Aljabar Linear Elementer 2 Page 1
KEMENTERIAN PENDIDIKAN DAN KEBUDAYAAN
UNIVERSITAS NEGERI SEMARANG (UNNES)
Kantor: Gedung H lt 4 Kampus, Sekaran, Gunungpati, Semarang 50229
Rektor: (024)8508081 Fax (024)8508082, Purek I: (024) 8508001 Website:
www.unnes.ac.id - E-mail: unnes@unnes.ac.id
FORMULIR
FORMAT BAHAN AJAR
No. Dokumen
FM-02-AKD-07
No. Revisi
00
Hal
1 dari 1
Tanggal Terbit
1 September 2012
BAHAN AJAR
MATA KULIAH : ALJABAR LINEAR ELEMENTER 2
SEMESTER : GENAP 2013-2014
PROGRAM STUDI PENDIDIKAN MATEMATIKA
FAKULTAS MATEMATIKA DAN ILMU PENGETAHUAN ALAM
UNIVERSITAS NEGERI SEMARANG
TAHUN 2013-2014
Aljabar Linear Elementer 2 Page 2
BAB 1 PENDAHULUAN
A. Deskripsi :
Meliputi ruang vektor, basis dan dimensi, ruang baris dan ruang kolom, ruang
perkalian dalam, basis orthogonal dan basis ortonormal, proses Gram-Schmidt,
koordinat dan perubahan basis, transformasi linear dan sifat-sifatnya, nilai
karakteristik, vektor karakteristik dan diagonalisasi. Materi disajikan dengan
memperhatikan nilai demokratis, logis, kritis, kreatif dan santun. Tugas-tugas
dikerjakan dengan kerja keras penuh kejujuran dan tanggung jawab.
B. Prasyarat :
Telah mengambil mata kuliah Aljabar Linear I yang mempelajari tentang sistem
persamaan linear, matriks, determinan dan vektor di R2
/R3
/Rn
.
C. Petunjuk Belajar
Harus paham tentang himpunan dan dapat mengenali anggota himpunan;
menggunakan logika berpikir yang runtut dalam mendalami teorema; banyak
berlatih dan teliti.
D. Capaian Pembelajaran/Kompetensi Mata Kuliah dan Indikator Kompetensi
Capaian Pembelajaran/Kompetensi Mata Kuliah :
Pada akhir perkuliahan ini, mahasiswa diharapkan dapat :
memahami dan menguasai konsep dasar Aljabar Linear mengenai ruang vektor,
transformasi linear dan diagonalisasi serta dapat menggunakannya dalam
menyelesaikan masalah-masalah yang terkait secara kritis, kreatif, logis dan jujur.
Aljabar Linear Elementer 2 Page 3
Indikator Kompetensi :
Pada akhir perkuliahan ini, mahasiswa diharapkan dapat :
memeriksa apakah suatu himpunan merupakan ruang vector atau bukan.
menggunakan sifat2 ruang vektor dalam pembuktian teorema
memeriksa apakah suatu himpunan bagian ruang vektor merupakan sub ruang
atau bukan.
menggunakan sifat2 sub ruang dalam pembuktian teorema
memeriksa apakah suatu himpunan merentang ruang vektor atau tidak
memeriksa apakah suatu himpunan bebas linear atau bergantung linear
menentukan basis utk suatu ruang vector
menentukan dimensi suatu ruang vector
menggunakan pengetian dan sifat2 merentang, bebas linear dan bergantung linear,
basis dan dimensi dalam pembuktian teorema
menjelaskan pengertian ruang baris dan ruang kolom suatu matriks.
menentukan basis untuk ruang baris dan ruang kolom suatu matriks
menentukan rank ruang baris dan ruang kolom suatu matriks
menggunakan pengertian dan sifat2 rang baris dan ruang kolom dalam
pembuktian teorema
memeriksa himpunan dengan suatu operasi merupakan ruang perkalian dalam
atau bukan
menentukan matriks transisi dari suatu basis ke basisi lain alam suatu ruang vector
menggunakan pengertian vektor koordinat dalm pembuktian teorema,
menentukan apakah suatu fungsi merupakan transformasi linear atau bukan
menentukan definisi fungsi yang merupakan transformasi linear
menggunakan pengertian transformasi linear dalam pembuktian teorema
menentukan kernel dan range dari suatu transformasi linear
menentukan basis untuk kernel dan range suatu transformasi linear
menentukan rank dan nullitas suatu transformasi linear
menggunakan pengertian kernel dan range dalam pembuktian teorema
menentukan polynomial karakteristik suatu matriks
menentukan nilai karakteristik suatu matriks
menetukan vector katakteristik untuk suatu nilai karakteristik tertentu
menemukan basis untuk ruang karakteristik.
Menggunakan pengertian nilai dan vektor eigen serta diagonalisasi dalam
pembuktian teorema
menentukan norm, sudaut dan jarak antara 2 vektor
menentukan himpunan yang orthogonal dan ortonormal
menggunakan pengertian ruang perkalian dalam dalam, ortogonal dan ortonormal
dalam pembuktian teorama
mengubah basis biasa menjadi basis orthogonal dan ortonormal dengan proses
Gram-Schmidt
menggunakan pengertian basis ortonormal dalam pembuktian teorema
menentukan koordinat vector relative terhadap basis
Aljabar Linear Elementer 2 Page 4
menentukan apakah suatu matriks dapat didiagonalkan atau tidak
menentukan dekomposisi matriks yang dapat didiagonalkan
Tujuan penulisan bahan ajar
Bahan ajar ini dimaksudkan untuk membantu mahasiswa dalam mengikuti
perkuliahan Aljabar Linear Elementer. Tujuan utama bahan ajar ini adalah menyajikan
materi Aljabar Linear Elementer sedemikian rupa sehingga mahasiswa yang
kemampuannya rata-rata dapat memahaminya dengan mudah.
Aljabar Linear Elementer 2 Page 5
MATERI AJAR
RUANG VEKTOR UMUM
A. RUANG VEKTOR
Pada perkuliahan Aljabar Linear Elementer 1 kita telah mempelajari vektor2 di
R2
, R3
maupun Rn
dengan operasi penjumlahan vektor dan perkalian vektor dengan
skalar.
Sekarang kita akan menyelidiki sifat2 kedua operasi tersebut terhadap vektor2 di R2
sbb. :
Misalkan u, v, w V dan k, l R maka berlaku :
1. u + v R2
2. u + v = v + u
3. ( u + v ) + w = u + ( v + w )
4. Ada elemen identitas yaitu vektor 0 V sedemikian sehingga 0 + u = u + 0 = u
5. Untuk setiap u V, ada –u V sedemikian sehingga u + -u = -u + u = 0
6. ku R2
7. k ( u + v ) = ku + kv
8. ( k + l ) u = ku + lu
9. ( kl ) u = k ( lu )
10. 1.u = u
Analog, sifat2 tersebut juga berlaku pada R3
maupun Rn
.
Karena R2
/R3
/Rn
dengan operasi penjumlahan dan perkalian dengan skalar memenuhi 10
sifat di atas, maka R2
/R3
/Rn
disebut ruang vektor.
Berikut ini akan didefinisikan secara formal ruang vektor umum.
Definisi :
Misalkan V sebarang humpunan yang tak kosong dengan operasi penjumlahan dan
perkalian dengan skalar yang terdefinisi pada semua anggota V dan semua skalar di R, V
disebut ruang vektor jika untuk setiap u, v, w V dan k, l R berlaku :
1. u + v V
2. u + v = v + u
Aljabar Linear Elementer 2 Page 6
3. ( u + v ) + w = u + ( v + w )
4. Ada elemen identitas yaitu vektor 0 V sedemikian sehingga 0 + u = u + 0 = u
5. Untuk setiap u V, ada –u V sedemikian sehingga u + -u = -u + u = 0
6. ku V
7. k ( u + v ) = ku + kv
8. ( k + l ) u = ku + lu
9. ( kl ) u = k ( lu )
10. 1.u = u
Anggota dari suatu ruang vector disebut vector
Contoh 1 :
Misalkan P2 = { ax2
+ bx + c a, b, c R }. Jika u, v P2 dengan u = a2x2
+ a1x + a0
dan v = b2x2
+ b1x + b0 dan k skalar di R, operasi penjumlahan dan perkalian dengan
skalar yang didefinisikan sbb :
u + v = (a2 + b2) x2
+ (a1 + b1) x + (a0 + b0) dan
ku = ka2 x2
+ ka1 x + ka0
Dengan operasi tersebut maka P2 merupakan ruang vektor.
Contoh 2 :
Misal V adalah himpunan fungsi real yang didefinisikan pada bilangan real ( - , )
dengan f = f(x) dan g = g(x) adalah 2 fungsi di V serta k suatu bilangan real. Jika operasi
penjumlahan dan perkalian dengan skalar didefinisikan sbb :
( f + g ) (x) = f(x) + g(x) dan
( kf ) (x) = k ( f(x) ) untuk setiap x R
Maka V ruang vektor.
Contoh 3 :
Misalkan W = R2
. Jika u =
2
1
u
u
dan v =
2
1
v
v
di W dan k R dengan operasi
penjumlahan dan perkalian dengan skalar yang didefinisikan sbb :
Aljabar Linear Elementer 2 Page 7
u + v =
21
21
vv
uu
dan ku = 0,1ku
Misal kita mengambil u = ( 2, 3 ). Kita akan melihat sifat 10 tidak berlaku, sbb :
1.u = 1. ( 2, 3 ) = ( 1.2, 0 ) = ( 2, 0 ) ≠ u
Maka W bukan ruang vektor.
Catatan :
Untuk menyelidiki suatu himpunan bukan merupakan ruang vektor, cukup ditunjukkan
negasi dari salah satu sifat-sifat ruang vektor. Pada contoh di atas, cukup ditunjukkan
bahwa ada u W sedemikian hingga 1.u ≠ u.
LATIHAN SOAL :
Periksa apakah himpunan berikut dengan operasi penjumlahan dan
perkalian yang didefinisikan merupakan ruang vektor.
1. R2
dengan penjumlahan dan perkalian skalar yang didefinisikan sebagai berikut
(a,b) + (c,d) = (a+c, b+d); k(a,b)=(ka, b) untuk setiap k di R dan (a,b), (c,d) di R2
.
2. R,|
1
1
diba
b
a
dengan penjumlahan matriks dan perkalian matriks dengan
skalar.
3. R,| diba
bba
baa
dengan penjumlahan matriks dan perkalian matriks dengan
skalar.
Aljabar Linear Elementer 2 Page 8
B. RUANG BAGIAN
Perhatikan contoh berikut ini :
Misalkan W = Rdcbada
dc
ba
,,,,0/ dengan operasi standar
penjumlahan pada matriks dan perkalian matriks dengan skalar, maka W merupakan
ruang vektor.
Jika kita pandang W sebagai himpunan bagian dari M2x2(R) dan kita lihat bahwa definisi
operasi penjumlahan dan perkalian dengan skalar pada W sama dengan definisi operasi
penjumlahan dan perkalian dengan skalar pada M2x2(R), maka situasi yang demikian
dapat kita katakan W merupakan ruang bagian dari M2x2(R).
Definisi formal dari suatu ruang bagian adalah sbb. :
Definisi :
Misalkan V ruang vektor.
W V, W ≠ . W disebut ruang bagian dari V jika W dengan operasi penjumlahan dan
perkalian dengan skalar yang sama dengan operasi pada V, merupakan ruang vektor.
Misalkan W V, W ≠ . Jika operasi penjumlahan dan perkalian dengan skalar di V
juga merupakan operasi penjumlahan dan perkalian dengan skalar di , maka beberapa
sifat operasi di ruang vektor V diwariskan pada operasi di W yauitu sifat 2, 3, 7, 8, 9, dan
10. Sehingga untuk mengetahui apakah W merupakan ruang bagian dari V, kita tinggal
menunjukkan sifat 1, 4, 5, dan 6 berlaku pada W. Hal ini mendasari teorema berikut ini :
Teorema :
Misalkan V ruang vektor.
W V, W ≠ . W disebut ruang bagian dari V jika dan hanya jika untuk setiap
u, v W dan k R berlaku :
a). u + v W
b). ku W
Aljabar Linear Elementer 2 Page 9
Bukti :
Diketahui W ruang bagian dari ruang vektor V, maka menurut definisi W
memenuhi semua sifat ruang vektor, sehingga sifar a) dan b) dipenuhi.
Berdasarkan uraian di atas, untuk menunjukkan W ruang bagian dari V, tinggal
menunjukkan sifat 1, 4, 5, dan 6. Karena diketahui a) dan b) maka sifar 1 dan 6 dipenuhi,
sehingga kita tinggal menunjukkan sifat 4 dan 5 sbb. :
Misalkan u,v sebarang vektor di W dan k skalar. Oleh b) diperoleh ku W.
Misalkan diambil k = 0 maka diperoleh 0.u = 0 W, dan jika diambil k = -1 maka
diperoleh (-1).u = -u W, sedemikian sehingga u + (-u) = (-u) + u = 0, sehingga sifat 5
dipenuhi. Oleh a) diperoleh u + v W. Misalkan u = 0 maka diperoleh 0 + v = v + 0 = v,
sehingga sifat 4 dipenuhi. Terbukti.
Contoh 1 :
Misalkan V = { ( x, y, z ) ax + by + cz = 0 }.
Selidikilah apakah V dengan operasi standar penjumlahan dan perkalian dengan
skalar pada R3
merupakan ruang bagian dari R3
!
Jawab :
Jelas bahwa V R3
V himpunan tak kosong karena ( 0, 0, 0 ) V
Selanjutnya ambil sebarang u, v V dan k R, maka
u = ( u1, u2, u3 ) dimana au1 + bu2 + cu3 = 0
v = ( v1, v2, v3 ) dimana av1 + bv2 + cv3 = 0
Sehingga
u + v = ( u1+v1, u2+v2, u3+v3 )
dimana
a (u1+v1 ) + b (u2+v2 ) + c (u3+v3 )
= (au1 + bu2 + cu3 ) + (av1 + bv2 + cv3 ) = 0 + 0 = 0
Jadi u + v V
Selanjutnya
Aljabar Linear Elementer 2 Page 10
ku = ( ku1, ku2, ku3 )
dimana
aku1 + bku2 + cku3 = k (au1 + bu2 + cu3 ) = k. 0 = 0
Sehingga
ku V
Jadi dapat disimpulkan bahwa V ruang bagian dari R3
.
Contoh 2 :
Misalkan W adalah himpunan semua polinomial a0 + a1x + a2x2
+ a3x3
dimana
a0, a1, a2, a3 Z. Selidiki apakah W ruang bagian dari P3 !
Jawab :
Akan ditunjukkan bahwa W bukan ruang bagian dari P3
Ambil k = ½ dan u = 3 + 2x + 5x2
+ x3
Maka ku = ½ ( 3 + 2x + 5x2
+ x3
)
= 32
2
1
2
5
2
3
xxx W
Jadi ada k R dan u W sedemikian sehingga ku W. Maka W bukan ruang
bagian dari P3.
Catatan :
Untuk menunjukka bahwa suatu himpunan W V bukan merupakan ruang bagian dari
V, cukup menunjukkan negasi salah satu dari kedua sifat ruang bagian.
LATIHAN SOAL :
Periksa apakah himpunan berikut merupakan ruang bagian !
1. A = {(a, b, c)|b=a+c} R3
.
2. B = {(a, b, c)|b=a+c+1} R3
.
3. W = {A M2x2(R) |A = At
} M2x2(R).
4. C = {a + bx + cx2
| a + b + c = 0} P2(x).
Aljabar Linear Elementer 2 Page 11
C. MERENTANG/MEMBANGUN
Definisi :
Suatu vektor w disebut kombinasi linear dari vektor-vektor v1, v2, ..., vn jika ada skalar-
skalar k1, k2, ..., kn sedemikian sehingga w = k1v1 + k2v2 + ... + knvn
Contoh :
Misalkan u = ( 1, 2, -1 ) dan v = ( 6, 4, 2 ) di R3
. Selidiki apakah w = ( 9, 2, 7 ) dan
x = ( 4, -1, 8 ) merupakan kombinasi linear dari u dan v !
Jawab :
a). Pandang persamaan dengan variabel tak diketahui k1 dan k2 sbb. :
( 9, 2, 7 ) = k1 ( 1, 2, -1 ) + k2 ( 6, 4, 2 )
= ( k1 + 6k2 , 2k1 + 4k2 , -k1 + 2k2 )
Bentuk SPLnya
9 = k1 + 6k2
2 = 2k1 + 4k2
7 = -k1 + 2k2
Penyelesaian SPL tersebut adalah k1 = -3 dan k2 = 2
Jadi w = -3u + 2v atau w merupakan kombinasi linear dari u dan v.
b). Pandang persamaan dengan variabel tak diketahui k1 dan k2 sbb. :
( 4, -1, 8 ) = ( k1 + 6k2 , 2k1 + 4k2 , -k1 + 2k2 )
Bentuk SPLnya 4 = k1 + 6k2
-1 = 2k1 + 4k2
8 = -k1 + 2k2
SPL tsb. tidak mempunyai penyelesaian. Jadi x bukan kombinasi linear dari u dan v.
Teorema berikut menunjukkan bahwa jika V ruang vektor dan kita mempunyai
himpunan W yang merupakan himpunan semua kombinasi linear dari { v1, v2, ..., vn }
V maka W ruang bagian dari V.
Aljabar Linear Elementer 2 Page 12
Teorema :
Jika v1, v2, ..., vn adalah vektor-vektor pada ruang vektor V, maka :
1. Jika W himpunan semua kombinasi linear dari v1, v2, ..., vn , maka W merupakan ruang
bagian dari V.
2. W adalah ruang bagian terkecil dari V yang memuat v1, v2, ..., vn , yang berarti bahwa
setiap ruang bagian di V yang memuat v1, v2, ..., vn, pasti memuat W.
Bukti :
1). Ambil sebarang u, v W dan k R, maka :
u = a1v1 + a2v2 + ... + anvn
v = b1v1 + b2v2 + ... + bnvn
untuk suatu a1, a2, ..., an R dan b1, b2, ..., bn R. Sehingga :
u + v = ( a1 + b1 ) v1 + ( a2 + b2 ) v2 + ... + ( an + bn ) vn
Karena ( a1 + b1 ), ( a2 + b2 ), ..., ( an + bn ) R maka u + v W
ku = ka1v1 + ka2v2 + ... + kanvn
Karena ka1, ka2, ..., kan R, maka ku W
Jadi W ruang bagian dari V
2). Setiap vektor vi adalah kombinasi linear dari v1, v2, ..., vn, karena dapat ditulis sbb. :
vi = 0v1 + 0v2 + ... + 1vi + ... + 0vn
Karena itu ruang bagian W memuat semua vektor-vektor v1, v2, ..., vn. Misalkan W’
adalah sebarang ruang bagian dari V yang memuat v1, v2, ..., vn. Karena W’ tertutup
terhadap operasi penjumlahan dan perkalian dengan skalar, maka pasti memuat semua
kombinasi linear dari v1, v2, ..., vn. Jadi W’ memuat semuat semua vektor di W, atau
dapat dikatakan W’ memuat W. Terbukti
Definisi :
Jika V ruang vektor dan S = { v1, v2, ..., vn } V, maka v1, v2, ..., vn dikatakan
membangun/merentang V jika setiap vektor v V dapat dinyatakan sebagai
kombinasi linear dari v1, v2, ..., vn.
Contoh 1 :
Aljabar Linear Elementer 2 Page 13
a. S = { (1,0,0), (0,1,0), (0,0,1) membangun/merentang ruang vektor R3
b. Himpunan { 1, x, x2
, ..., xn
} membangun ruang vektor Pn,
c. B = membangun ruang vektor M2x2(R)
Contoh 2 :
Selidiki apakah v1 = (1,1,1) , v2 = (1,2,3) dan v3 = (2,3,3) membangun ruang vektor R3
?
Jawab :
Ambil sebarang vektor v R3
dengan v = ( x,y,z ). Akan kita cari apakah ada skalar-
skalar k1, k2, k3 sedemikian sehingga :
( x,y,z ) = k1 (1,1,1) + k2 (1,2,3) + k3 (2,3,3)
Bentuk SPLnya
x = k1 + k2 + 2k3
y = k1 + 2k2 + 3k3
z = k1 + 3k2 + 3k3
Bentuk matriksnya
Dengan melakukan OBE diperoleh :
, ,
Jadi berapapun v = ( x,y,z) di R3
, selalu ditemukan k1, k2, k3. Maka dapat disimpulkan
{ v1, v2, v3 } membangun R3
.
Contoh 3 :
Selidiki apakah v1 = (1,1,2) , v2 = (1,0,1) dan v3 = (2,1,3) membangun ruang vektor R3
?
Jawab :
Ambil sebarang vektor v R3
dengan v = ( b1, b2, b3 ). Akan kita cari apakah ada skalar-
skalar k1, k2, k3 sedemikian sehingga :
( b1, b2, b3 ) = k1 (1,1,2) + k2 (1,0,1) + k3 (2,1,3)
Bentuk SPL nya :
Aljabar Linear Elementer 2 Page 14
b1 = k1 + k2 + 2k3
b2 = k1 + k3
b3 = 2k1 + k2 + 3k3
Bentuk matriksnya :
3
2
1
3
2
1
312
101
211
b
b
b
k
k
k
...............................(1)
Jika kita mengambil ( b1, b2, b3 ) = ( 1, 1, 1 ), maka dengan melakukan OBE kita
peroleh :
1312
1101
1211
1312
1211
1101
1110
0110
1101
1000
0110
1101
Dengan memperhatikan baris ketiga, kita tahu bahwa SPL ini inconsisten, sehingga tidak
ditemukan skalar-skalar k1, k2, k3. Jadi (1, 1, 1 ) tidak dapat dinyatakan sebagai
kombinasi linear dari v1, v2, v3, maka dapat dikatakan bahwa { v1, v2, v3 } tidak
membangun R3
.
Pandang (1)
Kita telah mempelajari bahwa SPL akan selalu konsisten ( mempunyai penyelesaian )
untuk sebarang b1, b2, b3 jika dan hanya jika matriks koefisiennya mempunyai balikan.
Kita tahu bahwa matriks persegi akan mempunyai balikan jika determinannya tidak sama
dengan nol.
Karena det
312
101
211
= 0, maka matriks koefisien tersebut tidak mempunyai balikan.
Jadi kita tidak dapat menemukan skala-skalar k1, k2, k3 untuk sebarang b1, b2, b3,
sehingga dapat dikatakan bahwa { v1, v2, v3 } tidak membangun R3
.
Dari contoh di atas, dapat kita simpulkan bahwa jika kita mendapatkan matriks koefisien
dari SPL yang terjadi itu merupakan matriks persegi, maka untuk menentukan vektor-
Aljabar Linear Elementer 2 Page 15
vektor dari ruang vektor V yang diketahui itu membangun suatu ruang bagian dari V bisa
dengan menunjukkan bahwa determinannya tidak sama dengan nol.
Perhatikan contoh 2.
Matriks koefisien yang terbentuk adalah matriks persegi yaitu
Det (A) ≠ 0. Karena itu SPL di atas selalu mempunyai jawab. Jadi { v1, v2, v3 }
membangun R3
.
Contoh 4 :
Selidiki apakah S = { v1, v2, v3, v4 } R3
dengan v1 + ( 1, 0, 0 ), v2 = ( 0, 1, 0 )
v3 = ( 0, 1, 1), v4 = ( 1, 1, 1 ) membangun R3
!
