BY
DR. NUSRAT TARIQ
ASSOCIATE PROFESSOR
M.I.M.D.C
PHYSIOLOGY OF CALCIUM AND
PHOSPHATE METABOLISM
AND BONE PHYSIOLOGY
LEARNING OBJECTIVES
By the end of the lecture you should be able to :
1. Describe functions, distribution and
metabolism of calcium in human body.
2. Describe Bone physiology.
3. Explain hormonal regulation of calcium
metabolism
Physiological importance of
Calcium
• Calcium salts in bone provide structural integrity of
the skeleton
• Calcium ions in ECF and ICF are essential for:
– Neuoromuscular excitability
– Contraction of skeletal ,smooth & cardiac muscle
– Blood coagulation
– Hormonal secretion
– Enzymatic regulation
Physiological importance of
Phosphorous
Phosphorous is an essential mineral necessary
for:
• ATP,
• cAMP second messenger systems
CALCIUM CONCENTRATION IN ECF
ECF CALCIUM CONCENTRATION = 9.4 mg/dl
= 2.4 mmol/L
CALCIUM: – 1100 gm.
– 1.5% OF BODY WEIGHT
Distribution
1. Skeleton (99%)
a. Rapidly Exchangeable
reservoir.
b. Stable calcium
2-Blood (1%) 9 – 10 mg%, 2.4 mmol per liter.
Present in three forms in the plasma:
50% ( 1.2 mmol/L) Diffusible and in ionized form (the physiologically active
form)
41% ( 1 mmol/L) bound to proteins (predominantly albumin) so not
diffusble
09% ( 0.2 mmol/L) Diffusble but complexed with anions (citrate, sulfate,
phosphate) so not ionized
Most of the calcium in the body exists as the mineral
hydroxyapatite, Ca10(PO4)6(OH)2.
Absorption and Excretion of Calcium and
Phosphate
• Intestinal Absorption of Calcium and Phosphate
• Fecal Excretion of Calcium and Phosphate
• Renal Excretion of Calcium and Phosphate
HORMONAL REGULATION OF
CALCIUM METABOLISM
PTH
VITAMIN D
CALCITONIN
ORGANS INVOLVED IN REGULATION
OF CALCIUM METABOLISM
BONE
PARATHYROID GLAND
KIDNEY
CALCIUM AND BONE
• 99% of Calcium is found in the bone.
• Most is found in hydroxyapatite crystals.
• Very little Ca2+ can be released from the
bone– though it is the major reservoir of Ca2+
in the body.
Structure of bones
Haversian canals within lamellae
Composition of Compact Bone
1. Organic Matrix (30%) –organic bone
- 90 to 95 % collagen fibers
- 05 to 10 % is ground substance ( composed of ECF plus
proteoglycans esp. chondroitin sulfate and hyaluronic acid
2. Bone Salts (70) –Inorganic bone
- crystalline salt is composed principally of calcium and
phosphate, known as Hydroxyapatite Ca10(PO4 )6(OH)2
Magnesium, sodium, potassium, and carbonate ions
are also present
Tensile and Compressional Strength of Bone
• Collagen fibers of bone have great tensile
strength
• Calcium salts have great compressional
strength
Bone cell types
Three types of bone cells:
• Osteoblasts:
Differentiated bone forming cells secrete bone matrix
on which Ca++ and PO precipitate.
• Osteocytes:
Mature bone cells enclosed in bone matrix.
• Osteoclasts:
Large multinucleated cell derived from monocytes
function is to resorb bone..
Bone calcification
• Active osteoblasts synthesize and extrude
collagen molecules.
• Collagen fibrils form arrays of an organic
matrix called the osetoid.
• Calcium phosphate is deposited in the osteoid
and becomes mineralized
• Mineralization is combination of CaP04, OH-,
and H2CO3
– hydroxyapatite.
Mineralization
• Requires adequate Calcium and phosphate
• Dependent on Vitamin D
• Alkaline phosphatase and osteocalcin (bone
gamma-carboxyglutamic acid-containing
protein) play roles in bone formation
• Their plasma levels are indicators of
osteoblast activity.
