SCHOOL OF ARCHITECTURE, BUILDING AND DESIGN
BACHELOR OF QUANTITY SURVEYING (HONOURS)
QSB60804 BUILDING ECONOMICS
MARCH 2018 SEMESTER
PRELIMINARY COST APPRAISAL
GROUP MEMBERS:
NO. NAME STUDENT ID
1. PANG KAI YUN 0319802
2. SAM WEI YIN 0320364
3. TRACE GEW YEE 0320269
4. YEO KAI WEN 0319844
5. CHOW KAH YIEN 0320300
6. AUDREY TING 0320247
7. TAN HWEE MIIN 0326057
LECTURER : ​MS. SHIRLEY CHIN AI LING
MR. SOON LAM TATT
SUBMISSION DATE : ​25 JUNE 2018
TABLE OF CONTENTS
CONTENT PAGE NUMBER
1.0 Introduction
1.1 Location
1.2 Benchmark Project
1.3 Proposed Building Design
1.4 Construction technology, methodology and technique
1.4.1 Bored Pile
1.4.2 Contiguous Bored Pile
1.4.3 Post-tensioned Slab
1.4.4 Aluminium Formwork
1.4.5 Aluminum Panel Facade
1.4.6 Rainwater Harvesting System
1.4.7 Summary
3
3
6
10
14
14
15
16
17
18
19
20
2.0 Preliminary Cost Appraisal
2.1 Definition of Area
2.1.1 Construction Floor Areas (CFA)
2.1.2 Gross Floor Areas (GFA)
2.1.3 Net Floor Area (NFA)
2.1.4 Summary of Area
2.1.5 Schedule of Area
2.2 Cost Plan
2.2.1 Summary of Cost Plan
2.2.2 Cost Plan for Basement Carpark
2.2.3 Cost Plan for Podium Carpark
2.2.4 Cost Plan for Tower A
2.2.5 Cost Plan for Tower B
2.2.6 Cost Plan External and Ancillary Work
2.2.7 Percentage of Total Cost
2.3 Specification
2.4 Schedule of Finishes
2.4.1 Basement Carpark & Podium Carpark
2.4.2 Tower A & B - Service Apartment
21
21
21
21
21
22
23
24
25
27
29
31
33
35
36
38
41
41
42
1
TABLE OF CONTENTS
CONTENT PAGE NUMBER
2.5 Rate Breakdown
2.5.1 Cost Estimation for Basement Carcass
2.5.2 Cost Estimation for Fittings
2.5.3 Cost Estimation for External & Ancillary Works
2.5.4 Calculation
43
43
44
45
47
3.0 Conclusion 51
Reference 52
Appendices 54
2
1.0 Introduction
1.1 Location
The proposed site is located at Lot 160, Jalan Robson, Jalan Syed Putra, Kuala
Lumpur. It is strategically located at the prestigious location at Seputeh. The site covers
an area of 1.43 acres of freehold land. It is an elevated land and the slope is deemed at
high risk of a landslide. ​An independent surveyor determines that ​the slope is 26°
gradient, which was categorised as high risk for landslides. Notably, land with a
gradient of 26° to 35° are categorised as Class III, while the higher risk class IV has an
angle of over 35°. In February 2013, there is a construction of a six-storey HIV
rehabilitation centre at the site, but the project was brought to a halt following protests
from nearby residents. (Nair, 2017)
The precautions for the sloping area should take into consideration to ensure the
safety of the residents and people in the surrounding area. Precautions can be taken by
using methods like grouting, subsurface of drainage, soil nailing or retaining wall to
stabilize the slope. Thus, building on a sloping block will affect the cost of the building
as it needs additional cost to stabilize the slope.
Figure 1.1.1: The proposed site labels in red as shown in the picture above
3
The site is surrounded by lush greeneries and prestigious residential
development, such as Seputeh Heights, Robson Court, Varsana 25, 348 Central and
others. There is no other high rise development around the site. As the site is
strategically located in a convenient location, ​it can cause heavy traffic at the time when
the people living nearby driving to and fro from work. The site is also near to Thean
Hou Temple. Hence, the area can be crowded during the major Chinese festival when
people going there for worshipping.
There are many other amenities around the area, for example schools and
institution of higher learning like Methodist College, Vikas International School, Mahsa
University College, University of Malaya and Kuen Cheng High School just to name a
few. This area also has prestigious hospitals namely University Malaya Medical Centre
and Pantai Hospital. Apart from that, there are also a few governments and private
clinics nearby to accommodate to the needs of the community there. Besides that,, the
resident can find shopping malls such as Mid Valley Megamall, The Gardens, Bangsar
Village, 1 Utama Shopping Centre and The Curve near the area.
Besides, there is a lot of public transportation such as KTM, LRT, and Monorail
station near the site. The site is just a few minutes away from The KL Sentral KTM
Station, Maharajalela Monorail Station and Chan Sow Lin LRT Station. Even though
there is a lot of public transportation nearby, the site still has a great accessibility via
the four major highways in Malaysia. The Federal Highway can take you to Petaling
Jaya while the NPE makes it convenient to drive to Old Klang Road, Bandar Sunway,
Subang Jaya, USJ and Shah Alam. Going to the direction of KL, Cheras and Kajang,
there are two highways to choose from namely KL-Seremban Highway and East-West
Link.
4
Figure 1.1.2: The proposed site is strategically located in a convenient location
5
1.2 Benchmark Project
Sentral Suites @ Kl Sentral, knows as ‘’Garden in the city’’ the latest landmark
residential development in KL Sentral and it is aspired to provide a modern city lifestyle
that thrives on the conveniences, fast-moving pace and energy of KL Sentral. It is
selected as the benchmark project due to a lot of similarities with our proposed project.
The developer of this project, MRCD invigorating their idea of Transit Orientated
Development (TOD) in developing this leading urban landmark.
Figure 1.2.1 shows the façade view of Sentral Suites
Figure 1.2.2 shows the aerial view of Sentral Suites
6
Sentral Suites consists of three apartment blocks completing the residential
complex and will be spread across an area of 4.92 acres. The project was commenced
in 3​rd
quarter of 2016 and the estimated completion date of the overall project is on 1​st
quarter of 2021. It is expected to be completed within 54 months for all three apartment
blocks. The first and second block consists of 458 units, while the third block consists of
518 units and the bottom of residence will hold 41 retail units. There are 43 floors in
total and 1434 units, including ten different types of unit to meet the demand of the
public.
Figure 1.2.3 shows the floor plans of different type of units
Sentral Suites is strategically located at Jalan Tun Sambanthan,50470 Kuala
Lumpur, Wilayah Persekutuan and it only takes five minutes of walking distance to
reach KL Sentral. With the easy access to major roads such as NPE, Mahameru and
Federal Highway, the residents can easily travel to major cities such as Bangsar, the
city center and Petaling Jaya. Besides that, it is also surrounded by the several
shopping malls and corporate office towers and it has balanced all the elements where
workers and residents can play and shop within. For example, it is only 0.35km to NU
Sentral Mall, 2.50km to Bangsar Village and 2.60km to Mid Valley City.
7
Along with the themed and pocket garden feature of Sentral Suites, the residents
will be rewarded with various other facilities such as a jogging track, dance studio,
billiard room, swimming pool, outdoor Jacuzzi, sauna, multipurpose halls, Taichi deck,
barbeque area, study room and basketball court to satisfy the recreational needs of the
residents. Not only the adult can gain contentment from their garden feature, the
developer also designs a Trampoline Garden with many outdoor game facilities for the
children.
Figure 1.2.4 shows the podium facilities plans
This leasehold property priced at approximately RM1000 per square feet and the
listing price of the unit starts from RM730,000. The maintenance fee is expected to be
RM0.39 per square feet, including the sinking fund which is considered as a reasonable
charges provided with the density and the size of each unit.
8
In a nutshell, we proposed Sentral Suites as our benchmark project is because
the strategic locations of both projects. Both of them are located at the heart of the city,
which are already surrounded by many residential and commercial buildings. The
public transport stations are just a stone throw away from both projects which provide
convenience to the residents. The residents staying in these two condominiums also
can easily access to ​East-West Highway and Federal Highway.
9
1.3 Proposed Building Design
Figure 1.3: The proposed building design
This building is a service apartment which has two towers with 38 of storey. The
service apartment rise to a height of approximate 536 feet (163.4 meters). The property
will have a total of 404 residential units which consists of typical unit and duplex unit.
Each tower consists of 188 units of typical unit which located from Level 8 to Level 34
whereas there are a total of 14 duplex units from Level 35 to Level 36 and Level 37 to
Level 38. Each floor consists of 7 types of the residential unit. Floor to floor height is 3.4
meters per floor. The average for GFA for tower A is 711 m2 whereas for Tower B is
703m2. Each floor will have a trash room which is also known as refuse bin room and
designated trash bins for recycling. There are 4 numbers of lift for each tower, including
a Bomba Lift. Other than that, this building will provide an approximate 2.60 meters
wide and comfortable corridors with plenty of lighting and ventilation for the residents.
In terms of interior of the residential unit, it uses some of the highest quality material
fitted into an urban look, keeping it spacious and practical for the families to roam, not
with the lack of privacy and comfort.
10
This building consists of 6 levels of elevated car parking podium, one level of
ground floor car parking and 2 levels of basement car park. There are total 477
numbers of car park unit which located at the 6 levels of podium and ground floor
whereas there are total 179 units of car park in the basement car park. For ground floor
level, there will provide a grand entrance lobby with the water feature and water curtain.
Besides that, each tower will provide lounge area which the average GFA is 86 m2.
There will have a mail room for each tower at the ground floor level and Nursery room
which is located at Tower Block B.
In addition, this building also offers more than 10 exciting lifestyle facilities and 3
storey height with combination of dining cafe and gym which is located at Level 7. For
the facilities provided such as dining cafe, floating deck, yoga deck, playground, wading
pool, infinity pool, audio visual room, sky jacuzzi, gym room, game and mini library
room and more. Its infinity pool will set to awe while providing the view of the beautiful
city and wading pool for children. Besides that, there will be a well-equipped
gymnasium for the fitness enthusiasts, game and reading room for the residents.
Other than that, this building also offers a roof garden, sky lounge and audio
visual room at roof facilities level which is at the topmost levels of the residential
structures. The roof garden designed to grow with green space area also provide the
scenic view of the beautiful city. The roof garden will have a vegetation in front of the
frameless glass balustrade to have a secure and safe without interrupting the view of
the city. There will be a sky lounge that incorporates the city view into this exclusive
space for contemplation. A generous audio visual room can be booked by the residents
for movie watching.
11
Figure Wading Pool Gym Room
Roof Garden Sky Lounge
Infinity Pool AV Room
12
Yoga Deck Dining Cafe
Mini Library and Game Room Playground
Interior of the residential unit Basement Car Park
13
1.4 Construction technology, methodology and technique
1.4.1 Bored Pile
The type of piling proposed is bored pile as our building has no high building
surrounding it but there are still residential houses nearby. As our proposed building
consists of an average GFA for tower A is 711m2 and tower B 703m2, 2 basement of
car park and both towers have 38 stories, so bored pile is suitable to be used in order
to carry the immense load of the vertical structure of this building. Besides, there are
residential houses nearby, forasmuch by using bored piles, it can reduce the vibrations
and noise during construction of the pile and as a result, this will lessen the disturbance
to the residents living nearby.
Figure 1.4.1: Construction of a bored pile
14
1.4.2 Contiguous Bored Pile
Contiguous Bored Pile is needed as our proposed building has two levels of
basement and the site is located at a sloping area. Hence, the construction of the
contiguous bored pile wall is needed to retain the soil behind it. The cost of the
contiguous bored pile wall is inexpensive compared to other types. Mo​reover, it can be
both temporary and permanent walls for excavation. Additionally, it speeds the
construction for both temporary and permanent walls where drilling conditions are
conducive. This system has a higher capacity overcome obstructions such as rocks in
contrast with other systems.
 
Figure 1.4.2: Contiguous Bored Pile
15
1.4.3 Post-tensioned Slab
As to support the huge load from the podium levels, constructing post-tensioned
slab can help by withstanding the immense load. Post-tensioned slab will help by
reducing the cracking, preventing the growing of insects and also reducing the possible
water penetration that may damage the flooring and causes mould problems. Other
than that, it has the flexibility in design, it requires lesser space and yield to dynamic
contours. This will make the expression of the creativity in the building design to be
ideal. 
Figure 1.4.3: Post-tensioned slab
16
1.4.4 Aluminium Formwork
The formwork proposed for our building is aluminium formwork. This formwork
can be constructed in a short period of time, hence it can save the management cost as
this formwork can be dismantled very quickly. Besides that, the utilisation of the
aluminium formwork is wide as it is suitable for wall, horizontal floor slab, column,
beam, staircase and so on. Moreover, it can be reused many times as it has a low rate
of carbon emission that can last longer.
Figure 1.4.4: Aluminium formwork
17
1.4.5 Aluminum Panel Facade
In order to have a more appealing appearance of the building, aluminium facade
panel can be used at the podium levels. It is flexible in design and the price is
inexpensive. Additionally, by using aluminium facade, the reduced weight of the
aluminium, helps to control the overall structure costs of the building. Furthermore,
aluminium facade can help reduce the thermal expansion due to the solar heat. Lastly,
aluminium panel has the benefit of corrosion resistance that can prevent it from getting
corroded and this can be used for a long period of time.
Figure 1.4.5: Aluminium panel facade 
 
18
1.4.6 Rainwater Harvesting System
Rainwater harvesting system is proposed for our building as Malaysia is a
raining season country so this would help with harvesting the rainwater and this can
help in reducing the water bill since the water collected can also be used for several
non-drinking functions. Other than that, it can also reduce the burden of the soil erosion
in a few areas and letting the land to thrive again. Furthermore, it can also reduce the
demand on the ground water as the population increases, the demand will continue to
increase and at the end many residential places and industries are using the ground
water to fulfill their daily demands. In addition, the installation of this system can be
done easily as well as the maintenance for this system only requires less time and
energy.
Figure 1.4.6: Rainwater harvesting system 
19
Construction Technology, Methodology and Technique
Bored Pile Contiguous Bored Pile Wall Post-Tensioned Slab
 No high building at surrounding
 Can carry huge load of the building
 Lessen the vibration and noise
 Can withstand varies kinds of soil conditions
 Application for basement construction work
 Slope stabilisation
 Inexpensive cost
 Can be temporary and permanent walls
 Speed in construction
 High capacity of overcoming obstruction
 For podium carparks
 Can hold immense load
 Reduces cracks and water penetration
 Flexibility in design
Aluminium Formwork Aluminium Panel Façade Rainwater Harvesting System
 Save time
 Save management cost
 Can be used for different structures
 Can be reused many times
 For podium carparks
 Flexibility in design
 Inexpensive
 Reduce thermal expansion
 Corrosion resistance
 Reduce water bill
 Reduce soil erosion
 Can be installed easily
 Low maintenance
2.0 Preliminary Cost Appraisal
2.1 Definition of Area
2.1.1 Construction Floor Areas (CFA)
Construction floor areas are generally known as the total amount of building
works completed, which includes the sum of all areas at all floor areas, measured to the
outer face of the external walls including its external cladding. The uncovered trafficable
roof areas beyond the outer face of external walls such as landscaped areas is
excluded.
2.1.2 Gross Floor Areas (GFA)
Gross floor areas are the total of all enclosed spaces fulfilling the functional
requirements of the building measured to the internal face of the enclosing walls. It
includes areas occupied by partitions, columns, etc.; include services and circulation
areas; include internal carparks and internal ramps. The sloping surfaces such as
staircases and ramps are measured flat on the plan. Areas fulfilling the functional
requirements of the building which are not enclosed spaces such as open ground
floors, open covered ways, rooftop car parks, etc. are excluded.
2.1.3 Net Floor Area (NFA)
Net Floor Area is the total of all saleable area, measured to the inside of the
enclosing walls. Common use area, services area and circulation area such as
elevators, restrooms, vent space and stairs are needed to be excluded from the net
floor areas.
21
2.1.4 Summary of Area
LEVEL CFA (m2) GFA (m2) NFA (m2)
Basement Carpark 8,685.92 7,751.81 -
Podium Carpark 29,192.53 24,810.96 -
Tower A 27,364.36 22,039.41 16,011.05
Tower B 27,071.72 21,801.67 15,727.23
TOTAL 92,314.53 76,403.85 31,738.28
22
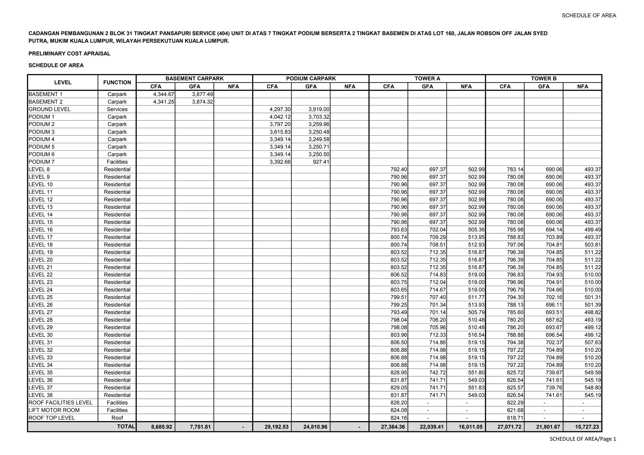
SCHEDULE OF AREA
CADANGAN PEMBANGUNAN 2 BLOK 31 TINGKAT PANSAPURI SERVICE (404) UNIT DI ATAS 7 TINGKAT PODIUM BERSERTA 2 TINGKAT BASEMEN DI ATAS LOT 160, JALAN ROBSON OFF JALAN SYED
PUTRA, MUKIM KUALA LUMPUR, WILAYAH PERSEKUTUAN KUALA LUMPUR.
PRELIMINARY COST APRAISAL
SCHEDULE OF AREA
CFA GFA NFA CFA GFA NFA CFA GFA NFA CFA GFA NFA
BASEMENT 1 Carpark 4,344.67 3,877.49
BASEMENT 2 Carpark 4,341.25 3,874.32
GROUND LEVEL Services 4,297.30 3,919.00
PODIUM 1 Carpark 4,042.12 3,703.32
PODIUM 2 Carpark 3,797.20 3,259.96
PODIUM 3 Carpark 3,615.83 3,250.48
PODIUM 4 Carpark 3,349.14 3,249.58
PODIUM 5 Carpark 3,349.14 3,250.71
PODIUM 6 Carpark 3,349.14 3,250.50
PODIUM 7 Facilities 3,392.66 927.41
LEVEL 8 Residential 792.40 697.37 502.99 783.14 690.06 493.37
LEVEL 9 Residential 790.96 697.37 502.99 780.08 690.06 493.37
LEVEL 10 Residential 790.96 697.37 502.99 780.08 690.06 493.37
LEVEL 11 Residential 790.96 697.37 502.99 780.08 690.06 493.37
LEVEL 12 Residential 790.96 697.37 502.99 780.08 690.06 493.37
LEVEL 13 Residential 790.96 697.37 502.99 780.08 690.06 493.37
LEVEL 14 Residential 790.96 697.37 502.99 780.08 690.06 493.37
LEVEL 15 Residential 790.96 697.37 502.99 780.08 690.06 493.37
LEVEL 16 Residential 793.63 702.04 505.36 785.98 694.14 499.49
LEVEL 17 Residential 800.74 709.29 513.95 788.83 703.89 493.37
LEVEL 18 Residential 800.74 708.51 512.93 797.06 704.81 503.81
LEVEL 19 Residential 803.52 712.35 516.87 796.39 704.85 511.22
LEVEL 20 Residential 803.52 712.35 516.87 796.39 704.85 511.22
LEVEL 21 Residential 803.52 712.35 516.87 796.39 704.85 511.22
LEVEL 22 Residential 806.52 714.83 519.00 796.83 704.93 510.00
LEVEL 23 Residential 803.75 712.04 519.00 796.96 704.91 510.00
LEVEL 24 Residential 803.65 714.67 519.00 796.79 704.66 510.00
LEVEL 25 Residential 799.51 707.40 511.77 794.30 702.16 501.31
LEVEL 26 Residential 799.25 701.34 513.93 788.13 696.11 501.39
LEVEL 27 Residential 793.49 701.14 505.79 785.60 693.51 498.82
LEVEL 28 Residential 798.04 706.20 510.48 780.20 687.62 493.19
LEVEL 29 Residential 798.08 705.96 510.48 786.20 693.67 499.12
LEVEL 30 Residential 803.96 712.33 516.54 788.88 696.54 499.12
LEVEL 31 Residential 806.50 714.86 519.15 794.38 702.37 507.63
LEVEL 32 Residential 806.88 714.98 519.15 797.22 704.89 510.20
LEVEL 33 Residential 806.88 714.98 519.15 797.22 704.89 510.20
LEVEL 34 Residential 806.88 714.98 519.15 797.22 704.89 510.20
LEVEL 35 Residential 828.95 742.72 551.80 825.72 739.67 549.58
LEVEL 36 Residential 831.87 741.71 549.03 826.54 741.61 545.19
LEVEL 37 Residential 829.05 741.71 551.83 825.57 739.76 548.80
LEVEL 38 Residential 831.87 741.71 549.03 826.54 741.61 545.19
ROOF FACILITIES LEVEL Facilities 826.20 - - 822.29 - -
LIFT MOTOR ROOM Facilities 824.08 - - 821.68 - -
ROOF TOP LEVEL Roof 824.16 - - 818.71 - -
8,685.92 7,751.81 - 29,192.53 24,810.96 - 27,364.36 22,039.41 16,011.05 27,071.72 21,801.67 15,727.23
TOWER B
LEVEL FUNCTION
BASEMENT CARPARK PODIUM CARPARK TOWER A
TOTAL
SCHEDULE OF AREA/Page 1
2.2 Cost Plan
The cost plan is divided into four parts, which are basement carpark, podium
carpark, tower A and tower B. Moreover, there is also a cost plan for external and
ancillary works. The external and ancillary works in this project include road work,
surface water drainage, sewerage, water reticulation, hard and soft landscaping, refuse
compactor, gym equipment, fencing, water feature, water fountain, playground and
guard house.
The estimated construction cost of each element in the cost plan is build up by
multiplying the cost per GFA of previous similar project with the total GFA of this project
measured from the drawings given. The previous similar project is our benchmark
project, which is a mid-end apartment consist of 3 blocks of 34 storey high apartment
with 7 storey high elevated carpark and 2 storey high basement carpark. Besides that,
the elements that do not have the cost per GFA, such as lift car finishes and mailbox,
are build up with the rates from BQ of previous project.
24
PRELIMINARY COST APPRAISAL
CADANGAN PEMBANGUNAN 2 BLOK 31 TINGKAT PANSAPURI SERVICE (404) UNIT DI ATAS 7 TINGKAT PODIUM BERSERTA 2 TINGKAT BASEMEN DI ATAS LOT 160, JALAN ROBSON OFF JALAN SYED
PUTRA, MUKIM KUALA LUMPUR, WILAYAH PERSEKUTUAN KUALA LUMPUR.
