11.0600

11.0180

0.0420

7.6200

7.5395

0.0805

0.1220

0.1184

May-03

10.4400

11.1028

-0.6628

7.1500

7.8686

-0.7186

0.1290

0.1222

0.0068

Jun-03

9.5300

10.0733

-0.5433

6.9800

7.5185

-0.5385

0.1280

0.1293

-0.0013

Jul-03

9.1000

9.2449

-0.1449

6.2700

7.3599

-1.0899

0.1250

0.1243

0.0007

Aug-03
Sep-03

8.9100
8.6600

9.0558
8.8676

-0.1458
-0.2076

6.5100
6.3300

6.7865
6.9376

-0.2765
-0.6076

0.1240
0.1270

0.1230
0.1224

0.0010
0.0046

Oct-03

8.4800

8.5840

-0.1040

6.4800

6.8052

-0.3252

0.1250

0.1266

-0.0016

Nov-03

8.4900

8.4675

0.0225

5.5300

6.9151

-1.3851

0.1240

0.1218

0.0022

Dec-03

8.3100

8.5522

-0.2422

5.1600

6.1697

-1.0097

0.1260

0.1231

0.0029

Jan-04

7.8600

8.2177

-0.3577

7.8600

5.8257

2.0343

0.1260

0.1250

0.0010

Feb-04
Mar-04

7.4800
7.4200

7.7048
7.4080

-0.2248
0.0120

7.4800
7.4200

7.9418
7.7850

-0.4618
-0.3650

0.1260
0.1240

0.1240
0.1245

0.0020
-0.0005

Apr-04

7.3300

7.4889

-0.1589

7.3300

7.7268

-0.3968

0.1230

0.1216

0.0014

May-04

7.3200

7.2989

0.0211

7.3200

7.6515

-0.3315

0.1150

0.1218

-0.0068

Jun-04

7.3400

7.3955

-0.0555

7.3400

7.6385

-0.2985

0.1120

0.1113

0.0007

Jul-04

7.3600

7.3699

-0.0099

7.3600

7.6534

-0.2934

0.1150

0.1130

0.0020

Aug-04
Sep-04

7.3700
7.3900

7.4166
7.4048

-0.0466
-0.0148

7.3700
7.3900

7.6703
7.6794

-0.3003
-0.2894

0.1130
0.1150

0.1160
0.1118

-0.0030
0.0032
-0.0006

Oct-04

7.4100

7.4434

-0.0334

7.4100

7.6958

-0.2858

0.1160

0.1166

Nov-04

7.4100

7.4521

-0.0421

7.4100

7.7128

-0.3028

0.1170

0.1154

0.0016

Dec-04

7.4300

7.4470

-0.0170

7.4300

7.7140

-0.2840

0.1140

0.1173

-0.0033

Sumber : Hasil Output SPSS 13.00

160
Bulan

Actual
Interest
Rate

Expected
Interest
Rate

Unexpected
Interest
Rate Ft1

Actual
Inflation

Expected
Inflation

Unexpected
Inflation
(Ft2)

Unexpected
Exchange
Rate
Fluctuation

Expected
Rate
Fluctuation

Unexpected
Rate
Fluctuation
(Ft3)

Jan-05

7.4200

7.4816

-0.0616

7.4200

7.7299

-0.3099

0.1150

0.1124

0.0026

Feb-05

7.4300

7.4453

-0.0153

7.4300

7.7230

-0.2930

0.1140

0.1163

-0.0023

Mar-05

7.4400

7.4826

-0.0426

7.4400

7.7305

-0.2905

0.1110

0.1129

-0.0019

Apr-05

7.7000

7.4763

0.2237

7.7000

7.7389

-0.0389

0.1100

0.1108

-0.0008

May-05

7.9500

7.8907

0.0593

7.9500

7.9456

0.0045

0.1110

0.1106

0.0004

Jun-05

8.2500

8.0405

0.2096

8.2500

8.1578

0.0922

0.1090

0.1120

-0.0030

Jul-05

8.4900

8.4258

0.0642

8.4900

8.4100

0.0800

0.1070

0.1087

-0.0017

Aug-05

9.5100

8.5769

0.9331

9.5100

8.6174

0.8926

0.1030

0.1078

-0.0048

Sep-05

10.0000

10.0987

-0.0987

10.0000

9.4398

0.5602

0.1020

0.1031

-0.0011

Oct-05

11.0000

9.9723

1.0277

11.0000

9.8842

1.1158

0.1040

0.1043

-0.0003

Nov-05

12.2500

11.6268

0.6232

12.2500

10.7070

1.5430

0.1050

0.1063

-0.0013

Dec-05

12.7500

12.6224

0.1276

12.7500

11.7537

0.9963

0.1070

0.1065

0.0005

Jan-06

12.7500

12.8231

-0.0731

12.7500

12.2213

0.5287

0.1120

0.1090

0.0030

Feb-06

12.7400

12.7044

0.0356

12.7400

12.2532

0.4868

0.1150

0.1142

0.0008

Mar-06

12.7300

12.7589

-0.0289

12.7300

12.2475

0.4825

0.1170

0.1153

0.0017

Apr-06

12.7400

12.7108

0.0292

12.7400

12.2392

0.5009

0.1210

0.1173

0.0037

May-06

12.5000

12.7550

-0.2550

12.5000

12.2465

0.2535

0.1150

0.1215

-0.0065

Jun-06

12.5000

12.3498

0.1503

12.5000

12.0568

0.4432

0.1140

0.1115

0.0025

Jul-06

12.2500

12.5896

-0.3395

12.2500

12.0439

0.2061

0.1170

0.1155

0.0015

Aug-06

11.7500

12.0528

-0.3028

11.7500

11.8449

-0.0949

0.1160

0.1173

-0.0013

Sep-06

11.2500

11.5805

-0.3305

11.2500

11.4351

-0.1851

0.1140

0.1150

-0.0010

Oct-06

10.7500

11.0701

-0.3201

10.7500

11.0109

-0.2609

0.1160

0.1136

0.0024

Nov-06

10.2500

10.5823

-0.3323

10.2500

10.5857

-0.3357

0.1150

0.1170

-0.0019

Dec-06

9.7500

10.0811

-0.3311

9.7500

10.1605

-0.4105

0.1170

0.1139

0.0031

Sumber : Hasil Output SPSS 13.00

161
Bulan

Actual
Interest
Rate

Expected
Interest
Rate

Unexpected
Interest
Rate Ft1

Actual
Inflation

Expected
Inflation

Unexpected
Inflation
(Ft2)

Unexpected
Exchange
Rate
Fluctuation

Expected
Rate
Fluctuation

Unexpected
Rate
Fluctuation
(Ft3)

Jan-07

9.5000

9.5878

-0.0878

9.5000

9.7353

-0.2353

0.1160

0.1181

-0.0021

Feb-07

9.2500

9.4848

-0.2348

9.2500

9.5081

-0.2581

0.1150

0.1146

0.0004

Mar-07

9.0000

9.1508

-0.1508

9.0000

9.2945

-0.2945

0.1160

0.1151

0.0009

Apr-07

9.0000

8.9535

0.0465

9.0000

9.0819

-0.0818

0.1170

0.1161

0.0009

May-07

8.7500

9.0703

-0.3203

8.7500

9.0674

-0.3173

0.1200

0.1169

0.0031

Jun-07

8.5000

8.6063

-0.1063

8.5000

8.8682

-0.3682

0.1170

0.1204

-0.0034

Jul-07

8.2500

8.4859

-0.2359

8.2500

8.6565

-0.4065

0.1150

0.1147

0.0003

Aug-07

8.2500

8.1622

0.0878

8.2500

8.4440

-0.1940

0.1120

0.1151

-0.0031

Sep-07

8.2500

8.3537

-0.1037

8.2500

8.4295

-0.1795

0.1160

0.1110

0.0050

Oct-07

8.2500

8.2404

0.0096

8.2500

8.4285

-0.1785

0.1160

0.1184

-0.0023

Nov-07

8.2500

8.3075

-0.0575

8.2500

8.4284

-0.1784

0.1130

0.1145

-0.0014

Dec-07

8.0000

8.2678

-0.2678

8.0000

8.4284

-0.4284

0.1120

0.1126

-0.0006

Jan-08

8.0000

7.8963

0.1037

8.0000

8.2303

-0.2303

0.1140

0.1123

0.0017

Feb-08

7.9300

8.1161

-0.1861

7.9300

8.2168

-0.2868

0.1170

0.1151

0.0020

Mar-08

7.9600

7.8755

0.0845

7.9600

8.1604

-0.2004

0.1150

0.1175

-0.0025

Apr-08

7.9900

8.0653

-0.0753

7.9900

8.1803

-0.1903

0.1140

0.1136

0.0004

May-08

8.3100

8.0004

0.3096

8.3100

8.2055

0.1045

0.1130

0.1144

-0.0013

Jun-08

8.7300

8.5443

0.1857

8.7300

8.4608

0.2692

0.1150

0.1127

0.0024

Jul-08

9.2300

8.8859

0.3441

9.2300

8.8110

0.4190

0.1160

0.1162

-0.0001

Aug-08

9.2800

9.4736

-0.1936

9.2800

9.2311

0.0489

0.1160

0.1156

0.0004

Sep-08

9.7100

9.2048

0.5052

9.7100

9.2994

0.4106

0.1130

0.1159

-0.0029

Oct-08

10.9800

10.0431

0.9369

10.9800

9.6448

1.3352

0.0950

0.1118

-0.0168

Nov-08

11.2400

11.5533

-0.3133

11.2400

10.6748

0.5652

0.0860

0.0905

-0.0045

Dec-08

10.8300

11.0704

-0.2404

10.8300

10.9511

-0.1211

0.0960

0.0901

0.0059

Sumber : Hasil Output SPSS 13.00

162
LAMPIRAN 10.
TABEL ANOVA INDUSTRI MANUFAKTUR TAHUN 2003-2008
A. UNTUK EXPECTED RETURN CAPM
1.

INDF
ANOVAb
Model
1

Regression
Residual
Total

Sum of
Squares
.062
.029
.091

df

Mean Square
.062
.000

1
70
71

F
148.461

Sig.
.000a

a. Predictors: (Const ant), PR.I NDF
b. Dependent Variable: ER

2.

MEDC
ANOVAb
Model
1

Regression
Residual
Total

Sum of
Squares
.123
.034
.157

df

Mean Square
.123
.000

1
70
71

F
254.152

Sig.
.000a

a. Predictors: (Const ant), PR.MEDC
b. Dependent Variable: ER

3.

UNVR
ANOVAb
Model
1

Regression
Residual
Total

Sum of
Squares
.000
.138
.138

df
1
70
71

Mean Square
.000
.002

F
.047

Sig.
.828a

a. Predictors: (Const ant), PR.UNVR
b. Dependent Variable: ER

4.

KLBF
b
A
NOVA

Model
1

Regression
Residual
Total

Sum of
Squares
.098
.013
.111

df
1
70
71

a. Predictors: (Const ant), PR.KLBF
b. Dependent Variable: ER

163

Mean Square
.098
.000

F
527.666

Sig.
.000a
5.

ANTM
ANOVAb
Model
1

Regression
Residual
Total

Sum of
Squares
.087
.028
.115

df

Mean Square
.087
.000

F
217.525

Sig.
.000a

Mean Square
.074
.000

1
70
71

F
273.852

Sig.
.000a

a. Predictors: (Const ant), PR.ANTM
b. Dependent Variable: ER

6.

UNTR
ANOVAb
Model
1

Regression
Residual
Total

Sum of
Squares
.074
.019
.093

df
1
70
71

a. Predictors: (Const ant), PR.UNTR
b. Dependent Variable: ER

B. UNTUK EXPECTED RETURN MODEL APT
1. INDF
ANOVAb
Model
1

Regression
Residual
Total

Sum of
Squares
.096
.041
.138

df

Mean Square
.032
.001

3
68
71

F
52.609

Sig.
.000a

a. Predictors: (Const ant), P.Kurs, P.SBI, P.Inf lasi
b. Dependent Variable: Expected Return APT

2.

MEDCO
ANOVAb
Model
1

Regression
Residual
Total

Sum of
Squares
.118
.040
.157

df
3
68
71

Mean Square
.039
.001

a. Predictors: (Const ant), P.Kurs, P.SBI, P.Inf lasi
b. Dependent Variable: Expected Return APT

164

F
67.258

Sig.
.000a
3.

UNVR
ANOVAb
Model
1

Regression
Residual
Total

Sum of
Squares
.096
.041
.138

df

Mean Square
.032
.001

3
68
71

F
52.609

Sig.
.000a

a. Predictors: (Const ant), P.Kurs, P.SBI, P.Inf lasi
b. Dependent Variable: Expected Return APT

4.

KLBF
ANOVAb
Model
1

Regression
Residual
Total

Sum of
Squares
.089
.022
.111

df
3
68
71

Mean Square
.030
.000

F
90.952

Sig.
.000a

a. Predictors: (Const ant), P.Kurs, P.SBI, P.Inf lasi
b. Dependent Variable: Expected Return APT

5.

ANTM
b
A
NOVA

Model
1

Regression
Residual
Total

Sum of
Squares
.089
.026
.115

df
3
68
71

Mean Square
.030
.000

F
77.743

Sig.
.000a

a. Predictors: (Const ant), P.Kurs, P.SBI, P.Inf lasi
b. Dependent Variable: Expected Return APT

6.

UNTR
b
A
NOVA

Model
1

Regression
Residual
Total

Sum of
Squares
.072
.021
.093

df
3
68
71

Mean Square
.024
.000

a. Predictors: (Const ant), P.Kurs, P.SBI, P.Inf lasi
b. Dependent Variable: Expected Return APT

165

F
77.616

Sig.
.000a
LAMPIRAN 11.
TABEL MODEL SUMMARY DAN COEFFICIENT INDUSTRI MANUFAKTUR TAHUN 2003-2008
A. UNTUK EXPECTED RETURN CAPM
1. INDF
b
Model Summary

Change Statistics
Model
1

R
.824a

R Square
.680

Adjusted
R Square
.675

St d. Error of
the Estim ate
.02039

R Square
Change
.680

F Change
148.461

df 1

df 2
1

70

Sig. F Change
.000

DurbinWat son
.622

a. Predictors: (Const ant), PR. INDF
b. Dependent Variable: ER

a
Coeffi ci ents

Model
1

(Constant)
PR.INDF

Unstandardized
Coef f icients
B
St d. Error
.016
.003
-.496
.041

St andardized
Coef f icients
Beta
-.824

t
5.889
-12.184

Sig.
.000
.000

95% Conf idence Interv al f or B
Lower Bound
Upper Bound
.010
.021
-.577
-.415

Zero-order
-.824

Correlations
Part ial
-.824

a. Dependent Variable: ER

2. MEDC
b
Model Summary

Change Statistics
Model
1

R
.885a

R Square
.784

Adjusted
R Square
.781

St d. Error of
the Estimate
.02204

R Square
Change
.784

F Change
254.152

a. Predictors: (Const ant), PR. MEDC
b. Dependent Variable: ER

167

df 1

df 2
1

70

Sig. F Change
.000

DurbinWat son
.486

Part
-.824

Collinearity Statistics
Tolerance
VI F
1.000

1.000
a
Coeffi ci ents

Model
1

(Constant)
PR.MEDC

Unstandardized
Coef f icients
B
St d. Error
.017
.003
-.741
.046

St andardized
Coef f icients
Beta
-.885

t
6.311
-15.942

95% Conf idence Interv al f or B
Lower Bound
Upper Bound
.012
.022
-.834
-.648

Sig.
.000
.000

Zero-order
-.885

Correlations
Part ial

Part

-.885

Collinearity Statistics
Tolerance
VI F

-.885

1.000

1.000

a. Dependent Variable: ER

3. UNVR
b
Model Summary

Change Statistics
Model
1

R
.026a

Adjusted
R Square
-.014

R Square
.001

St d. Error of
the Estim ate
.04432

R Square
Change
.001

F Change
.047

df 1

df 2
1

70

DurbinWat son
.348

Sig. F Change
.828

a. Predictors: (Const ant), PR. UNVR
b. Dependent Variable: ER
a
Coeffi ci ents

Model
1

(Constant)
PR.UNVR

Unstandardized
Coef f icients
B
St d. Error
.003
.009
-.014
.064

St andardized
Coef f icients
Beta
-.026

t
.338
-.217

95% Conf idence Interv al f or B
Lower Bound
Upper Bound
-.015
.021
-.142
.114

Sig.
.736
.828

Zero-order
-.026

Correlations
Part ial

Part

-.026

a. Dependent Variable: ER

4. KLBF
b
Model Summary

Change Statistics
Model
1

R
.940a

R Square
.883

Adjusted
R Square
.881

St d. Error of
the Estimate
.01362

R Square
Change
.883

F Change
527.666

a. Predictors: (Const ant), PR. KLBF
b. Dependent Variable: ER

168

df 1

df 2
1

70

Sig. F Change
.000

DurbinWat son
.305

-.026

Collinearity Statistics
Tolerance
VI F
1.000

1.000
a
Coeffi ci ents

Model
1

(Constant)
PR.KLBF

Unstandardized
Coef f icients
B
St d. Error
.017
.002
-.870
.038

St andardized
Coef f icients
Beta
-.940

t
9.704
-22.971

Sig.
.000
.000

95% Conf idence Interv al f or B
Lower Bound
Upper Bound
.013
.020
-.945
-.794

Zero-order

Correlations
Part ial

-.940

-.940

Part
-.940

Collinearity Statistics
Tolerance
VI F
1.000

1.000

a. Dependent Variable: ER

5. ANTM
b
Model Summary

Change Statistics
Model
1

R
.870a

R Square
.757

Adjusted
R Square
.753

St d. Error of
the Estim ate
.02002

R Square
Change
.757

F Change
217.525

df 1

df 2
1

70

Sig. F Change
.000

DurbinWat son
.732

a. Predictors: (Const ant), PR. ANTM
b. Dependent Variable: ER
a
Coeffi ci ents

Model
1

(Constant)
PR.ANTM

Unstandardized
Coef f icients
B
St d. Error
.010
.002
-.922
.062

St andardized
Coef f icients
Beta
-.870

t
4.184
-14.749

Sig.
.000
.000

95% Conf idence Interv al f or B
Lower Bound
Upper Bound
.005
.015
-1.046
-.797

Zero-order

Correlations
Part ial

-.870

-.870

Part
-.870

a. Dependent Variable: ER

6. UNTR
b
Model Summary

Change Statistics
Model
1

R
.892a

R Square
.796

Adjusted
R Square
.794

St d. Error of
the Estim ate
.01647

R Square
Change
.796

F Change
273.852

a. Predictors: (Const ant), PR. UNTR
b. Dependent Variable: ER

169

df 1

df 2
1

70

Sig. F Change
.000

DurbinWat son
.440

Collinearity Statistics
Tolerance
VI F
1.000

1.000
a
Coeffi ci ents

Model
1

(Constant)
PR.UNTR

Unstandardized
Coef f icients
B
St d. Error
.013
.002
-.644
.039

St andardized
Coef f icients
Beta
-.892

t
6.621
-16.548

Sig.
.000
.000

95% Conf idence Interv al f or B
Lower Bound
Upper Bound
.009
.017
-.722
-.566

Zero-order
-.892

Correlations
Part ial
-.892

Part
-.892

Collinearity Statistics
Tolerance
VI F
1.000

1.000

a. Dependent Variable: ER

B. UNTUK EXPECTED RETURN APT
1. INDF
b
Model Summary

Change Statistics
Model
1

R
.836a

R Square
.699

Adjusted
R Square
.686

St d. Error of
the Estim ate
.02469

R Square
Change
.699

F Change
52.609

df 1

df 2
3

68

Sig. F Change
.000

DurbinWat son
1.196

a. Predictors: (Const ant), P.Kurs, P.SBI, P.Inf lasi
b. Dependent Variable: Expected Return APT
a
Coeffi ci ents

Model
1

(Constant)
P. Inf lasi
P. SBI
P. Kurs

Unstandardized
Coef f icients
B
St d. Error
.007
.003
.080
.012
.021
.006
-1.992
.978

St andardized
Coef f icients
Beta
.561
.284
-.152

t
2.232
6.628
3.543
-2.037

Sig.
.029
.000
.001
.046

95% Conf idence Interv al f or B
Lower Bound
Upper Bound
.001
.012
.056
.104
.009
.032
-3.943
-.041

a. Dependent Variable: Expected Return APT

170

Zero-order
.785
.643
-.495

Correlations
Part ial
.626
.395
-.240

Part
.441
.236
-.136

Collinearity Statistics
Tolerance
VI F
.618
.688
.792

1.619
1.452
1.262
2. MEDC
b
Model Summary

Change Statistics
Model
1

R
.865a

R Square
.748

Adjusted
R Square
.737

St d. Error of
the Estimate
.02416

R Square
Change
.748

F Change
67.258

df 1

df 2
3

68

Sig. F Change
.000

DurbinWat son
1.420

a. Predictors: (Const ant), P.Kurs, P.SBI, P.Inf lasi
b. Dependent Variable: Expected Return APT
a
Coeffi ci ents

Model
1

(Constant)
P. Inf lasi
P. SBI
P. Kurs

Unstandardized
Coef f icients
B
St d. Error
.012
.003
.120
.012
.011
.006
.209
.957

St andardized
Coef f icients
Beta
.785
.142
.015

t
4.217
10.135
1.939
.219

Sig.
.000
.000
.057
.827

95% Conf idence Interv al f or B
Lower Bound
Upper Bound
.006
.018
.096
.144
.000
.023
-1.700
2.119

Zero-order

Correlations
Part ial

.857
.570
-.381

Part

.776
.229
.027

Collinearity Statistics
Tolerance
VI F

.617
.118
.013

.618
.688
.792

1.619
1.452
1.262

a. Dependent Variable: Expected Return APT

3. UNVR
b
Model Summary

Change Statistics
Model
1

R
.836a

R Square
.699

Adjusted
R Square
.686

St d. Error of
the Estim ate
.02469

R Square
Change
.699

F Change
52.609

df 1

df 2
3

68

Sig. F Change
.000

DurbinWat son
1.196

a. Predictors: (Const ant), P.Kurs, P.SBI, P.Inf lasi
b. Dependent Variable: Expected Return APT
a
Coeffi ci ents

Model
1

(Constant)
P. Inf lasi
P. SBI
P. Kurs

Unstandardized
Coef f icients
B
St d. Error
.007
.003
.080
.012
.021
.006
-1.992
.978

St andardized
Coef f icients
Beta
.561
.284
-.152

t
2.232
6.628
3.543
-2.037

Sig.
.029
.000
.001
.046

a. Dependent Variable: Expected Return APT

171

95% Conf idence Interv al f or B
Lower Bound
Upper Bound
.001
.012
.056
.104
.009
.032
-3.943
-.041

Zero-order
.785
.643
-.495

Correlations
Part ial
.626
.395
-.240

Part
.441
.236
-.136

Collinearity Statistics
Tolerance
VI F
.618
.688
.792

1.619
1.452
1.262
4. KLBF
b
Model Summary

Change Statistics
Model
1

R
.895a

R Square
.801

Adjusted
R Square
.792

St d. Error of
the Estim ate
.01804

R Square
Change
.801

F Change
90.952

df 1

df 2
3

68

DurbinWat son
1.682

Sig. F Change
.000

a. Predictors: (Const ant), P.Kurs, P.SBI, P.Inf lasi
b. Dependent Variable: Expected Return APT
a
Coeffi ci ents

Model
1

(Constant)
P. Inf lasi
P. SBI
P. Kurs

Unstandardized
Coef f icients
B
St d. Error
.009
.002
.105
.009
.008
.004
-.237
.715

St andardized
Coef f icients
Beta
.816
.116
-.020

t
4.052
11.840
1.784
-.331

Sig.
.000
.000
.079
.741

95% Conf idence Interv al f or B
Lower Bound
Upper Bound
.004
.013
.087
.122
-.001
.016
-1.662
1.189

Zero-order
.889
.572
-.422

Correlations
Part ial
.821
.211
-.040

Part
.641
.097
-.018

a. Dependent Variable: Expected Return APT

5. ANTM
b
Model Summary

Change Statistics
Model
1

R
.880a

R Square
.774

Adjusted
R Square
.764

St d. Error of
the Estimate
.01956

R Square
Change
.774

F Change
77.743

a. Predictors: (Const ant), P.Kurs, P.SBI, P.Inf lasi
b. Dependent Variable: Expected Return APT

172

df 1

df 2
3

68

Sig. F Change
.000

DurbinWat son
1.758

Collinearity Statistics
Tolerance
VI F
.618
.688
.792

1.619
1.452
1.262
a
Coeffi ci ents

Model
1

(Constant)
P. Inf lasi
P. SBI
P. Kurs

Unstandardized
Coef f icients
B
St d. Error
.007
.002
.107
.010
.007
.005
-.096
.775

St andardized
Coef f icients
Beta
.815
.103
-.008

t
2.953
11.121
1.485
-.123

Sig.
.004
.000
.142
.902

95% Conf idence Interv al f or B
Lower Bound
Upper Bound
.002
.012
.087
.126
-.002
.016
-1.641
1.450

Zero-order
.876
.555
-.405

Correlations
Part ial
.803
.177
-.015

Collinearity Statistics
Tolerance
VI F

Part
.641
.086
-.007

.618
.688
.792

1.619
1.452
1.262

a. Dependent Variable: Expected Return APT

6. UNTR
b
Model Summary

Change Statistics
Model
1

R
.880a

R Square
.774

Adjusted
R Square
.764

St d. Error of
the Estimate
.01761

R Square
Change
.774

F Change
77.616

df 1

df 2
3

68

DurbinWat son
1.660

Sig. F Change
.000

a. Predictors: (Const ant), P.Kurs, P.SBI, P.Inf lasi
b. Dependent Variable: Expected Return APT

a
Coeffi ci ents

Model
1

(Constant)
P. Inf lasi
P. SBI
P. Kurs

Unstandardized
Coef f icients
B
St d. Error
.008
.002
.098
.009
.007
.004
.582
.698

St andardized
Coef f icients
Beta
.830
.122
.054

t
3.990
11.315
1.756
.834

Sig.
.000
.000
.084
.407

95% Conf idence Interv al f or B
Lower Bound
Upper Bound
.004
.013
.080
.115
-.001
.016
-.810
1.974