Jawab :
Ambil v = ( x, y, z ) R3
sebarang dan skalar-skalar k1, k2, k3. dan k4
Bentuk persamaan :
v = k1v1 + k2v2 + k3v3 + k4v4
Bentuk SPLnya :
x = k1 + k4
y = k2 + k3 + k4
z = k3 + k4
Bentuk matriksnya :
z
y
x
k
k
k
k
4
3
2
1
1100
1110
1001
Dengan melakukan OBE diperoleh :
k1 + k4 = x, k2 = y – z, k3 + k4 = z.
Jika dimisalkan k4 = t, maka diperoleh :
k1 = x – t, k2 = y – t, k3 = z – t, k4 = t, dengan t R.
Jadi ada k1, k2, k3, k4 R v R, v = k1v1 + k2v2 + k3v3 + k4v4.
Aljabar Linear Elementer 2 Page 16
Jadi S membangun V.
LATIHAN SOAL
Periksa apakah himpunan berikut merentang ruang vektor yang bersesuaian.
1. {(1,1,1), (2,2,0), (3,0,0)} R3
.
2. {1 + 2x – x2
, 3 + x2
} P2(x).
3.
01
10
,
01
01
,
00
11
M2x2(R).
4. { (1,1,1,1), (1,2,3,4)} R4
5. { (1,3,3), (1,3,4), (1,4,3),(6,2,1)}
D. BEBAS LINEAR
Pada bagian ini kita akan mempelajari tentang suatu himpunan vektor dikatakan
bebas linear atau bergantung linear, beserta sifat-sifatnya.
Definisi :
Jika S = { v1, v2, ..., vn } V himpunan vektor tak kosong, maka persamaan :
k1v1 + k2v2 + ... + knvn = 0
mempunyai sekurang-jurangnya satu penyelesaian yaitu
k1 = 0, k2 = 0, ..., kn = 0
Jika penyelesaian di atas merupakan satu-satunya penyelesaian, maka S disebut
himpunan yang bebas linear. Jika masih ada penyelesaian yang lain, maka S disebut
himpunan yang tak bebas linear atau disebut himpunan yang bergantung linear.
Contoh 1 :
a. S = { (1,0,0), (0,1,0), (0,0,1) } bebas linear
b. Himpunan { 1, x, x2
, ..., xn
} bebas linear
c. B = bebas linear
Aljabar Linear Elementer 2 Page 17
Contoh 2 :
Misalkan W = { p1, p2, p3 } P2 dengan p1 = 1 – x , p2 = 5 + 3x – 2x2
, p3 = 1 + 3x – x2
Selidiki apakah W merupakan himpunan yang bebas linear ?
Jawab :
Bentuk persamaan :
k1p1 + k2p2 + k3p3 = 0
Bentuk SPL homogennya :
k1 + 5k2 + k3 = 0
-k1 + 3k2 + 3k3 = 0
-2k2 - k3 = 0
Bentuk matriksnya
0
0
0
120
331
151
3
2
1
k
k
k
Dengan melakukan OBE diperoleh :
k1 =
2
3
k3, k2 = -
2
1
k3
Jika diambil k3 = 2t, dengan t R maka diperoleh
k1 = 3t, k2 = -t, k3 = 2t
SPL homogen di atas mempunyai tak hingga penyelesaian, dengan kata lain ada
penyelesaian lain selain nol. Jadi W tak bebas linear atau bergantung linear.
Jika kita lihat contoh di atas, koefisien matriks yang terbentuk mempunyai
determinan sama dengan nol yang berakibat bahwa SPL homogen yang terbentuk
mempunyai lebih dari satu penyelesaian. Sehingga W merupakan himpunan yang tak
bebas linear.
Jadi dari contoh di atas, kita juga dapat menyimpulkan bawa jika kita
mendapatkan matriks koefisien dari SPL itu merupakan matriks persegi, maka untuk
Aljabar Linear Elementer 2 Page 18
mementukan suatu himpunan itu bebas linear, cukup dengan menunjukkan bahwa
determinan matriks koefisiennya tidak sama dengan nol.
Contoh 3 :
Selidiki apakah S = { a, b, c } R3
dengan a = ( 1, 1, 1 ), b = (1, 2, 3 ) dan c = ( 2, 3, 3 )
merupakan himpunan yang bebas linear ?
Jawab :
Bentuk persamaan
0 = k1a + k2b + k3c
Seperti contoh sebelumnya, diperoleh determinan matriks koefisiennya tidak sama
dengan nol, maka S bebas linear.
Dari contoh di atas, dapat dikembangkan suatu teorema di bawah ini yang dapat
mementukan apakah suatu himpunan itu merupakan himpunan yang bebas linear atau
himpunan yang bergantung linear.
Teorema :
Misalkan S adalah himpunan yang terdiri dari 2 vektor atau lebih. Maka :
S dikatakan bergantung linear jika dan hanya jika terdapat sekurang-kurangnya satu
vektor dalam S yang dapt dinyatakan sebagai kombinasi linear dari vektor-vektor lain di
S.
S dikatakan bebas linear jika dan hanya jika tidak ada vektor di S yang dapat dinyatakan
sebagai kombinasi linear dari vektor-vektor di S.
Bukti : sebagai latihan
Teorema :
Himpunan yang berhingga yang memuat vektor nol adalah bergantung linear
Himpunan yang hanya memuat 2 vektor dikatakan bebas linear jika dan hanya jika vektor
yang satu bukan merupakan kelipatan dari vektor yang lain.
Aljabar Linear Elementer 2 Page 19
Bukti sebagai latihan
Kita pandang contoh berikut ini :
Misalkan S = { a, b, c } R2
dengan a = (1, 2 ), b = ( 2, 2 ), c = ( 1, -2 ).
Selidiki apakah S bebas linear ?
Jawab :
Kita bentuk persamaan :
0 = k1a + k2b + k3c
Bentuk matriksnya :
0
0
222
121
3
2
1
k
k
k
Dengan melakukan OBE diperoleh penyelesaian sbb. :
k1 = t, k2 = -2t , k3 = t, dengan t R. Artinya SPL tersebut mempunyai penyelesaian
tak nol, misalnya k1 = 1, k2 = -2, k3 = 1 adalah salah satu penyelesaian SPL di atas.
Jadi S bergantung linear.
Dari contoh di atas kita lihat bahwa suatu himpunan vektor-vektor di Rn
yang
banyaknya anggota lebih dari n merupakan himpunan yang bergantung linear. Dari
contoh tersebut dikembangkan teorema yang memperlihatkan bahwa himpunan vektor-
vektor dalam Rn
yang bebas linear paling banyak memuat n vektor.
Teorema :
Misalkan S = { v1, v2, ..., vr } suatu himpunan vektor di Rn
. Jika r n, maka S
bergantung linear.
Bukti sebagai latihan.
Aljabar Linear Elementer 2 Page 20
LATIHAN SOAL
Periksa apakah himpunan berikut bebas linear ruang vektor yang bersesuaian.
1. {(1,1,1), (2,2,0), (3,0,0)} R3
.
2. {1 + 2x – x2
, 3 + x2
} P2(x).
3.
01
10
,
01
01
,
00
11
M2x2(R).
4. { (1,1,1,1), (1,2,3,4)} R4
5. { (1,3,3), (1,3,4), (1,4,3),(6,2,1)}
E. BASIS DAN DIMENSI
Definisi :
Jika V sebarang ruang vektor dan S = { v1, v2, ..., vn } V, maka S disebut basis dari V
jika S membangun dan bebas linear.
Contoh 1 :
a). { (1,0,0), (0,1,0), (0,0,1) } merupakan basis standar dari R3
b). { 1, x, x2
, ..., xn
} merupakan basis standar dari Pn
c).
10
00
,
01
00
,
00
10
,
00
01
merupakan basis standar dari M2x2(R)
Contoh 2 :
Jika S = S = { a, b, c } R3
dengan a = ( 1, 1, 1 ), b = (1, 2, 3 ) dan c = ( 2, 3, 3 ), dari
contoh sebelumnya diperoleh S membangun R3
dan bebas linear. Jadi S basis untuk R2
Contoh 3 :
Jika S = { v1, v2, ..., vn } merupakan himpunan yang bebas linear dalam ruang vektor V,
maka S adalah basis untuk ruang bagian dari V yang dibangun oleh S.
Aljabar Linear Elementer 2 Page 21
Teorema :
Jika S = { v1, v2, ..., vn } adalah basis untuk suatu ruang vektor V, maka setiap vektor v
di V hanya dapat dinyatakan dengan tepat satu cara kombinasi linear yaitu :
V = c1v1 + c2v2 + ... + cnvn
Bukti sebagai latihan
Definisi :
Suatu ruang vektor V disebut berdimensi hingga jika V memuat himpunan berhingga
vektor-vektor { v1, v2, ..., vn } sebagai basisnya. Jika tidak ada himpunan berhingga
tersebut, maka V disebut berdimensi tak hingga.
Contoh :
Ruang vektor Rn
, Pn, M2x2(R) adalah ruang vektor berdimensi hingga.
Teorema :
Jika V adalah ruang vektor berdimensi hingga dan { v1, v2, ..., vn } adalah sebarang basis,
maka :
1. Setiap himpunan yang anggotanya lebih dari n vektor akan bergantung linear.
2. Tidak ada himpunan yang anggotanya kurang dari n vektor akan membangun V
Bukti :
1. Silahkan buktikan  alurnya sama dengan teoema sebelumnya ( pada Rn
).
2. Diketahui S = { v1, v2, …, vn } basis untuk V
Misalkan S’ = { w1, w2, …, wm } sebarang himpunan di V dengan m n
Akan dibuktikan bahwa S’ tidak membangun V.
Andaikan S’ membangun V maka untuk setiap v V dapat dinyatakan sebagai
kombinasi linear dari vektor-vektor di S’.
Ambil v1 V, maka ……………(*)
Karena { S maka menurut teorema sebelumnya { bebas linear sehingga
. Maka dari (*) diperoleh .
Tanpa mengurangi keumuman bukti, pilih , maka dari (*) diperoleh :
Aljabar Linear Elementer 2 Page 22
Sehingga dapat dinyatakan sebagai kombinasi linear dari
Karena { w1, w2, …, wm } membangun V maka untuk setiap v V dapat dinyatakan
sebagai kombinasi linear sbb:
Jadi setiap v V dapat dinyatakan sebagai kombinasi linear dari v1, w2, …, wm .
Jadi { v1, w2, …, wm } membangun V.
Sehingga v2 V dapat dinyatakan sebagai kombinasi linear dari { v1, w2, …, wm }
yaitu .
Karena {v1,v2} bebas linear maka v1 0 dan v2 0, sehingga ada a2j 0
Misal maka
Sehingga dapat dinyatakan sebagai kombinasi linear dari { v1, v2, w3, …, wm }.
Karena { v1, w2, …, wm }membangun V maka seperti di atas { v1, v2, w3, …, wm }
juga membangun V.
Jika prose ini diteruskan, maka akan diperoleh { v1, v2, …, vm } membangun V.
Karena vm+1 V maka vm+1 dapat dinyatakan sebagai kombinasi linear dari
{ v1, v2, …, vm }, sehingga { v1, v2, …, vm, vm+1 } tak bebas linear.
Padahal jika m n maka m+1≤ n.
Jika m+1 n maka { v1, v2, …, vm, vm+1 } S bebas linear
Jika m+1 = n maka { v1, v2, …, vm, vm+1 } S bebas linear
Sehingga terjadi kontradiksi.
Kesimpulan : pengandaian salah, yang benar W tidak membangun V
Teorema :
Semua basis dari suatu ruang vektor berdimensi hingga mempunyai banyak vektor yang
sama.
Aljabar Linear Elementer 2 Page 23
Bukti :
Misalkan A = { v1, v2, ..., vn } dan B = { w1, w2, ..., wm }adalah 2 basis sebarang dari
suatu ruang vektor V. Karena A basis dan B bebas linear, maka m ≤ n. Demikian juga
karena B basis dan A bebas linear maka n ≤ m. Jadi m = n. Terbukti.
Teorema di atas mendasari konsep tentang dimensi.
Definisi :
Dimensi dari suatu ruang vektor V berdimensi hingga, dinotasikan sebagai dim(V) adalah
banyaknya vektor yang menjadi anggota basis dari V. Didefinisikan pula bahwa ruang
vektor nol mempunyai dimensi nol.
Contoh 1:
dim (Rn
) = n ( karena basis standart dari Rn
mempunyai n vektor )
dim (Pn) = n + 1 ( karena basis standart dari Pn mempunyai n+1 vektor )
dim (Mmxn(R)) = mn ( karena basis standart dari Mmxn(R) mempunyai mxn vektor.
Contoh 2 :
Tentukan basis dan dimensi dari ruang penbyelesaian SPL homogen berikut ini :
2x1 + 2x2 – x3 + x5 = 0
-x1 - x2 + 2x3 – 3x4 + x5 = 0
x1 + x2 – 2x3 - x5 = 0
x3 + x4 + x5 = 0
Jawab :
Penyelesaian dari SPL homogen ini adalah x1 = -s-t, x2 = s, x3 = -t, x4 = 0, x5 = t.
Jadi ruang penyelesaian dari SPLH tersebut adalah :
Aljabar Linear Elementer 2 Page 24
Terlihat bahwa v1 = dan v2 = membangun ruang pemecahan SPL
homogen di atas. Karena { v1, v2 } bebas linear maka { v1, v2 }basis untuk ruang
pemecahan SPL tersebut. Sehingga ruang pemecahan SPLH tersebut berdimensi 2.
LATIHAN SOAL
Tentukan basis dan dimensi sub ruang berikut.
1. A = {(a, b, c)|b=a+c} R3
.
2. B = {(a, b, c)|b=2a, c=0} R3
.
3. C = {a + bx + cx2
| a + b + c = 0} P2(x).
4. D = R,| diba
bba
baa
.
F. RUANG BARIS DAN RUANG KOLOM
Misal A matriks mxn dengan A =
Maka vektor-vektor baris dari A adalah :
, , ...,
Sedangkan vektor-vektor kolom dari A adalah
, , ...,
Aljabar Linear Elementer 2 Page 25
Definisi :
Jika A matriks mxn maka ruang baris dari A adalah ruang bagian dari Rn
yang dibangun
oleh vektor-vektor baris dari A .
W = { x Rn
x = k1(a11 a12 ... a1n) + k2(a21 a22 ... a2n) + ... + km(am1 am2 ... amn) , ki R}
sedangkan ruang kolom dari A adalah ruang bagian dari Rm
yang dibangun oleh vektor-
vektor kolom dari A.
S =
Teorema :
Operasi baris elementer tidak mengubah ruang baris sebuah matriks.
Dari teorema tersebut, jelas bahwa ruang baris sebuah matriks A tidak berubah
jika kita mereduksi matriks tersebut kepada bentuk eselon baris. Vektor-vektor baris tak
nol dari matriks A dalam bentuk eselon baris selalu bebas linear sehingga vektor-vektor
baris yang tak nol ini membentuk sebuah basis untuk ruang baris tersebut.
Dari penjelasan tersebut muncul teorema sbb. :
Teorema :
Vektor-vektor baris yang tak nol dalam sebuah bentuk eselon baris dari sebuah matriks A
membentuk sebuah basis untuk ruang baris dari A.
Bukti sebagai latihan
Kalau kita perhatikan, ruang kolom suatu matriks A adalah sama seperti ruang
baris dari transposnya. Jadi untuk mencari basis untuk ruang kolom dari matriks A sama
saja dengan mencari sebuah basis untuk ruang baris dari At
.
Aljabar Linear Elementer 2 Page 26
Contoh :
Diketahui A = . Tentukan :
Ruang baris dan basis untuk ruang baris dari A.
Ruang kolom dan basis untuk ruang kolom dari A.
Jawab :
Ruang baris dari A adalah W={ x ϵ R4
x = r ( 1,0, 1, 1 ) + s ( 3, 2, 5, 1 ) + t ( 0, 4, 4, -4 )
, r,s,t }
Untuk menemukan basis untuk ruang baris dilakukan OBE sampai memperoleh bentuk
matriks eselon sbb :
~ ~
Jadi baris untuk ruang baris dari A adalah {(1, 0, 1, 1 ), ( 0, 1, 1, -1 )}. Sehingga ruang
baris dari A berdimensi 2.
Ruang kolom dari A adalah H = { x R3
⎪ x = p (1,3,0) + q (0,2,4) + r (1,5,4) +
s (1,1,-4) , p,q,r,s R }
Untuk menemukan basis untuk ruang kolom dilakukan OBE pada transposenya sampai
diperoleh bentuk matriks eselon baris sbb :
~
Jadi basis untuk ruang kolom dari A adalah { ( 1, 3, 0 ), (0, 1, 2 ) }. Sehingga ruang
kolom dari A berdimensi 2
Aljabar Linear Elementer 2 Page 27
Dari contoh di atas terlihat bahwa dimensi dari ruang baris dan dimensi dari ruang
kolom dari A sama. Berikut ini adalah teorema yang menguatkan pernyataan di atas :
Teorema :
Jika A adalah sebarang matriks, maka ruang baris dan ruang kolom dari A mempunyai
dimensi yang sama.
Bukti sebagai latihan.
Definisi :
Dimensi ruang baris dan ruangkolom dari suatu matriks A dinamakan rank A
Teorema-teorema berikut ini melengkapi teorema-teorema mengenai basis.
Teorema :
Jika V ruang vektor berdimensi n dan S himpunan dalam V dengan tepat n vektor, maka
S basis untuk V jika S membangun V atau S bebas linear.
Teorema :
Misalkan S himpunan dari vektor-vektor dalam ruang vektor V berdimensi hingga.
1. Jika S membangun V tetapi bukan basis untuk V, maka S dapat direduksi menjadi
basis untuk V.
2. Jika S bebas linear tetapi bukan basis untuk V, maka S dapat diperluas menjadi
basis untuk V.
Contoh 2 :
Carilah sebuah sub himpunan dari vektor-vektor v1 = (1,-2,0,3), v2 = (2,-5,-3,6),
v3 = (0,1,3,0), v4 = (2,-1,4,-7), v5 = (5,-8,1,2) yang membentuk sebuah basis untuk ruang
yang direntang oleh vektor-vektor tersebut.
Jawab :
Bentuk persamaan : c1v1 + c2v2 + c3v3 + c4v4 + c5v5 = 0 ...................(1)
Aljabar Linear Elementer 2 Page 28
SPL Homogennya :
c1 + 2c2 + 2c4 + 5c5 = 0
-2c1 - 5c2 + c3 - c4 - 8c5 = 0
-3c2 + 3c3 + 4c4 + c5 = 0
3c1 + 6c2 - 7c4 + 2c5 = 0
c1 = -2s – t, c2 = s – t, c3 = s, c4 = -t, c5 = t dimana s, t sebarang bilangan real.
Dengan mensubsitusikan ke (1) diperoleh :
( -2s – t ) v1 + ( s – t ) v2 + s v3 – t v4 + t v5 = 0
= s ( -2 v1 + v2 + v3 ) + t ( -v1 – v2 – v4 + v5 ) = 0
Untuk memudahkan kita pilih s = 1, t = 0 dan kemudian s = 0, t = 1, maka diperoleh :
-2 v1 + v2 + v3 = 0 dan -v1 – v2 – v4 + v5 = 0
Dari persamaan-persamaan di atas kita dapat menyatakan v3 dan v5 ( atau vektor lain )
sebagai kombinasi linear dari vektor-vektor lainnya. Maka diperoleh :
v3 = 2v1 – v2 dan v5 = v1 + v2 + v4
Karena v3 dan v5 dapat dinyatakan sebagai kombinasi linear dari v1, v2 dan v4 maka v3
dan v5 dapat dibuang tanpa mempengaruhi ruang yang direntangnya.
Vektor-vektor v1, v2, v4 merupakan himpunan vektor yang bebas linear karena persamaan
c1v1 + c2v2 + c4v4 = 0 menpunyai 1 penyelesaian yaitu c1 = 0, c2 = 0, c4 = 0
Jadi { v1, v2, v4 } merupakan basis dari ruang yang direntang oleh vektor-vektor
v1, v2, v3, v4, v5.
Teorema :
Jika A adalah sebuah matriks nxn, maka pernyataan-pernyataan berikut ekivalen satu
sama lain :
a. A dapat dibalik
b. Ax = 0 hanya mempunyai satu pemecahan trivial
c. A ekivalen baris dengan In
d. Ax = b konsisten untuk tiap-tiap matriks b yang berukuran nx1
e. Det(A) ≠ 0
f. Rank(A) = n
Aljabar Linear Elementer 2 Page 29
g. Vektor-vektor baris dari A bebas linear
h. Vektor-vektor kolom dari A bebas linear.
LATIHAN SOAL
1. Tentukan basis dari ruang baris, ruang kolom dari matriks berikut.
a.
267
445
311
b.
2231
0312
2541
c.
0000
0000
3100
0310
5421
2. Tentukan rank dari matriks-matriks di atas.
G. RUANG PERKALIAN DALAM
Ketika kita mempelajari vektor di R2
/R3
/Rn
, kita mengenal dot product (
perkalian titik) atau kita juga bisa menyebutnya sebagai perkalian dalam Euclidis. Kita
akan memperluas bahasan tsb, tidak hanya di Rn
, tetapi pada ruang vektor umum yang
lain.
Definisi :
Misal V ruang vektor
Suatu fungsi F : VxV  R
(u,v) 
Aljabar Linear Elementer 2 Page 30
Disebut perkalian dalam (inner product) jika untuk setiap u, v, w V dan k R
berlaku sifat-sifat sbb. :
1. = ( aksioma simetri )
2. = + ( aksioma aditivitas )
3. = k ( aksioma homogenitas )
4. ≥ 0 dan = 0 jhj v = 0 ( aksioma positivitas )
Sebuah ruang vektor dengan sebuah perkalian dalam dinamakan ruang perkalian dalam
( inner product space )
Contoh 1 :
Misalkan u,v Rn
dengan u = ( u1, u2, ..., un ) dan v = (v1, v2, ..., vn )
Perkalian dalam Euclidis = u . v = u1v1 + u2v2 + ... + unvn merupakan perkalian
dalam.
Contoh 2 :
Misalkan U, V M2x2(R) dengan U = dan V =
yang di definisikan sebagai = u1v1 + u2v2 + u3v3 + u4v4 merupakan
perkalian dalam pada M2x2(R).
Contoh 3 :
Misalkan p,q Pn dengan p = a0 + a1x + a2x2
+ ... + anxn
dan
q = b0 + b1x + b2x2
+ ... + bnxn
yang didefinisikan sebagai = a0b0 + a1b1 + ... + anbn merupakan perkalian
dalam pada Pn
Contoh 4 :
Misalkan u,v R2
dengan u = ( u1, u2 ) dan v = (v1, v2)
Selidiki apakah fungsi yang didefinisikan sebagai = 3u1v1 + 2u2v2 merupakan
perkalian dalam pada R2
!
Jawab :
Aljabar Linear Elementer 2 Page 31
1. = 3u1v1 + 2u2v2 = 3v1u1 + 2v2u2 =
2. = 3(u1 + v1)w1 + 2(u2 + v2)w2
= ( 3u1w1 + 2u2w2 ) + (3v1w1 + 2v2w2 ) = +
3. = 3(ku1)v1 + 2(ku2)v2 = k (3u1v1 + 2u2v2 ) = k
4. = 3v1v1 + 2v2v2 = 3v1
2
+ 2v2
2
≥ 0 dan
= 3v1v1 + 2v2v2 = 3v1
2
+ 2v2
2
= 0 jhj v1 = v2 = 0
Jadi fungsi yang didefinisikan sebagai = 3u1v1 + 2u2v2 merupakan perkalian
dalam pada R2
.