CONTROL OF BONE FORMATION
AND RESORPTION
• Bone resorption of Ca++ by two mechanims:
 osteocytic osteolysis is a rapid and transient effect
 osteoclasitic resorption which is slow and sustained.
Both are stimulated by PTH.
In the absence of hormonal regulation plasma Ca++ is
maintained at 6-7 mg/dL by this equilibrium.
Osteocytic osteolysis
• Transfer of calcium from canaliculi to ECF via
activity of osteocytes.
• Does not decrease bone mass.
• Removes calcium from most recently formed
crystals
• Happens quickly.
Bone resorption
• Does not merely extract calcium, it destroys
entire matrix of bone and diminishes bone mass.
• Cell responsible for resorption is the osteoclast.
Osteoclasts and Ca++ resorption
Deposition of Bone by the Osteoblast
Absorption of Bone by the Osteoclast
Deposition and Absorption of Bone
The Osteoclast send out villus-like projections toward the
bone.
The villi secrete:
1. proteolytic enzyme released from lysosome of the
osteoclast
2. several acids including lactic acid and citric acid,
released from the mitochondria and secretory
vesicles
Bone remodeling
• Endocrine signals to resting osteoblasts generate
paracrine signals to osteoclasts and precursors.
• Osteoclasts resorb an area of mineralized bone.
• Local macrophages clean up debris.
• Process reverses when osteoblasts and precursors
are recruited to site and generate new matrix.
• New matrix is minearilzed.
• New bone replaces previously resorbed bone.
Hormone Regulation Of
Calcium Metabolism
Hormonal Regulation Of
Calcium Metabolism
Vitamin D
PTH
Calcitonin
Organs involved in regulation of
calcium metabolism
Bone
Parathyroid gland
Kidney
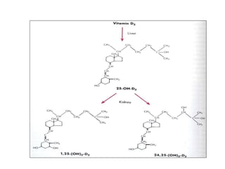
Vitamin D
• Vitamin D is a lipid soluble hormone
that binds to a typical nuclear
receptor
• Because it is lipid soluble, it travels in
the blood bound to hydroxylated a-
globulin.
Synthesis of Vitamin D
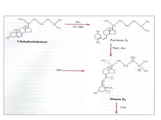
• Humans acquire vitamin D from two sources.
 produced in the skin (keratinocytes)by UV
radiation
 ingested in the diet.
• Vitamin D is not a classic hormone because it is
not produce and secreted by an endocrine
“gland.” Nor is it a true “vitamin” since it can be
synthesized de novo.
• PTH stimulates vitamin D synthesis. In the winter or
if exposure to sunlight is limited then dietary vitamin
D is essential.
• Vitamin D itself is inactive, it requires modification to
the active metabolite, 1,25-dihydroxy-D.
• The first hydroxylation reaction takes place in the
liver yielding 25-hydroxy D.
• Then 25-hydroxy D is transported to the kidney
where the second hydroxylation reaction takes place.
Synthesis of Vitamin D
• The mitochondrial P450 enzyme 1a-hydroxylase
converts it to 1,25-dihydroxy-D, the most potent
metabolite of Vitamin D.
• The 1a-hydroxylase enzyme is the point of regulation
of D synthesis.
• Feedback regulation by 1,25-dihydroxy D inhibits this
enzyme.
• PTH stimulates 1a-hydroxylase and increases 1,25-
dihydroxy D.
Synthesis of Vitamin D
• 25-OH-D3 is also hydroxylated in the 24 position
which inactivates it.
• If excess 1,25-(OH)2-D is produced, it can also be 24-
hydroxylated to remove it.
• Phosphate inhibits 1a-hydroxylase and decreased
levels of PO4 stimulate 1a-hydroxylase activity
Synthesis of Vitamin D
Vitamin D
• Vitamin D, after its activation to the hormone
1,25-dihydroxy Vitamin D3 is a principal
regulator of Ca++.
• Vitamin D increases Ca++ absorption from the
intestine and Ca++ resorption from the bone .
Vitamin D action
“Hormonal” Effect of Vitamin D to Promote Intestinal
Calcium Absorption.
