UNIVERSIDAD NACIONAL DE LA AMAZONIA PERUANA 
Facultad de Ingeniería de Sistemas e Informática 
ANÁLISIS MATEMÁTICO II 
TRABAJO PRÁCTICO 
TEMA : EJERCICIOS DE TÓPICOS DE CALCULO (Máximo Mitacc-Luis Toro) 
CATEDRÁTICO : Lic. MANUEL TUESTA MORENO 
INTEGRANTES : 
 ROJAS GONZALES MIGUEL ANGEL. 
 HERNANDEZ JAUYA PAUL MARTÍN 
NIVEL : II 
CICLO : III 
IQUITOS –JULIO DEL 2009-PERÚ
EL PRESENTE TRABAJO PRÁCTICO ES UNA COLECCIÓN DE PROBLEMAS DE INTEGRALES 
INDEFINIDAS, EXTRAIDAS DEL LIBRO: “TOPICOS DE CALCULO (VOL.II)” DE MAXIMO MITACC-LUIS 
TORO, CON SUS RESPECTIVAS SOLUCIONES DESARROLLADOS POR LOS ALUMNOS A CARGO.
Ejercicios Pág. 83 
------------------- -----------------------------------------|SOLUCIONARIO|------------------------------------------------------- 
ퟏ. ∫ 
ퟒ풙ퟐ + ퟔ 
풙ퟑ + ퟑ풙 
풅풙 
= ∫ 
4푥 2 + 6 
푥 3 + 3푥 
푑푥 
∙ 
1 
푥(푥 2 + 1) 
= 
퐴 
푥 
+ 
퐵(2푥) + 퐶 
푥 2 + 3 
= ∫ 
4푥 2 
푥(푥 2 + 3) 
푑푥 + ∫ 
6 
푥(푥 2 + 3) 
푑푥 
1 = 퐴(푥 2 + 3) + (2퐵푥 + 퐶)푥 
= 4 ∫ 
푥 
(푥2+3) 
푑푥 + 6 ∫ 
푑푥 
푥(푥2+3) 1 = 퐴푥 2 + 3퐴 + 2퐵푥 2 + 퐶푥 
= 4 ∫ 
푥 
(푥2+3) 
푑푥 + 6 [1 
3 
∫ 
푑푥 
푥 
− 1 
3 
∫ 
푥 
(푥2+3) 
푑푥] 1 = 푥 2(퐴 + 2퐵) + 푥퐶 + 3퐴 
= 4 ∫ 
푥 
(푥2+3) 
푑푥 + 2 ∫ 
푑푥 
푥 
− 2 ∫ 
푥 
(푥2+3) 
푑푥 퐴 = 1 
3 
; 퐶 = 0 ; 퐵 = − 1 
6 
= 2 ∫ 
푑푥 
푥 
+ 2 ∫ 
푥 
(푥2+3) 
푑푥 푥 2 + 3 = 푢 
= 2 ln|푥| + 2 ∫ 
푥 
푢 
(푑푢 
2푥 
) 2푥푑푥 = 푑푢 ⇒ 푑푥 = 푑푢 
2푥 
= ln|푥|2 + ln|푢| 
= ln(푥)2 + ln(푥 2 + 3) 
= ln[푥 2(푥2 + 3)] + 퐶
Pág. 84 
ퟓ. ∫ 
풙ퟐ + 풙 − ퟏ 
풙ퟑ − 풙ퟐ − 풙 + ퟏ 
풅풙 
= ∫ 
푥(푥 + 1) − 1 
(푥 − 1)2(푥 + 1) 
푑푥 
= ∫ 
푥(푥 + 1) 
(푥 − 1)2(푥 + 1) 
푑푥 + ∫ 
푑푥 
(푥 − 1)2(푥 + 1) 
∙ 
1 
(푥 − 1)2(푥 + 1) 
= 
퐴 
(푥 − 1) 
+ 
퐵 
(푥 − 1)2 + 
퐶 
(푥 + 1) 
∙ 1 = A(x − 1)(x + 1) + B(x − 1) + C(x − 1)2 
∙ 1 = Ax2 − A + Bx + B + Cx2 − 2Cx + C 
∙ 1 = x2(A + C) + x(B − 2C) + (−A + B + C) 
퐴 = − 1 
4 
; 퐵 = 1 
2 
; 퐶 = 1 
4 
= ∫ 
푥 
(푋 − 1)2 푑푥 − [− 
1 
4 
∫ 
푑푥 
(푥 − 1) 
+ 
1 
2 
∫ 
푑푥 
(푋 − 1)2 + 
1 
4 
∫ 
푑푥 
(푥 + 1) 
] 
= ∫ 
푥 
푑푥 + 1 
(푋−1) 2 4 
∫ 
푑푥 
(푥−1) 
− 1 
2 
∫ 
푑푥 
− 1 
(푋−1)2 4 
∫ 
푑푥 
(푥+1) 푥 − 1 = 푢 ; 푥 + 1 = 푣 
푥 = 푢 + 1 푑푥 = 푑푣 
= ∫ 
푢+1 
푢2 푑푢 + 1 
4 
∫ 
푑푢 
푢 
− 1 
2 
∫ 
푑푢 
푢2 − 1 
4 
∫ 
푑푣 
푣 
푑푥 = 푑푢 
= ∫ 
푢 
푢2 푑푢 + ∫ 
푑푢 
푢2 + 1 
4 