PRELIMINARY COST APPRAISAL
SUMMARY
CFA (M2) = 92,314.53 CFA (M2) = 8,685.92 CFA (M2) = 29,192.53 CFA (M2) = 27,364.36 CFA (M2) = 27,071.72
Estimated Cost Estimated Cost Estimated Cost Estimated Cost Estimated Cost
Construction per m2 Construction per m2 Construction per m2 Construction per m2 Construction per m2
Cost (RM) of CFA (RM) Cost (RM) of CFA (RM) Cost (RM) of CFA (RM) Cost (RM) of CFA (RM) Cost (RM) of CFA (RM)
1.00 SUBSTRUCTURE
1.01 Site Preparation 67,691.04 0.73 6,867.82 0.79 21,981.61 0.75 19,526.12 0.71 19,315.49 0.71
1.02 Piling 5,596,099.56 60.62 567,771.13 65.37 1,817,246.15 62.25 1,614,247.61 58.99 1,596,834.66 58.99
1.03 Foundations 8,526,417.23 92.36 865,076.38 99.60 2,768,821.16 94.85 2,459,525.34 89.88 2,432,994.34 89.87
1.04 Basement Carcass 9,000,000.00 97.49 9,000,000.00 1,036.16 - - - - - -
Group Element Total 23,190,207.82 251.21 10,439,715.34 1,201.91 4,608,048.92 157.85 4,093,299.07 149.59 4,049,144.49 149.57
2.00 STRUCTURAL FRAME
2.01 Frame 42,265,261.67 457.84 3,511,779.25 404.31 7,988,071.91 273.63 15,466,122.10 565.19 15,299,288.42 565.14
2.02 Transfer Structures - - - - - - - - - -
2.03 Roof Trusses - - - - - - - - - -
Group Element Total 42,265,261.67 457.84 3,511,779.25 404.31 7,988,071.91 273.63 15,466,122.10 565.19 15,299,288.42 565.14
3.00 EXTERNAL WALLING AND FINISHES
3.01 Walls 1,447,988.95 15.69 - - 280,940.55 9.62 586,688.52 21.44 580,359.88 21.44
3.02 External Finishes 1,626,784.55 17.62 - - 157,547.03 5.40 738,602.43 26.99 730,635.09 26.99
3.03 Curtain Walling System - - - - - - - - - -
3.04 Doors - - - - - - - - - -
Group Element Total 3,074,773.51 33.31 - - 438,487.59 15.02 1,325,290.94 48.43 1,310,994.98 48.43
4.00 ROOF COVERING ,ETC
4.01 Roofing 2,871,472.46 31.11 50,851.12 5.85 656,456.76 22.49 1,087,950.17 39.76 1,076,214.40 39.75
4.02 Rainwater Goods - - - - - - - - - -
Group Element Total 2,871,472.46 31.11 50,851.12 5.85 656,456.76 22.49 1,087,950.17 39.76 1,076,214.40 39.75
5.00 INTERNAL WALLING
5.01 Walls 2,294,296.49 24.85 104,496.50 12.03 413,795.54 14.17 892,817.65 32.63 883,186.79 32.62
5.02 Doors 6,562,669.55 71.09 130,071.37 14.97 1,127,089.68 38.61 2,667,139.52 97.47 2,638,368.98 97.46
5.03 Windows 5,180,332.93 56.12 2,474.30 0.28 144,893.37 4.96 2,530,128.93 92.46 2,502,836.33 92.45
Group Element Total 14,037,298.97 152.06 237,042.17 27.29 1,685,778.59 57.75 6,090,086.11 222.56 6,024,392.11 222.53
6.00 INTERNAL FINISHES
6.01 Floors 8,329,646.66 90.23 359,477.34 41.39 930,904.71 31.89 3,538,718.45 129.32 3,500,546.16 129.31
6.02 Walls 6,787,045.91 73.52 224,414.71 25.84 621,647.07 21.29 2,986,600.35 109.14 2,954,383.78 109.13
6.03 Ceilings 2,099,094.20 22.74 49,016.73 5.64 223,264.55 7.65 918,359.65 33.56 908,453.27 33.56
6.04 Staircases and Railings 921,866.61 9.99 199,870.59 23.01 353,441.34 12.11 185,276.63 6.77 183,278.05 6.77
Group Element Total 18,137,653.37 196.48 832,779.36 95.88 2,129,257.67 72.94 7,628,955.09 278.79 7,546,661.25 278.77
7.00 FITTINGS,ETC.
7.01 Sanitary Wares & Fittings 5,785,731.62 62.67 - - 134,532.25 4.61 2,840,922.26 103.82 2,810,277.12 103.81
7.02 Signages 327,646.00 3.55 33,242.43 3.83 106,397.93 3.64 94,512.57 3.45 93,493.06 3.45
7.03 Mail Box 61,000.00 0.66 - - - - 30,500.00 1.11 30,500.00 1.13
7.04 Lift Car Finishes 300,000.00 3.25 30,437.51 3.50 97,420.33 3.34 86,537.82 3.16 85,604.34 3.16
Group Element Total 6,474,377.62 70.13 63,679.94 7.33 338,350.51 11.59 3,052,472.66 111.55 3,019,874.52 111.55
8.00 SERVICES
8.01 Chiller Plant - - - - - - - - - -
8.02 HVAC 7,386,189.22 80.01 1,135,148.72 130.69 1,873,625.96 64.18 2,200,576.12 80.42 2,176,838.42 80.41
8.03 Fire Protection 2,083,226.69 22.57 289,391.31 33.32 627,808.67 21.51 586,174.90 21.42 579,851.81 21.42
8.04 Hot, Cold Water & Sanitary Plumbing 5,556,977.32 60.20 63,990.51 7.37 86,027.05 2.95 2,718,140.22 99.33 2,688,819.54 99.32
8.05 Natural Gas 81,157.60 0.88 - - 81,157.60 2.78 - - - -
8.06 BMS - - - - - - - - - -
8.07 Pool Filtration System 148,788.93 1.61 - - 148,788.93 5.10 - - - -
8.08 Electrical HV & Genset 14,643,146.21 158.62 314,988.36 36.26 2,081,262.27 71.29 6,156,653.82 224.99 6,090,241.75 224.97
8.09 Electrical LV - - - - - - - - - -
8.10 Telecom, telephone services - - - - - - - - - -
8.11 Metering Utilities - - - - - - - - - -
8.12 Vertical Transportation 5,684,656.36 61.58 238,897.89 27.50 1,312,047.84 44.94 2,078,063.39 75.94 2,055,647.23 75.93
8.13 Security 1,812,481.26 19.63 250,736.14 28.87 574,920.43 19.69 496,088.01 18.13 490,736.69 18.13
8.14 Building Maintenance Units - - - - - - - - - -
8.15 Waste Collection System - - - - - - - - - -
8.16 Profits and Attendance 1,869,831.18 20.26 114,657.65 13.20 339,281.94 11.62 711,784.82 26.01 704,106.77 26.01
8.17 BWICS 1,121,898.71 12.15 68,794.59 7.92 203,569.16 6.97 427,070.89 15.61 422,464.06 15.61
Group Element Total 40,388,353.47 437.51 2,476,605.16 285.13 7,328,489.86 251.04 15,374,552.18 561.85 15,208,706.27 561.79
9.00 External Works and Ancillary Works 4,870,000.00 52.75 - - - - - - - -
SUB TOTAL ESTIMATED CONSTRUCTION COST 155,309,398.88 1,682.39 17,612,452.34 2,027.70 25,172,941.81 862.31 54,118,728.31 1,977.71 53,535,276.42 1,977.54
Preliminary (10%) 15,530,939.89 - - - - - - - - -
Construction Contingency (5%) 7,765,469.94 - - - - - - - - -
TOTAL CONSTRUCTION ESTIMATED COST FOR BASED
BUILDING
178,605,808.72 1,934.75 17,612,452.34 2,027.70 25,172,941.81 862.31 54,118,728.31 1,977.71 53,535,276.42 1,977.54
Cost Escalation (Assuming tender to be called in one year's time)
(5%)
8,930,290.44 - - - - - - - - -
TOTAL CONSTRUCTION ESTIMATED COST FOR BASED
BUILDING AFTER COST ESCALATION
187,536,099.15 2,031.49 17,612,452.34 2,027.70 25,172,941.81 862.31 54,118,728.31 1,977.71 53,535,276.42 1,977.54
Amount (RM) RM/m2 Amount (RM) RM/m2 Amount (RM) RM/m2 Amount (RM) RM/m2 Amount (RM) RM/m2
a. Structure 65,455,469.49 709.05 13,951,494.59 1,606.22 12,596,120.83 431.48 19,559,421.17 714.78 19,348,432.91 714.71
b. Architectural 44,595,575.93 483.08 1,184,352.59 136.35 5,248,331.12 179.78 19,184,754.97 701.09 18,978,137.25 701.03
c. M&E 40,388,353.47 437.51 2,476,605.16 285.13 7,328,489.86 251.04 15,374,552.18 561.85 15,208,706.27 561.79
TOWER A TOWER B
Element
OVERALL PROJECT BASEMENT CARPARK PODIUM CARPARK
PRELIMINARY COST APPRAISAL
CADANGAN PEMBANGUNAN 2 BLOK 31 TINGKAT PANSAPURI SERVICE (404) UNIT DI ATAS 7 TINGKAT PODIUM BERSERTA 2 TINGKAT BASEMEN DI ATAS LOT 160, JALAN ROBSON OFF JALAN SYED PUTRA,
MUKIM KUALA LUMPUR, WILAYAH PERSEKUTUAN KUALA LUMPUR.
PRELIMINARY COST APPRAISAL
SUMMARY
m2 ft
CFA 92,315 993,674
GFA 76,404 822,411
efficiency 42% NFA 31,738 341,631
Cost Cost Estimated
C.P. Cost Plans CFA (m2) CFA (ft2) Total Units Cost/Unit per m2 per ft2 Construction Cost
of CFA of CFA
(RM) (RM) (RM)
A CONSTRUCTION COSTS
1 Cost Plan for Basement Carpark 8,686 93,495 2,027.70 188.38 17,612,452.34
2 Cost Plan for Podium Carpark (including Ground Floor) 29,193 314,228 862.31 80.11 25,172,941.81
3 Cost Plan for Service Apartment Tower A 27,364 294,550 202 267,914 1,977.71 183.73 54,118,728.31
4 Cost Plan for Service Apartment Tower B 27,072 291,400 202 265,026 1,977.54 183.72 53,535,276.42
5 Cost Plan for External & Ancillary Works 4,870,000.00
6 Preliminaries 10% of Item 1 to 5 above (inclusive) 15,530,939.89
7 Construction Contingencies 5% of Item 1 to 5 above (inclusive) 7,765,469.94
TOTAL CONSTRUCTION ESTIMATED COST FOR BASED BUILDING: 92,315 993,673 1,934.75 179.74 RM178,605,808.72
Cost per m2
of CFA
1934.75
Cost per m2
of GFA
2337.65
Cost per m2
of NFA
5627.46
Cost per ft2 of
CFA
179.74
Cost per ft2 of
GFA
217.17
Cost per ft2 of
NFA
522.80
8 Cost Escalation (Assuming tender to be called in one year's time) RM8,930,290.44
5%
TOTAL CONSTRUCTION ESTIMATED COST FOR BASED BUILDING AFTER COST ESCALATION: 92,315 993,673 2,031.49 188.73 RM187,536,099.15
Cost per m2
of CFA
2031.49
Cost per m2
of GFA
2454.54
Cost per m2
of NFA
5908.83
Cost per ft2 of
CFA
188.73
Cost per ft2 of
GFA
228.03
Cost per ft2 of
NFA
548.94
Asummption/ Exclusion :
1) Land cost and associated charges EXCLUDED.
2) Soil Investigation EXCLUDED.
3) Professional Fees (Arch/QS/C&S/M&E/Landscp) EXCLUDED.
4) Surveyor Fees/Charges EXCLUDED.
5) Marketing & Legal Fees EXCLUDED.
6) Contribution To IWK, TNB, SYABAS EXCLUDED.
7) Show Unit EXCLUDED.
8) Development Charges EXCLUDED.
9) Taxation & Legal Fees EXCLUDED.
10) Quit rent and assessment charges EXCLUDED.
11) Finance charges (Construction Loan) EXCLUDED
11) Building Maintainance System (BMS) & Building Maintenance Units EXCLUDED.
CP01
CP_Sum/Sum 1
COST PLAN FOR BASEMENT CARPARK
CADANGAN PEMBANGUNAN 2 BLOK 31 TINGKAT PANSAPURI SERVICE (404) UNIT DI ATAS 7 TINGKAT PODIUM
BERSERTA 2 TINGKAT BASEMEN DI ATAS LOT 160, JALAN ROBSON OFF JALAN SYED PUTRA, MUKIM KUALA
LUMPUR, WILAYAH PERSEKUTUAN KUALA LUMPUR.
CONSTRUCTION FLOOR AREA: 8,685.92 M2
179 TOTAL NUMBER OF CARPAKS
Constituent Estimated Cost
Functional Element Construction per m2 Remarks
Cost of CFA
1.00 SUBSTRUCTURE
1.01 Site Preparation 6,867.82 0.79
1.02 Piling 567,771.13 65.37
1.03 Foundations 865,076.38 99.60
1.04 Basement Carcass 9,000,000.00 1,036.16
Group Element Total 10,439,715.34 1,201.92
2.00 STRUCTURAL FRAME
2.01 Frame 3,511,779.25 404.31
2.02 Transfer Structures - - Not applicable
2.03 Roof Trusses - - Not applicable
Group Element Total 3,511,779.25 404.31
3.00 EXTERNAL WALLING AND FINISHES
3.01 Walls - - Not applicable
3.02 External Finishes - - Not applicable
3.03 Curtain Walling System - - Not applicable
3.04 Doors - - Not applicable
Group Element Total - -
4.00 ROOF COVERINGS, ETC
4.01 Roofing 50,851.12 5.85
4.02 Rainwater Goods - - Included
Group Element Total 50,851.12 5.85
5.00 INTERNAL WALLING
5.01 Walls 104,496.50 12.03
5.02 Doors 130,071.37 14.97
5.03 Windows 2,474.30 0.28
Group Element Total 237,042.17 27.00
6.00 INTERNAL FINISHES
6.01 Floors 359,477.34 41.39
6.02 Walls 224,414.71 25.84
6.03 Ceilings 49,016.73 5.64
6.04 Staircases and Railings 199,870.59 23.01
Group Element Total 832,779.36 95.88
COST PLAN FOR BASEMENT CARPARK
CP_BSMT / Page 1 of 2
COST PLAN FOR BASEMENT CARPARK
CADANGAN PEMBANGUNAN 2 BLOK 31 TINGKAT PANSAPURI SERVICE (404) UNIT DI ATAS 7 TINGKAT PODIUM
BERSERTA 2 TINGKAT BASEMEN DI ATAS LOT 160, JALAN ROBSON OFF JALAN SYED PUTRA, MUKIM KUALA
LUMPUR, WILAYAH PERSEKUTUAN KUALA LUMPUR.
CONSTRUCTION FLOOR AREA: 8,685.92 M2
179 TOTAL NUMBER OF CARPAKS
Constituent Estimated Cost
Functional Element Construction per m2 Remarks
Cost of CFA
COST PLAN FOR BASEMENT CARPARK
7.00 FITTINGS, ETC.
7.01 Sanitary Wares & Fittings - - Not applicable
7.02 Signages 33,242.43 3.83
7.03 Mail Box - - Not applicable
7.04 Lift Car Finishes 30,437.51 3.50 Exclude bomba lift
Group Element Total 63,679.94 7.33
.
8.00 SERVICES
8.01 Chiller Plant - - Not applicable
8.02 HVAC 1,135,148.72 130.69
8.03 Fire Protection 289,391.31 33.32
8.04 Hot, Cold Water & Sanitary Plumbing 63,990.51 7.37
8.05 Natural Gas - - Not applicable
8.06 BMS - - Not applicable
8.07 Pool Filtration System - - Not applicable
8.08 Electrical HV & Genset 314,988.36 36.26
8.09 Electrical LV - - Included
8.10 Telecom, telephone services - - Included
8.11 Metering Utilities - - Included
8.12 Vertical Transportation 238,897.89 27.50
8.13 Security 250,736.14 28.87
8.14 Building Maintenance Units - - Not applicable
8.15 Waste Collection System - - Not applicable
8.16 Profits and Attendance 114,657.65 13.20 5% for item 8.01 to 8.15
8.17 BWICS 68,794.59 7.92 3% for item 8.01 to 8.15
Group Element Total 2,476,605.16 285.13
TOTAL ESTIMATED CONSTRUCTION
COST 17,612,452.34 2,027.42
CP_BSMT / Page 2 of 2
COST PLAN FOR PODIUM CARPARK
CADANGAN PEMBANGUNAN 2 BLOK 31 TINGKAT PANSAPURI SERVICE (404) UNIT DI ATAS 7 TINGKAT PODIUM
BERSERTA 2 TINGKAT BASEMEN DI ATAS LOT 160, JALAN ROBSON OFF JALAN SYED PUTRA, MUKIM KUALA
LUMPUR, WILAYAH PERSEKUTUAN KUALA LUMPUR.
CONSTRUCTION FLOOR AREA: 29,192.53 M2
477 TOTAL NUMBER OF CARPAKS
Constituent Estimated Cost
Functional Element Construction per m2 Remarks
Cost of CFA
1.00 SUBSTRUCTURE
1.01 Site Preparation 21,981.61 0.75
1.02 Piling 1,817,246.15 62.25
1.03 Foundations 2,768,821.16 94.85
1.04 Basement Carcass - - Not applicable
Group Element Total 4,608,048.92 157.85
2.00 STRUCTURAL FRAME
2.01 Frame 7,988,071.91 273.63
2.02 Transfer Structures - - Not applicable
2.03 Roof Trusses - - Not applicable
Group Element Total 7,988,071.91 273.63
3.00 EXTERNAL WALLING AND FINISHES
3.01 Walls 280,940.55 9.62
3.02 External Finishes 157,547.03 5.40
3.03 Curtain Walling System - - Not applicable
3.04 Doors - - Not applicable
Group Element Total 438,487.59 15.02
4.00 ROOF COVERINGS, ETC
4.01 Roofing 656,456.76 22.49
4.02 Rainwater Goods - - Included
Group Element Total 656,456.76 22.49
5.00 INTERNAL WALLING
5.01 Walls 413,795.54 14.17
5.02 Doors 1,127,089.68 38.61
5.03 Windows 144,893.37 4.96
Group Element Total 1,685,778.59 52.78
6.00 INTERNAL FINISHES
6.01 Floors 930,904.71 31.89
6.02 Walls 621,647.07 21.29
6.03 Ceilings 223,264.55 7.65
6.04 Staircases and Railings 353,441.34 12.11
Group Element Total 2,129,257.67 72.94
COST PLAN FOR PODIUM CARPARK
CP_PodiumCPK / Page 1 of 2
COST PLAN FOR PODIUM CARPARK
CADANGAN PEMBANGUNAN 2 BLOK 31 TINGKAT PANSAPURI SERVICE (404) UNIT DI ATAS 7 TINGKAT PODIUM
BERSERTA 2 TINGKAT BASEMEN DI ATAS LOT 160, JALAN ROBSON OFF JALAN SYED PUTRA, MUKIM KUALA
LUMPUR, WILAYAH PERSEKUTUAN KUALA LUMPUR.
CONSTRUCTION FLOOR AREA: 29,192.53 M2
477 TOTAL NUMBER OF CARPAKS
Constituent Estimated Cost
Functional Element Construction per m2 Remarks
Cost of CFA
COST PLAN FOR PODIUM CARPARK
7.00 FITTINGS, ETC.
7.01 Sanitary Wares & Fittings 134,532.25 4.61
7.02 Signages 106,397.93 3.64
7.03 Mail Box - - Not applicable
7.04 Lift Car Finishes 97,420.33 3.34 Exclude bomba lift
Group Element Total 338,350.51 11.59
.
8.00 SERVICES
8.01 Chiller Plant - - Not applicable
8.02 HVAC 1,873,625.96 64.18
8.03 Fire Protection 627,808.67 21.51
8.04 Hot, Cold Water & Sanitary Plumbing 86,027.05 2.95
8.05 Natural Gas 81,157.60 2.78 Liquefied petroleum gas (LPS)
8.06 BMS - - Not included
8.07 Pool Filtration System 148,788.93 5.10
8.08 Electrical HV & Genset 2,081,262.27 71.29
8.09 Electrical LV - - Included
8.10 Telecom, telephone services - - Included
8.11 Metering Utilities - - Included
8.12 Vertical Transportation 1,312,047.84 44.94
8.13 Security 574,920.43 19.69
8.14 Building Maintenance Units - - Not included
8.15 Waste Collection System - - Not applicable
8.16 Profits and Attendance 339,281.94 - 5% for item 8.01 to 8.16
8.17 BWICS 203,569.16 6.97 3% for item 8.01 to 8.16
Group Element Total 7,328,489.86 239.41
TOTAL ESTIMATED CONSTRUCTION
COST 25,172,941.81 845.71
CP_PodiumCPK / Page 2 of 2
COST PLAN FOR TOWER A
CADANGAN PEMBANGUNAN 2 BLOK 31 TINGKAT PANSAPURI SERVICE (404) UNIT DI ATAS 7 TINGKAT PODIUM
BERSERTA 2 TINGKAT BASEMEN DI ATAS LOT 160, JALAN ROBSON OFF JALAN SYED PUTRA, MUKIM KUALA
LUMPUR, WILAYAH PERSEKUTUAN KUALA LUMPUR.
CONSTRUCTION FLOOR AREA: 27,364.36 M2
202 UNITS
Constituent Estimated Cost
Functional Element Construction per m2 Remarks
Cost of CFA
1.00 SUBSTRUCTURE
1.01 Site Preparation 19,526.12 0.71
1.02 Piling 1,614,247.61 58.99
1.03 Foundations 2,459,525.34 89.88
1.04 Basement Carcass - - Not applicable
Group Element Total 4,093,299.07 149.58
2.00 STRUCTURAL FRAME
2.01 Frame 15,466,122.10 565.19
2.02 Transfer Structures - - Not applicable
2.03 Roof Trusses - - Not applicable
Group Element Total 15,466,122.10 565.19
3.00 EXTERNAL WALLING AND FINISHES
3.01 Walls 586,688.52 21.44
3.02 External Finishes 738,602.43 26.99
3.03 Curtain Walling System - - Not applicable
3.04 Doors - - Not applicable
Group Element Total 1,325,290.94 48.43
4.00 ROOF COVERINGS, ETC
4.01 Roofing 1,087,950.17 39.76
4.02 Rainwater Goods - - Included
Group Element Total 1,087,950.17 39.76
5.00 INTERNAL WALLING
5.01 Walls 892,817.65 32.63
5.02 Doors 2,667,139.52 97.47
5.03 Windows 2,530,128.93 92.46
Group Element Total 6,090,086.11 130.10
6.00 INTERNAL FINISHES
6.01 Floors 3,538,718.45 129.32
6.02 Walls 2,986,600.35 109.14
6.03 Ceilings 918,359.65 33.56
6.04 Staircases and Railings 185,276.63 6.77
Group Element Total 7,628,955.09 278.79
COST PLAN FOR TOWER A
CP_Tower A / Page 1 of 2
COST PLAN FOR TOWER A
CADANGAN PEMBANGUNAN 2 BLOK 31 TINGKAT PANSAPURI SERVICE (404) UNIT DI ATAS 7 TINGKAT PODIUM
BERSERTA 2 TINGKAT BASEMEN DI ATAS LOT 160, JALAN ROBSON OFF JALAN SYED PUTRA, MUKIM KUALA
LUMPUR, WILAYAH PERSEKUTUAN KUALA LUMPUR.