• The main action of 1,25-(OH)2-D is to stimulate
absorption of Ca2+ from the intestine.
• 1,25-(OH)2-D induces the production of calcium
binding proteins which sequester Ca2+, buffer high
Ca2+ concentrations that arise during initial
absorption and allow Ca2+ to be absorbed against a
high Ca2+ gradient
Vitamin D Promotes Phosphate
Absorption by the Intestines.
Vitamin D Decreases Renal
Calcium and Phosphate Excretion.
Vitamin D Actions on Bones
• Another important target for 1,25-(OH)2-D is the
bone.
• Osteoblasts, but not osteoclasts have vitamin D
receptors.
• 1,25-(OH)2-D acts on osteoblasts which produce a
paracrine signal that activates osteoclasts to resorb
Ca++ from the bone matrix.
• 1,25-(OH)2-D also stimulates osteocytic osteolysis.
Vitamin D and Bones
• Proper bone formation is stimulated by 1,25-
(OH)2-D.
• In its absence, excess osteoid accumulates
from lack of 1,25-(OH)2-D repression of
osteoblastic collagen synthesis.
• Inadequate supply of vitamin D results in
rickets, a disease of bone deformation
SUMMARY OF FUNCTION OF VITAMIN D
• TISSUE SPECIFICITY
– GUT
• STIMULATE TRANSEPITHELIAL TRANSPORT OF CALCIUM AND PHOSPHATE
IN THE SMALL INTESTINE (PRINCIPALLY DUODENUM)
– BONE
• STIMULATE TERMINAL DIFFERENTIATION OF OSTEOCLASTS
• STIMULATE OSTEOBLASTS TO STIMULATE OSTEOCLASTS TO MOBILIZE
CALCIUM
– PARATHYROID
• INHIBIT TRANSCRIPTION OF THE PTH GENE (FEEDBACK REGULATION)
PARATHYROID HORMONE
Parathyroid Hormone
• Synthesized and secreted by the parathyroid
gland which lie posterior to the thyroid glands.
• The blood supply to the parathyroid glands is
from the thyroid arteries.
• The Chief Cells in the parathyroid gland are
the principal site of PTH synthesis.
Synthesis of PTH
• PTH is translated as a pre-prohormone.
• Cleavage of leader and pro-sequences yield a
biologically active peptide of 84 aa.
• Cleavage of C-terminal end yields a
biologically inactive peptide.
Regulation of PTH
• The dominant regulator of PTH is plasma Ca2+.
• Secretion of PTH is inversely related to [Ca2+].
• Maximum secretion of PTH occurs at plasma
Ca2+ below 3.5 mg/dL.
• At Ca2+ above 5.5 mg/dL, PTH secretion is
maximally inhibited.
Calcium regulates PTH
Calcium
regulates
PTH
secretion
• PTH secretion responds to small alterations in plasma
Ca2+ within seconds.
• A unique calcium receptor within the parathyroid cell
plasma membrane senses changes in the
extracellular fluid concentration of Ca2+.
• This is a typical G-protein coupled receptor that
activates phospholipase C and inhibits adenylate
cyclase—result is increase in intracellular Ca2+ via
generation of inositol phosphates and decrease in
cAMP which prevents exocytosis of PTH from
secretory granules.
Regulation of PTH
• When Ca2+ falls, cAMP rises and PTH is
secreted.
• 1,25-(OH)2-D inhibits PTH gene expression,
providing another level of feedback control of
PTH.
• Despite close connection between Ca2+ and
PO4, no direct control of PTH is exerted by
phosphate levels.
Regulation of PTH
PTH actions
Action of PTH is to:
• increase plasma Ca++ levels
• decrease plasma phosphate levels.
PTH actions
PTH acts directly on:
• the bones to stimulate Ca++ resorption and
• kidney to stimulate Ca++ reabsorption in the distal
tubule of the kidney and to inhibit reabsorptioin of
phosphate (thereby stimulating its excretion).
PTH acts indirectly on:
intestine by stimulating 1,25-(OH)2-D synthesis.