a. Dependent Variable: Expected Return APT

173

Zero-order
.873
.561
-.355

Correlations
Part ial
.808
.208
.101

Part
.652
.101
.048

Collinearity Statistics
Tolerance
VI F
.618
.688
.792

1.619
1.452
1.262

CAPM dan Arbitrage Pricing Theory

  • 1.
    TESIS ANALISIS CAPITAL ASSETPRICING MODEL DAN ARBITRAGE PRICING THEORY DALAM MEMPREDIKSI RETURN SAHAM INDUSTRI MANUFAKTUR YANG TERCATAT DI BURSA EFEK INDONESIA AN ANALYSIS ON CAPITAL ASSET PRICING MODEL AND ARBITRAGE PRICING THEORY IN PREDECTING STOCK RETURN OF MANUFACTURE INDUSTRY LISTED IN INDONESIA STOCK EXCHANGE MUSDALIFAH PROGRAM PASCASARJANA UNIVERSITAS HASANUDDIN MAKASSAR 2009
  • 2.
    Analisis Capital AssetPricing Model Dan Arbitrage Pricing Theory Dalam Memprediksi Return Saham Industri Manufaktur Yang Tercatat Di Bursa Efek Indonesia TESIS Sebagai Salah Satu Syarat untuk Mencapai Gelar Magister Program Studi Manajemen dan Keuangan Disusun dan Diajukan oleh MUSDALIFAH Kepada PROGRAM PASCASARJANA UNIVERSITAS HASANUDDIN MAKASSAR 2009 ii
  • 3.
    LEMBAR PENGESAHAN TESIS Analisis CapitalAsset Pricing Model dan Arbitrage Pricing Theory Dalam Memprediksi Return saham Industri Manufaktur yang tercatat di Bursa Efek Indonesia Disusun dan diajukan oleh MUSDALIFAH Nomor Pokok P1700207035 Program Studi Manajamen dan Keuangan Menyetujui Komisi Penasihat, Ketua Anggota Prof. Dr. H. Syamsu Alam, SE., M.Si Ketua Program Studi Dr. Jusni, SE.,M.Si Dekan Manajemen dan Keuangan Fakultas Ekonomi Prof. Dr. H. Osman Lewangka, MA iii Prof. Dr. H. Muh. Yunus Zain, MA
  • 4.
    PERNYATAAN KEASLIAN TESIS Yangbertanda tangan di bawah ini : Nama : Musdalifah Nomor Mahasiswa : P1700207035 Program Studi : Manajemen dan Keuangan Menyatakan dengan sebenarnya bahwa tesis yang saya tulis ini benar – benar merupakan hasil karya saya sendiri, bukan merupakan pengambilalihan tulisan atau pemikiran orang lain. Apabila di kemudian hari terbukti atau dapat dibuktikan bahwa sebagian atau keseluruhan tesis ini hasil karya orang lain, saya bersedia menerima sanksi atas perbuatan tersebut. Makassar, 1 Juni 2009 Yang menyatakan, (Musdalifah) iv
  • 5.
    PRAKATA Puji syukur penulispanjatkan ke hadirat Allah SWT dengan selesainya penyusunan tesis ini. Gagasan yang melatari tajuk permasalahan ini timbul dari pengamatan penulis terhadap fluktuasi return saham industri manufaktur yang tercatat di Bursa Efek Indonesia. Dan dalam pengamatan penulis bahwa return saham dapat diprediksi dengan menggunakan dua model yang paling populer yaitu Capital Asset Pricing Model (CAPM) dan Model Arbitrage Pricing Theory (APT). Penulis bermaksud menyumbangkan beberapa konsep yang menjadi dasar perbedaan kedua model tersebut sehingga mengetahui seberapa besar perbedaan akurasi Capital Asset Pricing Model (CAPM) dan Model Arbitrage Pricing Theory (APT) dalam memprediksi return saham industri manufaktur yang tercatat di Bursa Efek Indonesia. Penulis menghadapi banyak kendala dalam menyusun tesis ini, tetapi alhamdulillah atas bantuan dukungan moral dari berbagai pihak, maka tesis ini selesai pada waktunya. Dalam kesempatan ini penulis dengan tulus menyampaikan terima kasih kepada Prof.Dr.H.Syamsu Alam, SE.,M.Si selaku Ketua Komisi Penasihat dan Dr.Jusni,SE.,M.Si selaku Anggota Komisi Penasehat. Makassar, 18 Juli 2009 Musdalifah v
  • 6.
    ABSTRAK MUSDALIFAH. Analisis CapitalAsset Pricing Model dan Arbitrage Pricing Theory Dalam Memprediksi Return Saham Industri manufaktur yang tercatat di Bursa Efek Indonesia (dibimbing oleh Syamsu Alam dan Jusni). Penelitian ini bertujuan untuk menunjukkan pengaruh Premi Risiko dengan Capital Asset Pricing Model, dan pengaruh Inflasi, SBI, Kurs dengan model Arbitrage Pricing Theory dalam memprediksi return saham, dan perbedaan Expected Return Capital Asset Pricing Model dan Expected Return Arbitrage Pricing Theory, serta perbedaan penyimpangan rata-rata absolut Capital Asset Pricing Model dan model Arbitrage Pricing Theory pada saham industri manufaktur yang tercatat di Bursa Efek Indonesia. Penelitian ini menggunakan metode purpose sampling. Data dianalisis dengan analisis regresi dan uji beda dua rata – rata sampel. Premi Risiko yang diukur dengan Capital Asset Pricing Model dan Inflasi, SBI, Kurs yang diukur dengan model Arbitrage Pricing Theory menyatakan bahwa variabel tersebut secara bersama-sama mempunyai pengaruh dalam memprediksi return saham. Dan pengujian beda dua rata-rata menyatakan bahwa Expected Return Capital Asset Pricing Model berbeda dengan Expected Return Arbitrage Pricing Theory, dan rata-rata penyimpangan absolut Capital Asset Pricing Model berbeda dengan Arbitrage Pricing Theory pada saham industri manufaktur yang tercatat di Bursa Efek Indonesia. vi
  • 7.
    ABSTRACT MUSDALIFAH. An Analysison Capital Asset Pricing Model and Arbitrage Pricing Theory in predicting Stock Return of Manufacture Industry Listed in Indonesia Stock Exchange ( supervised by Syamsu Alam dan Jusni). This research aim to point out the influence of risk premium which is measured by using capital asset pricing model, and the influence of inflation, the rate of interest, and the exchange rate which are measured by using arbitrage pricing theory in predicting stock return, and the difference between expected return capital asset pricing model and expected return arbitrage pricing theory, and the difference between mean absolute deviation capital asset pricing model and arbitrage pricing theory of the stock return of manufacture industry listed in indonesia stock exchange. This research used purposive sampling method, data were then analyzed using regression analysis and the different test of two flattening samples. The results show that risk premium measured by capital asset pricing model, and the inflation, the rate of interest, and the exchange rate measured by using arbitrage pricing theory simultaneously give influence in predicting stock return. And the test different of two flattening samples indicate that expected return capital asset pricing model is different from expected return arbitrage pricing theory. Mean absolute deviation of capital asset pricing model is different from arbitrage pricing theory of the stock return of manufacture industry listed in indonesia stock exchange. vii
  • 8.
    DAFTAR ISI hal PRAKATA .......................................................................................... ABSTRAK.......................................................................................... ABSTRACT ....................................................................................... DAFTAR ISI ....................................................................................... DAFTAR TABEL .............................................................................. DAFTAR GAMBAR ......................................................................... DAFTAR LAMPIRAN ...................................................................... v vi vii viii x xii xiii I PENDAHULUAN A. B. C. D. E. F. G. Latar Belakang Penelitian .......................................................... Identifikasi Masalah ................................................................... Rumusan Masalah ..................................................................... Tujuan Penelitian ....................................................................... Manfaat Penelitian ..................................................................... Ruang Lingkup / Batasan Penelitian ......................................... Sistematika Penulisan ............................................................... 1 7 8 8 9 10 11 II LANDASAN TEORI A. Investasi 1. Definisi Investasi ..................................................................... 2. Risiko Investasi ....................................................................... B. Return Saham ........................................................................... C. Estimasi Risiko dan Return ........................................................ D. Capital Asset Pricing Model ....................................................... E. Arbitrage Pricing Theori - APT ................................................... 1. Perubahan Tingkat Inflasi ...................................................... 2. Perubahan Tingkat Suku Bunga BI Rate .............................. 3. Perubahan Nilai Tukar Atau Kurs .......................................... F. Penelitian – Penelitian Sebelumnya .......................................... G. Kerangka Pemikiran Teoritis dan Perumusan Hipotesis ........... 13 13 18 19 22 25 26 27 28 29 31 III METODE PENELITIAN A. B. C. D. E. F. Metode Yang Digunakan ............................................................ Objek dan Waktu Penelitian ....................................................... Populasi Dan Sampel ................................................................. Teknik Pengumpulan Data ......................................................... Definisi Operacional ………………………………………………... Capital Asset Pricing Model ........................................................ viii 37 38 38 39 40 43
  • 9.
    G. Arbitrage PricingTheory ............................................................. 44 H. Teknik Statistik dan Ekonometrik yang digunakan ..................... 45 IV. GAMBARAN UMUM A. Pasar Modal ................................................................................ 51 B. Perusahaan – perusahaan industri manufaktur .......................... 53 V. ANALISIS DAN PEMBAHASAN A. Analisis Capital Asset Pricing Model 1. Estimasi Parameter Alpha dan Beta ………………………….. 60 2. Pendapatan Saham yang sesungguhnya ……………………. 61 3. Pendapatan Pasar ……………………………………………… 63 4. Expected Return CAPM ………………………………………. 69 5. Pendapatan saham yang diharapkan ………………………… 75 B. Analisis Arbitrage Pricing Theory 1. Menghitung A, B1, B2, Dan B3 Untuk Model APT Pada Industri Manufaktur ……………………………………… 76 2. Model Actual Return APT ……………………………………… 78 3. Menghitung A, B1, B2, Dan B3 Hasil Arima Untuk Expected Return Model APT…………………………………... 87 4. Model Expected Return APT ………………………………….. 90 5. Pendapatan saham yang diharapkan ………………………… 97 C. Rata-rata Penyimpangan Absolut CAPM dan APT ……………... 98 D. Pembahasan 1. Premi Risiko yang diukur dengan menggunakan CAPM…... 100 2. Inflasi, SBI, dan Kurs yang diukur dengan menggunakan model APT ........................................................................... 102 3. Uji beda dua rata-rata Expected Return CAPM dan Expected Return APT…………………………………….. 107 4. Uji beda dua rata-rata penyimpangan Absolut model CAPM dan model APT .............................................. 110 VI. KESIMPULAN DAN SARAN A. Kesimpulan …………………………………………………………. 114 B. Saran – saran ………………………………………………………. 116 DAFTAR PUSTAKA LAMPIRAN ix
  • 10.
    DAFTAR TABEL nomor halaman 1. DataPerusahaan yang digunakan sebagai sampel ............. 39 1.1. Deskriptive Statistic tahun 2003 ………………………… 54 1.2. Deskriptive Statistic tahun 2004 ………………………… 55 1.3. Deskriptive Statistic tahun 2005 ………………………… 56 1.4. Deskriptive Statistic tahun 2006 ………………………… 57 1.5. Deskriptive Statistic tahun 2007 ………………………… 58 1.6. Deskriptive Statistic tahun2008 …………………………. 59 1.7. Sensitivitas return saham terhadap return market ……. 60 2.1. Actual Return (Ri) Tahunan, Model CAPM ……………. 62 3.1. Alpha, Beta, dan R2 tahun 2003 ……………………….. 63 3.1.1 Deskriptive Statistic …………………………………… 64 3.2. Alpha, Beta, dan R2 tahun 2004 ………………………… 65 3.2.1 Deskriptive Statistic ……………………………………. 65 3.3. Alpha, Beta, dan R2 tahun 2005 ………………………… 66 3.3.1 Deskriptive Statistic …………………………………… 66 3.4. Alpha, Beta, dan R2 tahun 2006 ………………………… 67 3.4.1 Deskriptive Statistic …………………………………… 67 3.5. Alpha, Beta, dan R2 tahun 2007 ………………………… 68 3.5.1 Deskriptive Statistic ……………………………………. 68 3.6. Alpha, Beta, dan R2 tahun 2008 ………………………… 69 3.6.1 Deskriptive Statistic …………………………………… 69 4.1. Koefisien Model CAPM INDF (2003-2008) ……………. 70 4.2. Koefisien Model CAPM MEDC (2003-2008) ………….. 71 4.3. Koefisien Model CAPM UNVR (2003-2008) …………… 72 4.4. Koefisien Model CAPM KLBF (2003-2008) …………… 73 4.5. Koefisien Model CAPM ANTM (2003-2008) …………... 74 4.6. Koefisien Model CAPM UNTR (2003-2008) …………… 75 4.7. Expected Return (E(Ri)) tahunan, Model CAPM ……… 76 5.1. Alpha, B1, B2, dan B3 ……………………………………. 77 5.2. Koefisien Model APT INDF (2003-2008) ...................... 78 5.3. Koefisien Model APT MEDC (2003-2008) .................... 80 5.4. Koefisien Model APT UNVR (2003-2008) ..................... 81 5.5. Koefisien Model APT KLBF (2003-2008) ...................... 83 5.6. Koefisien Model APT ANTM (2003-2008) .................... 84 5.7. Koefisien Model APT UNTR (2003-2008) ..................... 86 5.8. Actual Return (Ri) Tahunan, Model APT ...................... 87 6.1. Alpha, B1, B2, dan B3 (olahan data dari ARIMA) .......... 89 6.2. Alpha, B1, B2, dan B3 Expected Return model APT …. 90 6.3. Expected Return (E(Ri)) tahunan, Model APT ………… 98 x
  • 11.
    6.4. MAD IndustriManufaktur selama 5 tahun (2003-2008) . 99 6.5. Group Statistik MAD CAPM dan APT ………………….. 99 7.1.Summary R2, Uji F, Uji T Model CAPM …………………. 100 7.1.1 Keputusan Hipotesis Satu ……………………………… 102 7.2. Summary R2, dan Uji F, Model APT …………………… 103 7.2.1.Keputusan Hipotesis dua ……………………………… 105 7.2.2. Uji T Model APT ………………………………………... 105 7.2.3. Keputusan Hipotesis dua secara parsial …………….. 107 8.1. Ringkasan Statistik Deskriptif CAPM dan APT ............. 108 8.2. Hasil Uji Beda Dua Rata-rata Sample Independent ...... 109 8.3. Keputusan Hipotesis tiga .............................................. 110 8.4. Hasil Uji beda dua rata-rata sample independent ......... 111 8.5. Keputusan Hipotesis empat .......................................... 111 xi
  • 12.
    DAFTAR GAMBAR nomor halaman 1. RisikoSystematic dan Unsystematic ……………………. 16 2. Kerangka Pemikiran ………………………………………. 36 3. Perkembangan IHSG ……………………………………… 53 xii
  • 13.
    DAFTAR LAMPIRAN nomor halaman Daftar IHSGdan Harga Saham ………………………….. 123 Daftar Return IHSG dan Return Harga Saham ………… 126 Market Capitalization dan Proporsi ……………………… 129 Data Proporsi (W), Risiko Perusahaan (R), dan Penghitungan Rm …………………………………………………………. 135 5. Data Rf, Rm, dan Penghitungan Premi Risiko ................. 141 6. Data Deviden, Harga Penutupan Saham, Dan Holding Period Return ……………………………….. 146 7. Data Proporsi, Risiko (HPR), dan Penghitungan Return Realisasi (Actual Return/Ri) ................................. 152 8. Data Nilai Kurs, Data Tingkat Suku Bunga Indonesia dan Data Tingkat Inflasi …………………………………... 158 9. Data Hasil Olahan ARIMA Inflasi, SBI, dan Kurs ………. 159 10. Tabel Anova ………………………………………………… 162 11. Tabel Model Summary dan Coefficient ………………….. 165 1. 2. 3. 4. xiii
  • 14.
    BAB I PENDAHULUAN A. LATARBELAKANG MASALAH Investasi merupakan suatu daya tarik bagi para investor dalam menginvestasikan dananya di pasar modal karena mengharapkan return (tingkat pengembalian) yang berupa: capital gain, dividen atau bunga. Sedangkan di sisi lain para pemodal dihadapkan pada risiko atas investasi. Dengan adanya perubahan risiko investasi tersebut maka pengharapan investor untuk memperoleh return juga akan berubah. Dimana sesuai dengan teori keuangan bahwa ada hubungan yang positif dan linier antara tingkat risiko dan return. Atau dengan kata lain bahwa apabila ada peningkatan risiko akan diikuti oleh tingkat pengharapan return yang semakin tinggi pula oleh para investor, demikian juga sebaliknya. Horne dan Wachoviz (1998:26) mendefinisikan return sebagai:“Return as benefit which related with owner that includes cash dividend last year which is paid, together with market cost appreciation or capital gain which is realization in the end of the year”. Menurut Jones (2000:124) “return is yield dan capital gain (loss)”. (1) Yield, yaitu cash flow yang dibayarkan secara periodik kepada pemegang saham (dalam bentuk dividen), (2) Capital gain (loss), yaitu selisih antara harga saham pada saat pembelian dengan harga saham pada saat penjualan. Hal tersebut diperkuat oleh Corrado dan Jordan (2000:5) yang menyatakan
  • 15.
    bahwa ”Return frominvestment security is cash flow and capital gain/loss”. Berdasarkan pendapat yang telah dikemukakan, dapat diambil kesimpulan return saham adalah keuntungan yang diperoleh dari kepemilikan saham investor atas investasi yang dilakukannya, yang terdiri dari dividen dan capital gain/loss. Risiko dalam berinvestasi, suatu hal yang tidak dapat dihindari keberadaannya. Menurut Reilly et al. (2000:III) risiko dapat diartikan “Risk is the uncertainty that an investment will earn its expected rate of return” dari pengertian tersebut dinyatakan bahwa risiko merupakan ketidaktentuan atas investasi yang akan diperoleh terhadap return yang diharapkan. Sedangkan Sharpe (1999) menyatakan “Risk is the think for measuring of actual return deviation to expected return”. Jones (2000:10) mendefinisikan “Risk is defind as the change that actual return on an investment will be different from the expected return” . Risiko merupakan perubahan dimana return aktual dari investasi akan berbeda-beda terhadap return yang diharapkan. Markowitz (1952) ini menyatakan bahwa “Expected return merupakan tingkat pengembalian dan variance returns merupakan risiko atas instrument investasi tersebut”. Teori portofolio yang dikembangkan oleh Markowitz (1952) berhubungan dengan pemilihan portofolio yang dapat memaksimalkan pengembalian yang diharapkan sesuai dengan tingkat risiko yang dapat diterima. Dengan menggunakan model kuantitatif dan data historis, teori 2
  • 16.
    portofolio mendefinisikan “pengembalianportofolio yang diharapkan” dan tingkat risiko portofolio yang dapat diterima” serta menunjukkan cara pembentukan portofolio yang optimal. Pada bulan Oktober 1990, hadiah Nobel dipersembahkan bagi Harry Markowitz, tokoh pengembang teori portofolio, dan William Sharpe, salah satu tokoh pencetus teori pasar modal. Penghargaan ini merupakan pengakuan betapa pentingnya kedua teori tersebut yaitu teori portofolio dan teori pasar modal. Dan pada penelitian ini difokuskan pada pembahasan teori pasar modal, teori pasar modal berhubungan dengan pengaruh keputusan investor terhadap harga sekuritas. Lebih khususnya, teori menunjukkan hubungan yang seharusnya terjadi antara pengembalian dan risiko sekuritas jika investor membentuk portofolio yang sesuai dengan teori portofolio. Asset Pricing Model ini adalah implikasi kedua teori tersebut dalam penentuan harga aset. Berdasarkan asumsi mengenai perilaku dan harapan investor serta mengenai pasar modal, model ini memperkirakan harga keseimbangan teoritis suatu aktiva. Implikasi utama model ini adalah return yang diharapkan atas aset berhubungan dengan ukuran risiko asset. Hubungan return yang diharapkan dan beta dijelaskan dengan Model Penentuan Harga Aset Kapital (Capital Asset Pricing Model CAPM) yang dicetuskan oleh William Sharpe (1961), CAPM didasarkan pada seperangkat asumsi khusus mengenai perilaku investor dan tersedianya 3
  • 17.
    pasar sekuritas yangsempurna, Selanjutnya terjadi evolusi teori yang membahas perpanjangan dari CAPM yang diperoleh dengan jalan memodifikasi asumsi-asumsi yang mendasarinya, seperti dikemukakan oleh Fisher Black (1972), CAPM Beta Nol, yang dan Robert C.Merton (1973), CAPM Multifaktor, terakhir mendapat kritikan dari Professor Stephen A. Ross yang mempertanyakan keabsahan dari asumsi-asumsi CAPM, Stephen A. Ross (1976) mengembangkan model alternatif yang sepenuhnya berdasarkan dari konsep arbitrase, sehingga disebut model teori penentuan harga arbitrase (Arbitrage Pricing Theory / APT). Ada dua macam Asset Pricing Model yang populer dan dapat digunakan dalam memprediksi return saham. Kedua model (Capital Asset Pricing Model / CAPM dan Arbitrage Pricing Theory / APT) ini populer karena kemudahan dalam aplikasi serta asumsi yang mendasari kedua model ini. Model pertama adalah Capital Asset Pricing Model (CAPM). Model ini diperkenalkan oleh Treynor, Sharpe, Lientner, dan Mossin pada tahun 1960-an. Model ini mengasumsikan bahwa pendapatan saham dipengaruhi oleh satu faktor, yaitu premi risiko pasar dan merupakan model dalam menentukan harga suatu aset pada kondisi equilibrium. Model ini didasarkan pada adanya dalil bahwa return saham sama dengan tingkat pengembalian bebas risiko plus premi risiko yang hanya tinggal mencerminkan risiko yang tersisa setelah dilakukan diversifikasi (Eugene 4
  • 18.
    F. Brigham: 2006).CAPM mempunyai validitas yang tinggi sebagai alat pemprediksi return saham satu tahun ke depan, tetapi tidak valid jika data yang digunakan pada saat pasar berada dalam gejolak yang tinggi (Agus Sumanto: 2005). Keadaan equilibrium suatu tingkat keuntungan yang disyaratkan oleh pemodal untuk suatu saham akan dipengaruhi oleh risiko saham tersebut (Tandelilin, 2001: 90). Perhatian mengenai model keseimbangan ini telah secara menerus dikembangkan. Beberapa diantaranya adalah Sharpe (1964) dan Treynor (1961) yang mengembangkan formulasi meanvariance. Formulasi ini kemudian dikembangkan lebih lanjut dan diklarifikasi oleh Lintner (1965), Mossin (1966), Fama (1968), dan Long (1972). Sebagai tambahan, Treynor (1965), Sharpe (1966), dan Jensen (1968-1969) telah mengembangkan evaluasi portofolio yang mendasarkan pada Assets Pricing Model ini. Kelemahan-kelemahan empiris yang terjadi pada model CAPM mendorong para ahli manajemen keuangan untuk mencari model alternatif yang menerangkan hubungan return dengan risiko saham. Bodie et al. (2005) menjelaskan bahwa Capital Asset Pricing Model (CAPM) merupakan hasil utama dari ekonomi keuangan modern. Capital Asset Pricing Model (CAPM) memberikan prediksi yang tepat antara hubungan risiko sebuah aset dan tingkat harapan pengembalian (expected return). Walaupun Capital Asset Pricing Model belum dapat dibuktikan secara empiris, Capital Asset Pricing Model sudah luas 5
  • 19.
    digunakan karena akurasiCapital Asset Pricing Model yang cukup pada aplikasi penting. Model yang kedua adalah Arbitrage Pricing Theory (APT). Pada tahun 1976 Stephen A. Ross merumuskan sebuah teori yang disebut dengan Arbitrage Pricing Theory (APT), yaitu menyatakan bahwa harga suatu aset bisa dipengaruhi oleh berbagai faktor, tidak hanya satu faktor (portofolio pasar) seperti yang telah dikemukakan pada teori CAPM. Pada model APT faktor – faktor makro ekonomi seperti inflasi, tingkat suku bunga, nilai tukar mata uang turut diperhitungkan dalam memprediksi return saham. Meningkatnya laju inflasi bagaikan pisau bermata dua. Di satu sisi dapat meningkatkan pendapatan dan di sisi lain akan meningkatkan biaya yang dikeluarkan perusahaan. Jika peningkatan biaya lebih besar daripada peningkatan pendapatan maka laba perusahaan akan menurun. Perubahan kurs mata uang akan mempengaruhi iklim investasi karena perubahan kurs mata uang akan mempengaruhi perdagangan antar negara. Tingkat suku bunga dijadikan patokan dalam perbandingan imbalan investasi bila diinvestasikan pada sektor lain. Jika tingkat pengembalian investasi lebih tinggi dari pada tingkat suku bunga maka investasi tersebut layak diterima. Penelitian – penelitian sebelumnya telah banyak dilakukan yang mengarah pada perbandingan kedua model ini. Penelitian yang dilakukan Gancar Candra Premananto & Muhammad Madyan (2004) yang mengemukakan bahwa model CAPM maupun APT masih kurang akurat 6
  • 20.
    dalam memprediksi pendapatansaham industri manufaktur sebelum dan semasa krisis ekonomi. Arduino Cagnetti (2002) melakukan penelitian tentang perbandingan antara model CAPM dengan APT yang menunjukan bahwa APT dengan faktor makro ekonomi, seperti : perubahan inflasi yang diharapkan, inflasi yang tidak terduga, premi risiko, dan tingkat bunga lebih baik daripada CAPM. Penulis tertarik melakukan penelitian lebih lanjut tentang Asset Pricing Model dan tulisan ini diberi judul : “Analisis Capital Asset Pricing Model dan Arbitrage Pricing Theory Dalam Memprediksi Return Saham Industri Manufaktur yang tercatat di Bursa Efek Indonesia” B. IDENTIFIKASI MASALAH Ada dua Asset Pricing Model yang dapat digunakan dalam memprediksi return investasi pada saham. Model yang pertama yaitu model CAPM, model ini mengasumsikan bahwa return saham dipengaruhi satu faktor yaitu premi risiko pasar. Model yang kedua yaitu model APT, model ini mengasumsikan jika investor memiliki peluang untuk meningkatkan return tanpa meningkatkan risiko maka investor tersebut akan memanfaatkan peluang tersebut. Sehingga dalam model APT ini faktor–faktor yang mempengaruhi return saham lebih banyak daripada model CAPM, yaitu : perubahan inflasi, perubahan tingkat suku binga BI rate, dan perubahan nilai tukar atau kurs. 7
  • 21.
    C. RUMUSAN MASALAH Perumusanmasalah penelitian ini adalah sebagai berikut : 1. Bagaimana pengaruh premi risiko yang diukur dengan menggunakan Capital Asset Pricing Model dalam memprediksi return saham Industri Manufaktur yang tercatat di Bursa Efek Indonesia ? 2. Bagaimana pengaruh inflasi, suku bunga indonesia dan nilai kurs yang diukur dengan menggunakan model Arbitrage Pricing Theory dalam memprediksi return saham Industri Manufaktur yang tercatat di Bursa Efek Indonesia ? 3. Apakah ada perbedaan expected return Capital Asset Pricing Model dan model Arbitrage Pricing Theory pada saham Industri Manufaktur yang tercatat di Bursa Efek Indonesia ? 4. Apakah ada perbedaan rata-rata penyimpangan absolut Capital Asset Pricing Model dan model Arbitrage Pricing Theory pada saham Industri Manufaktur yang tercatat di Bursa Efek Indonesia ? D. TUJUAN PENELITIAN Penelitian ini bertujuan, yaitu : 1. Menunjukkan menggunakan pengaruh Capital premi Asset 8 risiko Pricing yang Model diukur (CAPM) dengan dalam
  • 22.
    memprediksi return sahamIndustri Manufaktur yang tercatat di Bursa Efek Indonesia. 2. Menunjukkan pengaruh inflasi, suku bunga indonesia dan nilai kurs yang diukur dengan menggunakan model Arbitrage Pricing Theory (APT) dalam memprediksi return saham Industri Manufaktur yang tercatat di Bursa Efek Indonesia. 3. Menunjukkan perbedaan expected return Capital Asset Pricing Model (CAPM) dan model Arbitrage Pricing Theory (APT) pada saham Industri Manufaktur yang tercatat di Bursa Efek Indonesia. 4. Menunjukkan perbedaan rata-rata penyimpangan absolut Capital Asset Pricing Model dan model Arbitrage Pricing Theory pada saham Industri Manufaktur yang tercatat di Bursa Efek Indonesia. E. MANFAAT PENELITIAN 1. Bagi Investor Suatu bahan pertimbangan dalam pengambilan keputusan untuk melakukan investasi khususnya investasi saham pada sektor manufaktur. 2. Bagi Perusahaan Suatu informasi bagi perusahaan untuk dapat meningkatkan kinerja yang tercermin pada pendapatan sahamnya di pasar modal. 3. Bagi Peneliti dan Pihak Lain 9
  • 23.
    Suatu wawasan yangdapat memperkaya penerapan teori dalam praktek yang sebenarnya. Dan dapat menjadi masukan yang digunakan sebagai acuan penelitian lebih lanjut. F. RUANG LINGKUP/BATASAN PENELITIAN Mengingat luasnya lingkup penelitian ini, maka penulis membatasi penelitian yang dilakukan, adalah sebagai berikut : 1. Batasan masalah pada CAPM dan APT yang merupakan dua model diantara Asset Pricing Model yang ada. Dan pada variabelvariabel tertentu, seperti : premi risiko pasar dalam CAPM, perubahan inflasi, perubahan tingkat suku bunga SBI, perubahan nilai tukar terhadap dollar Amerika dalam model APT dan return saham bulanan pada beberapa saham industri manufaktur yang tercatat di Bursa Efek Indonesia. 2. Ruang lingkup penelitian ini dibatasi hanya pada perusahaanperusahaan sektor industri manufaktur yang tercatat di Bursa Efek Indonesia perusahaan dan merupakan manufaktur kelompok tersebut saham secara LQ terus 45, dan menerus menerbitkan laporan keuangan triwulanannya dari TW l/2003 hingga TW lll/2008, sehingga periode penelitian ini mencakup bulanan yang dilakukan mulai 2008. 10 Januari 2003 hingga Desember
  • 24.
    G. SISTEMATIKA PENULISAN Sistematikapenulisan thesis ini dibagi menjadi lima bab yang masing-masing terdiri dari sub bagian yang berkaitan, antara lain : BAB I : PENDAHULUAN Dalam bab ini penulis mengemukakan latar belakang masalah, identifikasi masalah, rumusan masalah, tujuan penelitian, manfaat penelitian, ruang lingkup / batasan masalah dan sistematika penulisan. BAB II : TINJAUAN PUSTAKA Pada bab ini penulis akan menjabarkan teori-teori mengenai Definisi investasi, return saham, estimasi risiko dan return, Model Penilaian Aset Modal (Capital Asset Pricing Model / CAPM), APT, perubahan inflasi, perubahan tingkat suku bunga, perubahan kurs, penelitian – penelitian sebelumnya, kerangka pemikiran teoritis dan perumusan hipotesis. BAB III : METODOLOGI PENELITIAN Bab ini membahas tentang jenis penelitian yang digunakan, populasi dan sampel penelitian, teknik pengumpulan data, definsi operasional, capital asset pricing model, arbitrage pricing theory, dan teknik statistic serta ekonometrik yang digunakan. BAB IV : GAMBARAN UMUM Bab ini menggambarkan gambaran umum pasar modal dan perusahaanperusahaan yang termasuk kategori industri manufaktur yang tercatat di Bursa Efek Indonesia. 11
  • 25.
    BAB V :ANALISIS DAN PEMBAHASAN Bab ini berisikan penjelasan analisis mengenai hasil penelitian dan pembahasan yang mencakup estimasi alpha dan beta masing-masing saham, menghitung pendapatan saham yang sesungguhnya perusahanperusahaan manufaktur, menghitung pendapatan pasar, model CAPM, estimasi variable-variabel dalam model APT, menghitung pendapatan saham yang diharapkan dengan model CAPM dan APT, dan pembahasan mengenai rata-rata penyimpangan absolut (mean absolut deviation (mad)) untuk model CAPM dan model APT serta pengujian hipotesis untuk mengetahui pengaruh premi risiko yang diukur dengan menggunakan Capital Asset Pricing Model (CAPM), pengaruh inflasi, suku bunga indonesia dan nilai kurs yang diukur dengan menggunakan model Arbitrage Pricing Theory (APT), perbedaan expected return yang diukur dengan menggunakan Capital Asset Pricing Model (CAPM) dan model Arbitrage Pricing Theory (APT), dan perbedaan akurasi Capital Asset Pricing Model dan model Arbitrage Pricing Theory pada saham Industri Manufaktur yang tercatat di Bursa Efek Indonesia. BAB VI : KESIMPULAN DAN SARAN Merupakan Bab penutup yang memberikan kesimpulan dari hasil penelitian yang dilakukan penulis. Dan memberikan saran-saran yang konstruktif yang dapat membangun dan bermanfaat bagi usaha-usaha penelitian lebih lanjut. 12
  • 26.
    BAB Il TINJAUAN PUSTAKA A.INVESTASI 1. DEFINISI INVESTASI Investasi dapat didefinisikan sebagai bentuk pengelolaan dana guna memberikan keuntungan dengan cara menempatkan pada alokasi yang diperkirakan memberikan tambahan keuntungan. Tentunya proses pencarian keuntungan dengan investasi membutuhkan analisis dan perhitungan mendalam dengan tidak mengesampingkan kehatian-hatian. 2. RISIKO INVESTASI Dalam konteks manajemen investasi, risiko merupakan besarnya penyimpangan antara tingkat pengembalian yang diharapkan (expected return) dengan tingkat pengembalian yang dicapai secara nyata (actual return). Semakin besar penyimpangannya berarti semakin besar tingkat risikonya. Apabila risiko dinyatakan sebagai seberapa jauh hasil yang diperoleh bisa menyimpang dari hasil yang diharapkan, maka digunakan ukuran penyebaran. Alat statistik yang digunakan sebagai ukuran penyebaran tersebut adalah varians atau deviasi standar. Bila seorang individu maupun perusahaan melakukan investasi maka akan dihadapkan pada risiko. Francis (1988), “risiko ada dua macam, 13
  • 27.
    yaitu risiko sistematisdan risiko tidak sistematis”. Adapun risiko-risiko tersebut dapat didefinisikan sebagai kemungkinan terjadinya penyimpangan dari sesuatu yang diharapkan atau dengan kata lain penyimpangan tingkat keuntungan yang terjadi dari tingkat keuntungan yang diharapkan (Haugen, 1997). Dalam konteks portofolio risiko dibedakan menjadi dua, yaitu: (1) Risiko tidak sistematis (unsystematic risk) Risiko tidak sitematis (unsystematicrisk atau spesific-risk) yaitu risiko yang hanya dialami oleh investasi tersebut, yang bisa disebabkan oleh faktor manajemen, ciri khusus jenis industri, jenis persaingan usaha. Misalnya struktur modal, struktur assets, tingkat likuiditas, tingkat keuntungan. Risiko yang dapat dihilangkan dengan melakukan diversifikasi investasi (diversifiedrisk) terhadap berbagai macam saham adalah risiko yang hanya mempengaruhi perusahaan atau saham tertentu saja tanpa mempengaruhi perusahaan atau saham lainnya, fluktuasi risiko ini besarnya berbeda – beda antara satu saham dengan saham lainnya. Karena perbedaan itulah maka masing – masing saham memiliki tingkat sensitifitas yang berbeda terhadap setiap perubahan pasar. Parameter yang digunakan dalam risiko tidak sistematis adalah standar deviasi. Standar deviasi adalah risiko yang dihadapi oleh investor saat ini dianggap sama dengan tingkat variabilitas dari return 14 yang diharapkan. Semakin
  • 28.
    berfluktuasi tingkat harapanreturn yang akan didapat maka tingkat risiko juga tinggi. (2) Risiko sistematis (systematic risk) Risiko sistematis (systematic-risk atau market-risk) yaitu risiko yang dialami oleh semua investasi tanpa terkecuali. Risiko ini disebabkan adanya kemungkinan ketidakstabilan pada kondisi ekonomi, politik, dan sosial yang akan berpengaruh langsung pada seluruh saham yang ada di bursa atau dengan kata lain kondisi tersebut berpengaruh pada pasar secara keseluruhan. Misalnya, adanya perubahan tingkat suku bunga, kurs valas, kebijakan pemerintah. Sehingga sifatnya umum dan berlaku bagi semua saham dalam bursa saham yang bersangkutan. Risiko yang tidak dapat dihilangkan dengan melakukan diversifikasi (undiversified-risk) adalah risiko yang mempengaruhi seluruh saham yang ada di bursa sehingga dengan menginvestasikan dana ke berbagai macam sekuritas tidak dapat menghilangkan risiko tersebut. Parameter yang digunakan dalam mengukur risiko ini adalah beta. Pengertian beta menurut Jones (2000:178) adalah “Beta a measure of valatility, or relative systematic risk”. Dimana pengertian volatilitas adalah sebagai fluktuasi dari return suatu sekuritas dalam suatu periode tertentu. Jika fluktuasi return sekuritas secara statistik mengikuti fluktuasi return pasar, maka beta dari sekuritas tersebut bernilai 1. Misalnya, apabila return 15
  • 29.