Contoh 5 :
Misalkan u,v R3
dengan u = ( u1, u2, u3 ) dan v = (v1, v2, v3 )
Selidiki apakah fungsi yang didefinisikan sebagai = u1v1 - u2v2 + u3v3 merupakan
perkalian dalam pada R3
!
Jawab :
Fungsi yang didefinisikan sebagai = u1v1 - u2v2 + u3v3 merupakan perkalian
dalam pada R3
karena aksioma 4 tidak terpenuhi.
Ambil v = ( 1,3,2 ), maka :
= v1v1 - v2v2 + v3v3 = v1
2
– v2
2
+ v3
2
= 1 – 9 + 4 = -4 ≤ 0
Contoh 6 :
Ruang Vektor Rn
, M2x2(R), Pn dengan perkalian dalam yang didefinisikan pada contoh
1,2,3 di atas merupakan ruang perkalian dalam.
Teorema :( Ketaksamaan Cauchy-Schwarz )
Jika u dan v adalah vektor-vektor di dalam sebuah ruang perkalian dalam V, maka
2
≤
Bukti sebagai latihan
Aljabar Linear Elementer 2 Page 32
PANJANG DAN SUDUT DI DALAM RUANG PERKALIAN DALAM
Definisi :
Jika V adalah sebuah ruang perkalian dalam, maka norma/norm (panjang) dari sebuah
vektor u di V yang dinyatakan oleh didefinisikan sebagai :
= ½
Sedangkan jarak antara 2 titik (vektor) u dan v dinyatakan oleh d(u,v) didefinisikan
sebagai :
d(u,v) =
Contoh 1 :
Jika u,v Rn
dengan perkalian dalam Euclidis, maka :
= ½
=
dan
d(u,v)= =
Contoh 2 :
Misalkan R2
mempunyai perkalian dalam = 3u1v1 + 2u2v2. Jika diketahui u = ( 1,1)
dan v = (2,3) maka :
= ½
= =
d(u,v)= = ½
= =
Teorema :
Jika V adalah sebuah ruang perkalian dalam, maka norma = ½
dan jarak
d(u,v)= memenuhi sifat-sifat berikut :
1. ≥ 0 1. d(u,v) ≥ 0
2. = 0 jhj u = 0 2. d(u,v) = 0 jhj u=v
3. = 3. d(u,v) = d(v,u)
4. ≤ 4. d(u,v) ≤ d(u,w) + d(w,v)
Aljabar Linear Elementer 2 Page 33
Definisi :
Jika adalah sudut antara vektor u dan vektor v pada ruang perkalian dalam V, maka
didefinisikan : dan 0 ≤ ≤
Contoh :
Carilah cosinus dari sudut antara vektor-vektor u = (4,3,1,-2) dan v = (-2,1,2,3) dimana
ruang vektornya R4
dengan perkalian dalam Euclidis !
Jawab :
= = = -9
Sehingga
Cos = = -
Definisi :
Dalam sebuah ruang perkalian dalam, 2 vektor dinamakan ortogonal jika = 0.
Selanjutnya jika u ortogonal kepada setiap vektor di dalam sebuah himpunan W, maka
dikatakan bahwa u ortogonal kepada W.
Teorema :
Jika u dan v vektor-vektor ortogonal di dalam sebuah ruang perkalian dalam, maka
LATIHAN SOAL :
1. Tentukan apakah yang berikut ini merupakan perkalian dalam pada R3
.
a. vu, =u1v1 + u3v3.
b. vu, =u1v1 – u2v2 + u3v3.
c. vu, =2u1v1 + u2v2 + 4u3v3.
2. Diketahui M2x2(R) dengan perkalian dalam VU, = u1v1 + u2v2 + u3v3 + u4v4 untuk
setiap U, V di M2x2(R).
Aljabar Linear Elementer 2 Page 34
a. Tentukan A jika A =
63
52
.
b. Tentukan d(A,B) jika A=
49
62
dan B=
61
74
.
3. Tentukan sudut pasangan vektor berikut relatiuf terhadap perkalian dalam Euclid pada
R2
a. (0,1) dan (2,0).
b. (-1/ 2 ,-1/ 2 ) dan (1/ 2 ,1/ 2 )
4. Periksa apakah himpunan vektor berikut merupakan himpunan orthogonal relatif
terhadap perkalian dalam Euclid pada R3
.
a.
3
2
,
3
2
,
3
1
3
1
,
3
1
,
3
2
,
3
1
,
3
2
,
3
2
.
b.
3
1
,
3
1
,
3
1
,
2
1
,0,
2
1
,
2
1
,0,
2
1
.
H. BASIS ORTONORMAL; PROSES GRAM-SCHMIDT
Definisi :
Misal V ruang vektor perkalian dalam. W V. W disebut himpunan ortogonal jika
semua pasangan vektor-vektor yang berbeda di dalam himpunan tersebut ortogonal.
Himpunan ortogonal yang setiap vektornya mempunyai norm 1 disebut himpunan yang
ortonormal
Contoh :
1. {(1,0,0), (0,1,0), (0,0,1)} merupakan himpunan yang ortonormal.
2. merupakan himpunan yang ortonormal.
3. { (1,0), (0,2) } merupakan himpunan yang ortogonal tetapi bukan ortonormal.
Aljabar Linear Elementer 2 Page 35
Teorema :
Jika S = { v1, v2, ..., vn } adalah sebuah basis ortonormal untuk ruang perkalian dalam V
dan u adalah sebarang vektor di V, maka :
Bukti sebagai latihan
Teorema :
Jika S = { v1, v2, ..., vn } adalah sebuah himpunan ortogonal dari vektor-vektor yang tak
nol, maka S bebas linear.
Bukti sebagai latihan.
Berikut ini kita akan membicarakan bagaimana membangun basis yang
ortonormal untuk ruang perkalian dalam.
Teorema :
Misalkan V sebuah ruang perkalian dalam, dan { v1, v2, ..., vr } adalah sebuah himpunan
ortonormal dari vektor-vektor di dalam V. Jika W adalah ruang yang direntang oleh v1,
v2, ..., vr , maka tiap-tiap vektor u di V dapat dinyatakan dalam bentuk
u = w1 + w2
dimana w1 berada dalam W dan w2 ortogonal kepada W dengan memisalkan
dan
w1 dinamakan sebagai proyeksi ortogonal dari u pada W, dinotasikan proyw u,
sedangkan w2 = u – proyw dinamakan sebagai komponen dari u yang ortogonal kepada
W.
Contoh :
Misalkan R3
mempunyai perkalian dalam Euclidis, dan W adalah sub ruang dari R3
yang
direntang oleh vektor-vektpr ortonormal v1 = (0,1,0) dan v2 = . Carilah
Aljabar Linear Elementer 2 Page 36
proyeksi ortogonal dari u = (1,1,1) pada W dan komponen dari u yang ortogonal kepada
W!
Jawab :
= =
= (1,1,1) - =
Teorema :
Tiap-tiap ruang perkalian dalam berdimensi berhingga yang tidak nol mempunyai sebuah
basis ortonormal.
Bukti :
Misalkan V adalah sebarang ruang perkalian dalam berdimensi n yang tak nol, dan
misalkan S = { u1, u2, ..., un } adalah sebuah basis untuk V. Urutan langkah-langkah yang
berikut akan menghasilkan sebuah basis ortonormal { v1, v2, ..., vn } untuk V.
Langkah 1 :
Misalkan , maka vektor v1 mempunyai norm 1.
Langkah 2 :
Untuk membangun sebuah vektor v2 yang normnya 1 yang ortogonal kepada v1, kita
menghitung komponen dari u2 yang ortogonal kepada ruang W1 yang direntang oleh v1
dan kemudian normalisasikan komponen u2 tersebut, yaitu :
=
Langkah 3 :
Untuk membangun sebuah vektor v3 yang normnya 1 yang ortogonal kepada v1 dan v2,
maka kita menghitung komponen dari u3 yang ortogonal kepada ruang W2 yang direntang
oleh v1 dan v2 dan kemudian menormalisasikannya sbb.:
=
Aljabar Linear Elementer 2 Page 37
Langkah 4 :
Untuk membangun sebuah vektor v4 yang normnya 1 yang ortogonal kepada v1, v2 dan v3
maka kita menghitung komponen dari u4 yang ortogonal kepada ruang W2 yang direntang
oleh v1, v2 dan v3 kemudian menormalisasikannya sbb.:
=
Demikian seterusnya sampai kita mendapatkan himpunan ortonormal { v1, v2, ..., vn }.
Karena V berdimensi n dan menurut teorema setiap himpunan yang ortonormal itu bebas
linear, maka pasti membangun V. Sehingga { v1, v2, ..., vn } merupakan basis ortonormal
untuk V. Proses di atas disebut proses Gram-Schmidt.
Contoh :
Misalkan R3
ruang vektor dengan perkalian dalam Euclidis. Pakailah proses Gram-
Schmidt untuk mentransformasikan basis u1 = (1,1,1), u2 = (0,1,1), u3 = ( 0,0,1) ke
dalam sebuah basis ortonormal !
Jawab :
Langkah 1 :
=
Langkah 2 :
= = (0,1,1) -
Maka :
=
Langkah 3 :
=
=
Maka :
=
Aljabar Linear Elementer 2 Page 38
Jadi v1 = , v2 = , v3 =
Membentuk basis ortonormal untuk R3
.
LATIHAN SOAL
1. Periksa apakah himpunan vektor berikut merupakan himpunan orthonormal relatif
terhadap perkalian dalam Euclid pada R3
.
a.
3
2
,
3
2
,
3
1
3
1
,
3
1
,
3
2
,
3
1
,
3
2
,
3
2
.
b.
3
1
,
3
1
,
3
1
,
2
1
,0,
2
1
,
2
1
,0,
2
1
.
2. Diketahui v1= 0,
5
4
,
5
3
, v2= 0,
5
3
,
5
4
v1= 1,0,0 dan B={v1, v2, v3}.
Tunjukkan bahwa B merupakan basis orthonormal untuk R3
relatif terhadap
perkalian dalam Euclid pada R3
.
3. Diketahui v1=(1,-3), v2=(2,2) dan B={v1, v2}.
a. Tunjukkan bahwa B merupakan basis untuk R2
relatif terhadap perkalian
dalam Euclid.
b. Ubahlah basis B tersebut menjadi basis orthonormal dengan
I. KOORDINAT DAN PERUBAHAN BASIS
Telah dibicarakan pada bagian sebelumnya bahwa jika S = { v1, v2, ..., vn } basis
untuk ruang vektor V, maka v V dapat dinyatakan sebagai kombinasi linear dari
vektor-vektor di S sbb. :
v = k1v1 + k2v2 + ... + knvn
Skalar-skalar k1, k2, ..., kn adalah koordinat v relatif terhadap basis S dan vektor
(v)S = ( k1, k2, ..., kn ) ..................... (1)
Aljabar Linear Elementer 2 Page 39
disebut vektor koordinat v relatif terhadap basis S. (1) dapat juga dinyatakan sebagai
vektor kolom sbb :
[v]S =
Contoh :
Tentukan vektor koordinat dari A = relatif terhadap basis S = { A1, A2, A3, A4 }
untuk M2x2(R) dimana
A1 = , A2 = , A3 = , A4 =
Jawab :
Misalkan [A]S = , maka A = k1A1 + k2A2 + k3A3 + k4A4
Atau
= k1 + k2 + k3 + k4
Diperoleh SPL sbb. :
-k1 + k2 = 2
k1 + k2 = 0
k3 = -1
k4 = 3
Penyelesaian SPL tersebut adalah k1 = -1, k2 = 1, k3 = -1, k4 = 3. Jadi
[A]S =
Masalah Perubahan Basis
Jika kita mengubah basis untuk suatu ruang vektor dari basis lama B ke basis baru
B‘, bagaimana hubungan vektor koordinat lama [v]B dengan vektor koordinat baru [v]B‘ ?
Aljabar Linear Elementer 2 Page 40
Pandang B = { u1, u2 } dan B‘ = { u1‘, u2‘ } adalah dua basis untuk suatu ruang
vektor berdimensi dua. Padang B‘ sebagai basis dan u1, u2 sebagai vektor, maka
diperoleh :
[u1]B‘ = dan [u2]B‘ =
Untuk suatu a, b, c, d R. Artinya :
u1 = au1‘ + bu2‘
u2 = cu1‘ + du2‘ .............................. (1)
Sekarang misalkan v V sebarang dan [v]B = , maka
v = k1u1 + k2u2 ................................ (2)
Substitusikan (1) dan (2) diperoleh
v = k1 (au1‘ + bu2‘) + k2 (cu1‘ + du2‘)
= ( k1a + k2c ) u1‘ + ( k1b + k2 d ) u2‘
Sehingga vektor koordinat v relatif terhadap basis baru B‘ adalah :
[v]B‘ = =
= [v]B
Jadi vektor koordinat v relatif terhadap basis baru B‘ dapat diperoleh dengan mengalikan
dari kiri matriks P = = ( [u1]B‘ [u2]B‘ ) dengan vektor koordinat v relatif
terhadap basis lama B.
Secara Umum :
Jika B = { v1, v2, ..., vn } dan B‘ = { v1‘, v2‘, ..., vn‘ } adalah basis untuk suatu
ruang vektor berdimensi n, maka vektor koordinat v terhadap basis baru B‘ adalah :
[v]B‘ = P [v]B
dimana P adalah matriks yang kolom-kolomnya merupakan vektor koordinat dari vektor-
vektor basis lama B relatif terhadap basis baru B‘ atau
P = ( [v1]B‘ [v2]B‘ ... [vn]B‘ )
Matriks P ini disebut matriks transisi dari B ke B’
Aljabar Linear Elementer 2 Page 41
Contoh :
Diketahui basis B = { u1, u2 } dan B‘ = { v1, v2 } dimana
u1 = ( 1,0 ) , u2 = ( 0,1 ) , v1 = ( 1,1 ) , v2 = ( 2,1 )
1. Tentukan P yang merupakan matriks transisi dari basis B ke B‘ !
2. Gunakan hasil 1) untuk menghitung [w]B‘ jika w = ( -3,5 ) !
3. Hitung [w]B‘ secara langsung.
4. Tentukan Q yang merupakan matriks transisi dari basis B‘ ke B !
Jawab :
1. Vektor koordinat [u1]B‘ diperoleh dari penyelesaian SPL :
( 1,0 ) = k1 ( 1,1 ) + k2 ( 2,1 )
Vektor koordinat [u2]B‘ diperoleh dari penyelesaian SPL :
( 0,1 ) = r1 ( 1,1 ) + r2 ( 2,1 )
Terlihat bahwa kedua SPL yang terjadi mempunyai koefisien yang sama, sehingga dapat
diselesaikan bersama dengan melakukan OBE sbb.:
~ ~
Jadi
[u1]B‘ = dan [u2]B‘ =
Sehingga
P =
2. Dengan cara yang sama seperti di atas, diperoleh :
[w]B =
Sehingga
[w]B‘ = P [w]B = =
3. Menghitung [w]B‘ secara langsung diperoleh dari penyelesaian SPL :
( 3, -5 ) = k1 ( 1,1 ) + k2 ( 2,1 )
Dengan melakukan OBE pada matriks lengkapnya diperoleh k1 = 13 dan k2 = -8.
Jadi
Aljabar Linear Elementer 2 Page 42
[w]B‘ =
4. Matriks transisi dari B‘ ke B :
Q = ( [v1]B [v2]B )
Dengan cara yang sama dengan 1) diperoleh :
Q =
Dari contoh di atas, jika kita mengalikan P dan Q akan diperoleh :
PQ = = = I2 = QP
Sehingga
Q = P-1
Dari uraian di atas dikembangkan teorema sbb. :
Teorema :
Misalkan B dan B‘ basis untuk suatu ruang vektor V. Jika P matriks transisi dari B ke B‘,
maka :
1. P invertible
2. P-1
adalah matriks transisi dari B‘ ke B.
Bukti :
Misalkan Q adalah matriks transisi dari B‘ ke B, akan kita tunjukkan bahwa QP = I yang
berarti Q = P-1
.
Misalkan B = { u1, u2, ..., un } dan QP =
Kita tahu bahwa
[x]B‘ = P [x]B dan [x]B = Q [x]B‘ untuk semua x V ........ (1)
Misalkan x = u1
Aljabar Linear Elementer 2 Page 43
Karena x = 1u1 + 0u2 + ... + 0un maka [x]B =
Sehingga dari (1) diperoleh :
=
=
Dengan cara yang sama, jika kita mensubsitusikan untuk x = u2, x = u3, ..., x = un akan
diperoleh :
= , .......... , =
Jadi QP = In, sehingga Q = P-1
. Terbukti
Dari teorema ini diperoleh hubungan sebagai berikut :
Jika P matriks transisi dari basis B ke B‘, maka untuk setiap vektor v V berlaku
hubungan :
[v]B‘ = P [v]B dan [v]B = P-1
[v]B‘
LATIHAN SOAL :
1. Tentukan koordinat vektor w berikut relatif terhadap basis B={v1, v2} pada R2
.
a. w=(3,-7) ; v1= (1,1) , v2= (0,2)
b. w=(2,-4) ; v1= (3,8) , v2= (1,1)
2. Diketahui basis B={u1, u2} dan B’
={v1, v2} untuk R2
dengan
u1=
0
1
, u2=
1
0
, v1=
1
2
, v2=
4
3
a. Tentukan matriks transisi dari B’ ke B .
b. Tentukan matriks transisi dari B ke B’.
Aljabar Linear Elementer 2 Page 44
TRANSFORMASI LINEAR
A.TRANSFORMASI LINEAR
Kita semua telah mengenal bahwa untuk membandingkan dua himpunan, kita
dapat menggunakan apa yang kita sebut dengan fungsi/pemetaan/transformasi.
Jika dua himpunan yang kita bandingkan bukan sekedar himpunan tetapi mempunyai
struktur khusus, seperti misalnya ruang vektor, maka sangat wajar jika kita menginginkan
bahwa alat pembanding tersebut mengawetkan operasi di kedua ruang vektor. Pemetaan
atau transformasi yang seperti ini kita namakan transformasi linear. Formalnya
transformasi linear didefinisikan sbb. :
Definisi :
Misalkan U dan V suatu ruang vektor atas bilangan real. T : U V pemetaan. T
dikatakan pemetaan linear atau transformasi linear jika untuk setiap u,v U dan α R
berlaku :
T ( u+v ) = T(u) + T(v)
T (αu ) = α T(u) .............................(1)
Khusus untuk U = V, pemetaan linear T : U U disebut operator linear.
Catatan :
Perlu kita garis bawahi bahwa operasi pada bagian kiri persamaan (1) merupakan
operasi di ruang vektor U, sedangkan operasi pada bagian kanan persamaan (1)
merupakan operasi di V. Jadi pemetaan linear adalah pemetaan yang mengawetkan
operasi di daerahdomain menjadi operasi di daerah kodomain.
Contoh 1 :
Periksalah apakah F : R2
R3
merupakan pemetaan linear jika diketahui
F [(x,y)] = ( x, x+y, x-y )
Jawab :
Ambil sebarang u, v R2
dan β R, maka :
Aljabar Linear Elementer 2 Page 45
u = ( x1,y1 ) sehingga F(u) = ( x1, x1+y1, x1-y1 )
v = ( x2,y2 ) sehingga F(u) = ( x2, x2+y2, x2-y2 )
F (u+v) = F ( x1+x2, y1+y2 )
= ( x1+x2, x1+x2+y1+y2, x1+x2-y1-y2 )
= ( x1, x1+y1, x1-y1 ) + ( x2, x2+y2, x2-y2 )
= F(u) + F(v)
F (βu) = F (βx1 + βy1)
= ( βx1, βx1+βy1, βx1-βy1 )
= β ( x1, x1+y1, x1-y1 )
= β F(u)
Karena syarat-syarat pemetaan linear dipenuhi, maka F pemetaan linear.
Contoh 2 :
Tnjukkan bahwa T : M2x2(R) R yang didefinisikan sebagai
T =
bukan pemetaan linear !
Jawab :
Akan ditunjukkan bahwa ada A, B M2x2(R) sedemikian hingga T (A+B) ≠ T(A) + T(B)
Misalkan diambil :
A = dan B =
Maka
T(A) = 5 dan T(B) = 20
Selanjutnya
T (A+B) = T = 45 ≠ T(A) + T(B)
Jadi T bukan pemetaan linear.
Jika T : U V suatu pemetaan linear, maka untuk sebarang vektor u1, u2 U dan
sebarang skalar c1, c2 R, berlaku :
T ( c1u1 + c2u2 ) = T (c1u1 ) + T (c2u2 ) = c1 T(u1) + c2 T(u2)
Aljabar Linear Elementer 2 Page 46
Secara umum jika u1, u2, ..., un adalah vektor-vektor di U dan c1, c2, ..., cn skalar-skalar,
maka berlaku :
T ( c1u1 + c2u2 + ... + cnun ) = c1 T(u1) + c2 T(u2) + ... + cn T(un)
Beberapa sifat lain yang dimiliki oleh suatu pemetaan linear diperlihatkan dalam
teorema berikut ini :
Teorema :
Jika T : V W suatu pemetaan linear, maka :
1. T(0) = 0
2. T(-v) = - T(v) untuk semua v V
3. T(u-v) = T(u) – T(v) untuk semua v V
Bukti :
Ambil sebarang u,v V, maka :
1. T(0) = T (0.v) = 0. T(v) = 0
2. T(-v) = T (-1.v) = -1 T(v) = -T(v)
3. T(u-v) = T ( u + (-v) ) = T(u) + T(-v) = T(u) + (-T(v)) = T(u) – T(v)
Contoh berikut menunjukkan bagaimana mencari aturan pengaitan dalam pemetaan
linear. Jika diketahui semua bayangan vektor-vektor basis untuk ruang vektor domainnya.
Contoh 3 :
Diketahui S = { v1, v2, v3 } adalah basis untuk R3
dengan v1 = (1,1,1) , v2 = (1,1,0 ) ,
v3 = (1,0,0). T : R3
R2
adalah pemetaan linear yang didefinisikan sebagai T(v1) = (1,0)
, T(v2) = (2,-1), T(v3) = (4,3). Carilah T (x,y,z) dan gunakan hasilnya untuk menghitung
T (2,-3,5) !
Jawab :
Ambil sebarang (x,y,z) R3
. Karena S basis untuk R3
, maka (x,y,z) R3
dapat
dinyatakan sebagai kombinasi linear dari S sehingga diperoleh :
(x,y,z) = c1(1,1,1) + c2(1,1,0) + c3(1,0,0)
Kita dapatkan c1 = z, c2 = y – z, c3 = x – y, sehingga
Aljabar Linear Elementer 2 Page 47
(x,y,z) = z(1,1,1) + (y-z)(1,1,0) + (x-y)(1,0,0)
= zv1 + (y-z)v2 + (x-y)v3
T(x,y,z) = zT(v1) + (y-z)T(v2) + (x-y)T(v3)
= z(1,0) + (y-z)(2,-1) + (x-y)(4,3)
= ( 4x-2y-z, 3x-4y+z )
T(2,-3,5) = ( 9, 23 )
Contoh 4 :
Carilah pemetaan linear T : P2 P2 untuk mana T(1) = 1+x, T(x) = 3-x2
,
T(x2
) = 4+2x-3x2
. Hitunglah T( 2-2x+3x2
)!