CONSTRUCTION FLOOR AREA: 27,364.36 M2
202 UNITS
Constituent Estimated Cost
Functional Element Construction per m2 Remarks
Cost of CFA
COST PLAN FOR TOWER A
7.00 FITTINGS, ETC.
7.01 Sanitary Wares & Fittings 2,840,922.26 103.82
7.02 Signages 94,512.57 3.45
7.03 Mail Box 30,500.00 1.11
7.04 Lift Car Finishes 86,537.82 3.16
Group Element Total 3,052,472.66 111.54
.
8.00 SERVICES
8.01 Chiller Plant - - Not applicable
8.02 HVAC 2,200,576.12 80.42
8.03 Fire Protection 586,174.90 21.42
8.04 Hot, Cold Water & Sanitary Plumbing 2,718,140.22 99.33
8.05 Natural Gas - - Not applicable
8.06 BMS - - Not included
8.07 Pool Filtration System - - Not applicable
8.08 Electrical HV & Genset 6,156,653.82 224.99
8.09 Electrical LV - - Included
8.10 Telecom, telephone services - - Included
8.11 Metering Utilities - - Included
8.12 Vertical Transportation 2,078,063.39 75.94
8.13 Security 496,088.01 18.13
8.14 Building Maintenance Units - - Not included
8.15 Waste Collection System - - Not applicable
8.16 Profits and Attendance 711,784.82 - 5% for item 8.01 to 8.15
8.17 BWICS 427,070.89 15.61 3% for item 8.01 to 8.15
Group Element Total 15,374,552.18 535.84
TOTAL ESTIMATED CONSTRUCTION
COST 54,118,728.31 1,859.23
CP_Tower A / Page 2 of 2
COST PLAN FOR TOWER B
CADANGAN PEMBANGUNAN 2 BLOK 31 TINGKAT PANSAPURI SERVICE (404) UNIT DI ATAS 7 TINGKAT PODIUM
BERSERTA 2 TINGKAT BASEMEN DI ATAS LOT 160, JALAN ROBSON OFF JALAN SYED PUTRA, MUKIM KUALA
LUMPUR, WILAYAH PERSEKUTUAN KUALA LUMPUR.
CONSTRUCTION FLOOR AREA: 27,071.72 M2
202 UNITS
Constituent Estimated Cost
Functional Element Construction per m2 Remarks
Cost of CFA
1.00 SUBSTRUCTURE
1.01 Site Preparation 19,315.49 0.71
1.02 Piling 1,596,834.66 58.99
1.03 Foundations 2,432,994.34 89.87
1.04 Basement Carcass - - Not applicable
Group Element Total 4,049,144.49 149.57
2.00 STRUCTURAL FRAME
2.01 Frame 15,299,288.42 565.14
2.02 Transfer Structures - - Not applicable
2.03 Roof Trusses - - Not applicable
Group Element Total 15,299,288.42 565.14
3.00 EXTERNAL WALLING AND FINISHES
3.01 Walls 580,359.88 21.44
3.02 External Finishes 730,635.09 26.99
3.03 Curtain Walling System - - Not applicable
3.04 Doors - - Not applicable
Group Element Total 1,310,994.98 48.43
4.00 ROOF COVERINGS, ETC
4.01 Roofing 1,076,214.40 39.75
4.02 Rainwater Goods - - Included
Group Element Total 1,076,214.40 39.75
5.00 INTERNAL WALLING
5.01 Walls 883,186.79 32.62
5.02 Doors 2,638,368.98 97.46
5.03 Windows 2,502,836.33 92.45
Group Element Total 6,024,392.11 130.08
6.00 INTERNAL FINISHES
6.01 Floors 3,500,546.16 129.31
6.02 Walls 2,954,383.78 109.13
6.03 Ceilings 908,453.27 33.56
6.04 Staircases and Railings 183,278.05 6.77
Group Element Total 7,546,661.25 278.77
COST PLAN FOR TOWER B
CP_Tower B / Page 1 of 2
COST PLAN FOR TOWER B
CADANGAN PEMBANGUNAN 2 BLOK 31 TINGKAT PANSAPURI SERVICE (404) UNIT DI ATAS 7 TINGKAT PODIUM
BERSERTA 2 TINGKAT BASEMEN DI ATAS LOT 160, JALAN ROBSON OFF JALAN SYED PUTRA, MUKIM KUALA
LUMPUR, WILAYAH PERSEKUTUAN KUALA LUMPUR.
CONSTRUCTION FLOOR AREA: 27,071.72 M2
202 UNITS
Constituent Estimated Cost
Functional Element Construction per m2 Remarks
Cost of CFA
COST PLAN FOR TOWER B
7.00 FITTINGS, ETC.
7.01 Sanitary Wares & Fittings 2,810,277.12 103.81
7.02 Signages 93,493.06 3.45
7.03 Mail Box 30,500.00 1.13
7.04 Lift Car Finishes 85,604.34 3.16
Group Element Total 3,019,874.52 111.55
.
8.00 SERVICES
8.01 Chiller Plant - - Not applicable
8.02 HVAC 2,176,838.42 80.41
8.03 Fire Protection 579,851.81 21.42
8.04 Hot, Cold Water & Sanitary Plumbing 2,688,819.54 99.32
8.05 Natural Gas - - Not applicable
8.06 BMS - - Not included
8.07 Pool Filtration System - - Not applicable
8.08 Electrical HV & Genset 6,090,241.75 224.97
8.09 Electrical LV - - Included
8.10 Telecom, telephone services - - Included
8.11 Metering Utilities - - Included
8.12 Vertical Transportation 2,055,647.23 75.93
8.13 Security 490,736.69 18.13
8.14 Building Maintenance Units - - Not included
8.15 Waste Collection System - - Not applicable
8.16 Profits and Attendance 704,106.77 - 5% for item 8.01 to 8.15
8.17 BWICS 422,464.06 15.61 3% for item 8.01 to 8.15
Group Element Total 15,208,706.27 535.79
TOTAL ESTIMATED CONSTRUCTION
COST 53,535,276.42 1,859.08
CP_Tower B / Page 2 of 2
COST PLAN FOR EXTERNAL ANCILLARY WORKS
CADANGAN PEMBANGUNAN 2 BLOK 31 TINGKAT PANSAPURI SERVICE (404) UNIT DI ATAS 7 TINGKAT PODIUM
BERSERTA 2 TINGKAT BASEMEN DI ATAS LOT 160, JALAN ROBSON OFF JALAN SYED PUTRA, MUKIM KUALA
LUMPUR, WILAYAH PERSEKUTUAN KUALA LUMPUR.
CONSTRUCTION FLOOR AREA: 1,484.39 M2
Constituent Estimated Cost
Functional Element Construction per m2 Remarks
Cost of CFA
1.00 EXTERNAL & ANCILLARY WORKS
1.01 External Work 1,000,000.00 673.68 Include road work, surface water drainage,
sewerage, water reticulation
1.02 Hard and Soft Landscaping 3,000,000.00 2,021.04
1.03 Refuse compactor, Gym equipment 300,000.00 202.10
1.04 Fencing 170,000.00 114.53
1.05 Water feature & Water fountain 150,000.00 101.05
1.06 Playground 50,000.00 33.68
1.07 Guard House 200,000.00 134.74
-
Group Element Total 4,870,000.00 3,280.82
TOTAL ESTIMATED CONSTRUCTION
COST 4,870,000.00 3,280.82
COST PLAN FOR EXTERNAL & ANCILLARY WORKS
CP_Ext&Ancillary / Page 1 of 1
PERCENTAGE OF TOTAL COST
CADANGAN PEMBANGUNAN 2 BLOK 31 TINGKAT PANSAPURI SERVICE (404) UNIT DI ATAS 7 TINGKAT PODIUM
BERSERTA 2 TINGKAT BASEMEN DI ATAS LOT 160, JALAN ROBSON OFF JALAN SYED PUTRA, MUKIM KUALA
LUMPUR, WILAYAH PERSEKUTUAN KUALA LUMPUR.
PRELIMINARY COST APPRAISAL
PERCENTAGE OF STRUCTURE, ARCHITECTURAL AND M&E COST
No. Element
Estimated Construction
Cost (RM)
Percentage
Cost per m2 of
CFA (RM)
Cost per ft2 of
CFA (RM)
A BASEMENT CARPARK
Structure 13,951,494.59 79% 1,606.22 149.22
Architectural 1,184,352.59 7% 136.35 12.67
M&E 2,476,605.16 14% 285.13 26.49
TOTAL 17,612,452.34 100% 2,027.70 188.38
B PODIUM CARPARK
Structure 12,596,120.83 50% 431.48 40.09
Architectural 5,248,331.12 21% 179.78 16.70
M&E 7,328,489.86 29% 251.04 23.32
TOTAL 25,172,941.81 100% 862.31 80.11
C TOWER A
Structure 19,559,421.17 36% 714.78 66.40
Architectural 19,184,754.97 35% 701.09 65.13
M&E 15,374,552.18 28% 561.85 52.20
TOTAL 54,118,728.31 100% 1,977.71 183.73
D TOWER B
Structure 19,348,432.91 36% 714.71 66.40
Architectural 18,978,137.25 35% 701.03 65.13
M&E 15,208,706.27 28% 561.79 52.19
TOTAL 53,535,276.42 100% 1,977.54 183.72
E TOTAL CONSTRUCTION COST
Structure 65,455,469.49 44% 709.05 65.87
Architectural 44,595,575.93 30% 483.08 44.88
M&E 40,388,353.47 27% 437.51 40.65
TOTAL 150,439,398.88 100% 1,629.64 151.40
PERCENTAGE OF TOTAL ESTIMATED CONSTRUCTION COST
No. Element
Estimated Construction
Cost (RM)
Percentage
Cost per m2 of
CFA (RM)
Cost per ft2 of
CFA (RM)
A BASEMENT CARPARK 17,612,452.34 12% 2,027.70 188.38
B PODIUM CARPARK 25,172,941.81 17% 862.31 80.11
C TOWER A 54,118,728.31 36% 1,977.71 183.73
D TOWER B 53,535,276.42 36% 1,977.54 183.72
TOTAL 150,439,398.88 100% 1,629.64 151.40
CP_Percentage / Page 1 of 2
PERCENTAGE OF TOTAL COST
CADANGAN PEMBANGUNAN 2 BLOK 31 TINGKAT PANSAPURI SERVICE (404) UNIT DI ATAS 7 TINGKAT PODIUM
BERSERTA 2 TINGKAT BASEMEN DI ATAS LOT 160, JALAN ROBSON OFF JALAN SYED PUTRA, MUKIM KUALA
LUMPUR, WILAYAH PERSEKUTUAN KUALA LUMPUR.
PRELIMINARY COST APPRAISAL
PERCENTAGE OF TOTAL CONSTRUCTION ESTIMATED COST FOR BASED BUILDING:
No. Element
Estimated Construction
Cost (RM)
Percentage
Cost per m2 of
CFA (RM)
Cost per ft2 of
CFA (RM)
A BASEMENT CARPARK 17,612,452.34 10% 2,027.70 188.38
B PODIUM CARPARK 25,172,941.81 14% 862.31 80.11
C TOWER A 54,118,728.31 30% 1,977.71 183.73
D TOWER B 53,535,276.42 30% 1,977.54 183.72
E EXTERNAL WORK 4,870,000.00 3% 3,280.82 304.80
F Preliminaries (10% of A-E) 15,530,939.89 9%
G Contingencies (5% of A-E) 7,765,469.94 4%
SUB-TOTAL 178,605,808.72 100% 1,934.75 179.74
H Cost Escalation (5% of A-G) 8,930,290.44
TOTAL 187,536,099.15 2,031.49 188.73
CP_Percentage / Page 2 of 2
BRIEF SPECIFICATIONS
CADANGAN PEMBANGUNAN 2 BLOK 31 TINGKAT PANSAPURI SERVICE (404) UNIT DI ATAS 7 TINGKAT PODIUM
BERSERTA 2 TINGKAT BASEMEN DI ATAS LOT 160, JALAN ROBSON OFF JALAN SYED PUTRA, MUKIM KUALA LUMPUR, WILAYAH
PERSEKUTUAN KUALA LUMPUR.
PRELIMINARY COST APRAISAL
BRIEF SPECIFICATIONS
1.00 PRELIMINARIES Budgetary allowance for Contractor's plant and machinery, organisation, administration, water,
electricity, temporary buildings, site supervision, insurances, etc. at 10% of total construction cost.
2.00 SUBSTRUCTURE
2.01 SITE PREPARATION Allowance for site clearing. No demolition of existing structures.
2.02 PILING Allowance for reinforced concrete bored pile and pilecap.
2.03 FOUNDATIONS Allowance for excavation, reinforced concrete ground slabs, ground beams and column stumps.
2.04 BASEMENT CARCASS Allowance for reinforced concrete contiguous bored piles based on penetration of 20.0m depth,
cap beam and skin wall.
3.00 STRUCTURAL FRAME
3.01 FRAME Allowance for reinforced concrete column, beam and suspended slab.
3.02 TRANSFER STRUCTURES Not applicable.
3.03 ROOF TRUSSES Not applicable.
4.00 EXTERNAL WALLING AND FINISHES
4.01 WALLS Allowance for 115mm and 230mm thick cement and sand brickwall and reinforced concrete shear
walls.
4.02 EXTERNAL FINISHES Allowance for cement & sand plastering in general; painting with weathershield emulsion paint to
external wall generally, gloss enamel paint to timber and metal work generally; decorative
features to carpark fascade
4.03 CURTAIN WALLING SYSTEM Not applicable.
4.04 DOORS Not applicable.
5.00 ROOF COVERINGS, ETC
5.01 ROOFING Allowance for reinforced concrete flat roof with waterproofing system, uPVC rainwater downpipes
and accessories.
5.02 RAINWATER GOODS Included.
6.00 INTERNAL WALLING
6.01 WALLS Allowance for 115mm and 230mm thick cement and sand brickwall, reinforced concrete shear
walls and lift walls.
6.02 DOORS Allowance for fire rated doors to stair and electrical rooms, decorative solid core flush door with
veneer ply finish as apartment entrance doors and timber flush doors generally; all metal door
frames, including standard range of ironmongery.
6.03 WINDOWS Allowance for powder coated aluminium framed fixed panels, composite and top hung windows in
8mm thick tempered glass.
ELEMENT BRIEF SPECIFICATIONS
SPECIFICATIONS/Page 1
BRIEF SPECIFICATIONS
CADANGAN PEMBANGUNAN 2 BLOK 31 TINGKAT PANSAPURI SERVICE (404) UNIT DI ATAS 7 TINGKAT PODIUM
BERSERTA 2 TINGKAT BASEMEN DI ATAS LOT 160, JALAN ROBSON OFF JALAN SYED PUTRA, MUKIM KUALA LUMPUR, WILAYAH
PERSEKUTUAN KUALA LUMPUR.
PRELIMINARY COST APRAISAL
BRIEF SPECIFICATIONS
ELEMENT BRIEF SPECIFICATIONS
7.00 INTERNAL FINISHES
7.01 FLOORS Allowance for cement rendering to M&E rooms and corridor; granite tiles to lift lobby, lounge,
bathrooms and powder room; homogeneous tiles to staircase lobby, yard and kitchen; timber
flooring to living, dining, bedrooms, maid room and study room; waterproofing system to
bathrooms and kitchen.
7.02 WALLS Allowance for cement & sand plastering in general, skim coating to shear walls and lift walls;
granite tiles to lift lobby, lounge, bathrooms and powder room; homogeneous tiles to kitchen;
paint with emulsion paint to internal walls generally, gloss enamel paint to timber and metal works
generally.
7.03 CEILINGS Allowance for skim coat to soffit of slab generally to apartment units; fibrous plasterglass
suspended ceiling to lift lobby, lounge, living, dining, bedroom, yard, kitchen, maid room and
study room; water resistant fibrous plasterglass suspended ceiling to bathrooms, lounge and
powder room; paint with emulsion paint generally and weathershield paint to moisture resistant
ceilings.
7.04 STAIRCASES AND RAILINGS Allowance for reinforced concrete staircase with homogeneous tiles and nosing tiles, risers and
landing slabs, skim coat and paint to other exposed surfaces of staircase, mild steel railings at
staircase.
8.00 FITTINGS, ETC.
8.01 SANITARY WARES & FITTINGS Allowance for medium range of sanitary wares and fittings such as water closet, basin, shower,
floor trap, shower rose etc.
8.02 SIGNAGES Allowance for signage and logos.
8.03 MAIL BOX Allowance for stainless steel mailbox.
8.04 LIFT CAR FINISHES Allowance for stainless steel handrail, granite flooring, wall panel, suspended ceiling, controlling
panel, mirror and LED lightning to lift car.
9.00 SERVICES
9.01 CHILLER PLANT Not applicable.
9.02 HVAC Allowance for air conditioning and mechanical ventilation.
9.03 FIRE PROTECTION Allowance for sprinkler, wet riser, hosereel, fire alarm & fire suppression system.
9.04 HOT, COLD WATER & SANITARY
PLUMBING
Allowance for vitrified clay, PVC, HDPE, coated heavy duty cast iron pipe and pressed steel
water tank.
9.05 NATURAL GAS Allowance for liquefied petroleum gas (LPS).
9.06 BMS Not included.
9.07 POOL FILTRATION SYSTEM Allowance for installation of pool filtration system.
9.08 ELECTRICAL HV & GENSET Allowance for electrical HV, genset, electrical LV, telecom, telephone services and metering
utilities.
9.09 ELECTRICAL LV Included.
9.10 TELECOM, TELEPHONE SERVICES Included.
SPECIFICATIONS/Page 2
BRIEF SPECIFICATIONS
CADANGAN PEMBANGUNAN 2 BLOK 31 TINGKAT PANSAPURI SERVICE (404) UNIT DI ATAS 7 TINGKAT PODIUM
BERSERTA 2 TINGKAT BASEMEN DI ATAS LOT 160, JALAN ROBSON OFF JALAN SYED PUTRA, MUKIM KUALA LUMPUR, WILAYAH
PERSEKUTUAN KUALA LUMPUR.
PRELIMINARY COST APRAISAL
BRIEF SPECIFICATIONS
ELEMENT BRIEF SPECIFICATIONS
9.00 SERVICES (CONT'D)
9.11 METERING UTILITIES Included.
9.12 VERTICAL TRANSPORTATION Allowance for installation of vertical lift.
9.13 SECURITY Allowance for installation of security system comprising CCTV, PA etc.
9.14 BUILDING MAINTENANCE UNITS Not included.
9.15 WASTE COLLECTION SYSTEM Not applicable.
9.16 PROFITS AND ATTENDANCE Allowance for profit and attendance on services item at 5% of total services cost.
9.17 BWICS Allowance for builder's work in connection with servies on services item at 3% of total services
cost.
10.00 EXTERNAL & ANCILLARY WORKS
10.01 EXTERNAL WORK Allowance for road work comprising premix road, road kerb, parking bay lines, breaking lines,
directional arrows and signage posts.; surface water drainage comprising surface water drains,
pipe culverts and sumps; sewerage drainage comprising sewer pipes and manholes; water
reticulation comprising standard mild steel pipe, bulk meters and hydrants.
10.02 HARD AND SOFT LANDSCAPING Allowance for turfing, plants and hardscape finishes.
10.03 REFUSE COMPACTOR, GYM
EQUIPMENT
Allowance for refuse compactor and gym equipment.
10.04 FENCING Allowance for 'PLYTEC 580 series' anti-climb fencing to perimeter of site with brick and grille
fencing with logo & MS gates with logo to entrance of building.
10.05 WATER FEATURE & WATER
FOUNTAIN
Allowance for construct and complete 1 no. of water feature and 1 no. of water fountain.
10.06 GUARD HOUSE Allowance for construct and complete 1 no. of guard house.
10.07 Allowance for outdoor playground equipment comprising various activities and safety mat.
11.00 CONTINGENCIES Budgetary allowance for unknown or unforeseeable circumstances related to the construction
project at 5% of total construction cost.
SPECIFICATIONS/Page 3
SCHEDULE OF FINISHES
CADANGAN PEMBANGUNAN 2 BLOK 31 TINGKAT PANSAPURI SERVICE (404) UNIT DI ATAS 7 TINGKAT PODIUM
BERSERTA 2 TINGKAT BASEMEN DI ATAS LOT 160, JALAN ROBSON OFF JALAN SYED PUTRA, MUKIM KUALA LUMPUR, WILAYAH
PERSEKUTUAN KUALA LUMPUR.
PRELIMINARY COST APPRAISAL
SCHEDULE OF FINISHES FOR BASEMENT CARPARK & PODIUM CARPARK
ITEM DESCRIPTION FLOOR WALL CEILING
Basement + Podium Carpark
1 Driveway / Carpark PU paint
19mm thick Plaster and Emulsion
Paint
Skim Coat with Paint Finish
2 M&E Rooms 25mm thick Cement Render
19mm thick Plaster and Emulsion
Paint
Skim Coat with Paint Finish
3 Staircase
25mm thick Cement Render with
Nosing Tiles
19mm thick Plaster and Emulsion
Paint
Skim Coat with Paint Finish
4 Staircase Lobby
300mm x 600mm Homogeneous
tiles
19mm thick Plaster and Emulsion
Paint
Skim Coat with Paint Finish
5 Lift Lobby 800mm x 800mm Granite 800mm x 800mm Granite
12mm thick Fibrous Plasterglass
Boards
6 Loading Area & BOH 25mm thick Cement Render
19mm thick Plaster and Emulsion
Paint
Skim Coat with Paint Finish
7 Lounge 800mm x 800mm Granite 800mm x 800mm Granite
12mm thick Moisture Resistance
Plasterglass Board
SOF_Bsmt_P.CPK/Page 1
SCHEDULE OF FINISHES
CADANGAN PEMBANGUNAN 2 BLOK 31 TINGKAT PANSAPURI SERVICE (404) UNIT DI ATAS 7 TINGKAT PODIUM BERSERTA 2 TINGKAT BASEMEN DI ATAS LOT 160, JALAN ROBSON OFF JALAN SYED
PUTRA, MUKIM KUALA LUMPUR, WILAYAH PERSEKUTUAN KUALA LUMPUR.