    pasar naik sebesar5%, maka investor akan menghargapkan kenaikan return sekuritasnya sebesar 5% pula. Scott et al. (2000:201) yang menyatakan bahwa “Beta a measure stock’s volatility relative to an average stock”. Lain halnya dengan pendapat Brealey, et. al. (2001:290) yang mendefinisikan “beta is a sensitivity of a stock’s return to the return on the market portofolio”. Sedangkan menurut Ross et al. (2003:431) beta adalah “The amount of systematic risk present a particular risky asset relative to that in an average risky asset”. Dapat disimpulkan bahwa beta adalah pengukur volatilitas suatu risiko sistematis pada sekuritas. Beta suatu sekuritas dapat dihitung dengan titik estimasi yang menggunakan data historis maupun estimasi secara subjektif. Beta historis dapat dihitung dengan menggunakan data historis berupa data pasar (return sekuritas dan return pasar). (Sumber: Ross, et al. 2003:274) Gambar 1. Risiko Systematic dan Unsystematic 16
  • 30.
    Gambar 1 diatas menjelaskan hubungan risiko sistematis dan risiko tidak sistematis. Risiko tersebut digambarkan melalui risiko total yang merupakan penjumlahan dari risiko sistematis (Systematic risk) dan risiko tidak sistematis (Unsystematic risk). Risiko tersebut dipergunakan karena dapat mengukur secara garis besar tingkat risiko secara keseluruhan. Ada beberapa jenis risiko investasi yang mungkin timbul dan perlu dipertimbangkan dalam membuat keputusan investasi. Menurut Halim (2003: 47), risiko tersebut adalah sebagai berikut: (1) Risiko tingkat bunga (interest rate risk), merupakan risiko yang timbul akibat perubahan tingkat bunga yang berlaku di pasar. Biasanya risiko ini berjalan berlawanan dengan harga-harga instrumen pasar modal. (2) Risiko pasar (market risk), merupakan risiko yang timbul akibat kondisi perekonomian negara yang berubah-ubah yang dipengaruhi oleh resesi dan kondisi perekonomian lain. Ketika security market index meningkat secara terus-menerus selama jangka waktu tertentu, trend yang menaik ini disebut bull market. Sebaliknya, ketika security market index menurun secara terusmenerus selama jangka waktu tertentu, trend yang menurun ini disebut bear market. Dengan kekuatan bull market dan bear market ini cenderung mempengaruhi semua saham secara sistematis, sehingga imbalan pasar menjadi berfluktuasi. 17
  • 31.
    (3) Risiko dayabeli (purchasing power-risk), merupakan risiko yang timbul akibat pengaruh perubahan tingkat inflasi, di mana perubahan ini akan menyebabkan berkurangnya daya beli uang yang diinvestasikan maupun bunga yang diperoleh dari investasi. Sehingga menyebabkan nilai riil pendapatan akan lebih kecil. (4) Risiko mata uang (currency risk), merupakan risiko yang timbul akibat pengaruh perubahan nilai tukar mata uang domestik (misalnya rupiah) dengan mata uang negara lain (misalnya dollar Amerika). B. RETURN SAHAM Dalam melakukan investasi seorang investor mengharapkan tingkat pengembalian tertentu sebagai imbalan dan mengambil risiko tertentu. Dalam konteks manajemen investasi, return merupakan imbalan yang diperoleh dari investasi. Return ini dibedakan menjadi dua, pertama return yang telah terjadi (actual return) yang dihitung berdasarkan data histories, kedua return yang diharapkan (expected return) akan diperoleh investor di masa yang akan datang. Menurut Halim (2003: 30), komponen return meliputi: (1) capital gain (loss) merupakan keuntungan (kerugian) bagi investor yang diperoleh dari kelebihan harga jual (harga beli) diatas harga beli (harga jual) yang keduanya terjadi di pasar sekunder. 18
  • 32.
    (2) Yield merupakanpendapatan atau aliran kas yang diterima investor yang diterima investor secara periodik, misalnya berupa dividen atau bunga. Yield dinyatakan dari persentase dari modal yang ditanamkan. Menurut Jogiyanto (2003:109) saham dibedakan menjadi dua: (1) return realisasi merupakan return yang telah terjadi, (2) return ekspektasi merupakan return yang diharapkan akan diperoleh oleh investor di masa yang akan datang. Berdasarkan pengertian return, bahwa return suatu saham adalah hasil yang diperoleh dari investasi dengan cara menghitung selisih harga saham periode berjalan dengan periode sebelumnya dengan mengabaikan dividen, Ross et al. (2003:238) C. ESTIMASI RISIKO DAN RETURN Menurut Radcliffe (1997, 217-218), beberapa ukuran statistik yang dapat digunakan untuk menggambarkan suatu risiko dan return, di antaranya adalah : 1) Mean Absolute Deviation Mean Absolute Deviation menunjukkan kemungkinan perbedaan antara return yang mungkin diterima dengan expected return-nya. Cara ini cukup masuk akal untuk menunjukkan tingkat risiko suatu 19
  • 33.
    portofolio untuk mengetahuihubungan atau correlation di antara return sekuritas. 2) Standard Deviation Standard deviation mengukur volatilitas dari return, cara ini sering digunakan untuk mengukur risiko. Secara statistik metode standar deviasi memiliki beberapa kelebihan diantaranya pengukurannya dilakukan dengan cara menyebarkan return (memperhitungkan nilai yang terjadi di atas dan di bawah expected return). Di samping itu standar deviasi juga dapat digunakan dengan menggunakan data aktual return masa lalu (ex post standard deviation) atau dari estimasi potensial returnnya (ex ante standard deviation). Dalam melakukan estimasi return, harus dibedakan antara return realisasi yaitu return yang telah terjadi dan return ekspetasi (expected return) yaitu return yang belum terjadi tetapi yang diharapkan akan terjadi di masa mendatang. Return realisasi yang dihitung berdasarkan data historis penting sebagai salah satu ukuran kinerja suatu perusahaan. Rate of return saham yang merupakan keuntungan dari capital gain dan dividen dalam periode tertentu diperoleh dengan persamaan berikut : Di mana: 20
  • 34.
    Rt = rateof return (return realisasi) saham pada bulan ke-t Pt = harga saham pada bulan ke-t Pt-1 = harga saham pada satu bulan sebelum bulan ke-t D = dividen pada bulan ke-t Return realisasi ini berguna sebagai dasar penentuan tingkat keuntungan yang diharapkan (expected return). Expected return sangat mungkin berlainan dengan return yang diterima, karena adanya suatu ketidakpastian. Perhitungan expected return dapat dilakukan dengan menggunakan rata-rata aritmatik dan rata-rata geometrik. Metode rata-rata aritmatik dinyatakan dalam persamaan berikut : Untuk metode rata-rata geometrik, persamaannya dinyatakan sebagai berikut : Penggunaan perhitungan rata-rata aritmatik dan rata-rata geometrik adalah tergantung pada tujuan investor. Rata-rata aritmatik diterapkan untuk mengukur kinerja rata-rata selama satu periode, dan merupakan cara yang bagus untuk memperkirakan expected return pada periode berikutnya. 21
  • 35.
    Sedangkan perhitungan rata-rata geometrik digunakan untuk mengukur perubahan kekayaanyang terjadi pada periode-periode sebelumnya (multiple periods). Rata-rata geometrik mengukur tingkat pertumbuhan majemuk (compound rate of growth) selama periode yang ditentukan. Hal ini sering digunakan dalam investasi dan keuangan untuk merefleksikan tingkat pertumbuhan (growth rate) yang konsisten (steady) dari dana yang telah diinvestasikan selama periode-periode sebelumnya (Jones, 2004:153). Mengacu kepada kedua metode perhitungan tersebut, maka rata-rata geometrik merupakan metode perhitungan yang sesuai untuk digunakan dalam penelitian ini. Dengan kata lain, rata-rata aritmatik tidak digunakan. D. MODEL PENILAIAN ASET MODAL (CAPITAL ASSET PRICING MODE L - CAPM) CAPM dikembangkan pertama kali pada tahun 1960 oleh William F Sharpe, Lintner dan Mossin. Weston, Besley dan Brigham (1996: 193) mendefinisikan CAPM sebagai berikut : “A Model based on the proposition that any stock’s required rate of return is equal to the risk free of return plus a risk premium, where risk reflect diversification”. CAPM merupakan suatu model yang menghubungkan tingkat pendapatan yang diharapkan dari suatu aset yang berisiko dengan risiko dari aset tersebut pada kondisi pasar yang seimbang. 22
  • 36.
    Menurut teori CAPMtingkat pendapatan yang diharapkan dari suatu sekuritas dapat dihitung dengan menggunakan rumus: Keterangan: E(Ri) = Tingkat pendapatan yang diharapkan dari sekuritas i yang mengandung risiko RF = Tingkat pendapatan bebes risiko E(RM) = Tingkat pendapatan yang diharapkan dari portofolio pasar. βi = Tolak ukur risiko yang tidak bisa terdiversifikasi dari surat berharga yang ke-i. Sebagian asumsi yang digunakan untuk CAPM juga digunakan untuk pendekatan normative dalam investasi yang dijelaskan dalam bab terdahulu. Asumsi-asumsi ini adalah sebagai berikut: (1) Investor mengevaluasi portofolio dengan melihat ekspektasi return dan standar diviasi (sebagai risiko) portofolio untuk satu periode. (2) Investor tidak pernah puas, jadi jika diberi pilihan antara dua portofolio yang identik, mereka akan memilih portofolio yang memberi ekspektasi return yang lebih tinggi. (3) Investor adalah risk averse, jadi jika diberi pilihan antara dua portofolio identik, mereka memilih portofolio dengan standar diviasi yang lebih rendah. 23
  • 37.
    (4) Aset individualdapat dibagi tidak terbatas, artinya investor dapat membeli sebagian saham jika investor berminat. (5) Terdapat tingkat bebas risiko dengan investor dapat memberi pinjaman (berinvestasi) atau meminjam uang. (6) Pajak dan biaya transaksi tidak relevan. Asumsi tambahan: (7) Semua investor memiliki satu periode yang sama. (8) Tingkat bunga bebas risiko sama untuk semua investor. (9) Informasi ini bebas diperoleh dan tersedia secara cepat untuk semua investor. (10)Investor mempunyai ekspektasi yang homogen (homogeneous expectation), artinya mereka memiliki persepsi yang sama dalam hal ekspektasi return, standar diviasi dan kovarian sekurtas. Dengan memperhatikan asumsi-asumsi ini, CAPM mengubah situasi ke kasus ekstrim saja. Setiap orang mempunyai informasi yang sama dan sepakat mengenai prospek sekuritas. Secara implisit hal ini berarti investor menganalisis dan memproses informasi dengan cara yang sama. Pasar sekuritas adalah pasar sempurna (perfect market), artinya tidak ada pertentangan untuk melakukan investasi. 24
  • 38.
    E. TEORI ARBITRASEHARGA (ARBITRAGE PRICING THEORI - APT) Capital Asset Pricing Model bukanlah satu-satunya teori yang mencoba menjelaskan bagaimana suatu aktiva ditentukan harganya oleh pasar. Ross (1976) merumuskan suatu teori yang disebut sebagai Arbitrage Pricing Theory (APT). Seperti halnya CAPM, APT menggambarkan hubungan antara risiko dan pendapatan, tetapi dengan menggunakan asumsi dan prosedur yang berbeda. Tiga asumsi yang mendasari model Arbitrage Pricing Theory (APT) adalah: (Reilly, 2000); (1) Pasar Modal dalam kondisi persaingan sempurna, (2) Para Investor selalu lebih menyukai kekayaan yang lebih daripada kurang dengan kepastian, (3) Hasil dari proses stochastic artinya bahwa pendapatan asset dapat dianggap sebagai K model faktor. Dari asumsi yang menyatakan investor percaya bahwa pendapatan sekuritas akan ditentukan oleh sebuah model faktorial dengan k faktor risiko. Untuk menghitung pendapatan sekuritas yang diharapkan pada model APT dapat digunakan rumus sebagai berikut: Keterangan : E(Ri,t) = Tingkat pendapatan yang diharapkan sekuritas i pada periode t ai = Konstanta 25
  • 39.
    bik = Sensitivitaspendapatan sekuritas i terhadap faktor k pada periode t. Fkt = Faktor k yang mempengaruhi pendapatan pada periode t eit = random error 1. PERUBAHAN TINGKAT INFLASI Inflasi adalah kecenderungan barang-barang naik secara umum dan dalam jangka waktu yang tertentu (Case dan Fair, 1999). Hubungan antara positif antara inflasi dan harga saham adalah semakin tinggi inflasi maka semakin tinggi barang dan jasa yang pada akhirnya meningkatkan profit perusahaan dan harga sahamnya. Meningkatnya pertumbuhan inflasi merupakan suatu ancaman atau peluang bagi perusahaan. Jika inflasi ditimbulkan oleh permintaan masyarakat yang terlalu kuat (demand pull inflation) maka pendapatan perusahaan akan meningkat dan akhirnya akan meningkatkan profitabilitas perusahaan. Jika inflasi ditimbulkan oleh kenaikan ongkos produksi secara terus – menerus (cost push inflation) maka biaya yang dikeluarkan perusahaan akan meningkat. Investor akan mengharapakan return yang relatif tinggi pada saat tingkat inflasi sedang tinggi. Dan sebaliknya investor akan mengharapkan return relatif rendah jika inflasi rendah. Menurut Jamli (2001), untuk mengukur pertumbuhan inflasi dapat digunakan formula sebagai berikut: Pinflasi = inf lasit  inf lasit 1 inf lasit 1 26
  • 40.
    Keterangan: P inflasi : perubahaninflasi inflasi t : inflasi pada periode ke – t inflasi t-1 : inflasi pada periode sebelum ke – t 2. PERUBAHAN TINGKAT SUKU BUNGA INDOESIA Tingkat bunga adalah tingkat bunga deposito bulanan bank-bank pemerintah yang selaku bank sentral mempunyai tugas untuk memelihara agar sistem moneter dapat bekerja secara efisien melalui kebijakan – kebijakan yang dibuat oleh bank Indonesia. Dimana hubungan negatif antara tingkat suku bunga dan harga saham adalah semakin tinggi tingkat suku bunga maka semakin rendah investasi (biaya modal yang semakin tinggi) yang pada akhirnya berdampak semakin turunnya harga-harga saham. Para investor biasanya melihat BI rate sebagai patokan dalam berinvestasi pada pasar modal. Karena BI rate merupakan imbalan bebas risiko sehingga menjadi tolak ukur dalam pengembalian investasi. Nilai BI rate mempunyai hubungan yang terbalik dengan return saham yang diharapkan . Jika suku bunga ini lebih tinggi daripada return yang diarapkan maka investor akan memilih deposito sebagai pilihan investasinya. Sasanti (2005), “untuk mengetahui perubahan tingkat suku bunga SBI dapat digunakan formula sebagai berikut: 27
  • 41.
    Keterangan: pBI rate :perubahan suku bunga BI rate BI ratet : suku bunga BI rate periode ke – t BI ratet-1 : suku bunga BI rate sebelum periode ke – t 3. PERUBAHAN NILAI TUKAR ATAU KURS Kurs antara dua negara adalah harga di mana penduduk kedua negara saling melakukan perdagangan. Hal ini disebabkan oleh adanya kebutuhan barang dari kedua belah pihak tetapi mempunyai mata uang yang berbeda. Mankiw (2000: 192), membedakan kurs menjadi dua, yaitu: 1) kurs nominal (nominal exchange rate) adalah harga relatif dari mata uang dua negara. 2) kurs riil (real exchange rate) adalah harga relatif dari barang – barang kedua negara. Kurs adalah perbandingan antara mata uang dalam negeri dengan mata uang luar negeri. Kurs yang dipergunakan dalam penelitian ini adalah kurs US$ terhadap Rupiah. US$ dipilih penulis karena US$ merupakan hard currency yang paling stabil dan paling diakui sebagai mata uang untuk transaksi internasional oleh semua negara. Hubungan negatif antara nilai tukar dan harga saham adalah semakin menguat mata 28
  • 42.
    uang rupiah terhadapdolar (semakin rendah nilai rupiah per dolar) menyebabkan meningkatnya aliran modal masuk ke Indonesia yang pada akhirnya meningkatkan pendapatan nasional dan harga-harga saham. Dalam penelitian Dahlifah (2005) perubahan kurs dihitung dengan formula sebagai berikut: Keterangan: pKurs : perubahan kurs Kurst : kurs periode ke – t Kurst-1 : kurs sebelum periode ke – t F. PENELITIAN – PENELITIAN SEBELUMNYA Chen, Roll, dan Ross (1986) melakukan penelitian dalam 2 tahap. Tahap pertama dengan menggunakan regresi time series yang hasilnya menyatakan bahwa terdapat empat faktor yang mendasari perubahan harga saham, yaitu: Tingkat Inflasi, Perbedaan antara tingkat suku bunga jangka pendek dan jangka panjang, Perbedaan antara tingkat keuntungan obligasi yang berisiko tinggi dan rendah, Tingkat kegiatan dalam industri. Tahap kedua, mereka melakukan regresi cross section dengan menggunakan variabel beta yang didapat dari regresi tahap pertama dari masing-masing perusahaan dan faktor untuk setiap portofolionya. 29
  • 43.
    Hasilnya menunjukkan bahwabeta faktor tidak signifikan mempengaruhi return saham. Sorensen, Menrich, dan Thun Chee (1989), melakukan penelitian dengan membuat model untuk Solomon Brother Risk Index Model yang menyatakan bahwa terdapat tujuh faktor penting yang mempengaruhi returns saham, yaitu: Economic growth, Business Cycle, Long Term Interest, Short Term Interest, Inflation, Currency Fluctuastion, dan Market Index Securities. Riskianto (1992) seperti yang dikutip oleh Maurin Sitorus (2004), menggunakan data di BEJ dari tahun 1984 sampai dengan tahun 1988 menguji Capital Asset Pricing Model (CAPM) dan Arbitrage Pricing Theory (APT), dimana di dalam pengujian APT digunakan dua faktor yaitu return pasar dan inflasi. Baik CAPM maupun APT menunjukkan tidak adanya pola yang jelas antara beta dari return pasar maupun beta dari inflasi. Bambang Trisilo (1995) seperti yang dikutip oleh Maurin Sitorus (2004), melakukan pengujian CAPM yang berorientasi konsumsi dengan menggunakan data triwulan dan gabungan CAPM-APT dengan menggunakan data bulanan di BEJ. Variabel bebas pada model APT ialah deposito berjangka, inflasi yang diharapkan, residual Indeks Harga Konsumen (IHK) sebagai tingkat inflasi yang tidak diharapkan, return pasar yang diukur dengan IHSG. Hasil yang didapat pada penelitian ini ialah koefisien beta pada model CAPM maupun gabungan CAPM-APT 30
  • 44.
    tidak signifikan, sementarabeta konsumsi pada CAPM berorientasi konsumsi signifikan dalam menjelaskan variasi return saham di BEI. G. KERANGKA PEMIKIRAN TEORITIS DAN PERUMUSAN HIPOTESIS 1. PENGARUH PREMI RISIKO YANG DIUKUR DENGAN MENGGUNAKAN CAPITAL ASSET PRICING MODEL DALAM MEMPREDIKSI RETURN SAHAM Dalam model Markowitz sebagaimana telah dibahas dimuka, investor bisa menentukan pilihan portofolio optimal dari berbagai pilihan portofolio yang ada pada garis portofolio yang efisien. Akan tetapi, model Markowitz tersebut membatasi pilihan investor hanya pada portofolio yang terdiri dari aset berisiko. Padahal dalam kenyataannya, investor bebas memilih portofolio yang juga terdiri dari aset bebas risiko. Oleh karena itu muncul teori yang didasari oleh teori portofolio yaitu teori Capital Asset Pricing Model (CAPM) yang mula-mula dikenalkan oleh Sharpe pada tahun 1964, kemudian disempurnakan oleh Lintner dan Mossin beberapa tahun kemudian. Dalam teori ini diajarkan bahwa return yang disyaratkan dari sebuah investasi pada surat berharga ditentukan oleh dua komponen, yaitu return investasi bebas risiko (risk free rate) dan premi risiko (risk premium). Persamaan CAPM menunjukkan bahwa saham dengan risiko yang besar harus mampu memberikan premi risiko yang besar pula; demikian sebaliknya. 31
  • 45.
    Dengan demikian premirisiko yang diukur dengan menggunakan Capital Asset Pricing Model mempunyai pengaruh tambahan (adjusted effect), yakni pengaruh positif atau negatif dalam memprediksi return saham Industri Manufaktur yang tercatat di Bursa Efek Indonesia. Sehingga dapat disusun hipotesis sebagai berikut : Hipotesis satu : Premi Risiko yang diukur dengan menggunakan Capital Asset Pricing Model mempunyai “pengaruh tambahan” dalam memprediksi return saham Industri Manufaktur yang tercatat di Bursa Efek Indonesia 2. PENGARUH INFLASI, SUKU BUNGA INDONESIA DAN NILAI KURS YANG DIUKUR DENGAN MENGGUNAKAN MODEL ARBITRAGE PRICING THEORY (APT) DALAM MEMPREDIKSI RETURN SAHAM Variabel-variabel makroekonomi (inflasi, suku bunga indonesia dan kurs) tersebut merupakan variabel yang dapat menggerakkan harga saham adalah suatu teori yang dapat diterima secara umum (Maysami dan Sim Kho, 2000). Banyak metode yang dapat dipergunakan untuk mengkaji hubungan variabel-variabel makroekonomi terhadap pasar modal suatu negara. Salah satu teori yang sering dipergunakan adalah konsep Arbitrage Pricing Theory (APT) yang dikembangkan oleh Ross (1976). Konsep APT ini merupakan konsep model keseimbangan yang mempergunakan hukum satu harga (the law of one price), dimana dua kesempatan investasi yang identik sama tidak bisa dijual dengan harga yang berbeda (Elton et. al., 1995). Dengan menggunakan APT, Chen et. 32
  • 46.
    al. (1986) membuktikanbahwa variabel-variabel makro ekonomi memiliki pengaruh yang sistematik terhadap tingkat kembalian (return) pasar saham. Dari uraian diatas tentang variabel-variabel makroekonomi yaitu inflasi, suku bunga indonesia, dan nilai kurs yang diukur dengan menggunakan model Arbitrage Pricing Theory mempunyai pengaruh tambahan (adjusted effect), yakni pengaruh positif atau negatif dalam memprediksi return saham Industri Manufaktur yang tercatat di Bursa Efek Indonesia. Sehingga dapat disusun hipotesis sebagai berikut : Hipotesis dua : Inflasi, SBI, dan Kurs yang diukur dengan menggunakan model Arbitrage Pricing Theory mempunyai “pengaruh tambahan” dalam memprediksi return saham Industri Manufaktur yang tercatat di Bursa Efek Indonesia. 3. PERBEDAAN EXPECTED RETURN YANG DIUKUR DENGAN MENGGUNAKAN CAPITAL ASSET PRICING MODEL (CAPM) DAN MODEL ARBITRAGE PRICING THEORY (APT) Harapan keuntungan di masa datang merupakan kompensasi atas waktu dan risiko yang terkait dengan investasi yang dilakukan. Dalam konteks investasi, harapan keuntungan tersebut sering disebut sebagai return. Seorang investor mengharapkan return yang tinggi dari investasi yang dilakukannya. Namun, untuk mendapatkan return yang tinggi, investor menghadapi risiko yang tinggi pula. Artinya semakin tinggi return yang diharapkan semakin tinggi risiko investasi. Penelitian Siegel (1992) 33
  • 47.
    yang membandingkan returnsaham dan obligasi di Amerika dalam kurun waktu hampir seabad (1902-1990) menemukan bahwa return saham jauh melebihi return obligasi. Hal itu diikuti pula dengan fakta bahwa risiko saham jauh lebih tinggi dibandingkan risiko obligasi. Expected return yang diukur dengan menggunakan capital asset pricing model mempunyai komponen yang terdiri dari premi risiko (Rm-Rf) yang terdiri dari imbalan pasar (Rm) dan premi bebas risiko (Rf). Risiko investasi bisa diartikan sebagai kemungkinan terjadinya perbedaan antara return aktual dengan return yang diharapkan. Dua konsep ini, risiko maupun return, bagaikan dua sisi mata uang yang selalu berdampingan. Artinya, dalam berinvestasi, di samping menghitung return yang diharapkan, investor harus memperhitungkan risikonya. Investor perlu mencari alternatif investasi yang menawarkan tingkat return yang paling tinggi dengan tingkat risiko tertentu, atau investasi yang menawarkan return tertentu pada tingkat risiko terendah. Pada tahun 1976 Stephen A. Ross merumuskan sebuah teori yang disebut dengan Arbitrage Pricing Theory (APT), yaitu menyatakan bahwa harga suatu aset bisa dipengaruhi oleh berbagai faktor, tidak hanya satu faktor (portofolio pasar) seperti yang telah dikemukakan pada teori CAPM. Pada model APT faktor – faktor makro ekonomi seperti inflasi, tingkat suku bunga, nilai tukar mata uang memprediksi return saham. 34 turut diperhitungkan dalam
  • 48.
    Expected return industrimanufaktur yang tercatat di bursa efek indonesia yang diukur dengan menggunakan capital asset pricing model yang terdiri dari komponen premi risiko berbeda dengan expected return yang diukur dengan menggunakan model arbitrage pricing model yang terdiri dari komponen inflasi, suku bunga indonesia, dan nilai kurs. Sehingga dari uraian tersebut, maka dapat disusun hipótesis sebagai berikut : Hipotesis tiga : Expected return capital asset pricing model berbeda dengan expected return model arbitrage pricing model pada industri manufaktur yang tercatat di Bursa Efek Indonesia. 4. PERBEDAAN AKURASI CAPITAL ASSET PRICING MODEL (CAPM) DAN MODEL ARBITRAGE PRICING THEORY (APT) Menurut Radcliffe (1997, 217-218), beberapa ukuran statistik yang dapat digunakan untuk menggambarkan suatu risiko dan return, di antaranya adalah : Mean Absolute Deviation menunjukkan kemungkinan perbedaan antara return yang mungkin diterima dengan expected returnnya. Cara ini cukup masuk akal untuk menunjukkan tingkat risiko suatu portofolio untuk mengetahui hubungan atau correlation di antara return sekuritas. Akurasi suatu model ini diukur dengan menggunakan Mean Absolut Deviation (MAD), model yang mempunyai MAD yang lebih kecil berarti lebih akurat dibandingkan model yang mempunyai MAD yang lebih besar. 35
  • 49.
    Maka akan dilakukanpengujian perbedaan rata-rata penyimpangan absolut Capital Asset Pricing Model dan mdel Arbitrage Pricing Theory berdasarkan Mean Absolut Deviation (MAD) pada masing-masing model (capital asset pricing model –CAPM dan model arbitrage pricing theoryAPT) dalam memprediksi return saham Industri Manufaktur yang tercatat di Bursa Efek Indonesia selama periode 5 tahun (tahun 2003 hingga 2008). Maka dapat disusun hipótesis sebagai berikut : Hipotesis empat : Expected return capital asset pricing model berbeda rata-rata penyimpangan absolut dengan expected return model arbitrage pricing model pada industri manufaktur yang tercatat di Bursa Efek Indonesia Uraian pemikiran teoritis inilah yang mengantar peneliti sekaligus penulis menskemakan kerangka pemikiran tersebut, sebagaimana yang tersaji pada Gambar 2. CAPM Premi Risiko Pasar Analisis Regresi Tunggal CAPM & APT Suku Bunga SBI APT Kurs Rupiah Terhadap US $ Analisis Regresi Berganda Tingkat Inflasi Gambar 2. Kerangka Pemikiran 36 MAD CAPM & MAD APT Return Saham
  • 50.
    BAB Ill METODE PENELITIAN A.JENIS PENELITIAN Berdasarkan pada masalah, tujuan, hipotesis penelitian dan kerangka pemikiran maka jenis penelitian ini adalah penelitian uji hipótesis regresi korelasi yang hendak melihat perbedaan akurasi yang signifikan capital asset pricing model dan arbitrage pricing theory dalam memprediksi return saham industri manufaktur yang tercatat di Bursa Efek Indonesia. Unit analisis pada penelitian ini adalah perusahaan manufaktur yang terdaftar di Bursa Efek Indonesia. Time horizone pada penelitian adalah menggunakan basis bulanan selama 6 tahun, dari tahun 2003 sampai dengan tahun 2008. Jenis time horizone ini adalah longitudinal study, yaitu penelitian dimana data diperoleh pada beberapa batas waktu untuk menjawab sebuah pertanyaan penelitian (Sekaran: 238). Variabel merupakan apa pun yang dapat membedakan atau mengubah nilai (Sekaran: 249). Penelitian ini menggunakan variabel Tingkat Pendapatan Saham Industri Manufaktur sebagai variabel dependen (terikat) dan variabel premi risiko pasar yang dimodelkan dalam CAPM, dan variabel inflasi, tingkat suku bunga SBI, nilai tukar rupiah terhadap dolar yang dimodelkan dalam APT sebagai variabel independen (bebas). 37
  • 51.
    B. OBJEK DANWAKTU PENELITIAN Obyek penelitian adalah perusahaan manufaktur yang terdaftar pada Bursa Efek Indonesia dan tergolong dalam kelompok saham yang mempunyai nilai pasar (kapitalisasi) yang besar dan tingkat likuiditas yang tinggi. Perusahaan-perusahaan tersebut terdaftar minimal selama satu tahun dalam daftar saham indeks LQ 45 selama periode 2003-2008. Penelitian ini dilaksanakan mulai dari bulan September 2008 - Mei 2009. C. POPULASI DAN SAMPEL Pada penelitian ini, populasi yang diambil adalah saham – saham industri manufaktur yang terdaftar pada kelompok saham indeks LQ 45 di Bursa Efek Indonesia. Indeks saham LQ 45 merupakan indeks yang diperkenalkan oleh BEI sejak 24 April 1997, adapun criteria saham yang masuk dalam perhitungan indeks LQ 45, antara lain : 1. Perusahaan masuk dalam ranking 60 terbesar dari total transaksi saham di pasar regular (rata-rata nilai transaksi selama 12 bulan terakhir). 2. Ranking berdasarkan Kapitalisasi Pasar (rata-rata kapitalisasi pasar selama 12 bulan terakhir). 3. Perusahaan tercatat di BEI minimum 30 hari bursa. 38
  • 52.
    Pada penelitian ini,pengambilan sampel disesuaikan dengan kriteria yang telah ditentukan sebelumnya. Adapun kriterianya :  Saham perusahan yang masuk dalam industri manufaktur selama periode waktu Januari 2003 - Desember 2008 secara berturutturut dan konsisten dan data keuangan yang lengkap dan dapat diandalkan kebenarannya pada tahun 2003-2008. Berdasarkan kriteria diatas, jumlah sampel yang memenuhi syarat adalah sebanyak 6 perusahaan, sebagaimana yang tersaji pada table 1. Tabel 1. Data Perusahaan yang Digunakan Sebagai Sampel No Nama Perusahaan Kode 1 PT. Indofood Sukses Makmur Tbk INDF 2 PT. Kalbe Farma Tbk KLBF 3 PT. Medco Energi International Tbk MEDC 4 PT. Unilever Indonesia Tbk UNVR 5 PT. Aneka Tambang Tbk ANTM 6 PT. United Tractors Tbk UNTR D. TEKNIK PENGUMPULAN DATA Penelitian ini menggunakan data sekunder harga saham masingmasing perusahaan pada industri manufaktur yang terdaftar di Bursa Efek Indonesia. Selain harga saham yang merupakan variabel dependen, penelitian ini juga menggunakan data-data tingkat suku bunga SBI 39
  • 53.
    bulanan untuk mencariimbalan aset bebas risiko, IHSG untuk mencari imbalan pasar, tingkat inflasi bulanan, serta nilai tukar mata uang rupiah terhadap dollar Amerika sebagai variabel independen. Data-data sekunder didapat langsung dari Situs Web Resmi Bank Indonesia: http://www.bi.go.id, sebagai sumber data untuk memperoleh tingkat suku bunga SBI, inflasi dan perubahan kurs US$ dalam jangka waktu 6 tahun. Dan Situs Web Resmi Bursa Efek Indonesia: http://www.idx.go.id untuk harga saham, Market Capitalization dan Indeks Harga Saham individual setiap sekuritas yang diteliti, IHSG dan daftar perusahaan manufaktur yang masuk kategori LQ 45 secara terus menerus dalam jangka waktu 6 tahun. Data dikumpulkan oleh peneliti bersumber dari Laporan Keuangan Tahunan emiten yang diperoleh dari buku Indonesian Capital Market Direktory (ICMD) tahun 2003 -2008 dan Laporan Penerbitan Indeks Saham LQ 45 oleh BEJ mulai dari tahun 2003 hingga tahun 2008. Data tersebut kemudian dipilih berdasarkan metoda purpose sampling untuk dijadikan sampel pada penelitian ini. E. DEFINISI OPERASIONAL Definisi operasional merupakan penjelasan dan pengertian teoretis variable untuk dapat diamati dan diukur. Dalam penelitian ini definisi operasional yang dimaksud adalah sebagai berikut. (1) Return saham 40
  • 54.
    merupakan tingkat keuntunganyang diperoleh dari investasi. Dalam penelitian ini return saham merupakan return saham-saham sampel LQ 45 yang dihitung secara bulanan. Return dalam penelitian ini dapat diperoleh dengan menggunakan rumus: keterangan: Ri = Return saham Pt = Harga saham pada periode t Pt-1 = Harga saham pada periode t-1 (2) Varian saham Merupakan penyimpangan tingkat pengembalian pada penyimpangan rata-rata pengembalian saham yang diukur dengan persentase (%). Varian saham (σ2) merupakan kuadrat dari standar deviasi saham (σ). (3) Return pasar Adalah tingkat pengembalian yang diperoleh dari investasi pada saham yang ada di bursa, yang tercermin dari indeks IHSG bulanan yang diukur dengan persentase (%). Keterangan : Rmt = Return pasar periode ke-t It = Indeks IHSG periode ke-t It-1 = Indeks IHSG periode ke-t-1 41
  • 55.
    (4) Risiko sistematis Risikosistematis ditunjukkan oleh parameter beta yang merupakan rasio antara kovarian return saham terhadap return pasar, pada model CAPM, dan pada model APT, k faktor tersebut antara lain :  Tingkat suku bunga yang tidak diharapkan (unxpected intrest rate) adalah selisih tingkat suku bunga sesungguhnya dengan tingkat suku bunga yang diharapkan. Tingkat suku bunga yang diharapkan dihitung dengan menggunakan metode ARIMA.  Tingkat inflasi yang tidak diharapkan (unexpected inflation) adalah selisih tingkat inflasi sesungguhnya dengan tingkat inflasi yang diharapkan. Tingkat inflasi yang diharapkan dihitung dengan menggunakan metode ARIMA.  Tingkat perubahan kurs yang tidak diharapkan ( unexpected exchange rate fluctuation) adalah selisih tingkat perubahan kurs sesungguhnya dengan tingkat perubahan kurs yang diharapkan. Tingkat perubahan kurs yang diharapkan dihitung dengan menggunakan metode ARIMA.  Data mengenai tingkat bunga, tingkat inflasi dan perubahan kurs sesungguhnya, didapat langsung dari Situs Web Resmi Bank Indonesia: http://www.bi.go.id, secara bulanan dalam jangka waktu 6 tahun. (5) Return bebas risiko 42
  • 56.
    Merupakan tingkat pengembalianyang diperoleh dari aktiva bebas risiko. Dalam penelitian ini yang digunakan sebagai tingkat bunga bebas risiko adalah tingkat suku bunga Sertifikat Bank Indonesia (SBI) yang diterbitkan oleh Bank Indonesia periode bulanan dengan ukuran persentase (%). F. CAPITAL ASSET PRICING MODEL Dalam penelitian expected return yang diukur dengan menggunakan Capital Asset Pricing Model dalam memprediksi return saham Industri Manufaktur yang tercatat di Bursa Efek Indonesia berdasarkan perhitungan dan analisis dari premi risiko setiap saham selama periode tertentu ini berdampak pada keputusan investor. Untuk menghitung expected return yang menggunakan Capital Asset Pricing Model memerlukan tahapan pengerjaan sebagai berikut : 1) Menentukan periode estimasi (estimation Period) yang akan digunakan untuk mengestimasi parameter alpha dan beta tiap-tiap saham. Periode estimasi dalam penelitian ini dari Januari 2003 Desember 2008. 2) Menghitung pendapatan saham yang sesungguhnya (Actual Return) perusahaan-perusahaan Manufaktur. 3) Menghitung pendapatan pasar (market return). 4) Menghitung beta (β) dengan menggunakan rumus market model yang meregresikan antara pendapatan saham yang sesungguhnya (actual return) dengan pendapatan pasar (market return). 43
  • 57.
    5) Setelah beta(β) masing-masing perusahaan diperoleh kemudian membentuk sebuah model persamaan berdasarkan model CAPM. 6) Menghitung pendapatan saham yang diharapkan (expected return) dengan menggunakan model CAPM. 7) Menghitung rata-rata penyimpangan absolut (Mean Absolut Deviation (MAD)) untuk model CAPM dengan rumus Model CAPM : Perhitungan tersebut diterapkan secara individual pada setiap saham Industri Manufaktur yang tercatat di Bursa Efek Indonesia di dalam sampel penelitian. G. ARBITRAGE PRICING THEORY Expected return yang diukur dengan menggunakan model arbitrage pricing model yang terdiri dari komponen inflasi, suku bunga indonesia, dan nilai kurs pada saham Industri Manufaktur yang tercatat di Bursa Efek Indonesia dan berdasarkan perhitungan dan analisis tersebut ini pun berdampak pada keputusan investor. Untuk menghitung expected return yang menggunakan model arbitrage pricing model memerlukan tahapan pengerjaan sebagai berikut : 1. Menghitung a, b1, b2, dan b3 perusahaanperusahaan Manufaktur. 44 untuk model APT pada
  • 58.