Jawab:
Ambil sebarang p P2 dengan p = a0 + a1x + a2x2
Karena { 1, x, x2
} merupakan basis standart dari P2, maka :
T(p) = T (a0 + a1x + a2x2
)
= a0 T(1) + a1 T(x) + a2 T(x2
)
= a0 (1+x) + a1 (3-x2
) + a2 (4+2x-3x2
)
= ( a0+3a1+4a2 ) + ( a0+2a2 )x + ( -a1-3a2 )x2
T(2-2x+3x2
) = 8 + 8x – 7x2
Karakteristik dari pemetaan linear dari Rm
ke Rn
ditunjukkan dalam teorema
berikut :
Teorema :
Misalkan T : Rm
Rn
. T pemetaan linear jika dan hanya jika ada Anxm sedemikian
sehingga T(u) = A(u) untuk setiap u Rm
.
Bukti :
Diketahui T pemetaan linear
Ambil sebarang x Rm
, dan basis standart untuk Rm
yaitu { e1, e2, ..., em }, maka
x = = x1e1 + x2e2 + ... + xmem
Aljabar Linear Elementer 2 Page 48
T(x) = T (x1e1 + x2e2 + ... + xmem )
Karena T pemetaan linear maka diperoleh :
T(x) = x1 T(e1) + x2 T(e2) + ... + xm T(em)
= ( T(e1) T(e2) ... T(em) )
Maka ditemukan A = ( T(e1) T(e2) ... T(em) ). Karena T(ei) Rn
, maka A berordo
nxm, Jadi ada Anxm sehingga T(x) = A(x) untuk setiap x Rm
.
Diketahui ada matriks nxm ( sebut A) sehingga T(u) = A(u) untuk setiap
u Rm
. Ambil sebarang x,y Rm
dan α R, maka :
T( x+y ) = A ( x+y )
= Ax + Ay = T(x) + T(y)
T(αx) = A(αx)
= α A(x) = α T(x)
Jadi T pemetaan linear.
Catatan :
Matriks A yang berkaitan dengan pemetaan linear T seperti yang disebutkan dalam
teorema di atas disebut matriks transformasi untuk pemetaan linear T.
Contoh 5 :
Misalkan T : R4
R3
pementaan linear yang didefinisikan oleh T(p,q,r,s) =
( 7p+2q-r+s, q+r, -p ). Carilah matriks transformasinya dan gunakan hasilnya untuk
menemukan T( 1,3,2,-1 ) !
Jawab :
Misalkan x = R4
, maka diperoleh :
T(x) = =
Aljabar Linear Elementer 2 Page 49
Jadi matiks transformasinya adalah : A = dan
T = =
Jadi T(1,3,2,-1) = (10,5,-1)
B. KERNEL DAN JANGKAUAN
Definisi :
Diketahui V, W ruang vektor.
Misalkan T : V W suatu pemetaan linear. Kernel T atau Inti (T) ditulis ker(T)
didefinisikan sebagai :
ker(T) = { v V ⎪ T(v) = 0 }
Sedangkan Range T atau Peta T ditulis R(T) didefinisikan sebagai :
R(T) = { w W ⎪ w = T(v) untuk suatu v V }
Jika TA : Rm
Rn
adalah pemetaan linear oleh matriks transformasi Anxm, maka
ker(TA) adalah ruang pemecahan dari Ax = 0.
Teorema :
Jika T : V W suatu pemetaan linear, maka kernel T adalah sub ruang dari V dan range
T adalah sub ruang dari W.
Bukti :
Telah dibuktikan bahwa T(0) = 0, maka 0 ker(T) sehingga ker(T) tidak kosong.
Selanjutnya ambil sebarang v1, v2 ker(T), maka T(v1) = 0 dan T(v2) = 0, sehingga
T( v1+v2 ) = T(v1) + T(v2) = 0 + 0 = 0
Jadi v1+v2 ker(T)
Aljabar Linear Elementer 2 Page 50
T ( αv1 ) = α T(v1) = α .0 = 0
Jadi αv1 ker(T). Jadi ker(T) sub ruang dari V. Terbukti.
Telah dibuktikan bahwa T(0) = 0, maka 0 R(T) sehingga R(T) tidak kosong.
Selanjutnya ambil sebarang x, y R(T) dan β R, maka x = T(a) dan y = T(b) untuk
suatu a, b V. Maka :
x + y = T(a) + T(b) = T ( a+b )
Karena a, b V maka a+b V, sehingga T ( a+b ) = x + y R(T).
Selanjutnya
βx = β T(a) = T ( βa )
Karena βa V, maka T ( βa ) = βx R(T)
Jadi R(T) sub ruang dari W. Terbukti.
Definisi :
Misal V, W ruang vektor
Jika T : V W suatu pemetaan linear, maka dimensi dari kernel T disebut nulitas(T)
dan dimensi dari Range T disebut rank(T)
Hubungan antara nulitas dan rank suatu pemetaan linear ditunjukkan dalam
teorema berikut ini :
Teorema :
Jika T : V W suatu pemetaan linear dari ruang vektor V berdimensi n ke suatu ruang
vektor W, maka
nulitas(T) + rank(T) = n
Bukti :
Misalkan nulitas(T) = r dan { v1, v2, ..., vr } basiss untuk ker(T). Maka { v1, v2, ..., vr }
bebas linear. Menurut teorema perluasan basis, maka ada n-r vektor yaitu vr+1, vr+2, ..., vn
sedemikian hingga { v1, v2, ..., vr, vr+1, vr+2, ..., vn } merupakan basis untuk V.
Akan dibuktikan bahwa n-r vektor dalam himpunan S = { T(vr+1), T(vr+2), ..., T(vn) }
merupakan basis untuk R(T). Jelas bahwa S R(T)
Aljabar Linear Elementer 2 Page 51
Akan ditunjukkan bahwa S membangun R(T). Ambil sebarang b R(T), maka
ada v V b = T(v). Karena { v1, v2, ..., vr, vr+1, vr+2, ..., vn } basis untk V, maka v dapat
dinyatakan sebagai :
v = c1v1 + c2v2 + ... + crvr + cr+1vr+1 + ... + cnvn
Karena v1, v2, ..., vr ker(T) maka T(v1) = 0, T(v2) = 0, ..., T(vr) = 0.
Sehingga kita peroleh :
b = T(v) = cr+1 T(vr+1) + cr+2 T(vr+2) + ... + cn T(vn)
Jadi S membangun R(T)
Selanjutnya akan ditunjukkan S bebas linear.
Pandang persamaan berikut :
cr+1 T(vr+1) + cr+2 T(vr+2) + ... + cn T(vn) = 0 ................... (1)
Karena T pemetaan linear maka (1) dapat ditulis :
T (cr+1 vr+1 + cr+2 vr+2 + ... + cn vn ) = 0
Hal ini menunjukkan bahwa cr+1 vr+1 + cr+2 vr+2 + ... + cn vn ker(T).
Karena { v1, v2, ..., vr } basis untuk ker(T), maka cr+1 vr+1 + cr+2 vr+2 + ... + cn vn dapat
dinyatakan sebagai kombinasi linear dari v1, v2, ..., vr sbb. :
cr+1 vr+1 + cr+2 vr+2 + ... + cn vn = c1v1 + c2v2 + ... + crvr
untuk suatu c1, c2, ..., cr R. Maka diperoleh :
c1v1 + c2v2 + ... + crvr - cr+1 vr+1 - cr+2 vr+2 - ... - cn vn = 0
Karena { v1, v2, ..., vr, vr+1, vr+2, ..., vn } bebas kinear, maka c1 = c2 = ... = cn = 0.
Secara khusus ditemukan cr+1 = cr+2 = ... = cn = 0, sehingga S bebas linear.
Jadi S basis untuk R(T) dengan rank(T) = n-r. Sehingga ditemukan :
Nulitas(T) + Rank(T) = r + (n-r) = n.
Terbukti.
Contoh :
Diketahui T : R3
R4
adalah pemetaan linear dengan matriks transformasi
A = .
Tentukan :
Aljabar Linear Elementer 2 Page 52
1. Ker(T), basis untuk ker(T) dan nulitas(T) !
2. R(T), basis untuk R(T) dan rank(T) !
Jawab :
1. Misalkan x ker(T) dengan x =
Ax = 0
= 0
Dengan OBE diperoleh penyelesaian sbb. : x1 = 0, x2 = t, x3 = 0 dengan t R.
Maka :
Ker(T) =
Karena ( 0,1,0 ) membangun dan bebas linear maka basis untuk ker(T) adalah
{ ( 0,1,0 ) }. Sehingga nulitas(T) = 1
2. Dengan melakukan perkalian langsung antara matriks A dengan vektor x
diperoleh :
R(T) =
Untuk mencari basis untuk R(T) sama dengan mencari basis untk ruang kolom
dari matriks A. Jadi dengan OBE diperoleh :
~
Maka basis untuk R(T) adalah ( 1,1,2,0 ), ( -1,1,2,1 )
Sehingga rank(T) = 2
Aljabar Linear Elementer 2 Page 53
LATIHAN SOAL :
1. Periksa apakah fungsi yang didefinisikan berikut merupakan suatu transformasi
linier.
a. T: R3
R2
dengan T(x1, x2, x3) = (x1-x2+x3, x2-4x3).
b. T: M2x2(R) R dengan T
dc
ba
= 3a - 4b + c - d.
c. T: P2 P2 dengan T(a0 + a1x + a2x2
) = a0 + a1(x+1) + a2(x+1)2
.
2. Diketahui transformasi linier T: P2 P3 yang didefinisikan oleh T(p(x)) = xp(x).
Manakah diantara vektor berikut yang termuat dalam Ker(T).
a. x2
b. 0
c. 1 + x
3. Diketahui transformasi linier T: P2 P3 yang didefinisikan oleh T(p(x)) = xp(x).
Manakah diantara vektor berikut yang termuat dalam R(T).
a. x + x2
.
b. 3 – x2
.
c. 1 + x.
Aljabar Linear Elementer 2 Page 54
NILAI EIGEN DAN VEKTOR EIGEN
A. NILAI DAN VEKTOR EIGEN/KARAKTERISTIK
Definisi :
Misalkan A matriks nxn dan x Rn
, x ≠ 0. Vektor x disebut vektor eigen / vektor
karakteristik dari A jika
Ax = λx
Untuk suatu λ R. Bilangan λ yang memenuhi persamaan di atas disebut nilai eigen /
nilai karakteristik. Vektor x disebut vektor eigen yang bersesuaian dengan λ.
Contoh :
Misalkan A = . Maka vektor x = merupakan vektor eigen dari A yang
bersesuaian dengan λ = 3, karena = 3
Untuk mencari nilai dan vektor eigen dari suatu matriks A berordo nxn adalah
sebagai berikut :
Misalkan A matriks nxn dan v Rn
, v ≠ 0 merupakan vektor eigen dari matriks
A, maka ada λ R ∋ Av = λv.
Av = λIv
( λI – A )v = 0
Tampak bahwa v merupakan penyelesaian dari SPL homogen ( λI – A )x = 0.
Karena v ≠ 0, maka SPL homogen ( λI – A )v = 0 mempunyai penyelesaian non trivial.
Ini hanya mungkin jika det ( λI – A ) = 0, artinya λ adalah penyelesaian persamaan dari
det λI – A) = 0. Det ( λI – A ) = 0 ini disebut persamaan karakteristik dari matriks A
Dari uraian di atas, kita memperoleh lemma sbb. :
Aljabar Linear Elementer 2 Page 55
Lemma :
Misalkan A matriks nxn. Λ R adalah nilai eigen dari matriks A jika dan hanya jika λ
adalah akar persamaan karakteristik det (λI-A) = 0. Sedangkan vektor eigen dari matriks
A yang bersesuaian dengan λ adalah penyelesaian dari SPL homogen ( λI – A ) x = 0
Himpunan penyelesaian SPL homogen ( λI – A ) x = 0 membentuk sub ruang dari
Rn
yang disebut ruang eigen atau ruang karakteristik utk nilai eigen λ ( ditulisεA(λ) ).
Contoh 1 :
Diketahui A = . Carilah nilai dan vektor eigen dari matriks A!
Jawab :
Persamaan karakteristik dari matriks A adalah :
det (λI-A) = 0
= 0
( λ-1 ) ( λ-2 ) ( λ-3 ) = 0
Jadi diperoleh nilai-nilai eigennya sbb. : λ1 = 1, λ2 = 2, λ3 = 3
Untuk mencari vektor eigen yang bersesuaian dengan nilai eigen λ1 = 1, kita
pandang SPL homogen sbb. :
( λ1I-A )x = 0 = 0
Dengan menggunakan OBE diperoleh : x1 = 0, x2 = s, x3 = 0
Jadi vektor eigen yang bersesuaian dengan λ1 = 1 adalah :
x = = s dengan s sebarang bilangan real.
Analog untuk vektor eigen yang bersesuaian dengan λ2 = 2, diperoleh :
x = = t dengan t sebarang bilangan real.
Sedangkan vektor eigen yang bersesuaian dengan λ3 = 3, diperoleh :
Aljabar Linear Elementer 2 Page 56
x = = r dengan r sebarang bilangan real.
Contoh 2 :
Diketahui A = . Carilah nilai dan vektor eigen dari A !
Jawab :
Persamaan karakteristik dari matriks A adalah :
det (λI-A) = 0
= 0
( λ-1 ) ( λ3
+ 2λ2
– λ – 2 ) = 0
Dengan menggunakan teoremasisa, persamaan karakteristik tersebut dapat difaktorkan
menjadi ( λ-1 )2
( λ+1 ) ( λ+2 ) = 0.
Jadi nilai-nilai karakteristik dari matriks A adalah : λ1 = 1, λ2 = 1, λ3 = -1, λ4 = -2
Analog contoh 1 diperoleh vektor eigen yang bersesuaian dengan λ = 1 adalah :
x = = t + s dengan s,t sebarang bilangan real.
Vektor eigen yang bersesuaian dengan λ = -1 adalah :
x = = r dengan r sebarang bilangan real.
Vektor eigen yang bersesuaian dengan λ = -2 adalah :
x = = p dengan p sebarang bilangan real.
Aljabar Linear Elementer 2 Page 57
Contoh 3 :
Diketahui A =
Dengan cara yang sama pada contoh 1 diperoleh nilai-nilai eigen sbb. : λ1 = 2,
λ2,3 = . Karena λ2,3 imajiner, maka nilai eigen dari matriks A hanyalah λ = 2.
Sedangkan vektor eigen yang bersesuaian dengan λ = 2 adalah :
x = = t dengan t sebarang bilangan real.
LATIHAN SOAL :
Tentukan polinomial, nilai, dan vektor karakteristik yang bersesuaian dengan nilai
karakteristik matriks berikut
1. A=
510
051
005
2. B=
201
810
265
3. C=
017
011
105
B. DIAGONALISASI
Ilustrasi :
Jika kita mempunyai matriks diagonal D = dan kita diminta mencari D25
,
maka dengan mudah kita akan menemukannya yaitu : D25
= .
Secara umum jika D matriks diagonal, maka :
Dm
=
Sekarang jika kita mempunyai matriks A berordo nxn yang bukan matriks diagonal, dan
kita diminta mencari Am
dengan m cukup besar, bagaimana kita menemukannya ?
Aljabar Linear Elementer 2 Page 58
Jika A dapat dinyatakan sebagai A = PDP-1
dengan P adalah matriks non singular berordo
nxn dan D matriks diagonal berordo nxn, maka :
A2
= ( PDP-1
) ( PDP-1
) = PD2
P-1
Dengan cara yang sama diperoleh :
Am
= PDm
P-1
Dari ilustrasi di atas, muncul suatu permasalahan diagonalisasi matriks yaitu :
Jika dipunyai A matriks nxn, apakah matriks non singular P berordo nxn dan matriks
diagonal D berordo nxn sedemikian sehingga A = PDP-1
? Jika ada maka dikatakan A
dapat didiagonalkan dan matriks non singular P yang memenuhi A = PDP-1
disebut
matriks yang mendiagonalkan A.
Definisi :
Sebuah matriks A berordo nxn dikatakan dapat didiagonalkan jika ada sebuah matriks
non singular p berordo nxn sehingga P-1
AP diagonal. Matriks P dikatakan
mendiagonalkan A
Teorema :
Jika A adalah sebuah matriks nxn, maka pernyataan-pernyataan berikut ekivalen satu
sama lain :
a. A dapat didiagonalkan
b. A mempunyai n vektor eigen yang bebas linear.
Bukti :
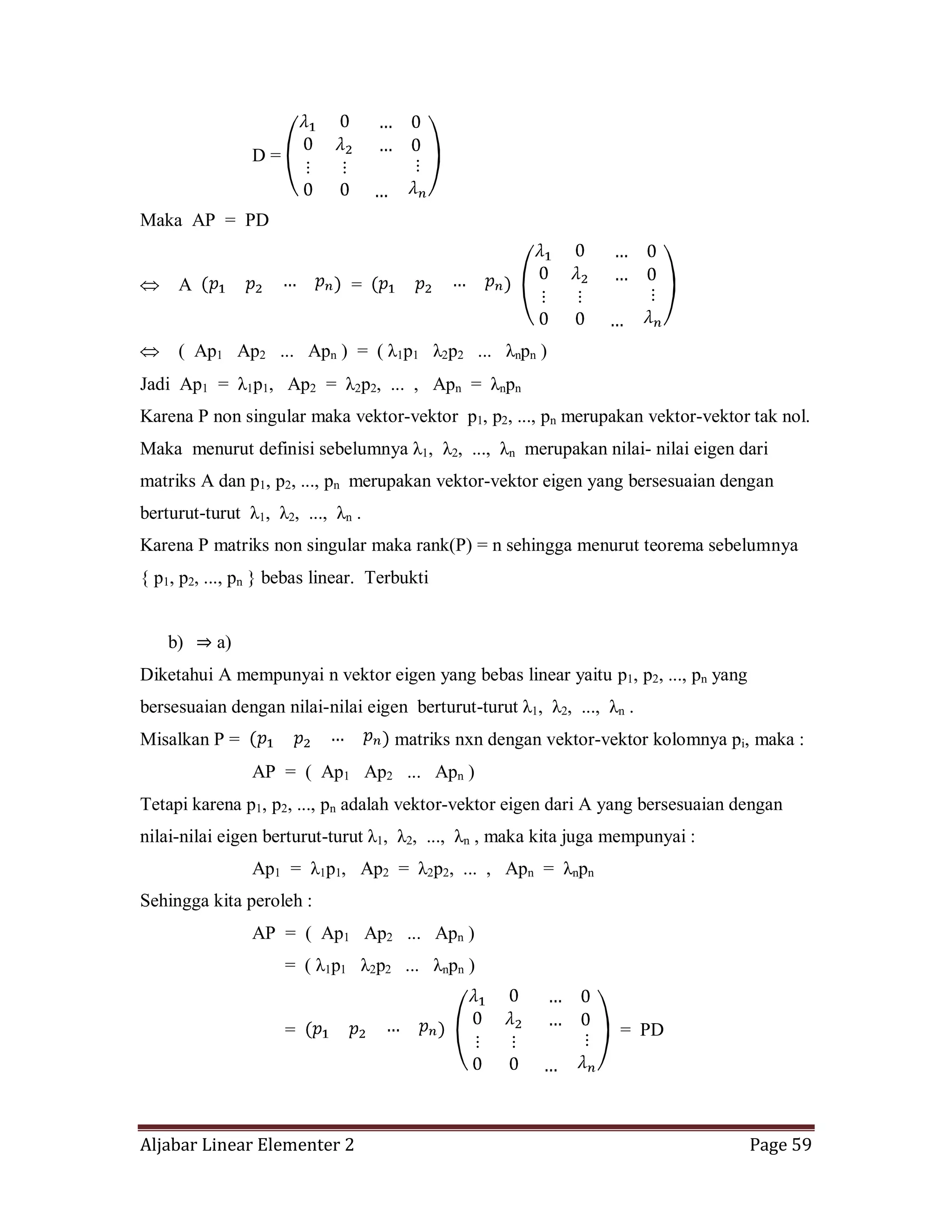
a) ⇒ b)
Diketahui A dapat didiagonalkan, maka ada matriks non singular P berordo nxn.
Misalkan P = =
Sehingga P-1
AP diagonal, katakanlah P-1
AP = D dimana :
Aljabar Linear Elementer 2 Page 59
D =
Maka AP = PD
A =
( Ap1 Ap2 ... Apn ) = ( λ1p1 λ2p2 ... λnpn )
Jadi Ap1 = λ1p1, Ap2 = λ2p2, ... , Apn = λnpn
Karena P non singular maka vektor-vektor p1, p2, ..., pn merupakan vektor-vektor tak nol.
Maka menurut definisi sebelumnya λ1, λ2, ..., λn merupakan nilai- nilai eigen dari
matriks A dan p1, p2, ..., pn merupakan vektor-vektor eigen yang bersesuaian dengan
berturut-turut λ1, λ2, ..., λn .
Karena P matriks non singular maka rank(P) = n sehingga menurut teorema sebelumnya
{ p1, p2, ..., pn } bebas linear. Terbukti
b) ⇒ a)
Diketahui A mempunyai n vektor eigen yang bebas linear yaitu p1, p2, ..., pn yang
bersesuaian dengan nilai-nilai eigen berturut-turut λ1, λ2, ..., λn .
Misalkan P = matriks nxn dengan vektor-vektor kolomnya pi, maka :
AP = ( Ap1 Ap2 ... Apn )
Tetapi karena p1, p2, ..., pn adalah vektor-vektor eigen dari A yang bersesuaian dengan
nilai-nilai eigen berturut-turut λ1, λ2, ..., λn , maka kita juga mempunyai :
Ap1 = λ1p1, Ap2 = λ2p2, ... , Apn = λnpn
Sehingga kita peroleh :
AP = ( Ap1 Ap2 ... Apn )
= ( λ1p1 λ2p2 ... λnpn )
= = PD
Aljabar Linear Elementer 2 Page 60
Dimana D adalah matriks diagonal yang mempunyai nilai-nilai eigen λ1, λ2, ..., λn
sebagai elemen-elemen pada diagonal utamanya. Karena vektor-vektor kolom dari P
bebas linear maka P non singular. Sehingga ditemukan P-1
AP = D. Jadi A dapat
didiagonalkan. Terbukti.
Dari bukti di atas, kita mendapatkan prosedur bagaimana langah-langkah
mendiagonalkansebuah matriks A yang berordo nxn sbb. :
1. Carilah n vektor eigen dari matriks A yang bebas linear yaitu p1, p2, ..., pn
2. Bentuklah matriks P yang vektor-vektr kolomnya adalah p1, p2, ..., pn
3. Maka matriks P-1
AP akan didiagonalkan ( P-1
AP = D ) dengan λ1, λ2, ..., λn
merupakan elemen-elemen diagonalnya secara berurutan, dimana λ1, λ2, ..., λn
adalah nilai-nilai eigen yang bersesuaian dengan pi, i = 1,2,..., n.
Teorema :
Misalkan A matriks nxn. Jika v1, v2, ..., vk adalah vektor-vektor eigen dari A yang
bersesuaian dengan nilai-nilai eigen λ1, λ2, ..., λk yang berbeda, maka { v1, v2, ..., vk }
adalah himpunan yang bebas linear
Contoh 4 :
Diketahui A = . Selidikilah apakah A dapat didiagonalkan ? Jika dapat,
carilah matriks P yang mendiagonalkan A.