ACTIONS OF PTH ON TARGET ORGANS
1. BONES OR SKELETON
Calcium and Phosphate absorption from bones
a. Rapid Phase – osteolysis
b. Slow Phase – activation of osteoclasts
1. immediate activation of osteoclasts that are already formed
2. formation of new osteoclasts from osteoprogenator cells
2. INTESTINES
Enhances both Ca and PO4 absorption from the intestines by increasing
formation of 1, 25 dihydroxycholecalciferol
3. KIDNEYS
a. Increased renal tubular reabsorption of calcium in the distal tubules and
collecting ducts
b. diminished proximal tubular reabsorption of PO4
1. Blood Calcium and Phosphate
a. Hypercalcemia
b. Hypophosphatemia
2. Urine
a. Hypocalciuria
b. Hyperphosphatemia - phosphaturic
Cyclic Adenosine Monophosphate
Mediates the Effects of PTH
PTH,
Calcium &
Phosphate
Calcitonin
• Calcitonin is synthesized and secreted by the
parafollicular cells of the thyroid gland.
• They are distinct from thyroid follicular cells by their
large size, pale cytoplasm, and small secretory
granules.
• Calcitonin acts to decrease plasma Ca++ levels.
• While PTH and vitamin D act to increase plasma Ca++-
- only calcitonin causes a decrease in plasma Ca++.
• The major stimulus of calcitonin secretion is a
rise in plasma Ca++ levels
• Calcitonin is a physiological antagonist to PTH
with regard to Ca++ homeostasis
Calcitonin
• The target cell for calcitonin is the osteoclast.
• Calcitonin acts via increased cAMP
concentrations to inhibit osteoclast motility
and cell shape and inactivates them.
• The major effect of calcitonin administration is
a rapid fall in Ca2+ caused by inhibition of bone
resorption.
Calcitonin
• Chronic excess of calcitonin does not produce
hypocalcemia and removal of parafollicular
cells does not cause hypercalcemia. PTH and
Vitamin D3 regulation dominate.
• May be more important in regulating bone
remodeling than in Ca2+ homeostasis.
Calcitonin

Ca metabolism and bone physiology

  • 1.
    BY DR. NUSRAT TARIQ ASSOCIATEPROFESSOR M.I.M.D.C PHYSIOLOGY OF CALCIUM AND PHOSPHATE METABOLISM AND BONE PHYSIOLOGY
  • 2.
    LEARNING OBJECTIVES By theend of the lecture you should be able to : 1. Describe functions, distribution and metabolism of calcium in human body. 2. Describe Bone physiology. 3. Explain hormonal regulation of calcium metabolism
  • 3.
    Physiological importance of Calcium •Calcium salts in bone provide structural integrity of the skeleton • Calcium ions in ECF and ICF are essential for: – Neuoromuscular excitability – Contraction of skeletal ,smooth & cardiac muscle – Blood coagulation – Hormonal secretion – Enzymatic regulation
  • 4.
    Physiological importance of Phosphorous Phosphorousis an essential mineral necessary for: • ATP, • cAMP second messenger systems
  • 5.
    CALCIUM CONCENTRATION INECF ECF CALCIUM CONCENTRATION = 9.4 mg/dl = 2.4 mmol/L CALCIUM: – 1100 gm. – 1.5% OF BODY WEIGHT
  • 6.
  • 7.
    1. Skeleton (99%) a.Rapidly Exchangeable reservoir. b. Stable calcium
  • 8.
    2-Blood (1%) 9– 10 mg%, 2.4 mmol per liter. Present in three forms in the plasma: 50% ( 1.2 mmol/L) Diffusible and in ionized form (the physiologically active form) 41% ( 1 mmol/L) bound to proteins (predominantly albumin) so not diffusble 09% ( 0.2 mmol/L) Diffusble but complexed with anions (citrate, sulfate, phosphate) so not ionized Most of the calcium in the body exists as the mineral hydroxyapatite, Ca10(PO4)6(OH)2.
  • 10.
    Absorption and Excretionof Calcium and Phosphate • Intestinal Absorption of Calcium and Phosphate • Fecal Excretion of Calcium and Phosphate • Renal Excretion of Calcium and Phosphate
  • 12.