    2. Menghitung pendapatansaham yang sesungguhnya (Actual Return) perusahaan-perusahaan Manufaktur. 3. Menghitung b1, b2, dan b3 yang merupakan hasil ARIMA program SPSS 13.00 pada perusahaanperusahaan Manufaktur. 4. Menghitung pendapatan saham yang diharapkan (expected return) dengan menggunakan model APT. 5. Menghitung rata-rata penyimpangan absolut (Mean Absolut Deviation (MAD)) untuk model APT dengan rumus Model CAPM : Perhitungan tersebut diterapkan secara individual pada setiap saham Industri Manufaktur yang tercatat di Bursa Efek Indonesia di dalam sampel penelitian. H. TEKNIK STATISTIK DAN EKONOMETRIK YANG DIGUNAKAN 1. PENGARUH PREMI RISIKO YANG DIUKUR DENGAN MENGGUNAKAN CAPITAL ASSET PRICING MODEL DALAM MEMPREDIKSI RETURN SAHAM Untuk menguji menggunakan pengaruh capital asset premi pricing risiko yang model diukur dengan dilakukan dengan menggunakan regresi linier tunggal dimana variabel terikatnya expected return capital asset pricing model sedangkan variabel bebasnya adalah premi risiko. Tujuan pengujian ini adalah untuk mengetahui pengaruh variabel bebas (premi risiko) yang diukur dengan menggunakan capital 45
  • 59.
    asset pricing modeldalam memprediksi return (variabel terikat, expected return capital asset pricing model ) saham Indutri Manufaktur yang tercatat di bursa efek indonesia. Dalam penelitian ini model regresi sebagai berikut : Keterangan : Ri-Rf : pendapatan saham pada perusahaan i Rf : imbalan aset bebas risiko Rm : imbalan pasar α : konstanta βi : slope (kepekaan saham i terhadap premium) ℮ : error Analisis regresi ini dimaksudkan untuk mengetahui besarnya koefisien regresi masing-masing variabel. Koefisien regresi ini menunjukkan sensitivitas variable terikat, dalam hal ini expected return saham capital asset pricing model terhadap perubahan variabel bebas (premi risiko). Variabel terikat (expected return saham capital asset pricing model) akan meningkat atau menurun sebesar β unit jika variabel premi risiko meningkat atau menurun sebesar satu unit. 46
  • 60.
    2. PENGARUH INFLASI,SUKU BUNGA INDONESIA DAN NILAI KURS YANG DIUKUR DENGAN MENGGUNAKAN MODEL ARBITRAGE PRICING THEORY (APT) DALAM MEMPREDIKSI RETURN SAHAM Untuk menguji pengaruh inflasi, suku bunga indonesia dan nilai kurs yang diukur dengan menggunakan model Arbitrage Pricing Theory dilakukan dengan menggunakan regresi linier berganda dimana variabel terikatnya expected return Arbitrage Pricing Theory sedangkan variabel bebasnya adalah inflasi, suku bunga indonesia dan nilai kurs. Tujuan pengujian ini adalah untuk mengetahui pengaruh variabel – variabel bebas (inflasi, suku bunga indonesia dan nilai kurs) yang diukur dengan menggunakan model arbitrage pricing theory (APT) dalam memprediksi return (variabel terikat, expected return Arbitrage Pricing Theory) saham Industri Manufaktur yang tercatat di Bursa Efek Indonesia. Dalam penelitian ini model regresi sebagai berikut : Keterangan : Ri-Rf : Pendapatan saham pada perusahaan i α : konstanta β : koefisien korelasi pInflasi : perubahan inflasi pBI Rata : perubahan tingkat suku bunga SBI pkurs : perubahan nilai tukar rupiah terhadap dolar ℮ : error 47
  • 61.
    Analisis regresi inidimaksudkan untuk mengetahui besarnya koefisien regresi masing-masing variabel. Koefisien regresi ini menunjukkan sensitivitas variable terikat, dalam hal ini expected return Arbitrage Pricing Theory terhadap perubahan variabel bebas (inflasi, suku bunga indonesia dan nilai kurs). Variabel terikat (expected return Arbitrage Pricing Theory) akan meningkat atau menurun sebesar β unit jika variabel inflasi, suku bunga indonesia dan nilai kurs meningkat atau menurun sebesar satu unit. Hal yang sama akan terjadi jika variabel bebas lainnya meningkat atau menurun satu unit, maka variabel terikat akan meningkat atau menurun sebesar koefisien regresi variabel yang bersangkutan. 3. STATISTIK UJI BEDA DUA RATA-RATA UNTUK INDEPENDENT SAMPLE EXPECTED RETURN YANG DIUKUR DENGAN MENGGUNAKAN CAPITAL ASSET PRICING MODEL (CAPM) DAN MODEL ARBITRAGE PRICING THEORY (APT) Untuk mengetahui perbedaan expected return yang diukur dengan menggunakan capital asset pricing model (CAPM) dan model arbitrage pricing theory (APT) pada saham industri manufaktur yang tercatat di bursa efek indonesia, dilakukan tahapan-tahapan sebagai berikut: (1) Menghitung expected return yang diukur dengan menggunakan capital asset pricing model (CAPM) dan model arbitrage pricing theory (APT); (2) Dilakukan uji statistik, yaitu uji rata-rata dua sampel independen (ttest); 48
  • 62.
    (3) Dari hasiluji statistik tersebut, selanjutnya diambil kesimpulan tentang expected return yang diukur dengan menggunakan capital asset pricing model (CAPM) dan model arbitrage pricing theory (APT) pada saham industri manufaktur yang tercatat di bursa efek indonesia pada saham Industri Manufaktur yang tercatat di Bursa Efek Indonesia 4. STATISTIK UJI BEDA DUA RATA-RATA UNTUK INDEPENDENT SAMPLE MEAN ABSOLUT DEVIATION (MAD) CAPM DAN APT Untuk mengetahui perbedaan rata-rata penyimpangan absolut (mean absolut deviation (mad)) CAPM dan APT pada saham industri manufaktur yang tercatat di bursa efek indonesia, dilakukan tahapan-tahapan sebagai berikut: i. Menghitung selisih antara actual return dan expected return yang diukur dengan menggunakan capital asset pricing model (CAPM) dan model arbitrage pricing theory (APT) dibagi dengan banyaknya obeservasi pengamatan yang dilakukan peneliti, dengan rumus yang sama diterapkan sama pada capital asset pricing model (CAPM) dan model arbitrage pricing theory (APT), yaitu : ii. Dilakukan uji statistik, yaitu uji rata-rata dua sampel independen (ttest); 49
  • 63.
    iii. Dari hasiluji statistik tersebut, selanjutnya diambil kesimpulan tentang perbedaan rata-rata penyimpangan absolut Capital Asset Pricing Model dan mdel Arbitrage Pricing Theory berdasarkan Mean Absolut Deviation (MAD) pada masing-masing model (capital asset pricing model –CAPM dan model arbitrage pricing theory-APT) dalam memprediksi return saham Industri Manufaktur yang tercatat di Bursa Efek Indonesia. 50
  • 64.
    BAB IV GAMBARAN UMUM A.PASAR MODAL Pertumbuhan bursa efek pada tahun-tahun berikutnya menjadi semakin cepat, terutama sejak dilakukan sistim otomasi perdagangan pada tanggal 25 Mei 1995 seperti yang dikutip dari Panduan Indeks Harga Saham Bursa Efek Indonesia (2008), semua indikator perdagangan seperti nilai, volume dan frekuensi transaksi menunjukkan pertumbuhan yang luar biasa. Pada tahun 2007, rata-rata nilai transaksi telah mencapai angka di atas Rp 4,3 triliun per hari. Bahkan pada tahun 2008, sampai dengan semester pertama, rata-rata nilai transaksi harian meningkat menjadi Rp 5,6 triliun. Meskipun pada Semester II, terjadi penurunan karena ada krisis “subprime” di Amerika yang mempengaruhi semua bursa di dunia tidak terkecuali Indonesia, akan tetapi rata-rata nilai transaksi pada tahun 2008 masih lebih tinggi dari tahun 2007 yaitu sebesar Rp 4,5 triliun. Angka-angka tersebut meningkat luar biasa jika dibandingkan dengan awal-awal swastanisasi bursa efek atau sebelum diberlakukan otomasi perdagangan. Pada tahun 1994, rata-rata nilai transaksi hanya sebesar Rp 104 miliar per hari. Hal ini berarti dalam kurun waktu 14 tahun rata-rata nilai transaksi harian telah meningkat sebesar lebih kurang 4.000%. 51
  • 65.
    Seiring dengan perkembanganpasar dan tuntutan untuk lebih meningkatkan efisiensi serta daya saing di kawasan regional, maka efektif tanggal 3 Desember 2007 secara resmi PT Bursa Efek Jakarta digabung dengan PT Bursa Efek Surabaya dan berganti nama menjadi PT Bursa Efek Indonesia. Selain aktivitas transaksi yang meningkat, dalam kurun yang sama, Indek Harga Saham Gabungan (IHSG) juga menunjukkan kenaikan yang luar biasa. Pada akhir tahun 1994, IHSG masih berada pada level 469,640. Meskipun sempat mengalami penurunan pada saat krisis ekonomi melanda Indonesia tahun 1997, akan tetapi pada era tahun 2000-an IHSG mengalami pertumbuhan yang luar biasa. Pada tanggal 9 Januari 2008, IHSG mencapai level tertinggi sepanjang sejarah Pasar Modal Indonesia yaitu ditutup pada level 2.830,263 atau meningkat sebesar 502,65% dibandingkan penutupan tahun 1994. Indeks Harga Saham Gabungan (IHSG) pertama kali diperkenalkan pada tanggal 1 April 1983 sebagai indikator pergerakan harga saham yang tercatat di bursa. Hari dasar perhitungan indeks adalah tanggal 10 Agustus 1982 dengan nilai 100. Sedangkan jumlah emiten yang tercatat pada waktu itu adalah sebanyak 13 emiten. Sekarang ini (Desember2008) jumlah emiten yang tercatat di Bursa Efek Indonesia sudah mencapai 396 emiten. Nilai IHSG yang semakin tinggi merupakan bentuk kepercayaan investor atas kondisi ekonomi Indonesia yang semakin kondusif. 52
  • 66.
    Perkembangan IHSG selamatiga tahun terakhir dapat dilihat pada gambar 3. Perkembangan IHSG Faktor domestik inilah yang menjadi salah satu factor utama dari pergerakan IHSG, faktor-faktor fundamental suatu negara seperti inflasi, pendapatan nasional, jumlah uang yang beredar, suku bunga, maupun nilai tukar Rupiah. Berbagai faktor fundamental tersebut dianggap dapat berpengaruh pada ekspektasi investor yang akhirnya berpengaruh pada pergerakan Indeks. B. PERUSAHAAN – PERUSAHAAN MANUFAKTUR 1. RETURN SAHAM TERHADAP RETURN PASAR TAHUN 2003 Pada table 1.1 Descriptive Statistic terlihat bahwa pergerakan return IHSG tertinggi mencapai 13 % pada bulan April 2003, dan return IHSG terendah sebesar -9% pada bulan Januari 2003. Pergerakan return INDF tertinggi mencapai 21 % pada bulan April dan Mei 2003, dan return INDF terendah sebesar -13% pada bulan Agustus 2003. Pergerakan return 53
  • 67.
    MEDCO tertinggi mencapai7 % pada bulan Agustus tahun 2003, dan return MEDCO terendah sebesar -7% pada bulan Mei 2003. Pergerakan return UNVR tertinggi mencapai 17 % pada bulan April dan Mei 2003, dan return UNVR terendah sebesar -88 % pada bulan september 2003. Pergerakan return KLBF tertinggi mencapai 32 % pada bulan April 2003, dan return KLBF terendah sebesar -11 % pada bulan Oktober 2003. Tabel 1.1 Descriptive Statistics N Minimum Maximum Mean Std. Deviation Variance IHSG 12 -.09 .13 .0434 .06637 .004 INDF 12 -.13 .21 .0303 .11804 .014 MEDC 12 -.07 .07 .0008 .04199 .002 UNVR 12 -.88 .17 -.0277 .27953 .078 KLBF 12 -.11 .32 .0209 .11680 .014 ANTM 12 -.09 .57 .1125 .17050 .029 UNTR 12 12 -.12 .42 .1404 .19654 .039 Valid N (listwise) Sumber : Hasil Output SPSS 13.00 Pergerakan return ANTM tertinggi mencapai 57 % pada bulan Desember 2003, dan return ANTM terendah sebesar -9% pada bulan April 2003. Pergerakan return UNTR tertinggi mencapai 42 % pada bulan April 2003, dan return UNTR terendah sebesar -12 % pada bulan Januari 2003. 2. RETURN SAHAM TERHADAP RETURN PASAR TAHUN 2004 Pada table 1.2 Descriptive Statistic terlihat bahwa pergerakan return IHSG tertinggi mencapai 14 % pada bulan November 2004, dan return IHSG terendah sebesar -7% pada bulan Mei 2004. Pergerakan return 54
  • 68.
    INDF tertinggi mencapai11 % pada bulan November 2004, dan return INDF terendah sebesar -7% pada bulan Mei 2004. Pergerakan return MEDCO tertinggi mencapai 25 % pada bulan Oktober 2004, dan return MEDCO terendah sebesar -6% pada bulan Juli 2004. Pergerakan return UNVR tertinggi mencapai 9 % pada bulan Juni 2004, dan return UNVR terendah sebesar -11 % pada bulan Februari 2004. Pergerakan return KLBF tertinggi mencapai 337 % pada bulan September 2004, dan return KLBF terendah sebesar -76 % pada bulan Agustus 2004. Tabel 1.2 Descrip tive Statistics N IHSG INDF MEDCO UNVR KLBF ANTM UNTR Valid N (listwise) 12 12 12 12 12 12 12 12 Minimum -.07 -.07 -.06 -.11 -.76 -.22 -.33 Maxim um .14 .11 .25 .09 3.37 .18 .28 Mean .0327 .0013 .0397 -.0061 .1897 -.0016 .0633 St d. Dev iation .05621 .05559 .08806 .06181 1.04314 .12557 .15354 Sumber : Hasil Output SPSS 13.00 Pergerakan return ANTM tertinggi mencapai 18 % pada bulan Maret 2004, dan return ANTM terendah sebesar -22% pada bulan Januari 2004. Pergerakan return UNTR tertinggi mencapai 28 % pada bulan Oktober 2004, dan return UNTR terendah sebesar -33 % pada bulan Mei 2004. 3. RETURN SAHAM TERHADAP RETURN PASAR TAHUN 2005 Pada table 1.3 Descriptive Statistic terlihat bahwa pergerakan return IHSG tertinggi mencapai 6 % pada bulan Desember 2005, dan return IHSG terendah sebesar -5% pada bulan April 2005. Pergerakan return 55
  • 69.
    INDF tertinggi mencapai25 % pada bulan Maret 2005, dan return INDF terendah sebesar -28% pada bulan Agustus 2005. Pergerakan return MEDCO tertinggi mencapai 47 % pada bulan Juni 2005, dan return MEDCO terendah sebesar -15% pada bulan Juli 2005. Pergerakan return UNVR tertinggi mencapai 22 % pada bulan Mei 2005, dan return UNVR terendah sebesar -11 % pada bulan Juni 2005. Pergerakan return KLBF tertinggi mencapai 26 % pada bulan Januari 2005, dan return KLBF terendah sebesar -6 % pada bulan Maret 2005. Tabel 1.3 Descrip tive Statistics N IHSG INDF MEDCO UNVR KLBF ANTM UNTR Valid N (listwise) 12 12 12 12 12 12 12 12 Minimum -.05 -.28 -.15 -.11 -.06 -.09 -.15 Maxim um .06 .25 .47 .22 .26 .32 .24 Mean .0221 .0206 .0516 .0247 .0539 .0685 .0468 St d. Dev iation .03258 .14269 .16298 .08290 .09417 .11338 .12152 Sumber : Hasil Output SPSS 13.00 Pergerakan return ANTM tertinggi mencapai 32 % pada bulan Desember 2005, dan return ANTM terendah sebesar -9% pada bulan Agustus 2005. Pergerakan return UNTR tertinggi mencapai 24 % pada bulan Januari 2005, dan return UNTR terendah sebesar -15 % pada bulan Maret 2005. 4. RETURN SAHAM TERHADAP RETURN PASAR TAHUN 2006 Pada table 1.4 Descriptive Statistic terlihat bahwa pergerakan return IHSG tertinggi mencapai 11 % pada bulan April 2006, dan return IHSG 56
  • 70.
    terendah sebesar -9%pada bulan Mei 2006. Pergerakan return INDF tertinggi mencapai 27 % pada bulan April 2006, dan return INDF terendah sebesar -17% pada bulan Mei 2006. Pergerakan return MEDCO tertinggi mencapai 16 % pada bulan Januari dan April 2006, dan return MEDCO terendah sebesar -17% pada bulan Mei 2006. Pergerakan return UNVR tertinggi mencapai 25 % pada bulan November 2006, dan return UNVR terendah sebesar -12 % pada bulan Mei 2006. Pergerakan return KLBF tertinggi mencapai 31 % pada bulan Januari 2006, dan return KLBF terendah sebesar -14 % pada bulan Mei 2006. Tabel 1.4 Descrip tive Statistics N IHSG INDF MEDCO UNVR KLBF ANTM UNTR Valid N (listwise) 12 12 12 12 12 12 12 12 Minimum -.09 -.17 -.17 -.12 -.14 -.23 -.02 Maxim um .11 .27 .16 .25 .31 .32 .21 Mean .0387 .0398 .0083 .0399 .0226 .0781 .0518 St d. Dev iation .05391 .12008 .09553 .08580 .12988 .14342 .06459 Sumber : Hasil Output SPSS 13.00 Pergerakan return ANTM tertinggi mencapai 32 % pada bulan April 2006, dan return ANTM terendah sebesar -23% pada bulan Mei 2006. Pergerakan return UNTR tertinggi mencapai 21 % pada bulan April 2006, dan return UNTR terendah sebesar -2 % pada bulan Desember 2006. 5. RETURN SAHAM TERHADAP RETURN PASAR TAHUN 2007 Pada table 1.5 Descriptive Statistic terlihat bahwa pergerakan return IHSG tertinggi mencapai 12 % pada bulan Oktober 2007, dan return IHSG 57
  • 71.
    terendah sebesar -7%pada bulan Agustus 2007. Pergerakan return INDF tertinggi mencapai 25 % pada bulan April dan Mei 2007, dan return INDF terendah sebesar -8% pada bulan Februari 2007. Pergerakan return MEDCO tertinggi mencapai 21 % pada bulan Juli tahun 2007, dan return MEDCO terendah sebesar -9% pada bulan Agustus 2007. Pergerakan return UNVR tertinggi mencapai 12 % pada bulan Juli 2007, dan return UNVR terendah sebesar -11 % pada bulan Januari 2007. Pergerakan return KLBF tertinggi mencapai 12 % pada Juni 2007, dan return KLBF terendah sebesar -10 % pada November 2007. Tabel 1.5 Descrip tive Statistics N IHSG INDF MEDCO UNVR KLBF ANTM UNTR Valid N (listwise) 12 12 12 12 12 12 12 12 Minimum -.07 -.08 -.09 -.11 -.10 -.79 -.06 Maxim um .12 .25 .21 .12 .12 .40 .34 Mean .0368 .0598 .0351 .0041 .0070 .0328 .0475 St d. Dev iation .05472 .10182 .09111 .07120 .06995 .32022 .10154 Sumber : Hasil Output SPSS 13.00 Pergerakan return ANTM tertinggi mencapai 40 % pada November 2007, dan return ANTM terendah sebesar -79% pada bulan Juli 2007. Pergerakan return UNTR tertinggi mencapai 34 % pada bulan Oktober 2007, dan return UNTR terendah sebesar -6 % pada bulan Agustus 2007. 6. RETURN SAHAM TERHADAP RETURN PASAR TAHUN 2008 Pada table 1.6 Descriptive Statistic terlihat bahwa pergerakan return IHSG tertinggi mencapai 9 % pada Desember 2008, dan return IHSG 58
  • 72.
    terendah sebesar -31%pada Oktober 2008. Pergerakan return INDF tertinggi mencapai 23 % pada Mei 2008, dan return INDF terendah sebesar -44% pada bulan oktober 2008. Pergerakan return MEDCO tertinggi mencapai 29 % pada Mei 2008, dan return MEDCO terendah sebesar -42% pada Oktober 2008. Pergerakan return UNVR tertinggi mencapai 5 % pada Agustus 2008, dan return UNVR terendah sebesar -1 % pada bulan Oktober 2008. Pergerakan return KLBF tertinggi mencapai 12 % pada bulan November 2008, dan return KLBF terendah sebesar -44 % Oktober 2008. Tabel 1.6 Descriptive Statistics N IHSG INDF MEDCO UNVR KLBF ANTM UNTR Valid N (listwise) 12 12 12 12 12 12 12 12 Minimum -.31 -.44 -.42 -.01 -.44 -.29 -.67 Maxim um .09 .23 .29 .05 .12 .15 .26 Mean -.0509 -.0662 -.0613 .0124 -.0810 -.1007 -.0313 St d. Dev iation .10691 .16646 .19576 .02114 .12921 .14322 .24323 Sumber : Hasil Output SPSS 13.00 Pergerakan return ANTM tertinggi mencapai 15 % pada Februari 2008, dan return ANTM terendah sebesar -29% pada bulan Oktober 2008. Pergerakan return UNTR tertinggi mencapai 26 % pada November 2008, dan return UNTR terendah sebesar -67 % pada bulan Oktober 2008. 59
  • 73.
    BAB V ANALISIS DANPEMBAHASAN A. ANALISIS CAPITAL ASSET PRICING MODEL (CAPM) 1. ESTIMASI PARAMETER ALPHA DAN BETA TIAP-TIAP SAHAM Kepekaan return saham terhadap perubahan pasar biasa disebut dengan beta investasi. Beta secara singkat dapat dihitung berdasarkan data historis return saham dan proyeksinya serta return pasar saham. Beta saham positif berarti mempunyai hubungan positif dengan kondisi pasar, bila return pasar naik maka return saham juga naik dan sebaliknya. Nilai dari beta (β) tersebut dapat dihitung dengan rumus: Budie et al. (2006:416) βi = Cov ( Ri , Rm ) 2 m Setelah data diolah dengan menggunakan Ms. Excell dan hasil output SPSS 13, maka sensitivitas return saham terhadap market return (IHSG), yaitu : Tabel 1.7 Sensitivitas return saham terhadap market return (IHSG) Beta Emiten 2003 2004 2005 2006 2007 2008 INDF 0.322 0.562 -0.040 0.159 -0.178 0.276 MEDCO 0.530 0.083 0.003 -0.042 0.242 0.044 UNVR -0.025 0.191 0.156 0.481 0.329 0.569 KLBF ANTM UNTR -0.081 -0.061 0.154 0.020 -0.045 0.128 0.145 0.149 0.005 0.206 -0.110 0.308 0.399 0.081 0.178 0.223 0.319 -0.008 Sumber : Hasil Output Ms. Excell dan SPSS 13.00 60
  • 74.
    2. MENGHITUNG PENDAPATANSAHAM YANG SESUNGGUHNYA (ACTUAL RETURN) PERUSAHAAN-PERUSAHAN MANUFAKTUR Langkah – langkah penghitungan, sebagai berikut :  Rate of return saham yang merupakan keuntungan dari capital gain dan dividen dalam periode tertentu diperoleh dengan persamaan berikut : Perhitungan : Rate of return pada bulan Agustus tahun 2003, dimana terdapat pembagian deviden, seperti : Rt = (675  775)  28 = - 0.0929 775 Dan seterusnya sampai ke perhitungan bulan Desember tahun 2008, yang dapat dilihat pada lampiran F.  Kemudian menghitung proporsi saham, dengan persamaan : Wt = Market Capitaliza tion Total Nilai Keseluruha n Market Capitaliza tion Perhitungan Proporsi saham (W t) INDF, pada bulan Agustus tahun 2003, seperti : Wt = 7,415,534 = 0.20308 36,514,945 Dan seterusnya sampai ke perhitungan bulan Desember tahun 2008, yang dapat dilihat pada lampiran C. 61
  • 75.
     Kemudian Ri = W.R t t Perhitungan : Setelah diperoleh nilai Rate of return dan proporsi saham, maka Actual Return bulan Agustus 2003 diperoleh, seperti : Ri = 0.20308(- 0.0929) = -0.0189 Artinya actual return yang diperoleh mengalami penurunan sebesar 1,89%. Dan seterusnya sampai ke perhitungan bulan Desember tahun 2008, yang dapat dilihat pada lampiran G. Setelah melalui langkah – langkah perhitungan yang merupakan data bulanan kemudian dirata-ratakan menjadi tahunan yang menggunakan model CAPM, dan semua data diolah dengan menggunakan Ms.Excell, maka diperoleh Actual Return tahunan, sebagai berikut : Tabel 2.1 Actual Return (Ri) Tahunan, Model CAPM SAHAM TAHUN 2003 2004 2005 2006 2007 2008 Ri.INDF 0.00862 0.00054 0.00351 0.00469 0.00797 -0.00602 Ri.MEDC 0.00101 0.00526 0.00888 0.00181 0.00349 -0.00376 Ri.UNVR -0.02171 -0.00032 0.01318 0.01692 0.00271 0.00603 Ri.KLBF 0.00831 0.01456 0.00532 0.00397 0.00098 -0.00385 Ri.ANTM 0.00642 0.00028 0.00520 0.00931 0.01053 -0.01191 Ri.UNTR 0.00437 0.00683 0.00649 0.00820 0.00890 -0.00294 Sumber : Hasil Output Ms. Excell 62
  • 76.
    3. MENGHITUNG PENDAPATANPASAR (MARKET RETURN) Rm = W .R t IHSG Hasil perhitungan dapat dilihat pada lampiran 4. Setelah diperoleh Market Return, maka selanjutnya dilakukan pengurangan terhadap Free Return (Rf) untuk mengetahui Premi Risiko setiap saham perusahaan, dan kemudian mencari sensitivitas Premi Risiko terhadap Actual Return yang artinya mencari nilai beta untuk model CAPM. a. Analisis Premi Risiko terhadap Actual Return Tahun 2003 Pada table 3.1 terlihat bahwa sensitivitas Premi Risiko terhadap actual return saham INDF (Beta) sebesar 0.09, dan R Square Change sebesar 0.024 atau 2.4%, artinya premi risiko mempengaruhi actual return hanya sebesar 2.4% saja dan seterusnya. Tabel 3.1 Alpha, Beta dan R2 Tahun 2003 Saham Alpha Beta R 2 INDF 0.000 0.090 0.024 MEDC 0.003 -0.016 0.020 UNVR -0.042 0.984 0.025 KLBF 0.008 0.011 0.001 ANTM 0.008 -0.062 0.020 UNTR 0.006 -0.055 0.066 63
  • 77.
    Sumber : HasilOutput SPSS 13.00 Dan pada table 3.1.1, terlihat bahwa rata-rata beta yang dicapai oleh perusahaan yang diteliti selama tahun 2003 hanya mencapai 0.1587, dimana UNVR memiliki beta yang tertinggi sebesar 0.98, dan MEDC yang memiliki beta negative sebesar -0.016. Dan hanya UNTR yang mempunyai premi risiko sebesar 7% saja mempengaruhi actual returnnya. Tabel 3.1.1 Descriptive Statistics N Alpha Beta Rsquare Valid N (listwise) Minimum -.04 -.06 .00 6 6 6 6 Maxim um .01 .98 .07 Mean -.0028 .1587 .0260 Sumber : Hasil Output SPSS 13.00 b. Analisis Premi Risiko terhadap Actual Return Tahun 2004 Pada table 3.2 terlihat bahwa sensitivitas Premi Risiko terhadap actual return saham UNTR (Beta) sebesar 0.113, dan R Square Change sebesar 0.021 atau 2.1%, artinya premi risiko mempengaruhi actual return hanya sebesar 2.1% saja dan seterusnya. Dan pada table 3.2.1, terlihat bahwa rata-rata beta yang dicapai oleh perusahaan yang diteliti selama tahun 2004 mencapai -0.1728, dimana UNTR memiliki beta yang tertinggi sebesar 0.11, dan UNVR yang memiliki beta negative sebesar -0.56. Dan hanya UNVR yang mempunyai premi risiko sebesar 8% saja mempengaruhi actual returnnya. 64
  • 78.
    Tabel 3.2 Alpha,Beta dan R2 Tahun 2004 Saham Alpha Beta R 2 INDF 0.008 -0.085 0.048 MEDC 0.005 0.007 0.000 UNVR 0.061 -0.556 0.081 KLBF 0.018 -0.446 0.008 ANTM 0.000 -0.070 0.020 UNTR 0.005 0.113 0.021 Sumber : Hasil Output SPSS 13.00 Tabel 3.2.1 Descriptive Statistics N Alpha Beta Rsquare Valid N (listwise) 6 6 6 6 Minimum .00 -.56 .00 Maxim um .06 .11 .08 Mean .0162 -.1728 .0297 Sumber : Hasil Output SPSS 13.00 c. Analisis Premi Risiko terhadap Actual Return Tahun 2005 Pada table 3.3 terlihat bahwa sensitivitas Premi Risiko terhadap actual return saham INDF (Beta) sebesar 0.228, dan R Square Change sebesar 0.231 atau 23.1%, artinya premi risiko mempengaruhi actual return sebesar 23.1% dan seterusnya. Dan pada table 3.3.1, terlihat bahwa rata-rata beta yang dicapai oleh perusahaan yang diteliti selama tahun 2005 mencapai 0.1630, dimana UNVR memiliki beta yang tertinggi sebesar 0.26, dan ANTM yang memiliki beta terendah sebesar 0.07. Dan UNTR yang mempunyai premi risiko hingga mencapai 32% mempengaruhi actual returnnya. 65
  • 79.
    Tabel 3.3.1 Descrip tiveStatistics N Alpha Beta Rsquare Valid N (listwise) Minimum .01 .07 .03 6 6 6 6 Maxim um .04 .26 .32 Mean .0163 .1630 .1647 Sumber : Hasil Output SPSS 13.00 Tabel 3.3 Alpha, Beta dan R2 Tahun 2005 Saham Alpha Beta R 2 INDF 0.015 0.228 0.231 MEDC 0.041 0.100 0.031 UNVR 0.008 0.259 0.088 KLBF 0.009 0.096 0.206 ANTM 0.008 0.067 0.117 UNTR 0.017 0.228 0.315 Sumber : Hasil Output SPSS 13.00 d. Analisis Premi Risiko terhadap Actual Return Tahun 2006 Pada table 3.4 terlihat bahwa sensitivitas Premi Risiko terhadap actual return saham INDF (Beta) sebesar 0.054, dan R Square Change sebesar 0.010 atau 1.0%, artinya premi risiko mempengaruhi actual return hanya sebesar 1.0% saja dan seterusnya. Dan pada table 3.4.1, terlihat bahwa rata-rata beta yang dicapai oleh perusahaan yang diteliti selama tahun 2006 mencapai 0.0333, dimana UNVR memiliki beta yang tertinggi sebesar 0.79, dan KLBF yang memiliki beta terendah sebesar -0.27. Dan UNVR mempunyai premi risiko hingga mencapai 42% yang mempengaruhi actual returnnya. 66
  • 80.
    2 Tabel 3.4 Alpha,Beta dan R Tahun 2006 Saham Alpha Beta R 2 INDF 0.003 0.054 0.010 MEDC 0.006 -0.229 0.141 UNVR -0.139 0.791 0.424 KLBF 0.018 -0.272 0.070 ANTM 0.009 -0.013 0.000 UNTR 0.017 -0.131 0.117 Sumber : Hasil Output SPSS 13.00 Tabel 3.4.1 Descrip tive Statistics N Alpha Beta Rsquare Valid N (listwise) 6 6 6 6 Minimum -.14 -.27 .00 Maxim um .02 .79 .42 Mean -.0143 .0333 .1270 Sumber : Hasil Output SPSS 13.00 e. Analisis Premi Risiko terhadap Actual Return Tahun 2007 Pada table 3.5 terlihat bahwa sensitivitas Premi Risiko terhadap actual return saham MEDC (Beta) sebesar 0.020, dan R Square Change sebesar 0.001 atau 0.1%, artinya premi risiko mempengaruhi actual return hanya sebesar 0.1% saja dan seterusnya. Dan pada table 3.5.1, terlihat bahwa rata-rata beta yang dicapai oleh perusahaan yang diteliti selama tahun 2007 mencapai -0.2215, dimana UNVR memiliki beta yang tertinggi sebesar 0.64, dan ANTM yang memiliki beta terendah sebesar -1.57. Dan UNVR mempunyai premi risiko mempengaruhi actual returnnya. 67 hingga mencapai 23% yang
  • 81.
    2 Tabel 3.5 Alpha,Beta dan R Tahun 2007 Saham Alpha Beta R 2 INDF 0.005 -0.349 0.157 MEDC 0.003 0.020 0.001 UNVR -0.078 0.643 0.227 KLBF -0.006 0.128 0.092 ANTM 0.056 -1.569 0.164 UNTR 0.018 -0.202 0.024 Sumber : Hasil Output SPSS 13.00 Tabel 3.5.1 Descriptive Statistics N Alpha Beta Rsquare Valid N (listwise) 6 6 6 6 Minimum -.08 -1.57 .00 Maxim um .06 .64 .23 Mean -.0003 -.2215 .1108 Sumber : Hasil Output SPSS 13.00 f. Analisis Premi Risiko terhadap Actual Return Tahun 2008 Pada table 3.6. terlihat bahwa sensitivitas Premi Risiko terhadap actual return saham INDF (Beta) sebesar 0.291, dan R Square Change sebesar 0.306 atau 30.6%, artinya premi risiko mempengaruhi actual return hanya sebesar 30.6% saja dan seterusnya. Dan pada table 3.6.1, terlihat bahwa rata-rata beta yang dicapai oleh perusahaan yang diteliti selama tahun 2008 mencapai 0.1862, dimana UNTR memiliki beta yang tertinggi sebesar 0.47, dan UNVR yang memiliki beta terendah sebesar 0.05. Dan KLBF mempunyai premi risiko hingga mencapai 32% yang mempengaruhi actual returnnya. 68
  • 82.
    Tabel 3.6 Alpha,Beta dan R2 Tahun 2008 Saham Alpha INDF Beta R 2 -0.009 0.291 0.306 MEDC 0.000 0.165 0.202 UNVR -0.003 0.047 0.133 KLBF -0.003 0.066 0.322 ANTM -0.014 0.077 0.027 UNTR 0.009 0.471 0.316 Sumber : Hasil Output SPSS 13.00 Tabel 3.6.1 Descriptive Statistics N Alpha Beta Rsquare Valid N (listwise) 6 6 6 6 Minimum -.01 .05 .03 Maximum .01 .47 .32 Mean -.0033 .1862 .2177 Sumber : Hasil Output SPSS 13.00 4. EXPECTED RETURN MODEL CAPM Model Penilaian Aset Modal (CAPM), yang akan digunakan adalah : Ri – Rf = α + βi (Rm – Rf) Setelah data diolah dengan menggunakan Ms. Excell dan SPSS 13.00, maka diperoleh output, sebagai berikut : a. Analisis Model CAPM INDF tahun 2003-2008 Pada tabel 4.1 terlihat bahwa koefisien-koefisien yang membentuk persamaan model CAPM INDF tahun 2003-2008, sebagai berikut : 69
  • 83.
    Ri – Rf= 0.016 – 0.496 (Rm – Rf) Persamaan regresi tersebut dapat diinterpretasikan sebagaimana berikut : Intercept bernilai 0.016 dapat diinterpretasikan bahwa jika seluruh variabel bebasnya bernilai nol, maka besarnya pendapatan saham adalah sama dengan nilai intercept tersebut, yakni 0.016. Tabel 4.1 a Coeffi ci ents Model 1 (Constant) PR.INDF Unstandardized Coef f icients B St d. Error .016 .003 -.496 .041 St andardized Coef f icients Beta -.824 t 5.888 -12.182 Sig. .000 .000 Zero-order -.824 Correlations Part ial -.824 Part -.824 a. Dependent Variable: ER Sumber : Hasil Output SPSS 13.00 Koefisien regresi Premi Risiko sebesar -0.496, artinya Premi Risiko mempunyai pengaruh yang negatif terhadap Pendapatan saham. Dalam hal ini, jika variabel Premi Risiko meningkat satu unit, dengan asumsi variabel lainnya konstan (ceterus paribus), maka nilai pendapatan saham akan turun sebesar -0.496 unit. Sebaliknya jika variabel Premi Risiko turun satu unit, maka Pendapatan saham naik sebesar 0.496 unit. b. Analisis Model CAPM MEDC tahun 2003-2008 Pada tabel 4.2 terlihat bahwa koefisien-koefisien yang membentuk persamaan model CAPM MEDC tahun 2003-2008, sebagai berikut : Ri – Rf = 0.017 – 0.741 (Rm – Rf) 70
  • 84.
    Persamaan regresi tersebutdapat diinterpretasikan sebagaimana berikut : Intercept bernilai 0.017 dapat diinterpretasikan bahwa jika seluruh variabel bebasnya bernilai nol, maka besarnya pendapatan saham adalah sama dengan nilai intercept tersebut, yakni 0.017. Tabel 4.2 a Coeffi ci ents Model 1 (Constant) PR.MEDC Unstandardized Coef f icients B St d. Error .017 .003 -.741 .046 St andardized Coef f icients Beta -.885 t 6.311 -15.942 Sig. .000 .000 Zero-order -.885 Correlations Part ial Part -.885 -.885 a. Dependent Variable: ER Sumber : Hasil Output SPSS 13.00 Koefisien regresi Premi Risiko sebesar -0.741, artinya Premi Risiko mempunyai pengaruh yang negatif terhadap Pendapatan saham. Dalam hal ini, jika variabel Premi Risiko meningkat satu unit, dengan asumsi variabel lainnya konstan (ceterus paribus), maka nilai pendapatan saham akan turun sebesar -0.741 unit. Sebaliknya jika variabel Premi Risiko turun satu unit, maka Pendapatan saham naik sebesar 0.741 unit. c. Analisis Model CAPM UNVR tahun 2003-2008 Pada tabel 4.3 terlihat bahwa koefisien-koefisien yang membentuk persamaan model CAPM UNVR tahun 2003-2008, sebagai berikut : Ri – Rf = 0.03 – 0.14 (Rm – Rf) Persamaan regresi tersebut dapat diinterpretasikan sebagaimana berikut : 71
  • 85.
    Intercept bernilai 0.003dapat diinterpretasikan bahwa jika seluruh variabel bebasnya bernilai nol, maka besarnya pendapatan saham adalah sama dengan nilai intercept tersebut, yakni 0.003. Tabel 4.3 a Coeffi ci ents Model 1 (Constant) PR.UNVR Unstandardized Coef f icients B St d. Error .003 .009 -.014 .064 St andardized Coef f icients Beta -.026 t .338 -.217 Sig. .736 .828 a. Dependent Variable: ER Sumber : Hasil Output SPSS 13.00 Koefisien regresi Premi Risiko sebesar -0.14, artinya Premi Risiko mempunyai pengaruh yang negatif terhadap Pendapatan saham. Dalam hal ini, jika variabel Premi Risiko meningkat satu unit, dengan asumsi variabel lainnya konstan (ceterus paribus), maka nilai pendapatan saham akan turun sebesar -0.14 unit. Sebaliknya jika variabel Premi Risiko turun satu unit, maka Pendapatan saham naik sebesar 0.14 unit. d. Analisis Model CAPM KLBF tahun 2003-2008 Pada tabel 4.4 terlihat bahwa koefisien-koefisien yang membentuk persamaan model CAPM KLBF tahun 2003-2008, sebagai berikut : Ri – Rf = 0.017 – 0.870 (Rm – Rf) Persamaan regresi tersebut dapat diinterpretasikan sebagaimana berikut : 72
  • 86.
    Intercept bernilai 0.017dapat diinterpretasikan bahwa jika seluruh variabel bebasnya bernilai nol, maka besarnya pendapatan saham adalah sama dengan nilai intercept tersebut, yakni 0.017. Koefisien regresi Premi Risiko sebesar -0.870, artinya Premi Risiko mempunyai pengaruh yang negatif terhadap Pendapatan saham. Dalam hal ini, jika variabel Premi Risiko meningkat satu unit, dengan asumsi variabel lainnya konstan (ceterus paribus), maka nilai pendapatan saham akan turun sebesar -0.870 unit. Sebaliknya jika variabel Premi Risiko turun satu unit, maka Pendapatan saham naik sebesar 0.870 unit. Tabel 4.4 a Coeffi ci ents Model 1 (Constant) PR.KLBF Unstandardized Coef f icients B St d. Error .017 .002 -.870 .038 St andardized Coef f icients Beta -.940 t 9.704 -22.971 Sig. .000 .000 a. Dependent Variable: ER Sumber : Hasil Output SPSS 13.00 e. Analisis Model CAPM ANTM tahun 2003-2008 Pada tabel 4.5 terlihat bahwa koefisien-koefisien yang membentuk persamaan model CAPM ANTM tahun 2003-2008, sebagai berikut : Ri – Rf = 0.010 – 0.922 (Rm – Rf) Persamaan regresi tersebut dapat diinterpretasikan sebagaimana berikut : 73
  • 87.
    Intercept bernilai 0.010dapat diinterpretasikan bahwa jika seluruh variabel bebasnya bernilai nol, maka besarnya pendapatan saham adalah sama dengan nilai intercept tersebut, yakni 0.010. Tabel 4.5 a Coeffi ci ents Model 1 (Constant) PR.ANTM Unstandardized Coef f icients B St d. Error .010 .002 -.922 .062 St andardized Coef f icients Beta -.870 t 4.184 -14.749 Sig. .000 .000 a. Dependent Variable: ER Sumber : Hasil Output SPSS 13.00 Koefisien regresi Premi Risiko sebesar -0.922, artinya Premi Risiko mempunyai pengaruh yang negatif terhadap Pendapatan saham. Dalam hal ini, jika variabel Premi Risiko meningkat satu unit, dengan asumsi variabel lainnya konstan (ceterus paribus), maka nilai pendapatan saham akan turun sebesar -0.922 unit. Sebaliknya jika variabel Premi Risiko turun satu unit, maka Pendapatan saham naik sebesar 0.922 unit. f. Analisis Model CAPM UNTR tahun 2003-2008 Pada tabel 4.6 terlihat bahwa koefisien-koefisien yang membentuk persamaan model CAPM UNTR tahun 2003-2008, sebagai berikut : Ri – Rf = 0.013 – 0.644 (Rm – Rf) Persamaan regresi tersebut dapat diinterpretasikan sebagaimana berikut : 74
  • 88.
    Intercept bernilai 0.013dapat diinterpretasikan bahwa jika seluruh variabel bebasnya bernilai nol, maka besarnya pendapatan saham adalah sama dengan nilai intercept tersebut, yakni 0.013. Tabel 4.6 a Coeffi ci ents Model 1 (Constant) PR.UNTR Unstandardized Coef f icients B St d. Error .013 .002 -.644 .039 St andardized Coef f icients Beta -.892 t 6.621 -16.548 Sig. .000 .000 a. Dependent Variable: ER Sumber : Hasil Output SPSS 13.00 Koefisien regresi Premi Risiko sebesar -0.644, artinya Premi Risiko mempunyai pengaruh yang negatif terhadap Pendapatan saham. Dalam hal ini, jika variabel Premi Risiko meningkat satu unit, dengan asumsi variabel lainnya konstan (ceterus paribus), maka nilai pendapatan saham akan turun sebesar -0.644 unit. Sebaliknya jika variabel Premi Risiko turun satu unit, maka Pendapatan saham naik sebesar 0.644 unit. 5. MENGHITUNG PENDAPATAN SAHAM (EXPECTED RETURN) MODEL CAPM YANG DIHARAPKAN Persamaan model CAPM untuk memperoleh pendapatan saham yang diharapkan, yaitu : E (Ri) – Rf = α + β (Rm –Rf) Setelah Data tersebut diolah menggunakan model diatas dengan Kertas Kerja Ms.Excell untuk setiap masing – masing saham (INDF, 75