Jawab :
Dalam contoh 1 telah diperoleh nilai dan vektor eigen dari matriks A.
Jika vektor-vektor eigen itu dikumpulkan diperoleh : . Menurut
teorema di atas, himpunan tersebut bebas linear. Karena ada 3 vektor yang bebas linear di
R3
maka menurut teorma sebelumnya A dapat didiagonalkan.
Matriks yang mendiagonalkan A adalah P = .
Aljabar Linear Elementer 2 Page 61
Dengan menggunakan OBE diperoleh P-1
=
Dan matriks diagonalnya adalah D =
Sehingga A = PDP-1
=
A = PDP-1
disebut dekomposisi diagonal matriks A
Teorema :
Misalkan A matriks nxn. λ1, λ2, ..., λk adalah nilai-nilai karakteristik yang berbeda. Jika
{ vi1, vi 2, ..., vin1 } adalah himpunan vektor-vektor eigen dari A yang bersesuaian dengan
λin yang bebas linear, maka { v11, v12, ..., v1n1, v21, v22, ..., v2n2, ..., vk1, vk2, ..., vknk }
bebas linear.
Contoh 5 :
Diketahui A = Selidiki apakah A dapat didiagonalkan? Jika dapat,
carilah matriks yang mendiagonalkan A dan dekomposisi diagonal matriks A !
Jawab :
Dalam contoh 2 telah diperoleh nilai dan vektor eigen dari matriks A.
Jika vektor-vektor eigen itu dikumpulkan diperoleh : .
Menurut teorema di atas, himpunan tersebut bebas linear. Karena ada 4 vektor yang
bebas linear di R4
maka menurut teorma sebelumnya A dapat didiagonalkan.
Matriks yang mendiagonalkan A adalah P =
Aljabar Linear Elementer 2 Page 62
Dengan menggunakan OBE ditemukan P-1
=
Jadi dekomposisi diagonal dari matriks A adalah :
A = PDP-1
=
Contoh 6 :
Diketahui A = . Selidiki apakah A dapat didiagonalkan? Jika dapat,
carilah matriks yang mendiagonalkan A dan dekomposisi diagonal matriks A !
Jawab :
Dalam contoh 3 telah diperoleh nilai dan vektor eigen dari matriks A.
Jika vektor-vektor eigen itu dikumpulkan diperoleh yang bebas linear
Karena hanya ditemukan 1 vektor eigen yang bebas linear di R3
, maka menurut terorema
A tidak dapat didiagonalkan.
LATIHAN SOAL :
Tentukan apakah matriks berikut dapat didiagonalkan? Jika ya, tentukan metriks
pendiagonalnya.
1. A=
510
051
005
2. B=
201
810
265
3. C=
017
011
105

Bahan ajar alin 2 rev 2014 pdf

  • 1.
    Aljabar Linear Elementer2 Page 1 KEMENTERIAN PENDIDIKAN DAN KEBUDAYAAN UNIVERSITAS NEGERI SEMARANG (UNNES) Kantor: Gedung H lt 4 Kampus, Sekaran, Gunungpati, Semarang 50229 Rektor: (024)8508081 Fax (024)8508082, Purek I: (024) 8508001 Website: www.unnes.ac.id - E-mail: unnes@unnes.ac.id FORMULIR FORMAT BAHAN AJAR No. Dokumen FM-02-AKD-07 No. Revisi 00 Hal 1 dari 1 Tanggal Terbit 1 September 2012 BAHAN AJAR MATA KULIAH : ALJABAR LINEAR ELEMENTER 2 SEMESTER : GENAP 2013-2014 PROGRAM STUDI PENDIDIKAN MATEMATIKA FAKULTAS MATEMATIKA DAN ILMU PENGETAHUAN ALAM UNIVERSITAS NEGERI SEMARANG TAHUN 2013-2014
  • 2.
    Aljabar Linear Elementer2 Page 2 BAB 1 PENDAHULUAN A. Deskripsi : Meliputi ruang vektor, basis dan dimensi, ruang baris dan ruang kolom, ruang perkalian dalam, basis orthogonal dan basis ortonormal, proses Gram-Schmidt, koordinat dan perubahan basis, transformasi linear dan sifat-sifatnya, nilai karakteristik, vektor karakteristik dan diagonalisasi. Materi disajikan dengan memperhatikan nilai demokratis, logis, kritis, kreatif dan santun. Tugas-tugas dikerjakan dengan kerja keras penuh kejujuran dan tanggung jawab. B. Prasyarat : Telah mengambil mata kuliah Aljabar Linear I yang mempelajari tentang sistem persamaan linear, matriks, determinan dan vektor di R2 /R3 /Rn . C. Petunjuk Belajar Harus paham tentang himpunan dan dapat mengenali anggota himpunan; menggunakan logika berpikir yang runtut dalam mendalami teorema; banyak berlatih dan teliti. D. Capaian Pembelajaran/Kompetensi Mata Kuliah dan Indikator Kompetensi Capaian Pembelajaran/Kompetensi Mata Kuliah : Pada akhir perkuliahan ini, mahasiswa diharapkan dapat : memahami dan menguasai konsep dasar Aljabar Linear mengenai ruang vektor, transformasi linear dan diagonalisasi serta dapat menggunakannya dalam menyelesaikan masalah-masalah yang terkait secara kritis, kreatif, logis dan jujur.
  • 3.
    Aljabar Linear Elementer2 Page 3 Indikator Kompetensi : Pada akhir perkuliahan ini, mahasiswa diharapkan dapat : memeriksa apakah suatu himpunan merupakan ruang vector atau bukan. menggunakan sifat2 ruang vektor dalam pembuktian teorema memeriksa apakah suatu himpunan bagian ruang vektor merupakan sub ruang atau bukan. menggunakan sifat2 sub ruang dalam pembuktian teorema memeriksa apakah suatu himpunan merentang ruang vektor atau tidak memeriksa apakah suatu himpunan bebas linear atau bergantung linear menentukan basis utk suatu ruang vector menentukan dimensi suatu ruang vector menggunakan pengetian dan sifat2 merentang, bebas linear dan bergantung linear, basis dan dimensi dalam pembuktian teorema menjelaskan pengertian ruang baris dan ruang kolom suatu matriks. menentukan basis untuk ruang baris dan ruang kolom suatu matriks menentukan rank ruang baris dan ruang kolom suatu matriks menggunakan pengertian dan sifat2 rang baris dan ruang kolom dalam pembuktian teorema memeriksa himpunan dengan suatu operasi merupakan ruang perkalian dalam atau bukan menentukan matriks transisi dari suatu basis ke basisi lain alam suatu ruang vector menggunakan pengertian vektor koordinat dalm pembuktian teorema, menentukan apakah suatu fungsi merupakan transformasi linear atau bukan menentukan definisi fungsi yang merupakan transformasi linear menggunakan pengertian transformasi linear dalam pembuktian teorema menentukan kernel dan range dari suatu transformasi linear menentukan basis untuk kernel dan range suatu transformasi linear menentukan rank dan nullitas suatu transformasi linear menggunakan pengertian kernel dan range dalam pembuktian teorema menentukan polynomial karakteristik suatu matriks menentukan nilai karakteristik suatu matriks menetukan vector katakteristik untuk suatu nilai karakteristik tertentu menemukan basis untuk ruang karakteristik. Menggunakan pengertian nilai dan vektor eigen serta diagonalisasi dalam pembuktian teorema menentukan norm, sudaut dan jarak antara 2 vektor menentukan himpunan yang orthogonal dan ortonormal menggunakan pengertian ruang perkalian dalam dalam, ortogonal dan ortonormal dalam pembuktian teorama mengubah basis biasa menjadi basis orthogonal dan ortonormal dengan proses Gram-Schmidt menggunakan pengertian basis ortonormal dalam pembuktian teorema menentukan koordinat vector relative terhadap basis
  • 4.
    Aljabar Linear Elementer2 Page 4 menentukan apakah suatu matriks dapat didiagonalkan atau tidak menentukan dekomposisi matriks yang dapat didiagonalkan Tujuan penulisan bahan ajar Bahan ajar ini dimaksudkan untuk membantu mahasiswa dalam mengikuti perkuliahan Aljabar Linear Elementer. Tujuan utama bahan ajar ini adalah menyajikan materi Aljabar Linear Elementer sedemikian rupa sehingga mahasiswa yang kemampuannya rata-rata dapat memahaminya dengan mudah.
  • 5.
    Aljabar Linear Elementer2 Page 5 MATERI AJAR RUANG VEKTOR UMUM A. RUANG VEKTOR Pada perkuliahan Aljabar Linear Elementer 1 kita telah mempelajari vektor2 di R2 , R3 maupun Rn dengan operasi penjumlahan vektor dan perkalian vektor dengan skalar. Sekarang kita akan menyelidiki sifat2 kedua operasi tersebut terhadap vektor2 di R2 sbb. : Misalkan u, v, w V dan k, l R maka berlaku : 1. u + v R2 2. u + v = v + u 3. ( u + v ) + w = u + ( v + w ) 4. Ada elemen identitas yaitu vektor 0 V sedemikian sehingga 0 + u = u + 0 = u 5. Untuk setiap u V, ada –u V sedemikian sehingga u + -u = -u + u = 0 6. ku R2 7. k ( u + v ) = ku + kv 8. ( k + l ) u = ku + lu 9. ( kl ) u = k ( lu ) 10. 1.u = u Analog, sifat2 tersebut juga berlaku pada R3 maupun Rn . Karena R2 /R3 /Rn dengan operasi penjumlahan dan perkalian dengan skalar memenuhi 10 sifat di atas, maka R2 /R3 /Rn disebut ruang vektor. Berikut ini akan didefinisikan secara formal ruang vektor umum. Definisi : Misalkan V sebarang humpunan yang tak kosong dengan operasi penjumlahan dan perkalian dengan skalar yang terdefinisi pada semua anggota V dan semua skalar di R, V disebut ruang vektor jika untuk setiap u, v, w V dan k, l R berlaku : 1. u + v V 2. u + v = v + u
  • 6.
    Aljabar Linear Elementer2 Page 6 3. ( u + v ) + w = u + ( v + w ) 4. Ada elemen identitas yaitu vektor 0 V sedemikian sehingga 0 + u = u + 0 = u 5. Untuk setiap u V, ada –u V sedemikian sehingga u + -u = -u + u = 0 6. ku V 7. k ( u + v ) = ku + kv 8. ( k + l ) u = ku + lu 9. ( kl ) u = k ( lu ) 10. 1.u = u Anggota dari suatu ruang vector disebut vector Contoh 1 : Misalkan P2 = { ax2 + bx + c a, b, c R }. Jika u, v P2 dengan u = a2x2 + a1x + a0 dan v = b2x2 + b1x + b0 dan k skalar di R, operasi penjumlahan dan perkalian dengan skalar yang didefinisikan sbb : u + v = (a2 + b2) x2 + (a1 + b1) x + (a0 + b0) dan ku = ka2 x2 + ka1 x + ka0 Dengan operasi tersebut maka P2 merupakan ruang vektor. Contoh 2 : Misal V adalah himpunan fungsi real yang didefinisikan pada bilangan real ( - , ) dengan f = f(x) dan g = g(x) adalah 2 fungsi di V serta k suatu bilangan real. Jika operasi penjumlahan dan perkalian dengan skalar didefinisikan sbb : ( f + g ) (x) = f(x) + g(x) dan ( kf ) (x) = k ( f(x) ) untuk setiap x R Maka V ruang vektor. Contoh 3 : Misalkan W = R2 . Jika u = 2 1 u u dan v = 2 1 v v di W dan k R dengan operasi penjumlahan dan perkalian dengan skalar yang didefinisikan sbb :
  • 7.
    Aljabar Linear Elementer2 Page 7 u + v = 21 21 vv uu dan ku = 0,1ku Misal kita mengambil u = ( 2, 3 ). Kita akan melihat sifat 10 tidak berlaku, sbb : 1.u = 1. ( 2, 3 ) = ( 1.2, 0 ) = ( 2, 0 ) ≠ u Maka W bukan ruang vektor. Catatan : Untuk menyelidiki suatu himpunan bukan merupakan ruang vektor, cukup ditunjukkan negasi dari salah satu sifat-sifat ruang vektor. Pada contoh di atas, cukup ditunjukkan bahwa ada u W sedemikian hingga 1.u ≠ u. LATIHAN SOAL : Periksa apakah himpunan berikut dengan operasi penjumlahan dan perkalian yang didefinisikan merupakan ruang vektor. 1. R2 dengan penjumlahan dan perkalian skalar yang didefinisikan sebagai berikut (a,b) + (c,d) = (a+c, b+d); k(a,b)=(ka, b) untuk setiap k di R dan (a,b), (c,d) di R2 . 2. R,| 1 1 diba b a dengan penjumlahan matriks dan perkalian matriks dengan skalar. 3. R,| diba bba baa dengan penjumlahan matriks dan perkalian matriks dengan skalar.
  • 8.
    Aljabar Linear Elementer2 Page 8 B. RUANG BAGIAN Perhatikan contoh berikut ini : Misalkan W = Rdcbada dc ba ,,,,0/ dengan operasi standar penjumlahan pada matriks dan perkalian matriks dengan skalar, maka W merupakan ruang vektor. Jika kita pandang W sebagai himpunan bagian dari M2x2(R) dan kita lihat bahwa definisi operasi penjumlahan dan perkalian dengan skalar pada W sama dengan definisi operasi penjumlahan dan perkalian dengan skalar pada M2x2(R), maka situasi yang demikian dapat kita katakan W merupakan ruang bagian dari M2x2(R). Definisi formal dari suatu ruang bagian adalah sbb. : Definisi : Misalkan V ruang vektor. W V, W ≠ . W disebut ruang bagian dari V jika W dengan operasi penjumlahan dan perkalian dengan skalar yang sama dengan operasi pada V, merupakan ruang vektor. Misalkan W V, W ≠ . Jika operasi penjumlahan dan perkalian dengan skalar di V juga merupakan operasi penjumlahan dan perkalian dengan skalar di , maka beberapa sifat operasi di ruang vektor V diwariskan pada operasi di W yauitu sifat 2, 3, 7, 8, 9, dan 10. Sehingga untuk mengetahui apakah W merupakan ruang bagian dari V, kita tinggal menunjukkan sifat 1, 4, 5, dan 6 berlaku pada W. Hal ini mendasari teorema berikut ini : Teorema : Misalkan V ruang vektor. W V, W ≠ . W disebut ruang bagian dari V jika dan hanya jika untuk setiap u, v W dan k R berlaku : a). u + v W b). ku W
  • 9.
    Aljabar Linear Elementer2 Page 9 Bukti : Diketahui W ruang bagian dari ruang vektor V, maka menurut definisi W memenuhi semua sifat ruang vektor, sehingga sifar a) dan b) dipenuhi. Berdasarkan uraian di atas, untuk menunjukkan W ruang bagian dari V, tinggal menunjukkan sifat 1, 4, 5, dan 6. Karena diketahui a) dan b) maka sifar 1 dan 6 dipenuhi, sehingga kita tinggal menunjukkan sifat 4 dan 5 sbb. : Misalkan u,v sebarang vektor di W dan k skalar. Oleh b) diperoleh ku W. Misalkan diambil k = 0 maka diperoleh 0.u = 0 W, dan jika diambil k = -1 maka diperoleh (-1).u = -u W, sedemikian sehingga u + (-u) = (-u) + u = 0, sehingga sifat 5 dipenuhi. Oleh a) diperoleh u + v W. Misalkan u = 0 maka diperoleh 0 + v = v + 0 = v, sehingga sifat 4 dipenuhi. Terbukti. Contoh 1 : Misalkan V = { ( x, y, z ) ax + by + cz = 0 }. Selidikilah apakah V dengan operasi standar penjumlahan dan perkalian dengan skalar pada R3 merupakan ruang bagian dari R3 ! Jawab : Jelas bahwa V R3 V himpunan tak kosong karena ( 0, 0, 0 ) V Selanjutnya ambil sebarang u, v V dan k R, maka u = ( u1, u2, u3 ) dimana au1 + bu2 + cu3 = 0 v = ( v1, v2, v3 ) dimana av1 + bv2 + cv3 = 0 Sehingga u + v = ( u1+v1, u2+v2, u3+v3 ) dimana a (u1+v1 ) + b (u2+v2 ) + c (u3+v3 ) = (au1 + bu2 + cu3 ) + (av1 + bv2 + cv3 ) = 0 + 0 = 0 Jadi u + v V Selanjutnya
  • 10.
    Aljabar Linear Elementer2 Page 10 ku = ( ku1, ku2, ku3 ) dimana aku1 + bku2 + cku3 = k (au1 + bu2 + cu3 ) = k. 0 = 0 Sehingga ku V Jadi dapat disimpulkan bahwa V ruang bagian dari R3 . Contoh 2 : Misalkan W adalah himpunan semua polinomial a0 + a1x + a2x2 + a3x3 dimana a0, a1, a2, a3 Z. Selidiki apakah W ruang bagian dari P3 ! Jawab : Akan ditunjukkan bahwa W bukan ruang bagian dari P3 Ambil k = ½ dan u = 3 + 2x + 5x2 + x3 Maka ku = ½ ( 3 + 2x + 5x2 + x3 ) = 32 2 1 2 5 2 3 xxx W Jadi ada k R dan u W sedemikian sehingga ku W. Maka W bukan ruang bagian dari P3. Catatan : Untuk menunjukka bahwa suatu himpunan W V bukan merupakan ruang bagian dari V, cukup menunjukkan negasi salah satu dari kedua sifat ruang bagian. LATIHAN SOAL : Periksa apakah himpunan berikut merupakan ruang bagian ! 1. A = {(a, b, c)|b=a+c} R3 . 2. B = {(a, b, c)|b=a+c+1} R3 . 3. W = {A M2x2(R) |A = At } M2x2(R). 4. C = {a + bx + cx2 | a + b + c = 0} P2(x).
  • 11.
    Aljabar Linear Elementer2 Page 11 C. MERENTANG/MEMBANGUN Definisi : Suatu vektor w disebut kombinasi linear dari vektor-vektor v1, v2, ..., vn jika ada skalar- skalar k1, k2, ..., kn sedemikian sehingga w = k1v1 + k2v2 + ... + knvn Contoh : Misalkan u = ( 1, 2, -1 ) dan v = ( 6, 4, 2 ) di R3 . Selidiki apakah w = ( 9, 2, 7 ) dan x = ( 4, -1, 8 ) merupakan kombinasi linear dari u dan v ! Jawab : a). Pandang persamaan dengan variabel tak diketahui k1 dan k2 sbb. : ( 9, 2, 7 ) = k1 ( 1, 2, -1 ) + k2 ( 6, 4, 2 ) = ( k1 + 6k2 , 2k1 + 4k2 , -k1 + 2k2 ) Bentuk SPLnya 9 = k1 + 6k2 2 = 2k1 + 4k2 7 = -k1 + 2k2 Penyelesaian SPL tersebut adalah k1 = -3 dan k2 = 2 Jadi w = -3u + 2v atau w merupakan kombinasi linear dari u dan v. b). Pandang persamaan dengan variabel tak diketahui k1 dan k2 sbb. : ( 4, -1, 8 ) = ( k1 + 6k2 , 2k1 + 4k2 , -k1 + 2k2 ) Bentuk SPLnya 4 = k1 + 6k2 -1 = 2k1 + 4k2 8 = -k1 + 2k2 SPL tsb. tidak mempunyai penyelesaian. Jadi x bukan kombinasi linear dari u dan v. Teorema berikut menunjukkan bahwa jika V ruang vektor dan kita mempunyai himpunan W yang merupakan himpunan semua kombinasi linear dari { v1, v2, ..., vn } V maka W ruang bagian dari V.
  • 12.
    Aljabar Linear Elementer2 Page 12 Teorema : Jika v1, v2, ..., vn adalah vektor-vektor pada ruang vektor V, maka : 1. Jika W himpunan semua kombinasi linear dari v1, v2, ..., vn , maka W merupakan ruang bagian dari V. 2. W adalah ruang bagian terkecil dari V yang memuat v1, v2, ..., vn , yang berarti bahwa setiap ruang bagian di V yang memuat v1, v2, ..., vn, pasti memuat W. Bukti : 1). Ambil sebarang u, v W dan k R, maka : u = a1v1 + a2v2 + ... + anvn v = b1v1 + b2v2 + ... + bnvn untuk suatu a1, a2, ..., an R dan b1, b2, ..., bn R. Sehingga : u + v = ( a1 + b1 ) v1 + ( a2 + b2 ) v2 + ... + ( an + bn ) vn Karena ( a1 + b1 ), ( a2 + b2 ), ..., ( an + bn ) R maka u + v W ku = ka1v1 + ka2v2 + ... + kanvn Karena ka1, ka2, ..., kan R, maka ku W Jadi W ruang bagian dari V 2). Setiap vektor vi adalah kombinasi linear dari v1, v2, ..., vn, karena dapat ditulis sbb. : vi = 0v1 + 0v2 + ... + 1vi + ... + 0vn Karena itu ruang bagian W memuat semua vektor-vektor v1, v2, ..., vn. Misalkan W’ adalah sebarang ruang bagian dari V yang memuat v1, v2, ..., vn. Karena W’ tertutup terhadap operasi penjumlahan dan perkalian dengan skalar, maka pasti memuat semua kombinasi linear dari v1, v2, ..., vn. Jadi W’ memuat semuat semua vektor di W, atau dapat dikatakan W’ memuat W. Terbukti Definisi : Jika V ruang vektor dan S = { v1, v2, ..., vn } V, maka v1, v2, ..., vn dikatakan membangun/merentang V jika setiap vektor v V dapat dinyatakan sebagai kombinasi linear dari v1, v2, ..., vn. Contoh 1 :
  • 13.
    Aljabar Linear Elementer2 Page 13 a. S = { (1,0,0), (0,1,0), (0,0,1) membangun/merentang ruang vektor R3 b. Himpunan { 1, x, x2 , ..., xn } membangun ruang vektor Pn, c. B = membangun ruang vektor M2x2(R) Contoh 2 : Selidiki apakah v1 = (1,1,1) , v2 = (1,2,3) dan v3 = (2,3,3) membangun ruang vektor R3 ? Jawab : Ambil sebarang vektor v R3 dengan v = ( x,y,z ). Akan kita cari apakah ada skalar- skalar k1, k2, k3 sedemikian sehingga : ( x,y,z ) = k1 (1,1,1) + k2 (1,2,3) + k3 (2,3,3) Bentuk SPLnya x = k1 + k2 + 2k3 y = k1 + 2k2 + 3k3 z = k1 + 3k2 + 3k3 Bentuk matriksnya Dengan melakukan OBE diperoleh : , , Jadi berapapun v = ( x,y,z) di R3 , selalu ditemukan k1, k2, k3. Maka dapat disimpulkan { v1, v2, v3 } membangun R3 . Contoh 3 : Selidiki apakah v1 = (1,1,2) , v2 = (1,0,1) dan v3 = (2,1,3) membangun ruang vektor R3 ? Jawab : Ambil sebarang vektor v R3 dengan v = ( b1, b2, b3 ). Akan kita cari apakah ada skalar- skalar k1, k2, k3 sedemikian sehingga : ( b1, b2, b3 ) = k1 (1,1,2) + k2 (1,0,1) + k3 (2,1,3) Bentuk SPL nya :
  • 14.