ln|푥 − 1| − 1 
2 
(− 1 
(푥−1) 
) − 1 
4 
ln|푥 + 1| 
= ln|푥 − 1| − 1 
(푥−1) 
+ 1 
4 
ln|푥 − 1| + 1 
2(푥−1) 
− 1 
4 
ln|푥 + 1| 
= − 
1 
2(푥 − 1) 
+ 
5 
4 
ln|푥 − 1| − 
1 
4 
ln|푥 + 1| + 퐶
ퟗ. ∫ 
ퟐ풙ퟐ − ퟑ풙 − ퟑ 
(풙 − ퟏ)(풙ퟐ − ퟐ풙 + ퟓ) 
풅풙 = 푰 
∙ 푥2 − 2푥 + 5 = (푥 − 1)2 + 4 
퐼 = ∫ 
푥2 − 푥 − 8 + 푥2 − 2푥 + 5 
(푥 − 1)(푥2 − 2푥 + 5) 
푑푥 
퐼 = ∫ 
푥(푥 − 1) 
(푥 − 1)(푥2 − 2푥 + 5) 
− 8 ∫ 
푑푥 
(푥 − 1)(푥2 − 2푥 + 5) 
+ ∫ 
(푥2 − 2푥 + 5) 
(푥 − 1)(푥2 − 2푥 + 5) 
푑푥 
퐼 = ∫ 
푥푑푥 
푥2 − 2푥 + 5 
− 8 ∫ 
푑푥 
(푥 − 1)[(푥 − 1)2 + 4] 
+ ∫ 
푑푥 
(푥 − 1) 
∙ 푥 − 1 = 푢 → 푥 = 푢 + 1 
∙ 푑푥 = 푑푢 
퐼 = ∫ 
(푢 + 1) 
푢2 + 4 
푑푢 − 8 ∫ 
푑푥 
푢(푢2 + 4) 
+ ∫ 
푑푢 
푢 
퐼 = ∫ 
푢 푑푢 
푢2 + 4 
+ ∫ 
푑푢 
푢2 + 4 
− 8 ∫ 
푑푢 
푢(푢2 + 4) 
+ ∫ 
푑푢 
푢 
1 
푢(푢2 + 4) 
= 
퐴 
푢 
+ 
퐵(2푢) + 푐 
푢2 + 4 
∙ 1 = 퐴(푢2 + 4) + (2퐵푢 + 푐)푢 4퐴 = 1 → 퐴 = 
1 
4 
∙ 1 = 퐴푢2 + 4퐴 + 2퐵푢2 + 푢퐶 퐶 = 0 
∙ 1 = 푢2(퐴 + 2퐵) + 푢퐶 + 4퐴 퐴 + 2푏 = 0 → 퐵 = − 
1 
8 
퐼 = ∫ 
푢 푑푢 
푢2 + 4 
+ ∫ 
푑푢 
푢2 + 4 
1 
4 
− 8[ 
∫ 
푑푢 
푢 
− 
1 
4 
∫ 
푢 푑푢 
푢2 + 4 
] + ∫ 
푑푢 
푢 
퐼 = ∫ 
푢 푑푢 
푢2 + 4 
+ ∫ 
푑푢 
푢2 + 4 
− 2 ∫ 
푑푢 
푢 
− 2 ∫ 
푢 푑푢 
푢2 + 4 
] + ∫ 
푑푢 
푢 
퐼 = 3 ∫ 
푢 푑푢 
푢2 + 4 
− ∫ 
푑푢 
푢 
+ ∫ 
푑푢 
푢2 + 4 
∙ 푢2 + 4 = 푡 → 푡 = 푢2 + 4 = (푥 − 1) 2 + 4 = 푥2 − 2푥 + 5 
∙ 2푢 푑푢 = 푑푡 ∙ 푢 = (푥 − 1) 
∙ 푑푢 = 
푑푡 
2푢
퐼 = 3 ∫ 
푢 
푡 
푑푢 
2푢 
( 
) − ∫ 
푑푢 
푢 
+ ∫ 
푑푢 
푢2 + 4 
퐼 = 
3 
2 
퐿푛|푡| − 푙푛|푢| + 
1 
2 
푢 
2 
푎푟푐푡푔 ( 
) + 푐 
퐼 = 
3 
2 
퐿푛|푥2 − 2푥 + 5| − 푙푛|푥 − 1| + 
1 
2 
푥 − 1 
2 
푎푟푐푡푔 ( 
) + 푐 
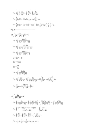
Pág.85------------------------------------- 
ퟏퟑ. ∫ 
ퟐ풙 
풙ퟒ + 풙ퟐ + ퟏ 
풅풙 = 푰 
퐼 = 2 ∫ 
4푥 푑푥 
4(푥4 + 푥2 + 1) 
퐼 = 2 ∫ 
4푥 푑푥 
4푥4 + 4푥2 + 1 + 3 
퐼 = 2 ∫ 
4푥 푑푥 
(2푥2 + 1) 2 + 3 
푢 = 2푥2 + 1 
푑푢 = 4푥푑푢 
푑푥 = 
푑푢 
4푥 
퐼 = 2 ∫ 
4푥푑푢 
(푢2 + 3)4푥 
퐼 = 2 ∫ 
푑푢 
푢2 + 3 
= 2 ∫ 
푑푢 
푢2 + (√3)2 
1 
√3 
= 2 ( 
푢 
√3 
푎푟푐푡푔 ( 
)) + 푐 
퐼 = 
2 
√3 
푎푟푐푡푔 ( 
2푥2 + 1 
√3 
) + 푐 
ퟏퟕ. ∫ 
풅풙 
풙ퟖ + 풙ퟔ = 푰 
퐼 = ∫ 
푑푥 
푥6(푥2 + 1) 
= ∫ 
푥6 + 1 − 푥6 
푥6(푥2 + 1) 
= ∫ 
(푥6 + 1)푑푥 
푥6(푥2 + 1) 
− ∫ 
푥6푑푥 
푥6(푥2 + 1) 
퐼 = ∫ 
(푥2 + 1)(푥4 − 푥2 + 1)푑푥 
푥6(푥2 + 1) 
− ∫ 
푑푥 
(푥2 + 1) 
퐼 = ∫ 
푑푥 
푥2 − ∫ 
푑푥 
푥4 + ∫ 
푑푥 
푥6 − ∫ 
푑푥 
푥2 + 1 
퐼 = − 
1 
푥 
+ 
1 
3푥3 − 
1 
5푥5 − 푎푟푐푡푔 푥 + 푐
dt 
   
