Volumes by Cylindrical Shells
The volume of a right circular cylindrical shell with radius r, height h,
and infinitesimal thickness dx, is given by:
Vshell = 2πrh dx
If one slits the cylinder down a side and unrolls it into a rectangle,
the height of the rectangle is the height of the cylinder, h, and the
length of the rectangle is the circumference of a circular end of
the cylinder, 2πr. So the area of the rectangle (and the surface of
the cylinder) is 2πrh. Multiply this by a (slight) thickness dx to get
the volume.
In the diagram, the yellow region is revolved about the
y-axis. Two of the shells are shown. For each value of x
between 0 and a (in the graph), a cylindrical shell is
obtained, with radius x and height f(x). Thus, the
volume of one of these shells (with thickness dx) is given
by
Vshell = 2π x f(x) dx.
Summing up the volumes of all these
infinitely thin shells, we get the total volume
of the solid of revolution:
V = 2pxf (x)dx = 2p xf (x)
0
a
ò
0
a
ò dx
Example 1: Find the volume of the solid of revolution formed
by rotating the region bounded by the x-axis and the graph of
from x=0 to x=1, about the y-axis.
y = x
V = 2px x dx = 2p x
3
2
0
1
ò
1
2
ò dx = 2p ×
2x
5
2
5
ù
û
ú
ú
ú0
1
=
4p
5
1
5
2
- 0
5
2
æ
è
ç
ö
ø
÷
ù
û
ú
ú0
1
=
4p
5
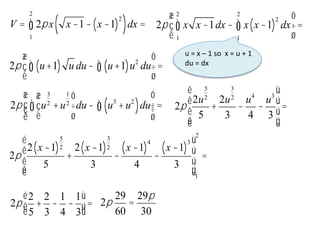
Example 2: Find the volume of the solid of revolution formed by
rotating the finite region bounded by the graphs of
and about the y-axis.
y = x -1
y = x -1
( )
2
V = 2px x -1- x -1
( )
2
( )dx =
1
2
ò 2p x x -1dx - x x -1
( )
2
dx
1
2
ò
1
2
ò
æ
è
ç
ö
ø
÷=
2p u+1
( ) u du- u+1
( )u2
du
ò
ò
æ
è
ç
ö
ø
÷ =
u = x – 1 so x = u + 1
du = dx
2p u
3
2
+u
1
2
æ
è
ç
ö
ø
÷du- u3
+u2
( )du
ò
ò
æ
è
ç
ç
ö
ø
÷
÷ = 2p
2u
5
2
5
+
2u
3
2
3
-
u4
4
-
u3
3
é
ë
ê
ê
ê
ù
û
ú
ú
ú
=
2p
2 x -1
( )
5
2
5
+
2 x -1
( )
3
2
3
-
x -1
( )
4
4
-
x -1
( )
3
3
é
ë
ê
ê
ê
ù
û
ú
ú
ú1
2
=
2p
2
5
+
2
3
-
1
4
-
1
3
é
ë
ê
ù
û
ú= 2p
29
60
=
29p
30
EXAMPLE Find the volume of the solid
obtained by rotating the region bounded by
and about the line .
Time to Practice !!!
y = x - x2
y = 0 x = 2
One More Example

7.3 volumes by cylindrical shells

  • 1.
  • 2.
    The volume ofa right circular cylindrical shell with radius r, height h, and infinitesimal thickness dx, is given by: Vshell = 2πrh dx If one slits the cylinder down a side and unrolls it into a rectangle, the height of the rectangle is the height of the cylinder, h, and the length of the rectangle is the circumference of a circular end of the cylinder, 2πr. So the area of the rectangle (and the surface of the cylinder) is 2πrh. Multiply this by a (slight) thickness dx to get the volume.
  • 3.
    In the diagram,the yellow region is revolved about the y-axis. Two of the shells are shown. For each value of x between 0 and a (in the graph), a cylindrical shell is obtained, with radius x and height f(x). Thus, the volume of one of these shells (with thickness dx) is given by Vshell = 2π x f(x) dx.
  • 4.
    Summing up thevolumes of all these infinitely thin shells, we get the total volume of the solid of revolution: V = 2pxf (x)dx = 2p xf (x) 0 a ò 0 a ò dx
  • 5.
    Example 1: Findthe volume of the solid of revolution formed by rotating the region bounded by the x-axis and the graph of from x=0 to x=1, about the y-axis. y = x V = 2px x dx = 2p x 3 2 0 1 ò 1 2 ò dx = 2p × 2x 5 2 5 ù û ú ú ú0 1 = 4p 5 1 5 2 - 0 5 2 æ è ç ö ø ÷ ù û ú ú0 1 = 4p 5
  • 6.
    Example 2: Findthe volume of the solid of revolution formed by rotating the finite region bounded by the graphs of and about the y-axis. y = x -1 y = x -1 ( ) 2
  • 7.
    V = 2pxx -1- x -1 ( ) 2 ( )dx = 1 2 ò 2p x x -1dx - x x -1 ( ) 2 dx 1 2 ò 1 2 ò æ è ç ö ø ÷= 2p u+1 ( ) u du- u+1 ( )u2 du ò ò æ è ç ö ø ÷ = u = x – 1 so x = u + 1 du = dx 2p u 3 2 +u 1 2 æ è ç ö ø ÷du- u3 +u2 ( )du ò ò æ è ç ç ö ø ÷ ÷ = 2p 2u 5 2 5 + 2u 3 2 3 - u4 4 - u3 3 é ë ê ê ê ù û ú ú ú = 2p 2 x -1 ( ) 5 2 5 + 2 x -1 ( ) 3 2 3 - x -1 ( ) 4 4 - x -1 ( ) 3 3 é ë ê ê ê ù û ú ú ú1 2 = 2p 2 5 + 2 3 - 1 4 - 1 3 é ë ê ù û ú= 2p 29 60 = 29p 30
  • 8.
    EXAMPLE Find thevolume of the solid obtained by rotating the region bounded by and about the line . Time to Practice !!! y = x - x2 y = 0 x = 2
  • 9.