    Aljabar Linear Elementer2 Page 14 b1 = k1 + k2 + 2k3 b2 = k1 + k3 b3 = 2k1 + k2 + 3k3 Bentuk matriksnya : 3 2 1 3 2 1 312 101 211 b b b k k k ...............................(1) Jika kita mengambil ( b1, b2, b3 ) = ( 1, 1, 1 ), maka dengan melakukan OBE kita peroleh : 1312 1101 1211 1312 1211 1101 1110 0110 1101 1000 0110 1101 Dengan memperhatikan baris ketiga, kita tahu bahwa SPL ini inconsisten, sehingga tidak ditemukan skalar-skalar k1, k2, k3. Jadi (1, 1, 1 ) tidak dapat dinyatakan sebagai kombinasi linear dari v1, v2, v3, maka dapat dikatakan bahwa { v1, v2, v3 } tidak membangun R3 . Pandang (1) Kita telah mempelajari bahwa SPL akan selalu konsisten ( mempunyai penyelesaian ) untuk sebarang b1, b2, b3 jika dan hanya jika matriks koefisiennya mempunyai balikan. Kita tahu bahwa matriks persegi akan mempunyai balikan jika determinannya tidak sama dengan nol. Karena det 312 101 211 = 0, maka matriks koefisien tersebut tidak mempunyai balikan. Jadi kita tidak dapat menemukan skala-skalar k1, k2, k3 untuk sebarang b1, b2, b3, sehingga dapat dikatakan bahwa { v1, v2, v3 } tidak membangun R3 . Dari contoh di atas, dapat kita simpulkan bahwa jika kita mendapatkan matriks koefisien dari SPL yang terjadi itu merupakan matriks persegi, maka untuk menentukan vektor-
  • 15.
    Aljabar Linear Elementer2 Page 15 vektor dari ruang vektor V yang diketahui itu membangun suatu ruang bagian dari V bisa dengan menunjukkan bahwa determinannya tidak sama dengan nol. Perhatikan contoh 2. Matriks koefisien yang terbentuk adalah matriks persegi yaitu Det (A) ≠ 0. Karena itu SPL di atas selalu mempunyai jawab. Jadi { v1, v2, v3 } membangun R3 . Contoh 4 : Selidiki apakah S = { v1, v2, v3, v4 } R3 dengan v1 + ( 1, 0, 0 ), v2 = ( 0, 1, 0 ) v3 = ( 0, 1, 1), v4 = ( 1, 1, 1 ) membangun R3 ! Jawab : Ambil v = ( x, y, z ) R3 sebarang dan skalar-skalar k1, k2, k3. dan k4 Bentuk persamaan : v = k1v1 + k2v2 + k3v3 + k4v4 Bentuk SPLnya : x = k1 + k4 y = k2 + k3 + k4 z = k3 + k4 Bentuk matriksnya : z y x k k k k 4 3 2 1 1100 1110 1001 Dengan melakukan OBE diperoleh : k1 + k4 = x, k2 = y – z, k3 + k4 = z. Jika dimisalkan k4 = t, maka diperoleh : k1 = x – t, k2 = y – t, k3 = z – t, k4 = t, dengan t R. Jadi ada k1, k2, k3, k4 R v R, v = k1v1 + k2v2 + k3v3 + k4v4.
  • 16.
    Aljabar Linear Elementer2 Page 16 Jadi S membangun V. LATIHAN SOAL Periksa apakah himpunan berikut merentang ruang vektor yang bersesuaian. 1. {(1,1,1), (2,2,0), (3,0,0)} R3 . 2. {1 + 2x – x2 , 3 + x2 } P2(x). 3. 01 10 , 01 01 , 00 11 M2x2(R). 4. { (1,1,1,1), (1,2,3,4)} R4 5. { (1,3,3), (1,3,4), (1,4,3),(6,2,1)} D. BEBAS LINEAR Pada bagian ini kita akan mempelajari tentang suatu himpunan vektor dikatakan bebas linear atau bergantung linear, beserta sifat-sifatnya. Definisi : Jika S = { v1, v2, ..., vn } V himpunan vektor tak kosong, maka persamaan : k1v1 + k2v2 + ... + knvn = 0 mempunyai sekurang-jurangnya satu penyelesaian yaitu k1 = 0, k2 = 0, ..., kn = 0 Jika penyelesaian di atas merupakan satu-satunya penyelesaian, maka S disebut himpunan yang bebas linear. Jika masih ada penyelesaian yang lain, maka S disebut himpunan yang tak bebas linear atau disebut himpunan yang bergantung linear. Contoh 1 : a. S = { (1,0,0), (0,1,0), (0,0,1) } bebas linear b. Himpunan { 1, x, x2 , ..., xn } bebas linear c. B = bebas linear
  • 17.
    Aljabar Linear Elementer2 Page 17 Contoh 2 : Misalkan W = { p1, p2, p3 } P2 dengan p1 = 1 – x , p2 = 5 + 3x – 2x2 , p3 = 1 + 3x – x2 Selidiki apakah W merupakan himpunan yang bebas linear ? Jawab : Bentuk persamaan : k1p1 + k2p2 + k3p3 = 0 Bentuk SPL homogennya : k1 + 5k2 + k3 = 0 -k1 + 3k2 + 3k3 = 0 -2k2 - k3 = 0 Bentuk matriksnya 0 0 0 120 331 151 3 2 1 k k k Dengan melakukan OBE diperoleh : k1 = 2 3 k3, k2 = - 2 1 k3 Jika diambil k3 = 2t, dengan t R maka diperoleh k1 = 3t, k2 = -t, k3 = 2t SPL homogen di atas mempunyai tak hingga penyelesaian, dengan kata lain ada penyelesaian lain selain nol. Jadi W tak bebas linear atau bergantung linear. Jika kita lihat contoh di atas, koefisien matriks yang terbentuk mempunyai determinan sama dengan nol yang berakibat bahwa SPL homogen yang terbentuk mempunyai lebih dari satu penyelesaian. Sehingga W merupakan himpunan yang tak bebas linear. Jadi dari contoh di atas, kita juga dapat menyimpulkan bawa jika kita mendapatkan matriks koefisien dari SPL itu merupakan matriks persegi, maka untuk
  • 18.
    Aljabar Linear Elementer2 Page 18 mementukan suatu himpunan itu bebas linear, cukup dengan menunjukkan bahwa determinan matriks koefisiennya tidak sama dengan nol. Contoh 3 : Selidiki apakah S = { a, b, c } R3 dengan a = ( 1, 1, 1 ), b = (1, 2, 3 ) dan c = ( 2, 3, 3 ) merupakan himpunan yang bebas linear ? Jawab : Bentuk persamaan 0 = k1a + k2b + k3c Seperti contoh sebelumnya, diperoleh determinan matriks koefisiennya tidak sama dengan nol, maka S bebas linear. Dari contoh di atas, dapat dikembangkan suatu teorema di bawah ini yang dapat mementukan apakah suatu himpunan itu merupakan himpunan yang bebas linear atau himpunan yang bergantung linear. Teorema : Misalkan S adalah himpunan yang terdiri dari 2 vektor atau lebih. Maka : S dikatakan bergantung linear jika dan hanya jika terdapat sekurang-kurangnya satu vektor dalam S yang dapt dinyatakan sebagai kombinasi linear dari vektor-vektor lain di S. S dikatakan bebas linear jika dan hanya jika tidak ada vektor di S yang dapat dinyatakan sebagai kombinasi linear dari vektor-vektor di S. Bukti : sebagai latihan Teorema : Himpunan yang berhingga yang memuat vektor nol adalah bergantung linear Himpunan yang hanya memuat 2 vektor dikatakan bebas linear jika dan hanya jika vektor yang satu bukan merupakan kelipatan dari vektor yang lain.
  • 19.
    Aljabar Linear Elementer2 Page 19 Bukti sebagai latihan Kita pandang contoh berikut ini : Misalkan S = { a, b, c } R2 dengan a = (1, 2 ), b = ( 2, 2 ), c = ( 1, -2 ). Selidiki apakah S bebas linear ? Jawab : Kita bentuk persamaan : 0 = k1a + k2b + k3c Bentuk matriksnya : 0 0 222 121 3 2 1 k k k Dengan melakukan OBE diperoleh penyelesaian sbb. : k1 = t, k2 = -2t , k3 = t, dengan t R. Artinya SPL tersebut mempunyai penyelesaian tak nol, misalnya k1 = 1, k2 = -2, k3 = 1 adalah salah satu penyelesaian SPL di atas. Jadi S bergantung linear. Dari contoh di atas kita lihat bahwa suatu himpunan vektor-vektor di Rn yang banyaknya anggota lebih dari n merupakan himpunan yang bergantung linear. Dari contoh tersebut dikembangkan teorema yang memperlihatkan bahwa himpunan vektor- vektor dalam Rn yang bebas linear paling banyak memuat n vektor. Teorema : Misalkan S = { v1, v2, ..., vr } suatu himpunan vektor di Rn . Jika r n, maka S bergantung linear. Bukti sebagai latihan.
  • 20.
    Aljabar Linear Elementer2 Page 20 LATIHAN SOAL Periksa apakah himpunan berikut bebas linear ruang vektor yang bersesuaian. 1. {(1,1,1), (2,2,0), (3,0,0)} R3 . 2. {1 + 2x – x2 , 3 + x2 } P2(x). 3. 01 10 , 01 01 , 00 11 M2x2(R). 4. { (1,1,1,1), (1,2,3,4)} R4 5. { (1,3,3), (1,3,4), (1,4,3),(6,2,1)} E. BASIS DAN DIMENSI Definisi : Jika V sebarang ruang vektor dan S = { v1, v2, ..., vn } V, maka S disebut basis dari V jika S membangun dan bebas linear. Contoh 1 : a). { (1,0,0), (0,1,0), (0,0,1) } merupakan basis standar dari R3 b). { 1, x, x2 , ..., xn } merupakan basis standar dari Pn c). 10 00 , 01 00 , 00 10 , 00 01 merupakan basis standar dari M2x2(R) Contoh 2 : Jika S = S = { a, b, c } R3 dengan a = ( 1, 1, 1 ), b = (1, 2, 3 ) dan c = ( 2, 3, 3 ), dari contoh sebelumnya diperoleh S membangun R3 dan bebas linear. Jadi S basis untuk R2 Contoh 3 : Jika S = { v1, v2, ..., vn } merupakan himpunan yang bebas linear dalam ruang vektor V, maka S adalah basis untuk ruang bagian dari V yang dibangun oleh S.
  • 21.
    Aljabar Linear Elementer2 Page 21 Teorema : Jika S = { v1, v2, ..., vn } adalah basis untuk suatu ruang vektor V, maka setiap vektor v di V hanya dapat dinyatakan dengan tepat satu cara kombinasi linear yaitu : V = c1v1 + c2v2 + ... + cnvn Bukti sebagai latihan Definisi : Suatu ruang vektor V disebut berdimensi hingga jika V memuat himpunan berhingga vektor-vektor { v1, v2, ..., vn } sebagai basisnya. Jika tidak ada himpunan berhingga tersebut, maka V disebut berdimensi tak hingga. Contoh : Ruang vektor Rn , Pn, M2x2(R) adalah ruang vektor berdimensi hingga. Teorema : Jika V adalah ruang vektor berdimensi hingga dan { v1, v2, ..., vn } adalah sebarang basis, maka : 1. Setiap himpunan yang anggotanya lebih dari n vektor akan bergantung linear. 2. Tidak ada himpunan yang anggotanya kurang dari n vektor akan membangun V Bukti : 1. Silahkan buktikan  alurnya sama dengan teoema sebelumnya ( pada Rn ). 2. Diketahui S = { v1, v2, …, vn } basis untuk V Misalkan S’ = { w1, w2, …, wm } sebarang himpunan di V dengan m n Akan dibuktikan bahwa S’ tidak membangun V. Andaikan S’ membangun V maka untuk setiap v V dapat dinyatakan sebagai kombinasi linear dari vektor-vektor di S’. Ambil v1 V, maka ……………(*) Karena { S maka menurut teorema sebelumnya { bebas linear sehingga . Maka dari (*) diperoleh . Tanpa mengurangi keumuman bukti, pilih , maka dari (*) diperoleh :
  • 22.
    Aljabar Linear Elementer2 Page 22 Sehingga dapat dinyatakan sebagai kombinasi linear dari Karena { w1, w2, …, wm } membangun V maka untuk setiap v V dapat dinyatakan sebagai kombinasi linear sbb: Jadi setiap v V dapat dinyatakan sebagai kombinasi linear dari v1, w2, …, wm . Jadi { v1, w2, …, wm } membangun V. Sehingga v2 V dapat dinyatakan sebagai kombinasi linear dari { v1, w2, …, wm } yaitu . Karena {v1,v2} bebas linear maka v1 0 dan v2 0, sehingga ada a2j 0 Misal maka Sehingga dapat dinyatakan sebagai kombinasi linear dari { v1, v2, w3, …, wm }. Karena { v1, w2, …, wm }membangun V maka seperti di atas { v1, v2, w3, …, wm } juga membangun V. Jika prose ini diteruskan, maka akan diperoleh { v1, v2, …, vm } membangun V. Karena vm+1 V maka vm+1 dapat dinyatakan sebagai kombinasi linear dari { v1, v2, …, vm }, sehingga { v1, v2, …, vm, vm+1 } tak bebas linear. Padahal jika m n maka m+1≤ n. Jika m+1 n maka { v1, v2, …, vm, vm+1 } S bebas linear Jika m+1 = n maka { v1, v2, …, vm, vm+1 } S bebas linear Sehingga terjadi kontradiksi. Kesimpulan : pengandaian salah, yang benar W tidak membangun V Teorema : Semua basis dari suatu ruang vektor berdimensi hingga mempunyai banyak vektor yang sama.
  • 23.
    Aljabar Linear Elementer2 Page 23 Bukti : Misalkan A = { v1, v2, ..., vn } dan B = { w1, w2, ..., wm }adalah 2 basis sebarang dari suatu ruang vektor V. Karena A basis dan B bebas linear, maka m ≤ n. Demikian juga karena B basis dan A bebas linear maka n ≤ m. Jadi m = n. Terbukti. Teorema di atas mendasari konsep tentang dimensi. Definisi : Dimensi dari suatu ruang vektor V berdimensi hingga, dinotasikan sebagai dim(V) adalah banyaknya vektor yang menjadi anggota basis dari V. Didefinisikan pula bahwa ruang vektor nol mempunyai dimensi nol. Contoh 1: dim (Rn ) = n ( karena basis standart dari Rn mempunyai n vektor ) dim (Pn) = n + 1 ( karena basis standart dari Pn mempunyai n+1 vektor ) dim (Mmxn(R)) = mn ( karena basis standart dari Mmxn(R) mempunyai mxn vektor. Contoh 2 : Tentukan basis dan dimensi dari ruang penbyelesaian SPL homogen berikut ini : 2x1 + 2x2 – x3 + x5 = 0 -x1 - x2 + 2x3 – 3x4 + x5 = 0 x1 + x2 – 2x3 - x5 = 0 x3 + x4 + x5 = 0 Jawab : Penyelesaian dari SPL homogen ini adalah x1 = -s-t, x2 = s, x3 = -t, x4 = 0, x5 = t. Jadi ruang penyelesaian dari SPLH tersebut adalah :
  • 24.
    Aljabar Linear Elementer2 Page 24 Terlihat bahwa v1 = dan v2 = membangun ruang pemecahan SPL homogen di atas. Karena { v1, v2 } bebas linear maka { v1, v2 }basis untuk ruang pemecahan SPL tersebut. Sehingga ruang pemecahan SPLH tersebut berdimensi 2. LATIHAN SOAL Tentukan basis dan dimensi sub ruang berikut. 1. A = {(a, b, c)|b=a+c} R3 . 2. B = {(a, b, c)|b=2a, c=0} R3 . 3. C = {a + bx + cx2 | a + b + c = 0} P2(x). 4. D = R,| diba bba baa . F. RUANG BARIS DAN RUANG KOLOM Misal A matriks mxn dengan A = Maka vektor-vektor baris dari A adalah : , , ..., Sedangkan vektor-vektor kolom dari A adalah , , ...,
  • 25.
    Aljabar Linear Elementer2 Page 25 Definisi : Jika A matriks mxn maka ruang baris dari A adalah ruang bagian dari Rn yang dibangun oleh vektor-vektor baris dari A . W = { x Rn x = k1(a11 a12 ... a1n) + k2(a21 a22 ... a2n) + ... + km(am1 am2 ... amn) , ki R} sedangkan ruang kolom dari A adalah ruang bagian dari Rm yang dibangun oleh vektor- vektor kolom dari A. S = Teorema : Operasi baris elementer tidak mengubah ruang baris sebuah matriks. Dari teorema tersebut, jelas bahwa ruang baris sebuah matriks A tidak berubah jika kita mereduksi matriks tersebut kepada bentuk eselon baris. Vektor-vektor baris tak nol dari matriks A dalam bentuk eselon baris selalu bebas linear sehingga vektor-vektor baris yang tak nol ini membentuk sebuah basis untuk ruang baris tersebut. Dari penjelasan tersebut muncul teorema sbb. : Teorema : Vektor-vektor baris yang tak nol dalam sebuah bentuk eselon baris dari sebuah matriks A membentuk sebuah basis untuk ruang baris dari A. Bukti sebagai latihan Kalau kita perhatikan, ruang kolom suatu matriks A adalah sama seperti ruang baris dari transposnya. Jadi untuk mencari basis untuk ruang kolom dari matriks A sama saja dengan mencari sebuah basis untuk ruang baris dari At .
  • 26.
    Aljabar Linear Elementer2 Page 26 Contoh : Diketahui A = . Tentukan : Ruang baris dan basis untuk ruang baris dari A. Ruang kolom dan basis untuk ruang kolom dari A. Jawab : Ruang baris dari A adalah W={ x ϵ R4 x = r ( 1,0, 1, 1 ) + s ( 3, 2, 5, 1 ) + t ( 0, 4, 4, -4 ) , r,s,t } Untuk menemukan basis untuk ruang baris dilakukan OBE sampai memperoleh bentuk matriks eselon sbb : ~ ~ Jadi baris untuk ruang baris dari A adalah {(1, 0, 1, 1 ), ( 0, 1, 1, -1 )}. Sehingga ruang baris dari A berdimensi 2. Ruang kolom dari A adalah H = { x R3 ⎪ x = p (1,3,0) + q (0,2,4) + r (1,5,4) + s (1,1,-4) , p,q,r,s R } Untuk menemukan basis untuk ruang kolom dilakukan OBE pada transposenya sampai diperoleh bentuk matriks eselon baris sbb : ~ Jadi basis untuk ruang kolom dari A adalah { ( 1, 3, 0 ), (0, 1, 2 ) }. Sehingga ruang kolom dari A berdimensi 2
  • 27.
    Aljabar Linear Elementer2 Page 27 Dari contoh di atas terlihat bahwa dimensi dari ruang baris dan dimensi dari ruang kolom dari A sama. Berikut ini adalah teorema yang menguatkan pernyataan di atas : Teorema : Jika A adalah sebarang matriks, maka ruang baris dan ruang kolom dari A mempunyai dimensi yang sama. Bukti sebagai latihan. Definisi : Dimensi ruang baris dan ruangkolom dari suatu matriks A dinamakan rank A Teorema-teorema berikut ini melengkapi teorema-teorema mengenai basis. Teorema : Jika V ruang vektor berdimensi n dan S himpunan dalam V dengan tepat n vektor, maka S basis untuk V jika S membangun V atau S bebas linear. Teorema : Misalkan S himpunan dari vektor-vektor dalam ruang vektor V berdimensi hingga. 1. Jika S membangun V tetapi bukan basis untuk V, maka S dapat direduksi menjadi basis untuk V. 2. Jika S bebas linear tetapi bukan basis untuk V, maka S dapat diperluas menjadi basis untuk V. Contoh 2 : Carilah sebuah sub himpunan dari vektor-vektor v1 = (1,-2,0,3), v2 = (2,-5,-3,6), v3 = (0,1,3,0), v4 = (2,-1,4,-7), v5 = (5,-8,1,2) yang membentuk sebuah basis untuk ruang yang direntang oleh vektor-vektor tersebut. Jawab : Bentuk persamaan : c1v1 + c2v2 + c3v3 + c4v4 + c5v5 = 0 ...................(1)
  • 28.
    Aljabar Linear Elementer2 Page 28 SPL Homogennya : c1 + 2c2 + 2c4 + 5c5 = 0 -2c1 - 5c2 + c3 - c4 - 8c5 = 0 -3c2 + 3c3 + 4c4 + c5 = 0 3c1 + 6c2 - 7c4 + 2c5 = 0 c1 = -2s – t, c2 = s – t, c3 = s, c4 = -t, c5 = t dimana s, t sebarang bilangan real. Dengan mensubsitusikan ke (1) diperoleh : ( -2s – t ) v1 + ( s – t ) v2 + s v3 – t v4 + t v5 = 0 = s ( -2 v1 + v2 + v3 ) + t ( -v1 – v2 – v4 + v5 ) = 0 Untuk memudahkan kita pilih s = 1, t = 0 dan kemudian s = 0, t = 1, maka diperoleh : -2 v1 + v2 + v3 = 0 dan -v1 – v2 – v4 + v5 = 0 Dari persamaan-persamaan di atas kita dapat menyatakan v3 dan v5 ( atau vektor lain ) sebagai kombinasi linear dari vektor-vektor lainnya. Maka diperoleh : v3 = 2v1 – v2 dan v5 = v1 + v2 + v4 Karena v3 dan v5 dapat dinyatakan sebagai kombinasi linear dari v1, v2 dan v4 maka v3 dan v5 dapat dibuang tanpa mempengaruhi ruang yang direntangnya. Vektor-vektor v1, v2, v4 merupakan himpunan vektor yang bebas linear karena persamaan c1v1 + c2v2 + c4v4 = 0 menpunyai 1 penyelesaian yaitu c1 = 0, c2 = 0, c4 = 0 Jadi { v1, v2, v4 } merupakan basis dari ruang yang direntang oleh vektor-vektor v1, v2, v3, v4, v5. Teorema : Jika A adalah sebuah matriks nxn, maka pernyataan-pernyataan berikut ekivalen satu sama lain : a. A dapat dibalik b. Ax = 0 hanya mempunyai satu pemecahan trivial c. A ekivalen baris dengan In d. Ax = b konsisten untuk tiap-tiap matriks b yang berukuran nx1 e. Det(A) ≠ 0 f. Rank(A) = n
  • 29.
    Aljabar Linear Elementer2 Page 29 g. Vektor-vektor baris dari A bebas linear h. Vektor-vektor kolom dari A bebas linear. LATIHAN SOAL 1. Tentukan basis dari ruang baris, ruang kolom dari matriks berikut. a. 267 445 311 b. 2231 0312 2541 c. 0000 0000 3100 0310 5421 2. Tentukan rank dari matriks-matriks di atas. G. RUANG PERKALIAN DALAM Ketika kita mempelajari vektor di R2 /R3 /Rn , kita mengenal dot product ( perkalian titik) atau kita juga bisa menyebutnya sebagai perkalian dalam Euclidis. Kita akan memperluas bahasan tsb, tidak hanya di Rn , tetapi pada ruang vektor umum yang lain. Definisi : Misal V ruang vektor Suatu fungsi F : VxV  R (u,v) 
  • 30.