3 9 3 3 
D 
(t 1) 
C 
     
t 
dx 
B 
t 
dt 
9x 
A 
t 
1 
1 
 
2 3 
1  At (t  1)  Bt (t  1)  C(t  1)  
Dt 
3 2 2 3 
1 At At Bt Bt Ct C Dt 
dt 
       
3 2 
1  t (A  D)  t (B  A)  t(C  B)  (  
C) 
A D B A C B C 
        
0 0 0 1 
D B A C B C 
       
1 0 1 
 
C 
1 
1 
    
1 
18(x 1) 
1 
dt 
1 
dt 
1 
9(x 1) 
dt 
1 
1 
dt 
ln x 1 
9 
1 
1 
 
 
9ln x 
I ln x 
18(x 1) 
 
9(x 1) 
ln x 1 
9 
9 
I 
ln x 
2(x 1) 
(x 1) 
ln x 1 
9 
I 
t 1 
t 
t 
t 
9 
I 
1 1 1 
1 
(t 1)t 
9 
I 
x t 
9 
I 
x.t 
I 
dt 
9x 
x 1 t x t 1 9x .dx dt dx 
x(x 1) 
21. 
9 9 2 
9 
9 9 2 
9 
9 
9 9 2 
9 
2 3 
2 3 
8 
8 
9 9 8 
9 3 
 