PRELIMINARY COST APPRAISAL
SCHEDULE OF FINISHES FOR TOWER A & B - SERVICE APARTMENT
ITEM DESCRIPTION FLOOR WALL CEILING FLOOR WALL CEILING
Service Apartment - Common Areas
1 Loading Bay PU paint
19mm thick Plaster and
Emulsion Paint
Skim Coat with Paint Finish - - -
2 M&E Rooms
25mm thick Cement
Render
19mm thick Plaster and
Emulsion Paint
Skim Coat with Paint Finish - - -
3 BOH
25mm thick Cement
Render
19mm thick Plaster and
Emulsion Paint
Skim Coat with Paint Finish - - -
4 Staircase
25mm thick Cement
Render with Nosing Tiles
19mm thick Plaster and
Emulsion Paint
Skim Coat with Paint Finish - - -
5 Lift Lobby ID works ID works ID works 800mm x 800mm Granite 800mm x 800mm Granite
12mm thick Fibrous
Plasterglass Boards
6 Lobby / Lounge ID works ID works ID works 800mm x 800mm Granite 800mm x 800mm Granite
12mm thick Fibrous
Plasterglass Boards
Serviced Apartment - Unit
1 Living / Dining ID works ID works ID works Timber Strips
19mm thick Plaster and
Emulsion Paint
12mm thick Fibrous
Plasterglass Boards
2 Bedrooms ID works ID works ID works Timber Strips
19mm thick Plaster and
Emulsion Paint
12mm thick Fibrous
Plasterglass Boards
3 Bathrooms ID works ID works ID works 800mm x 800mm Granite 800mm x 800mm Granite
12mm thick Moisture
Resistance Plasterglass
Board
4 Yard ID works ID works ID works
300mm x 600mm
Homogeneous Tile
19mm thick Plaster and
Emulsion Paint
12mm thick Fibrous
Plasterglass Boards
5 Kitchen ID works ID works ID works
300mm x 600mm
Homogeneous Tile
300mm x 600mm
Homogeneous Tile
12mm thick Fibrous
Plasterglass Boards
6 Maid Room ID works ID works ID works Timber strips
19mm thick Plaster and
Emulsion Paint
12mm thick Fibrous
Plasterglass Boards
7 Powder room ID works ID works ID works 800mm x 800mm Granite 800mm x 800mm Granite
12mm thick Moisture
Resistance Plasterglass
Board
8 Study room ID works ID works ID works Timber Strips
19mm thick Plaster and
Emulsion Paint
12mm thick Fibrous
Plasterglass Boards
MAIN BUILDING WORKS INTERIOR DESIGN (ID) WORKS
SOF_Serv. Apt/Page 1
RATE BREAKDOWN
CADANGAN PEMBANGUNAN 2 BLOK 31 TINGKAT PANSAPURI SERVICE (404) UNIT DI ATAS 7 TINGKAT PODIUM
BERSERTA 2 TINGKAT BASEMEN DI ATAS LOT 160, JALAN ROBSON OFF JALAN SYED PUTRA, MUKIM KUALA LUMPUR, WILAYAH
PERSEKUTUAN KUALA LUMPUR.
PRELIMINARY COST APRAISAL
RATE BREAKDOWN
Cost Estimation for Basement Carcass
ITEM DESCRIPTION UNIT QUANTITY
RATE
(RM)
AMOUNT
(RM)
RATE REFERENCE
A Contiguous Bored Piles
i. Mobilization & Demobilization sum 300,000.00 300,000.00 Previous project BQ
ii. Moving & Handling sum 50,000.00 50,000.00 Previous project BQ
iii. Testing sum 300,000.00 300,000.00 Previous project BQ
iv. 1500mm dia. bored pile
- Bore hole m 1,760.00 330.00 580,800.00 Previous project BQ
- Cut off No. 88.00 1,100.00 96,800.00 Previous project BQ
- Concrete m 1,760.00 320.00 563,200.00 Previous project BQ
- Rebar kg 431,200.00 4.00 1,724,800.00 Previous project BQ
v. 1200mm dia. bored pile
- Bore hole m 740.00 330.00 244,200.00 Previous project BQ
- Cut off No. 37.00 1,100.00 40,700.00 Previous project BQ
- Concrete m 740.00 320.00 236,800.00 Previous project BQ
- Rebar kg 118,400.00 4.00 473,600.00 Previous project BQ
vi. 800mm dia. bored pile
- Bore hole m 2,460.00 330.00 811,800.00 Previous project BQ
- Cut off No. 123.00 1,100.00 135,300.00 Previous project BQ
- Concrete m 2,460.00 320.00 787,200.00 Previous project BQ
- Rebar kg 172,200.00 4.00 688,800.00 Previous project BQ
B Cap Beam
i. Concrete m3 510.40 320.00 163,328.00 Previous project BQ
ii. Formwork m2 638.00 102.00 65,076.00 Previous project BQ
iii. Rebar kg 102,080.00 4.00 408,320.00 Previous project BQ
C Skin Wall
i. Concrete m3 522.00 320.00 167,040.00 Previous project BQ
ii. Formwork m2 3,480.00 102.00 354,960.00 Previous project BQ
iii. Rebar kg 52,200.00 4.00 208,800.00 Previous project BQ
Total 8,401,524.00
Say 9,000,000.00
RBD_CBP/Page 1
RATE BREAKDOWN
CADANGAN PEMBANGUNAN 2 BLOK 31 TINGKAT PANSAPURI SERVICE (404) UNIT DI ATAS 7 TINGKAT PODIUM
BERSERTA 2 TINGKAT BASEMEN DI ATAS LOT 160, JALAN ROBSON OFF JALAN SYED PUTRA, MUKIM KUALA LUMPUR, WILAYAH
PERSEKUTUAN KUALA LUMPUR.
PRELIMINARY COST APRAISAL
RATE BREAKDOWN
Cost Estimation for Fittings
ITEM DESCRIPTION UNIT QUANTITY
RATE
(RM)
AMOUNT
(RM)
RATE REFERENCE
A Lift Car Finishes RM 50,000 per lift
i. Wall Panel m2 105.00 2,000.00 210,000.00
ii. Suspended ceiling m2 9.24 1,500.00 13,860.00
iii. Granite Flooring m2 9.24 2,500.00 23,100.00
iv. LED Lightning No. 48.00 500.00 24,000.00
v. Stainless steel handle No. 6.00 1,500.00 9,000.00
vi. Mirror No. 6.00 700.00 4,200.00
vii. Operating panel No. 6.00 1,500.00 9,000.00
Total 293,160.00
Say 300,000.00
B Mailbox
i. Stainless steel mailbox No. 404.00 150.00 60,600.00 Previous project BQ
Total 60,600.00
Say 61,000.00
RBD_Fittings/Page 1
RATE BREAKDOWN
CADANGAN PEMBANGUNAN 2 BLOK 31 TINGKAT PANSAPURI SERVICE (404) UNIT DI ATAS 7 TINGKAT PODIUM
BERSERTA 2 TINGKAT BASEMEN DI ATAS LOT 160, JALAN ROBSON OFF JALAN SYED PUTRA, MUKIM KUALA LUMPUR, WILAYAH
PERSEKUTUAN KUALA LUMPUR.
PRELIMINARY COST APRAISAL
RATE BREAKDOWN
Cost Estimation for External & Ancillary Works
ITEM DESCRIPTION UNIT QUANTITY
RATE
(RM)
AMOUNT
(RM)
RATE REFERENCE
A Fencing
i. Supply and install 2100mm high anti-climb
fencing "PLYTEC 580 series"
m 342.00 485.00 165,870.00 Previous project BQ
Total 165,870.00
Say 170,000.00
B Water Feature & Water Curtain
1 Water Feature
i. Hardcore m3 24.15 123.20 2,975.28 Previous project BQ
ii. Concrete to slab m3 32.20 305.60 9,840.32 Previous project BQ
iii. Concrete to wall m3 23.49 305.60 7,178.54 Previous project BQ
iv. Rebar kg 939.60 4.00 3,758.40 Previous project BQ
v. BRC A8 m2 161.00 18.10 2,914.10 Previous project BQ
vi. Formwork m2 78.30 36.20 2,834.46 Previous project BQ
vii. Tiles m2 161.00 67.60 10,883.60 Previous project BQ
viii. Waterproofing m2 161.00 50.60 8,146.60 Previous project BQ
2 Water Curtain
i. Hardcore m3 25.06 123.20 3,086.90 Previous project BQ
ii. Concrete to slab m3 33.41 305.60 10,209.48 Previous project BQ
iii. Concrete to wall m3 25.11 305.60 7,673.62 Previous project BQ
iv. Rebar kg 1,004.40 4.00 4,017.60 Previous project BQ
v. BRC A8 m2 167.04 18.10 3,023.42 Previous project BQ
vi. Formwork m2 83.70 36.20 3,029.94 Previous project BQ
vii. Water feature wall m2 76.80 417.60 32,071.68 Previous project BQ
viii. Tiles m2 167.04 67.60 11,291.90 Previous project BQ
ix. Waterproofing (wall) m2 76.80 50.60 3,886.08 Previous project BQ
x. Waterproofing (slab) m2 167.04 50.60 8,452.22 Previous project BQ
Total 135,274.16
Say 150,000.00
C Playground
1 Playground equipment sum 46,600.00 46,600.00
Total 46,600.00
Say 50,000.00
RBD_Ext Work/Page 1
RATE BREAKDOWN
CADANGAN PEMBANGUNAN 2 BLOK 31 TINGKAT PANSAPURI SERVICE (404) UNIT DI ATAS 7 TINGKAT PODIUM
BERSERTA 2 TINGKAT BASEMEN DI ATAS LOT 160, JALAN ROBSON OFF JALAN SYED PUTRA, MUKIM KUALA LUMPUR, WILAYAH
PERSEKUTUAN KUALA LUMPUR.
PRELIMINARY COST APRAISAL
RATE BREAKDOWN
Cost Estimation for External & Ancillary Works
ITEM DESCRIPTION UNIT QUANTITY
RATE
(RM)
AMOUNT
(RM)
RATE REFERENCE
D Guard House
1 Work Below Lowest Floor
i. Excavation to pad footing m3 7.50 222.40 1,668.00 Previous project BQ
ii. Excavation to ground slab m3 7.82 222.40 1,738.95 Previous project BQ
iii. Hardcore m3 7.77 20.18 156.78 Previous project BQ
iv. Blinding to pad footing 50mm thk m2 4.00 19.66 78.64 Previous project BQ
v. Blinding to ground slab 50mm thk m2 9.54 19.66 187.51 Previous project BQ
vi. Concrete to pad footing m3 7.50 327.30 2,454.75 Previous project BQ
vii. Concrete to ground slab m3 7.82 327.30 2,559.16 Previous project BQ
viii. Concrete to column stump m3 5.00 327.30 1,636.50 Previous project BQ
ix. Rebar to pad footing kg 1,650.00 4.00 6,600.00 Previous project BQ
x. BRC A10 to ground slab m2 9.54 29.09 277.46 Previous project BQ
xi. Rebar to column stump kg 3,000.00 4.00 12,000.00 Previous project BQ
xii. Formwork to pad footing m2 24.00 38.80 931.20 Previous project BQ
xiii. Formwork to edge of ground slab m 13.24 7.80 103.26 Previous project BQ
xiv. Formwork to to column stump m2 1.92 38.80 74.50 Previous project BQ
xv. DPM m2 9.54 2.89 27.56 Previous project BQ
2 Frame
i. Concrete to column m3 7.90 327.30 2,585.67 Previous project BQ
ii. Rebar to column kg 4,740.00 4.00 18,960.00 Previous project BQ
iii. Formwork to to column m2 11.20 38.80 434.56 Previous project BQ
3 Roof
i. Concrete to roof slab m2 9.54 49.10 468.31 Previous project BQ
ii. BRC A8 m2 9.54 19.15 182.65 Previous project BQ
iii. Formwork to roof slab m2 9.54 38.80 370.07 Previous project BQ
iv. Waterproofing m2 9.54 28.00 267.06 Previous project BQ
v. Concrete to roof beam m3 17.74 327.30 5,805.65 Previous project BQ
vi. Rebar to roof beam kg 10,642.80 4.00 42,571.20 Previous project BQ
vii. Formwork to roof beam m2 42.36 38.80 1,643.63 Previous project BQ
viii. Gutter m 13.24 195.71 2,590.81 Previous project BQ
ix. RWDP m 4.00 52.62 210.48 Previous project BQ
4 External Wall
i. 230mm thk brickwall m2 46.33 88.65 4,107.42 Previous project BQ
ii. DPC m2 13.24 2.22 29.39 Previous project BQ
5 Wall finishes
i. Plaster m2 92.67 31.25 2,895.81 Previous project BQ
ii. Paint m2 92.67 7.23 669.98 Previous project BQ
6 Floor Finishes
i. Cement & Sand m2 9.54 29.95 285.66 Previous project BQ
ii. Tiles m2 9.54 150.93 1,439.55 Previous project BQ
7 Ceiling Finishes
i. Plaster m2 9.54 7.23 68.96 Previous project BQ
ii. Paint m2 9.54 3.56 33.95 Previous project BQ
8 Windows
2000 x 1500mm No. 1.00 1,200.00 1,200.00 Previous project BQ
9 Doors
900 x 2100mm No. 2.00 800.00 1,600.00 Previous project BQ
Total 118,915.07
Say 200,000.00
RBD_Ext Work/Page 2
RATE BREAKDOWN
CADANGAN PEMBANGUNAN 2 BLOK 31 TINGKAT PANSAPURI SERVICE (404) UNIT DI ATAS 7 TINGKAT PODIUM
BERSERTA 2 TINGKAT BASEMEN DI ATAS LOT 160, JALAN ROBSON OFF JALAN SYED PUTRA, MUKIM KUALA LUMPUR, WILAYAH
PERSEKUTUAN KUALA LUMPUR.
PRELIMINARY COST APRAISAL
RATE BREAKDOWN
Calculation
1) Contiguous Bored Piles
Notes:
1) Number of piles is measured from basement drawings.
2) Assume penetration depth of pile is 20m.
3) Poundage for bored pile = 230kg/m3
4) Poundage for cap beam = 200kg/m3
5) Poundage for skin wall = 100kg/m3
Element Unit Length Width Depth Timesing Total
Bored Pile
1500mm dia.
Bore hole m 20.00 - - 88.00 1,760.00
Cut off No. - - - 88.00 88.00
Concrete m 20.00 - - 88.00 1,760.00
Rebar kg 4,900.00 - - 88.00 431,200.00
1200mm dia.
Bore hole m 20.00 - - 37.00 740.00
Cut off No. - - - 37.00 37.00
Concrete m 20.00 - - 37.00 740.00
Rebar kg 3,200.00 - - 37.00 118,400.00
800mm dia.
Bore hole m 20.00 - - 123.00 2,460.00
Cut off No. - - - 123.00 123.00
Concrete m 20.00 - - 123.00 2,460.00
Rebar kg 1,400.00 - - 123.00 172,200.00
Cap Beam
Concrete m3 290.00 1.60 1.10 1.00 510.40
Formwork m2 290.00 1.00 1.10 2.00 638.00
Rebar kg 102,080.00 - - - 102,080.00
Skin Wall
Concrete m3 290.00 0.15 12.00 1.00 522.00
Formwork m2 290.00 1.00 12.00 1.00 3,480.00
Rebar kg 52,200.00 - - - 52,200.00
2) Lift Car Finishes
Element Unit Length Width Timesing No. Total
Wall Panel m2 5.00 3.50 1.00 6.00 105.00
Suspended ceiling m2 1.10 1.40 1.00 6.00 9.24
Granite Flooring m2 1.10 1.40 1.00 6.00 9.24
LED Lightning No. - - 8.00 6.00 48.00
Stainless steel handle No. - - 1.00 6.00 6.00
Mirror No. 0.80 1.40 1.00 6.00 6.00
Operating panel No. - - 1.00 6.00 6.00
RBD_Calc/Page 1
RATE BREAKDOWN
CADANGAN PEMBANGUNAN 2 BLOK 31 TINGKAT PANSAPURI SERVICE (404) UNIT DI ATAS 7 TINGKAT PODIUM
BERSERTA 2 TINGKAT BASEMEN DI ATAS LOT 160, JALAN ROBSON OFF JALAN SYED PUTRA, MUKIM KUALA LUMPUR, WILAYAH
PERSEKUTUAN KUALA LUMPUR.
PRELIMINARY COST APRAISAL
RATE BREAKDOWN
Calculation
3) Mailbox
Element Unit Total
Stainless steel mailbox No. 404.00
4) Fencing
Element Unit Length
Fencing m 342.00
5) Water Feature & Water Curtain
Element Unit Length Width Depth Timesing Total
Water Feature
Hardcore m3 16.10 10.00 0.15 1.00 24.15
Concrete to slab m3 16.10 10.00 0.20 1.00 32.20
Concrete to wall m3 52.20 0.30 1.50 1.00 23.49
Rebar kg 939.60 - - - 939.60
BRC A8 m2 16.10 10.00 - 1.00 161.00
Formwork m2 52.20 - 1.50 1.00 78.30
Tiles m2 16.10 10.00 - 1.00 161.00
Waterproofing m2 16.10 10.00 - 1.00 161.00
Water Curtain
Hardcore m3 19.20 8.70 0.15 1.00 25.06
Concrete to slab m3 19.20 8.70 0.20 1.00 33.41
Concrete to wall m3 55.80 0.30 1.50 1.00 25.11
Rebar kg 1,004.40 - - - 1,004.40
BRC A8 m2 19.20 8.70 - 1.00 167.04
Formwork m2 55.80 - 1.50 1.00 83.70
Water feature wall m2 19.20 - 4.00 1.00 76.80
Tiles m2 19.20 8.70 - 1.00 167.04
Waterproofing (wall) m2 19.20 - 4.00 1.00 76.80
Waterproofing (slab) m2 19.20 8.70 - 1.00 167.04
RBD_Calc/Page 2
RATE BREAKDOWN
CADANGAN PEMBANGUNAN 2 BLOK 31 TINGKAT PANSAPURI SERVICE (404) UNIT DI ATAS 7 TINGKAT PODIUM
BERSERTA 2 TINGKAT BASEMEN DI ATAS LOT 160, JALAN ROBSON OFF JALAN SYED PUTRA, MUKIM KUALA LUMPUR, WILAYAH
PERSEKUTUAN KUALA LUMPUR.
PRELIMINARY COST APRAISAL
RATE BREAKDOWN
Calculation
6) Guard House
Notes:
1) Assume is pad footing foundation.
Element Unit Length Width Depth Timesing Total
Work Below Lowest Floor
Excavation to pad footing m3 1.00 1.00 1.50 4.00 7.50
Excavation to ground slab m3 2.12 4.50 0.20 1.00 7.82
Hardcore m3 2.12 4.50 0.15 1.00 7.77
Blinding to pad footing 50mm thk m2 1.00 1.00 - 4.00 4.00
Blinding to ground slab 50mm thk m2 2.12 4.50 - 1.00 9.54
Concrete to pad footing m3 1.00 1.00 1.50 4.00 7.50
Concrete to ground slab m3 2.12 4.50 0.20 1.00 7.82
Concrete to column stump m3 0.20 0.20 0.60 4.00 5.00
Rebar to pad footing kg 412.50 - - 4.00 1,650.00
BRC A10 to ground slab m2 2.12 4.50 - 1.00 9.54
Rebar to column stump kg 750.00 - - 4.00 3,000.00
Formwork to pad footing m2 4.00 - 1.50 4.00 24.00
Formwork to edge of ground slab m 13.24 - 0.20 1.00 13.24
Formwork to to column stump m2 0.80 - 0.60 4.00 1.92
DPM m2 2.12 4.50 - 1.00 9.54
Frame
Concrete to column m3 0.20 0.20 3.50 4.00 7.90
Rebar to column kg 1,185.00 - - 4.00 4,740.00
Formwork to to column m2 0.80 - 3.50 4.00 11.20
Roof
Concrete to roof slab m2 2.12 4.50 0.15 1.00 9.54
BRC A8 m2 2.12 4.50 - 1.00 9.54
Formwork to roof slab m2 2.12 4.50 - 1.00 9.54
Waterproofing m2 2.12 4.50 - 1.00 9.54
Concrete to roof beam m3 13.24 0.20 0.30 4.00 17.74
Rebar to roof beam kg 2,660.70 - - 4.00 10,642.80
Formwork to roof beam m2 13.24 0.20 0.30 4.00 42.36
Gutter m 2.12 4.50 - 1.00 13.24
RWDP m - - 4.00 1.00 4.00
External Wall
230mm thk brickwall m2 2.12 4.50 3.50 1.00 46.33
DPC m2 2.12 4.50 - 1.00 13.24
Wall finishes
Plaster m2 2.12 4.50 3.50 2.00 92.67
Paint m2 2.12 4.50 3.50 2.00 92.67
Floor Finishes
Cement & Sand m2 2.12 4.50 - 1.00 9.54
Tiles m2 2.12 4.50 - 1.00 9.54
Ceiling Finishes
Plaster m2 2.12 4.50 - 1.00 9.54
Paint m2 2.12 4.50 - 1.00 9.54
Windows
2000 x 1500mm No. - - - 1.00 1.00
Doors
900 x 2100mm No. - - - 2.00 2.00
RBD_Calc/Page 3
RATE BREAKDOWN
CADANGAN PEMBANGUNAN 2 BLOK 31 TINGKAT PANSAPURI SERVICE (404) UNIT DI ATAS 7 TINGKAT PODIUM
BERSERTA 2 TINGKAT BASEMEN DI ATAS LOT 160, JALAN ROBSON OFF JALAN SYED PUTRA, MUKIM KUALA LUMPUR, WILAYAH
PERSEKUTUAN KUALA LUMPUR.
PRELIMINARY COST APRAISAL
RATE BREAKDOWN
Calculation
7) Playground
JUBM & Arcadis Construction Cost Handbook 2017 Page 48
RBD_Calc/Page 4
3.0 Conclusion
The proposed site covers an area of 1.43 acres of freehold land and it is
strategically located at a convenient location. There are many amenities around the
area example schools, hospitals and shopping mall. Besides that, there is a lot of public
transportations such as KTM, LRT, and Monorail station near the site. It also have a
great accessibility via ​the four major highways in Malaysia which are Federal Highway,
NPE, KL-Seremban Highway and East-West Link.
The proposed project consist of 2 levels of basement car park, 1 level of ground
floor services floor, 6 levels elevated car park, 1 storey recreational facilities and 2
blocks of 31 levels of serviced apartments. The serviced apartment comes with quality
fittings and finishes. The total CFA of this proposed building is 92,315m2 and the total
construction estimated cost for based building including preliminaries, contingencies
and cost escalation is RM 187,536,099.15 with rates of RM 2,031.49/m2.
In conclusion, the efficiency of the proposed project is 42%. We consider the
project to feasible and recommend the client to invest in this piece of land as it has an
advantageous location to attract more people to buy the service apartment.
51
REFERENCE
Asia's Beverly Hills in Seputeh, Kuala Lumpur? (n.d.). Retrieved June 20, 2018, from
https://www.edgeprop.my/content/asia’s-beverly-hills-seputeh-kuala-lumpur
Construction on KL's Robson Hill Resumes Despite Safety Issues. (2017, March 08).
Retrieved June 15, 2018, from
https://www.propertyguru.com.my/property-news/2017/3/148014/construction-on-kls
-robson-hill-resumes-despite-safety-issues
Floor Plans. (n.d.). Retrieved June 2, 2018, from http://www.sentralsuites.com.my/
Ground Engineering Ltd., & Ground Engineering Ltd. (2017, April 12). Bored Piles And
Their Advantage In The Construction Of A Vertical Building. Retrieved June 11,
2018, from
https://medium.com/@groundengineeringltd/bored-piles-and-their-advantage-in-the-
construction-of-a-vertical-building-7db534321ce0
JUBM & Arcadis Construction Cost Handbook Malaysia (2017).