  • 89.
    MEDC, UNVR, KLBF,dan UNTR), maka diperoleh Expected Return tahunan berdasarkan model CAPM Industri Manufaktur yang tercatat di Bursa Efek Indonesia selama periode tahun 2003-2008, sehingga diperoleh nilai Expected Returnnya sebagai berikut : Tabel 4.7 Expected Return (E(Ri)) Tahunan, Model CAPM TAHUN SAHAM 2003 2004 2005 2006 2007 2008 E(Ri).INDF -0.05640 -0.00898 0.06008 -0.00515 -0.01346 0.03254 E(Ri).MEDC -0.03286 -0.00400 0.08271 -0.01964 -0.01252 0.02261 E(Ri).UNVR -0.05640 -0.00898 0.06008 -0.00515 -0.01346 0.03254 E(Ri).KLBF -0.02601 0.00557 0.05261 -0.01744 -0.01573 0.02238 E(Ri).ANTM -0.02813 -0.00924 0.05229 -0.01303 -0.00577 0.01408 E(Ri).UNTR -0.03043 -0.00253 0.05327 -0.01416 -0.00711 0.02220 Sumber : Hasil Output Ms. Excell B. ANALISIS ARBITRAGE PRICING THEORY (APT) 1. MENGHITUNG A, B1, B2, B3 DAN B4 UNTUK MODEL APT PADA INDUSTRI MANUFAKTUR Model Penilaian APT multi index model, yang akan digunakan : Ri – ERi = α + β pInflasi + + β pSBI+ β pkurs Saham INDF tahun 2003, sensitivitas perubahan Inflasi (B 1) sebesar 0.049 ; sensitivitas perubahan SBI (B2) sebesar -0.075 dan sensitivitas perubahan Kurs (B3) sebesar 0.34, artinya setiap perubahan B 1, B2, dan B3 akan menimbulkan dampak perubahan peningkatan atau penurunan terhadap actual return, dan seterusnya. Setelah diperoleh nilai alpha, B1, B2, dan B3, nilai – nilai tersebut kemudian dimasukkan dalam model APT. 76
  • 90.
    Tabel 5.1 Alpha,B1, B2, dan B3 Saham Alpha B1 B2 B3 INDF -0.035 0.049 -0.075 0.347 MEDC 0.019 0.013 0.029 -0.134 UNVR 1.009 0.117 -1.193 -8.606 KLBF -0.103 0.055 0.009 0.921 ANTM -0.128 -0.047 0.137 1.104 UNTR -0.077 -0.005 0.083 0.678 -0.275 Tahun 2003 Tahun 2004 INDF 0.034 -0.058 -0.047 MEDC -0.15 -0.108 0.446 1.366 UNVR 0.047 0.224 -0.21 -0.455 KLBF -1.212 -0.544 3.847 10.785 ANTM 0.014 -0.032 0.204 -0.094 UNTR -0.132 -0.069 0.437 1.221 Tahun 2005 INDF -0.132 0.032 -0.185 1.303 MEDC 0.002 -0.007 -0.086 0.109 UNVR -0.385 0.035 -0.002 3.642 KLBF -0.132 -0.003 0.02 1.266 ANTM 0.082 -0.005 -0.107 -0.661 UNTR -0.114 -0.004 -0.121 1.166 Tahun 2006 INDF -0.472 -0.015 0.022 4.115 MEDC -0.22 0.009 0.242 1.967 UNVR -0.41 0.006 -0.785 3.54 KLBF 0.163 0 0.242 -1.327 ANTM -0.397 -0.041 0.091 3.509 UNTR -0.362 -0.019 0.218 3.231 0.13 Tahun 2007 INDF -0.003 -0.216 0.219 MEDC -0.036 0.027 0.066 0.35 UNVR -0.449 0.133 -0.669 3.819 KLBF -0.057 -0.041 -0.156 0.48 ANTM 0.184 -0.533 2.596 -1.135 UNTR -0.208 -0.062 0.492 1.95 -0.137 Tahun 2008 INDF 0.008 0.155 -0.237 MEDC -0.005 0.088 -0.157 0.012 UNVR 0.02 -0.028 -0.035 -0.106 KLBF 0.026 0.042 -0.077 -0.273 ANTM 0.001 -0.111 -0.104 -0.05 UNTR 0.216 0.39 -0.544 -2.037 Sumber : Hasil Output SPSS 13.00 77
  • 91.
    2. MODEL ACTUALRETURN APT a. Analisis Model APT INDF tahun 2003-2008 Pada tabel 5.2 terlihat bahwa koefisien-koefisien yang membentuk persamaan model APT INDF tahun 2003-2008, sebagai berikut : Ri – ERi = -0.033 + 0.016 pInflasi – 0.123 pSBI+ 0.309 pkurs Persamaan regresi tersebut dapat diinterpretasikan sebagaimana berikut : Intercept bernilai -0.013 dapat diinterpretasikan bahwa jika seluruh variabel bebasnya bernilai nol, maka besarnya pendapatan saham adalah sama dengan nilai intercept tersebut, yakni minus 0.013. Koefisien regresi Perubahan Inflasi sebesar 0,016 memberikan gambaran bahwa jika Perubahan Inflasi meningkat satu unit, dengan asumsi variabel lain konstan (ceterus paribus), maka Pendapatan Saham yang ditunjukkan oleh saham yang bersangkutan akan meningkat sebesar 0,016 unit. Sebaliknya, jika Perubahan Inflasi turun sebesar satu unit maka Pendapatan Saham akan turun sebesar 0,016 unit. Tabel 5.2 a Coeffi ci ents Model 1 (Constant) Inf lasi SBI Kurs Unstandardized Coef f icients B St d. Error -.033 .021 .016 .007 -.123 .036 .309 .184 a. Dependent Variable: Ri Sumber : Hasil Output SPSS 13.00 78 St andardized Coef f icients Beta .237 -.466 .214 t -1.542 2.241 -3.459 1.681 Sig. .128 .028 .001 .097
  • 92.
    Koefisien regresi PerubahanSBI sebesar -0.123, artinya Perubahan SBI mempunyai pengaruh yang negatif terhadap Pendapatan saham. Dalam hal ini, jika variabel Perubahan SBI meningkat satu unit, dengan asumsi variabel lainnya konstan (ceterus paribus), maka nilai pendapatan saham akan turun sebesar -0.123 unit. Sebaliknya jika variabel Perubahan SBI turun satu unit, maka Pendapatan saham naik sebesar 0.123 unit. Nilai koefisien regresi untuk Perubahan Kurs adalah 0.309, artinya bahwa jika Perubahan Kurs meningkat satu unit, dengan asumsi variabel yang lainnya konstan (ceterus paribus), maka Pendapatan Saham akan meningkat sebesar 0.309 unit. Jika Perubahan Kurs turun satu unit maka Pendapatan Saham turun 0.309 unit. b. Analisis Model APT MEDC tahun 2003-2008 Pada tabel 5.3 terlihat bahwa koefisien-koefisien yang membentuk persamaan model APT MEDC tahun 2003-2008, sebagai berikut : Ri – ERi = -0.017 + 0.003 pInflasi + 0.001 pSBI + 0.167 pkurs Persamaan regresi tersebut dapat diinterpretasikan sebagaimana berikut : Intercept bernilai -0.017 dapat diinterpretasikan bahwa jika seluruh variabel bebasnya bernilai nol, maka besarnya pendapatan saham adalah sama dengan nilai intercept tersebut, yakni minus 0.017. 79
  • 93.
    Koefisien regresi PerubahanInflasi sebesar 0,003 memberikan gambaran bahwa jika Perubahan Inflasi meningkat satu unit, dengan asumsi variabel lain konstan (ceterus paribus), maka Pendapatan Saham yang ditunjukkan oleh saham yang bersangkutan akan meningkat sebesar 0,003 unit. Sebaliknya, jika Perubahan Inflasi turun sebesar satu unit maka Pendapatan Saham akan turun sebesar 0,003 unit. Koefisien regresi Perubahan SBI sebesar 0,001 memberikan gambaran bahwa jika Perubahan Inflasi meningkat satu unit, dengan asumsi variabel lain konstan (ceterus paribus), maka Pendapatan Saham yang ditunjukkan oleh saham yang bersangkutan akan meningkat sebesar 0,001 unit. Sebaliknya, jika Perubahan Inflasi turun sebesar satu unit maka Pendapatan Saham akan turun sebesar 0,001 unit. Tabel 5.3 a Coeffi ci ents Model 1 (Constant) Inf lasi SBI Kurs Unstandardized Coef f icients B St d. Error -.017 .016 .003 .006 .001 .028 .167 .142 St andardized Coef f icients Beta .069 .009 .183 t -1.013 .540 .052 1.177 Sig. .315 .591 .959 .243 a. Dependent Variable: Ri Sumber : Hasil Output SPSS 13.00 Koefisien regresi Perubahan Kurs sebesar 0,167 memberikan gambaran bahwa jika Perubahan Inflasi meningkat satu unit, dengan asumsi variabel lain konstan (ceterus paribus), maka Pendapatan Saham yang ditunjukkan oleh saham yang bersangkutan akan meningkat sebesar 0,167 unit. Sebaliknya, jika Perubahan Inflasi turun sebesar satu unit maka Pendapatan Saham akan turun sebesar 0,167 unit. 80
  • 94.
    c. Analisis ModelAPT UNVR tahun 2003-2008 Pada tabel 5.4 terlihat bahwa koefisien-koefisien yang membentuk persamaan model APT MEDC tahun 2003-2008, sebagai berikut : Ri – ERi = 0.201 + 0.039 pInflasi – 0.286 pSBI – 1.734 pkurs Persamaan regresi tersebut dapat diinterpretasikan sebagaimana berikut : Intercept bernilai 0.201 dapat diinterpretasikan bahwa jika seluruh variabel bebasnya bernilai nol, maka besarnya pendapatan saham adalah sama dengan nilai intercept tersebut, yakni 0.201. Tabel 5.4 Coefficientsa M odel 1 (Constant) Inflasi SBI Kurs Unstandardized Coefficients B Std. Error .201 .049 .039 .017 -.286 .082 -1.734 .425 Standardized Coefficients Beta .265 -.505 -.562 t 4.116 2.318 -3.473 -4.076 Sig. .000 .023 .001 .000 a. Dependent Vari able: Ri Sumber : Hasil Output SPSS 13.00 Koefisien regresi Perubahan Inflasi sebesar 0,039 memberikan gambaran bahwa jika Perubahan Inflasi meningkat satu unit, dengan asumsi variabel lain konstan (ceterus paribus), maka Pendapatan Saham yang ditunjukkan oleh saham yang bersangkutan akan meningkat sebesar 0,039 unit. Sebaliknya, jika Perubahan Inflasi turun sebesar satu unit maka Pendapatan Saham akan turun sebesar 0,039 unit. Koefisien regresi Perubahan SBI sebesar -0.286, artinya Perubahan SBI mempunyai pengaruh yang negatif terhadap Pendapatan saham. Dalam hal ini, jika variabel Perubahan SBI meningkat satu unit, dengan 81
  • 95.
    asumsi variabel lainnyakonstan (ceterus paribus), maka nilai pendapatan saham akan turun sebesar -0.286 unit. Sebaliknya jika variabel Perubahan SBI turun satu unit, maka Pendapatan saham naik sebesar 0.286 unit. Koefisien regresi Perubahan Kurs sebesar -1.734, artinya Perubahan Kurs mempunyai pengaruh yang negatif terhadap Pendapatan saham. Dalam hal ini, jika variabel Perubahan Kurs meningkat satu unit, dengan asumsi variabel lainnya konstan (ceterus paribus), maka nilai pendapatan saham akan turun sebesar -1.734 unit. Sebaliknya jika variabel Perubahan SBI turun satu unit, maka Pendapatan saham naik sebesar 1.734 unit. d. Analisis Model APT KLBF tahun 2003-2008 Pada tabel 5.5 terlihat bahwa koefisien-koefisien yang membentuk persamaan model APT MEDC tahun 2003-2008, sebagai berikut : Ri – ERi = -0.027 - 0.012 pInflasi + 0.030 pSBI + 0.281 pkurs Persamaan regresi tersebut dapat diinterpretasikan sebagaimana berikut : Intercept bernilai -0.027 dapat diinterpretasikan bahwa jika seluruh variabel bebasnya bernilai nol, maka besarnya pendapatan saham adalah sama dengan nilai intercept tersebut, yakni minus 0.027. Koefisien regresi Perubahan Inflasi sebesar -0.12, artinya Perubahan Inflasi mempunyai pengaruh yang negatif terhadap Pendapatan saham. Dalam hal ini, jika variabel Perubahan Inflasi meningkat satu unit, dengan 82
  • 96.
    asumsi variabel lainnyakonstan (ceterus paribus), maka nilai pendapatan saham akan turun sebesar -0.12 unit. Sebaliknya jika variabel Perubahan SBI turun satu unit, maka Pendapatan saham naik sebesar 0.12 unit. Tabel 5.5 a Coeffi ci ents Model 1 (Constant) Inf lasi SBI Kurs Unstandardized Coef f icients B St d. Error -.027 .041 -.012 .014 .030 .069 .281 .354 St andardized Coef f icients Beta -.106 .072 .124 t -.664 -.816 .439 .793 Sig. .509 .418 .662 .431 a. Dependent Variable: Ri Sumber : Hasil Output SPSS 13.00 Koefisien regresi Perubahan SBI sebesar 0,030 memberikan gambaran bahwa jika Perubahan SBI meningkat satu unit, dengan asumsi variabel lain konstan (ceterus paribus), maka Pendapatan Saham yang ditunjukkan oleh saham yang bersangkutan akan meningkat sebesar 0,030 unit. Sebaliknya, jika Perubahan Inflasi turun sebesar satu unit maka Pendapatan Saham akan turun sebesar 0,030 unit. Koefisien regresi Perubahan Kurs sebesar 0,281 memberikan gambaran bahwa jika Perubahan Inflasi meningkat satu unit, dengan asumsi variabel lain konstan (ceterus paribus), maka Pendapatan Saham yang ditunjukkan oleh saham yang bersangkutan akan meningkat sebesar 0,281 unit. Sebaliknya, jika Perubahan Inflasi turun sebesar satu unit maka Pendapatan Saham akan turun sebesar 0,281 unit. 83
  • 97.
    e. Analisis ModelAPT ANTM tahun 2003-2008 Pada tabel 5.6 terlihat bahwa koefisien-koefisien yang membentuk persamaan model APT MEDC tahun 2003-2008, sebagai berikut : Ri – ERi = -0.016 - 0.030 pInflasi + 0.024 pSBI + 0.169 pkurs Persamaan regresi tersebut dapat diinterpretasikan sebagaimana berikut : Intercept bernilai -0.016 dapat diinterpretasikan bahwa jika seluruh variabel bebasnya bernilai nol, maka besarnya pendapatan saham adalah sama dengan nilai intercept tersebut, yakni minus 0.016. Koefisien Perubahan regresi Inflasi Perubahan mempunyai Inflasi pengaruh sebesar yang -0.030, negatif artinya terhadap Pendapatan saham. Dalam hal ini, jika variabel Perubahan Inflasi meningkat satu unit, dengan asumsi variabel lainnya konstan (ceterus paribus), maka nilai pendapatan saham akan turun sebesar -0.030 unit. Sebaliknya jika variabel Perubahan SBI turun satu unit, maka Pendapatan saham naik sebesar 0.030 unit. Tabel 5.6 a Coeffi ci ents Model 1 (Constant) Inf lasi SBI Kurs Unstandardized Coef f icients B St d. Error -.016 .043 -.030 .015 .024 .072 .169 .373 a. Dependent Variable: Ri Sumber : Hasil Output SPSS 13.00 84 St andardized Coef f icients Beta -.254 .053 .069 t -.370 -2.006 .330 .453 Sig. .713 .049 .742 .652
  • 98.
    Koefisien regresi PerubahanSBI sebesar 0,024 memberikan gambaran bahwa jika Perubahan SBI meningkat satu unit, dengan asumsi variabel lain konstan (ceterus paribus), maka Pendapatan Saham yang ditunjukkan oleh saham yang bersangkutan akan meningkat sebesar 0,024 unit. Sebaliknya, jika Perubahan Inflasi turun sebesar satu unit maka Pendapatan Saham akan turun sebesar 0,024 unit. Koefisien regresi Perubahan Kurs sebesar 0,169 memberikan gambaran bahwa jika Perubahan Inflasi meningkat satu unit, dengan asumsi variabel lain konstan (ceterus paribus), maka Pendapatan Saham yang ditunjukkan oleh saham yang bersangkutan akan meningkat sebesar 0,169 unit. Sebaliknya, jika Perubahan Inflasi turun sebesar satu unit maka Pendapatan Saham akan turun sebesar 0,169 unit. f. Analisis Model APT UNTR tahun 2003-2008 Pada tabel 5.7 terlihat bahwa koefisien-koefisien yang membentuk persamaan model APT MEDC tahun 2003-2008, sebagai berikut : Ri – ERi = 0.043 + 0.004 pInflasi - 0.171 pSBI - 0.329 pkurs Persamaan regresi tersebut dapat diinterpretasikan sebagaimana berikut : Intercept bernilai 0.043 dapat diinterpretasikan bahwa jika seluruh variabel bebasnya bernilai nol, maka besarnya pendapatan saham adalah sama dengan nilai intercept tersebut, yakni 0.043. 85
  • 99.
    Tabel 5.7 a Coeffi cients Model 1 (Constant) Inf lasi SBI Kurs Unstandardized Coef f icients B St d. Error .043 .031 .004 .011 -.171 .051 -.329 .266 St andardized Coef f icients Beta .040 -.507 -.179 t 1.405 .338 -3.324 -1.239 Sig. .165 .736 .001 .220 a. Dependent Variable: Ri Sumber : Hasil Output SPSS 13.00 Koefisien regresi Perubahan Inflasi sebesar 0,004 memberikan gambaran bahwa jika Perubahan Inflasi meningkat satu unit, dengan asumsi variabel lain konstan (ceterus paribus), maka Pendapatan Saham yang ditunjukkan oleh saham yang bersangkutan akan meningkat sebesar 0,004 unit. Sebaliknya, jika Perubahan Inflasi turun sebesar satu unit maka Pendapatan Saham akan turun sebesar 0,004 unit. Koefisien regresi Perubahan SBI sebesar -0.171, artinya Perubahan SBI mempunyai pengaruh yang negatif terhadap Pendapatan saham. Dalam hal ini, jika variabel Perubahan SBI meningkat satu unit, dengan asumsi variabel lainnya konstan (ceterus paribus), maka nilai pendapatan saham akan turun sebesar -0.171 unit. Sebaliknya jika variabel Perubahan SBI turun satu unit, maka Pendapatan saham naik sebesar 0.171 unit. Koefisien regresi Perubahan Kurs sebesar -0.329, artinya Perubahan Kurs mempunyai pengaruh yang negatif terhadap Pendapatan saham. Dalam hal ini, jika variabel Perubahan Kurs meningkat satu unit, dengan asumsi variabel lainnya konstan (ceterus paribus), maka nilai pendapatan saham akan turun sebesar -0.329 unit. Sebaliknya jika variabel Perubahan SBI turun satu unit, maka Pendapatan saham naik sebesar 0.329 unit. 86
  • 100.
    Setelah Data disubstitusikan ke persamaan regresi yang telah dibahas sebagaimana berikut : Ri – ERi = α + β pInflasi + β pSBI+ β pkurs Data tersebut diolah dengan menggunakan Ms.Excell untuk setiap masing – masing saham (INDF, MEDC, UNVR, KLBF, dan UNTR), maka diperoleh Actual Return tahunan berdasarkan model APT, sebagai berikut: Tabel 5.8 Actual Return (Ri) Tahunan, Model APT SAHAM TAHUN 2003 2004 2005 2006 2007 2008 Ri.INDF 0.00862 0.00077 0.00395 0.00466 0.00828 -0.00606 Ri.MEDC 0.00087 0.00496 0.00900 0.00193 0.00336 -0.00378 Ri.UNVR -0.02178 -0.00017 0.01307 0.01666 0.00294 0.00623 Ri.KLBF 0.00866 0.01485 0.00566 0.00409 0.00093 -0.00388 Ri.ANTM 0.00607 0.00039 0.00488 0.00936 0.01033 -0.01230 Ri.UNTR 0.00441 0.00673 0.00613 0.00824 0.00911 -0.00260 Sumber : Hasil Output Ms. Excell dan SPSS 13.00 3. MENGHITUNG B1, B2, DAN B3 HASIL ARIMA UNTUK EXPECTED RETURN MODEL APT PADA INDUSTRI MANUFAKTUR Persamaan model APT untuk memperoleh pendapatan saham yang diharapkan, yaitu : 87
  • 101.
    Olahan data ARIMAini dapat dilihat pada lampiran Setelah data diolah dengan menggunakan Ms. Excell dan hasil output SPSS 13.00, maka diperoleh sebagai berikut : 88
  • 102.
    Tabel 6.1 Alpha,B1, B2, dan B3 Saham Alpha B1 B2 B3 Tahun 2003 INDF -0.059 -0.001 -0.002 0.421 MEDC -0.029 0.090 -0.017 3.106 UNVR -0.059 -0.001 -0.002 0.421 KLBF -0.22 0.087 -0.017 3.077 ANTM -0.024 0.094 -0.018 3.351 UNTR -0.027 0.093 -0.018 3.285 Tahun 2004 INDF 0.015 0.282 0.016 1.144 MEDC 0.011 0.182 0.003 0.647 UNVR 0.015 0.282 0.016 1.144 KLBF 0.027 0.254 0.014 0.686 ANTM 0.007 0.195 0.005 0.693 UNTR 0.011 0.167 0.000 0.619 Tahun 2005 INDF 0.038 0.036 0.027 -2.438 MEDC 0.057 0.042 0.033 -3.044 UNVR 0.038 0.036 0.027 -2.438 KLBF 0.026 0.043 0.034 -3.097 ANTM 0.025 0.044 0.035 -3.186 UNTR 0.030 0.037 0.029 -2.672 Tahun 2006 INDF 0.000 0.024 -0.009 0.570 MEDC -0.024 0.023 0.061 0.428 UNVR 0.000 0.024 -0.009 0.570 KLBF -0.022 0.024 0.060 0.490 ANTM -0.017 0.019 0.050 0.360 UNTR -0.018 0.021 0.057 0.465 Tahun 2007 INDF -0.015 0.071 -0.040 2.379 MEDC 0.008 0.076 0.041 1.599 UNVR -0.015 0.071 -0.040 2.379 KLBF 0.001 0.072 0.032 1.605 ANTM 0.055 0.147 0.166 1.447 UNTR 0.018 0.087 0.057 1.701 Tahun 2008 INDF 0.017 0.047 0.054 -0.412 MEDC 0.009 0.047 0.041 -0.357 UNVR 0.017 0.047 0.054 -0.412 KLBF 0.008 0.052 0.045 -0.424 ANTM 0.000 0.053 0.042 -0.466 UNTR 0.014 0.029 0.026 -0.233 Sumber : Hasil Output SPSS 13.00 89
  • 103.
    4. MODEL EXPECTEDRETURN APT Setelah diperoleh nilai alpha, b1, b2, dan b3, (hasil ARIMA program SPSS 13.00) sebagaimana yang tersaji pada tabel 6.2, maka disubstitusikan kembali dan diinterpretasikan ke dalam expected return model APT, yaitu : Ri – ERi = α + β pInflasi + β pSBI+ β pkurs Tabel 6.2 Alpha, B1, B2, dan B3 (Expected Return APT periode tahun 2003-2008) Saham Alpha INDF 0.006 MEDC 0.012 UNVR 0.007 KLBF 0.009 ANTM 0.007 UNTR 0.008 Sumber : Hasil Output SPSS 13.00 B1 0.080 0.120 0.080 0.105 0.107 0.098 B2 0.020 0.011 0.021 0.008 0.007 0.007 B3 -1.992 0.209 -1.992 -0.237 -0.096 0.582 a. Analisis Expected Return Model APT INDF tahun 2003-2008 Pada tabel 6.2 terlihat bahwa koefisien-koefisien yang membentuk persamaan model APT INDF tahun 2003-2008, sebagai berikut : Ri – ERi = 0.006 + 0.080 pInflasi + 0.020 pSBI - 1.992 pkurs Persamaan regresi tersebut dapat diinterpretasikan sebagaimana berikut : Intercept bernilai 0.006 dapat diinterpretasikan bahwa jika seluruh variabel bebasnya bernilai nol, maka besarnya pendapatan saham adalah sama dengan nilai intercept tersebut, yakni 0.006. Koefisien regresi Perubahan Inflasi sebesar 0.080 memberikan gambaran bahwa jika Perubahan Inflasi meningkat satu unit, dengan 90
  • 104.
    asumsi variabel lainkonstan (ceterus paribus), maka Pendapatan Saham yang ditunjukkan oleh saham yang bersangkutan akan meningkat sebesar 0.080 unit. Sebaliknya, jika Perubahan Inflasi turun sebesar satu unit maka Pendapatan Saham akan turun sebesar 0.080 unit. Koefisien regresi Perubahan SBI sebesar 0.020, artinya Perubahan SBI mempunyai pengaruh yang positif terhadap Pendapatan saham. Dalam hal ini, jika variabel Perubahan SBI meningkat satu unit, dengan asumsi variabel lainnya konstan (ceterus paribus), maka nilai pendapatan saham akan naik sebesar 0.020 unit dan begitupun sebaliknya. Nilai koefisien regresi untuk Perubahan Kurs adalah - 1.992, artinya bahwa jika Perubahan Kurs meningkat satu unit, dengan asumsi variabel yang lainnya konstan (ceterus paribus), maka Pendapatan Saham akan turun sebesar - 1.992 unit. Sebaliknya jika variabel Perubahan Kurs turun satu unit, maka Pendapatan saham naik sebesar - 1.992 unit. b. Analisis Expected Return Model APT MEDCO tahun 2003-2008 Pada tabel 6.2 terlihat bahwa koefisien-koefisien yang membentuk persamaan model APT MEDCO tahun 2003-2008, sebagai berikut : Ri – ERi = 0.012 + 0.120 pInflasi + 0.011 pSBI + 0.209 pkurs Persamaan regresi tersebut dapat diinterpretasikan sebagaimana berikut : Intercept bernilai 0.012 dapat diinterpretasikan bahwa jika seluruh variabel 91
  • 105.
    bebasnya bernilai nol,maka besarnya pendapatan saham adalah sama dengan nilai intercept tersebut, yakni 0.012. Koefisien regresi Perubahan Inflasi sebesar 0.120 memberikan gambaran bahwa jika Perubahan Inflasi meningkat satu unit, dengan asumsi variabel lain konstan (ceterus paribus), maka Pendapatan Saham yang ditunjukkan oleh saham yang bersangkutan akan meningkat sebesar 0.120 unit. Sebaliknya, jika Perubahan Inflasi turun sebesar satu unit maka Pendapatan Saham akan turun sebesar 0.120 unit. Koefisien regresi Perubahan SBI sebesar 0.011, artinya Perubahan SBI mempunyai pengaruh yang positif terhadap Pendapatan saham. Dalam hal ini, jika variabel Perubahan SBI meningkat satu unit, dengan asumsi variabel lainnya konstan (ceterus paribus), maka nilai pendapatan saham akan naik sebesar 0.011 unit dan begitupun sebaliknya. Koefisien regresi Kurs sebesar 0.209 memberikan gambaran bahwa jika Perubahan Kurs meningkat satu unit, dengan asumsi variabel lain konstan (ceterus paribus), maka Pendapatan Saham yang ditunjukkan oleh saham yang bersangkutan akan meningkat sebesar 0.209 unit. Sebaliknya, jika Perubahan Kurs turun sebesar satu unit maka Pendapatan Saham akan turun sebesar 0.209 unit. 92
  • 106.
    c. Analisis ExpectedReturn Model APT UNVR tahun 2003-2008 Pada tabel 6.2 terlihat bahwa koefisien-koefisien yang membentuk persamaan model APT UNVR tahun 2003-2008, sebagai berikut : Ri – ERi = 0.006 + 0.080 pInflasi + 0.020 pSBI - 1.992 pkurs Persamaan regresi tersebut dapat diinterpretasikan sebagaimana berikut : Intercept bernilai 0.006 dapat diinterpretasikan bahwa jika seluruh variabel bebasnya bernilai nol, maka besarnya pendapatan saham adalah sama dengan nilai intercept tersebut, yakni 0.006. Koefisien regresi Perubahan Inflasi sebesar 0.080 memberikan gambaran bahwa jika Perubahan Inflasi meningkat satu unit, dengan asumsi variabel lain konstan (ceterus paribus), maka Pendapatan Saham yang ditunjukkan oleh saham yang bersangkutan akan meningkat sebesar 0.080 unit. Sebaliknya, jika Perubahan Inflasi turun sebesar satu unit maka Pendapatan Saham akan turun sebesar 0.080 unit. Koefisien regresi Perubahan SBI sebesar 0.020, artinya Perubahan SBI mempunyai pengaruh yang positif terhadap Pendapatan saham. Dalam hal ini, jika variabel Perubahan SBI meningkat satu unit, dengan asumsi variabel lainnya konstan (ceterus paribus), maka nilai pendapatan saham akan naik sebesar 0.020 unit dan begitupun sebaliknya. Nilai koefisien regresi untuk Perubahan Kurs adalah - 1.992, artinya bahwa jika Perubahan Kurs meningkat satu unit, dengan asumsi variabel yang lainnya konstan (ceterus paribus), maka Pendapatan Saham akan 93
  • 107.
    turun sebesar -1.992 unit. Sebaliknya jika variabel Perubahan Kurs turun satu unit, maka Pendapatan saham naik sebesar - 1.992 unit. d. Analisis Expected Return Model APT KLBF tahun 2003-2008 Pada tabel 6.2 terlihat bahwa koefisien-koefisien yang membentuk persamaan model APT KLBF tahun 2003-2008, sebagai berikut : Ri – ERi = 0.009 + 0.105 pInflasi + 0.008 pSBI – 0.237 pkurs Persamaan regresi tersebut dapat diinterpretasikan sebagaimana berikut : Intercept bernilai 0.009 dapat diinterpretasikan bahwa jika seluruh variabel bebasnya bernilai nol, maka besarnya pendapatan saham adalah sama dengan nilai intercept tersebut, yakni 0.009. Koefisien regresi Perubahan Inflasi sebesar 0.105 memberikan gambaran bahwa jika Perubahan Inflasi meningkat satu unit, dengan asumsi variabel lain konstan (ceterus paribus), maka Pendapatan Saham yang ditunjukkan oleh saham yang bersangkutan akan meningkat sebesar 0.105 unit. Sebaliknya, jika Perubahan Inflasi turun sebesar satu unit maka Pendapatan Saham akan turun sebesar 0.105 unit. Koefisien regresi Perubahan SBI sebesar 0.008, artinya Perubahan SBI mempunyai pengaruh yang positif terhadap Pendapatan saham. Dalam hal ini, jika variabel Perubahan SBI meningkat satu unit, dengan asumsi variabel lainnya konstan (ceterus paribus), maka nilai pendapatan saham akan naik sebesar 0.008 unit dan begitupun sebaliknya. 94
  • 108.
    Nilai koefisien regresiuntuk Perubahan Kurs adalah –0.237, artinya bahwa jika Perubahan Kurs meningkat satu unit, dengan asumsi variabel yang lainnya konstan (ceterus paribus), maka Pendapatan Saham akan turun sebesar -0.237 unit. Sebaliknya jika variabel Perubahan Kurs turun satu unit, maka Pendapatan saham naik sebesar -0.237 unit. e. Analisis Expected Return Model APT ANTM tahun 2003-2008 Pada tabel 6.2 terlihat bahwa koefisien-koefisien yang membentuk persamaan model APT ANTM tahun 2003-2008, sebagai berikut : Ri – ERi = 0.007 + 0.107 pInflasi + 0.007 pSBI – 0.096 pkurs Persamaan regresi tersebut dapat diinterpretasikan sebagaimana berikut : Intercept bernilai 0.007 dapat diinterpretasikan bahwa jika seluruh variabel bebasnya bernilai nol, maka besarnya pendapatan saham adalah sama dengan nilai intercept tersebut, yakni 0.007. Koefisien regresi Perubahan Inflasi sebesar 0.107 memberikan gambaran bahwa jika Perubahan Inflasi meningkat satu unit, dengan asumsi variabel lain konstan (ceterus paribus), maka Pendapatan Saham yang ditunjukkan oleh saham yang bersangkutan akan meningkat sebesar 0.107 unit. Sebaliknya, jika Perubahan Inflasi turun sebesar satu unit maka Pendapatan Saham akan turun sebesar 0.107 unit. Koefisien regresi Perubahan SBI sebesar 0.007, artinya Perubahan SBI mempunyai pengaruh yang positif terhadap Pendapatan saham. 95
  • 109.
    Dalam hal ini,jika variabel Perubahan SBI meningkat satu unit, dengan asumsi variabel lainnya konstan (ceterus paribus), maka nilai pendapatan saham akan naik sebesar 0.007 unit dan begitupun sebaliknya. Nilai koefisien regresi untuk Perubahan Kurs adalah –0.096, artinya bahwa jika Perubahan Kurs meningkat satu unit, dengan asumsi variabel yang lainnya konstan (ceterus paribus), maka Pendapatan Saham akan turun sebesar -0.237 unit. Sebaliknya jika variabel Perubahan Kurs turun satu unit, maka Pendapatan saham naik sebesar -0.096 unit. f. Analisis Expected Return Model APT UNTR tahun 2003-2008 Pada tabel 6.2 terlihat bahwa koefisien-koefisien yang membentuk persamaan model APT UNTR tahun 2003-2008, sebagai berikut : Ri – ERi = 0.008 + 0.098 pInflasi + 0.007 pSBI + 0.582 pkurs Persamaan regresi tersebut dapat diinterpretasikan sebagaimana berikut : Intercept bernilai 0.008 dapat diinterpretasikan bahwa jika seluruh variabel bebasnya bernilai nol, maka besarnya pendapatan saham adalah sama dengan nilai intercept tersebut, yakni 0.008. Koefisien regresi Perubahan Inflasi sebesar 0.098 memberikan gambaran bahwa jika Perubahan Inflasi meningkat satu unit, dengan asumsi variabel lain konstan (ceterus paribus), maka Pendapatan Saham yang ditunjukkan oleh saham yang bersangkutan akan meningkat sebesar 96
  • 110.
    0.098 unit. Sebaliknya,jika Perubahan Inflasi turun sebesar satu unit maka Pendapatan Saham akan turun sebesar 0.098 unit. Koefisien regresi Perubahan SBI sebesar 0.007, artinya Perubahan SBI mempunyai pengaruh yang positif terhadap Pendapatan saham. Dalam hal ini, jika variabel Perubahan SBI meningkat satu unit, dengan asumsi variabel lainnya konstan (ceterus paribus), maka nilai pendapatan saham akan naik sebesar 0.007 unit dan begitupun sebaliknya. Koefisien regresi Kurs sebesar 0.582 memberikan gambaran bahwa jika Perubahan Kurs meningkat satu unit, dengan asumsi variabel lain konstan (ceterus paribus), maka Pendapatan Saham yang ditunjukkan oleh saham yang bersangkutan akan meningkat sebesar 0.582 unit. Sebaliknya, jika Perubahan Kurs turun sebesar satu unit maka Pendapatan Saham akan turun sebesar 0.582 unit. 5. MENGHITUNG PENDAPATAN SAHAM YANG DIHARAPKAN (EXPECTED RETURN) DENGAN MENGGUNAKAN MODEL APT Setelah Data tersebut diolah dengan menggunakan Kertas Kerja Ms.Excell untuk setiap masing – masing saham (INDF, MEDC, UNVR, KLBF, dan UNTR), maka diperoleh Expected Return tahunan berdasarkan model APT Industri Manufaktur yang tercatat di Bursa Efek Indonesia selama periode tahun 2003-2008, sehingga diperoleh nilai Expected Returnnya sebagai berikut : 97
  • 111.
    Tabel 6.3 ExpectedReturn (E(Ri)) Tahunan, Model APT SAHAM TAHUN 2003 2004 2005 2006 2007 2008 E(Ri).INDF -0.4078 1.0218 -2.0023 0.6920 2.0553 -0.1596 E(Ri).MEDC 2.2678 0.5155 -2.5818 0.5962 1.3787 -0.1256 E(Ri).UNVR -0.4078 1.0218 -2.0023 0.6920 2.0553 -0.1596 E(Ri).KLBF 2.0486 0.5759 -2.6645 0.6590 1.3692 -0.1890 E(Ri).ANTM 2.5158 0.5585 -2.7533 0.5249 1.3903 -0.2419 E(Ri).UNTR 2.4470 0.4857 -2.2420 0.6355 1.5054 -0.0138 Sumber : Hasil Output Ms. Excell C. RATA-RATA PENYIMPANGAN ABSOLUT (MEAN ABSOLUT DEVIATION (MAD)) UNTUK CAPM DAN APT Dalam penelitian ini keakuratan suatu model diukur dengan menggunakan Mean Absolut Deviation (MAD), model yang mempunyai MAD yang lebih kecil berarti lebih akurat dibandingkan model yang mempunyai MAD yang lebih besar. Setelah data diolah dengan persamaan yang di atas dengan menggunakan program Ms.Excell, maka diperoleh : 98
  • 112.
    Tabel 6.4 MADIndustri Manufaktur selama 5 tahun (2003-2008) No NAMA MAD CAPM MAD APT 1 2 3 4 5 6 INDF MEDC UNVR KLBF ANTM UNTR 0.0018 0.0033 0.0014 0.0013 0.0016 0.0018 0.1965 0.3391 0.1971 0.2948 0.3293 0.4643 Sumber : Hasil Output Ms. Excell dan output SPSS 13.00 Tabel 6.5 Group Statisti cs MAD Model CAPM APT N 6 6 Mean .0019 .3035 St d. Dev iation .00073 .10063 St d. Error Mean .00030 .04108 Sumber : Hasil output SPSS 13.00 Rata-rata MAD model CAPM dalam memprediksi return saham industri manufaktur sebesar 0.019 dengan standar deviasi 0.00073. Adapun rata-rata MAD model APT dalam memprediksi return saham industri manufaktur sebesar 0.3035 dengan standar deviasi 0.10063. Secara deskriptif terlihat bahwa rata-rata MAD CAPM lebih kecil dibandingkan rata-rata MAD APT yang berarti model CAPM lebih akurat dibandingkan model APT dalam memprediksi return saham industri manufaktur. Perbedaan Mean Absolut Deviation (MAD CAPM dan MAD APT) ini perlu diuji secara statistik untuk mengetahui apakah perbedaan tersebut signifikan. 99
  • 113.
    D. PEMBAHASAN 1. PENGARUH PREMI RISIKO YANG DIUKUR DENGAN MENGGUNAKANCAPITAL ASSET PRICING MODEL DALAM MEMPREDIKSI RETURN SAHAM INDUTRI MANUFAKTUR YANG TERCATAT DI BURSA EFEK INDONESIA Pada bagian ini akan diuji nilai R2, F-statistic serta significant level. Nilai R2 menunjukkan bagaimana model yang dibentuk dengan variable bebas (premi risiko) dimasukkan secara bersamaan, dapat menjelaskan variabel terikat. Nilai F-statistik dan significant level bertujuan menguji apakah variable bebas (premi risiko) mempunyai pengaruh dengan Expected Return Capital Asset Pricing Model sebagai variabel terikat. Pada INDF, pada Tabel 7.1 terlihat bahwa, nilai R2 sebesar 0,675. Hal ini menunjukkan 67.5 persen Expected Return Capital Asset Pricing Model dapat dijelaskan oleh variabel Premi Risiko. Sedangkan sisanya dijelaskan oleh sebab-sebab lain. Nilai F-hitung adalah 148.461, dengan tingkat probabilitas (nilai-p) sebesar 0.000. Karena nilai-p < 0,05 maka H0 ditolak. 2 Tabel 7.1 Summary R , Uji F, Uji T Model CAPM Industri Manufaktur selama periode 5 tahun (2003-2008) Uji F 2 No Nama R F Sig. 1 INDF 0.675 148.461 0.000 2 MEDC 0.784 254.152 0.000 3 UNVR 0.001 0.047 0.828 4 KLBF 0.883 527.666 0.000 5 ANTM 0.757 217.525 0.000 6 UNTR 0.796 273.852 0.000 Sumber : Hasil output Regrssion Program SPSS 13.00 100
  • 114.
    MEDC, Tabel 7.1terlihat bahwa, nilai R2 sebesar 0.784. Hal ini menunjukkan 78.4 persen Expected Return Capital Asset Pricing Model dapat dijelaskan oleh variabel Premi Risiko. Sedangkan sisanya dijelaskan oleh sebab-sebab lain. Nilai F-hitung adalah 254.152, dengan tingkat probabilitas (nilai-p) sebesar 0.000. Karena nilai-p < 0,05 maka H0 ditolak. UNVR, nilai R2 sebesar 0.001. Hal ini menunjukkan 0.1 persen Expected Return Capital Asset Pricing Model dapat dijelaskan oleh variabel Premi Risiko. Sedangkan sisanya dijelaskan oleh sebab-sebab lain. Nilai F-hitung adalah 0.047, dengan tingkat probabilitas (nilai-p) sebesar 0.828. Karena nilai-p > 0,05 maka H0 gagal ditolak. KLBF, nilai R2 sebesar 0.883. Hal ini menunjukkan 88.3 persen Expected Return Capital Asset Pricing Model dapat dijelaskan oleh variabel Premi Risiko. Sedangkan sisanya dijelaskan oleh sebab-sebab lain. Nilai F-hitung adalah 527.666, dengan tingkat probabilitas (nilai-p) sebesar 0.000. Karena nilai-p < 0,05 maka H0 ditolak. ANTM, nilai R2 sebesar 0,757. Hal ini menunjukkan 75.7 persen Expected Return Capital Asset Pricing Model dapat dijelaskan oleh variabel Premi Risiko. Sedangkan sisanya dijelaskan oleh sebab-sebab lain. Nilai F-hitung adalah 217.525, dengan tingkat probabilitas (nilai-p) sebesar 0.000. Karena nilai-p < 0,05 maka H0 ditolak. UNTR, nilai R2 sebesar 0.796. Hal ini menunjukkan 79.6 persen Expected Return Capital Asset Pricing Model dapat dijelaskan oleh variabel Premi Risiko. Sedangkan sisanya dijelaskan oleh sebab-sebab lain. Nilai F-hitung adalah 273.852, dengan tingkat probabilitas (nilai-p) 101
  • 115.
    sebesar 0.000. Karenanilai-p < 0,05 maka H0 ditolak yang berarti ada pengaruh variable bebas (Premi Risiko) terhadap Expected Return Capital Asset Pricing Model. Dengan demikian penelitian mendukung hipotesis satu, sebagaimana yang tersaji pada table 7.1.1. Tabel 7.1.1 Keputusan Hipotesis satu Saham Keputusan Hipotesis INDF Ho ditolak MEDC Ho ditolak UNVR Ho gagal ditolak KLBF Ho ditolak ANTM Ho ditolak UNTR Ho ditolak Kesimpulan Premi Risiko mempunyai pengaruh dalam memprediksi return saham Premi Risiko mempunyai pengaruh dalam memprediksi return saham Premi Risiko tidak mempunyai pengaruh dalam memprediksi return saham Premi Risiko mempunyai pengaruh dalam memprediksi return saham Premi Risiko mempunyai pengaruh dalam memprediksi return saham Premi Risiko mempunyai pengaruh dalam memprediksi return saham Sumber : Hasil Pengujian-pengujian Hipotesis 2. PENGARUH INFLASI, SUKU BUNGA INDONESIA DAN NILAI KURS YANG DIUKUR DENGAN MENGGUNAKAN MODEL ARBITRAGE PRICING THEORY (APT) DALAM MEMPREDIKSI RETURN SAHAM INDUSTRI MANUFAKTUR YANG TERCATAT DI BURSA EFEK INDONESIA Pada bagian ini akan diuji nilai R2, F-statistic dan significant level, dan T-statistik serta significant level. Nilai R2 menunjukkan bagaimana model yang dibentuk dengan variable – variabel bebas (Inflasi, SBI, dan Kurs) dimasukkan secara bersamaan, dapat menjelaskan variabel terikat. Nilai F-statistik dan significant level bertujuan menguji apakah variabelvariabel bebas (Inflasi, SBI, dan Kurs) yang dipilih benar-benar berhubungan dengan Expected Return model Arbitrage Pricing Theory 102