 
 
 
    
 
 
 
    
 
 
 
 
 
 
 
 
    
 
 
 
 
 
     
 
     
          
 
    
 
D A - B
Pág.86 
 I 
  
x Senx Senx Cosx 
 .dx 
 
4 
(x Cosx 
4 
1). 
25. 
Cosx 
(x 1)( Senx) 
(x 1)( Senx) Cosx 
I 4 4 
  
.dx 
  
    
 
 
  
 
(x 1).Cosx 
.dx 
(x 1).Cosx 
.dx I 
(x 1).Cosx 
4 
4 
4 
dx 
4 
x 1 
  .dx 
  
Senx 
Cosx 
 
I I 
1 2 
I 
  
Senx.Cosx 
Senx 
I 2 
1 1 2 
   .dx u Senx Cosx.dx 2u.du 
      
1  
Sen x 
.dx I 
Cosx 
du 
2u 
2 
I 2 2 
(1- u )(1 u ) 
  .du  I 
 
2u 
1- u 
.du I 
u .2u 
1 u 
2 
4 1 
4 1 
2 
1    
 
 
1 
   
Aplicar una identidad : 2 2  
a u 
1 
a - u 
2u 
a - u 
arctgu 
u  
1 
 
 
I 1 2 2 1 2 2 1  
u 1 
1 
Ln 
2 
    I 
 
du 
1 u 
du 
1- u 
.du I 
1 
1 u 
1 
1 u 
 
  
 
    
 
 
 
 
 
 
arctg( Senx ) 
Senx  
1 
I1  
Senx 1 
1 
Ln 
2 
 
 
4 4 2 2 2 2 2 
         
x 1 x 2x 1- 2x (x 1) ( 2x) 
(x 1 2x)(x 1 2x) 
dx 
x 1 
I 
2 2 
2 4 
     
 
  
dx 
I 
2 2 2 
     
 
(x 1 2x)(x 1 2x) 
C(2x 2) D 
A(2x  2)  
B 
4 2 2 
  
 A(2x  2)  B  x 2  2x  1    C(2x  2)  D  x 2 
 2x  
1 
 
(x 2x 1)(x 2x 1) 
1 
1 
x 1 
(x 2x 1) 
(x 2x 1) 
x 1 
2 2 
4 
    
 
 
  
 
  
 
 

      
          
1  x (2A  2C)  x (2 2C  2 2A  2A  2C  B  D)  x(2A  2C  2A  2C  2B  2D)  ( 2A  B  2C  
D) 
    
2A  2C  0 2(C  A)  B  D  0 2(D  B)  0 2(A  C)  B  D  
1 
1 
4 
y D 
8 
2 
, C 
1 
4 
, B 
2 
8 
A 
3 2 
2x 1 
2 
2x 1 C(2x 2) D x 
2 
1 A(2x 2) B x 
 
 
    
I 
 
2 2 2 2 2 
2x  
2 
2x  
2 
dx 
1 
2 
dx 
1 
      
  
 
  
 
  
 
x 2x 1 
4 
x 2x 1 
8 
x 2x 1 
4 
.dx 
x 2x 1 
2 
8 
  
2     
arctg( 2x 1) 
2 
4 
arctg( 2x 1) 
2 
4 
2 
x 2x 1 
x 2x 1 
Ln 
2 
8 
I 
2 
  
 
Rpta I I I 
Senx  
1 
1 
2 
   C 
2 
  
2 
x  2x  
1 
  
  
 
 
   
arctg( 2x 1) 
4 
arctg( 2x 1) 
4 
x 2x 1 
Ln 
2 
8 
arctg( Senx) 
Senx 1 
Ln 
2 
I 
2 
1 2
Pág. 101 
x dx 
2. 4 
 x  x 
5 
x 2 
dx 
  
  
x x 5 
1) 
1 
1 
( 
-1 
, 
2 
. M .C.M (2, 5) 10 
5 
1 
Fracciones :   
10 9 
dtt 10. ) t ( 
  