Nair, V. (2017, March 06). Residents say project is risky - Metro News | The Star
Online. Retrieved June 13, 2018, from
https://www.thestar.com.my/metro/community/2017/03/07/residents-say-project-is-ri
sky-clearing-work-resumes-for-rehab-centre-on-class-iii-slope-after-four/
POST - TENSIONED SLABS - Advantages & Disadvantages which we will discuss in
this post. (2017, June 24). Retrieved June 11, 2018, from
http://engineeringfeed.com/post-tensioned-slabs-advantages-disadvantages-will-dis
cuss-post
52
REFERENCE
Review for Robson Hill Residency, Seputeh. (n.d.). Retrieved June 2, 2018, from
https://www.propsocial.my/property/5540/seputeh/robson-hill-residency
Robson Hill Residency | SYNC IN STYLE. (n.d.). Retrieved June 15, 2018, from
http://www.robsonhillresidency.com/
Robson Hill, Seputeh, Kuala Lumpur (n.d.). Retrieved June 16, 2018, from
http://hacent.com.my/portfolio-jalanRobson.html
Rodriguez, J. (n.d.). When Do You Need a Bored Pile? Retrieved June 11, 2018, from
https://www.thebalancesmb.com/bored-pile-advantages-also-referred-as-drilled-shaf
ts-844753
Sentral Suites @ KL Sentral, KL Sentral PropertyGuru | Malaysia. (n.d.). Retrieved
June 2, 2018, from
https://www.propertyguru.com.my/condo/sentral-suites-kl-sentral-7703
The advantages of the aluminium form work. (n.d.). Retrieved June 11, 2018, from
http://www.adtomall.com/the-advantages-of-the-aluminium-form-work?WebShieldD
RSessionVerify=S8bJriAgsMHGydR9rdYG
53
APPENDICES
Appendix 1: Elemental Cost Plan
54
55
56
57

Assignment - Preliminary Cost Appraisal

  • 1.
    SCHOOL OF ARCHITECTURE,BUILDING AND DESIGN BACHELOR OF QUANTITY SURVEYING (HONOURS) QSB60804 BUILDING ECONOMICS MARCH 2018 SEMESTER PRELIMINARY COST APPRAISAL GROUP MEMBERS: NO. NAME STUDENT ID 1. PANG KAI YUN 0319802 2. SAM WEI YIN 0320364 3. TRACE GEW YEE 0320269 4. YEO KAI WEN 0319844 5. CHOW KAH YIEN 0320300 6. AUDREY TING 0320247 7. TAN HWEE MIIN 0326057 LECTURER : ​MS. SHIRLEY CHIN AI LING MR. SOON LAM TATT SUBMISSION DATE : ​25 JUNE 2018
  • 2.
    TABLE OF CONTENTS CONTENTPAGE NUMBER 1.0 Introduction 1.1 Location 1.2 Benchmark Project 1.3 Proposed Building Design 1.4 Construction technology, methodology and technique 1.4.1 Bored Pile 1.4.2 Contiguous Bored Pile 1.4.3 Post-tensioned Slab 1.4.4 Aluminium Formwork 1.4.5 Aluminum Panel Facade 1.4.6 Rainwater Harvesting System 1.4.7 Summary 3 3 6 10 14 14 15 16 17 18 19 20 2.0 Preliminary Cost Appraisal 2.1 Definition of Area 2.1.1 Construction Floor Areas (CFA) 2.1.2 Gross Floor Areas (GFA) 2.1.3 Net Floor Area (NFA) 2.1.4 Summary of Area 2.1.5 Schedule of Area 2.2 Cost Plan 2.2.1 Summary of Cost Plan 2.2.2 Cost Plan for Basement Carpark 2.2.3 Cost Plan for Podium Carpark 2.2.4 Cost Plan for Tower A 2.2.5 Cost Plan for Tower B 2.2.6 Cost Plan External and Ancillary Work 2.2.7 Percentage of Total Cost 2.3 Specification 2.4 Schedule of Finishes 2.4.1 Basement Carpark & Podium Carpark 2.4.2 Tower A & B - Service Apartment 21 21 21 21 21 22 23 24 25 27 29 31 33 35 36 38 41 41 42 1
  • 3.
    TABLE OF CONTENTS CONTENTPAGE NUMBER 2.5 Rate Breakdown 2.5.1 Cost Estimation for Basement Carcass 2.5.2 Cost Estimation for Fittings 2.5.3 Cost Estimation for External & Ancillary Works 2.5.4 Calculation 43 43 44 45 47 3.0 Conclusion 51 Reference 52 Appendices 54 2
  • 4.
    1.0 Introduction 1.1 Location Theproposed site is located at Lot 160, Jalan Robson, Jalan Syed Putra, Kuala Lumpur. It is strategically located at the prestigious location at Seputeh. The site covers an area of 1.43 acres of freehold land. It is an elevated land and the slope is deemed at high risk of a landslide. ​An independent surveyor determines that ​the slope is 26° gradient, which was categorised as high risk for landslides. Notably, land with a gradient of 26° to 35° are categorised as Class III, while the higher risk class IV has an angle of over 35°. In February 2013, there is a construction of a six-storey HIV rehabilitation centre at the site, but the project was brought to a halt following protests from nearby residents. (Nair, 2017) The precautions for the sloping area should take into consideration to ensure the safety of the residents and people in the surrounding area. Precautions can be taken by using methods like grouting, subsurface of drainage, soil nailing or retaining wall to stabilize the slope. Thus, building on a sloping block will affect the cost of the building as it needs additional cost to stabilize the slope. Figure 1.1.1: The proposed site labels in red as shown in the picture above 3
  • 5.
    The site issurrounded by lush greeneries and prestigious residential development, such as Seputeh Heights, Robson Court, Varsana 25, 348 Central and others. There is no other high rise development around the site. As the site is strategically located in a convenient location, ​it can cause heavy traffic at the time when the people living nearby driving to and fro from work. The site is also near to Thean Hou Temple. Hence, the area can be crowded during the major Chinese festival when people going there for worshipping. There are many other amenities around the area, for example schools and institution of higher learning like Methodist College, Vikas International School, Mahsa University College, University of Malaya and Kuen Cheng High School just to name a few. This area also has prestigious hospitals namely University Malaya Medical Centre and Pantai Hospital. Apart from that, there are also a few governments and private clinics nearby to accommodate to the needs of the community there. Besides that,, the resident can find shopping malls such as Mid Valley Megamall, The Gardens, Bangsar Village, 1 Utama Shopping Centre and The Curve near the area. Besides, there is a lot of public transportation such as KTM, LRT, and Monorail station near the site. The site is just a few minutes away from The KL Sentral KTM Station, Maharajalela Monorail Station and Chan Sow Lin LRT Station. Even though there is a lot of public transportation nearby, the site still has a great accessibility via the four major highways in Malaysia. The Federal Highway can take you to Petaling Jaya while the NPE makes it convenient to drive to Old Klang Road, Bandar Sunway, Subang Jaya, USJ and Shah Alam. Going to the direction of KL, Cheras and Kajang, there are two highways to choose from namely KL-Seremban Highway and East-West Link. 4
  • 6.
    Figure 1.1.2: Theproposed site is strategically located in a convenient location 5
  • 7.
    1.2 Benchmark Project SentralSuites @ Kl Sentral, knows as ‘’Garden in the city’’ the latest landmark residential development in KL Sentral and it is aspired to provide a modern city lifestyle that thrives on the conveniences, fast-moving pace and energy of KL Sentral. It is selected as the benchmark project due to a lot of similarities with our proposed project. The developer of this project, MRCD invigorating their idea of Transit Orientated Development (TOD) in developing this leading urban landmark. Figure 1.2.1 shows the façade view of Sentral Suites Figure 1.2.2 shows the aerial view of Sentral Suites 6
  • 8.
    Sentral Suites consistsof three apartment blocks completing the residential complex and will be spread across an area of 4.92 acres. The project was commenced in 3​rd quarter of 2016 and the estimated completion date of the overall project is on 1​st quarter of 2021. It is expected to be completed within 54 months for all three apartment blocks. The first and second block consists of 458 units, while the third block consists of 518 units and the bottom of residence will hold 41 retail units. There are 43 floors in total and 1434 units, including ten different types of unit to meet the demand of the public. Figure 1.2.3 shows the floor plans of different type of units Sentral Suites is strategically located at Jalan Tun Sambanthan,50470 Kuala Lumpur, Wilayah Persekutuan and it only takes five minutes of walking distance to reach KL Sentral. With the easy access to major roads such as NPE, Mahameru and Federal Highway, the residents can easily travel to major cities such as Bangsar, the city center and Petaling Jaya. Besides that, it is also surrounded by the several shopping malls and corporate office towers and it has balanced all the elements where workers and residents can play and shop within. For example, it is only 0.35km to NU Sentral Mall, 2.50km to Bangsar Village and 2.60km to Mid Valley City. 7
  • 9.
    Along with thethemed and pocket garden feature of Sentral Suites, the residents will be rewarded with various other facilities such as a jogging track, dance studio, billiard room, swimming pool, outdoor Jacuzzi, sauna, multipurpose halls, Taichi deck, barbeque area, study room and basketball court to satisfy the recreational needs of the residents. Not only the adult can gain contentment from their garden feature, the developer also designs a Trampoline Garden with many outdoor game facilities for the children. Figure 1.2.4 shows the podium facilities plans This leasehold property priced at approximately RM1000 per square feet and the listing price of the unit starts from RM730,000. The maintenance fee is expected to be RM0.39 per square feet, including the sinking fund which is considered as a reasonable charges provided with the density and the size of each unit. 8
  • 10.
    In a nutshell,we proposed Sentral Suites as our benchmark project is because the strategic locations of both projects. Both of them are located at the heart of the city, which are already surrounded by many residential and commercial buildings. The public transport stations are just a stone throw away from both projects which provide convenience to the residents. The residents staying in these two condominiums also can easily access to ​East-West Highway and Federal Highway. 9
  • 11.
    1.3 Proposed BuildingDesign Figure 1.3: The proposed building design This building is a service apartment which has two towers with 38 of storey. The service apartment rise to a height of approximate 536 feet (163.4 meters). The property will have a total of 404 residential units which consists of typical unit and duplex unit. Each tower consists of 188 units of typical unit which located from Level 8 to Level 34 whereas there are a total of 14 duplex units from Level 35 to Level 36 and Level 37 to Level 38. Each floor consists of 7 types of the residential unit. Floor to floor height is 3.4 meters per floor. The average for GFA for tower A is 711 m2 whereas for Tower B is 703m2. Each floor will have a trash room which is also known as refuse bin room and designated trash bins for recycling. There are 4 numbers of lift for each tower, including a Bomba Lift. Other than that, this building will provide an approximate 2.60 meters wide and comfortable corridors with plenty of lighting and ventilation for the residents. In terms of interior of the residential unit, it uses some of the highest quality material fitted into an urban look, keeping it spacious and practical for the families to roam, not with the lack of privacy and comfort. 10
  • 12.
    This building consistsof 6 levels of elevated car parking podium, one level of ground floor car parking and 2 levels of basement car park. There are total 477 numbers of car park unit which located at the 6 levels of podium and ground floor whereas there are total 179 units of car park in the basement car park. For ground floor level, there will provide a grand entrance lobby with the water feature and water curtain. Besides that, each tower will provide lounge area which the average GFA is 86 m2. There will have a mail room for each tower at the ground floor level and Nursery room which is located at Tower Block B. In addition, this building also offers more than 10 exciting lifestyle facilities and 3 storey height with combination of dining cafe and gym which is located at Level 7. For the facilities provided such as dining cafe, floating deck, yoga deck, playground, wading pool, infinity pool, audio visual room, sky jacuzzi, gym room, game and mini library room and more. Its infinity pool will set to awe while providing the view of the beautiful city and wading pool for children. Besides that, there will be a well-equipped gymnasium for the fitness enthusiasts, game and reading room for the residents. Other than that, this building also offers a roof garden, sky lounge and audio visual room at roof facilities level which is at the topmost levels of the residential structures. The roof garden designed to grow with green space area also provide the scenic view of the beautiful city. The roof garden will have a vegetation in front of the frameless glass balustrade to have a secure and safe without interrupting the view of the city. There will be a sky lounge that incorporates the city view into this exclusive space for contemplation. A generous audio visual room can be booked by the residents for movie watching. 11
  • 13.
    Figure Wading PoolGym Room Roof Garden Sky Lounge Infinity Pool AV Room 12
  • 14.
    Yoga Deck DiningCafe Mini Library and Game Room Playground Interior of the residential unit Basement Car Park 13
  • 15.
    1.4 Construction technology,methodology and technique 1.4.1 Bored Pile The type of piling proposed is bored pile as our building has no high building surrounding it but there are still residential houses nearby. As our proposed building consists of an average GFA for tower A is 711m2 and tower B 703m2, 2 basement of car park and both towers have 38 stories, so bored pile is suitable to be used in order to carry the immense load of the vertical structure of this building. Besides, there are residential houses nearby, forasmuch by using bored piles, it can reduce the vibrations and noise during construction of the pile and as a result, this will lessen the disturbance to the residents living nearby. Figure 1.4.1: Construction of a bored pile 14
  • 16.
    1.4.2 Contiguous BoredPile Contiguous Bored Pile is needed as our proposed building has two levels of basement and the site is located at a sloping area. Hence, the construction of the contiguous bored pile wall is needed to retain the soil behind it. The cost of the contiguous bored pile wall is inexpensive compared to other types. Mo​reover, it can be both temporary and permanent walls for excavation. Additionally, it speeds the construction for both temporary and permanent walls where drilling conditions are conducive. This system has a higher capacity overcome obstructions such as rocks in contrast with other systems.   Figure 1.4.2: Contiguous Bored Pile 15
  • 17.
    1.4.3 Post-tensioned Slab Asto support the huge load from the podium levels, constructing post-tensioned slab can help by withstanding the immense load. Post-tensioned slab will help by reducing the cracking, preventing the growing of insects and also reducing the possible water penetration that may damage the flooring and causes mould problems. Other than that, it has the flexibility in design, it requires lesser space and yield to dynamic contours. This will make the expression of the creativity in the building design to be ideal.  Figure 1.4.3: Post-tensioned slab 16
  • 18.
    1.4.4 Aluminium Formwork Theformwork proposed for our building is aluminium formwork. This formwork can be constructed in a short period of time, hence it can save the management cost as this formwork can be dismantled very quickly. Besides that, the utilisation of the aluminium formwork is wide as it is suitable for wall, horizontal floor slab, column, beam, staircase and so on. Moreover, it can be reused many times as it has a low rate of carbon emission that can last longer. Figure 1.4.4: Aluminium formwork 17
  • 19.
    1.4.5 Aluminum PanelFacade In order to have a more appealing appearance of the building, aluminium facade panel can be used at the podium levels. It is flexible in design and the price is inexpensive. Additionally, by using aluminium facade, the reduced weight of the aluminium, helps to control the overall structure costs of the building. Furthermore, aluminium facade can help reduce the thermal expansion due to the solar heat. Lastly, aluminium panel has the benefit of corrosion resistance that can prevent it from getting corroded and this can be used for a long period of time. Figure 1.4.5: Aluminium panel facade    18
  • 20.
    1.4.6 Rainwater HarvestingSystem Rainwater harvesting system is proposed for our building as Malaysia is a raining season country so this would help with harvesting the rainwater and this can help in reducing the water bill since the water collected can also be used for several non-drinking functions. Other than that, it can also reduce the burden of the soil erosion in a few areas and letting the land to thrive again. Furthermore, it can also reduce the demand on the ground water as the population increases, the demand will continue to increase and at the end many residential places and industries are using the ground water to fulfill their daily demands. In addition, the installation of this system can be done easily as well as the maintenance for this system only requires less time and energy. Figure 1.4.6: Rainwater harvesting system  19
  • 21.
    Construction Technology, Methodologyand Technique Bored Pile Contiguous Bored Pile Wall Post-Tensioned Slab  No high building at surrounding  Can carry huge load of the building  Lessen the vibration and noise  Can withstand varies kinds of soil conditions  Application for basement construction work  Slope stabilisation  Inexpensive cost  Can be temporary and permanent walls  Speed in construction  High capacity of overcoming obstruction  For podium carparks  Can hold immense load  Reduces cracks and water penetration  Flexibility in design Aluminium Formwork Aluminium Panel Façade Rainwater Harvesting System  Save time  Save management cost  Can be used for different structures  Can be reused many times  For podium carparks  Flexibility in design  Inexpensive  Reduce thermal expansion  Corrosion resistance  Reduce water bill  Reduce soil erosion  Can be installed easily  Low maintenance
  • 22.
    2.0 Preliminary CostAppraisal 2.1 Definition of Area 2.1.1 Construction Floor Areas (CFA) Construction floor areas are generally known as the total amount of building works completed, which includes the sum of all areas at all floor areas, measured to the outer face of the external walls including its external cladding. The uncovered trafficable roof areas beyond the outer face of external walls such as landscaped areas is excluded. 2.1.2 Gross Floor Areas (GFA) Gross floor areas are the total of all enclosed spaces fulfilling the functional requirements of the building measured to the internal face of the enclosing walls. It includes areas occupied by partitions, columns, etc.; include services and circulation areas; include internal carparks and internal ramps. The sloping surfaces such as staircases and ramps are measured flat on the plan. Areas fulfilling the functional requirements of the building which are not enclosed spaces such as open ground floors, open covered ways, rooftop car parks, etc. are excluded. 2.1.3 Net Floor Area (NFA) Net Floor Area is the total of all saleable area, measured to the inside of the enclosing walls. Common use area, services area and circulation area such as elevators, restrooms, vent space and stairs are needed to be excluded from the net floor areas. 21
  • 23.
    2.1.4 Summary ofArea LEVEL CFA (m2) GFA (m2) NFA (m2) Basement Carpark 8,685.92 7,751.81 - Podium Carpark 29,192.53 24,810.96 - Tower A 27,364.36 22,039.41 16,011.05 Tower B 27,071.72 21,801.67 15,727.23 TOTAL 92,314.53 76,403.85 31,738.28 22
  • 24.
    SCHEDULE OF AREA CADANGANPEMBANGUNAN 2 BLOK 31 TINGKAT PANSAPURI SERVICE (404) UNIT DI ATAS 7 TINGKAT PODIUM BERSERTA 2 TINGKAT BASEMEN DI ATAS LOT 160, JALAN ROBSON OFF JALAN SYED PUTRA, MUKIM KUALA LUMPUR, WILAYAH PERSEKUTUAN KUALA LUMPUR. PRELIMINARY COST APRAISAL SCHEDULE OF AREA CFA GFA NFA CFA GFA NFA CFA GFA NFA CFA GFA NFA BASEMENT 1 Carpark 4,344.67 3,877.49 BASEMENT 2 Carpark 4,341.25 3,874.32 GROUND LEVEL Services 4,297.30 3,919.00 PODIUM 1 Carpark 4,042.12 3,703.32 PODIUM 2 Carpark 3,797.20 3,259.96 PODIUM 3 Carpark 3,615.83 3,250.48 PODIUM 4 Carpark 3,349.14 3,249.58 PODIUM 5 Carpark 3,349.14 3,250.71 PODIUM 6 Carpark 3,349.14 3,250.50 PODIUM 7 Facilities 3,392.66 927.41 LEVEL 8 Residential 792.40 697.37 502.99 783.14 690.06 493.37 LEVEL 9 Residential 790.96 697.37 502.99 780.08 690.06 493.37 LEVEL 10 Residential 790.96 697.37 502.99 780.08 690.06 493.37 LEVEL 11 Residential 790.96 697.37 502.99 780.08 690.06 493.37 LEVEL 12 Residential 790.96 697.37 502.99 780.08 690.06 493.37 LEVEL 13 Residential 790.96 697.37 502.99 780.08 690.06 493.37 LEVEL 14 Residential 790.96 697.37 502.99 780.08 690.06 493.37 LEVEL 15 Residential 790.96 697.37 502.99 780.08 690.06 493.37 LEVEL 16 Residential 793.63 702.04 505.36 785.98 694.14 499.49 LEVEL 17 Residential 800.74 709.29 513.95 788.83 703.89 493.37 LEVEL 18 Residential 800.74 708.51 512.93 797.06 704.81 503.81 LEVEL 19 Residential 803.52 712.35 516.87 796.39 704.85 511.22 LEVEL 20 Residential 803.52 712.35 516.87 796.39 704.85 511.22 LEVEL 21 Residential 803.52 712.35 516.87 796.39 704.85 511.22 LEVEL 22 Residential 806.52 714.83 519.00 796.83 704.93 510.00 LEVEL 23 Residential 803.75 712.04 519.00 796.96 704.91 510.00 LEVEL 24 Residential 803.65 714.67 519.00 796.79 704.66 510.00 LEVEL 25 Residential 799.51 707.40 511.77 794.30 702.16 501.31 LEVEL 26 Residential 799.25 701.34 513.93 788.13 696.11 501.39 LEVEL 27 Residential 793.49 701.14 505.79 785.60 693.51 498.82 LEVEL 28 Residential 798.04 706.20 510.48 780.20 687.62 493.19 LEVEL 29 Residential 798.08 705.96 510.48 786.20 693.67 499.12 LEVEL 30 Residential 803.96 712.33 516.54 788.88 696.54 499.12 LEVEL 31 Residential 806.50 714.86 519.15 794.38 702.37 507.63 LEVEL 32 Residential 806.88 714.98 519.15 797.22 704.89 510.20 LEVEL 33 Residential 806.88 714.98 519.15 797.22 704.89 510.20 LEVEL 34 Residential 806.88 714.98 519.15 797.22 704.89 510.20 LEVEL 35 Residential 828.95 742.72 551.80 825.72 739.67 549.58 LEVEL 36 Residential 831.87 741.71 549.03 826.54 741.61 545.19 LEVEL 37 Residential 829.05 741.71 551.83 825.57 739.76 548.80 LEVEL 38 Residential 831.87 741.71 549.03 826.54 741.61 545.19 ROOF FACILITIES LEVEL Facilities 826.20 - - 822.29 - - LIFT MOTOR ROOM Facilities 824.08 - - 821.68 - - ROOF TOP LEVEL Roof 824.16 - - 818.71 - - 8,685.92 7,751.81 - 29,192.53 24,810.96 - 27,364.36 22,039.41 16,011.05 27,071.72 21,801.67 15,727.23 TOWER B LEVEL FUNCTION BASEMENT CARPARK PODIUM CARPARK TOWER A TOTAL SCHEDULE OF AREA/Page 1
  • 25.
    2.2 Cost Plan Thecost plan is divided into four parts, which are basement carpark, podium carpark, tower A and tower B. Moreover, there is also a cost plan for external and ancillary works. The external and ancillary works in this project include road work, surface water drainage, sewerage, water reticulation, hard and soft landscaping, refuse compactor, gym equipment, fencing, water feature, water fountain, playground and guard house. The estimated construction cost of each element in the cost plan is build up by multiplying the cost per GFA of previous similar project with the total GFA of this project measured from the drawings given. The previous similar project is our benchmark project, which is a mid-end apartment consist of 3 blocks of 34 storey high apartment with 7 storey high elevated carpark and 2 storey high basement carpark. Besides that, the elements that do not have the cost per GFA, such as lift car finishes and mailbox, are build up with the rates from BQ of previous project. 24
  • 26.