    HORMONAL REGULATION OF CALCIUMMETABOLISM PTH VITAMIN D CALCITONIN
  • 13.
    ORGANS INVOLVED INREGULATION OF CALCIUM METABOLISM BONE PARATHYROID GLAND KIDNEY
  • 14.
    CALCIUM AND BONE •99% of Calcium is found in the bone. • Most is found in hydroxyapatite crystals. • Very little Ca2+ can be released from the bone– though it is the major reservoir of Ca2+ in the body.
  • 15.
    Structure of bones Haversiancanals within lamellae
  • 16.
    Composition of CompactBone 1. Organic Matrix (30%) –organic bone - 90 to 95 % collagen fibers - 05 to 10 % is ground substance ( composed of ECF plus proteoglycans esp. chondroitin sulfate and hyaluronic acid 2. Bone Salts (70) –Inorganic bone - crystalline salt is composed principally of calcium and phosphate, known as Hydroxyapatite Ca10(PO4 )6(OH)2 Magnesium, sodium, potassium, and carbonate ions are also present
  • 17.
    Tensile and CompressionalStrength of Bone • Collagen fibers of bone have great tensile strength • Calcium salts have great compressional strength
  • 18.
    Bone cell types Threetypes of bone cells: • Osteoblasts: Differentiated bone forming cells secrete bone matrix on which Ca++ and PO precipitate. • Osteocytes: Mature bone cells enclosed in bone matrix. • Osteoclasts: Large multinucleated cell derived from monocytes function is to resorb bone..
  • 19.
    Bone calcification • Activeosteoblasts synthesize and extrude collagen molecules. • Collagen fibrils form arrays of an organic matrix called the osetoid. • Calcium phosphate is deposited in the osteoid and becomes mineralized • Mineralization is combination of CaP04, OH-, and H2CO3 – hydroxyapatite.
  • 20.
    Mineralization • Requires adequateCalcium and phosphate • Dependent on Vitamin D • Alkaline phosphatase and osteocalcin (bone gamma-carboxyglutamic acid-containing protein) play roles in bone formation • Their plasma levels are indicators of osteoblast activity.
  • 21.
    CONTROL OF BONEFORMATION AND RESORPTION • Bone resorption of Ca++ by two mechanims:  osteocytic osteolysis is a rapid and transient effect  osteoclasitic resorption which is slow and sustained. Both are stimulated by PTH. In the absence of hormonal regulation plasma Ca++ is maintained at 6-7 mg/dL by this equilibrium.
  • 22.
    Osteocytic osteolysis • Transferof calcium from canaliculi to ECF via activity of osteocytes. • Does not decrease bone mass. • Removes calcium from most recently formed crystals • Happens quickly.
  • 23.
    Bone resorption • Doesnot merely extract calcium, it destroys entire matrix of bone and diminishes bone mass. • Cell responsible for resorption is the osteoclast.
  • 24.
  • 25.
    Deposition of Boneby the Osteoblast Absorption of Bone by the Osteoclast Deposition and Absorption of Bone The Osteoclast send out villus-like projections toward the bone. The villi secrete: 1. proteolytic enzyme released from lysosome of the osteoclast 2. several acids including lactic acid and citric acid, released from the mitochondria and secretory vesicles
  • 26.
    Bone remodeling • Endocrinesignals to resting osteoblasts generate paracrine signals to osteoclasts and precursors. • Osteoclasts resorb an area of mineralized bone. • Local macrophages clean up debris. • Process reverses when osteoblasts and precursors are recruited to site and generate new matrix. • New matrix is minearilzed. • New bone replaces previously resorbed bone.
  • 29.
  • 30.
    Hormonal Regulation Of CalciumMetabolism Vitamin D PTH Calcitonin
  • 31.
    Organs involved inregulation of calcium metabolism Bone Parathyroid gland Kidney
  • 32.
    Vitamin D • VitaminD is a lipid soluble hormone that binds to a typical nuclear receptor • Because it is lipid soluble, it travels in the blood bound to hydroxylated a- globulin.
  • 34.
