Bisection theorem analysis
State and prove the Bisection theorem
Find the error bound of the Bisection method
Presented by;
Hamza Nawaz CU-369-2017
Tauseef Ullah CU-358-2017
Salman Khan CU-384-2017
Waqar Ahmad CU-373-2017
Supervisor;
Madam Nudrat
Bisection Method a quick overview
 Given a continuous function f (𝜘) on the interval [a , b] with
 f (a) ∙ f (b) < 0, there must be a root in (a, b).
 To find a root: set [𝑎1 , 𝑏1] = [a , b].
 Set 𝑐1 =
𝑎1+𝑏1
2
and compute f (𝑐1).
i. If f (𝑐1) = 0, then quit with root 𝑐1 (must be very lucky.)
ii. If (f (𝑎1) ∙ f (𝑐1) < 0), then set [𝑎2 , 𝑏2] = [𝑎1 , 𝑐1],
iii. Otherwise (f (𝑐1) ∙ f (𝑏1) < 0) set [𝑎2 , 𝑏2] = [𝑐1 , 𝑏1],
 Repeat with 𝑐2 =
𝑎2+𝑏2
2
State and prove the Bisection theorem
• Statement:
 A function f (𝜘) is continuous on an interval [a, b]
 such that f (a) and f (b) have opposite sign, and
 the equation f (𝜘) = 0 has a real root 𝛼 in (a, b).
 If 𝑐 𝑛
∞
𝑛=0 is the sequence of midpoints of the intervals (which
brackets the root 𝛼), generated by the Bisection method then,
𝛼 − 𝑐 𝑛 ≤
𝑏 − 𝑎
2 𝑛+1 𝑓𝑜𝑟 𝑛 = 0,1,2, … …
 Further, the sequence 𝑐 𝑛
∞
𝑛=0 converges to the root 𝛼 :
lim
𝑛→∞
𝑐 𝑛 = 𝛼
 If there exists a root 𝛼 in the interval [a, b], then the distance
between any point 𝜘 in the interval [a, b] and the root is not
greater than the length of the interval, i.e.,
𝛼 − 𝜘 ≤ 𝑏 − 𝑎
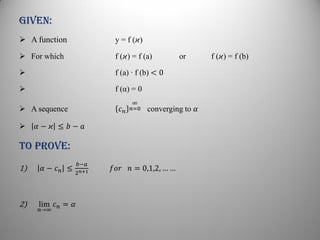
Given:
 A function y = f (𝜘)
 For which f (𝜘) = f (a) or f (𝜘) = f (b)
 f (a) ∙ f (b) < 0
 f (α) = 0
 A sequence 𝑐 𝑛
∞
𝑛=0 converging to 𝛼
 𝛼 − 𝜘 ≤ 𝑏 − 𝑎
To prove:
1) 𝛼 − 𝑐 𝑛 ≤
𝑏−𝑎
2 𝑛+1 𝑓𝑜𝑟 𝑛 = 0,1,2, … …
2) lim
𝑛→∞
𝑐 𝑛 = 𝛼
• Proof:
 If L denotes the length of the recent root-bracketing interval
obtained by the Bisection method then
after first iteration, 𝐿1 =
1
2
𝑏 − 𝑎 =
𝑏−𝑎
2
and so on,
after nth iteration, 𝐿 𝑛 =
1
2
𝑏−𝑎
2 𝑛−1 =
𝑏−𝑎
2 𝑛
 Thus, any point 𝜘 in the root-bracketing interval after nth iteration is
not farther from the root than the length of the interval. That is,
𝛼 − 𝜘 ≤
𝑏 − 𝑎
2 𝑛
 Specifically, if 𝜘 = 𝑐 𝑛is the mid point of the most recent interval,
then the root 𝛼 is lying on either side of 𝑐 𝑛. Therefore,
𝛼 − 𝑐 𝑛 ≤ half of the length of the interval =
1
2
𝑏 − 𝑎
2 𝑛
𝛼 − 𝑐 𝑛 =
𝑏 − 𝑎
2 𝑛+1
Hence proved.
 This relation serves as the absolute error bound (maximum absolute
error) for the Bisection method.
Find the error bound of the Bisection method
 Let 𝜀 𝑛 denotes the error 𝛼 − 𝑐 𝑛. Assuming the error 𝜀 𝑛 after nth
iteration be equal to the maximum absolute error, then
𝜀 𝑛 =
𝑏 − 𝑎
2 𝑛+1
𝜀 𝑛 =
1
2
𝑏 − 𝑎
2 𝑛
=
1
22
𝑏 − 𝑎
2 𝑛−1
… =
1
2 𝑛
𝑏 − 𝑎
21
𝜀 𝑛 =
1
2 𝑛 𝜀0
 Note that, the right hand side of this relation would tend to be
zero as n becomes large.
 Hence, the error 𝜀 𝑛 approaches zero. That is,
lim
𝑛→∞
ℇ 𝑛 = lim
𝑛→∞
𝛼 − 𝑐 𝑛 = 0
lim
𝑛→∞
𝑐 𝑛 = 𝛼
Hence proved.