    PRELIMINARY COST APPRAISAL CADANGANPEMBANGUNAN 2 BLOK 31 TINGKAT PANSAPURI SERVICE (404) UNIT DI ATAS 7 TINGKAT PODIUM BERSERTA 2 TINGKAT BASEMEN DI ATAS LOT 160, JALAN ROBSON OFF JALAN SYED PUTRA, MUKIM KUALA LUMPUR, WILAYAH PERSEKUTUAN KUALA LUMPUR. PRELIMINARY COST APPRAISAL SUMMARY CFA (M2) = 92,314.53 CFA (M2) = 8,685.92 CFA (M2) = 29,192.53 CFA (M2) = 27,364.36 CFA (M2) = 27,071.72 Estimated Cost Estimated Cost Estimated Cost Estimated Cost Estimated Cost Construction per m2 Construction per m2 Construction per m2 Construction per m2 Construction per m2 Cost (RM) of CFA (RM) Cost (RM) of CFA (RM) Cost (RM) of CFA (RM) Cost (RM) of CFA (RM) Cost (RM) of CFA (RM) 1.00 SUBSTRUCTURE 1.01 Site Preparation 67,691.04 0.73 6,867.82 0.79 21,981.61 0.75 19,526.12 0.71 19,315.49 0.71 1.02 Piling 5,596,099.56 60.62 567,771.13 65.37 1,817,246.15 62.25 1,614,247.61 58.99 1,596,834.66 58.99 1.03 Foundations 8,526,417.23 92.36 865,076.38 99.60 2,768,821.16 94.85 2,459,525.34 89.88 2,432,994.34 89.87 1.04 Basement Carcass 9,000,000.00 97.49 9,000,000.00 1,036.16 - - - - - - Group Element Total 23,190,207.82 251.21 10,439,715.34 1,201.91 4,608,048.92 157.85 4,093,299.07 149.59 4,049,144.49 149.57 2.00 STRUCTURAL FRAME 2.01 Frame 42,265,261.67 457.84 3,511,779.25 404.31 7,988,071.91 273.63 15,466,122.10 565.19 15,299,288.42 565.14 2.02 Transfer Structures - - - - - - - - - - 2.03 Roof Trusses - - - - - - - - - - Group Element Total 42,265,261.67 457.84 3,511,779.25 404.31 7,988,071.91 273.63 15,466,122.10 565.19 15,299,288.42 565.14 3.00 EXTERNAL WALLING AND FINISHES 3.01 Walls 1,447,988.95 15.69 - - 280,940.55 9.62 586,688.52 21.44 580,359.88 21.44 3.02 External Finishes 1,626,784.55 17.62 - - 157,547.03 5.40 738,602.43 26.99 730,635.09 26.99 3.03 Curtain Walling System - - - - - - - - - - 3.04 Doors - - - - - - - - - - Group Element Total 3,074,773.51 33.31 - - 438,487.59 15.02 1,325,290.94 48.43 1,310,994.98 48.43 4.00 ROOF COVERING ,ETC 4.01 Roofing 2,871,472.46 31.11 50,851.12 5.85 656,456.76 22.49 1,087,950.17 39.76 1,076,214.40 39.75 4.02 Rainwater Goods - - - - - - - - - - Group Element Total 2,871,472.46 31.11 50,851.12 5.85 656,456.76 22.49 1,087,950.17 39.76 1,076,214.40 39.75 5.00 INTERNAL WALLING 5.01 Walls 2,294,296.49 24.85 104,496.50 12.03 413,795.54 14.17 892,817.65 32.63 883,186.79 32.62 5.02 Doors 6,562,669.55 71.09 130,071.37 14.97 1,127,089.68 38.61 2,667,139.52 97.47 2,638,368.98 97.46 5.03 Windows 5,180,332.93 56.12 2,474.30 0.28 144,893.37 4.96 2,530,128.93 92.46 2,502,836.33 92.45 Group Element Total 14,037,298.97 152.06 237,042.17 27.29 1,685,778.59 57.75 6,090,086.11 222.56 6,024,392.11 222.53 6.00 INTERNAL FINISHES 6.01 Floors 8,329,646.66 90.23 359,477.34 41.39 930,904.71 31.89 3,538,718.45 129.32 3,500,546.16 129.31 6.02 Walls 6,787,045.91 73.52 224,414.71 25.84 621,647.07 21.29 2,986,600.35 109.14 2,954,383.78 109.13 6.03 Ceilings 2,099,094.20 22.74 49,016.73 5.64 223,264.55 7.65 918,359.65 33.56 908,453.27 33.56 6.04 Staircases and Railings 921,866.61 9.99 199,870.59 23.01 353,441.34 12.11 185,276.63 6.77 183,278.05 6.77 Group Element Total 18,137,653.37 196.48 832,779.36 95.88 2,129,257.67 72.94 7,628,955.09 278.79 7,546,661.25 278.77 7.00 FITTINGS,ETC. 7.01 Sanitary Wares & Fittings 5,785,731.62 62.67 - - 134,532.25 4.61 2,840,922.26 103.82 2,810,277.12 103.81 7.02 Signages 327,646.00 3.55 33,242.43 3.83 106,397.93 3.64 94,512.57 3.45 93,493.06 3.45 7.03 Mail Box 61,000.00 0.66 - - - - 30,500.00 1.11 30,500.00 1.13 7.04 Lift Car Finishes 300,000.00 3.25 30,437.51 3.50 97,420.33 3.34 86,537.82 3.16 85,604.34 3.16 Group Element Total 6,474,377.62 70.13 63,679.94 7.33 338,350.51 11.59 3,052,472.66 111.55 3,019,874.52 111.55 8.00 SERVICES 8.01 Chiller Plant - - - - - - - - - - 8.02 HVAC 7,386,189.22 80.01 1,135,148.72 130.69 1,873,625.96 64.18 2,200,576.12 80.42 2,176,838.42 80.41 8.03 Fire Protection 2,083,226.69 22.57 289,391.31 33.32 627,808.67 21.51 586,174.90 21.42 579,851.81 21.42 8.04 Hot, Cold Water & Sanitary Plumbing 5,556,977.32 60.20 63,990.51 7.37 86,027.05 2.95 2,718,140.22 99.33 2,688,819.54 99.32 8.05 Natural Gas 81,157.60 0.88 - - 81,157.60 2.78 - - - - 8.06 BMS - - - - - - - - - - 8.07 Pool Filtration System 148,788.93 1.61 - - 148,788.93 5.10 - - - - 8.08 Electrical HV & Genset 14,643,146.21 158.62 314,988.36 36.26 2,081,262.27 71.29 6,156,653.82 224.99 6,090,241.75 224.97 8.09 Electrical LV - - - - - - - - - - 8.10 Telecom, telephone services - - - - - - - - - - 8.11 Metering Utilities - - - - - - - - - - 8.12 Vertical Transportation 5,684,656.36 61.58 238,897.89 27.50 1,312,047.84 44.94 2,078,063.39 75.94 2,055,647.23 75.93 8.13 Security 1,812,481.26 19.63 250,736.14 28.87 574,920.43 19.69 496,088.01 18.13 490,736.69 18.13 8.14 Building Maintenance Units - - - - - - - - - - 8.15 Waste Collection System - - - - - - - - - - 8.16 Profits and Attendance 1,869,831.18 20.26 114,657.65 13.20 339,281.94 11.62 711,784.82 26.01 704,106.77 26.01 8.17 BWICS 1,121,898.71 12.15 68,794.59 7.92 203,569.16 6.97 427,070.89 15.61 422,464.06 15.61 Group Element Total 40,388,353.47 437.51 2,476,605.16 285.13 7,328,489.86 251.04 15,374,552.18 561.85 15,208,706.27 561.79 9.00 External Works and Ancillary Works 4,870,000.00 52.75 - - - - - - - - SUB TOTAL ESTIMATED CONSTRUCTION COST 155,309,398.88 1,682.39 17,612,452.34 2,027.70 25,172,941.81 862.31 54,118,728.31 1,977.71 53,535,276.42 1,977.54 Preliminary (10%) 15,530,939.89 - - - - - - - - - Construction Contingency (5%) 7,765,469.94 - - - - - - - - - TOTAL CONSTRUCTION ESTIMATED COST FOR BASED BUILDING 178,605,808.72 1,934.75 17,612,452.34 2,027.70 25,172,941.81 862.31 54,118,728.31 1,977.71 53,535,276.42 1,977.54 Cost Escalation (Assuming tender to be called in one year's time) (5%) 8,930,290.44 - - - - - - - - - TOTAL CONSTRUCTION ESTIMATED COST FOR BASED BUILDING AFTER COST ESCALATION 187,536,099.15 2,031.49 17,612,452.34 2,027.70 25,172,941.81 862.31 54,118,728.31 1,977.71 53,535,276.42 1,977.54 Amount (RM) RM/m2 Amount (RM) RM/m2 Amount (RM) RM/m2 Amount (RM) RM/m2 Amount (RM) RM/m2 a. Structure 65,455,469.49 709.05 13,951,494.59 1,606.22 12,596,120.83 431.48 19,559,421.17 714.78 19,348,432.91 714.71 b. Architectural 44,595,575.93 483.08 1,184,352.59 136.35 5,248,331.12 179.78 19,184,754.97 701.09 18,978,137.25 701.03 c. M&E 40,388,353.47 437.51 2,476,605.16 285.13 7,328,489.86 251.04 15,374,552.18 561.85 15,208,706.27 561.79 TOWER A TOWER B Element OVERALL PROJECT BASEMENT CARPARK PODIUM CARPARK
  • 27.
    PRELIMINARY COST APPRAISAL CADANGANPEMBANGUNAN 2 BLOK 31 TINGKAT PANSAPURI SERVICE (404) UNIT DI ATAS 7 TINGKAT PODIUM BERSERTA 2 TINGKAT BASEMEN DI ATAS LOT 160, JALAN ROBSON OFF JALAN SYED PUTRA, MUKIM KUALA LUMPUR, WILAYAH PERSEKUTUAN KUALA LUMPUR. PRELIMINARY COST APPRAISAL SUMMARY m2 ft CFA 92,315 993,674 GFA 76,404 822,411 efficiency 42% NFA 31,738 341,631 Cost Cost Estimated C.P. Cost Plans CFA (m2) CFA (ft2) Total Units Cost/Unit per m2 per ft2 Construction Cost of CFA of CFA (RM) (RM) (RM) A CONSTRUCTION COSTS 1 Cost Plan for Basement Carpark 8,686 93,495 2,027.70 188.38 17,612,452.34 2 Cost Plan for Podium Carpark (including Ground Floor) 29,193 314,228 862.31 80.11 25,172,941.81 3 Cost Plan for Service Apartment Tower A 27,364 294,550 202 267,914 1,977.71 183.73 54,118,728.31 4 Cost Plan for Service Apartment Tower B 27,072 291,400 202 265,026 1,977.54 183.72 53,535,276.42 5 Cost Plan for External & Ancillary Works 4,870,000.00 6 Preliminaries 10% of Item 1 to 5 above (inclusive) 15,530,939.89 7 Construction Contingencies 5% of Item 1 to 5 above (inclusive) 7,765,469.94 TOTAL CONSTRUCTION ESTIMATED COST FOR BASED BUILDING: 92,315 993,673 1,934.75 179.74 RM178,605,808.72 Cost per m2 of CFA 1934.75 Cost per m2 of GFA 2337.65 Cost per m2 of NFA 5627.46 Cost per ft2 of CFA 179.74 Cost per ft2 of GFA 217.17 Cost per ft2 of NFA 522.80 8 Cost Escalation (Assuming tender to be called in one year's time) RM8,930,290.44 5% TOTAL CONSTRUCTION ESTIMATED COST FOR BASED BUILDING AFTER COST ESCALATION: 92,315 993,673 2,031.49 188.73 RM187,536,099.15 Cost per m2 of CFA 2031.49 Cost per m2 of GFA 2454.54 Cost per m2 of NFA 5908.83 Cost per ft2 of CFA 188.73 Cost per ft2 of GFA 228.03 Cost per ft2 of NFA 548.94 Asummption/ Exclusion : 1) Land cost and associated charges EXCLUDED. 2) Soil Investigation EXCLUDED. 3) Professional Fees (Arch/QS/C&S/M&E/Landscp) EXCLUDED. 4) Surveyor Fees/Charges EXCLUDED. 5) Marketing & Legal Fees EXCLUDED. 6) Contribution To IWK, TNB, SYABAS EXCLUDED. 7) Show Unit EXCLUDED. 8) Development Charges EXCLUDED. 9) Taxation & Legal Fees EXCLUDED. 10) Quit rent and assessment charges EXCLUDED. 11) Finance charges (Construction Loan) EXCLUDED 11) Building Maintainance System (BMS) & Building Maintenance Units EXCLUDED. CP01 CP_Sum/Sum 1
  • 28.
    COST PLAN FORBASEMENT CARPARK CADANGAN PEMBANGUNAN 2 BLOK 31 TINGKAT PANSAPURI SERVICE (404) UNIT DI ATAS 7 TINGKAT PODIUM BERSERTA 2 TINGKAT BASEMEN DI ATAS LOT 160, JALAN ROBSON OFF JALAN SYED PUTRA, MUKIM KUALA LUMPUR, WILAYAH PERSEKUTUAN KUALA LUMPUR. CONSTRUCTION FLOOR AREA: 8,685.92 M2 179 TOTAL NUMBER OF CARPAKS Constituent Estimated Cost Functional Element Construction per m2 Remarks Cost of CFA 1.00 SUBSTRUCTURE 1.01 Site Preparation 6,867.82 0.79 1.02 Piling 567,771.13 65.37 1.03 Foundations 865,076.38 99.60 1.04 Basement Carcass 9,000,000.00 1,036.16 Group Element Total 10,439,715.34 1,201.92 2.00 STRUCTURAL FRAME 2.01 Frame 3,511,779.25 404.31 2.02 Transfer Structures - - Not applicable 2.03 Roof Trusses - - Not applicable Group Element Total 3,511,779.25 404.31 3.00 EXTERNAL WALLING AND FINISHES 3.01 Walls - - Not applicable 3.02 External Finishes - - Not applicable 3.03 Curtain Walling System - - Not applicable 3.04 Doors - - Not applicable Group Element Total - - 4.00 ROOF COVERINGS, ETC 4.01 Roofing 50,851.12 5.85 4.02 Rainwater Goods - - Included Group Element Total 50,851.12 5.85 5.00 INTERNAL WALLING 5.01 Walls 104,496.50 12.03 5.02 Doors 130,071.37 14.97 5.03 Windows 2,474.30 0.28 Group Element Total 237,042.17 27.00 6.00 INTERNAL FINISHES 6.01 Floors 359,477.34 41.39 6.02 Walls 224,414.71 25.84 6.03 Ceilings 49,016.73 5.64 6.04 Staircases and Railings 199,870.59 23.01 Group Element Total 832,779.36 95.88 COST PLAN FOR BASEMENT CARPARK CP_BSMT / Page 1 of 2
  • 29.
    COST PLAN FORBASEMENT CARPARK CADANGAN PEMBANGUNAN 2 BLOK 31 TINGKAT PANSAPURI SERVICE (404) UNIT DI ATAS 7 TINGKAT PODIUM BERSERTA 2 TINGKAT BASEMEN DI ATAS LOT 160, JALAN ROBSON OFF JALAN SYED PUTRA, MUKIM KUALA LUMPUR, WILAYAH PERSEKUTUAN KUALA LUMPUR. CONSTRUCTION FLOOR AREA: 8,685.92 M2 179 TOTAL NUMBER OF CARPAKS Constituent Estimated Cost Functional Element Construction per m2 Remarks Cost of CFA COST PLAN FOR BASEMENT CARPARK 7.00 FITTINGS, ETC. 7.01 Sanitary Wares & Fittings - - Not applicable 7.02 Signages 33,242.43 3.83 7.03 Mail Box - - Not applicable 7.04 Lift Car Finishes 30,437.51 3.50 Exclude bomba lift Group Element Total 63,679.94 7.33 . 8.00 SERVICES 8.01 Chiller Plant - - Not applicable 8.02 HVAC 1,135,148.72 130.69 8.03 Fire Protection 289,391.31 33.32 8.04 Hot, Cold Water & Sanitary Plumbing 63,990.51 7.37 8.05 Natural Gas - - Not applicable 8.06 BMS - - Not applicable 8.07 Pool Filtration System - - Not applicable 8.08 Electrical HV & Genset 314,988.36 36.26 8.09 Electrical LV - - Included 8.10 Telecom, telephone services - - Included 8.11 Metering Utilities - - Included 8.12 Vertical Transportation 238,897.89 27.50 8.13 Security 250,736.14 28.87 8.14 Building Maintenance Units - - Not applicable 8.15 Waste Collection System - - Not applicable 8.16 Profits and Attendance 114,657.65 13.20 5% for item 8.01 to 8.15 8.17 BWICS 68,794.59 7.92 3% for item 8.01 to 8.15 Group Element Total 2,476,605.16 285.13 TOTAL ESTIMATED CONSTRUCTION COST 17,612,452.34 2,027.42 CP_BSMT / Page 2 of 2
  • 30.
    COST PLAN FORPODIUM CARPARK CADANGAN PEMBANGUNAN 2 BLOK 31 TINGKAT PANSAPURI SERVICE (404) UNIT DI ATAS 7 TINGKAT PODIUM BERSERTA 2 TINGKAT BASEMEN DI ATAS LOT 160, JALAN ROBSON OFF JALAN SYED PUTRA, MUKIM KUALA LUMPUR, WILAYAH PERSEKUTUAN KUALA LUMPUR. CONSTRUCTION FLOOR AREA: 29,192.53 M2 477 TOTAL NUMBER OF CARPAKS Constituent Estimated Cost Functional Element Construction per m2 Remarks Cost of CFA 1.00 SUBSTRUCTURE 1.01 Site Preparation 21,981.61 0.75 1.02 Piling 1,817,246.15 62.25 1.03 Foundations 2,768,821.16 94.85 1.04 Basement Carcass - - Not applicable Group Element Total 4,608,048.92 157.85 2.00 STRUCTURAL FRAME 2.01 Frame 7,988,071.91 273.63 2.02 Transfer Structures - - Not applicable 2.03 Roof Trusses - - Not applicable Group Element Total 7,988,071.91 273.63 3.00 EXTERNAL WALLING AND FINISHES 3.01 Walls 280,940.55 9.62 3.02 External Finishes 157,547.03 5.40 3.03 Curtain Walling System - - Not applicable 3.04 Doors - - Not applicable Group Element Total 438,487.59 15.02 4.00 ROOF COVERINGS, ETC 4.01 Roofing 656,456.76 22.49 4.02 Rainwater Goods - - Included Group Element Total 656,456.76 22.49 5.00 INTERNAL WALLING 5.01 Walls 413,795.54 14.17 5.02 Doors 1,127,089.68 38.61 5.03 Windows 144,893.37 4.96 Group Element Total 1,685,778.59 52.78 6.00 INTERNAL FINISHES 6.01 Floors 930,904.71 31.89 6.02 Walls 621,647.07 21.29 6.03 Ceilings 223,264.55 7.65 6.04 Staircases and Railings 353,441.34 12.11 Group Element Total 2,129,257.67 72.94 COST PLAN FOR PODIUM CARPARK CP_PodiumCPK / Page 1 of 2
  • 31.
    COST PLAN FORPODIUM CARPARK CADANGAN PEMBANGUNAN 2 BLOK 31 TINGKAT PANSAPURI SERVICE (404) UNIT DI ATAS 7 TINGKAT PODIUM BERSERTA 2 TINGKAT BASEMEN DI ATAS LOT 160, JALAN ROBSON OFF JALAN SYED PUTRA, MUKIM KUALA LUMPUR, WILAYAH PERSEKUTUAN KUALA LUMPUR. CONSTRUCTION FLOOR AREA: 29,192.53 M2 477 TOTAL NUMBER OF CARPAKS Constituent Estimated Cost Functional Element Construction per m2 Remarks Cost of CFA COST PLAN FOR PODIUM CARPARK 7.00 FITTINGS, ETC. 7.01 Sanitary Wares & Fittings 134,532.25 4.61 7.02 Signages 106,397.93 3.64 7.03 Mail Box - - Not applicable 7.04 Lift Car Finishes 97,420.33 3.34 Exclude bomba lift Group Element Total 338,350.51 11.59 . 8.00 SERVICES 8.01 Chiller Plant - - Not applicable 8.02 HVAC 1,873,625.96 64.18 8.03 Fire Protection 627,808.67 21.51 8.04 Hot, Cold Water & Sanitary Plumbing 86,027.05 2.95 8.05 Natural Gas 81,157.60 2.78 Liquefied petroleum gas (LPS) 8.06 BMS - - Not included 8.07 Pool Filtration System 148,788.93 5.10 8.08 Electrical HV & Genset 2,081,262.27 71.29 8.09 Electrical LV - - Included 8.10 Telecom, telephone services - - Included 8.11 Metering Utilities - - Included 8.12 Vertical Transportation 1,312,047.84 44.94 8.13 Security 574,920.43 19.69 8.14 Building Maintenance Units - - Not included 8.15 Waste Collection System - - Not applicable 8.16 Profits and Attendance 339,281.94 - 5% for item 8.01 to 8.16 8.17 BWICS 203,569.16 6.97 3% for item 8.01 to 8.16 Group Element Total 7,328,489.86 239.41 TOTAL ESTIMATED CONSTRUCTION COST 25,172,941.81 845.71 CP_PodiumCPK / Page 2 of 2
  • 32.
    COST PLAN FORTOWER A CADANGAN PEMBANGUNAN 2 BLOK 31 TINGKAT PANSAPURI SERVICE (404) UNIT DI ATAS 7 TINGKAT PODIUM BERSERTA 2 TINGKAT BASEMEN DI ATAS LOT 160, JALAN ROBSON OFF JALAN SYED PUTRA, MUKIM KUALA LUMPUR, WILAYAH PERSEKUTUAN KUALA LUMPUR. CONSTRUCTION FLOOR AREA: 27,364.36 M2 202 UNITS Constituent Estimated Cost Functional Element Construction per m2 Remarks Cost of CFA 1.00 SUBSTRUCTURE 1.01 Site Preparation 19,526.12 0.71 1.02 Piling 1,614,247.61 58.99 1.03 Foundations 2,459,525.34 89.88 1.04 Basement Carcass - - Not applicable Group Element Total 4,093,299.07 149.58 2.00 STRUCTURAL FRAME 2.01 Frame 15,466,122.10 565.19 2.02 Transfer Structures - - Not applicable 2.03 Roof Trusses - - Not applicable Group Element Total 15,466,122.10 565.19 3.00 EXTERNAL WALLING AND FINISHES 3.01 Walls 586,688.52 21.44 3.02 External Finishes 738,602.43 26.99 3.03 Curtain Walling System - - Not applicable 3.04 Doors - - Not applicable Group Element Total 1,325,290.94 48.43 4.00 ROOF COVERINGS, ETC 4.01 Roofing 1,087,950.17 39.76 4.02 Rainwater Goods - - Included Group Element Total 1,087,950.17 39.76 5.00 INTERNAL WALLING 5.01 Walls 892,817.65 32.63 5.02 Doors 2,667,139.52 97.47 5.03 Windows 2,530,128.93 92.46 Group Element Total 6,090,086.11 130.10 6.00 INTERNAL FINISHES 6.01 Floors 3,538,718.45 129.32 6.02 Walls 2,986,600.35 109.14 6.03 Ceilings 918,359.65 33.56 6.04 Staircases and Railings 185,276.63 6.77 Group Element Total 7,628,955.09 278.79 COST PLAN FOR TOWER A CP_Tower A / Page 1 of 2
  • 33.