    Aljabar Linear Elementer2 Page 30 Disebut perkalian dalam (inner product) jika untuk setiap u, v, w V dan k R berlaku sifat-sifat sbb. : 1. = ( aksioma simetri ) 2. = + ( aksioma aditivitas ) 3. = k ( aksioma homogenitas ) 4. ≥ 0 dan = 0 jhj v = 0 ( aksioma positivitas ) Sebuah ruang vektor dengan sebuah perkalian dalam dinamakan ruang perkalian dalam ( inner product space ) Contoh 1 : Misalkan u,v Rn dengan u = ( u1, u2, ..., un ) dan v = (v1, v2, ..., vn ) Perkalian dalam Euclidis = u . v = u1v1 + u2v2 + ... + unvn merupakan perkalian dalam. Contoh 2 : Misalkan U, V M2x2(R) dengan U = dan V = yang di definisikan sebagai = u1v1 + u2v2 + u3v3 + u4v4 merupakan perkalian dalam pada M2x2(R). Contoh 3 : Misalkan p,q Pn dengan p = a0 + a1x + a2x2 + ... + anxn dan q = b0 + b1x + b2x2 + ... + bnxn yang didefinisikan sebagai = a0b0 + a1b1 + ... + anbn merupakan perkalian dalam pada Pn Contoh 4 : Misalkan u,v R2 dengan u = ( u1, u2 ) dan v = (v1, v2) Selidiki apakah fungsi yang didefinisikan sebagai = 3u1v1 + 2u2v2 merupakan perkalian dalam pada R2 ! Jawab :
  • 31.
    Aljabar Linear Elementer2 Page 31 1. = 3u1v1 + 2u2v2 = 3v1u1 + 2v2u2 = 2. = 3(u1 + v1)w1 + 2(u2 + v2)w2 = ( 3u1w1 + 2u2w2 ) + (3v1w1 + 2v2w2 ) = + 3. = 3(ku1)v1 + 2(ku2)v2 = k (3u1v1 + 2u2v2 ) = k 4. = 3v1v1 + 2v2v2 = 3v1 2 + 2v2 2 ≥ 0 dan = 3v1v1 + 2v2v2 = 3v1 2 + 2v2 2 = 0 jhj v1 = v2 = 0 Jadi fungsi yang didefinisikan sebagai = 3u1v1 + 2u2v2 merupakan perkalian dalam pada R2 . Contoh 5 : Misalkan u,v R3 dengan u = ( u1, u2, u3 ) dan v = (v1, v2, v3 ) Selidiki apakah fungsi yang didefinisikan sebagai = u1v1 - u2v2 + u3v3 merupakan perkalian dalam pada R3 ! Jawab : Fungsi yang didefinisikan sebagai = u1v1 - u2v2 + u3v3 merupakan perkalian dalam pada R3 karena aksioma 4 tidak terpenuhi. Ambil v = ( 1,3,2 ), maka : = v1v1 - v2v2 + v3v3 = v1 2 – v2 2 + v3 2 = 1 – 9 + 4 = -4 ≤ 0 Contoh 6 : Ruang Vektor Rn , M2x2(R), Pn dengan perkalian dalam yang didefinisikan pada contoh 1,2,3 di atas merupakan ruang perkalian dalam. Teorema :( Ketaksamaan Cauchy-Schwarz ) Jika u dan v adalah vektor-vektor di dalam sebuah ruang perkalian dalam V, maka 2 ≤ Bukti sebagai latihan
  • 32.
    Aljabar Linear Elementer2 Page 32 PANJANG DAN SUDUT DI DALAM RUANG PERKALIAN DALAM Definisi : Jika V adalah sebuah ruang perkalian dalam, maka norma/norm (panjang) dari sebuah vektor u di V yang dinyatakan oleh didefinisikan sebagai : = ½ Sedangkan jarak antara 2 titik (vektor) u dan v dinyatakan oleh d(u,v) didefinisikan sebagai : d(u,v) = Contoh 1 : Jika u,v Rn dengan perkalian dalam Euclidis, maka : = ½ = dan d(u,v)= = Contoh 2 : Misalkan R2 mempunyai perkalian dalam = 3u1v1 + 2u2v2. Jika diketahui u = ( 1,1) dan v = (2,3) maka : = ½ = = d(u,v)= = ½ = = Teorema : Jika V adalah sebuah ruang perkalian dalam, maka norma = ½ dan jarak d(u,v)= memenuhi sifat-sifat berikut : 1. ≥ 0 1. d(u,v) ≥ 0 2. = 0 jhj u = 0 2. d(u,v) = 0 jhj u=v 3. = 3. d(u,v) = d(v,u) 4. ≤ 4. d(u,v) ≤ d(u,w) + d(w,v)
  • 33.
    Aljabar Linear Elementer2 Page 33 Definisi : Jika adalah sudut antara vektor u dan vektor v pada ruang perkalian dalam V, maka didefinisikan : dan 0 ≤ ≤ Contoh : Carilah cosinus dari sudut antara vektor-vektor u = (4,3,1,-2) dan v = (-2,1,2,3) dimana ruang vektornya R4 dengan perkalian dalam Euclidis ! Jawab : = = = -9 Sehingga Cos = = - Definisi : Dalam sebuah ruang perkalian dalam, 2 vektor dinamakan ortogonal jika = 0. Selanjutnya jika u ortogonal kepada setiap vektor di dalam sebuah himpunan W, maka dikatakan bahwa u ortogonal kepada W. Teorema : Jika u dan v vektor-vektor ortogonal di dalam sebuah ruang perkalian dalam, maka LATIHAN SOAL : 1. Tentukan apakah yang berikut ini merupakan perkalian dalam pada R3 . a. vu, =u1v1 + u3v3. b. vu, =u1v1 – u2v2 + u3v3. c. vu, =2u1v1 + u2v2 + 4u3v3. 2. Diketahui M2x2(R) dengan perkalian dalam VU, = u1v1 + u2v2 + u3v3 + u4v4 untuk setiap U, V di M2x2(R).
  • 34.
    Aljabar Linear Elementer2 Page 34 a. Tentukan A jika A = 63 52 . b. Tentukan d(A,B) jika A= 49 62 dan B= 61 74 . 3. Tentukan sudut pasangan vektor berikut relatiuf terhadap perkalian dalam Euclid pada R2 a. (0,1) dan (2,0). b. (-1/ 2 ,-1/ 2 ) dan (1/ 2 ,1/ 2 ) 4. Periksa apakah himpunan vektor berikut merupakan himpunan orthogonal relatif terhadap perkalian dalam Euclid pada R3 . a. 3 2 , 3 2 , 3 1 3 1 , 3 1 , 3 2 , 3 1 , 3 2 , 3 2 . b. 3 1 , 3 1 , 3 1 , 2 1 ,0, 2 1 , 2 1 ,0, 2 1 . H. BASIS ORTONORMAL; PROSES GRAM-SCHMIDT Definisi : Misal V ruang vektor perkalian dalam. W V. W disebut himpunan ortogonal jika semua pasangan vektor-vektor yang berbeda di dalam himpunan tersebut ortogonal. Himpunan ortogonal yang setiap vektornya mempunyai norm 1 disebut himpunan yang ortonormal Contoh : 1. {(1,0,0), (0,1,0), (0,0,1)} merupakan himpunan yang ortonormal. 2. merupakan himpunan yang ortonormal. 3. { (1,0), (0,2) } merupakan himpunan yang ortogonal tetapi bukan ortonormal.
  • 35.
    Aljabar Linear Elementer2 Page 35 Teorema : Jika S = { v1, v2, ..., vn } adalah sebuah basis ortonormal untuk ruang perkalian dalam V dan u adalah sebarang vektor di V, maka : Bukti sebagai latihan Teorema : Jika S = { v1, v2, ..., vn } adalah sebuah himpunan ortogonal dari vektor-vektor yang tak nol, maka S bebas linear. Bukti sebagai latihan. Berikut ini kita akan membicarakan bagaimana membangun basis yang ortonormal untuk ruang perkalian dalam. Teorema : Misalkan V sebuah ruang perkalian dalam, dan { v1, v2, ..., vr } adalah sebuah himpunan ortonormal dari vektor-vektor di dalam V. Jika W adalah ruang yang direntang oleh v1, v2, ..., vr , maka tiap-tiap vektor u di V dapat dinyatakan dalam bentuk u = w1 + w2 dimana w1 berada dalam W dan w2 ortogonal kepada W dengan memisalkan dan w1 dinamakan sebagai proyeksi ortogonal dari u pada W, dinotasikan proyw u, sedangkan w2 = u – proyw dinamakan sebagai komponen dari u yang ortogonal kepada W. Contoh : Misalkan R3 mempunyai perkalian dalam Euclidis, dan W adalah sub ruang dari R3 yang direntang oleh vektor-vektpr ortonormal v1 = (0,1,0) dan v2 = . Carilah
  • 36.
    Aljabar Linear Elementer2 Page 36 proyeksi ortogonal dari u = (1,1,1) pada W dan komponen dari u yang ortogonal kepada W! Jawab : = = = (1,1,1) - = Teorema : Tiap-tiap ruang perkalian dalam berdimensi berhingga yang tidak nol mempunyai sebuah basis ortonormal. Bukti : Misalkan V adalah sebarang ruang perkalian dalam berdimensi n yang tak nol, dan misalkan S = { u1, u2, ..., un } adalah sebuah basis untuk V. Urutan langkah-langkah yang berikut akan menghasilkan sebuah basis ortonormal { v1, v2, ..., vn } untuk V. Langkah 1 : Misalkan , maka vektor v1 mempunyai norm 1. Langkah 2 : Untuk membangun sebuah vektor v2 yang normnya 1 yang ortogonal kepada v1, kita menghitung komponen dari u2 yang ortogonal kepada ruang W1 yang direntang oleh v1 dan kemudian normalisasikan komponen u2 tersebut, yaitu : = Langkah 3 : Untuk membangun sebuah vektor v3 yang normnya 1 yang ortogonal kepada v1 dan v2, maka kita menghitung komponen dari u3 yang ortogonal kepada ruang W2 yang direntang oleh v1 dan v2 dan kemudian menormalisasikannya sbb.: =
  • 37.
    Aljabar Linear Elementer2 Page 37 Langkah 4 : Untuk membangun sebuah vektor v4 yang normnya 1 yang ortogonal kepada v1, v2 dan v3 maka kita menghitung komponen dari u4 yang ortogonal kepada ruang W2 yang direntang oleh v1, v2 dan v3 kemudian menormalisasikannya sbb.: = Demikian seterusnya sampai kita mendapatkan himpunan ortonormal { v1, v2, ..., vn }. Karena V berdimensi n dan menurut teorema setiap himpunan yang ortonormal itu bebas linear, maka pasti membangun V. Sehingga { v1, v2, ..., vn } merupakan basis ortonormal untuk V. Proses di atas disebut proses Gram-Schmidt. Contoh : Misalkan R3 ruang vektor dengan perkalian dalam Euclidis. Pakailah proses Gram- Schmidt untuk mentransformasikan basis u1 = (1,1,1), u2 = (0,1,1), u3 = ( 0,0,1) ke dalam sebuah basis ortonormal ! Jawab : Langkah 1 : = Langkah 2 : = = (0,1,1) - Maka : = Langkah 3 : = = Maka : =
  • 38.
    Aljabar Linear Elementer2 Page 38 Jadi v1 = , v2 = , v3 = Membentuk basis ortonormal untuk R3 . LATIHAN SOAL 1. Periksa apakah himpunan vektor berikut merupakan himpunan orthonormal relatif terhadap perkalian dalam Euclid pada R3 . a. 3 2 , 3 2 , 3 1 3 1 , 3 1 , 3 2 , 3 1 , 3 2 , 3 2 . b. 3 1 , 3 1 , 3 1 , 2 1 ,0, 2 1 , 2 1 ,0, 2 1 . 2. Diketahui v1= 0, 5 4 , 5 3 , v2= 0, 5 3 , 5 4 v1= 1,0,0 dan B={v1, v2, v3}. Tunjukkan bahwa B merupakan basis orthonormal untuk R3 relatif terhadap perkalian dalam Euclid pada R3 . 3. Diketahui v1=(1,-3), v2=(2,2) dan B={v1, v2}. a. Tunjukkan bahwa B merupakan basis untuk R2 relatif terhadap perkalian dalam Euclid. b. Ubahlah basis B tersebut menjadi basis orthonormal dengan I. KOORDINAT DAN PERUBAHAN BASIS Telah dibicarakan pada bagian sebelumnya bahwa jika S = { v1, v2, ..., vn } basis untuk ruang vektor V, maka v V dapat dinyatakan sebagai kombinasi linear dari vektor-vektor di S sbb. : v = k1v1 + k2v2 + ... + knvn Skalar-skalar k1, k2, ..., kn adalah koordinat v relatif terhadap basis S dan vektor (v)S = ( k1, k2, ..., kn ) ..................... (1)
  • 39.
    Aljabar Linear Elementer2 Page 39 disebut vektor koordinat v relatif terhadap basis S. (1) dapat juga dinyatakan sebagai vektor kolom sbb : [v]S = Contoh : Tentukan vektor koordinat dari A = relatif terhadap basis S = { A1, A2, A3, A4 } untuk M2x2(R) dimana A1 = , A2 = , A3 = , A4 = Jawab : Misalkan [A]S = , maka A = k1A1 + k2A2 + k3A3 + k4A4 Atau = k1 + k2 + k3 + k4 Diperoleh SPL sbb. : -k1 + k2 = 2 k1 + k2 = 0 k3 = -1 k4 = 3 Penyelesaian SPL tersebut adalah k1 = -1, k2 = 1, k3 = -1, k4 = 3. Jadi [A]S = Masalah Perubahan Basis Jika kita mengubah basis untuk suatu ruang vektor dari basis lama B ke basis baru B‘, bagaimana hubungan vektor koordinat lama [v]B dengan vektor koordinat baru [v]B‘ ?
  • 40.
    Aljabar Linear Elementer2 Page 40 Pandang B = { u1, u2 } dan B‘ = { u1‘, u2‘ } adalah dua basis untuk suatu ruang vektor berdimensi dua. Padang B‘ sebagai basis dan u1, u2 sebagai vektor, maka diperoleh : [u1]B‘ = dan [u2]B‘ = Untuk suatu a, b, c, d R. Artinya : u1 = au1‘ + bu2‘ u2 = cu1‘ + du2‘ .............................. (1) Sekarang misalkan v V sebarang dan [v]B = , maka v = k1u1 + k2u2 ................................ (2) Substitusikan (1) dan (2) diperoleh v = k1 (au1‘ + bu2‘) + k2 (cu1‘ + du2‘) = ( k1a + k2c ) u1‘ + ( k1b + k2 d ) u2‘ Sehingga vektor koordinat v relatif terhadap basis baru B‘ adalah : [v]B‘ = = = [v]B Jadi vektor koordinat v relatif terhadap basis baru B‘ dapat diperoleh dengan mengalikan dari kiri matriks P = = ( [u1]B‘ [u2]B‘ ) dengan vektor koordinat v relatif terhadap basis lama B. Secara Umum : Jika B = { v1, v2, ..., vn } dan B‘ = { v1‘, v2‘, ..., vn‘ } adalah basis untuk suatu ruang vektor berdimensi n, maka vektor koordinat v terhadap basis baru B‘ adalah : [v]B‘ = P [v]B dimana P adalah matriks yang kolom-kolomnya merupakan vektor koordinat dari vektor- vektor basis lama B relatif terhadap basis baru B‘ atau P = ( [v1]B‘ [v2]B‘ ... [vn]B‘ ) Matriks P ini disebut matriks transisi dari B ke B’
  • 41.
    Aljabar Linear Elementer2 Page 41 Contoh : Diketahui basis B = { u1, u2 } dan B‘ = { v1, v2 } dimana u1 = ( 1,0 ) , u2 = ( 0,1 ) , v1 = ( 1,1 ) , v2 = ( 2,1 ) 1. Tentukan P yang merupakan matriks transisi dari basis B ke B‘ ! 2. Gunakan hasil 1) untuk menghitung [w]B‘ jika w = ( -3,5 ) ! 3. Hitung [w]B‘ secara langsung. 4. Tentukan Q yang merupakan matriks transisi dari basis B‘ ke B ! Jawab : 1. Vektor koordinat [u1]B‘ diperoleh dari penyelesaian SPL : ( 1,0 ) = k1 ( 1,1 ) + k2 ( 2,1 ) Vektor koordinat [u2]B‘ diperoleh dari penyelesaian SPL : ( 0,1 ) = r1 ( 1,1 ) + r2 ( 2,1 ) Terlihat bahwa kedua SPL yang terjadi mempunyai koefisien yang sama, sehingga dapat diselesaikan bersama dengan melakukan OBE sbb.: ~ ~ Jadi [u1]B‘ = dan [u2]B‘ = Sehingga P = 2. Dengan cara yang sama seperti di atas, diperoleh : [w]B = Sehingga [w]B‘ = P [w]B = = 3. Menghitung [w]B‘ secara langsung diperoleh dari penyelesaian SPL : ( 3, -5 ) = k1 ( 1,1 ) + k2 ( 2,1 ) Dengan melakukan OBE pada matriks lengkapnya diperoleh k1 = 13 dan k2 = -8. Jadi
  • 42.
    Aljabar Linear Elementer2 Page 42 [w]B‘ = 4. Matriks transisi dari B‘ ke B : Q = ( [v1]B [v2]B ) Dengan cara yang sama dengan 1) diperoleh : Q = Dari contoh di atas, jika kita mengalikan P dan Q akan diperoleh : PQ = = = I2 = QP Sehingga Q = P-1 Dari uraian di atas dikembangkan teorema sbb. : Teorema : Misalkan B dan B‘ basis untuk suatu ruang vektor V. Jika P matriks transisi dari B ke B‘, maka : 1. P invertible 2. P-1 adalah matriks transisi dari B‘ ke B. Bukti : Misalkan Q adalah matriks transisi dari B‘ ke B, akan kita tunjukkan bahwa QP = I yang berarti Q = P-1 . Misalkan B = { u1, u2, ..., un } dan QP = Kita tahu bahwa [x]B‘ = P [x]B dan [x]B = Q [x]B‘ untuk semua x V ........ (1) Misalkan x = u1
  • 43.
    Aljabar Linear Elementer2 Page 43 Karena x = 1u1 + 0u2 + ... + 0un maka [x]B = Sehingga dari (1) diperoleh : = = Dengan cara yang sama, jika kita mensubsitusikan untuk x = u2, x = u3, ..., x = un akan diperoleh : = , .......... , = Jadi QP = In, sehingga Q = P-1 . Terbukti Dari teorema ini diperoleh hubungan sebagai berikut : Jika P matriks transisi dari basis B ke B‘, maka untuk setiap vektor v V berlaku hubungan : [v]B‘ = P [v]B dan [v]B = P-1 [v]B‘ LATIHAN SOAL : 1. Tentukan koordinat vektor w berikut relatif terhadap basis B={v1, v2} pada R2 . a. w=(3,-7) ; v1= (1,1) , v2= (0,2) b. w=(2,-4) ; v1= (3,8) , v2= (1,1) 2. Diketahui basis B={u1, u2} dan B’ ={v1, v2} untuk R2 dengan u1= 0 1 , u2= 1 0 , v1= 1 2 , v2= 4 3 a. Tentukan matriks transisi dari B’ ke B . b. Tentukan matriks transisi dari B ke B’.
  • 44.
    Aljabar Linear Elementer2 Page 44 TRANSFORMASI LINEAR A.TRANSFORMASI LINEAR Kita semua telah mengenal bahwa untuk membandingkan dua himpunan, kita dapat menggunakan apa yang kita sebut dengan fungsi/pemetaan/transformasi. Jika dua himpunan yang kita bandingkan bukan sekedar himpunan tetapi mempunyai struktur khusus, seperti misalnya ruang vektor, maka sangat wajar jika kita menginginkan bahwa alat pembanding tersebut mengawetkan operasi di kedua ruang vektor. Pemetaan atau transformasi yang seperti ini kita namakan transformasi linear. Formalnya transformasi linear didefinisikan sbb. : Definisi : Misalkan U dan V suatu ruang vektor atas bilangan real. T : U V pemetaan. T dikatakan pemetaan linear atau transformasi linear jika untuk setiap u,v U dan α R berlaku : T ( u+v ) = T(u) + T(v) T (αu ) = α T(u) .............................(1) Khusus untuk U = V, pemetaan linear T : U U disebut operator linear. Catatan : Perlu kita garis bawahi bahwa operasi pada bagian kiri persamaan (1) merupakan operasi di ruang vektor U, sedangkan operasi pada bagian kanan persamaan (1) merupakan operasi di V. Jadi pemetaan linear adalah pemetaan yang mengawetkan operasi di daerahdomain menjadi operasi di daerah kodomain. Contoh 1 : Periksalah apakah F : R2 R3 merupakan pemetaan linear jika diketahui F [(x,y)] = ( x, x+y, x-y ) Jawab : Ambil sebarang u, v R2 dan β R, maka :
  • 45.
    Aljabar Linear Elementer2 Page 45 u = ( x1,y1 ) sehingga F(u) = ( x1, x1+y1, x1-y1 ) v = ( x2,y2 ) sehingga F(u) = ( x2, x2+y2, x2-y2 ) F (u+v) = F ( x1+x2, y1+y2 ) = ( x1+x2, x1+x2+y1+y2, x1+x2-y1-y2 ) = ( x1, x1+y1, x1-y1 ) + ( x2, x2+y2, x2-y2 ) = F(u) + F(v) F (βu) = F (βx1 + βy1) = ( βx1, βx1+βy1, βx1-βy1 ) = β ( x1, x1+y1, x1-y1 ) = β F(u) Karena syarat-syarat pemetaan linear dipenuhi, maka F pemetaan linear. Contoh 2 : Tnjukkan bahwa T : M2x2(R) R yang didefinisikan sebagai T = bukan pemetaan linear ! Jawab : Akan ditunjukkan bahwa ada A, B M2x2(R) sedemikian hingga T (A+B) ≠ T(A) + T(B) Misalkan diambil : A = dan B = Maka T(A) = 5 dan T(B) = 20 Selanjutnya T (A+B) = T = 45 ≠ T(A) + T(B) Jadi T bukan pemetaan linear. Jika T : U V suatu pemetaan linear, maka untuk sebarang vektor u1, u2 U dan sebarang skalar c1, c2 R, berlaku : T ( c1u1 + c2u2 ) = T (c1u1 ) + T (c2u2 ) = c1 T(u1) + c2 T(u2)
  • 46.
    Aljabar Linear Elementer2 Page 46 Secara umum jika u1, u2, ..., un adalah vektor-vektor di U dan c1, c2, ..., cn skalar-skalar, maka berlaku : T ( c1u1 + c2u2 + ... + cnun ) = c1 T(u1) + c2 T(u2) + ... + cn T(un) Beberapa sifat lain yang dimiliki oleh suatu pemetaan linear diperlihatkan dalam teorema berikut ini : Teorema : Jika T : V W suatu pemetaan linear, maka : 1. T(0) = 0 2. T(-v) = - T(v) untuk semua v V 3. T(u-v) = T(u) – T(v) untuk semua v V Bukti : Ambil sebarang u,v V, maka : 1. T(0) = T (0.v) = 0. T(v) = 0 2. T(-v) = T (-1.v) = -1 T(v) = -T(v) 3. T(u-v) = T ( u + (-v) ) = T(u) + T(-v) = T(u) + (-T(v)) = T(u) – T(v) Contoh berikut menunjukkan bagaimana mencari aturan pengaitan dalam pemetaan linear. Jika diketahui semua bayangan vektor-vektor basis untuk ruang vektor domainnya. Contoh 3 : Diketahui S = { v1, v2, v3 } adalah basis untuk R3 dengan v1 = (1,1,1) , v2 = (1,1,0 ) , v3 = (1,0,0). T : R3 R2 adalah pemetaan linear yang didefinisikan sebagai T(v1) = (1,0) , T(v2) = (2,-1), T(v3) = (4,3). Carilah T (x,y,z) dan gunakan hasilnya untuk menghitung T (2,-3,5) ! Jawab : Ambil sebarang (x,y,z) R3 . Karena S basis untuk R3 , maka (x,y,z) R3 dapat dinyatakan sebagai kombinasi linear dari S sehingga diperoleh : (x,y,z) = c1(1,1,1) + c2(1,1,0) + c3(1,0,0) Kita dapatkan c1 = z, c2 = y – z, c3 = x – y, sehingga
  • 47.