  
t 
[(t ) 5 
1] 1 
2 
1 
10 10 
t x 
9 
10 
 
dx 
 
10t dt 5 9 
t .t dt 
10 10 -2 
  
 
t (t 1) 
14 
t dt 
  
 
10 1 
t ( 1) 
10 
2 t 
t dt 
  
 
10 1 t 
t ( ) 
10 
2 
2 
t 
14 
14 
t dt 
10 8 2 
  
 
t (1 t ) 
6 
dt t 
t 
4 
10 )dt 
 2 
  
t 1 
10 (t 2 
1 t 
4 
 
   
t 
4 
t 
2 
4    
  dt 
10 t dt 10 2 
   
1 t 
   )dt 
10 t dt 10 (t 2 
1 t 
4 2 
2 
4 2 
t dt 
1 
4 2     
10 t dt 10 t dt 10 (1 2 
10 t dt 10 t dt 10 )dt 
   2 
    
1 t 
1 t 
    
4 2 
dt 
    2 
10 
5 3 1      
10 t dt 10 t dt 10 dt 10 t 10t 10[ arctg. ] C 
     
1 t 
2t 1 
3 
t 
1 
10 
1 
1 
3 
Rpta 2x 10 
x 10 
10x 10 
10arctgx C 
3 
2 
1 
     
dx 
     
 
  
 
 
 
 
 M.C.M 
 
5 
, 
4 
    
   
x 1 t 4t dt dx 
x 1 x 1 
4 3 
4 
4 
3 
5 
6. 4 
4 
3 
3 
dt 
4t dt 
4t dt 
   
3 2 2 
    
 
  
 
3 
3 5 
1 t 
I 4 
t (1 t ) 
I 
t t 
I 
C 
x  1  
1 
x 1 1 
I 4ln 
t  
1 
t 1 
I 4ln 
4 
4 
 
  
  
 

Pág. 102 
1ퟖ. ∫ 
풅풙 
풙ퟐ √풙ퟐ − ퟐ풙 + ퟒ 
= 푰 
2 
1 1 
    
tdt 
t t 
 
  
t 
t 
 
tdt 
t 
t 
    
 
t 
t 
dt 
t 
dt 
 
 
 
2 
        
1 2 4 ( 2 8 ) 
    
   
1 
2 8 
1 
2 8 2 
   
  2  
8 
 
1 
  
dt 
du 
t dt 
t dt 
 
  
t dt 
  
 
  
 
 
 
  
 
1 
     
 
1 
1 
3 
1 
2 2 
1 
I t t t t t 
2 2 
c 
          
1 1 
 
 
 
 
 
1 1 
 
 
 
 
 
2 1 
2 4 1 
1 
1 
          
x x x x x 
I 
dt 
dt 
 
 
 
 
 
x x x x x 
I 
t t t 
t 
dt 
t t 
I 
u t t 
u 
t t 
I 
t t 
t t 
t t 
I 
u t t du t dt 
I 
t t 
t 
tdt 
t t 
t t t 
t t t 
I 
t 
dt 
dx 
x 
t 
t 
x 
I I 
 
 
 
 
 
 
 
 
 
 
 
 
 
 
 
 
 
 
  
 
 
 
    
 
 
 
  
 
 
 
  
 
 
 
    
  
 
  
 
 
 
 
 
 
 
 
 
 
 
 
 
 
 
 
 
 
 
 
 
  
 
     
  
 
  
 
  
  
  
  
  
  
  
  
  
  
  
  
  
  
  
 
 
 
  
 
 
 
 
 
 
 
 
 
 
  
  
2 2 
2 
2 2 2 
2 
2 
2 
1 
2 2 2 
2 
2 
2 
2 
2 
2 2 2 2 
2 2 
2 
2 
2 4 
1 
2 
ln 
4 
1 
4 
1 
4 
1 
1 2 
2 
ln 2 
4 
4 
1 
1 2 
4 
1 2 4 
2 
ln 2 
4 
2 1 2 4 
8 
1 2 4 
2 
ln 2 
4 
2 
2 
1 2 4 
2 2 1 2 4 
1 2 4 
4 1 2 4 
1 2 4 
8 
1 2 4 
8 
1 2 4 
4 
2 
4 
1 2 
4 
1 2 
4 
1 1 2 
4 
1 
2 
1 1 
1 2
  
I 
dx 
x x x 
 
   
 
2 4 1 
22. 
2 
  
 
1 
c 
dt 
 
   
3 1 
x 
dt 
 
 
 
 
 
 
   