  • 116.
    sebagai variabel terikat.Adapun table 7.1 dan 7.2 adalah summary table yang terdapat pada lampiran I. 2 Tabel 7.2 Summary R dan Uji F Model APT Industri Manufaktur selama periode 5 tahun (2003-2008) No Nama 1 2 3 4 5 6 INDF MEDC UNVR KLBF ANTM UNTR R 2 0.699 0.748 0.699 0.801 0.774 0.774 Uji F F 52.609 67.258 52.609 90.952 77.743 77.616 Sig. 0.000 0.000 0.000 0.000 0.000 0.000 Sumber : Hasil output Regrssion Program SPSS 13.00 Pada INDF, pada Tabel 7.2 terlihat bahwa, nilai R2 sebesar 0,699. Hal ini menunjukkan 69.9 persen Expected Return model Arbitrage Pricing Theory dapat dijelaskan oleh variabel-variabel bebas (Inflasi, SBI, Kurs). Sedangkan sisanya dijelaskan oleh sebab-sebab lain. Nilai F-hitung adalah 52.609, dengan tingkat probabilitas (nilai-p) sebesar 0.000. Karena nilai-p < 0,05 maka H0 ditolak. MEDC, nilai R2 sebesar 0.748. Hal ini menunjukkan 74.8 persen Expected Return model Arbitrage Pricing Theory dapat dijelaskan oleh variabel-variabel bebas (Inflasi, SBI, Kurs). Sedangkan sisanya dijelaskan oleh sebab-sebab lain. Nilai F-hitung adalah 67.258, dengan tingkat probabilitas (nilai-p) sebesar 0.000. Karena nilai-p < 0,05 maka H0 ditolak. UNVR, nilai R2 sebesar 0,699. Hal ini menunjukkan 69.9 persen Expected Return model Arbitrage Pricing Theory dapat dijelaskan oleh variabel-variabel bebas (Inflasi, SBI, Kurs). Sedangkan sisanya dijelaskan oleh sebab-sebab lain. Nilai F-hitung adalah 52.609, dengan tingkat probabilitas (nilai-p) sebesar 0.000. Karena 103
  • 117.
    nilai-p < 0,05maka H0 ditolak. KLBF, nilai R2 sebesar 0.801. Hal ini menunjukkan 80.1 persen Expected Return model Arbitrage Pricing Theory dapat dijelaskan oleh variabel-variabel bebas (Inflasi, SBI, Kurs). Sedangkan sisanya dijelaskan oleh sebab-sebab lain. Nilai F-hitung adalah 90.952, dengan tingkat probabilitas (nilai-p) sebesar 0.000. Karena nilai-p < 0,05 maka H0 ditolak. ANTM, nilai R2 sebesar 0.774. Hal ini menunjukkan 77.4 persen Expected Return model Arbitrage Pricing Theory dapat dijelaskan oleh variabel-variabel bebas (Inflasi, SBI, Kurs). Sedangkan sisanya dijelaskan oleh sebab-sebab lain. Nilai F-hitung adalah 77.743, dengan tingkat probabilitas (nilai-p) sebesar 0.000. Karena nilai-p < 0,05 maka H0 ditolak. UNTR, nilai R2 sebesar 0.774. Hal ini menunjukkan 77.4 persen Expected Return model Arbitrage Pricing Theory dapat dijelaskan oleh variabel-variabel bebas (Inflasi, SBI, Kurs). Sedangkan sisanya dijelaskan oleh sebab-sebab lain. Nilai F-hitung adalah 77.616, dengan tingkat probabilitas (nilai-p) sebesar 0.000. Karena nilai-p < 0,05 maka H0 ditolak. Dari hasil tersebut dapat disimpulkan bahwa model regresi yang mengaitkan Inflasi, SBI, dan Kurs dengan Expected Return model Arbitrage Pricing Theory memberikan hasil pengujian yang menyatakan bahwa variabel Inflasi, SBI, dan Kurs secara bersama-sama dapat menjelaskan Expected Return model Arbitrage Pricing Theory, sebagaimana yang tersaji pada tabel 7.2.1 104
  • 118.
    Tabel 7.2.1 KeputusanHipótesis dua Hipótesis Hipótesis dua Keputusan Hipotesis Kesimpulan Ho ditolak Inflasi, SBI, dan Kurs yang diukur dengan menggunakan model Arbitrage Pricing Theory mempunyai “pengaruh tambahan” dalam memprediksi return saham Industri Manufaktur yang tercatat di Bursa Efek Indonesia. Sumber : Hasil Pengujian-pengujian Hipótesis Bagian uji statistik-t digunakan untuk menguji signifikansi variabel – variable bebas (Inflasi, SBI, dan Kurs), apakah variabel-variabel bebas (Inflasi, SBI, dan Kurs) tersebut secara parsial memiliki pengaruh terhadap model regresi. Adapun tabel uji T hasil regresi terdapat pada lampiran J. Tabel 7.2.2 Uji T Model CAPM Industri Manufaktur selama periode 5 tahun (2003-2008) INDF T Sig. 6.62 .000 MEDC T Sig. 10.135 .000 B2 3.54 .001 1.939 B3 -2.03 .046 .219 B1 UNVR T Sig. 6.62 .000 KLBF T Sig. 11.840 .000 ANTM T Sig. 11.121 .000 UNTR T Sig. 11.315 .000 .057 3.54 .001 1.784 .079 1.485 .142 1.756 .084 .827 -2.03 .046 -.331 .741 -.123 .902 .834 .407 Sumber : Hasil output Regrssion Program SPSS 13.00 INDF, uji statistik t tersebut yang terlihat pada tabel 7.2.2 bahwa, nilai-p Inflasi, SBI, dan Kurs masing-masing adalah 0.00, 0.01, dan 0.46. Nilai-p Inflasi dan SBI < 0.05 yang berarti dapat digunakan untuk memprediksi Expected Return model Arbitrage Pricing Theory dan nilai-p Kurs >0,05 artinya tidak dapat digunakan untuk memprediksi Expected Return model Arbitrage Pricing Theory. MEDC, nilai-p Inflasi, SBI, dan Kurs masing-masing adalah 0.000, 0.057, dan 0.827. Nilai-p Inflasi < 0.05 yang berarti dapat digunakan untuk memprediksi Expected Return model Arbitrage Pricing Theory dan nilai-p SBI dan Kurs >0,05 artinya tidak dapat digunakan untuk memprediksi Expected Return model Arbitrage 105
  • 119.
    Pricing Theory. UNVR,nilai-p Inflasi, SBI, dan Kurs masing-masing adalah 0.00, 0.01, dan 0.46. Nilai-p Inflasi dan SBI < 0.05 yang berarti dapat digunakan untuk memprediksi Expected Return model Arbitrage Pricing Theory dan nilai-p Kurs >0,05 artinya tidak dapat digunakan untuk memprediksi Expected Return model Arbitrage Pricing Theory. KLBF, nilai-p Inflasi, SBI, dan Kurs masing-masing adalah 0.000, 0.079, dan 0.741. Nilai-p Inflasi < 0.05 yang berarti dapat digunakan untuk memprediksi Expected Return model Arbitrage Pricing Theory dan nilai-p SBI dan Kurs >0,05 artinya tidak dapat digunakan untuk memprediksi Expected Return model Arbitrage Pricing Theory. ANTM, nilai-p Inflasi, SBI, dan Kurs masing-masing adalah 0.00, 0.142, dan 0.902. Nilai-p Inflasi < 0.05 yang berarti dapat digunakan untuk memprediksi Expected Return model Arbitrage Pricing Theory dan nilai-p SBI dan Kurs >0,05 artinya tidak dapat digunakan untuk memprediksi Expected Return model Arbitrage Pricing Theory. UNTR, nilai-p Inflasi, SBI, dan Kurs masingmasing adalah 0.00, 0.084, dan 0.407. Nilai-p Inflasi < 0.05 yang berarti dapat digunakan untuk memprediksi Expected Return model Arbitrage Pricing Theory dan nilai-p SBI dan Kurs >0,05 artinya tidak dapat digunakan untuk memprediksi Expected Return model Arbitrage Pricing Theory. 106
  • 120.
    Tabel 7.2.3 KeputusanHipotesis dua secara parsial Saham Hipotesis Keputusan Kesimpulan Ho ditolak Hipotesis dua SBI mempunyai pengaruh dalam memprediksi return saham Kurs tidak mempunyai pengaruh dalam memprediksi return saham Inflasi mempunyai pengaruh dalam memprediksi return saham Ho gagal ditolak SBI tidak mempunyai pengaruh dalam memprediksi return saham Kurs tidak mempunyai pengaruh dalam memprediksi return saham Inflasi mempunyai pengaruh dalam memprediksi return saham Ho gagal ditolak SBI tidak mempunyai pengaruh dalam memprediksi return saham Kurs tidak mempunyai pengaruh dalam memprediksi return saham Ho ditolak UNTR Ho ditolak Ho gagal ditolak Hipotesis dua Inflasi mempunyai pengaruh dalam memprediksi return saham Ho ditolak ANTM Kurs tidak mempunyai pengaruh dalam memprediksi return saham Ho gagal ditolak Hipotesis dua SBI tidak mempunyai pengaruh dalam memprediksi return saham Ho ditolak KLBF Inflasi mempunyai pengaruh dalam memprediksi return saham Ho gagal ditolak Ho gagal ditolak Hipotesis dua Kurs tidak mempunyai pengaruh dalam memprediksi return saham Ho ditolak UNVR SBI mempunyai pengaruh dalam memprediksi return saham Ho gagal ditolak Hipotesis dua Ho ditolak Ho ditolak MEDC Hipotesis dua Inflasi mempunyai pengaruh dalam memprediksi return saham Ho gagal ditolak INDF Inflasi mempunyai pengaruh dalam memprediksi return saham Ho gagal ditolak SBI tidak mempunyai pengaruh dalam memprediksi return saham Ho gagal ditolak Sumber : Hasil Pengujian-pengujian Hipotesis Kurs tidak mempunyai pengaruh dalam memprediksi return saham 3. STATISTIK UJI BEDA DUA RATA-RATA UNTUK INDEPENDENT SAMPLE EXPECTED RETURN YANG DIUKUR DENGAN MENGGUNAKAN CAPITAL ASSET PRICING MODEL (CAPM) DAN MODEL ARBITRAGE PRICING THEORY (APT) PADA SAHAM INDUSTRI MANUFAKTUR YANG TERCATAT DI BURSA EFEK INDONESIA Pada bagian ini akan dilakukan pengujian terhadap Expected Return Capital Asset Pricing Model dan Expected Return model Arbitrage Pricing Theory untuk Industri Manufaktur yang tercatat di Bursa Efek Indonesia selama periode 5 tahun (2003-2008). Ringkasan statistik deskriptif untuk nilai Expected Return Capital Asset Pricing Model dan Expected Return model Arbitrage Pricing Theory untuk Industri Manufaktur dapat dilihat pada Tabel 8.1 berikut ini : 107
  • 121.
    Tabel 8.1 RingkasanStatistik Deskriptif CAPM dan APT Industri Manufaktur periode 5 tahun (2003-2008) Group Statistics INDF MEDC UNVR KLBF ANTM UNTR Expected Return CAPM dan APT CAPM APT CAPM APT CAPM APT CAPM APT CAPM APT CAPM APT N 72 72 72 72 72 72 72 72 72 72 72 72 Mean .0014 .1999 .0060 .3418 .0014 .1999 .0036 .2999 .0017 .3324 .0035 .4696 Std. Dev iat ion .04402 1.36526 .04709 1.59113 .04402 1.36526 .03952 1.57952 .04029 1.70309 .03625 1.53425 Std. Error Mean .00519 .16090 .00555 .18752 .00519 .16090 .00466 .18615 .00475 .20071 .00427 .18081 Sumber : Pengolahan data dengan SPSS Pada Tabel 8.1 terlihat bahwa rata-rata Expected Return Capital Asset Pricing Model untuk INDF, MEDC, UNVR, KLBF, ANTM, dan UNTR masing-masing sebesar : 0.0014, 0.0060, 0.0014, 0.0036, 0.0017, dan 0.0035. Artinya Expected Return Capital Asset Pricing Model MEDC lebih besar dari KLBF lebih besar dari UNTR lebih besar dari ANTM lebih besar dari INDF dan UNVR serta Expected Return model Arbitrage Pricing Theory untuk INDF, MEDC, UNVR, KLBF, ANTM, dan UNTR masingmasing sebesar : 0.1999, 0.3418, 0.1999, 0.2999, 0.3324, dan 0.4696, artinya Expected Return model Arbitrage Pricing Theory UNTR lebih besar dari MEDC lebih besar dari ANTM lebih besar dari KLBF lebih besar dari INDF dan UNVR. Selanjutnya dilakukan analisis apakah rata-rata Expected return capital asset pricing model dengan expected return model arbitrage pricing model pada industri manufaktur yang tercatat di bursa efek 108
  • 122.
    indonesia adalah berbedasecara signifikan atau tidak. Dalam hal ini Digunakan hipotesis, sebagai berikut : Tabel 8.2 Hasil Uji Rata-rata Sampel Independen Independent Samples Test Levene's Test f or Equality of Variances F INDF MEDC UNVR KLBF ANTM UNTR Equal variances assumed Equal variances not assumed Equal variances assumed Equal variances not assumed Equal variances assumed Equal variances not assumed Equal variances assumed Equal variances not assumed Equal variances assumed Equal variances not assumed Equal variances assumed Equal variances not assumed 120.586 Sig. t Sig. (2-tailed) df Mean Diff erence Std. Error Diff erence 95% Confidence Interv al of the Diff erence Lower Upper .000 -.51669 .11977 71.148 .222 -.19846 .16098 -.51943 .12252 -1.790 142 .076 -.33577 .18760 -.70661 .03508 71.124 .078 -.33577 .18760 -.70982 .03828 -1.233 142 .220 -.19846 .16098 -.51669 .11977 71.148 .222 -.19846 .16098 -.51943 .12252 -1.591 142 .114 -.29632 .18621 -.66441 .07178 71.089 .116 -.29632 .18621 -.66760 .07496 -1.647 142 .102 -.33069 .20077 -.72757 .06619 71.079 .104 -.33069 .20077 -.73100 .06962 -2.577 142 .011 -.46610 .18086 -.82363 -.10857 -2.577 97.384 .000 .16098 -1.647 87.590 .000 -.19846 -1.591 88.976 .000 .220 -1.233 120.586 142 -1.790 .000 -1.233 -1.233 84.483 .000 t-test for Equality of Means 71.079 .012 -.46610 .18086 -.82672 -.10547 Sumber : Pengolahan data dengan SPSS 13.00 Hipotesis tiga : Expected return capital asset pricing model berbeda dengan expected return model arbitrage pricing model pada industri manufaktur yang tercatat di bursa efek indonesia Pada Tabel 8.2 terlihat bahwa T-hitung untuk INDF, MEDC, UNVR, KLBF, dan ANTM dengan equal variance assumed masing-masing adalah -1.233, -1.790, -1.233, -1.591, dan -1.647 dengan nilai-p masing-masing 0.220, 0.076, 0.220, 0.114, dan 0.102. Oleh karena nilai-p untuk uji dua sisi (INDF) 0,220/2 > 0,025, (MEDC) 0.076/2 > 0.025, (UNVR) 0.220/2 > 109
  • 123.
    0.025, (KLBF) 0.114/2> 0.025, dan (ANTM) 0.102/2 > 0.025 maka H0 gagal ditolak, artinya Expected return capital asset pricing model tidak berbeda dengan expected return model arbitrage pricing model pada INDF, MEDC, UNVR, KLBF dan ANTM. Dan pada UNTR dengan equal variance assumed adalah -2.577 dengan nilai-p 0.011. Oleh karena nilai-p untuk uji dua sisi 0,011/2 < 0,025 maka H0 gagal ditolak, artinya Expected return capital asset pricing model berbeda dengan expected return model arbitrage pricing model pada UNTR. Dengan demikian penelitian mendukung hipotesis tiga, sebagaimana yang tersaji pada table 8.3. Tabel 8.3 Keputusan Hipótesis tiga Saham Keputusan Hipotesis INDF Ho gagal ditolak MEDC Ho gagal ditolak UNVR Ho gagal ditolak KLBF Ho gagal ditolak ANTM Ho gagal ditolak UNTR Ho ditolak Kesimpulan Expected return capital asset pricing model tidak berbeda dengan expected return model arbitrage pricing model Expected return capital asset pricing model tidak berbeda dengan expected return model arbitrage pricing model Expected return capital asset pricing model tidak berbeda dengan expected return model arbitrage pricing model Expected return capital asset pricing model tidak berbeda dengan expected return model arbitrage pricing model Expected return capital asset pricing model tidak berbeda dengan expected return model arbitrage pricing model Expected return capital asset pricing model berbeda dengan expected return model arbitrage pricing model Sumber : Hasil Pengujian-pengujian Hipótesis 4. STATISTIK UJI BEDA DUA RATA-RATA PENYIMPANGAN ABSOLUT (MAD) CAPM DAN APT PADA SAHAM INDUSTRI MANUFAKTUR YANG TERCATAT DI BURSA EFEK INDONESIA Pada bagian ini akan dilakukan pengujian perbedaan rata-rata penyimpangan absolut Capital Asset Pricing Model dan mdel Arbitrage Pricing Theory berdasarkan Mean Absolut Deviation (MAD) pada masing- 110
  • 124.
    masing model (CAPMdan APT) dalam memprediksi return saham Industri Manufaktur yang tercatat di Bursa Efek Indonesia selama periode 5 tahun. Tabel 8.4 Hasil Uji Rata-rata Sampel Independen Independent Samples Test Levene's Test f or Equality of Variances F MAD Equal variances assumed Equal variances not assumed Sig. 9.156 t-test for Equality of Means t .013 Sig. (2-tailed) df Mean Dif f erence Std. Error Dif f erence 95% Confidence Interv al of the Dif f erence Lower Upper -7.342 10 .000 -.30165 .04108 -.39319 -.21011 -7.342 5.001 .001 -.30165 .04108 -.40726 -.19604 Sumber : Pengolahan data dengan SPSS 13.00 Hipotesis yang digunakan dalam penelitian ini adalah : Hipotesis empat : Expected return capital asset pricing model berbeda rata-rata penyimpangan absolut dengan expected return model arbitrage pricing model pada industri manufaktur yang tercatat di bursa efek indonesia Pada tabel 8.4 terlihat bahwa T-hitung dengan equal variance assumed adalah -7.342 dengan nilai-p 0.000. Oleh karena nilai-p untuk uji dua sisi 0,000/2 < 0,025 maka H0 ditolak, artinya Expected return capital asset pricing model berbeda akurasi dengan expected return model arbitrage pricing model. Dengan demikian penelitian mendukung hipotesis enam, sebagaimana yang tersaji pada tabel 8.5. Tabel 8.5 Keputusan Hipótesis empat Hipótesis Keputusan Hipotesis Hipótesis empat Ho ditolak Kesimpulan Expected return capital asset pricing model berbeda rata-rata penyimpangan absolute dengan expected return model arbitrage pricing model Sumber : Hasil Pengujian-pengujian Hipótesis 111
  • 125.
    Model CAPM yangmenggunakan pendapatan pasar saham aktual sebagai variabel, lepas dari unsur bias dalam penentuan variabel dan semua investor jika menggunakan model CAPM maka akan menggunakan pendapatan pasar saham aktual sebagai variabel (homogen), dan salah satu asumsi model CAPM yang masih berlaku dalam model APT adalah bahwa Investor mempunyai kepercayaan yang bersifat homogen (Tande Lilin, 2001; 06), dan model CAPM, perubahan faktor non ekonomi dan company actions (perusahaan yang mempunyai kapitalisasi pasar yang besar) sudah tercakup dalam perubahan dari pendapatan pasar saham. Sedangkan Pada model APT, penggunaan variabel-variabel makro ekonomi dalam penelitian tidak bisa menjelaskan variasi pendapatan saham industri manufaktur yang disebabkan oleh faktor non ekonomi (misalnya sosial, politik, keamanan dsb), padahal seringkali faktor non ekonomi merupakan faktor dominan yang mempengaruhi pergerakan harga saham di Bursa Efek Jakarta. Selain itu, model APT yang digunakan dalam penelitian ini juga tidak bisa menjelaskan variasi pendapatan saham industri manufaktur yang disebabkan oleh company actions (seperti right isue, stock split, warrant dll.). Sedangkan berdasarkan penelitian yang dilakukan oleh Widyawati (1996), Nisful laila (1996), Nanang Hamdani (1997) dan Neneng Zumainah (2001) diperoleh kesimpulan bahwa company actions (right isue, stock split, warrant) mempunyai pengaruh yang signifikan terhadap pendapatan saham di 112
  • 126.
    BEI. Hal inimenyebabkan model CAPM lebih akurat dibandingkan dengan model APT dalam memprediksi pendapatan saham industri manufaktur yang tercatat di Bursa Efek Indonesia. 113
  • 127.
    BAB VI KESIMPULAN DANSARAN A. KESIMPULAN 1. Faktor Premi Risiko (Rm-Rf) yang diukur dengan menggunakan Capital Asset Pricing Model (CAPM) mempunyai pengaruh dalam memprediksi return saham Industri Manufaktur yang tercatat di Bursa Efek Indonesia, terutama pada saham INDF, MEDCO, KLBF, ANTM dan UNTR, Kecuali pada saham UNVR, Faktor Premi Risiko (Rm-Rf) yang diukur dengan menggunakan Capital Asset Pricing Model (CAPM) tidak mempunyai pengaruh dalam memprediksi return saham 2. Inflasi, SBI, dan Kurs dengan Expected Return model Arbitrage Pricing Theory memberikan hasil pengujian yang menyatakan bahwa variabel Inflasi, SBI, dan Kurs secara bersama-sama dapat menjelaskan Expected Return model Arbitrage Pricing Theory. Faktor Suku Bunga dan Kurs yang diukur dengan menggunakan model Arbitrage Pricing Theory tidak mempunyai pengaruh dalam memprediksi return saham MEDC, KLBF, ANTM dan UNTR, lain halnya pada saham INDF dan UNTR, hanya faktor kurs yang diukur dengan menggunakan model Arbitrage Pricing Theory tidak mempunyai pengaruh dalam memprediksi return saham. Faktor inflasi pada semua saham INDF, MEDC, UNVR, KLBF, ANTM dan UNTR yang diukur dengan 114
  • 128.
    menggunakan model ArbitragePricing Theory mempunyai pengaruh dalam memprediksi return saham. 3. T-hitung untuk INDF, MEDC, UNVR, KLBF, dan ANTM dengan equal variance assumed masing-masing adalah -1.233, -1.790, -1.233, 1.591, dan -1.647 dengan nilai-p masing-masing 0.220, 0.076, 0.220, 0.114, dan 0.102. Oleh karena nilai-p untuk uji dua sisi (INDF) 0,220/2 > 0,025, (MEDC) 0.076/2 > 0.025, (UNVR) 0.220/2 > 0.025, (KLBF) 0.114/2 > 0.025, dan (ANTM) 0.102/2 > 0.025 maka H0 gagal ditolak, artinya Expected return capital asset pricing model tidak berbeda dengan expected return model arbitrage pricing model pada INDF, MEDC, UNVR, KLBF dan ANTM. Dan pada UNTR dengan equal variance assumed adalah -2.577 dengan nilai-p 0.011. Oleh karena nilai-p untuk uji dua sisi 0,011/2 < 0,025 maka H0 ditolak, artinya Expected return capital asset pricing model berbeda dengan expected return model arbitrage pricing model pada UNTR. 4. T-hitung dengan equal variance assumed adalah -7.342 dengan nilai-p 0.000. Oleh karena nilai-p untuk uji dua sisi 0,000/2 < 0,025 maka H0 ditolak, artinya Expected return capital asset pricing model berbeda rata-rata penyimpangan absolut dengan expected return model arbitrage pricing model. Rata-rata MAD model CAPM dalam memprediksi return saham industri manufaktur sebesar 0,0278 dengan standar deviasi 0,00327. Adapun rata-rata MAD model APT dalam memprediksi return saham industri manufaktur sebesar 1.1816 dengan 115
  • 129.
    standar deviasi 0,12492.Secara deskriptif menunjukkan bahwa model CAPM lebih akurat dibandingkan model APT dalam memprediksi return saham industri manufaktur. B. SARAN - SARAN 1. Pendapatan pasar saham dalam penelitian ini mampu menjelaskan variasi dari pendapatan saham industri manufaktur kecuali pada saham UNVR, maka disarankan bagi peneliti selanjutnya untuk meneliti variabel yang dominan sebagai tolak ukur perusahaan dalam memprediksi return saham perusahaan tersebut. 2. Faktor-faktor makro ekonomi (Inflasi, SBI, dan Kurs) yang diteliti, hanya Inflasi yang mampu menjelaskan variasi dari pendapatan saham industri manufaktur. Maka disarankan bagi penelitian selanjutnya untuk meneliti faktor penyebab apa variabel-variabel (SBI dan Kurs) tersebut yang membentuk model APT tidak mampu menjelaskan prediksi return saham perusahaan. 3. Penelitian ini menggunakan model ARIMA (Box-Jenkin). Pada kondisi nyata tidak semua investor menggunakan model ARIMA untuk mengestimasi faktor makro ekonomi tersebut. Ada berbagai macam metode atau cara yang bisa digunakan untuk mengestimasi data time series faktor makro tersebut, diantaranya adalah metode least square, smoothing, exponential smoothing, dekomposisi, moving average dll. Disarankan bagi penelitian selanjutnya untuk meneliti model yang 116
  • 130.
    sesuai untuk mencarivariabel-veriabel yang dimasukkan dalam model APT (tingkat bunga yang tidak diharapkan, tingkat inflasi yang tidak diharapkan dan tingkat pertumbuhan yang tidak diharapkan) adalah dengan cara mengurangi tingkat bunga aktual, tingkat inflasi aktual dan tingkat perubahan kurs aktual dengan nilai pengharapan faktorfaktor tersebut. Sehingga hasil dari prediksi faktor makro yang digunakan dalam pembentukan model APT kemungkinan tidak terjadi bias dan akurat. 117
  • 131.
    DAFTAR PUSTAKA Arianto, E.1996. Pengujian Standard CAPM di Bursa Efek Jakarta, Pengamatan selama periode 1994-1995. Majalah Manajemen, ISSN: 0216-1400, edisi Sep-Okt 1996. Dapat diakses di http://strategika.wordpress.com Bank Indonesia. 2005. Sertifikat Bank Indonesia. www.bi.go.id Bodie, Kane, Marcus.2001.Essentials Of Investment, Fourth Edition, McGrawHill. Brealey, Richard A.Stewart C, Myers. Alan J, Marcus. 2001. Fundamentals of Corporate Finace. Third Edition.Singapore: Mc Graw-Hill. Brigham, E.F., and Gapenski, L.C., 1994. Financial Management Theory and Practice, 7th ed. The Dryden Press. Florida (page 207). ______. Weston. and Besle. 1996. Modern Portofolio, Elevent Edition, New York: TheDryden Press. Cagnetti, A. (2002), “Capital Asset Pricing Model and Arbitrage Pricing Theory in the Italian Stock Market: An Empirical Study”, unpublished working paper. Case, K. E. dan R. C. Fair (1999), Principle of Economics, 5th Edition, Prentice Hall International, Inc., New Jersey Chen, N.F., R.Roll and S.Ross (1986), “Economic Forces and the Stock Market”, Journal of Business, Vol.59, pp.383-403. Corrado, Charles J. and Jordan, Bradford D. 2000. Fundamentals of Investment Analisis Fourth Edition.Singapore: Mc Graw-Hill. E.F. Fama, Risk, Return and Equilibrium: Some Clarifying Comments, Journal of Finance 23, no.1 (Maret 1968) : 29-40. Eric H.sorensen, Joseph J.Mezrich, dan chee Thum, “The Salomon Brother U.S Stock Risk Attribute Model,”Salomon Brother, NY,Oktober 1989. Francis, Jack C. (1988), Management of Investment, 2nd ed., International Editions Financial Series, Singapore: McGraw Hill. 118
  • 132.
    Gloria Gonza´lez-Rivera,1998, “DynamicAsset Pricing and Statistical Properties of Risk”, Journal of Economics and Business 1998; 50:461–470 0148-6195 © 1998 Elsevier Science Inc., New York, New York. Halim, Abdul, (2003), Analisis Investasi, Jilid 1, Edisi Pertama, Salemba Empat, Jakarta. Hamdani, Nanang. 1997. Pengaruh Pengumuman Pemecahan Saham Terhadap Pendapatan Saham. Skripsi, Fakultas Ekonomi Universitas Airlangga, Surabaya. Hermanto, B. (1998); Nominal Stock Return Volatility on the Jakarta Stock Exchange and Changes in Government Policy; Ph.D Disertation, Department of Accounting and Finance, University of Birmingham, UK. Horne, James C. V. and Wachoviz Jr, John M. 1998. Fundamental of Financial Management 8th ed, New Jersey: Prentice Hall International. Jack L.Treynor,”Toward a Theory Of Market Value Risky Asset”, makalah tidak diterbitkan, Arthur D.Little, Cambridge, MA, 1961. Jensen. “Risk, The Pricing of Capital Assets and the Evaluation of Investment Portfolios”. Journal of Business 42 (April 1969), 167247. Jogiyanto. 2003. Teori Portofolio dan Analisis Investasi. Edisi Tiga. Yogyakarta: BPFE Jones, Charles P. 2000. Investment: Analysis and Management, 7th edition, New York: John Willey and Sons.Inc. Kandel, S., Stambaugh, R.F., 1996. On The Predictability Of Stock Returns: An Asset Allocation Perspective. Journal of Finance 51, 385}424. Laila, Nisful. 1996. Analisis Dampak Penerbitan Right Issue Terhadap Tingkat Pengembalian Saham (Studi Kasus BEJ) Periode 19941995. Skripsi, Surabaya: Fakultas Ekonomi Universitas Airlangga Lintner, J. (1965), “The Valuation of Risk Assets and Selection of Risky Investments in Stock Portfolios and Capital Budgets”, Review of Economics and Statistics, Vol.47, pp.13-37. 119
  • 133.
    Long, J.B. Jr.,1974. Stock prices, inflation, and the term structure of interest rates. Journal of Financial Economics 1, 131-170. Manurung, Adler Haymans (1996c); Pengaruh Variabel Makro, Investor Asing, Bursa yang Telah Maju terhadap Indeks BEJ; Tesis Magister Ekonomi, Fakultas Pascasarjana, Universitas Indonesia. Markowitz, H. M., “Portfolio Selection”, Journal of finance, Volume 7 ,1952 Mossin, J. (1966), “Equilibrium in a Capital Market”, Econometrica, ol.34,pp.768-783. Reilly, Frank K & Keith C. Brown. 2000. Investment Analysis and Fortofolio Management, Sixth Edition, New York: The Dryden Press Ross, S.A., “The Arbitrage Theory of Capital Asset Pricing”, Journal of Economic Theory, Vol.13, 1976 _____. Westerfield,Randolph W. Jordan, Bradford D. 2003. Fundamentals of Corporate Finance.Sixth edition. New York: Mc Graw-Hill Scott, Besley., Eugene F, Bringham. 2000. Essentials of Managerial Finance, Twelfth Edition. Orlando:Harcourt Inc Sitorus, Maurin. 2004. Pengaruh Variabel Makroekonomi Terhadap Kinerja Saham Pertambangan Minyak Dan Gas Bumi Sebagai Emiten Di Bursa Efek Indonesia. Tesis, Surabaya: Pascasarjana Universitas Airlangga. Sharpe, William. 1999. Investment, Sixth Edition. New Jersey: Prentice Hall. _____, “Capital Asset Prices: A Theory of Market Equilibrium Under Conditions of Risk”, Journal of Finance, Vol.19, 1964 _____, Gordon J.Alexander, Jeffery V.Bailey, “INVESTASI”, Edisi keenam Bahasa Indonesia, Penerbit PT.Indeks Kelompok Gramedia, 2005, Yakarta. Syaichu, Mohammad. 2001. Perbandingan Keakuratan Keakuratan Capital Asset Pricing Model (CAPM) dan Arbitrage Pricing Theory (APT) dalam Memprediksi Pendapatan Saham Di Bursa Efek Jakarta, Tesis, Surabaya: Pascasarjana Universitas Airlangga. Tandelilin, Eduardus, 2001. Analisis Investasi Manajemen Portfolio, Cetakan Pertama, Yogyakarta: BPFE 120
  • 134.
    Widyawati. 1996. AnalisisPengaruh Pengumuman Right Issue Terhadap Perubahan Harga Saham dan Faktor-Faktor yang Mempengaruhi Perubahan Harga Saham, Skripsi, Surabaya: .Fakultas Ekonomi Universitas Airlangga, Zumainah, Neneng. 1985. Dampak Pengumuman Konversi Waran Menjadi Saham Biasa Terhadap Pendapatan Abnormal Saham. Skripsi, Fakultas Ekonomi Universitas Airlangga, Surabaya, 2001. The Journal of Finance, Vol XL. No. 4 September 1985. 121
  • 135.
  • 136.
    LAMPIRAN 1. DAFTAR IHSGDAN HARGA PENUTUPAN SAHAM PERUSAHAAN TAHUN 2003 Bulan Jan Feb Mar Apr Mei Jun Jul Ags Sept Okt Nov Des IHSG 388.44 399.22 398.00 450.86 494.77 505.49 507.98 529.67 597.65 625.55 617.08 691.89 INDF 550 575 600 725 875 850 775 675 725 700 675 800 MEDC 1300 1350 1325 1350 1250 1200 1150 1225 1275 1300 1325 1350 UNVR 19400 18200 18000 21000 24500 26700 26600 27800 3350 3225 3175 3625 KLBF 255 285 310 400 550 600 525 600 625 800 800 1000 ANTM 700 800 800 725 825 825 825 850 1050 1150 1225 1925 UNTR 270 290 285 405 525 475 550 495 675 800 900 1250 Sumber : IDX Monthly Statistics, data hasil olahan Ms.Excell TAHUN 2004 Bulan IHSG INDF MEDC UNVR KLBF ANTM UNTR Jan 752.93 761.08 735.67 783.41 732.51 732.40 756.98 754.70 820.13 860.48 977.76 1,000.23 850 850 800 750 700 700 700 675 675 675 750 800 1400 1500 1450 1450 1425 1350 1275 1450 1525 1900 2075 2075 3825 3400 3550 3675 3600 3925 3775 3350 3250 3275 3325 3300 475 480 470 460 370 350 395 95 415 465 625 550 1500 1500 1225 1200 1075 1250 1225 1250 1375 1500 1775 1725 1250 1450 1375 1650 1100 1125 1225 1375 1450 1850 2000 2275 Feb Mar Apr Mei Jun Jul Ags Sept Okt Nov Des Sumber : IDX Monthly Statistics, data hasil olahan Ms.Excell 123
  • 137.
    TAHUN 2005 Bulan Jan Feb Mar Apr Mei Jun Jul Ags Sept Okt Nov Des IHSG 1045,43 1073,83 1080,17 1029,61 1088,17 1122,38 1182,30 1050,10 1079,27 1066,22 1096,64 1162,63 INDF 870 930 1160 1020 1200 1100 1090 790 730 820 850 910 MEDC 2600 2450 2450 2575 2575 3775 3200 3325 3625 3525 3325 3375 UNVR 3500 3550 3825 3750 4575 4075 4350 4225 4075 4375 4325 4275 KLBF 690 790 740 720 780 880 900 850 850 850 890 990 ANTM 1780 2100 2200 2100 2300 2400 2400 2175 2575 2575 2725 3600 UNTR 2825 3125 2650 2900 3225 3750 4375 3850 3750 3700 3500 3650 Sumber :IDX Monthly Statistics, data hasil olahan Ms.Excell TAHUN 2006 Bulan Jan Feb Mar Apr Mei Jun Jul Ags Sept Okt Nov Des IHSG INDF MEDC UNVR KLBF ANTM UNTR 1232.32 1230.66 1322.97 1464.41 1329.99 1310.26 1351.65 1431.26 1534.62 1582.63 1718.96 1805.52 880 840 890 1130 940 880 1050 1190 1250 1330 1400 1350 3900 4125 4150 4800 3975 3725 3800 3600 3475 3325 3250 3550 4300 4275 4250 4575 4025 4125 4225 4475 4600 4800 6000 6600 1300 1360 1360 1520 1310 1250 1200 1120 1320 1360 1180 1190 4275 4025 4350 5750 4450 4625 5200 5400 5500 6950 7550 8000 3825 3975 4500 5450 5400 5400 5600 5750 6050 6550 6450 6550 Sumber : IDX Monthly Statistics, data hasil olahan Ms.Excell 124
  • 138.
    TAHUN 2007 Bulan Jan Feb Mar Apr Mei Jun Jul Ags Sept Okt Nov Des IHSG INDF MEDC UNVR KLBF ANTM UNTR 1757.26 1690 3425 5850 1300 7800 6750 1740.97 1560 3650 5600 1220 9100 6950 1830.92 1520 3575 5700 1210 11850 7400 1999.17 1640 3525 5650 1260 15600 7900 2084.32 1730 3575 6300 1240 14000 7550 2139.28 2025 3525 6700 1390 12550 8250 2348.67 2000 4275 7500 1490 2700 8600 2194.34 1860 3900 6800 1360 2250 8100 2359.21 1930 4150 6800 1330 2775 8200 2643.49 2200 4675 6650 1360 3350 10950 2688.33 2525 5400 6650 1220 4675 11250 2745.83 2575 5150 6750 1260 4475 10900 Sumber :IDX Monthly Statistics, data hasil olahan Ms.Excell TAHUN 2008 Bulan Jan Feb Mar Apr Mei Jun Jul Ags Sept Okt Nov Des IHSG INDF MEDC UNVR KLBF ANTM UNTR 2627.25 2825 4050 6900 1200 3575 13300 2721.94 2925 4125 6800 1050 4100 13250 2447.29 2325 3325 6900 980 3350 12550 2304.51 2275 3925 6800 910 3500 12050 2444.34 2800 5050 6750 880 3250 14450 2349.1 2400 4725 6750 850 3175 12150 2304.5 2275 4600 6900 800 2475 11400 2165.94 2250 4900 7250 750 1890 10350 1832.5 1960 3625 7500 650 1460 9450 1256.7 1090 2100 7450 365 1040 3150 1241.54 970 1850 7700 410 1020 3975 1355.4 930 1870 7800 400 1090 4400 Sumber : IDX Monthly Statistics, data hasil olahan Ms.Excell 125
  • 139.
    LAMPIRAN 2. DAFTAR RETURNIHSG DAN RETURN HARGA PENUTUPAN SAHAM TAHUN 2003 Bulan IHSG INDF MEDC UNVR KLBF ANTM UNTR Jan Feb Mar Apr Mei Jun Jul Ags Sept Okt Nov Des -0.0860 -0.0830 -0.0370 0.0660 -0.0730 0.1670 -0.1150 0.0280 0.0450 0.0380 -0.0620 0.0000 0.1430 0.0740 -0.0030 0.0430 -0.0190 -0.0110 0.0590 0.0000 -0.0170 0.1330 0.2080 0.0190 0.1670 0.3150 -0.0940 0.4210 0.0970 0.2070 -0.0740 0.1670 0.0140 0.1380 0.2960 0.0220 -0.0290 -0.0400 0.0900 -0.0970 0.0000 -0.0950 0.0050 -0.0880 -0.0420 -0.0040 -0.0310 0.0000 0.1580 0.0430 -0.1290 0.0650 0.0450 0.0160 0.0300 -0.1000 0.1280 0.0740 0.0410 -0.8790 0.1560 0.2350 0.3640 0.0470 -0.0340 0.0200 -0.0370 -0.1080 0.0950 0.1850 -0.0140 -0.0360 0.0190 -0.0160 -0.0150 0.0650 0.1250 0.5710 0.3890 0.1210 0.1850 0.0190 0.1420 0.0150 Sumber : IDX Monthly Statistics, data hasil olahan Ms.Excell TAHUN 2004 BULAN IHSG INDF MEDC UNVR KLBF ANTM UNTR Jan Feb Mar Apr Mei Jun Jul Ags Sept Okt Nov Des 0.0880 0.0630 0.0370 0.0550 -0.5250 -0.2210 0.0000 0.0110 0.0000 0.0710 -0.1110 0.0110 0.0000 0.1600 -0.0330 -0.0590 -0.0330 0.0440 -0.0210 -0.1830 -0.0520 0.0650 -0.0630 0.0000 0.0350 -0.0210 -0.0200 0.2000 -0.0650 -0.0670 -0.0170 -0.0200 -0.1960 -0.1040 -0.3330 0.0000 0.0000 -0.0530 0.0900 -0.0540 0.1630 0.0230 0.0340 0.0000 -0.0560 -0.0380 0.1290 -0.0200 0.0890 -0.0030 -0.0360 0.1370 -0.1130 -0.7590 0.0200 0.1220 0.0870 0.0000 0.0520 -0.0300 3.3680 0.1000 0.0550 0.0490 0.0000 0.2460 0.0080 0.1200 0.0910 0.2760 0.1360 0.1110 0.0920 0.0150 0.3440 0.1830 0.0810 0.0230 0.0670 0.0000 -0.0080 -0.1200 -0.0280 0.1380 Sumber : IDX Monthly Statistics, data hasil olahan Ms.Excell 126
  • 140.
    TAHUN 2005 BULAN IHSG INDF MEDC UNVR KLBF ANTM UNTR Jan Feb Mar Apr Mei Jun Jul Ags Sept Okt Nov Des 0.0450 0.0880 0.2530 0.0610 0.2550 0.0320 0.2420 0.0270 0.0690 -0.0580 0.0140 0.1450 0.1800 0.1060 0.0060 0.2470 0.0000 0.0770 -0.0630 0.0480 -0.1520 -0.0470 -0.1210 0.0510 -0.0200 -0.0270 -0.0450 0.0940 0.0570 0.1760 0.0000 0.2200 0.0830 0.0950 0.1120 0.0310 -0.0830 0.4660 -0.1090 0.1280 0.0430 0.1630 0.0530 -0.0090 -0.1520 0.0670 0.0230 0.0000 0.1670 -0.0120 -0.2750 0.0390 -0.0290 -0.0560 -0.0940 -0.1200 0.0280 -0.0760 0.0900 -0.0360 0.0000 0.1840 -0.0260 -0.0120 0.1230 -0.0280 0.0740 0.0000 0.0000 -0.0130 0.0290 0.0370 -0.0570 -0.0110 0.0470 0.0580 -0.0540 0.0600 0.0710 0.0150 -0.0120 0.1120 0.3210 0.0430 Sumber :IDX Monthly Statistics, data hasil olahan Ms.Excell TAHUN 2006 BULAN IHSG INDF MEDC UNVR KLBF ANTM UNTR Jan Feb Mar Apr Mei Jun Jul Ags Sept Okt Nov Des 0.0600 -0.0330 0.1560 0.0060 0.3130 0.1880 0.0480 -0.0010 -0.0450 0.0580 -0.0060 0.0460 -0.0580 0.0390 0.0750 0.0600 0.0060 -0.0060 0.0000 0.0810 0.1320 0.1070 0.2700 0.1570 0.0760 0.1180 0.3220 0.2110 -0.0920 -0.1680 -0.1720 -0.1200 -0.1380 -0.2260 -0.0090 -0.0150 -0.0640 -0.0630 0.0250 -0.0460 0.0390 0.0000 0.0320 0.1930 0.0200 0.0240 -0.0400 0.1240 0.0370 0.0590 0.1330 -0.0530 0.0590 -0.0670 0.0380 0.0270 0.0720 0.0500 -0.0350 0.0280 0.1790 0.0190 0.0520 0.0310 0.0640 -0.0430 0.0430 0.0300 0.2640 0.0830 0.0860 0.0530 -0.0230 0.2500 -0.1320 0.0860 -0.0150 0.0500 -0.0360 0.0920 0.1000 0.0080 0.0600 0.0160 Sumber : IDX Monthly Statistics, data hasil olahan Ms.Excell 127