 Clearly, the Bisection method always converges.
Questions are welcome
AlhamdULilah

Bisection theorem proof and convergence analysis

  • 2.
    Bisection theorem analysis Stateand prove the Bisection theorem Find the error bound of the Bisection method
  • 3.
    Presented by; Hamza NawazCU-369-2017 Tauseef Ullah CU-358-2017 Salman Khan CU-384-2017 Waqar Ahmad CU-373-2017 Supervisor; Madam Nudrat
  • 4.
    Bisection Method aquick overview  Given a continuous function f (𝜘) on the interval [a , b] with  f (a) ∙ f (b) < 0, there must be a root in (a, b).  To find a root: set [𝑎1 , 𝑏1] = [a , b].  Set 𝑐1 = 𝑎1+𝑏1 2 and compute f (𝑐1). i. If f (𝑐1) = 0, then quit with root 𝑐1 (must be very lucky.) ii. If (f (𝑎1) ∙ f (𝑐1) < 0), then set [𝑎2 , 𝑏2] = [𝑎1 , 𝑐1], iii. Otherwise (f (𝑐1) ∙ f (𝑏1) < 0) set [𝑎2 , 𝑏2] = [𝑐1 , 𝑏1],  Repeat with 𝑐2 = 𝑎2+𝑏2 2
  • 6.
    State and provethe Bisection theorem • Statement:  A function f (𝜘) is continuous on an interval [a, b]  such that f (a) and f (b) have opposite sign, and  the equation f (𝜘) = 0 has a real root 𝛼 in (a, b).  If 𝑐 𝑛 ∞ 𝑛=0 is the sequence of midpoints of the intervals (which brackets the root 𝛼), generated by the Bisection method then, 𝛼 − 𝑐 𝑛 ≤ 𝑏 − 𝑎 2 𝑛+1 𝑓𝑜𝑟 𝑛 = 0,1,2, … …
  • 7.
     Further, thesequence 𝑐 𝑛 ∞ 𝑛=0 converges to the root 𝛼 : lim 𝑛→∞ 𝑐 𝑛 = 𝛼  If there exists a root 𝛼 in the interval [a, b], then the distance between any point 𝜘 in the interval [a, b] and the root is not greater than the length of the interval, i.e., 𝛼 − 𝜘 ≤ 𝑏 − 𝑎
  • 8.
    Given:  A functiony = f (𝜘)  For which f (𝜘) = f (a) or f (𝜘) = f (b)  f (a) ∙ f (b) < 0  f (α) = 0  A sequence 𝑐 𝑛 ∞ 𝑛=0 converging to 𝛼  𝛼 − 𝜘 ≤ 𝑏 − 𝑎 To prove: 1) 𝛼 − 𝑐 𝑛 ≤ 𝑏−𝑎 2 𝑛+1 𝑓𝑜𝑟 𝑛 = 0,1,2, … … 2) lim 𝑛→∞ 𝑐 𝑛 = 𝛼
  • 10.
    • Proof:  IfL denotes the length of the recent root-bracketing interval obtained by the Bisection method then after first iteration, 𝐿1 = 1 2 𝑏 − 𝑎 = 𝑏−𝑎 2 and so on, after nth iteration, 𝐿 𝑛 = 1 2 𝑏−𝑎 2 𝑛−1 = 𝑏−𝑎 2 𝑛  Thus, any point 𝜘 in the root-bracketing interval after nth iteration is not farther from the root than the length of the interval. That is, 𝛼 − 𝜘 ≤ 𝑏 − 𝑎 2 𝑛
  • 11.
     Specifically, if𝜘 = 𝑐 𝑛is the mid point of the most recent interval, then the root 𝛼 is lying on either side of 𝑐 𝑛. Therefore, 𝛼 − 𝑐 𝑛 ≤ half of the length of the interval = 1 2 𝑏 − 𝑎 2 𝑛 𝛼 − 𝑐 𝑛 = 𝑏 − 𝑎 2 𝑛+1 Hence proved.  This relation serves as the absolute error bound (maximum absolute error) for the Bisection method.
  • 12.
    Find the errorbound of the Bisection method  Let 𝜀 𝑛 denotes the error 𝛼 − 𝑐 𝑛. Assuming the error 𝜀 𝑛 after nth iteration be equal to the maximum absolute error, then 𝜀 𝑛 = 𝑏 − 𝑎 2 𝑛+1 𝜀 𝑛 = 1 2 𝑏 − 𝑎 2 𝑛 = 1 22 𝑏 − 𝑎 2 𝑛−1 … = 1 2 𝑛 𝑏 − 𝑎 21 𝜀 𝑛 = 1 2 𝑛 𝜀0
  • 13.
     Note that,the right hand side of this relation would tend to be zero as n becomes large.  Hence, the error 𝜀 𝑛 approaches zero. That is, lim 𝑛→∞ ℇ 𝑛 = lim 𝑛→∞ 𝛼 − 𝑐 𝑛 = 0 lim 𝑛→∞ 𝑐 𝑛 = 𝛼 Hence proved.  Clearly, the Bisection method always converges.
  • 14.
  • 15.