    COST PLAN FORTOWER A CADANGAN PEMBANGUNAN 2 BLOK 31 TINGKAT PANSAPURI SERVICE (404) UNIT DI ATAS 7 TINGKAT PODIUM BERSERTA 2 TINGKAT BASEMEN DI ATAS LOT 160, JALAN ROBSON OFF JALAN SYED PUTRA, MUKIM KUALA LUMPUR, WILAYAH PERSEKUTUAN KUALA LUMPUR. CONSTRUCTION FLOOR AREA: 27,364.36 M2 202 UNITS Constituent Estimated Cost Functional Element Construction per m2 Remarks Cost of CFA COST PLAN FOR TOWER A 7.00 FITTINGS, ETC. 7.01 Sanitary Wares & Fittings 2,840,922.26 103.82 7.02 Signages 94,512.57 3.45 7.03 Mail Box 30,500.00 1.11 7.04 Lift Car Finishes 86,537.82 3.16 Group Element Total 3,052,472.66 111.54 . 8.00 SERVICES 8.01 Chiller Plant - - Not applicable 8.02 HVAC 2,200,576.12 80.42 8.03 Fire Protection 586,174.90 21.42 8.04 Hot, Cold Water & Sanitary Plumbing 2,718,140.22 99.33 8.05 Natural Gas - - Not applicable 8.06 BMS - - Not included 8.07 Pool Filtration System - - Not applicable 8.08 Electrical HV & Genset 6,156,653.82 224.99 8.09 Electrical LV - - Included 8.10 Telecom, telephone services - - Included 8.11 Metering Utilities - - Included 8.12 Vertical Transportation 2,078,063.39 75.94 8.13 Security 496,088.01 18.13 8.14 Building Maintenance Units - - Not included 8.15 Waste Collection System - - Not applicable 8.16 Profits and Attendance 711,784.82 - 5% for item 8.01 to 8.15 8.17 BWICS 427,070.89 15.61 3% for item 8.01 to 8.15 Group Element Total 15,374,552.18 535.84 TOTAL ESTIMATED CONSTRUCTION COST 54,118,728.31 1,859.23 CP_Tower A / Page 2 of 2
  • 34.
    COST PLAN FORTOWER B CADANGAN PEMBANGUNAN 2 BLOK 31 TINGKAT PANSAPURI SERVICE (404) UNIT DI ATAS 7 TINGKAT PODIUM BERSERTA 2 TINGKAT BASEMEN DI ATAS LOT 160, JALAN ROBSON OFF JALAN SYED PUTRA, MUKIM KUALA LUMPUR, WILAYAH PERSEKUTUAN KUALA LUMPUR. CONSTRUCTION FLOOR AREA: 27,071.72 M2 202 UNITS Constituent Estimated Cost Functional Element Construction per m2 Remarks Cost of CFA 1.00 SUBSTRUCTURE 1.01 Site Preparation 19,315.49 0.71 1.02 Piling 1,596,834.66 58.99 1.03 Foundations 2,432,994.34 89.87 1.04 Basement Carcass - - Not applicable Group Element Total 4,049,144.49 149.57 2.00 STRUCTURAL FRAME 2.01 Frame 15,299,288.42 565.14 2.02 Transfer Structures - - Not applicable 2.03 Roof Trusses - - Not applicable Group Element Total 15,299,288.42 565.14 3.00 EXTERNAL WALLING AND FINISHES 3.01 Walls 580,359.88 21.44 3.02 External Finishes 730,635.09 26.99 3.03 Curtain Walling System - - Not applicable 3.04 Doors - - Not applicable Group Element Total 1,310,994.98 48.43 4.00 ROOF COVERINGS, ETC 4.01 Roofing 1,076,214.40 39.75 4.02 Rainwater Goods - - Included Group Element Total 1,076,214.40 39.75 5.00 INTERNAL WALLING 5.01 Walls 883,186.79 32.62 5.02 Doors 2,638,368.98 97.46 5.03 Windows 2,502,836.33 92.45 Group Element Total 6,024,392.11 130.08 6.00 INTERNAL FINISHES 6.01 Floors 3,500,546.16 129.31 6.02 Walls 2,954,383.78 109.13 6.03 Ceilings 908,453.27 33.56 6.04 Staircases and Railings 183,278.05 6.77 Group Element Total 7,546,661.25 278.77 COST PLAN FOR TOWER B CP_Tower B / Page 1 of 2
  • 35.
    COST PLAN FORTOWER B CADANGAN PEMBANGUNAN 2 BLOK 31 TINGKAT PANSAPURI SERVICE (404) UNIT DI ATAS 7 TINGKAT PODIUM BERSERTA 2 TINGKAT BASEMEN DI ATAS LOT 160, JALAN ROBSON OFF JALAN SYED PUTRA, MUKIM KUALA LUMPUR, WILAYAH PERSEKUTUAN KUALA LUMPUR. CONSTRUCTION FLOOR AREA: 27,071.72 M2 202 UNITS Constituent Estimated Cost Functional Element Construction per m2 Remarks Cost of CFA COST PLAN FOR TOWER B 7.00 FITTINGS, ETC. 7.01 Sanitary Wares & Fittings 2,810,277.12 103.81 7.02 Signages 93,493.06 3.45 7.03 Mail Box 30,500.00 1.13 7.04 Lift Car Finishes 85,604.34 3.16 Group Element Total 3,019,874.52 111.55 . 8.00 SERVICES 8.01 Chiller Plant - - Not applicable 8.02 HVAC 2,176,838.42 80.41 8.03 Fire Protection 579,851.81 21.42 8.04 Hot, Cold Water & Sanitary Plumbing 2,688,819.54 99.32 8.05 Natural Gas - - Not applicable 8.06 BMS - - Not included 8.07 Pool Filtration System - - Not applicable 8.08 Electrical HV & Genset 6,090,241.75 224.97 8.09 Electrical LV - - Included 8.10 Telecom, telephone services - - Included 8.11 Metering Utilities - - Included 8.12 Vertical Transportation 2,055,647.23 75.93 8.13 Security 490,736.69 18.13 8.14 Building Maintenance Units - - Not included 8.15 Waste Collection System - - Not applicable 8.16 Profits and Attendance 704,106.77 - 5% for item 8.01 to 8.15 8.17 BWICS 422,464.06 15.61 3% for item 8.01 to 8.15 Group Element Total 15,208,706.27 535.79 TOTAL ESTIMATED CONSTRUCTION COST 53,535,276.42 1,859.08 CP_Tower B / Page 2 of 2
  • 36.
    COST PLAN FOREXTERNAL ANCILLARY WORKS CADANGAN PEMBANGUNAN 2 BLOK 31 TINGKAT PANSAPURI SERVICE (404) UNIT DI ATAS 7 TINGKAT PODIUM BERSERTA 2 TINGKAT BASEMEN DI ATAS LOT 160, JALAN ROBSON OFF JALAN SYED PUTRA, MUKIM KUALA LUMPUR, WILAYAH PERSEKUTUAN KUALA LUMPUR. CONSTRUCTION FLOOR AREA: 1,484.39 M2 Constituent Estimated Cost Functional Element Construction per m2 Remarks Cost of CFA 1.00 EXTERNAL & ANCILLARY WORKS 1.01 External Work 1,000,000.00 673.68 Include road work, surface water drainage, sewerage, water reticulation 1.02 Hard and Soft Landscaping 3,000,000.00 2,021.04 1.03 Refuse compactor, Gym equipment 300,000.00 202.10 1.04 Fencing 170,000.00 114.53 1.05 Water feature & Water fountain 150,000.00 101.05 1.06 Playground 50,000.00 33.68 1.07 Guard House 200,000.00 134.74 - Group Element Total 4,870,000.00 3,280.82 TOTAL ESTIMATED CONSTRUCTION COST 4,870,000.00 3,280.82 COST PLAN FOR EXTERNAL & ANCILLARY WORKS CP_Ext&Ancillary / Page 1 of 1
  • 37.
    PERCENTAGE OF TOTALCOST CADANGAN PEMBANGUNAN 2 BLOK 31 TINGKAT PANSAPURI SERVICE (404) UNIT DI ATAS 7 TINGKAT PODIUM BERSERTA 2 TINGKAT BASEMEN DI ATAS LOT 160, JALAN ROBSON OFF JALAN SYED PUTRA, MUKIM KUALA LUMPUR, WILAYAH PERSEKUTUAN KUALA LUMPUR. PRELIMINARY COST APPRAISAL PERCENTAGE OF STRUCTURE, ARCHITECTURAL AND M&E COST No. Element Estimated Construction Cost (RM) Percentage Cost per m2 of CFA (RM) Cost per ft2 of CFA (RM) A BASEMENT CARPARK Structure 13,951,494.59 79% 1,606.22 149.22 Architectural 1,184,352.59 7% 136.35 12.67 M&E 2,476,605.16 14% 285.13 26.49 TOTAL 17,612,452.34 100% 2,027.70 188.38 B PODIUM CARPARK Structure 12,596,120.83 50% 431.48 40.09 Architectural 5,248,331.12 21% 179.78 16.70 M&E 7,328,489.86 29% 251.04 23.32 TOTAL 25,172,941.81 100% 862.31 80.11 C TOWER A Structure 19,559,421.17 36% 714.78 66.40 Architectural 19,184,754.97 35% 701.09 65.13 M&E 15,374,552.18 28% 561.85 52.20 TOTAL 54,118,728.31 100% 1,977.71 183.73 D TOWER B Structure 19,348,432.91 36% 714.71 66.40 Architectural 18,978,137.25 35% 701.03 65.13 M&E 15,208,706.27 28% 561.79 52.19 TOTAL 53,535,276.42 100% 1,977.54 183.72 E TOTAL CONSTRUCTION COST Structure 65,455,469.49 44% 709.05 65.87 Architectural 44,595,575.93 30% 483.08 44.88 M&E 40,388,353.47 27% 437.51 40.65 TOTAL 150,439,398.88 100% 1,629.64 151.40 PERCENTAGE OF TOTAL ESTIMATED CONSTRUCTION COST No. Element Estimated Construction Cost (RM) Percentage Cost per m2 of CFA (RM) Cost per ft2 of CFA (RM) A BASEMENT CARPARK 17,612,452.34 12% 2,027.70 188.38 B PODIUM CARPARK 25,172,941.81 17% 862.31 80.11 C TOWER A 54,118,728.31 36% 1,977.71 183.73 D TOWER B 53,535,276.42 36% 1,977.54 183.72 TOTAL 150,439,398.88 100% 1,629.64 151.40 CP_Percentage / Page 1 of 2
  • 38.
    PERCENTAGE OF TOTALCOST CADANGAN PEMBANGUNAN 2 BLOK 31 TINGKAT PANSAPURI SERVICE (404) UNIT DI ATAS 7 TINGKAT PODIUM BERSERTA 2 TINGKAT BASEMEN DI ATAS LOT 160, JALAN ROBSON OFF JALAN SYED PUTRA, MUKIM KUALA LUMPUR, WILAYAH PERSEKUTUAN KUALA LUMPUR. PRELIMINARY COST APPRAISAL PERCENTAGE OF TOTAL CONSTRUCTION ESTIMATED COST FOR BASED BUILDING: No. Element Estimated Construction Cost (RM) Percentage Cost per m2 of CFA (RM) Cost per ft2 of CFA (RM) A BASEMENT CARPARK 17,612,452.34 10% 2,027.70 188.38 B PODIUM CARPARK 25,172,941.81 14% 862.31 80.11 C TOWER A 54,118,728.31 30% 1,977.71 183.73 D TOWER B 53,535,276.42 30% 1,977.54 183.72 E EXTERNAL WORK 4,870,000.00 3% 3,280.82 304.80 F Preliminaries (10% of A-E) 15,530,939.89 9% G Contingencies (5% of A-E) 7,765,469.94 4% SUB-TOTAL 178,605,808.72 100% 1,934.75 179.74 H Cost Escalation (5% of A-G) 8,930,290.44 TOTAL 187,536,099.15 2,031.49 188.73 CP_Percentage / Page 2 of 2
  • 39.
    BRIEF SPECIFICATIONS CADANGAN PEMBANGUNAN2 BLOK 31 TINGKAT PANSAPURI SERVICE (404) UNIT DI ATAS 7 TINGKAT PODIUM BERSERTA 2 TINGKAT BASEMEN DI ATAS LOT 160, JALAN ROBSON OFF JALAN SYED PUTRA, MUKIM KUALA LUMPUR, WILAYAH PERSEKUTUAN KUALA LUMPUR. PRELIMINARY COST APRAISAL BRIEF SPECIFICATIONS 1.00 PRELIMINARIES Budgetary allowance for Contractor's plant and machinery, organisation, administration, water, electricity, temporary buildings, site supervision, insurances, etc. at 10% of total construction cost. 2.00 SUBSTRUCTURE 2.01 SITE PREPARATION Allowance for site clearing. No demolition of existing structures. 2.02 PILING Allowance for reinforced concrete bored pile and pilecap. 2.03 FOUNDATIONS Allowance for excavation, reinforced concrete ground slabs, ground beams and column stumps. 2.04 BASEMENT CARCASS Allowance for reinforced concrete contiguous bored piles based on penetration of 20.0m depth, cap beam and skin wall. 3.00 STRUCTURAL FRAME 3.01 FRAME Allowance for reinforced concrete column, beam and suspended slab. 3.02 TRANSFER STRUCTURES Not applicable. 3.03 ROOF TRUSSES Not applicable. 4.00 EXTERNAL WALLING AND FINISHES 4.01 WALLS Allowance for 115mm and 230mm thick cement and sand brickwall and reinforced concrete shear walls. 4.02 EXTERNAL FINISHES Allowance for cement & sand plastering in general; painting with weathershield emulsion paint to external wall generally, gloss enamel paint to timber and metal work generally; decorative features to carpark fascade 4.03 CURTAIN WALLING SYSTEM Not applicable. 4.04 DOORS Not applicable. 5.00 ROOF COVERINGS, ETC 5.01 ROOFING Allowance for reinforced concrete flat roof with waterproofing system, uPVC rainwater downpipes and accessories. 5.02 RAINWATER GOODS Included. 6.00 INTERNAL WALLING 6.01 WALLS Allowance for 115mm and 230mm thick cement and sand brickwall, reinforced concrete shear walls and lift walls. 6.02 DOORS Allowance for fire rated doors to stair and electrical rooms, decorative solid core flush door with veneer ply finish as apartment entrance doors and timber flush doors generally; all metal door frames, including standard range of ironmongery. 6.03 WINDOWS Allowance for powder coated aluminium framed fixed panels, composite and top hung windows in 8mm thick tempered glass. ELEMENT BRIEF SPECIFICATIONS SPECIFICATIONS/Page 1
  • 40.
    BRIEF SPECIFICATIONS CADANGAN PEMBANGUNAN2 BLOK 31 TINGKAT PANSAPURI SERVICE (404) UNIT DI ATAS 7 TINGKAT PODIUM BERSERTA 2 TINGKAT BASEMEN DI ATAS LOT 160, JALAN ROBSON OFF JALAN SYED PUTRA, MUKIM KUALA LUMPUR, WILAYAH PERSEKUTUAN KUALA LUMPUR. PRELIMINARY COST APRAISAL BRIEF SPECIFICATIONS ELEMENT BRIEF SPECIFICATIONS 7.00 INTERNAL FINISHES 7.01 FLOORS Allowance for cement rendering to M&E rooms and corridor; granite tiles to lift lobby, lounge, bathrooms and powder room; homogeneous tiles to staircase lobby, yard and kitchen; timber flooring to living, dining, bedrooms, maid room and study room; waterproofing system to bathrooms and kitchen. 7.02 WALLS Allowance for cement & sand plastering in general, skim coating to shear walls and lift walls; granite tiles to lift lobby, lounge, bathrooms and powder room; homogeneous tiles to kitchen; paint with emulsion paint to internal walls generally, gloss enamel paint to timber and metal works generally. 7.03 CEILINGS Allowance for skim coat to soffit of slab generally to apartment units; fibrous plasterglass suspended ceiling to lift lobby, lounge, living, dining, bedroom, yard, kitchen, maid room and study room; water resistant fibrous plasterglass suspended ceiling to bathrooms, lounge and powder room; paint with emulsion paint generally and weathershield paint to moisture resistant ceilings. 7.04 STAIRCASES AND RAILINGS Allowance for reinforced concrete staircase with homogeneous tiles and nosing tiles, risers and landing slabs, skim coat and paint to other exposed surfaces of staircase, mild steel railings at staircase. 8.00 FITTINGS, ETC. 8.01 SANITARY WARES & FITTINGS Allowance for medium range of sanitary wares and fittings such as water closet, basin, shower, floor trap, shower rose etc. 8.02 SIGNAGES Allowance for signage and logos. 8.03 MAIL BOX Allowance for stainless steel mailbox. 8.04 LIFT CAR FINISHES Allowance for stainless steel handrail, granite flooring, wall panel, suspended ceiling, controlling panel, mirror and LED lightning to lift car. 9.00 SERVICES 9.01 CHILLER PLANT Not applicable. 9.02 HVAC Allowance for air conditioning and mechanical ventilation. 9.03 FIRE PROTECTION Allowance for sprinkler, wet riser, hosereel, fire alarm & fire suppression system. 9.04 HOT, COLD WATER & SANITARY PLUMBING Allowance for vitrified clay, PVC, HDPE, coated heavy duty cast iron pipe and pressed steel water tank. 9.05 NATURAL GAS Allowance for liquefied petroleum gas (LPS). 9.06 BMS Not included. 9.07 POOL FILTRATION SYSTEM Allowance for installation of pool filtration system. 9.08 ELECTRICAL HV & GENSET Allowance for electrical HV, genset, electrical LV, telecom, telephone services and metering utilities. 9.09 ELECTRICAL LV Included. 9.10 TELECOM, TELEPHONE SERVICES Included. SPECIFICATIONS/Page 2
  • 41.
    BRIEF SPECIFICATIONS CADANGAN PEMBANGUNAN2 BLOK 31 TINGKAT PANSAPURI SERVICE (404) UNIT DI ATAS 7 TINGKAT PODIUM BERSERTA 2 TINGKAT BASEMEN DI ATAS LOT 160, JALAN ROBSON OFF JALAN SYED PUTRA, MUKIM KUALA LUMPUR, WILAYAH PERSEKUTUAN KUALA LUMPUR. PRELIMINARY COST APRAISAL BRIEF SPECIFICATIONS ELEMENT BRIEF SPECIFICATIONS 9.00 SERVICES (CONT'D) 9.11 METERING UTILITIES Included. 9.12 VERTICAL TRANSPORTATION Allowance for installation of vertical lift. 9.13 SECURITY Allowance for installation of security system comprising CCTV, PA etc. 9.14 BUILDING MAINTENANCE UNITS Not included. 9.15 WASTE COLLECTION SYSTEM Not applicable. 9.16 PROFITS AND ATTENDANCE Allowance for profit and attendance on services item at 5% of total services cost. 9.17 BWICS Allowance for builder's work in connection with servies on services item at 3% of total services cost. 10.00 EXTERNAL & ANCILLARY WORKS 10.01 EXTERNAL WORK Allowance for road work comprising premix road, road kerb, parking bay lines, breaking lines, directional arrows and signage posts.; surface water drainage comprising surface water drains, pipe culverts and sumps; sewerage drainage comprising sewer pipes and manholes; water reticulation comprising standard mild steel pipe, bulk meters and hydrants. 10.02 HARD AND SOFT LANDSCAPING Allowance for turfing, plants and hardscape finishes. 10.03 REFUSE COMPACTOR, GYM EQUIPMENT Allowance for refuse compactor and gym equipment. 10.04 FENCING Allowance for 'PLYTEC 580 series' anti-climb fencing to perimeter of site with brick and grille fencing with logo & MS gates with logo to entrance of building. 10.05 WATER FEATURE & WATER FOUNTAIN Allowance for construct and complete 1 no. of water feature and 1 no. of water fountain. 10.06 GUARD HOUSE Allowance for construct and complete 1 no. of guard house. 10.07 Allowance for outdoor playground equipment comprising various activities and safety mat. 11.00 CONTINGENCIES Budgetary allowance for unknown or unforeseeable circumstances related to the construction project at 5% of total construction cost. SPECIFICATIONS/Page 3
  • 42.
    SCHEDULE OF FINISHES CADANGANPEMBANGUNAN 2 BLOK 31 TINGKAT PANSAPURI SERVICE (404) UNIT DI ATAS 7 TINGKAT PODIUM BERSERTA 2 TINGKAT BASEMEN DI ATAS LOT 160, JALAN ROBSON OFF JALAN SYED PUTRA, MUKIM KUALA LUMPUR, WILAYAH PERSEKUTUAN KUALA LUMPUR. PRELIMINARY COST APPRAISAL SCHEDULE OF FINISHES FOR BASEMENT CARPARK & PODIUM CARPARK ITEM DESCRIPTION FLOOR WALL CEILING Basement + Podium Carpark 1 Driveway / Carpark PU paint 19mm thick Plaster and Emulsion Paint Skim Coat with Paint Finish 2 M&E Rooms 25mm thick Cement Render 19mm thick Plaster and Emulsion Paint Skim Coat with Paint Finish 3 Staircase 25mm thick Cement Render with Nosing Tiles 19mm thick Plaster and Emulsion Paint Skim Coat with Paint Finish 4 Staircase Lobby 300mm x 600mm Homogeneous tiles 19mm thick Plaster and Emulsion Paint Skim Coat with Paint Finish 5 Lift Lobby 800mm x 800mm Granite 800mm x 800mm Granite 12mm thick Fibrous Plasterglass Boards 6 Loading Area & BOH 25mm thick Cement Render 19mm thick Plaster and Emulsion Paint Skim Coat with Paint Finish 7 Lounge 800mm x 800mm Granite 800mm x 800mm Granite 12mm thick Moisture Resistance Plasterglass Board SOF_Bsmt_P.CPK/Page 1
  • 43.
    SCHEDULE OF FINISHES CADANGANPEMBANGUNAN 2 BLOK 31 TINGKAT PANSAPURI SERVICE (404) UNIT DI ATAS 7 TINGKAT PODIUM BERSERTA 2 TINGKAT BASEMEN DI ATAS LOT 160, JALAN ROBSON OFF JALAN SYED PUTRA, MUKIM KUALA LUMPUR, WILAYAH PERSEKUTUAN KUALA LUMPUR. PRELIMINARY COST APPRAISAL SCHEDULE OF FINISHES FOR TOWER A & B - SERVICE APARTMENT ITEM DESCRIPTION FLOOR WALL CEILING FLOOR WALL CEILING Service Apartment - Common Areas 1 Loading Bay PU paint 19mm thick Plaster and Emulsion Paint Skim Coat with Paint Finish - - - 2 M&E Rooms 25mm thick Cement Render 19mm thick Plaster and Emulsion Paint Skim Coat with Paint Finish - - - 3 BOH 25mm thick Cement Render 19mm thick Plaster and Emulsion Paint Skim Coat with Paint Finish - - - 4 Staircase 25mm thick Cement Render with Nosing Tiles 19mm thick Plaster and Emulsion Paint Skim Coat with Paint Finish - - - 5 Lift Lobby ID works ID works ID works 800mm x 800mm Granite 800mm x 800mm Granite 12mm thick Fibrous Plasterglass Boards 6 Lobby / Lounge ID works ID works ID works 800mm x 800mm Granite 800mm x 800mm Granite 12mm thick Fibrous Plasterglass Boards Serviced Apartment - Unit 1 Living / Dining ID works ID works ID works Timber Strips 19mm thick Plaster and Emulsion Paint 12mm thick Fibrous Plasterglass Boards 2 Bedrooms ID works ID works ID works Timber Strips 19mm thick Plaster and Emulsion Paint 12mm thick Fibrous Plasterglass Boards 3 Bathrooms ID works ID works ID works 800mm x 800mm Granite 800mm x 800mm Granite 12mm thick Moisture Resistance Plasterglass Board 4 Yard ID works ID works ID works 300mm x 600mm Homogeneous Tile 19mm thick Plaster and Emulsion Paint 12mm thick Fibrous Plasterglass Boards 5 Kitchen ID works ID works ID works 300mm x 600mm Homogeneous Tile 300mm x 600mm Homogeneous Tile 12mm thick Fibrous Plasterglass Boards 6 Maid Room ID works ID works ID works Timber strips 19mm thick Plaster and Emulsion Paint 12mm thick Fibrous Plasterglass Boards 7 Powder room ID works ID works ID works 800mm x 800mm Granite 800mm x 800mm Granite 12mm thick Moisture Resistance Plasterglass Board 8 Study room ID works ID works ID works Timber Strips 19mm thick Plaster and Emulsion Paint 12mm thick Fibrous Plasterglass Boards MAIN BUILDING WORKS INTERIOR DESIGN (ID) WORKS SOF_Serv. Apt/Page 1
  • 44.