    Aljabar Linear Elementer2 Page 47 (x,y,z) = z(1,1,1) + (y-z)(1,1,0) + (x-y)(1,0,0) = zv1 + (y-z)v2 + (x-y)v3 T(x,y,z) = zT(v1) + (y-z)T(v2) + (x-y)T(v3) = z(1,0) + (y-z)(2,-1) + (x-y)(4,3) = ( 4x-2y-z, 3x-4y+z ) T(2,-3,5) = ( 9, 23 ) Contoh 4 : Carilah pemetaan linear T : P2 P2 untuk mana T(1) = 1+x, T(x) = 3-x2 , T(x2 ) = 4+2x-3x2 . Hitunglah T( 2-2x+3x2 )! Jawab: Ambil sebarang p P2 dengan p = a0 + a1x + a2x2 Karena { 1, x, x2 } merupakan basis standart dari P2, maka : T(p) = T (a0 + a1x + a2x2 ) = a0 T(1) + a1 T(x) + a2 T(x2 ) = a0 (1+x) + a1 (3-x2 ) + a2 (4+2x-3x2 ) = ( a0+3a1+4a2 ) + ( a0+2a2 )x + ( -a1-3a2 )x2 T(2-2x+3x2 ) = 8 + 8x – 7x2 Karakteristik dari pemetaan linear dari Rm ke Rn ditunjukkan dalam teorema berikut : Teorema : Misalkan T : Rm Rn . T pemetaan linear jika dan hanya jika ada Anxm sedemikian sehingga T(u) = A(u) untuk setiap u Rm . Bukti : Diketahui T pemetaan linear Ambil sebarang x Rm , dan basis standart untuk Rm yaitu { e1, e2, ..., em }, maka x = = x1e1 + x2e2 + ... + xmem
  • 48.
    Aljabar Linear Elementer2 Page 48 T(x) = T (x1e1 + x2e2 + ... + xmem ) Karena T pemetaan linear maka diperoleh : T(x) = x1 T(e1) + x2 T(e2) + ... + xm T(em) = ( T(e1) T(e2) ... T(em) ) Maka ditemukan A = ( T(e1) T(e2) ... T(em) ). Karena T(ei) Rn , maka A berordo nxm, Jadi ada Anxm sehingga T(x) = A(x) untuk setiap x Rm . Diketahui ada matriks nxm ( sebut A) sehingga T(u) = A(u) untuk setiap u Rm . Ambil sebarang x,y Rm dan α R, maka : T( x+y ) = A ( x+y ) = Ax + Ay = T(x) + T(y) T(αx) = A(αx) = α A(x) = α T(x) Jadi T pemetaan linear. Catatan : Matriks A yang berkaitan dengan pemetaan linear T seperti yang disebutkan dalam teorema di atas disebut matriks transformasi untuk pemetaan linear T. Contoh 5 : Misalkan T : R4 R3 pementaan linear yang didefinisikan oleh T(p,q,r,s) = ( 7p+2q-r+s, q+r, -p ). Carilah matriks transformasinya dan gunakan hasilnya untuk menemukan T( 1,3,2,-1 ) ! Jawab : Misalkan x = R4 , maka diperoleh : T(x) = =
  • 49.
    Aljabar Linear Elementer2 Page 49 Jadi matiks transformasinya adalah : A = dan T = = Jadi T(1,3,2,-1) = (10,5,-1) B. KERNEL DAN JANGKAUAN Definisi : Diketahui V, W ruang vektor. Misalkan T : V W suatu pemetaan linear. Kernel T atau Inti (T) ditulis ker(T) didefinisikan sebagai : ker(T) = { v V ⎪ T(v) = 0 } Sedangkan Range T atau Peta T ditulis R(T) didefinisikan sebagai : R(T) = { w W ⎪ w = T(v) untuk suatu v V } Jika TA : Rm Rn adalah pemetaan linear oleh matriks transformasi Anxm, maka ker(TA) adalah ruang pemecahan dari Ax = 0. Teorema : Jika T : V W suatu pemetaan linear, maka kernel T adalah sub ruang dari V dan range T adalah sub ruang dari W. Bukti : Telah dibuktikan bahwa T(0) = 0, maka 0 ker(T) sehingga ker(T) tidak kosong. Selanjutnya ambil sebarang v1, v2 ker(T), maka T(v1) = 0 dan T(v2) = 0, sehingga T( v1+v2 ) = T(v1) + T(v2) = 0 + 0 = 0 Jadi v1+v2 ker(T)
  • 50.
    Aljabar Linear Elementer2 Page 50 T ( αv1 ) = α T(v1) = α .0 = 0 Jadi αv1 ker(T). Jadi ker(T) sub ruang dari V. Terbukti. Telah dibuktikan bahwa T(0) = 0, maka 0 R(T) sehingga R(T) tidak kosong. Selanjutnya ambil sebarang x, y R(T) dan β R, maka x = T(a) dan y = T(b) untuk suatu a, b V. Maka : x + y = T(a) + T(b) = T ( a+b ) Karena a, b V maka a+b V, sehingga T ( a+b ) = x + y R(T). Selanjutnya βx = β T(a) = T ( βa ) Karena βa V, maka T ( βa ) = βx R(T) Jadi R(T) sub ruang dari W. Terbukti. Definisi : Misal V, W ruang vektor Jika T : V W suatu pemetaan linear, maka dimensi dari kernel T disebut nulitas(T) dan dimensi dari Range T disebut rank(T) Hubungan antara nulitas dan rank suatu pemetaan linear ditunjukkan dalam teorema berikut ini : Teorema : Jika T : V W suatu pemetaan linear dari ruang vektor V berdimensi n ke suatu ruang vektor W, maka nulitas(T) + rank(T) = n Bukti : Misalkan nulitas(T) = r dan { v1, v2, ..., vr } basiss untuk ker(T). Maka { v1, v2, ..., vr } bebas linear. Menurut teorema perluasan basis, maka ada n-r vektor yaitu vr+1, vr+2, ..., vn sedemikian hingga { v1, v2, ..., vr, vr+1, vr+2, ..., vn } merupakan basis untuk V. Akan dibuktikan bahwa n-r vektor dalam himpunan S = { T(vr+1), T(vr+2), ..., T(vn) } merupakan basis untuk R(T). Jelas bahwa S R(T)
  • 51.
    Aljabar Linear Elementer2 Page 51 Akan ditunjukkan bahwa S membangun R(T). Ambil sebarang b R(T), maka ada v V b = T(v). Karena { v1, v2, ..., vr, vr+1, vr+2, ..., vn } basis untk V, maka v dapat dinyatakan sebagai : v = c1v1 + c2v2 + ... + crvr + cr+1vr+1 + ... + cnvn Karena v1, v2, ..., vr ker(T) maka T(v1) = 0, T(v2) = 0, ..., T(vr) = 0. Sehingga kita peroleh : b = T(v) = cr+1 T(vr+1) + cr+2 T(vr+2) + ... + cn T(vn) Jadi S membangun R(T) Selanjutnya akan ditunjukkan S bebas linear. Pandang persamaan berikut : cr+1 T(vr+1) + cr+2 T(vr+2) + ... + cn T(vn) = 0 ................... (1) Karena T pemetaan linear maka (1) dapat ditulis : T (cr+1 vr+1 + cr+2 vr+2 + ... + cn vn ) = 0 Hal ini menunjukkan bahwa cr+1 vr+1 + cr+2 vr+2 + ... + cn vn ker(T). Karena { v1, v2, ..., vr } basis untuk ker(T), maka cr+1 vr+1 + cr+2 vr+2 + ... + cn vn dapat dinyatakan sebagai kombinasi linear dari v1, v2, ..., vr sbb. : cr+1 vr+1 + cr+2 vr+2 + ... + cn vn = c1v1 + c2v2 + ... + crvr untuk suatu c1, c2, ..., cr R. Maka diperoleh : c1v1 + c2v2 + ... + crvr - cr+1 vr+1 - cr+2 vr+2 - ... - cn vn = 0 Karena { v1, v2, ..., vr, vr+1, vr+2, ..., vn } bebas kinear, maka c1 = c2 = ... = cn = 0. Secara khusus ditemukan cr+1 = cr+2 = ... = cn = 0, sehingga S bebas linear. Jadi S basis untuk R(T) dengan rank(T) = n-r. Sehingga ditemukan : Nulitas(T) + Rank(T) = r + (n-r) = n. Terbukti. Contoh : Diketahui T : R3 R4 adalah pemetaan linear dengan matriks transformasi A = . Tentukan :
  • 52.
    Aljabar Linear Elementer2 Page 52 1. Ker(T), basis untuk ker(T) dan nulitas(T) ! 2. R(T), basis untuk R(T) dan rank(T) ! Jawab : 1. Misalkan x ker(T) dengan x = Ax = 0 = 0 Dengan OBE diperoleh penyelesaian sbb. : x1 = 0, x2 = t, x3 = 0 dengan t R. Maka : Ker(T) = Karena ( 0,1,0 ) membangun dan bebas linear maka basis untuk ker(T) adalah { ( 0,1,0 ) }. Sehingga nulitas(T) = 1 2. Dengan melakukan perkalian langsung antara matriks A dengan vektor x diperoleh : R(T) = Untuk mencari basis untuk R(T) sama dengan mencari basis untk ruang kolom dari matriks A. Jadi dengan OBE diperoleh : ~ Maka basis untuk R(T) adalah ( 1,1,2,0 ), ( -1,1,2,1 ) Sehingga rank(T) = 2
  • 53.
    Aljabar Linear Elementer2 Page 53 LATIHAN SOAL : 1. Periksa apakah fungsi yang didefinisikan berikut merupakan suatu transformasi linier. a. T: R3 R2 dengan T(x1, x2, x3) = (x1-x2+x3, x2-4x3). b. T: M2x2(R) R dengan T dc ba = 3a - 4b + c - d. c. T: P2 P2 dengan T(a0 + a1x + a2x2 ) = a0 + a1(x+1) + a2(x+1)2 . 2. Diketahui transformasi linier T: P2 P3 yang didefinisikan oleh T(p(x)) = xp(x). Manakah diantara vektor berikut yang termuat dalam Ker(T). a. x2 b. 0 c. 1 + x 3. Diketahui transformasi linier T: P2 P3 yang didefinisikan oleh T(p(x)) = xp(x). Manakah diantara vektor berikut yang termuat dalam R(T). a. x + x2 . b. 3 – x2 . c. 1 + x.
  • 54.
    Aljabar Linear Elementer2 Page 54 NILAI EIGEN DAN VEKTOR EIGEN A. NILAI DAN VEKTOR EIGEN/KARAKTERISTIK Definisi : Misalkan A matriks nxn dan x Rn , x ≠ 0. Vektor x disebut vektor eigen / vektor karakteristik dari A jika Ax = λx Untuk suatu λ R. Bilangan λ yang memenuhi persamaan di atas disebut nilai eigen / nilai karakteristik. Vektor x disebut vektor eigen yang bersesuaian dengan λ. Contoh : Misalkan A = . Maka vektor x = merupakan vektor eigen dari A yang bersesuaian dengan λ = 3, karena = 3 Untuk mencari nilai dan vektor eigen dari suatu matriks A berordo nxn adalah sebagai berikut : Misalkan A matriks nxn dan v Rn , v ≠ 0 merupakan vektor eigen dari matriks A, maka ada λ R ∋ Av = λv. Av = λIv ( λI – A )v = 0 Tampak bahwa v merupakan penyelesaian dari SPL homogen ( λI – A )x = 0. Karena v ≠ 0, maka SPL homogen ( λI – A )v = 0 mempunyai penyelesaian non trivial. Ini hanya mungkin jika det ( λI – A ) = 0, artinya λ adalah penyelesaian persamaan dari det λI – A) = 0. Det ( λI – A ) = 0 ini disebut persamaan karakteristik dari matriks A Dari uraian di atas, kita memperoleh lemma sbb. :
  • 55.
    Aljabar Linear Elementer2 Page 55 Lemma : Misalkan A matriks nxn. Λ R adalah nilai eigen dari matriks A jika dan hanya jika λ adalah akar persamaan karakteristik det (λI-A) = 0. Sedangkan vektor eigen dari matriks A yang bersesuaian dengan λ adalah penyelesaian dari SPL homogen ( λI – A ) x = 0 Himpunan penyelesaian SPL homogen ( λI – A ) x = 0 membentuk sub ruang dari Rn yang disebut ruang eigen atau ruang karakteristik utk nilai eigen λ ( ditulisεA(λ) ). Contoh 1 : Diketahui A = . Carilah nilai dan vektor eigen dari matriks A! Jawab : Persamaan karakteristik dari matriks A adalah : det (λI-A) = 0 = 0 ( λ-1 ) ( λ-2 ) ( λ-3 ) = 0 Jadi diperoleh nilai-nilai eigennya sbb. : λ1 = 1, λ2 = 2, λ3 = 3 Untuk mencari vektor eigen yang bersesuaian dengan nilai eigen λ1 = 1, kita pandang SPL homogen sbb. : ( λ1I-A )x = 0 = 0 Dengan menggunakan OBE diperoleh : x1 = 0, x2 = s, x3 = 0 Jadi vektor eigen yang bersesuaian dengan λ1 = 1 adalah : x = = s dengan s sebarang bilangan real. Analog untuk vektor eigen yang bersesuaian dengan λ2 = 2, diperoleh : x = = t dengan t sebarang bilangan real. Sedangkan vektor eigen yang bersesuaian dengan λ3 = 3, diperoleh :
  • 56.
    Aljabar Linear Elementer2 Page 56 x = = r dengan r sebarang bilangan real. Contoh 2 : Diketahui A = . Carilah nilai dan vektor eigen dari A ! Jawab : Persamaan karakteristik dari matriks A adalah : det (λI-A) = 0 = 0 ( λ-1 ) ( λ3 + 2λ2 – λ – 2 ) = 0 Dengan menggunakan teoremasisa, persamaan karakteristik tersebut dapat difaktorkan menjadi ( λ-1 )2 ( λ+1 ) ( λ+2 ) = 0. Jadi nilai-nilai karakteristik dari matriks A adalah : λ1 = 1, λ2 = 1, λ3 = -1, λ4 = -2 Analog contoh 1 diperoleh vektor eigen yang bersesuaian dengan λ = 1 adalah : x = = t + s dengan s,t sebarang bilangan real. Vektor eigen yang bersesuaian dengan λ = -1 adalah : x = = r dengan r sebarang bilangan real. Vektor eigen yang bersesuaian dengan λ = -2 adalah : x = = p dengan p sebarang bilangan real.
  • 57.
    Aljabar Linear Elementer2 Page 57 Contoh 3 : Diketahui A = Dengan cara yang sama pada contoh 1 diperoleh nilai-nilai eigen sbb. : λ1 = 2, λ2,3 = . Karena λ2,3 imajiner, maka nilai eigen dari matriks A hanyalah λ = 2. Sedangkan vektor eigen yang bersesuaian dengan λ = 2 adalah : x = = t dengan t sebarang bilangan real. LATIHAN SOAL : Tentukan polinomial, nilai, dan vektor karakteristik yang bersesuaian dengan nilai karakteristik matriks berikut 1. A= 510 051 005 2. B= 201 810 265 3. C= 017 011 105 B. DIAGONALISASI Ilustrasi : Jika kita mempunyai matriks diagonal D = dan kita diminta mencari D25 , maka dengan mudah kita akan menemukannya yaitu : D25 = . Secara umum jika D matriks diagonal, maka : Dm = Sekarang jika kita mempunyai matriks A berordo nxn yang bukan matriks diagonal, dan kita diminta mencari Am dengan m cukup besar, bagaimana kita menemukannya ?
  • 58.
    Aljabar Linear Elementer2 Page 58 Jika A dapat dinyatakan sebagai A = PDP-1 dengan P adalah matriks non singular berordo nxn dan D matriks diagonal berordo nxn, maka : A2 = ( PDP-1 ) ( PDP-1 ) = PD2 P-1 Dengan cara yang sama diperoleh : Am = PDm P-1 Dari ilustrasi di atas, muncul suatu permasalahan diagonalisasi matriks yaitu : Jika dipunyai A matriks nxn, apakah matriks non singular P berordo nxn dan matriks diagonal D berordo nxn sedemikian sehingga A = PDP-1 ? Jika ada maka dikatakan A dapat didiagonalkan dan matriks non singular P yang memenuhi A = PDP-1 disebut matriks yang mendiagonalkan A. Definisi : Sebuah matriks A berordo nxn dikatakan dapat didiagonalkan jika ada sebuah matriks non singular p berordo nxn sehingga P-1 AP diagonal. Matriks P dikatakan mendiagonalkan A Teorema : Jika A adalah sebuah matriks nxn, maka pernyataan-pernyataan berikut ekivalen satu sama lain : a. A dapat didiagonalkan b. A mempunyai n vektor eigen yang bebas linear. Bukti : a) ⇒ b) Diketahui A dapat didiagonalkan, maka ada matriks non singular P berordo nxn. Misalkan P = = Sehingga P-1 AP diagonal, katakanlah P-1 AP = D dimana :
  • 59.
    Aljabar Linear Elementer2 Page 59 D = Maka AP = PD A = ( Ap1 Ap2 ... Apn ) = ( λ1p1 λ2p2 ... λnpn ) Jadi Ap1 = λ1p1, Ap2 = λ2p2, ... , Apn = λnpn Karena P non singular maka vektor-vektor p1, p2, ..., pn merupakan vektor-vektor tak nol. Maka menurut definisi sebelumnya λ1, λ2, ..., λn merupakan nilai- nilai eigen dari matriks A dan p1, p2, ..., pn merupakan vektor-vektor eigen yang bersesuaian dengan berturut-turut λ1, λ2, ..., λn . Karena P matriks non singular maka rank(P) = n sehingga menurut teorema sebelumnya { p1, p2, ..., pn } bebas linear. Terbukti b) ⇒ a) Diketahui A mempunyai n vektor eigen yang bebas linear yaitu p1, p2, ..., pn yang bersesuaian dengan nilai-nilai eigen berturut-turut λ1, λ2, ..., λn . Misalkan P = matriks nxn dengan vektor-vektor kolomnya pi, maka : AP = ( Ap1 Ap2 ... Apn ) Tetapi karena p1, p2, ..., pn adalah vektor-vektor eigen dari A yang bersesuaian dengan nilai-nilai eigen berturut-turut λ1, λ2, ..., λn , maka kita juga mempunyai : Ap1 = λ1p1, Ap2 = λ2p2, ... , Apn = λnpn Sehingga kita peroleh : AP = ( Ap1 Ap2 ... Apn ) = ( λ1p1 λ2p2 ... λnpn ) = = PD
  • 60.
    Aljabar Linear Elementer2 Page 60 Dimana D adalah matriks diagonal yang mempunyai nilai-nilai eigen λ1, λ2, ..., λn sebagai elemen-elemen pada diagonal utamanya. Karena vektor-vektor kolom dari P bebas linear maka P non singular. Sehingga ditemukan P-1 AP = D. Jadi A dapat didiagonalkan. Terbukti. Dari bukti di atas, kita mendapatkan prosedur bagaimana langah-langkah mendiagonalkansebuah matriks A yang berordo nxn sbb. : 1. Carilah n vektor eigen dari matriks A yang bebas linear yaitu p1, p2, ..., pn 2. Bentuklah matriks P yang vektor-vektr kolomnya adalah p1, p2, ..., pn 3. Maka matriks P-1 AP akan didiagonalkan ( P-1 AP = D ) dengan λ1, λ2, ..., λn merupakan elemen-elemen diagonalnya secara berurutan, dimana λ1, λ2, ..., λn adalah nilai-nilai eigen yang bersesuaian dengan pi, i = 1,2,..., n. Teorema : Misalkan A matriks nxn. Jika v1, v2, ..., vk adalah vektor-vektor eigen dari A yang bersesuaian dengan nilai-nilai eigen λ1, λ2, ..., λk yang berbeda, maka { v1, v2, ..., vk } adalah himpunan yang bebas linear Contoh 4 : Diketahui A = . Selidikilah apakah A dapat didiagonalkan ? Jika dapat, carilah matriks P yang mendiagonalkan A. Jawab : Dalam contoh 1 telah diperoleh nilai dan vektor eigen dari matriks A. Jika vektor-vektor eigen itu dikumpulkan diperoleh : . Menurut teorema di atas, himpunan tersebut bebas linear. Karena ada 3 vektor yang bebas linear di R3 maka menurut teorma sebelumnya A dapat didiagonalkan. Matriks yang mendiagonalkan A adalah P = .
  • 61.
    Aljabar Linear Elementer2 Page 61 Dengan menggunakan OBE diperoleh P-1 = Dan matriks diagonalnya adalah D = Sehingga A = PDP-1 = A = PDP-1 disebut dekomposisi diagonal matriks A Teorema : Misalkan A matriks nxn. λ1, λ2, ..., λk adalah nilai-nilai karakteristik yang berbeda. Jika { vi1, vi 2, ..., vin1 } adalah himpunan vektor-vektor eigen dari A yang bersesuaian dengan λin yang bebas linear, maka { v11, v12, ..., v1n1, v21, v22, ..., v2n2, ..., vk1, vk2, ..., vknk } bebas linear. Contoh 5 : Diketahui A = Selidiki apakah A dapat didiagonalkan? Jika dapat, carilah matriks yang mendiagonalkan A dan dekomposisi diagonal matriks A ! Jawab : Dalam contoh 2 telah diperoleh nilai dan vektor eigen dari matriks A. Jika vektor-vektor eigen itu dikumpulkan diperoleh : . Menurut teorema di atas, himpunan tersebut bebas linear. Karena ada 4 vektor yang bebas linear di R4 maka menurut teorma sebelumnya A dapat didiagonalkan. Matriks yang mendiagonalkan A adalah P =
  • 62.
    Aljabar Linear Elementer2 Page 62 Dengan menggunakan OBE ditemukan P-1 = Jadi dekomposisi diagonal dari matriks A adalah : A = PDP-1 = Contoh 6 : Diketahui A = . Selidiki apakah A dapat didiagonalkan? Jika dapat, carilah matriks yang mendiagonalkan A dan dekomposisi diagonal matriks A ! Jawab : Dalam contoh 3 telah diperoleh nilai dan vektor eigen dari matriks A. Jika vektor-vektor eigen itu dikumpulkan diperoleh yang bebas linear Karena hanya ditemukan 1 vektor eigen yang bebas linear di R3 , maka menurut terorema A tidak dapat didiagonalkan. LATIHAN SOAL : Tentukan apakah matriks berikut dapat didiagonalkan? Jika ya, tentukan metriks pendiagonalnya. 1. A= 510 051 005 2. B= 201 810 265 3. C= 017 011 105