  • 141.
    TAHUN 2007 BULAN IHSG INDF MEDC UNVR KLBF ANTM UNTR Jan Feb Mar Apr Mei Jun Jul Ags Sept Okt Nov Des -0.0270 0.2520 -0.0350 -0.1140 0.0920 -0.0250 0.0310 -0.0090 -0.0770 0.0660 -0.0430 -0.0620 0.1670 0.0300 0.0520 -0.0260 -0.0210 0.0180 -0.0080 0.3020 0.0650 0.0920 0.0790 -0.0140 -0.0090 0.0410 0.3160 0.0680 0.0430 0.0550 0.0140 0.1150 -0.0160 -0.1030 -0.0440 0.0260 0.1710 -0.0140 0.0630 0.1210 -0.1040 0.0930 0.0980 -0.0120 0.2130 0.1190 0.0720 -0.7850 0.0420 -0.0660 -0.0700 -0.0880 -0.0930 -0.0870 -0.1670 -0.0580 0.0750 0.0380 0.0640 0.0000 -0.0220 0.2330 0.0120 0.1200 0.1400 0.1270 -0.0220 0.0230 0.2070 0.3350 0.0170 0.1480 0.1550 0.0000 -0.1030 0.3960 0.0270 0.0210 0.0200 -0.0460 0.0150 0.0330 -0.0430 -0.0310 Sumber :IDX Monthly Statistics, data hasil olahan Ms.Excell BULAN Jan Feb Mar Apr Mei Jun Jul Ags Sept Okt Nov Des IHSG INDF TAHUN 2008 MEDC UNVR -0.0430 0.0970 -0.2140 0.0220 -0.0480 -0.2010 0.2200 0.0360 0.0350 0.0190 -0.0140 -0.1250 0.1470 -0.0040 -0.1010 -0.2050 -0.1940 0.0150 -0.0670 -0.1830 -0.0530 -0.0580 -0.0220 0.1800 -0.0140 -0.0710 0.0450 -0.0400 0.0610 0.2310 0.2870 -0.0070 -0.0330 -0.0710 0.1990 -0.0390 -0.1430 -0.0640 0.0000 -0.0340 -0.0230 -0.1590 -0.0190 -0.0520 -0.0260 0.0220 -0.0590 -0.2200 -0.0620 -0.0600 -0.0110 0.0650 0.0510 -0.0630 -0.2360 -0.0920 -0.1540 -0.1290 -0.2600 0.0340 -0.1330 -0.2280 -0.0870 -0.3140 -0.4440 -0.4210 -0.0070 -0.4380 -0.2880 -0.6670 -0.0120 -0.1100 -0.1190 0.0340 0.1230 -0.0190 0.2620 0.0920 -0.0410 0.0110 0.0130 -0.0240 0.0690 0.1070 KLBF ANTM UNTR Sumber : IDX Monthly Statistics, data hasil olahan Ms.Excell 128
  • 142.
    LAMPIRAN 3. Market Capitalizationdan proporsi Bulan Jan Feb Mar Apr Mei Jun Jul Ags Sept Okt Nov Des INDF W1 MEDC W2 UNVR TAHUN 2003 W3 KLBF W4 ANTM W5 UNTR W6 Total 5,396,318 0.24039 4,332,187 0.19298 9,931,910 0.44243 1,035,504 0.04613 1,335,384 0.05949 417,312 0.01859 22,448,615 5,396,318 0.20051 4,498,809 0.16716 13,886,600 0.51597 1,157,328 0.04300 1,526,154 0.05671 448,224 0.01665 26,913,433 5,630,940 0.20851 4,415,498 0.16350 13,734,000 0.50855 1,258,848 0.04661 1,526,154 0.05651 440,496 0.01631 27,005,936 6,804,053 0.21977 4,498,809 0.14531 16,023,000 0.51755 1,624,320 0.05247 1,383,077 0.04467 625,968 0.02022 30,959,227 8,212,897 0.23011 4,165,564 0.11671 18,693,500 0.52376 2,233,440 0.06258 1,573,846 0.04410 811,498 0.02274 35,690,745 8,026,779 0.21610 3,998,942 0.10766 20,372,100 0.54847 2,436,480 0.06560 1,573,846 0.04237 735,606 0.01980 37,143,753 7,318,534 0.20325 3,832,319 0.10643 20,295,800 0.56366 2,131,920 0.05921 1,573,846 0.04371 854,984 0.02374 36,007,403 7,415,534 0.20308 3,322,154 0.09098 21,195,250 0.58045 2,132,120 0.05839 1,569,898 0.04299 879,989 0.02410 36,514,945 6,846,370 0.16203 4,248,876 0.10056 25,560,500 0.60493 2,538,000 0.06007 2,003,077 0.04741 1,056,907 0.02501 42,253,730 6,545.120 0.00021 4,322.00 0.00014 25,668,995 0.81248 2,446,121 0.07743 2,221,569 0.07032 1,245,685 0.03943 31,593,237 6,374,207 0.15171 4,415,498 0.10509 24,225,250 0.57659 3,248,640 0.07732 2,336,923 0.05562 1,413,853 0.03365 42,014,371 7,554,616 0.15289 4,498,809 0.09105 27,658,750 0.55976 4,060,800 0.08218 3,672,307 0.07432 1,966,436 0.03980 49,411,718 Sumber : IDX Monthly Statistics, data hasil olahan Ms.Excell
  • 143.
    Bulan Jan Feb Mar Apr Mei Jun Jul Ags Sept Okt Nov Des UNVR TAHUN 2004 W3 KLBF 8,026,779 0.15875 4,665,432 0.09227 29,184,750 0.57720 3,857,760 0.07630 2,861,538 0.05659 1,966,544 0.03889 50,562,803 8,026,809 0.16719 4,998,677 0.10412 25,942,000 0.54035 3,898,368 0.08120 2,861,538 0.05960 2,282,046 0.04753 48,009,438 7,554,644 0.15808 4,832,055 0.10111 27,086,500 0.56676 3,817,152 0.07987 2,336,923 0.04890 2,164,218 0.04528 47,791,492 7,082,481 0.14580 4,832,055 0.09947 28,040,250 0.57722 3,735,936 0.07691 2,289,230 0.04712 2,597,951 0.05348 48,577,903 6,610,932 0.14492 4,748,743 0.10410 27,468,000 0.60213 3,004,992 0.06587 2,050,769 0.04496 1,734,636 0.03803 45,618,072 6,610,932 0.13361 4,498,809 0.09093 29,947,750 0.60527 2,842,560 0.05745 2,384,615 0.04820 3,193,342 0.06454 49,478,008 6,610,932 0.13578 4,248,876 0.08727 28,803,250 0.59159 3,208,032 0.06589 2,336,923 0.04800 3,479,814 0.07147 48,687,827 6,374,828 0.13778 4,832,055 0.10444 25,560,500 0.55244 3,208,032 0.06934 2,384,615 0.05154 3,908,275 0.08447 46,268,305 6,374,828 0.13747 5,081,988 0.10959 24,797,500 0.53476 3,370,464 0.07268 2,623,076 0.05657 4,123,697 0.08893 46,371,553 6,374,828 0.12854 6,331,658 0.12767 24,988,250 0.50384 3,776,544 0.07615 2,861,538 0.05770 5,262,751 0.10611 49,595,569 7,083,142 0.13235 6,914,837 0.12920 25,369,750 0.47403 5,076,000 0.09484 3,386,153 0.06327 5,689,936 0.10631 53,519,818 7,555,351 0.14021 6,914,837 0.12832 25,179,000 0.46725 4,466,880 0.08289 3,290,769 0.06107 6,480,447 0.12026 53,887,284 INDF W1 MEDC W2 Sumber :IDX Monthly Statistics, data hasil olahan Ms.Excell 130 W4 ANTM W5 UNTR W6 Total
  • 144.
    Bulan Jan Feb Mar Apr Mei Jun Jul Ags Sept Okt Nov Des W2 UNVR TAHUN 2005 W3 KLBF W4 ANTM W5 W6 Total 8,216,444 0.13518 8,664,374 0.14255 26,705,000 0.43937 5,603,904 0.09220 3,471,999 0.05712 8,119,173 0.13358 60,780,894 9,112,336 0.14267 8,164,506 0.12783 27,889,250 0.43664 5,985,556 0.09371 4,101,538 0.06422 8,618,695 0.13494 63,871,881 10,955,259 0.16400 8,164,506 0.12223 29,184,750 0.43691 6,009,984 0.08997 4,292,307 0.06426 8,191,922 0.12264 66,798,728 9,633,073 0.14790 8,581,062 0.13174 28,612,500 0.43928 5,847,552 0.08978 4,053,845 0.06224 8,406,354 0.12906 65,134,386 11,333,027 0.14740 10,497,222 0.13653 34,907,250 0.45400 6,334,848 0.08239 4,483,076 0.05831 9,333,161 0.12139 76,888,584 10,388,608 0.13597 12,580,004 0.16465 31,092,250 0.40694 7,147,008 0.09354 4,578,461 0.05992 10,618,746 0.13898 76,405,077 10,294,166 0.13068 10,663,845 0.13537 33,190,500 0.42134 7,309,440 0.09279 4,626,153 0.05873 12,689,660 0.16109 78,773,764 9,675,552 0.12507 10,693,950 0.13823 32,998,250 0.42654 6,998,540 0.09046 3,998,950 0.05169 12,996,850 0.16800 77,362,092 9,675,982 0.13049 10,993,222 0.14825 31,898,950 0.43018 6,568,948 0.08859 3,898,959 0.05258 11,116,858 0.14992 74,152,919 8,216,444 0.11533 10,497,222 0.14734 31,092,250 0.43643 6,334,848 0.08892 4,483,076 0.06293 10,618,746 0.14905 71,242,586 8,027,561 0.10698 11,080,401 0.14766 32,999,750 0.43977 7,228,224 0.09633 5,436,922 0.07245 10,265,793 0.13681 75,038,651 8,594,212 0.10768 11,247,024 0.14092 32,618,250 0.40868 10,054,454 0.12597 6,819,999 0.08545 10,479,663 0.13130 79,813,602 INDF W1 MEDC Sumber :IDX Monthly Statistics, data hasil olahan Ms.Excell 131 UNTR
  • 145.
    Bulan Jan Feb Mar Apr May Jun Jul Aug Sep Oct Nov Dec INDF Tahun 2006 W3 KLBF W1 MEDC W2 UNVR W5 UNTR W6 8,310,886 0.0962 12,996,561 0.15045 32,809,000 0.37981 13,202,819 0.15284 8,155,383 0.09441 10,907,405 0.12627 86,382,054 7,933,119 0.0911 13,746,362 0.15778 32,618,250 0.37439 13,812,180 0.15854 7,678,460 0.08813 11,335,146 0.13010 87,123,517 8,405,328 0.0938 13,829,674 0.15434 32,427,500 0.36189 13,812,180 0.15414 8,298,460 0.09261 12,832,241 0.14321 89,605,383 10,672,934 0.1031 15,995,767 0.15451 34,907,250 0.33719 15,437,142 0.14912 10,969,229 0.10596 15,541,270 0.15012 103,523,592 8,877,538 0.0986 13,246,495 0.14714 30,710,750 0.34113 13,304,379 0.14778 8,489,229 0.09430 15,398,689 0.17105 90,027,080 8,310,886 0.0933 12,413,382 0.13930 31,473,750 0.35318 12,695,018 0.14246 8,823,075 0.09901 15,398,689 0.17280 89,114,800 9,919,998 0.1068 12,663,316 0.13632 32,236,750 0.34703 12,187,217 0.13120 9,916,398 0.10675 15,969,011 0.17191 92,892,690 11,238,585 0.1177 11,996,825 0.12568 34,144,250 0.35771 11,374,736 0.11917 10,301,537 0.10792 16,396,752 0.17178 95,452,685 11,805,236 0.1185 11,580,269 0.11623 35,098,000 0.35227 13,405,939 0.13455 10,492,306 0.10531 17,252,235 0.17316 99,633,985 12,560,771 0.1185 11,080,401 0.10452 36,624,000 0.34546 13,812,180 0.13029 13,258,459 0.12506 18,678,040 0.17618 106,013,851 13,221,865 0.1154 10,830,467 0.09450 45,780,000 0.39943 11,984,097 0.10456 14,403,074 0.12567 18,392,879 0.16048 114,612,382 12,749,655 0.1054 11,830,203 0.09780 50,358,000 0.41631 12,085,657 0.09991 15,261,536 0.12617 18,678,040 0.15441 120,963,091 Sumber :IDX Monthly Statistics, data hasil olahan Ms.Excell 132 W4 ANTM Total
  • 146.
    Bulan Jan Feb Mar Apr Mei Jun Jul Ags Sept Okt Nov Des Tahun 2007 W3 KLBF INDF W1 MEDC W2 UNVR W4 ANTM W5 UNTR W6 15,960,679 0.13374 11,413,646 0.09564 44,635,500 0.37402 13,202,819 0.11063 14,879,997 0.12468 19,248,361 0.16129 119,341,002 14,732,935 0.12361 12,163,448 0.10205 42,728,000 0.35848 12,390,338 0.10395 17,359,997 0.14565 19,818,683 0.16627 119,193,401 14,355,167 0.11415 11,913,514 0.09473 43,491,000 0.34583 12,288,777 0.09772 22,606,150 0.17976 21,101,907 0.16780 125,756,515 15,488,470 0.11437 11,746,891 0.08674 43,109,500 0.31832 12,796,578 0.09449 29,759,994 0.21975 22,527,712 0.16634 135,429,145 16,338,447 0.11913 11,913,514 0.08686 48,069,000 0.35048 12,593,458 0.09182 26,707,687 0.19473 21,529,649 0.15698 137,151,755 19,124,483 0.13320 11,746,891 0.08182 51,121,000 0.35605 14,116,860 0.09832 23,941,534 0.16675 23,525,775 0.16386 143,576,543 18,888,378 0.12096 14,246,230 0.09123 57,606,500 0.36891 15,132,461 0.09691 25,753,841 0.16493 24,523,838 0.15705 156,151,248 17,566,192 0.12474 12,996,561 0.09229 51,884,000 0.36845 13,812,180 0.09808 21,461,534 0.15241 23,098,034 0.16403 140,818,501 18,227,285 0.12374 13,829,674 0.09389 51,884,000 0.35223 13,507,499 0.09170 26,469,226 0.17969 23,383,195 0.15874 147,300,879 20,777,216 0.12662 15,579,211 0.09494 50,739,500 0.30922 13,812,180 0.08418 31,953,840 0.19474 31,225,120 0.19030 164,087,067 23,846,577 0.13128 17,995,238 0.09907 50,739,500 0.27933 12,390,338 0.06821 44,592,299 0.24549 32,080,602 0.17661 181,644,554 24,318,787 0.13545 17,162,125 0.09559 51,502,500 0.28685 12,796,578 0.07127 42,684,607 0.23773 31,082,539 0.17312 179,547,136 Sumber :IDX Monthly Statistics, data hasil olahan Ms.Excell 133 Total
  • 147.
    Bulan Jan Feb Mar Apr Mei Jun Jul Ags Sept Okt Nov Des INDF W1 MEDC W2 UNVR Tahun 2008 W3 KLBF W4 ANTM W5 UNTR W6 Total 26,679,834 0.15070 13,496,428 0.07624 52,647,000 0.29738 12,187,217 0.06884 34,099,994 0.19262 37,926,401 0.21423 177,036,874 27,624,253 0.15278 13,746,362 0.07603 51,884,000 0.28695 10,663,815 0.05898 39,107,685 0.21629 37,783,821 0.20897 180,809,936 21,957,739 0.12183 11,080,401 0.06148 52,647,000 0.29210 9,952,894 0.05522 31,953,840 0.17729 52,647,000 0.29210 180,238,874 21,485,530 0.13146 13,079,872 0.08003 51,884,000 0.31745 9,241,973 0.05655 33,384,609 0.20426 34,361,890 0.21024 163,437,874 26,443,729 0.15032 16,828,880 0.09566 51,502,500 0.29276 8,937,293 0.05080 30,999,994 0.17622 41,205,751 0.23423 175,918,147 22,666,054 0.13865 15,745,833 0.09632 51,502,500 0.31504 8,632,612 0.05281 30,284,610 0.18525 34,647,051 0.21194 163,478,660 21,485,530 0.13979 15,329,277 0.09973 52,647,000 0.34252 8,124,812 0.05286 23,607,688 0.15359 32,508,344 0.21150 153,702,651 21,249,425 0.14352 16,329,012 0.11029 55,317,500 0.37363 7,617,011 0.05145 18,027,689 0.12176 29,514,154 0.19935 148,054,791 18,510,610 0.13242 12,080,137 0.08642 57,225,000 0.40939 6,601,409 0.04723 13,926,151 0.09963 31,438,990 0.22491 139,782,297 9,570,665 0.09814 6,998,148 0.07176 56,843,500 0.58290 3,706,945 0.03801 9,919,998 0.10172 10,479,663 0.10746 97,518,919 8,517,014 0.08470 6,165,035 0.06131 58,751,000 0.58429 4,163,966 0.04141 9,729,229 0.09676 13,224,330 0.13152 100,550,574 8,165,797 0.07927 6,231,684 0.06050 59,514,000 0.57775 4,062,406 0.03944 10,396,921 0.10093 14,638,260 0.14211 103,009,068 Sumber :IDX Monthly Statistics, data hasil olahan Ms.Excell 134
  • 148.
    LAMPIRAN 4. DATA PROPORSI(W), RESIKO PERUSAHAAN (R), DAN PENGHITUNGAN Rm TAHUN 2003 INDF Bulan Jan Feb W1 MEDC R1 Rm 0.240 0.322 0.077 0.201 0.322 0.065 Mar 0.209 0.322 Apr 0.220 0.322 Mei 0.230 Jun Jul W2 UNVR R2 Rm 0.193 0.53 0.167 0.53 0.067 0.164 0.071 0.145 0.322 0.074 0.216 0.322 0.203 0.322 Ags 0.203 Sept Okt KLBF ANTM UNTR W3 R3 Rm W4 R4 Rm W5 R5 Rm W6 0.102 0.442 -0.025 -0.011 0.046 -0.081 -0.004 0.059 -0.061 -0.004 0.089 0.516 -0.025 -0.013 0.043 -0.081 -0.003 0.057 -0.061 -0.003 0.53 0.087 0.509 -0.025 -0.013 0.047 -0.081 -0.004 0.057 -0.061 0.53 0.077 0.518 -0.025 -0.013 0.052 -0.081 -0.004 0.447 -0.061 0.117 0.53 0.062 0.524 -0.025 -0.013 0.063 -0.081 -0.005 0.044 0.070 0.108 0.53 0.057 0.548 -0.025 -0.014 0.066 -0.081 -0.005 0.065 0.106 0.53 0.056 0.564 -0.025 -0.014 0.059 -0.081 -0.005 0.322 0.065 0.091 0.53 0.048 0.580 -0.025 -0.015 0.058 -0.081 0.162 0.322 0.052 0.101 0.53 0.053 0.605 -0.025 -0.015 0.060 0.000 0.322 0.000 0.000 0.53 0.000 0.812 -0.025 -0.020 0.077 Nov 0.152 0.322 0.049 0.105 0.53 0.056 0.577 -0.025 -0.014 Des 0.153 0.322 0.049 0.091 0.53 0.048 0.560 -0.025 -0.014 Sumber : IDX Monthly Statistics, data hasil olahan Ms.Excell 135 R6 Rm 0.019 0.154 0.003 0.017 0.154 0.003 -0.003 0.016 0.154 0.003 -0.027 0.020 0.154 0.003 -0.061 -0.003 0.023 0.154 0.004 0.042 -0.061 -0.003 0.020 0.154 0.003 0.044 -0.061 -0.003 0.024 0.154 0.004 -0.005 0.043 -0.061 -0.003 0.024 0.154 0.004 -0.081 -0.005 0.047 -0.061 -0.003 0.025 0.154 0.004 -0.081 -0.006 0.070 -0.061 -0.004 0.039 0.154 0.006 0.077 -0.081 -0.006 0.056 -0.061 -0.003 0.034 0.154 0.005 0.082 -0.081 -0.007 0.074 -0.061 -0.005 0.040 0.154 0.006
  • 149.
    TAHUN 2004 INDF Bulan Jan W1 MEDC R1 Rm 0.159 0.562 0.089 Feb 0.167 0.562 Mar 0.158 Apr 0.146 Mei Jun Jul W2 UNVR R2 Rm 0.092 0.083 0.008 0.094 0.104 0.083 0.562 0.089 0.101 0.562 0.082 0.099 0.145 0.562 0.081 0.134 0.562 0.136 0.562 Ags 0.138 Sept 0.137 Okt Nov Des W3 KLBF R6 Rm 0.577 0.191 0.110 0.076 0.02 0.002 0.057 -0.045 -0.003 0.039 0.128 0.005 0.009 0.540 0.191 0.103 0.081 0.02 0.002 0.060 -0.045 -0.003 0.048 0.128 0.006 0.083 0.008 0.567 0.191 0.108 0.080 0.02 0.002 0.049 -0.045 -0.002 0.045 0.128 0.006 0.083 0.008 0.577 0.191 0.110 0.077 0.02 0.002 0.047 -0.045 -0.002 0.053 0.128 0.007 0.104 0.083 0.009 0.602 0.191 0.115 0.066 0.02 0.001 0.045 -0.045 -0.002 0.038 0.128 0.005 0.075 0.091 0.083 0.008 0.605 0.191 0.116 0.057 0.02 0.001 0.048 -0.045 -0.002 0.065 0.128 0.008 0.076 0.087 0.083 0.007 0.592 0.191 0.113 0.066 0.02 0.001 0.048 -0.045 -0.002 0.071 0.128 0.009 0.562 0.077 0.104 0.083 0.009 0.552 0.191 0.106 0.069 0.02 0.001 0.052 -0.045 -0.002 0.084 0.128 0.011 0.562 0.077 0.110 0.083 0.009 0.535 0.191 0.102 0.073 0.02 0.001 0.057 -0.045 -0.003 0.089 0.128 0.011 0.129 0.562 0.072 0.128 0.083 0.011 0.504 0.191 0.096 0.076 0.02 0.002 0.058 -0.045 -0.003 0.106 0.128 0.014 0.132 0.562 0.074 0.129 0.083 0.011 0.474 0.191 0.091 0.948 0.02 0.019 0.063 -0.045 -0.003 0.106 0.128 0.014 0.140 0.562 0.079 0.128 0.083 0.011 0.467 0.191 0.089 0.083 0.02 0.002 0.061 -0.045 -0.003 0.120 0.128 0.015 136 R4 Rm W5 UNTR Rm Sumber :IDX Monthly Statistics, data hasil olahan Ms.Excell W4 ANTM R3 R5 Rm W6
  • 150.
    TAHUN 2005 INDF MEDC R2 UNVR Rm W3 R3 KLBF UNTR Bulan Jan W1 R1 Rm W2 Rm W4 Rm W5 Rm W6 0.135 -0.04 -0.005 0.143 0.003 0.00043 0.439 0.156 0.069 0.092 0.145 0.013 0.057 0.149 0.009 0.134 0.005 0.001 Feb 0.143 -0.04 -0.006 0.128 0.003 0.00038 0.437 0.156 0.068 0.094 0.145 0.014 0.064 0.149 0.010 0.135 0.005 0.001 Mar 0.164 -0.04 -0.007 0.122 0.003 0.00037 0.437 0.156 0.068 0.090 0.145 0.013 0.064 0.149 0.010 0.123 0.005 0.001 Apr 0.148 -0.04 -0.006 0.132 0.003 0.00040 0.439 0.156 0.069 0.090 0.145 0.013 0.062 0.149 0.009 0.129 0.005 0.001 Mei 0.147 -0.04 -0.006 0.137 0.003 0.00041 0.454 0.156 0.071 0.082 0.145 0.012 0.058 0.149 0.009 0.121 0.005 0.001 Jun 0.136 -0.04 -0.005 0.165 0.003 0.00049 0.407 0.156 0.063 0.094 0.145 0.014 0.060 0.149 0.009 0.139 0.005 0.001 Jul 0.131 -0.04 -0.005 0.135 0.003 0.00041 0.421 0.156 0.066 0.093 0.145 0.013 0.059 0.149 0.009 0.161 0.005 0.001 Ags 0.125 -0.04 -0.005 0.138 0.003 0.00041 0.427 0.156 0.067 0.090 0.145 0.013 0.052 0.149 0.008 0.168 0.005 0.001 Sept 0.130 -0.04 -0.005 0.148 0.003 0.00044 0.430 0.156 0.067 0.089 0.145 0.013 0.053 0.149 0.008 0.150 0.005 0.001 Okt 0.115 -0.04 -0.005 0.147 0.003 0.00044 0.436 0.156 0.068 0.089 0.145 0.013 0.063 0.149 0.009 0.149 0.005 0.001 Nov 0.107 -0.04 -0.004 0.148 0.003 0.00044 0.440 0.156 0.069 0.096 0.145 0.014 0.072 0.149 0.011 0.137 0.005 0.001 Des 0.108 -0.04 -0.004 0.141 0.003 0.00042 0.409 0.156 0.064 0.126 0.145 0.018 0.085 0.149 0.013 0.131 0.005 0.001 Sumber :IDX Monthly Statistics, data hasil olahan Ms.Excell 137 R4 ANTM R5 R6 Rm
  • 151.
    Tahun 2006 INDF MEDC UNVR KLBF W1 R1 Rm W2 R2 Rm W3 R3 Rm W5 R5 Rm W6 R6 Rm Jan 0.096 0.159 0.015 0.150 -0.042 -0.006 0.380 0.481 0.183 0.153 0.206 0.0315 0.094 -0.11 -0.010 0.126 0.308 0.039 Feb 0.091 0.159 0.014 0.158 -0.042 -0.007 0.374 0.481 0.180 0.159 0.206 0.0327 0.088 -0.11 -0.010 0.130 0.308 0.040 Mar 0.094 0.159 0.015 0.154 -0.042 -0.006 0.362 0.481 0.174 0.154 0.206 0.0318 0.093 -0.11 -0.010 0.143 0.308 0.044 Apr 0.103 0.159 0.016 0.155 -0.042 -0.006 0.337 0.481 0.162 0.149 0.206 0.0307 0.106 -0.11 -0.012 0.150 0.308 0.046 May 0.099 0.159 0.016 0.147 -0.042 -0.006 0.341 0.481 0.164 0.148 0.206 0.0304 0.094 -0.11 -0.010 0.171 0.308 0.053 Jun 0.093 0.159 0.015 0.139 -0.042 -0.006 0.353 0.481 0.170 0.142 0.206 0.0293 0.099 -0.11 -0.011 0.173 0.308 0.053 Jul 0.107 0.159 0.017 0.136 -0.042 -0.006 0.347 0.481 0.167 0.131 0.206 0.0270 0.107 -0.11 -0.012 0.172 0.308 0.053 Aug 0.118 0.159 0.019 0.126 -0.042 -0.005 0.358 0.481 0.172 0.119 0.206 0.0245 0.108 -0.11 -0.012 0.172 0.308 0.053 Sep 0.119 0.159 0.019 0.116 -0.042 -0.005 0.352 0.481 0.169 0.135 0.206 0.0277 0.105 -0.11 -0.012 0.173 0.308 0.053 Oct 0.119 0.159 0.019 0.105 -0.042 -0.004 0.345 0.481 0.166 0.130 0.206 0.0268 0.125 -0.11 -0.014 0.176 0.308 0.054 Nov 0.115 0.159 0.018 0.095 -0.042 -0.004 0.399 0.481 0.192 0.105 0.206 0.0215 0.126 -0.11 -0.014 0.160 0.308 0.049 Dec 0.105 0.159 0.017 0.098 -0.042 -0.004 0.416 0.481 0.200 0.100 0.206 0.0206 0.126 -0.11 -0.014 0.154 0.308 0.048 138 R4 Rm UNTR Bulan Sumber :IDX Monthly Statistics, data hasil olahan Ms.Excell W4 ANTM
  • 152.
    Tahun 2007 INDF R1 MEDC Rm W2 UNVR W3 R3 KLBF UNTR Bulan W1 R2 Rm Rm W4 Rm W5 Rm W6 Jan 0.134 -0.178 -0.024 0.096 0.242 0.023 0.374 0.329 0.123 0.111 0.399 0.044 0.125 0.081 0.010 0.161 0.178 0.029 Feb 0.124 -0.178 -0.022 0.102 0.242 0.025 0.358 0.329 0.118 0.104 0.399 0.041 0.146 0.081 0.012 0.166 0.178 0.030 Mar 0.114 -0.178 -0.020 0.095 0.242 0.023 0.346 0.329 0.114 0.098 0.399 0.039 0.180 0.081 0.015 0.168 0.178 0.030 Apr 0.114 -0.178 -0.020 0.087 0.242 0.021 0.318 0.329 0.105 0.094 0.399 0.038 0.220 0.081 0.018 0.166 0.178 0.030 Mei 0.119 -0.178 -0.021 0.087 0.242 0.021 0.350 0.329 0.115 0.092 0.399 0.037 0.195 0.081 0.016 0.157 0.178 0.028 Jun 0.133 -0.178 -0.024 0.082 0.242 0.020 0.356 0.329 0.117 0.098 0.399 0.039 0.167 0.081 0.014 0.164 0.178 0.029 Jul 0.121 -0.178 -0.022 0.091 0.242 0.022 0.369 0.329 0.121 0.097 0.399 0.039 0.165 0.081 0.013 0.157 0.178 0.028 Ags 0.125 -0.178 -0.022 0.092 0.242 0.022 0.368 0.329 0.121 0.098 0.399 0.039 0.152 0.081 0.012 0.164 0.178 0.029 Sept 0.124 -0.178 -0.022 0.094 0.242 0.023 0.352 0.329 0.116 0.092 0.399 0.037 0.180 0.081 0.015 0.159 0.178 0.028 Okt 0.127 -0.178 -0.023 0.095 0.242 0.023 0.309 0.329 0.102 0.084 0.399 0.034 0.195 0.081 0.016 0.190 0.178 0.034 Nov 0.131 -0.178 -0.023 0.099 0.242 0.024 0.279 0.329 0.092 0.068 0.399 0.027 0.245 0.081 0.020 0.177 0.178 0.031 Des 0.135 -0.178 -0.024 0.096 0.242 0.023 0.287 0.329 0.094 0.071 0.399 0.028 0.238 0.081 0.019 0.173 0.178 0.031 Sumber :IDX Monthly Statistics, data hasil olahan Ms.Excell 139 R4 ANTM R5 R6 Rm
  • 153.
    Tahun 2008 INDF R1 MEDC R2 UNVR R3 KLBF UNTR Bulan W1 Rm W2 Rm W3 Rm W4 Rm W5 Rm W6 Jan 0.151 0.276 0.042 0.076 0.044 0.003 0.297 0.569 0.169 0.069 0.223 0.015 0.193 0.319 0.061 0.214 -0.008 -0.0017 Feb 0.153 0.276 0.042 0.076 0.044 0.003 0.287 0.569 0.163 0.059 0.223 0.013 0.216 0.319 0.069 0.209 -0.008 -0.0017 Mar 0.122 0.276 0.034 0.061 0.044 0.003 0.292 0.569 0.166 0.055 0.223 0.012 0.177 0.319 0.057 0.292 -0.008 -0.0023 Apr 0.131 0.276 0.036 0.080 0.044 0.004 0.317 0.569 0.181 0.057 0.223 0.013 0.204 0.319 0.065 0.210 -0.008 -0.0017 Mei 0.150 0.276 0.041 0.096 0.044 0.004 0.293 0.569 0.167 0.051 0.223 0.011 0.176 0.319 0.056 0.234 -0.008 -0.0019 Jun 0.139 0.276 0.038 0.096 0.044 0.004 0.315 0.569 0.179 0.053 0.223 0.012 0.185 0.319 0.059 0.212 -0.008 -0.0017 Jul 0.140 0.276 0.039 0.100 0.044 0.004 0.343 0.569 0.195 0.053 0.223 0.012 0.154 0.319 0.049 0.212 -0.008 -0.0017 Ags 0.144 0.276 0.040 0.110 0.044 0.005 0.374 0.569 0.213 0.051 0.223 0.011 0.122 0.319 0.039 0.199 -0.008 -0.0016 Sept 0.132 0.276 0.037 0.086 0.044 0.004 0.409 0.569 0.233 0.047 0.223 0.011 0.100 0.319 0.032 0.225 -0.008 -0.0018 Okt 0.198 0.276 0.055 0.072 0.044 0.003 0.583 0.569 0.332 0.038 0.223 0.008 0.102 0.319 0.032 0.107 -0.008 -0.0009 Nov 0.085 0.276 0.023 0.061 0.044 0.003 0.584 0.569 0.332 0.041 0.223 0.009 0.097 0.319 0.031 0.132 -0.008 -0.0011 Des 0.079 0.276 0.022 0.061 0.044 0.003 0.578 0.569 0.329 0.039 0.223 0.009 0.101 0.319 0.032 0.142 -0.008 -0.0011 Sumber :IDX Monthly Statistics, data hasil olahan Ms.Excell 140 R4 ANTM R5 R6 Rm
  • 154.
    LAMPIRAN 5. DATA Rf,Rm, DAN PENGHITUNGAN PREMI RISIKO PASAR (Rm – Rf) TAHUN 2003 INDF Bulan MEDC Rf Rm Jan 0.000 0.077 0.077 0.000 Feb -0.035 0.065 0.100 -0.035 Mar -0.069 0.067 (Rm - Rf) 0.136 Rf -0.069 Apr -0.030 0.071 0.101 -0.030 Mei -0.056 0.074 0.130 -0.056 Jun -0.087 0.070 0.157 -0.087 Jul -0.045 0.065 0.111 -0.045 Ags -0.021 0.065 0.086 -0.021 Sept -0.028 0.052 0.080 -0.028 Okt -0.021 0.000 0.021 -0.021 Nov Des 0.001 -0.021 0.049 0.049 0.048 0.070 0.001 -0.021 Rm 0.102 0.089 0.087 0.077 0.062 0.057 0.056 0.048 0.053 0.000 0.056 0.048 UNVR (Rm - Rf) Rf Rm 0.102 0.000 -0.011 0.124 -0.035 -0.013 0.155 -0.069 0.107 0.118 KLBF (Rm - Rf) Rf Rm -0.011 0.000 -0.004 0.023 -0.035 -0.003 -0.013 0.056 -0.069 -0.030 -0.013 0.017 -0.056 -0.013 0.043 0.144 -0.087 -0.014 0.102 -0.045 0.069 -0.021 0.081 0.021 ANTM Rf Rm -0.004 0.000 -0.004 0.032 -0.035 -0.003 -0.004 0.065 -0.069 -0.030 -0.004 0.026 -0.056 -0.005 0.051 0.073 -0.087 -0.005 -0.014 0.031 -0.045 -0.015 0.006 -0.021 -0.028 -0.015 0.013 -0.021 -0.020 0.000 0.055 0.001 -0.014 0.069 -0.021 -0.014 UNTR Rf Rm -0.004 0.000 0.003 0.003 0.032 -0.035 0.003 0.038 -0.003 0.065 -0.069 0.003 0.071 -0.030 -0.027 0.003 -0.030 0.003 0.033 -0.056 -0.003 0.053 -0.056 0.004 0.060 0.082 -0.087 -0.003 0.085 -0.087 0.003 0.090 -0.005 0.040 -0.045 -0.003 0.042 -0.045 0.004 0.049 -0.005 0.016 -0.021 -0.003 0.018 -0.021 0.004 0.025 -0.028 -0.005 0.023 -0.028 -0.003 0.025 -0.028 0.004 0.032 -0.021 -0.006 0.015 -0.021 -0.004 0.016 -0.021 0.006 0.027 -0.016 0.001 -0.006 -0.007 0.001 -0.003 -0.005 0.001 0.005 0.004 0.007 -0.021 -0.007 0.015 -0.021 -0.005 0.017 -0.021 0.006 0.027 Sumber : IDX Monthly Statistics, data hasil olahan Ms.Excell 141 (Rm - Rf) (Rm - Rf) (Rm - Rf)
  • 155.
    TAHUN 2004 INDF Bulan Rf Jan 0.000 Feb -0.048 Mar -0.008 Apr -0.012 Mei -0.001 Jun 0.003 Jul 0.003 Ags 0.001 Sept 0.003 Okt 0.003 Nov Des 0.000 0.003 Rm 0.089 0.094 0.089 0.082 0.081 0.075 0.076 0.077 0.077 0.072 0.074 0.079 MEDC (Rm -Rf) Rf 0.089 0.000 0.142 -0.048 0.097 -0.008 0.094 -0.012 0.083 -0.001 0.072 0.003 0.074 0.003 0.076 0.001 0.075 0.003 0.070 0.003 0.074 0.076 0.000 0.003 Rm 0.008 0.009 0.008 0.008 0.009 0.008 0.007 0.009 0.009 0.011 0.011 0.011 UNVR (Rm - Rf) Rf Rm 0.008 0.000 0.110 0.057 -0.048 0.103 0.016 -0.008 0.020 0.010 KLBF (Rm - Rf) Rf Rm 0.110 0.000 0.002 0.152 -0.048 0.002 0.108 0.116 -0.008 -0.012 0.110 0.122 -0.001 0.115 0.116 0.005 0.003 0.116 0.005 0.003 0.007 0.001 0.006 0.008 ANTM Rf Rm 0.002 0.000 -0.003 0.050 -0.048 -0.003 0.002 0.010 -0.008 -0.002 -0.012 0.002 0.014 -0.012 -0.001 0.001 0.003 -0.001 0.113 0.003 0.001 -0.002 0.113 0.110 0.003 0.001 0.106 0.104 0.001 0.001 0.003 0.102 0.099 0.003 0.003 0.096 0.094 0.003 0.011 0.000 0.091 0.091 0.008 0.003 0.089 0.087 Sumber : IDX Monthly Statistics, data hasil olahan Ms.Excell 142 (Rm - Rf) UNTR (Rm - Rf) Rf Rm (Rm - Rf) -0.003 0.000 0.005 0.005 0.046 -0.048 0.006 0.054 0.006 -0.008 0.006 0.014 -0.002 0.010 -0.012 0.007 0.019 -0.002 -0.001 -0.001 0.005 0.006 0.003 -0.002 -0.005 0.003 0.008 0.006 -0.001 0.003 -0.002 -0.005 0.003 0.009 0.006 0.000 0.001 -0.002 -0.004 0.001 0.011 0.009 0.001 -0.001 0.003 -0.003 -0.005 0.003 0.011 0.009 0.002 -0.001 0.003 -0.003 -0.005 0.003 0.014 0.011 0.000 0.019 0.019 0.000 -0.003 -0.003 0.000 0.014 0.014 0.003 0.002 -0.001 0.003 -0.003 -0.005 0.003 0.015 0.013
  • 156.
    TAHUN 2005 INDF Bulan Rf Rm MEDC (Rm -Rf) Rf Jan 0.000 -0.005 -0.005 0.000 Feb 0.001 -0.006 -0.007 0.001 Mar 0.001 -0.007 -0.008 0.001 Apr 0.035 -0.006 -0.041 0.035 Mei 0.032 -0.006 -0.038 0.032 Jun 0.038 -0.005 -0.043 0.038 Jul 0.029 -0.005 -0.034 0.029 Ags 0.120 -0.005 -0.125 0.120 Sept 0.052 -0.005 -0.057 0.052 Okt 0.100 -0.005 -0.105 0.100 Nov Des 0.114 0.041 -0.004 -0.004 -0.118 -0.045 0.114 0.041 Rm 0.00000 -0.00001 -0.00001 -0.00143 -0.00125 -0.00163 -0.00100 -0.01503 -0.00292 -0.01046 -0.01340 -0.00184 UNVR (Rm - Rf) Rf Rm KLBF (Rm - Rf) Rf Rm ANTM (Rm - Rf) Rf Rm UNTR (Rm - Rf) Rf Rm (Rm - Rf) 0.000 0.000 0.069 0.069 0.000 0.013 0.013 0.000 0.009 0.009 0.000 0.001 0.001 -0.001 0.001 0.068 0.067 0.001 0.014 0.012 0.001 0.010 0.008 0.001 0.001 -0.001 -0.001 0.001 0.068 0.067 0.001 0.013 0.012 0.001 0.010 0.008 0.001 0.001 -0.001 -0.036 0.035 0.069 0.034 0.035 0.013 -0.022 0.035 0.009 -0.026 0.035 0.001 -0.034 -0.034 0.032 0.071 0.038 0.032 0.012 -0.021 0.032 0.009 -0.024 0.032 0.001 -0.032 -0.039 0.038 0.063 0.026 0.038 0.014 -0.024 0.038 0.009 -0.029 0.038 0.001 -0.037 -0.030 0.029 0.066 0.037 0.029 0.013 -0.016 0.029 0.009 -0.020 0.029 0.001 -0.028 -0.135 0.120 0.067 -0.054 0.120 0.013 -0.107 0.120 0.008 -0.112 0.120 0.001 -0.119 -0.054 0.052 0.067 0.016 0.052 0.013 -0.039 0.052 0.008 -0.044 0.052 0.001 -0.051 -0.110 0.100 0.068 -0.032 0.100 0.013 -0.087 0.100 0.009 -0.091 0.100 0.001 -0.099 -0.127 0.114 0.069 -0.045 0.114 0.014 -0.100 0.114 0.011 -0.103 0.114 0.001 -0.113 -0.043 0.041 0.064 0.023 0.041 0.018 -0.023 0.041 0.013 -0.028 0.041 0.001 -0.040 Sumber : IDX Monthly Statistics, data hasil olahan Ms.Excell 143
  • 157.
    TAHUN 2006 INDF Bulan MEDC Rf Rm Jan 0.000 0.015 0.015 0.000 Feb -0.001 0.014 0.015 -0.001 Mar -0.001 0.015 (Rm -Rf) 0.016 Rf -0.001 Apr 0.001 0.016 0.016 0.001 Mei -0.019 0.016 0.035 -0.019 Jun 0.000 0.015 0.015 0.000 Jul -0.020 0.017 0.037 -0.020 Ags -0.041 0.019 0.060 -0.041 Sept -0.043 0.019 0.061 -0.043 Okt -0.044 0.019 0.063 -0.044 Nov Des -0.047 -0.049 0.018 0.017 0.065 0.066 -0.047 -0.049 Rm -0.006 -0.007 -0.006 -0.006 -0.006 -0.006 -0.006 -0.005 -0.005 -0.004 -0.004 -0.004 UNVR (Rm - Rf) Rf Rm -0.006 0.000 0.183 -0.006 -0.001 0.180 -0.006 -0.001 -0.007 0.013 -0.006 KLBF (Rm - Rf) Rf Rm 0.183 0.000 0.031 0.181 -0.001 0.033 0.174 0.175 -0.001 0.001 0.162 0.161 -0.019 0.164 0.183 0.000 0.170 0.170 0.014 -0.020 0.167 0.036 -0.041 0.172 0.038 -0.043 0.040 -0.044 0.043 0.045 ANTM Rf Rm 0.031 0.000 -0.010 0.033 -0.001 -0.010 0.032 0.033 -0.001 0.001 0.031 0.030 -0.019 0.030 0.049 0.000 0.029 0.029 0.187 -0.020 0.027 0.213 -0.041 0.025 0.169 0.212 -0.043 0.166 0.211 -0.044 -0.047 0.192 0.239 -0.049 0.200 0.249 Sumber : IDX Monthly Statistics, data hasil olahan Ms.Excell 144 (Rm - Rf) UNTR (Rm - Rf) Rf Rm (Rm - Rf) -0.010 0.000 0.039 0.039 -0.009 -0.001 0.040 0.041 -0.010 -0.009 -0.001 0.044 0.045 0.001 -0.012 -0.012 0.001 0.046 0.045 -0.019 -0.010 0.008 -0.019 0.053 0.072 0.000 -0.011 -0.011 0.000 0.053 0.053 0.047 -0.020 -0.012 0.008 -0.020 0.053 0.073 0.065 -0.041 -0.012 0.029 -0.041 0.053 0.094 0.028 0.070 -0.043 -0.012 0.031 -0.043 0.053 0.096 0.027 0.071 -0.044 -0.014 0.031 -0.044 0.054 0.099 -0.047 0.022 0.068 -0.047 -0.014 0.033 -0.047 0.049 0.096 -0.049 0.021 0.069 -0.049 -0.014 0.035 -0.049 0.048 0.096
  • 158.
    TAHUN 2007 INDF Bulan MEDC Rf Rm Jan 0.000 -0.024 -0.024 0.000 Feb -0.026 -0.022 0.004 -0.026 Mar -0.027 -0.020 (Rm -Rf) 0.007 Rf -0.027 Apr 0.000 -0.020 -0.020 0.000 Mei -0.028 -0.021 0.007 -0.028 Jun -0.029 -0.024 0.005 -0.029 Jul -0.029 -0.022 0.008 -0.029 Ags 0.000 -0.022 -0.022 0.000 Sept 0.000 -0.022 -0.022 0.000 Okt 0.000 -0.023 -0.023 0.000 Nov 0.000 -0.023 -0.023 0.000 Des -0.030 -0.024 0.006 -0.030 Rm 0.023 0.025 0.023 0.021 0.021 0.020 0.022 0.022 0.023 0.023 0.024 0.023 UNVR (Rm - Rf) Rf Rm 0.023 0.000 0.123 0.051 -0.026 0.118 0.050 -0.027 0.021 0.049 0.048 KLBF (Rm - Rf) Rf Rm 0.123 0.000 0.044 0.144 -0.026 0.041 0.114 0.141 -0.027 0.000 0.105 0.105 -0.028 0.115 0.143 -0.029 0.117 0.146 0.051 -0.029 0.121 0.022 0.000 0.121 0.023 0.000 0.023 0.024 0.053 ANTM Rf Rm 0.044 0.000 0.010 0.068 -0.026 0.012 0.039 0.066 -0.027 0.000 0.038 0.038 -0.028 0.037 0.064 -0.029 0.039 0.068 0.151 -0.029 0.039 0.121 0.000 0.039 0.116 0.116 0.000 0.000 0.102 0.102 0.000 0.092 0.092 -0.030 0.094 0.125 Sumber : IDX Monthly Statistics, data hasil olahan Ms.Excell 145 (Rm - Rf) UNTR (Rm - Rf) Rf Rm (Rm - Rf) 0.010 0.000 0.029 0.029 0.038 -0.026 0.030 0.056 0.015 0.042 -0.027 0.030 0.057 0.000 0.018 0.018 0.000 0.030 0.030 -0.028 0.016 0.044 -0.028 0.028 0.056 -0.029 0.014 0.042 -0.029 0.029 0.058 0.068 -0.029 0.013 0.043 -0.029 0.028 0.057 0.039 0.000 0.012 0.012 0.000 0.029 0.029 0.037 0.037 0.000 0.015 0.015 0.000 0.028 0.028 0.000 0.034 0.034 0.000 0.016 0.016 0.000 0.034 0.034 0.000 0.027 0.027 0.000 0.020 0.020 0.000 0.031 0.031 -0.030 0.028 0.059 -0.030 0.019 0.050 -0.030 0.031 0.061
  • 159.
    TAHUN 2008 INDF Bulan MEDC Rf Rm Jan 0.000 0.042 0.042 0.000 Feb -0.009 0.042 0.051 -0.009 Mar 0.004 0.034 (Rm -Rf) 0.030 Rf 0.004 Apr 0.004 0.036 0.033 0.004 Mei 0.040 0.041 0.001 0.040 Jun 0.051 0.038 -0.012 0.051 Jul 0.057 0.039 -0.019 0.057 Ags 0.005 0.040 0.034 0.005 Sept 0.046 0.037 -0.010 0.046 Okt 0.131 0.055 -0.076 0.131 Nov 0.024 0.023 0.000 0.024 Des -0.036 0.022 0.058 -0.036 Rm 0.003 0.003 0.003 0.004 0.004 0.004 0.004 0.005 0.004 0.003 0.003 0.003 UNVR (Rm - Rf) Rf Rm 0.003 0.000 0.169 0.012 -0.009 0.163 -0.001 0.004 KLBF (Rm - Rf) Rf Rm 0.169 0.000 0.015 0.172 -0.009 0.013 0.166 0.162 0.004 0.012 ANTM (Rm - Rf) Rf Rm 0.015 0.000 0.061 0.022 -0.009 0.069 0.009 0.004 UNTR (Rm - Rf) Rf Rm (Rm - Rf) 0.061 0.000 -0.002 -0.002 0.078 -0.009 -0.002 0.007 0.057 0.053 0.004 -0.002 -0.006 0.000 0.004 0.181 0.177 0.004 0.013 0.009 0.004 0.065 0.061 0.004 -0.002 -0.005 -0.036 0.040 0.167 0.127 0.040 0.011 -0.029 0.040 0.056 0.016 0.040 -0.002 -0.042 -0.046 0.051 0.179 0.129 0.051 0.012 -0.039 0.051 0.059 0.009 0.051 -0.002 -0.052 -0.053 0.057 0.195 0.138 0.057 0.012 -0.045 0.057 0.049 -0.008 0.057 -0.002 -0.059 -0.001 0.005 0.213 0.207 0.005 0.011 0.006 0.005 0.039 0.033 0.005 -0.002 -0.007 -0.043 0.046 0.233 0.187 0.046 0.011 -0.036 0.046 0.032 -0.015 0.046 -0.002 -0.048 -0.128 0.131 0.332 0.201 0.131 0.008 -0.122 0.131 0.032 -0.098 0.131 -0.001 -0.132 -0.021 0.024 0.332 0.309 0.024 0.009 -0.014 0.024 0.031 0.007 0.024 -0.001 -0.025 0.039 -0.036 0.329 0.365 -0.036 0.009 0.045 -0.036 0.032 0.069 -0.036 -0.001 0.035 Sumber : IDX Monthly Statistics, data hasil olahan Ms.Excell 146
  • 160.
    LAMPIRAN 6. DATA DEVIDEN,HARGA SAHAM, DAN PERHITUNGAN HPR (HOLDING PERIOD RETURN) Bulan Jan Feb Mar Apr Mei Jun Jul Ags Sept Okt Nov Des D INDF P R1 D MEDC P R2 D Tahun 2003 UNVR P R3 D KLBF P R4 D ANTM P R5 D UNTR P R6 550 1300 0.0000 19400 0.0000 255 0.0000 700 0.0000 270 0.0000 575 0.0455 1350 0.0385 18200 -0.0619 285 0.1176 800 0.1429 290 0.0741 600 0.0435 1325 -0.0185 18000 0.0110 310 0.0877 800 0.0000 285 -0.0172 725 0.2083 1350 0.0189 21000 0.1667 400 0.2903 725 -0.0938 405 0.4211 875 0.2069 1250 -0.0741 24500 0.1667 550 0.3750 825 0.1379 525 0.2963 850 -0.0286 1200 0.0488 26700 0.0898 600 0.0909 825 0.0000 475 -0.0952 775 -0.0882 1150 -0.0417 26600 -0.0037 525 -0.1250 825 0.0000 550 0.1579 675 -0.0929 1225 0.0652 27800 0.0639 600 0.1429 850 0.0720 495 -0.1000 725 0.0741 1275 0.0408 3350 -0.8795 625 0.0450 1050 0.2353 675 0.3636 700 -0.0345 1300 0.0196 3225 -0.0373 800 0.2800 1150 0.0952 800 0.1852 675 -0.0357 1325 0.0192 3175 -0.0155 800 0.0000 1225 0.0652 900 0.1250 800 28 0.0000 0.1852 1350 0.0189 3625 0.1417 1000 0.2500 1925 0.5714 1250 0.4069 111 400.00 500.00 Sumber : IDX Monthly Statistics, data hasil olahan Ms.Excell 147 2 34.42 16.23
  • 161.
    Bulan Jan Feb Mar Apr Mei Jun Jul Ags Sept Okt Nov Des D INDF P R1 D MEDC P R2 D Tahun 2004 UNVR P R3 D KLBF P R4 D ANTM P R5 D UNTR P R6 850 1400 0.0370 3825 0.0552 475 -0.5250 1500 -0.2208 1250 0.0000 850 0.0000 1500 0.0714 3400 -0.1111 480 0.0105 1500 0.0000 1450 0.1600 800 -0.0588 1450 -0.0333 3550 0.0588 470 -0.0208 1225 -0.1833 1375 -0.0517 750 -0.0625 1450 0.0000 3675 0.0352 460 -0.0213 1200 -0.0204 1650 0.2000 700 -0.0667 1425 -0.0172 3600 -0.0204 370 -0.1957 1075 -0.1042 1100 -0.3333 700 0.0000 1350 -0.0110 3925 0.0903 350 -0.0541 1250 0.1986 1125 0.0227 700 0.0000 1275 -0.0556 3775 -0.0382 395 0.1286 1225 -0.0200 1225 0.0889 675 0.0043 1450 0.1373 3350 -0.0914 95 -0.7595 1250 0.0204 1375 0.1224 675 0.0000 1525 0.0517 3250 -0.0299 415 3.3789 1375 0.1000 1450 0.0545 675 0.0000 1900 0.2459 3275 0.0077 465 0.1205 1500 0.0909 1850 0.2759 750 0.1111 2075 0.0921 3325 0.0153 625 0.3441 1775 0.1833 2000 0.0811 800 28 0.0625 0.0667 2075 0.0000 3300 0.0135 550 -0.1200 1725 -0.0282 2275 0.1475 59.38 50 80 70.00 Sumber :IDX Monthly Statistics, data hasil olahan Ms.Excell 148 1 38.5 20.00
  • 162.
    Bulan Jan Feb Mar Apr Mei Jun Jul Ags Sept Okt Nov Des D INDF P R1 D MEDC P R2 D Tahun 2005 UNVR P R3 D KLBF P R4 D ANTM P 148.08 1780 0.1177 2825 0.2418 R5 D UNTR P R6 870 2600 0.2530 3500 0.0606 690 0.2545 930 0.0690 2450 -0.0577 3550 0.0143 790 0.1449 2100 0.1798 3125 0.1062 1160 0.2473 2450 0.0000 3825 0.0944 740 -0.0633 2200 0.0476 2650 -0.1520 1020 -0.1207 2575 0.0510 3750 -0.0196 720 -0.0270 2100 -0.0455 2900 0.0943 1200 0.1765 2575 0.0000 4575 0.2200 780 0.0833 2300 0.0952 3225 0.1121 1100 -0.0833 3775 0.5062 4075 -0.1093 880 0.1282 2400 0.0435 3750 0.1628 1090 -0.0091 3200 -0.1523 4350 0.0871 900 0.0261 2400 0.0000 4375 0.1760 790 -0.2752 3325 0.0391 4225 -0.0287 850 -0.0556 2175 -0.0938 3850 -0.1200 730 -0.0544 3625 0.0902 4075 -0.0355 850 0.0000 2575 0.1839 3750 -0.0260 820 0.1233 3525 -0.0276 4375 0.0736 850 0.0000 2575 0.0000 3700 -0.0133 850 0.0366 3325 -0.0567 4325 -0.0114 890 0.0471 2725 0.0583 3500 -0.0541 910 17 0.0875 0.0706 3375 0.0150 4275 0.0023 990 0.1124 3575 0.3119 3675 0.0500 103.4 60.00 80.00 60.00 Sumber :IDX Monthly Statistics, data hasil olahan Ms.Excell 149 3 35