    RATE BREAKDOWN CADANGAN PEMBANGUNAN2 BLOK 31 TINGKAT PANSAPURI SERVICE (404) UNIT DI ATAS 7 TINGKAT PODIUM BERSERTA 2 TINGKAT BASEMEN DI ATAS LOT 160, JALAN ROBSON OFF JALAN SYED PUTRA, MUKIM KUALA LUMPUR, WILAYAH PERSEKUTUAN KUALA LUMPUR. PRELIMINARY COST APRAISAL RATE BREAKDOWN Cost Estimation for Basement Carcass ITEM DESCRIPTION UNIT QUANTITY RATE (RM) AMOUNT (RM) RATE REFERENCE A Contiguous Bored Piles i. Mobilization & Demobilization sum 300,000.00 300,000.00 Previous project BQ ii. Moving & Handling sum 50,000.00 50,000.00 Previous project BQ iii. Testing sum 300,000.00 300,000.00 Previous project BQ iv. 1500mm dia. bored pile - Bore hole m 1,760.00 330.00 580,800.00 Previous project BQ - Cut off No. 88.00 1,100.00 96,800.00 Previous project BQ - Concrete m 1,760.00 320.00 563,200.00 Previous project BQ - Rebar kg 431,200.00 4.00 1,724,800.00 Previous project BQ v. 1200mm dia. bored pile - Bore hole m 740.00 330.00 244,200.00 Previous project BQ - Cut off No. 37.00 1,100.00 40,700.00 Previous project BQ - Concrete m 740.00 320.00 236,800.00 Previous project BQ - Rebar kg 118,400.00 4.00 473,600.00 Previous project BQ vi. 800mm dia. bored pile - Bore hole m 2,460.00 330.00 811,800.00 Previous project BQ - Cut off No. 123.00 1,100.00 135,300.00 Previous project BQ - Concrete m 2,460.00 320.00 787,200.00 Previous project BQ - Rebar kg 172,200.00 4.00 688,800.00 Previous project BQ B Cap Beam i. Concrete m3 510.40 320.00 163,328.00 Previous project BQ ii. Formwork m2 638.00 102.00 65,076.00 Previous project BQ iii. Rebar kg 102,080.00 4.00 408,320.00 Previous project BQ C Skin Wall i. Concrete m3 522.00 320.00 167,040.00 Previous project BQ ii. Formwork m2 3,480.00 102.00 354,960.00 Previous project BQ iii. Rebar kg 52,200.00 4.00 208,800.00 Previous project BQ Total 8,401,524.00 Say 9,000,000.00 RBD_CBP/Page 1
  • 45.
    RATE BREAKDOWN CADANGAN PEMBANGUNAN2 BLOK 31 TINGKAT PANSAPURI SERVICE (404) UNIT DI ATAS 7 TINGKAT PODIUM BERSERTA 2 TINGKAT BASEMEN DI ATAS LOT 160, JALAN ROBSON OFF JALAN SYED PUTRA, MUKIM KUALA LUMPUR, WILAYAH PERSEKUTUAN KUALA LUMPUR. PRELIMINARY COST APRAISAL RATE BREAKDOWN Cost Estimation for Fittings ITEM DESCRIPTION UNIT QUANTITY RATE (RM) AMOUNT (RM) RATE REFERENCE A Lift Car Finishes RM 50,000 per lift i. Wall Panel m2 105.00 2,000.00 210,000.00 ii. Suspended ceiling m2 9.24 1,500.00 13,860.00 iii. Granite Flooring m2 9.24 2,500.00 23,100.00 iv. LED Lightning No. 48.00 500.00 24,000.00 v. Stainless steel handle No. 6.00 1,500.00 9,000.00 vi. Mirror No. 6.00 700.00 4,200.00 vii. Operating panel No. 6.00 1,500.00 9,000.00 Total 293,160.00 Say 300,000.00 B Mailbox i. Stainless steel mailbox No. 404.00 150.00 60,600.00 Previous project BQ Total 60,600.00 Say 61,000.00 RBD_Fittings/Page 1
  • 46.
    RATE BREAKDOWN CADANGAN PEMBANGUNAN2 BLOK 31 TINGKAT PANSAPURI SERVICE (404) UNIT DI ATAS 7 TINGKAT PODIUM BERSERTA 2 TINGKAT BASEMEN DI ATAS LOT 160, JALAN ROBSON OFF JALAN SYED PUTRA, MUKIM KUALA LUMPUR, WILAYAH PERSEKUTUAN KUALA LUMPUR. PRELIMINARY COST APRAISAL RATE BREAKDOWN Cost Estimation for External & Ancillary Works ITEM DESCRIPTION UNIT QUANTITY RATE (RM) AMOUNT (RM) RATE REFERENCE A Fencing i. Supply and install 2100mm high anti-climb fencing "PLYTEC 580 series" m 342.00 485.00 165,870.00 Previous project BQ Total 165,870.00 Say 170,000.00 B Water Feature & Water Curtain 1 Water Feature i. Hardcore m3 24.15 123.20 2,975.28 Previous project BQ ii. Concrete to slab m3 32.20 305.60 9,840.32 Previous project BQ iii. Concrete to wall m3 23.49 305.60 7,178.54 Previous project BQ iv. Rebar kg 939.60 4.00 3,758.40 Previous project BQ v. BRC A8 m2 161.00 18.10 2,914.10 Previous project BQ vi. Formwork m2 78.30 36.20 2,834.46 Previous project BQ vii. Tiles m2 161.00 67.60 10,883.60 Previous project BQ viii. Waterproofing m2 161.00 50.60 8,146.60 Previous project BQ 2 Water Curtain i. Hardcore m3 25.06 123.20 3,086.90 Previous project BQ ii. Concrete to slab m3 33.41 305.60 10,209.48 Previous project BQ iii. Concrete to wall m3 25.11 305.60 7,673.62 Previous project BQ iv. Rebar kg 1,004.40 4.00 4,017.60 Previous project BQ v. BRC A8 m2 167.04 18.10 3,023.42 Previous project BQ vi. Formwork m2 83.70 36.20 3,029.94 Previous project BQ vii. Water feature wall m2 76.80 417.60 32,071.68 Previous project BQ viii. Tiles m2 167.04 67.60 11,291.90 Previous project BQ ix. Waterproofing (wall) m2 76.80 50.60 3,886.08 Previous project BQ x. Waterproofing (slab) m2 167.04 50.60 8,452.22 Previous project BQ Total 135,274.16 Say 150,000.00 C Playground 1 Playground equipment sum 46,600.00 46,600.00 Total 46,600.00 Say 50,000.00 RBD_Ext Work/Page 1
  • 47.
    RATE BREAKDOWN CADANGAN PEMBANGUNAN2 BLOK 31 TINGKAT PANSAPURI SERVICE (404) UNIT DI ATAS 7 TINGKAT PODIUM BERSERTA 2 TINGKAT BASEMEN DI ATAS LOT 160, JALAN ROBSON OFF JALAN SYED PUTRA, MUKIM KUALA LUMPUR, WILAYAH PERSEKUTUAN KUALA LUMPUR. PRELIMINARY COST APRAISAL RATE BREAKDOWN Cost Estimation for External & Ancillary Works ITEM DESCRIPTION UNIT QUANTITY RATE (RM) AMOUNT (RM) RATE REFERENCE D Guard House 1 Work Below Lowest Floor i. Excavation to pad footing m3 7.50 222.40 1,668.00 Previous project BQ ii. Excavation to ground slab m3 7.82 222.40 1,738.95 Previous project BQ iii. Hardcore m3 7.77 20.18 156.78 Previous project BQ iv. Blinding to pad footing 50mm thk m2 4.00 19.66 78.64 Previous project BQ v. Blinding to ground slab 50mm thk m2 9.54 19.66 187.51 Previous project BQ vi. Concrete to pad footing m3 7.50 327.30 2,454.75 Previous project BQ vii. Concrete to ground slab m3 7.82 327.30 2,559.16 Previous project BQ viii. Concrete to column stump m3 5.00 327.30 1,636.50 Previous project BQ ix. Rebar to pad footing kg 1,650.00 4.00 6,600.00 Previous project BQ x. BRC A10 to ground slab m2 9.54 29.09 277.46 Previous project BQ xi. Rebar to column stump kg 3,000.00 4.00 12,000.00 Previous project BQ xii. Formwork to pad footing m2 24.00 38.80 931.20 Previous project BQ xiii. Formwork to edge of ground slab m 13.24 7.80 103.26 Previous project BQ xiv. Formwork to to column stump m2 1.92 38.80 74.50 Previous project BQ xv. DPM m2 9.54 2.89 27.56 Previous project BQ 2 Frame i. Concrete to column m3 7.90 327.30 2,585.67 Previous project BQ ii. Rebar to column kg 4,740.00 4.00 18,960.00 Previous project BQ iii. Formwork to to column m2 11.20 38.80 434.56 Previous project BQ 3 Roof i. Concrete to roof slab m2 9.54 49.10 468.31 Previous project BQ ii. BRC A8 m2 9.54 19.15 182.65 Previous project BQ iii. Formwork to roof slab m2 9.54 38.80 370.07 Previous project BQ iv. Waterproofing m2 9.54 28.00 267.06 Previous project BQ v. Concrete to roof beam m3 17.74 327.30 5,805.65 Previous project BQ vi. Rebar to roof beam kg 10,642.80 4.00 42,571.20 Previous project BQ vii. Formwork to roof beam m2 42.36 38.80 1,643.63 Previous project BQ viii. Gutter m 13.24 195.71 2,590.81 Previous project BQ ix. RWDP m 4.00 52.62 210.48 Previous project BQ 4 External Wall i. 230mm thk brickwall m2 46.33 88.65 4,107.42 Previous project BQ ii. DPC m2 13.24 2.22 29.39 Previous project BQ 5 Wall finishes i. Plaster m2 92.67 31.25 2,895.81 Previous project BQ ii. Paint m2 92.67 7.23 669.98 Previous project BQ 6 Floor Finishes i. Cement & Sand m2 9.54 29.95 285.66 Previous project BQ ii. Tiles m2 9.54 150.93 1,439.55 Previous project BQ 7 Ceiling Finishes i. Plaster m2 9.54 7.23 68.96 Previous project BQ ii. Paint m2 9.54 3.56 33.95 Previous project BQ 8 Windows 2000 x 1500mm No. 1.00 1,200.00 1,200.00 Previous project BQ 9 Doors 900 x 2100mm No. 2.00 800.00 1,600.00 Previous project BQ Total 118,915.07 Say 200,000.00 RBD_Ext Work/Page 2
  • 48.
    RATE BREAKDOWN CADANGAN PEMBANGUNAN2 BLOK 31 TINGKAT PANSAPURI SERVICE (404) UNIT DI ATAS 7 TINGKAT PODIUM BERSERTA 2 TINGKAT BASEMEN DI ATAS LOT 160, JALAN ROBSON OFF JALAN SYED PUTRA, MUKIM KUALA LUMPUR, WILAYAH PERSEKUTUAN KUALA LUMPUR. PRELIMINARY COST APRAISAL RATE BREAKDOWN Calculation 1) Contiguous Bored Piles Notes: 1) Number of piles is measured from basement drawings. 2) Assume penetration depth of pile is 20m. 3) Poundage for bored pile = 230kg/m3 4) Poundage for cap beam = 200kg/m3 5) Poundage for skin wall = 100kg/m3 Element Unit Length Width Depth Timesing Total Bored Pile 1500mm dia. Bore hole m 20.00 - - 88.00 1,760.00 Cut off No. - - - 88.00 88.00 Concrete m 20.00 - - 88.00 1,760.00 Rebar kg 4,900.00 - - 88.00 431,200.00 1200mm dia. Bore hole m 20.00 - - 37.00 740.00 Cut off No. - - - 37.00 37.00 Concrete m 20.00 - - 37.00 740.00 Rebar kg 3,200.00 - - 37.00 118,400.00 800mm dia. Bore hole m 20.00 - - 123.00 2,460.00 Cut off No. - - - 123.00 123.00 Concrete m 20.00 - - 123.00 2,460.00 Rebar kg 1,400.00 - - 123.00 172,200.00 Cap Beam Concrete m3 290.00 1.60 1.10 1.00 510.40 Formwork m2 290.00 1.00 1.10 2.00 638.00 Rebar kg 102,080.00 - - - 102,080.00 Skin Wall Concrete m3 290.00 0.15 12.00 1.00 522.00 Formwork m2 290.00 1.00 12.00 1.00 3,480.00 Rebar kg 52,200.00 - - - 52,200.00 2) Lift Car Finishes Element Unit Length Width Timesing No. Total Wall Panel m2 5.00 3.50 1.00 6.00 105.00 Suspended ceiling m2 1.10 1.40 1.00 6.00 9.24 Granite Flooring m2 1.10 1.40 1.00 6.00 9.24 LED Lightning No. - - 8.00 6.00 48.00 Stainless steel handle No. - - 1.00 6.00 6.00 Mirror No. 0.80 1.40 1.00 6.00 6.00 Operating panel No. - - 1.00 6.00 6.00 RBD_Calc/Page 1
  • 49.
    RATE BREAKDOWN CADANGAN PEMBANGUNAN2 BLOK 31 TINGKAT PANSAPURI SERVICE (404) UNIT DI ATAS 7 TINGKAT PODIUM BERSERTA 2 TINGKAT BASEMEN DI ATAS LOT 160, JALAN ROBSON OFF JALAN SYED PUTRA, MUKIM KUALA LUMPUR, WILAYAH PERSEKUTUAN KUALA LUMPUR. PRELIMINARY COST APRAISAL RATE BREAKDOWN Calculation 3) Mailbox Element Unit Total Stainless steel mailbox No. 404.00 4) Fencing Element Unit Length Fencing m 342.00 5) Water Feature & Water Curtain Element Unit Length Width Depth Timesing Total Water Feature Hardcore m3 16.10 10.00 0.15 1.00 24.15 Concrete to slab m3 16.10 10.00 0.20 1.00 32.20 Concrete to wall m3 52.20 0.30 1.50 1.00 23.49 Rebar kg 939.60 - - - 939.60 BRC A8 m2 16.10 10.00 - 1.00 161.00 Formwork m2 52.20 - 1.50 1.00 78.30 Tiles m2 16.10 10.00 - 1.00 161.00 Waterproofing m2 16.10 10.00 - 1.00 161.00 Water Curtain Hardcore m3 19.20 8.70 0.15 1.00 25.06 Concrete to slab m3 19.20 8.70 0.20 1.00 33.41 Concrete to wall m3 55.80 0.30 1.50 1.00 25.11 Rebar kg 1,004.40 - - - 1,004.40 BRC A8 m2 19.20 8.70 - 1.00 167.04 Formwork m2 55.80 - 1.50 1.00 83.70 Water feature wall m2 19.20 - 4.00 1.00 76.80 Tiles m2 19.20 8.70 - 1.00 167.04 Waterproofing (wall) m2 19.20 - 4.00 1.00 76.80 Waterproofing (slab) m2 19.20 8.70 - 1.00 167.04 RBD_Calc/Page 2
  • 50.
    RATE BREAKDOWN CADANGAN PEMBANGUNAN2 BLOK 31 TINGKAT PANSAPURI SERVICE (404) UNIT DI ATAS 7 TINGKAT PODIUM BERSERTA 2 TINGKAT BASEMEN DI ATAS LOT 160, JALAN ROBSON OFF JALAN SYED PUTRA, MUKIM KUALA LUMPUR, WILAYAH PERSEKUTUAN KUALA LUMPUR. PRELIMINARY COST APRAISAL RATE BREAKDOWN Calculation 6) Guard House Notes: 1) Assume is pad footing foundation. Element Unit Length Width Depth Timesing Total Work Below Lowest Floor Excavation to pad footing m3 1.00 1.00 1.50 4.00 7.50 Excavation to ground slab m3 2.12 4.50 0.20 1.00 7.82 Hardcore m3 2.12 4.50 0.15 1.00 7.77 Blinding to pad footing 50mm thk m2 1.00 1.00 - 4.00 4.00 Blinding to ground slab 50mm thk m2 2.12 4.50 - 1.00 9.54 Concrete to pad footing m3 1.00 1.00 1.50 4.00 7.50 Concrete to ground slab m3 2.12 4.50 0.20 1.00 7.82 Concrete to column stump m3 0.20 0.20 0.60 4.00 5.00 Rebar to pad footing kg 412.50 - - 4.00 1,650.00 BRC A10 to ground slab m2 2.12 4.50 - 1.00 9.54 Rebar to column stump kg 750.00 - - 4.00 3,000.00 Formwork to pad footing m2 4.00 - 1.50 4.00 24.00 Formwork to edge of ground slab m 13.24 - 0.20 1.00 13.24 Formwork to to column stump m2 0.80 - 0.60 4.00 1.92 DPM m2 2.12 4.50 - 1.00 9.54 Frame Concrete to column m3 0.20 0.20 3.50 4.00 7.90 Rebar to column kg 1,185.00 - - 4.00 4,740.00 Formwork to to column m2 0.80 - 3.50 4.00 11.20 Roof Concrete to roof slab m2 2.12 4.50 0.15 1.00 9.54 BRC A8 m2 2.12 4.50 - 1.00 9.54 Formwork to roof slab m2 2.12 4.50 - 1.00 9.54 Waterproofing m2 2.12 4.50 - 1.00 9.54 Concrete to roof beam m3 13.24 0.20 0.30 4.00 17.74 Rebar to roof beam kg 2,660.70 - - 4.00 10,642.80 Formwork to roof beam m2 13.24 0.20 0.30 4.00 42.36 Gutter m 2.12 4.50 - 1.00 13.24 RWDP m - - 4.00 1.00 4.00 External Wall 230mm thk brickwall m2 2.12 4.50 3.50 1.00 46.33 DPC m2 2.12 4.50 - 1.00 13.24 Wall finishes Plaster m2 2.12 4.50 3.50 2.00 92.67 Paint m2 2.12 4.50 3.50 2.00 92.67 Floor Finishes Cement & Sand m2 2.12 4.50 - 1.00 9.54 Tiles m2 2.12 4.50 - 1.00 9.54 Ceiling Finishes Plaster m2 2.12 4.50 - 1.00 9.54 Paint m2 2.12 4.50 - 1.00 9.54 Windows 2000 x 1500mm No. - - - 1.00 1.00 Doors 900 x 2100mm No. - - - 2.00 2.00 RBD_Calc/Page 3
  • 51.
    RATE BREAKDOWN CADANGAN PEMBANGUNAN2 BLOK 31 TINGKAT PANSAPURI SERVICE (404) UNIT DI ATAS 7 TINGKAT PODIUM BERSERTA 2 TINGKAT BASEMEN DI ATAS LOT 160, JALAN ROBSON OFF JALAN SYED PUTRA, MUKIM KUALA LUMPUR, WILAYAH PERSEKUTUAN KUALA LUMPUR. PRELIMINARY COST APRAISAL RATE BREAKDOWN Calculation 7) Playground JUBM & Arcadis Construction Cost Handbook 2017 Page 48 RBD_Calc/Page 4
  • 52.
    3.0 Conclusion The proposedsite covers an area of 1.43 acres of freehold land and it is strategically located at a convenient location. There are many amenities around the area example schools, hospitals and shopping mall. Besides that, there is a lot of public transportations such as KTM, LRT, and Monorail station near the site. It also have a great accessibility via ​the four major highways in Malaysia which are Federal Highway, NPE, KL-Seremban Highway and East-West Link. The proposed project consist of 2 levels of basement car park, 1 level of ground floor services floor, 6 levels elevated car park, 1 storey recreational facilities and 2 blocks of 31 levels of serviced apartments. The serviced apartment comes with quality fittings and finishes. The total CFA of this proposed building is 92,315m2 and the total construction estimated cost for based building including preliminaries, contingencies and cost escalation is RM 187,536,099.15 with rates of RM 2,031.49/m2. In conclusion, the efficiency of the proposed project is 42%. We consider the project to feasible and recommend the client to invest in this piece of land as it has an advantageous location to attract more people to buy the service apartment. 51
  • 53.
    REFERENCE Asia's Beverly Hillsin Seputeh, Kuala Lumpur? (n.d.). Retrieved June 20, 2018, from https://www.edgeprop.my/content/asia’s-beverly-hills-seputeh-kuala-lumpur Construction on KL's Robson Hill Resumes Despite Safety Issues. (2017, March 08). Retrieved June 15, 2018, from https://www.propertyguru.com.my/property-news/2017/3/148014/construction-on-kls -robson-hill-resumes-despite-safety-issues Floor Plans. (n.d.). Retrieved June 2, 2018, from http://www.sentralsuites.com.my/ Ground Engineering Ltd., & Ground Engineering Ltd. (2017, April 12). Bored Piles And Their Advantage In The Construction Of A Vertical Building. Retrieved June 11, 2018, from https://medium.com/@groundengineeringltd/bored-piles-and-their-advantage-in-the- construction-of-a-vertical-building-7db534321ce0 JUBM & Arcadis Construction Cost Handbook Malaysia (2017). Nair, V. (2017, March 06). Residents say project is risky - Metro News | The Star Online. Retrieved June 13, 2018, from https://www.thestar.com.my/metro/community/2017/03/07/residents-say-project-is-ri sky-clearing-work-resumes-for-rehab-centre-on-class-iii-slope-after-four/ POST - TENSIONED SLABS - Advantages & Disadvantages which we will discuss in this post. (2017, June 24). Retrieved June 11, 2018, from http://engineeringfeed.com/post-tensioned-slabs-advantages-disadvantages-will-dis cuss-post 52
  • 54.
    REFERENCE Review for RobsonHill Residency, Seputeh. (n.d.). Retrieved June 2, 2018, from https://www.propsocial.my/property/5540/seputeh/robson-hill-residency Robson Hill Residency | SYNC IN STYLE. (n.d.). Retrieved June 15, 2018, from http://www.robsonhillresidency.com/ Robson Hill, Seputeh, Kuala Lumpur (n.d.). Retrieved June 16, 2018, from http://hacent.com.my/portfolio-jalanRobson.html Rodriguez, J. (n.d.). When Do You Need a Bored Pile? Retrieved June 11, 2018, from https://www.thebalancesmb.com/bored-pile-advantages-also-referred-as-drilled-shaf ts-844753 Sentral Suites @ KL Sentral, KL Sentral PropertyGuru | Malaysia. (n.d.). Retrieved June 2, 2018, from https://www.propertyguru.com.my/condo/sentral-suites-kl-sentral-7703 The advantages of the aluminium form work. (n.d.). Retrieved June 11, 2018, from http://www.adtomall.com/the-advantages-of-the-aluminium-form-work?WebShieldD RSessionVerify=S8bJriAgsMHGydR9rdYG 53
  • 55.
  • 56.
  • 57.
  • 58.