    Synthesis of VitaminD • Humans acquire vitamin D from two sources.  produced in the skin (keratinocytes)by UV radiation  ingested in the diet. • Vitamin D is not a classic hormone because it is not produce and secreted by an endocrine “gland.” Nor is it a true “vitamin” since it can be synthesized de novo.
  • 35.
    • PTH stimulatesvitamin D synthesis. In the winter or if exposure to sunlight is limited then dietary vitamin D is essential. • Vitamin D itself is inactive, it requires modification to the active metabolite, 1,25-dihydroxy-D. • The first hydroxylation reaction takes place in the liver yielding 25-hydroxy D. • Then 25-hydroxy D is transported to the kidney where the second hydroxylation reaction takes place. Synthesis of Vitamin D
  • 36.
    • The mitochondrialP450 enzyme 1a-hydroxylase converts it to 1,25-dihydroxy-D, the most potent metabolite of Vitamin D. • The 1a-hydroxylase enzyme is the point of regulation of D synthesis. • Feedback regulation by 1,25-dihydroxy D inhibits this enzyme. • PTH stimulates 1a-hydroxylase and increases 1,25- dihydroxy D. Synthesis of Vitamin D
  • 37.
    • 25-OH-D3 isalso hydroxylated in the 24 position which inactivates it. • If excess 1,25-(OH)2-D is produced, it can also be 24- hydroxylated to remove it. • Phosphate inhibits 1a-hydroxylase and decreased levels of PO4 stimulate 1a-hydroxylase activity Synthesis of Vitamin D
  • 38.
    Vitamin D • VitaminD, after its activation to the hormone 1,25-dihydroxy Vitamin D3 is a principal regulator of Ca++. • Vitamin D increases Ca++ absorption from the intestine and Ca++ resorption from the bone .
  • 42.
    Vitamin D action “Hormonal”Effect of Vitamin D to Promote Intestinal Calcium Absorption. • The main action of 1,25-(OH)2-D is to stimulate absorption of Ca2+ from the intestine. • 1,25-(OH)2-D induces the production of calcium binding proteins which sequester Ca2+, buffer high Ca2+ concentrations that arise during initial absorption and allow Ca2+ to be absorbed against a high Ca2+ gradient
  • 43.
    Vitamin D PromotesPhosphate Absorption by the Intestines. Vitamin D Decreases Renal Calcium and Phosphate Excretion.
  • 44.
    Vitamin D Actionson Bones • Another important target for 1,25-(OH)2-D is the bone. • Osteoblasts, but not osteoclasts have vitamin D receptors. • 1,25-(OH)2-D acts on osteoblasts which produce a paracrine signal that activates osteoclasts to resorb Ca++ from the bone matrix. • 1,25-(OH)2-D also stimulates osteocytic osteolysis.
  • 45.
    Vitamin D andBones • Proper bone formation is stimulated by 1,25- (OH)2-D. • In its absence, excess osteoid accumulates from lack of 1,25-(OH)2-D repression of osteoblastic collagen synthesis. • Inadequate supply of vitamin D results in rickets, a disease of bone deformation
  • 46.
    SUMMARY OF FUNCTIONOF VITAMIN D • TISSUE SPECIFICITY – GUT • STIMULATE TRANSEPITHELIAL TRANSPORT OF CALCIUM AND PHOSPHATE IN THE SMALL INTESTINE (PRINCIPALLY DUODENUM) – BONE • STIMULATE TERMINAL DIFFERENTIATION OF OSTEOCLASTS • STIMULATE OSTEOBLASTS TO STIMULATE OSTEOCLASTS TO MOBILIZE CALCIUM – PARATHYROID • INHIBIT TRANSCRIPTION OF THE PTH GENE (FEEDBACK REGULATION)
  • 47.
  • 49.
    Parathyroid Hormone • Synthesizedand secreted by the parathyroid gland which lie posterior to the thyroid glands. • The blood supply to the parathyroid glands is from the thyroid arteries. • The Chief Cells in the parathyroid gland are the principal site of PTH synthesis.
  • 50.