  • 163.
    Bulan Jan Feb Mar Apr Mei Jun Jul Ags Sept Okt Nov Des D INDF P R1 D MEDC P R2 D Tahun 2006 UNVR P R3 D KLBF P R4 D ANTM P R5 D UNTR P R6 880 3900 0.1556 4300 0.0058 1300 0.3131 4275 0.1958 3825 0.0408 840 -0.0455 4125 0.0577 4275 -0.0058 1360 0.0462 4025 -0.0585 3975 0.0392 890 0.0595 4150 0.0061 4250 -0.0058 1360 0.0000 4350 0.0807 4500 0.1321 1130 0.2697 4800 0.1566 4575 0.0765 1520 0.1176 5750 0.3218 5450 0.2111 940 -0.1681 3975 -0.1719 4025 -0.1202 1310 -0.1382 4450 -0.2261 5400 -0.0092 880 -0.0638 3725 -0.0368 4125 0.0248 1250 -0.0458 4625 0.0393 5400 0.0204 1050 0.1932 3800 0.0201 4225 0.0533 1200 -0.0399 5200 0.1568 5600 0.0370 1190 0.1381 3600 -0.0526 4475 0.0592 1120 -0.0667 5400 0.0385 5750 0.0268 1250 0.0504 3475 -0.0347 4600 0.0279 1320 0.1786 5500 0.0185 6050 0.0522 1330 0.0640 3325 -0.0432 4800 0.0435 1360 0.0303 6950 0.2636 6550 0.0826 1400 0.0526 3250 -0.0226 6000 0.2500 1180 -0.1324 7550 0.0863 6450 -0.0084 1350 5 -0.0330 -0.0357 3550 0.0923 6600 0.1133 1190 0.0085 8000 0.0596 6550 0.0155 103.7 120.00 80.00 Sumber :IDX Monthly Statistics, data hasil olahan Ms.Excell 150 0.16 150.05 110 45
  • 164.
    Bulan Jan Feb Mar Apr Mei Jun Jul Ags Sept Okt Nov Des D INDF P R1 D MEDC P R2 D Tahun 2007 UNVR P R3 D KLBF P R4 D ANTM P R5 D UNTR P R6 1690 3425 -0.0352 5850 -0.1136 1300 0.0924 7800 -0.0250 6750 0.0305 1560 -0.0769 3650 0.0657 5600 -0.0427 1220 -0.0615 9100 0.1667 6950 0.0296 1520 -0.0256 3575 -0.0205 5700 0.0179 1210 -0.0082 11850 0.3022 7400 0.0647 1640 0.0789 3525 -0.0140 5650 -0.0088 1260 0.0413 15600 0.3165 7900 0.0676 1730 0.0549 3575 0.0142 6300 0.1150 1240 -0.0159 14000 -0.1026 7550 -0.0443 2025 0.1705 3525 -0.0140 6700 0.0635 1390 0.1210 12550 -0.1036 8250 0.0927 2000 0.0030 4275 0.2274 125.00 7500 0.1381 1490 0.0798 2700 -0.7589 8600 0.0630 1860 -0.0700 3900 -0.0877 125.00 6800 -0.0767 1360 -0.0872 2250 -0.1667 8100 -0.0581 1930 0.0376 4150 0.0641 6800 0.0000 1330 -0.0221 2775 0.2333 8200 0.0123 2200 0.1399 4675 0.1265 6650 -0.0221 1360 0.0226 3350 0.2072 10950 0.3354 2525 0.1477 5400 0.1551 6650 0.0000 1220 -0.1029 4675 0.3955 11250 0.0329 2575 31 0.2519 0.0198 5150 -0.0463 6750 0.0286 1260 0.0328 4475 -0.0428 10900 -0.0311 51.71 90.00 Sumber :IDX Monthly Statistics, data hasil olahan Ms.Excell 151 10.9 325.58 170 60
  • 165.
    Bulan Jan Feb Mar Apr Mei Jun Jul Ags Sept Okt Nov Des D INDF P R1 D MEDC P R2 D Tahun 2008 UNVR P R3 D KLBF P R4 D ANTM P R5 D UNTR P R6 2825 4050 -0.2136 6900 0.0222 1200 -0.0476 3575 -0.2011 13300 0.2202 2925 0.0354 4125 0.0185 6800 -0.0145 1050 -0.1250 4100 0.1469 13250 -0.0038 2325 -0.2051 3325 -0.1939 6900 0.0147 980 -0.0667 3350 -0.1829 12550 -0.0528 2275 -0.0215 3925 0.1805 6800 -0.0145 910 -0.0714 3500 0.0448 12050 -0.0398 2800 0.2308 5050 0.2866 6750 -0.0074 880 -0.0176 3250 -0.0714 14450 0.1992 2400 -0.1429 4725 -0.0644 6750 0.0000 850 -0.0341 3175 -0.0231 12150 -0.1488 2275 -0.0521 4600 -0.0265 6900 0.0470 800 -0.0588 2475 -0.2205 11400 -0.0617 2250 0.0079 4900 0.0652 7250 0.0507 750 -0.0625 1890 -0.1494 10350 -0.0921 1960 -0.1289 3625 -0.2515 7500 0.0345 650 -0.1333 1460 -0.2275 9450 -0.0870 1090 -0.4439 2100 -0.4207 7450 -0.0067 365 -0.4385 1040 -0.2877 3150 -0.6667 970 -0.1101 1850 -0.1190 7700 0.0336 410 0.1233 1020 -0.0192 3975 0.2619 930 43 0.0971 -0.0412 1870 0.0108 7800 0.0130 400 -0.0244 1090 0.0686 4400 0.1069 42.66 167.00 Sumber :IDX Monthly Statistics, data hasil olahan Ms.Excell 152 14 215.23 150
  • 166.
    LAMPIRAN 7. DATA PROPORSI,HPR (R), DAN PENGHITUNGAN RETURN REALISASI (ACTUAL RETURN / Ri) Bulan Jan Feb Mar Apr Mei Jun Jul Ags Sept Okt Nov Des W1 INDF R1 Ri 0.2404 0.0000 0.2005 Tahun 2003 UNVR R3 Ri W4 W2 MEDC R2 KLBF R4 W5 ANTM R5 W6 UNTR R6 Ri W3 Ri Ri Ri 0.0000 0.1930 0.0000 0.0000 0.4424 0.0000 0.0000 0.0461 0.0000 0.0000 0.0595 0.0000 0.0000 0.0186 0.0000 0.0000 0.0455 0.0091 0.1672 0.0385 0.0064 0.5160 -0.0619 -0.0319 0.0430 0.1176 0.0051 0.0567 0.1429 0.0081 0.0167 0.0741 0.0012 0.2085 0.0435 0.0091 0.1635 -0.0185 -0.0030 0.5086 0.0110 0.0056 0.0466 0.0877 0.0041 0.0565 0.0000 0.0000 0.0163 -0.0172 -0.0003 0.2198 0.2083 0.0458 0.1453 0.0189 0.0027 0.5176 0.1667 0.0863 0.0525 0.2903 0.0152 0.0447 -0.0938 -0.0042 0.0202 0.4211 0.0085 0.2301 0.2069 0.0476 0.1167 -0.0741 -0.0086 0.5238 0.1667 0.0873 0.0626 0.3750 0.0235 0.0441 0.1379 0.0061 0.0227 0.2963 0.0067 0.2161 -0.0286 -0.0062 0.1077 0.0488 0.0053 0.5485 0.0898 0.0493 0.0656 0.0909 0.0060 0.0424 0.0000 0.0000 0.0198 -0.0952 -0.0019 0.2033 -0.0882 -0.0179 0.1064 -0.0417 -0.0044 0.5637 -0.0037 -0.0021 0.0592 -0.1250 -0.0074 0.0437 0.0000 0.0000 0.0237 0.1579 0.0037 0.2031 -0.0929 -0.0189 0.0910 0.0652 0.0059 0.5805 0.0639 0.0371 0.0584 0.1429 0.0083 0.0430 0.0720 0.0031 0.0241 -0.1000 -0.0024 0.1620 0.0741 0.0120 0.1006 0.0408 0.0041 0.6049 -0.8795 -0.5320 0.0601 0.0450 0.0027 0.0474 0.2353 0.0112 0.0250 0.3636 0.0091 0.0002 -0.0345 0.0000 0.0001 0.0196 0.0000 0.8125 -0.0373 -0.0303 0.0774 0.2800 0.0217 0.0703 0.0952 0.0067 0.0394 0.1852 0.0073 0.1517 -0.0357 -0.0054 0.1051 0.0192 0.0020 0.5766 -0.0155 -0.0089 0.0773 0.0000 0.0000 0.0556 0.0652 0.0036 0.0337 0.1250 0.0042 0.1529 0.1852 0.0283 0.0910 0.0189 0.0017 0.5598 0.1417 0.0793 0.0822 0.2500 0.0205 0.0743 0.5714 0.0425 0.0398 0.4069 0.0162 Sumber : IDX Monthly Statistics, data hasil olahan Ms.Excell 153
  • 167.
    Bulan Jan Feb Mar Apr Mei Jun Jul Ags Sept Okt Nov Des W1 INDF R1 Ri 0.1587 0.0625 0.0099 0.1672 0.0000 0.1581 0.1458 Tahun 2004 UNVR R3 Ri W4 W2 MEDC R2 KLBF R4 W5 ANTM R5 Ri W3 0.0923 0.0370 0.0034 0.5772 0.0552 0.0318 0.0000 0.1041 0.0714 0.0074 0.5404 -0.1111 -0.0588 -0.0093 0.1011 -0.0333 -0.0034 0.5668 -0.0625 -0.0091 0.0995 0.0000 0.0000 0.5772 0.1449 -0.0667 -0.0097 0.1041 -0.0172 -0.0018 0.1336 0.0000 0.0000 0.0909 -0.0110 0.1358 0.0000 0.0000 0.0873 0.1378 0.0043 0.0006 0.1044 0.1375 0.0000 0.0000 0.1285 0.0000 0.1323 0.1111 0.1402 0.0667 Ri 0.0763 -0.5250 -0.0401 Ri 0.0566 -0.2208 -0.0125 -0.0600 0.0812 0.0105 0.0009 0.0596 0.0000 0.0588 0.0333 0.0799 0.0352 0.0203 0.0769 -0.0208 -0.0017 0.0489 -0.0213 -0.0016 0.0471 0.6021 -0.0204 -0.0123 0.0659 -0.1957 -0.0129 -0.0010 0.6053 0.0903 0.0546 0.0575 -0.0541 -0.0556 -0.0048 0.5916 0.1373 0.0143 0.5524 -0.0382 -0.0226 0.0659 -0.0914 -0.0505 0.0693 0.1096 0.0517 0.0057 0.5348 -0.0299 -0.0160 0.0727 0.0000 0.1277 0.2459 0.0147 0.1292 0.0921 0.0314 0.5038 0.0077 0.0039 0.0119 0.4740 0.0153 0.0072 0.0093 0.1283 0.0000 0.0000 0.4673 0.0135 0.0063 Sumber :IDX Monthly Statistics, data hasil olahan Ms.Excell 154 W6 UNTR R6 Ri 0.0389 0.0000 0.0000 0.0000 0.0475 0.1600 0.0076 -0.1833 -0.0090 0.0453 -0.0517 -0.0023 -0.0204 -0.0010 0.0535 0.2000 0.0107 0.0450 -0.1042 -0.0047 0.0380 -0.3333 -0.0127 -0.0031 0.0482 0.1986 0.0096 0.0645 0.0227 0.0015 0.1286 0.0085 0.0480 -0.0200 -0.0010 0.0715 0.0889 0.0064 -0.7595 -0.0527 0.0515 0.0204 0.0011 0.0845 0.1224 0.0103 3.3789 0.2456 0.0566 0.1000 0.0057 0.0889 0.0545 0.0049 0.0761 0.1205 0.0092 0.0577 0.0909 0.0052 0.1061 0.2759 0.0293 0.0948 0.3441 0.0326 0.0633 0.1833 0.0116 0.1063 0.0811 0.0086 0.0829 -0.1200 -0.0099 0.0611 -0.0282 -0.0017 0.1203 0.1475 0.0177
  • 168.
    Bulan Jan Feb Mar Apr Mei Jun Jul Ags Sept Okt Nov Des W1 INDF R1 Ri 0.1352 0.0875 0.1427 0.0690 Tahun 2005 UNVR R3 Ri W4 W2 MEDC R2 KLBF R4 Ri W3 0.0118 0.1426 0.2530 0.0361 0.4394 0.0606 0.0266 0.0098 0.1278 -0.0577 -0.0074 0.4366 0.0143 W5 ANTM R5 Ri 0.0922 0.2545 0.0062 0.0937 W6 UNTR R6 Ri Ri 0.0235 0.0571 0.1177 0.0067 0.1336 0.2418 0.0323 0.1449 0.0136 0.0642 0.1798 0.0115 0.1349 0.1062 0.0143 0.1640 0.2473 0.0406 0.1222 0.0000 0.0000 0.4369 0.0944 0.0412 0.0900 -0.0633 -0.0057 0.0643 0.0476 0.0031 0.1226 -0.1520 -0.0186 0.1479 -0.1207 -0.0178 0.1317 0.0510 0.0067 0.4393 -0.0196 -0.0086 0.0898 -0.0270 -0.0024 0.0622 -0.0455 -0.0028 0.1291 0.0943 0.0122 0.1474 0.1765 0.0260 0.1365 0.0000 0.0000 0.4540 0.2200 0.0999 0.0824 0.0833 0.0069 0.0583 0.0952 0.0056 0.1214 0.1121 0.0136 0.1360 -0.0833 -0.0113 0.1646 0.5062 0.0833 0.4069 -0.1093 -0.0445 0.0935 0.1282 0.0120 0.0599 0.0435 0.0026 0.1390 0.1628 0.0226 0.1307 -0.0091 -0.0012 0.1354 -0.1523 -0.0206 0.4213 0.0871 0.0367 0.0928 0.0261 0.0024 0.0587 0.0000 0.0000 0.1611 0.1760 0.0284 0.1251 -0.2752 -0.0344 0.1382 0.0391 0.0054 0.4265 -0.0287 -0.0123 0.0905 -0.0556 -0.0050 0.0517 -0.0938 -0.0048 0.1680 -0.1200 -0.0202 0.1305 -0.0544 -0.0071 0.1483 0.0902 0.0134 0.4302 -0.0355 -0.0153 0.0886 0.0000 0.0000 0.0526 0.1839 0.0097 0.1499 -0.0260 -0.0039 0.1153 0.1233 0.0142 0.1473 -0.0276 -0.0041 0.4364 0.0736 0.0321 0.0889 0.0000 0.0000 0.0629 0.0000 0.0000 0.1491 -0.0133 -0.0020 0.1070 0.0366 0.0039 0.1477 -0.0567 -0.0084 0.4398 -0.0114 -0.0050 0.0963 0.0471 0.0045 0.0725 0.0583 0.0042 0.1368 -0.0541 -0.0074 0.1077 0.0706 0.0076 0.1409 0.0150 0.0021 0.4087 0.0023 0.0009 0.1260 0.1124 0.0142 0.0854 0.3119 0.0267 0.1313 0.0500 0.0066 Sumber :IDX Monthly Statistics, data hasil olahan Ms.Excell 155
  • 169.
    Bulan Jan Feb Mar Apr Mei Jun Jul Ags Sept Okt Nov Des W1 INDF R1 Ri 0.0962 -0.0330 0.0911 Tahun 2006 UNVR R3 Ri W4 W2 MEDC R2 KLBF R4 W5 ANTM R5 W6 UNTR R6 Ri W3 Ri Ri Ri -0.0032 0.1505 0.1556 0.0234 0.3798 0.0058 0.0022 0.1528 0.3131 0.0479 0.0944 0.1958 0.0185 0.1263 0.0408 0.0052 -0.0455 -0.0041 0.1578 0.0577 0.0091 0.3744 -0.0058 -0.0022 0.1585 0.0462 0.0073 0.0881 -0.0585 -0.0052 0.1301 0.0392 0.0051 0.0938 0.0595 0.0056 0.1543 0.0061 0.0009 0.3619 -0.0058 -0.0021 0.1541 0.0000 0.0000 0.0926 0.0807 0.0075 0.1432 0.1321 0.0189 0.1031 0.2697 0.0278 0.1545 0.1566 0.0242 0.3372 0.0765 0.0258 0.1491 0.1176 0.0175 0.1060 0.3218 0.0341 0.1501 0.2111 0.0317 0.0986 -0.1681 -0.0166 0.1471 -0.1719 -0.0253 0.3411 -0.1202 -0.0410 0.1478 -0.1382 -0.0204 0.0943 -0.2261 -0.0213 0.1710 -0.0092 -0.0016 0.0933 -0.0638 -0.0060 0.1393 -0.0368 -0.0051 0.3532 0.0248 0.0088 0.1425 -0.0458 -0.0065 0.0990 0.0393 0.0039 0.1728 0.0204 0.0035 0.1068 0.1932 0.0206 0.1363 0.0201 0.0027 0.3470 0.0533 0.0185 0.1312 -0.0399 -0.0052 0.1068 0.1568 0.0167 0.1719 0.0370 0.0064 0.1177 0.1381 0.0163 0.1257 -0.0526 -0.0066 0.3577 0.0592 0.0212 0.1192 -0.0667 -0.0079 0.1079 0.0385 0.0042 0.1718 0.0268 0.0046 0.1185 0.0504 0.0060 0.1162 -0.0347 -0.0040 0.3523 0.0279 0.0098 0.1346 0.1786 0.0240 0.1053 0.0185 0.0020 0.1732 0.0522 0.0090 0.1185 0.0640 0.0076 0.1045 -0.0432 -0.0045 0.3455 0.0435 0.0150 0.1303 0.0303 0.0039 0.1251 0.2636 0.0330 0.1762 0.0826 0.0146 0.1154 0.0526 0.0061 0.0945 -0.0226 -0.0021 0.3994 0.2500 0.0999 0.1046 -0.1324 -0.0138 0.1257 0.0863 0.0108 0.1605 -0.0084 -0.0013 0.1054 -0.0357 -0.0038 0.0978 0.0923 0.0090 0.4163 0.1133 0.0472 0.0999 0.0085 0.0008 0.1262 0.0596 0.0075 0.1544 0.0155 0.0024 Sumber :IDX Monthly Statistics, data hasil olahan Ms.Excell 156
  • 170.
    Bulan Jan Feb Mar Apr Mei Jun Jul Ags Sept Okt Nov Des W1 INDF R1 Ri 0.1337 0.2519 0.1236 Tahun 2007 UNVR R3 Ri W4 W2 MEDC R2 KLBF R4 W5 ANTM R5 W6 UNTR R6 Ri W3 Ri Ri Ri 0.0337 0.0956 -0.0352 -0.0034 0.3740 -0.1136 -0.0425 0.1106 0.0924 0.0102 0.1247 -0.0250 -0.0031 0.1613 0.0305 0.0049 -0.0769 -0.0095 0.1020 0.0657 0.0067 0.3585 -0.0427 -0.0153 0.1040 -0.0615 -0.0064 0.1456 0.1667 0.0243 0.1663 0.0296 0.0049 0.1142 -0.0256 -0.0029 0.0947 -0.0205 -0.0019 0.3458 0.0179 0.0062 0.0977 -0.0082 -0.0008 0.1798 0.3022 0.0543 0.1678 0.0647 0.0109 0.1144 0.0789 0.0090 0.0867 -0.0140 -0.0012 0.3183 -0.0088 -0.0028 0.0945 0.0413 0.0039 0.2197 0.3165 0.0695 0.1663 0.0676 0.0112 0.1191 0.0549 0.0065 0.0869 0.0142 0.0012 0.3505 0.1150 0.0403 0.0918 -0.0159 -0.0015 0.1947 -0.1026 -0.0200 0.1570 -0.0443 -0.0070 0.1332 0.1705 0.0227 0.0818 -0.0140 -0.0011 0.3561 0.0635 0.0226 0.0983 0.1210 0.0119 0.1668 -0.1036 -0.0173 0.1639 0.0927 0.0152 0.1210 0.0030 0.0004 0.0912 0.2274 0.0207 0.3689 0.1381 0.0509 0.0969 0.0798 0.0077 0.1649 -0.7589 -0.1252 0.1571 0.0630 0.0099 0.1247 -0.0700 -0.0087 0.0923 -0.0877 -0.0081 0.3684 -0.0767 -0.0282 0.0981 -0.0872 -0.0086 0.1524 -0.1667 -0.0254 0.1640 -0.0581 -0.0095 0.1237 0.0376 0.0047 0.0939 0.0641 0.0060 0.3522 0.0000 0.0000 0.0917 -0.0221 -0.0020 0.1797 0.2333 0.0419 0.1587 0.0123 0.0020 0.1266 0.1399 0.0177 0.0949 0.1265 0.0120 0.3092 -0.0221 -0.0068 0.0842 0.0226 0.0019 0.1947 0.2072 0.0404 0.1903 0.3354 0.0638 0.1313 0.1477 0.0194 0.0991 0.1551 0.0154 0.2793 0.0000 0.0000 0.0682 -0.1029 -0.0070 0.2455 0.3955 0.0971 0.1766 0.0329 0.0058 0.1354 0.0198 0.0027 0.0956 -0.0463 -0.0044 0.2868 0.0286 0.0082 0.0713 0.0328 0.0023 0.2377 -0.0428 -0.0102 0.1731 -0.0311 -0.0054 Sumber :IDX Monthly Statistics, data hasil olahan Ms.Excell 157
  • 171.
    Bulan Jan Feb Mar Apr Mei Jun Jul Ags Sept Okt Nov Des W1 INDF R1 Ri 0.1507 0.0971 0.1528 Tahun 2008 UNVR R3 Ri W4 W2 MEDC R2 KLBF R4 W5 ANTM R5 W6 UNTR R6 Ri W3 Ri Ri Ri 0.0146 0.0762 -0.2136 -0.0163 0.2974 0.0222 0.0066 0.0688 -0.0476 -0.0033 0.1926 -0.2287 -0.0441 0.2142 0.2202 0.0472 0.0354 0.0054 0.0760 0.0185 0.0014 0.2870 -0.0145 -0.0042 0.0590 -0.1250 -0.0074 0.2163 0.0846 0.0183 0.2090 -0.0038 -0.0008 0.1218 -0.2051 -0.0250 0.0615 -0.1939 -0.0119 0.2921 0.0147 0.0043 0.0552 -0.0667 -0.0037 0.1773 -0.1974 -0.0350 0.2921 -0.0528 -0.0154 0.1315 -0.0215 -0.0028 0.0800 0.1805 0.0144 0.3175 -0.0145 -0.0046 0.0565 -0.0714 -0.0040 0.2043 0.1294 0.0264 0.2102 -0.0398 -0.0084 0.1503 0.2308 0.0347 0.0957 0.2866 0.0274 0.2928 -0.0074 -0.0022 0.0508 -0.0176 -0.0009 0.1762 -0.1417 -0.0250 0.2342 0.1992 0.0467 0.1386 -0.1429 -0.0198 0.0963 -0.0644 -0.0062 0.3150 0.0000 0.0000 0.0528 -0.0341 -0.0018 0.1853 0.0410 0.0076 0.2119 -0.1488 -0.0315 0.1398 -0.0521 -0.0073 0.0997 -0.0265 -0.0026 0.3425 0.0470 0.0161 0.0529 -0.0588 -0.0031 0.1536 -0.1877 -0.0288 0.2115 -0.0617 -0.0131 0.1435 0.0079 0.0011 0.1103 0.0652 0.0072 0.3736 0.0507 0.0190 0.0514 -0.0625 -0.0032 0.1218 -0.2282 -0.0278 0.1993 -0.0921 -0.0184 0.1324 -0.1289 -0.0171 0.0864 -0.2515 -0.0217 0.4094 0.0345 0.0141 0.0472 -0.1333 -0.0063 0.0996 -0.2335 -0.0233 0.2249 -0.0870 -0.0196 0.0981 -0.4439 -0.0436 0.0718 -0.4207 -0.0302 0.5829 -0.0067 -0.0039 0.0380 -0.4385 -0.0167 0.1017 -0.1463 -0.0149 0.1075 -0.6667 -0.0716 0.0847 -0.1101 -0.0093 0.0613 -0.1190 -0.0073 0.5843 0.0336 0.0196 0.0414 0.1233 0.0051 0.0968 0.0014 0.0001 0.1315 0.2619 0.0344 0.0793 -0.0412 -0.0033 0.0605 0.0108 0.0007 0.5778 0.0130 0.0075 0.0394 -0.0244 -0.0010 0.1009 0.0332 0.0033 0.1421 0.1069 0.0152 Sumber :IDX Monthly Statistics, data hasil olahan Ms.Excell 158
  • 172.
    LAMPIRAN 8. DAFTAR NILAIKURS, SUKU BUNGA INDONESIA, DAN INFLASI Tahun 2003 BLN Tahun 2004 Tahun 2005 Tahun 2006 Tahun 2007 Tahun 2008 Kurs Suku Bunga Inflasi Kurs Suku Bunga Inflasi Kurs Suku Bunga Inflasi Kurs Suku Bunga Inflasi Kurs Suku Bunga Inflasi Kurs Suku Bunga Inflasi Jan 4.01 12.69 8.68 3.04 7.86 4.82 0.10 7.42 7.32 -4.28 12.75 17.03 3.24 9.50 6.26 0.64 8.00 7.36 Feb 4.64 12.24 7.60 2.88 7.48 4.60 0.28 7.43 7.15 -5.18 12.74 17.92 2.95 9.25 6.30 0.53 7.93 7.40 Mar 4.23 11.40 7.17 2.31 7.42 5.11 -1.37 7.44 8.81 -3.01 12.73 15.74 2.48 9.00 6.52 -0.21 7.96 8.17 Apr 3.44 11.06 7.62 1.41 7.33 5.92 -0.42 7.70 8.12 -2.66 12.74 15.40 2.71 9.00 6.29 -0.97 7.99 8.96 Mei 3.29 10.44 7.15 0.85 7.32 6.47 0.55 7.95 7.40 -3.10 12.50 15.60 2.74 8.75 6.01 -2.07 8.31 10.38 Jun 2.55 9.53 6.98 0.51 7.34 6.83 0.83 8.25 7.42 -3.03 12.50 15.53 2.73 8.50 5.77 -2.30 8.73 11.03 8.49 7.84 -2.90 12.25 15.15 2.19 8.25 6.06 -2.67 9.23 11.90 Jul 2.83 9.10 6.27 0.16 7.36 7.20 0.65 Ags 2.40 8.91 6.51 0.70 7.37 6.67 1.18 9.51 8.33 -3.15 11.75 14.90 1.74 8.25 6.51 -2.57 9.28 11.85 Sept 2.33 8.66 6.33 1.12 7.39 6.27 0.94 10.00 9.06 -3.30 11.25 14.55 1.30 8.25 6.95 -2.43 9.71 12.14 Okt 2.00 8.48 6.48 1.19 7.41 6.22 -6.89 11.00 17.89 4.46 10.75 6.29 1.37 8.25 6.88 -0.79 10.98 11.77 Nov 2.96 8.49 5.53 1.23 7.41 6.18 -6.13 12.25 18.38 4.98 10.25 5.27 1.54 8.25 6.71 -0.44 11.24 11.68 Des 3.15 8.31 5.16 1.03 7.43 6.40 -4.36 12.75 17.11 3.15 9.75 6.60 1.41 8.00 6.59 -0.23 10.83 11.06 Sumber ; Bank Indonesia. 2005. Sertifikat Bank Indonesia. www.bi.go.id 159
  • 173.
    LAMPIRAN 9. DATA HASILOLAHAN ARIMA INFLASI, SBI, DAN KURS Bulan Actual Interest Rate Expected Interest Rate Unexpected Interest Rate Ft1 Actual Inflation Expected Inflation Unexpected Inflation (Ft2) Unexpected Exchange Rate Fluctuation Expected Rate Fluctuation Unexpected Rate Fluctuation (Ft3) Jan-03 12.6900 12.9486 -0.2586 8.6800 10.0009 -1.3209 0.1190 0.1146 0.0044 Feb-03 Mar-03 12.2400 11.4000 12.5354 12.0690 -0.2954 -0.6690 7.6000 7.1700 8.8764 7.9439 -1.2764 -0.7739 0.1190 0.1190 0.1185 0.1183 0.0005 0.0008 0.0036 Apr-03 11.0600 11.0180 0.0420 7.6200 7.5395 0.0805 0.1220 0.1184 May-03 10.4400 11.1028 -0.6628 7.1500 7.8686 -0.7186 0.1290 0.1222 0.0068 Jun-03 9.5300 10.0733 -0.5433 6.9800 7.5185 -0.5385 0.1280 0.1293 -0.0013 Jul-03 9.1000 9.2449 -0.1449 6.2700 7.3599 -1.0899 0.1250 0.1243 0.0007 Aug-03 Sep-03 8.9100 8.6600 9.0558 8.8676 -0.1458 -0.2076 6.5100 6.3300 6.7865 6.9376 -0.2765 -0.6076 0.1240 0.1270 0.1230 0.1224 0.0010 0.0046 Oct-03 8.4800 8.5840 -0.1040 6.4800 6.8052 -0.3252 0.1250 0.1266 -0.0016 Nov-03 8.4900 8.4675 0.0225 5.5300 6.9151 -1.3851 0.1240 0.1218 0.0022 Dec-03 8.3100 8.5522 -0.2422 5.1600 6.1697 -1.0097 0.1260 0.1231 0.0029 Jan-04 7.8600 8.2177 -0.3577 7.8600 5.8257 2.0343 0.1260 0.1250 0.0010 Feb-04 Mar-04 7.4800 7.4200 7.7048 7.4080 -0.2248 0.0120 7.4800 7.4200 7.9418 7.7850 -0.4618 -0.3650 0.1260 0.1240 0.1240 0.1245 0.0020 -0.0005 Apr-04 7.3300 7.4889 -0.1589 7.3300 7.7268 -0.3968 0.1230 0.1216 0.0014 May-04 7.3200 7.2989 0.0211 7.3200 7.6515 -0.3315 0.1150 0.1218 -0.0068 Jun-04 7.3400 7.3955 -0.0555 7.3400 7.6385 -0.2985 0.1120 0.1113 0.0007 Jul-04 7.3600 7.3699 -0.0099 7.3600 7.6534 -0.2934 0.1150 0.1130 0.0020 Aug-04 Sep-04 7.3700 7.3900 7.4166 7.4048 -0.0466 -0.0148 7.3700 7.3900 7.6703 7.6794 -0.3003 -0.2894 0.1130 0.1150 0.1160 0.1118 -0.0030 0.0032 -0.0006 Oct-04 7.4100 7.4434 -0.0334 7.4100 7.6958 -0.2858 0.1160 0.1166 Nov-04 7.4100 7.4521 -0.0421 7.4100 7.7128 -0.3028 0.1170 0.1154 0.0016 Dec-04 7.4300 7.4470 -0.0170 7.4300 7.7140 -0.2840 0.1140 0.1173 -0.0033 Sumber : Hasil Output SPSS 13.00 160
  • 174.
    Bulan Actual Interest Rate Expected Interest Rate Unexpected Interest Rate Ft1 Actual Inflation Expected Inflation Unexpected Inflation (Ft2) Unexpected Exchange Rate Fluctuation Expected Rate Fluctuation Unexpected Rate Fluctuation (Ft3) Jan-05 7.4200 7.4816 -0.0616 7.4200 7.7299 -0.3099 0.1150 0.1124 0.0026 Feb-05 7.4300 7.4453 -0.0153 7.4300 7.7230 -0.2930 0.1140 0.1163 -0.0023 Mar-05 7.4400 7.4826 -0.0426 7.4400 7.7305 -0.2905 0.1110 0.1129 -0.0019 Apr-05 7.7000 7.4763 0.2237 7.7000 7.7389 -0.0389 0.1100 0.1108 -0.0008 May-05 7.9500 7.8907 0.0593 7.9500 7.9456 0.0045 0.1110 0.1106 0.0004 Jun-05 8.2500 8.0405 0.2096 8.2500 8.1578 0.0922 0.1090 0.1120 -0.0030 Jul-05 8.4900 8.4258 0.0642 8.4900 8.4100 0.0800 0.1070 0.1087 -0.0017 Aug-05 9.5100 8.5769 0.9331 9.5100 8.6174 0.8926 0.1030 0.1078 -0.0048 Sep-05 10.0000 10.0987 -0.0987 10.0000 9.4398 0.5602 0.1020 0.1031 -0.0011 Oct-05 11.0000 9.9723 1.0277 11.0000 9.8842 1.1158 0.1040 0.1043 -0.0003 Nov-05 12.2500 11.6268 0.6232 12.2500 10.7070 1.5430 0.1050 0.1063 -0.0013 Dec-05 12.7500 12.6224 0.1276 12.7500 11.7537 0.9963 0.1070 0.1065 0.0005 Jan-06 12.7500 12.8231 -0.0731 12.7500 12.2213 0.5287 0.1120 0.1090 0.0030 Feb-06 12.7400 12.7044 0.0356 12.7400 12.2532 0.4868 0.1150 0.1142 0.0008 Mar-06 12.7300 12.7589 -0.0289 12.7300 12.2475 0.4825 0.1170 0.1153 0.0017 Apr-06 12.7400 12.7108 0.0292 12.7400 12.2392 0.5009 0.1210 0.1173 0.0037 May-06 12.5000 12.7550 -0.2550 12.5000 12.2465 0.2535 0.1150 0.1215 -0.0065 Jun-06 12.5000 12.3498 0.1503 12.5000 12.0568 0.4432 0.1140 0.1115 0.0025 Jul-06 12.2500 12.5896 -0.3395 12.2500 12.0439 0.2061 0.1170 0.1155 0.0015 Aug-06 11.7500 12.0528 -0.3028 11.7500 11.8449 -0.0949 0.1160 0.1173 -0.0013 Sep-06 11.2500 11.5805 -0.3305 11.2500 11.4351 -0.1851 0.1140 0.1150 -0.0010 Oct-06 10.7500 11.0701 -0.3201 10.7500 11.0109 -0.2609 0.1160 0.1136 0.0024 Nov-06 10.2500 10.5823 -0.3323 10.2500 10.5857 -0.3357 0.1150 0.1170 -0.0019 Dec-06 9.7500 10.0811 -0.3311 9.7500 10.1605 -0.4105 0.1170 0.1139 0.0031 Sumber :Hasil Output SPSS 13.00 161
  • 175.
    Bulan Actual Interest Rate Expected Interest Rate Unexpected Interest Rate Ft1 Actual Inflation Expected Inflation Unexpected Inflation (Ft2) Unexpected Exchange Rate Fluctuation Expected Rate Fluctuation Unexpected Rate Fluctuation (Ft3) Jan-07 9.5000 9.5878 -0.0878 9.5000 9.7353 -0.2353 0.1160 0.1181 -0.0021 Feb-07 9.2500 9.4848 -0.2348 9.2500 9.5081 -0.2581 0.1150 0.1146 0.0004 Mar-07 9.0000 9.1508 -0.1508 9.0000 9.2945 -0.2945 0.1160 0.1151 0.0009 Apr-07 9.0000 8.9535 0.0465 9.0000 9.0819 -0.0818 0.1170 0.1161 0.0009 May-07 8.7500 9.0703 -0.3203 8.7500 9.0674 -0.3173 0.1200 0.1169 0.0031 Jun-07 8.5000 8.6063 -0.1063 8.5000 8.8682 -0.3682 0.1170 0.1204 -0.0034 Jul-07 8.2500 8.4859 -0.2359 8.2500 8.6565 -0.4065 0.1150 0.1147 0.0003 Aug-07 8.2500 8.1622 0.0878 8.2500 8.4440 -0.1940 0.1120 0.1151 -0.0031 Sep-07 8.2500 8.3537 -0.1037 8.2500 8.4295 -0.1795 0.1160 0.1110 0.0050 Oct-07 8.2500 8.2404 0.0096 8.2500 8.4285 -0.1785 0.1160 0.1184 -0.0023 Nov-07 8.2500 8.3075 -0.0575 8.2500 8.4284 -0.1784 0.1130 0.1145 -0.0014 Dec-07 8.0000 8.2678 -0.2678 8.0000 8.4284 -0.4284 0.1120 0.1126 -0.0006 Jan-08 8.0000 7.8963 0.1037 8.0000 8.2303 -0.2303 0.1140 0.1123 0.0017 Feb-08 7.9300 8.1161 -0.1861 7.9300 8.2168 -0.2868 0.1170 0.1151 0.0020 Mar-08 7.9600 7.8755 0.0845 7.9600 8.1604 -0.2004 0.1150 0.1175 -0.0025 Apr-08 7.9900 8.0653 -0.0753 7.9900 8.1803 -0.1903 0.1140 0.1136 0.0004 May-08 8.3100 8.0004 0.3096 8.3100 8.2055 0.1045 0.1130 0.1144 -0.0013 Jun-08 8.7300 8.5443 0.1857 8.7300 8.4608 0.2692 0.1150 0.1127 0.0024 Jul-08 9.2300 8.8859 0.3441 9.2300 8.8110 0.4190 0.1160 0.1162 -0.0001 Aug-08 9.2800 9.4736 -0.1936 9.2800 9.2311 0.0489 0.1160 0.1156 0.0004 Sep-08 9.7100 9.2048 0.5052 9.7100 9.2994 0.4106 0.1130 0.1159 -0.0029 Oct-08 10.9800 10.0431 0.9369 10.9800 9.6448 1.3352 0.0950 0.1118 -0.0168 Nov-08 11.2400 11.5533 -0.3133 11.2400 10.6748 0.5652 0.0860 0.0905 -0.0045 Dec-08 10.8300 11.0704 -0.2404 10.8300 10.9511 -0.1211 0.0960 0.0901 0.0059 Sumber :Hasil Output SPSS 13.00 162
  • 176.
    LAMPIRAN 10. TABEL ANOVAINDUSTRI MANUFAKTUR TAHUN 2003-2008 A. UNTUK EXPECTED RETURN CAPM 1. INDF ANOVAb Model 1 Regression Residual Total Sum of Squares .062 .029 .091 df Mean Square .062 .000 1 70 71 F 148.461 Sig. .000a a. Predictors: (Const ant), PR.I NDF b. Dependent Variable: ER 2. MEDC ANOVAb Model 1 Regression Residual Total Sum of Squares .123 .034 .157 df Mean Square .123 .000 1 70 71 F 254.152 Sig. .000a a. Predictors: (Const ant), PR.MEDC b. Dependent Variable: ER 3. UNVR ANOVAb Model 1 Regression Residual Total Sum of Squares .000 .138 .138 df 1 70 71 Mean Square .000 .002 F .047 Sig. .828a a. Predictors: (Const ant), PR.UNVR b. Dependent Variable: ER 4. KLBF b A NOVA Model 1 Regression Residual Total Sum of Squares .098 .013 .111 df 1 70 71 a. Predictors: (Const ant), PR.KLBF b. Dependent Variable: ER 163 Mean Square .098 .000 F 527.666 Sig. .000a
  • 177.
    5. ANTM ANOVAb Model 1 Regression Residual Total Sum of Squares .087 .028 .115 df Mean Square .087 .000 F 217.525 Sig. .000a MeanSquare .074 .000 1 70 71 F 273.852 Sig. .000a a. Predictors: (Const ant), PR.ANTM b. Dependent Variable: ER 6. UNTR ANOVAb Model 1 Regression Residual Total Sum of Squares .074 .019 .093 df 1 70 71 a. Predictors: (Const ant), PR.UNTR b. Dependent Variable: ER B. UNTUK EXPECTED RETURN MODEL APT 1. INDF ANOVAb Model 1 Regression Residual Total Sum of Squares .096 .041 .138 df Mean Square .032 .001 3 68 71 F 52.609 Sig. .000a a. Predictors: (Const ant), P.Kurs, P.SBI, P.Inf lasi b. Dependent Variable: Expected Return APT 2. MEDCO ANOVAb Model 1 Regression Residual Total Sum of Squares .118 .040 .157 df 3 68 71 Mean Square .039 .001 a. Predictors: (Const ant), P.Kurs, P.SBI, P.Inf lasi b. Dependent Variable: Expected Return APT 164 F 67.258 Sig. .000a
  • 178.
    3. UNVR ANOVAb Model 1 Regression Residual Total Sum of Squares .096 .041 .138 df Mean Square .032 .001 3 68 71 F 52.609 Sig. .000a a.Predictors: (Const ant), P.Kurs, P.SBI, P.Inf lasi b. Dependent Variable: Expected Return APT 4. KLBF ANOVAb Model 1 Regression Residual Total Sum of Squares .089 .022 .111 df 3 68 71 Mean Square .030 .000 F 90.952 Sig. .000a a. Predictors: (Const ant), P.Kurs, P.SBI, P.Inf lasi b. Dependent Variable: Expected Return APT 5. ANTM b A NOVA Model 1 Regression Residual Total Sum of Squares .089 .026 .115 df 3 68 71 Mean Square .030 .000 F 77.743 Sig. .000a a. Predictors: (Const ant), P.Kurs, P.SBI, P.Inf lasi b. Dependent Variable: Expected Return APT 6. UNTR b A NOVA Model 1 Regression Residual Total Sum of Squares .072 .021 .093 df 3 68 71 Mean Square .024 .000 a. Predictors: (Const ant), P.Kurs, P.SBI, P.Inf lasi b. Dependent Variable: Expected Return APT 165 F 77.616 Sig. .000a
  • 180.
    LAMPIRAN 11. TABEL MODELSUMMARY DAN COEFFICIENT INDUSTRI MANUFAKTUR TAHUN 2003-2008 A. UNTUK EXPECTED RETURN CAPM 1. INDF b Model Summary Change Statistics Model 1 R .824a R Square .680 Adjusted R Square .675 St d. Error of the Estim ate .02039 R Square Change .680 F Change 148.461 df 1 df 2 1 70 Sig. F Change .000 DurbinWat son .622 a. Predictors: (Const ant), PR. INDF b. Dependent Variable: ER a Coeffi ci ents Model 1 (Constant) PR.INDF Unstandardized Coef f icients B St d. Error .016 .003 -.496 .041 St andardized Coef f icients Beta -.824 t 5.889 -12.184 Sig. .000 .000 95% Conf idence Interv al f or B Lower Bound Upper Bound .010 .021 -.577 -.415 Zero-order -.824 Correlations Part ial -.824 a. Dependent Variable: ER 2. MEDC b Model Summary Change Statistics Model 1 R .885a R Square .784 Adjusted R Square .781 St d. Error of the Estimate .02204 R Square Change .784 F Change 254.152 a. Predictors: (Const ant), PR. MEDC b. Dependent Variable: ER 167 df 1 df 2 1 70 Sig. F Change .000 DurbinWat son .486 Part -.824 Collinearity Statistics Tolerance VI F 1.000 1.000
  • 181.
    a Coeffi ci ents Model 1 (Constant) PR.MEDC Unstandardized Coeff icients B St d. Error .017 .003 -.741 .046 St andardized Coef f icients Beta -.885 t 6.311 -15.942 95% Conf idence Interv al f or B Lower Bound Upper Bound .012 .022 -.834 -.648 Sig. .000 .000 Zero-order -.885 Correlations Part ial Part -.885 Collinearity Statistics Tolerance VI F -.885 1.000 1.000 a. Dependent Variable: ER 3. UNVR b Model Summary Change Statistics Model 1 R .026a Adjusted R Square -.014 R Square .001 St d. Error of the Estim ate .04432 R Square Change .001 F Change .047 df 1 df 2 1 70 DurbinWat son .348 Sig. F Change .828 a. Predictors: (Const ant), PR. UNVR b. Dependent Variable: ER a Coeffi ci ents Model 1 (Constant) PR.UNVR Unstandardized Coef f icients B St d. Error .003 .009 -.014 .064 St andardized Coef f icients Beta -.026 t .338 -.217 95% Conf idence Interv al f or B Lower Bound Upper Bound -.015 .021 -.142 .114 Sig. .736 .828 Zero-order -.026 Correlations Part ial Part -.026 a. Dependent Variable: ER 4. KLBF b Model Summary Change Statistics Model 1 R .940a R Square .883 Adjusted R Square .881 St d. Error of the Estimate .01362 R Square Change .883 F Change 527.666 a. Predictors: (Const ant), PR. KLBF b. Dependent Variable: ER 168 df 1 df 2 1 70 Sig. F Change .000 DurbinWat son .305 -.026 Collinearity Statistics Tolerance VI F 1.000 1.000
  • 182.
    a Coeffi ci ents Model 1 (Constant) PR.KLBF Unstandardized Coeff icients B St d. Error .017 .002 -.870 .038 St andardized Coef f icients Beta -.940 t 9.704 -22.971 Sig. .000 .000 95% Conf idence Interv al f or B Lower Bound Upper Bound .013 .020 -.945 -.794 Zero-order Correlations Part ial -.940 -.940 Part -.940 Collinearity Statistics Tolerance VI F 1.000 1.000 a. Dependent Variable: ER 5. ANTM b Model Summary Change Statistics Model 1 R .870a R Square .757 Adjusted R Square .753 St d. Error of the Estim ate .02002 R Square Change .757 F Change 217.525 df 1 df 2 1 70 Sig. F Change .000 DurbinWat son .732 a. Predictors: (Const ant), PR. ANTM b. Dependent Variable: ER a Coeffi ci ents Model 1 (Constant) PR.ANTM Unstandardized Coef f icients B St d. Error .010 .002 -.922 .062 St andardized Coef f icients Beta -.870 t 4.184 -14.749 Sig. .000 .000 95% Conf idence Interv al f or B Lower Bound Upper Bound .005 .015 -1.046 -.797 Zero-order Correlations Part ial -.870 -.870 Part -.870 a. Dependent Variable: ER 6. UNTR b Model Summary Change Statistics Model 1 R .892a R Square .796 Adjusted R Square .794 St d. Error of the Estim ate .01647 R Square Change .796 F Change 273.852 a. Predictors: (Const ant), PR. UNTR b. Dependent Variable: ER 169 df 1 df 2 1 70 Sig. F Change .000 DurbinWat son .440 Collinearity Statistics Tolerance VI F 1.000 1.000
  • 183.
    a Coeffi ci ents Model 1 (Constant) PR.UNTR Unstandardized Coeff icients B St d. Error .013 .002 -.644 .039 St andardized Coef f icients Beta -.892 t 6.621 -16.548 Sig. .000 .000 95% Conf idence Interv al f or B Lower Bound Upper Bound .009 .017 -.722 -.566 Zero-order -.892 Correlations Part ial -.892 Part -.892 Collinearity Statistics Tolerance VI F 1.000 1.000 a. Dependent Variable: ER B. UNTUK EXPECTED RETURN APT 1. INDF b Model Summary Change Statistics Model 1 R .836a R Square .699 Adjusted R Square .686 St d. Error of the Estim ate .02469 R Square Change .699 F Change 52.609 df 1 df 2 3 68 Sig. F Change .000 DurbinWat son 1.196 a. Predictors: (Const ant), P.Kurs, P.SBI, P.Inf lasi b. Dependent Variable: Expected Return APT a Coeffi ci ents Model 1 (Constant) P. Inf lasi P. SBI P. Kurs Unstandardized Coef f icients B St d. Error .007 .003 .080 .012 .021 .006 -1.992 .978 St andardized Coef f icients Beta .561 .284 -.152 t 2.232 6.628 3.543 -2.037 Sig. .029 .000 .001 .046 95% Conf idence Interv al f or B Lower Bound Upper Bound .001 .012 .056 .104 .009 .032 -3.943 -.041 a. Dependent Variable: Expected Return APT 170 Zero-order .785 .643 -.495 Correlations Part ial .626 .395 -.240 Part .441 .236 -.136 Collinearity Statistics Tolerance VI F .618 .688 .792 1.619 1.452 1.262
  • 184.
    2. MEDC b Model Summary ChangeStatistics Model 1 R .865a R Square .748 Adjusted R Square .737 St d. Error of the Estimate .02416 R Square Change .748 F Change 67.258 df 1 df 2 3 68 Sig. F Change .000 DurbinWat son 1.420 a. Predictors: (Const ant), P.Kurs, P.SBI, P.Inf lasi b. Dependent Variable: Expected Return APT a Coeffi ci ents Model 1 (Constant) P. Inf lasi P. SBI P. Kurs Unstandardized Coef f icients B St d. Error .012 .003 .120 .012 .011 .006 .209 .957 St andardized Coef f icients Beta .785 .142 .015 t 4.217 10.135 1.939 .219 Sig. .000 .000 .057 .827 95% Conf idence Interv al f or B Lower Bound Upper Bound .006 .018 .096 .144 .000 .023 -1.700 2.119 Zero-order Correlations Part ial .857 .570 -.381 Part .776 .229 .027 Collinearity Statistics Tolerance VI F .617 .118 .013 .618 .688 .792 1.619 1.452 1.262 a. Dependent Variable: Expected Return APT 3. UNVR b Model Summary Change Statistics Model 1 R .836a R Square .699 Adjusted R Square .686 St d. Error of the Estim ate .02469 R Square Change .699 F Change 52.609 df 1 df 2 3 68 Sig. F Change .000 DurbinWat son 1.196 a. Predictors: (Const ant), P.Kurs, P.SBI, P.Inf lasi b. Dependent Variable: Expected Return APT a Coeffi ci ents Model 1 (Constant) P. Inf lasi P. SBI P. Kurs Unstandardized Coef f icients B St d. Error .007 .003 .080 .012 .021 .006 -1.992 .978 St andardized Coef f icients Beta .561 .284 -.152 t 2.232 6.628 3.543 -2.037 Sig. .029 .000 .001 .046 a. Dependent Variable: Expected Return APT 171 95% Conf idence Interv al f or B Lower Bound Upper Bound .001 .012 .056 .104 .009 .032 -3.943 -.041 Zero-order .785 .643 -.495 Correlations Part ial .626 .395 -.240 Part .441 .236 -.136 Collinearity Statistics Tolerance VI F .618 .688 .792 1.619 1.452 1.262
  • 185.
    4. KLBF b Model Summary ChangeStatistics Model 1 R .895a R Square .801 Adjusted R Square .792 St d. Error of the Estim ate .01804 R Square Change .801 F Change 90.952 df 1 df 2 3 68 DurbinWat son 1.682 Sig. F Change .000 a. Predictors: (Const ant), P.Kurs, P.SBI, P.Inf lasi b. Dependent Variable: Expected Return APT a Coeffi ci ents Model 1 (Constant) P. Inf lasi P. SBI P. Kurs Unstandardized Coef f icients B St d. Error .009 .002 .105 .009 .008 .004 -.237 .715 St andardized Coef f icients Beta .816 .116 -.020 t 4.052 11.840 1.784 -.331 Sig. .000 .000 .079 .741 95% Conf idence Interv al f or B Lower Bound Upper Bound .004 .013 .087 .122 -.001 .016 -1.662 1.189 Zero-order .889 .572 -.422 Correlations Part ial .821 .211 -.040 Part .641 .097 -.018 a. Dependent Variable: Expected Return APT 5. ANTM b Model Summary Change Statistics Model 1 R .880a R Square .774 Adjusted R Square .764 St d. Error of the Estimate .01956 R Square Change .774 F Change 77.743 a. Predictors: (Const ant), P.Kurs, P.SBI, P.Inf lasi b. Dependent Variable: Expected Return APT 172 df 1 df 2 3 68 Sig. F Change .000 DurbinWat son 1.758 Collinearity Statistics Tolerance VI F .618 .688 .792 1.619 1.452 1.262
  • 186.
    a Coeffi ci ents Model 1 (Constant) P.Inf lasi P. SBI P. Kurs Unstandardized Coef f icients B St d. Error .007 .002 .107 .010 .007 .005 -.096 .775 St andardized Coef f icients Beta .815 .103 -.008 t 2.953 11.121 1.485 -.123 Sig. .004 .000 .142 .902 95% Conf idence Interv al f or B Lower Bound Upper Bound .002 .012 .087 .126 -.002 .016 -1.641 1.450 Zero-order .876 .555 -.405 Correlations Part ial .803 .177 -.015 Collinearity Statistics Tolerance VI F Part .641 .086 -.007 .618 .688 .792 1.619 1.452 1.262 a. Dependent Variable: Expected Return APT 6. UNTR b Model Summary Change Statistics Model 1 R .880a R Square .774 Adjusted R Square .764 St d. Error of the Estimate .01761 R Square Change .774 F Change 77.616 df 1 df 2 3 68 DurbinWat son 1.660 Sig. F Change .000 a. Predictors: (Const ant), P.Kurs, P.SBI, P.Inf lasi b. Dependent Variable: Expected Return APT a Coeffi ci ents Model 1 (Constant) P. Inf lasi P. SBI P. Kurs Unstandardized Coef f icients B St d. Error .008 .002 .098 .009 .007 .004 .582 .698 St andardized Coef f icients Beta .830 .122 .054 t 3.990 11.315 1.756 .834 Sig. .000 .000 .084 .407 95% Conf idence Interv al f or B Lower Bound Upper Bound .004 .013 .080 .115 -.001 .016 -.810 1.974 a. Dependent Variable: Expected Return APT 173 Zero-order .873 .561 -.355 Correlations Part ial .808 .208 .101 Part .652 .101 .048 Collinearity Statistics Tolerance VI F .618 .688 .792 1.619 1.452 1.262