    Synthesis of PTH •PTH is translated as a pre-prohormone. • Cleavage of leader and pro-sequences yield a biologically active peptide of 84 aa. • Cleavage of C-terminal end yields a biologically inactive peptide.
  • 51.
    Regulation of PTH •The dominant regulator of PTH is plasma Ca2+. • Secretion of PTH is inversely related to [Ca2+]. • Maximum secretion of PTH occurs at plasma Ca2+ below 3.5 mg/dL. • At Ca2+ above 5.5 mg/dL, PTH secretion is maximally inhibited.
  • 52.
  • 53.
  • 54.
    • PTH secretionresponds to small alterations in plasma Ca2+ within seconds. • A unique calcium receptor within the parathyroid cell plasma membrane senses changes in the extracellular fluid concentration of Ca2+. • This is a typical G-protein coupled receptor that activates phospholipase C and inhibits adenylate cyclase—result is increase in intracellular Ca2+ via generation of inositol phosphates and decrease in cAMP which prevents exocytosis of PTH from secretory granules. Regulation of PTH
  • 55.
    • When Ca2+falls, cAMP rises and PTH is secreted. • 1,25-(OH)2-D inhibits PTH gene expression, providing another level of feedback control of PTH. • Despite close connection between Ca2+ and PO4, no direct control of PTH is exerted by phosphate levels. Regulation of PTH
  • 56.
    PTH actions Action ofPTH is to: • increase plasma Ca++ levels • decrease plasma phosphate levels.
  • 57.
    PTH actions PTH actsdirectly on: • the bones to stimulate Ca++ resorption and • kidney to stimulate Ca++ reabsorption in the distal tubule of the kidney and to inhibit reabsorptioin of phosphate (thereby stimulating its excretion). PTH acts indirectly on: intestine by stimulating 1,25-(OH)2-D synthesis.
  • 58.
    ACTIONS OF PTHON TARGET ORGANS 1. BONES OR SKELETON Calcium and Phosphate absorption from bones a. Rapid Phase – osteolysis b. Slow Phase – activation of osteoclasts 1. immediate activation of osteoclasts that are already formed 2. formation of new osteoclasts from osteoprogenator cells 2. INTESTINES Enhances both Ca and PO4 absorption from the intestines by increasing formation of 1, 25 dihydroxycholecalciferol 3. KIDNEYS a. Increased renal tubular reabsorption of calcium in the distal tubules and collecting ducts b. diminished proximal tubular reabsorption of PO4
  • 59.
    1. Blood Calciumand Phosphate a. Hypercalcemia b. Hypophosphatemia 2. Urine a. Hypocalciuria b. Hyperphosphatemia - phosphaturic
  • 60.
  • 63.
  • 64.
    Calcitonin • Calcitonin issynthesized and secreted by the parafollicular cells of the thyroid gland. • They are distinct from thyroid follicular cells by their large size, pale cytoplasm, and small secretory granules. • Calcitonin acts to decrease plasma Ca++ levels. • While PTH and vitamin D act to increase plasma Ca++- - only calcitonin causes a decrease in plasma Ca++.
  • 65.
    • The majorstimulus of calcitonin secretion is a rise in plasma Ca++ levels • Calcitonin is a physiological antagonist to PTH with regard to Ca++ homeostasis Calcitonin
  • 66.
    • The targetcell for calcitonin is the osteoclast. • Calcitonin acts via increased cAMP concentrations to inhibit osteoclast motility and cell shape and inactivates them. • The major effect of calcitonin administration is a rapid fall in Ca2+ caused by inhibition of bone resorption. Calcitonin
  • 67.
    • Chronic excessof calcitonin does not produce hypocalcemia and removal of parafollicular cells does not cause hypercalcemia. PTH and Vitamin D3 regulation dominate. • May be more important in regulating bone remodeling than in Ca2+ homeostasis. Calcitonin

Editor's Notes

  • #22  Both are stimulated by PTH. CaPO4 precipitates out of solution , its solubility is exceeded. The solubility is defined by the equilibrium equation: Ksp = [Ca2+]3[PO43-]2. In the absence of hormonal regulation plasma Ca++ is maintained at 6-7 mg/dL by this equilibrium.