1 
I arcSen 
x 
 
 
1 
arcSen 
x 
 
 
 
 
 
arcSen 
t 
t 
I arcSen 
t 
dt 
t 
dt 
t 
dt 
t 
 
t 
dt 
t 
t 
dt 
I 
t t t 
t 
dt 
t t t 
I 
t 
dx 
x 
t 
t 
x 
t 
x 
 
 
 
 
 
 
 
 
 
 
 
 
3 
 
   
 
 
 
 
 
 
 
 
3 
 
  
 
 
 
 
 
 
 
 
 
 
 
 
 
 
1 
 
  
 
 
 
 
 
  
 
  
 
 
 
 
 
  
 
  
 
 
 
 
 
  
 
  
     
  
  
 
 
 
 
 
 
 
  
 
       
     
2 
3 
2 
1 
3 
1 
2 
3 
3 
3 
1 
3 1 
3 
1 
3 
3 
1 3 
3 
1 
3 
1 
8 1 
4 
4 
1 4 
2 1 
1 
2 4 
1 1 
2 
1 
2 
1 1 
2 
2 
2 
2 
2 
2 
2 
2 
2 
2 
2 
  
dx I 
x 
x 
 
 
 3 
1/ 2 
3 1 
34. 
1/ 2 
  
1/ 3 1/ 3 
x x dx 
I 1 
  
 
1 
       
t 
1/ 2 
    
 
I x t 
 
1/ 3 2 2 2 4 2 
      
     
6 
5 3 
6 
I t t 
dt x t dt t t dt t dt t dt 
x 
  
 
2 / 3 
6 
3 
I  x   x  c 
dt 
x 
t 
x t x dx tdt dx 
      
 
 
 
1/ 3 5 / 2 1/ 3 3 / 2 
1/ 3 2 
2 / 3 
1/ 3 2 2 / 3 
1 2 1 
5 
5 
6 6 1 6 6 
6 
6 
2 
3 
1
Pág. 105 
ퟑퟖ. ∫ 
풅풙 
풙ퟐ (ퟏ + 풙ퟐ ) 
ퟑ 
⁄ퟐ 
= ∫ 푥 −2(1 + 푥 2)−3 
⁄2 푑푥 1 + 푥2 = 푡2 푥2 ⇒ 푡 = 
(1+푥2 ) 
1 
⁄2 
푥 
= − ∫(푡2 − 1)(푡2푥 2)−3 
⁄2 푡푑푡 
푥−3 푡2 = 푥 −2 + 1 ⇒ 푑푥 = −푡푑푡 
푥−3 
= − ∫(푡2 − 1)푡−3 푡 푑푡 
= − ∫(1 − 푡−2)푑푡 
= − (∫ 푑푡 − ∫ 푡 −2 ) 
= −푡 + ( 
−1 
푡 
) 
= − 
(1 + 푥 2)1 
⁄2 
푥 
− 
푥 
(1 + 푥 2)1 
⁄2 
+ 퐶 
ퟒퟐ. ∫ 
ퟏ 
⁄ퟑ 
√ퟏ + 풙 
풙 
ퟐ 
⁄ퟑ 
풅풙 
= ∫ 푥 
−2 
⁄3 (1 + 푥 
1 
⁄3) 
1 
⁄2 
푑푥 1 + 푥 
1 
⁄2 
1 
⁄3 = 푡2 ⇒ 푡 = (1 + √푥 3 ) 
= ∫ 푥 
−2 
⁄3 (푡2)1 
⁄2 6푡푑푡 
푥 
−2 
⁄3 
1 
3 
푥 
−2 
⁄3푑푥 = 2푡푑푡 ⇒ 푑푥 = 6푡푑푡 
푥 
−2 
⁄3 
= 6 ∫ 푡2 푑푡 
푡3 
3 
= 6 ( 
) 
1 
⁄2 
= 2푡3 = 2 [(1 + √푥 3 ) 
3 
= 2(1 + √푥 3 ) 
] 
3 
⁄2 
+ 퐶
ퟒퟔ. ∫ 
풙ퟓ + ퟐ풙ퟐ 
(ퟏ + 풙ퟑ )ퟑ/ퟐ 풅풙 = 푰 
5 2 
x 2 
x 
(1  
) 
 
 
 
  
I x x dx x x dx x t x x t 
            
(1 ) 2 (1 ) 1 
  
tdt 
2 
  
2 
     
  
2 
3  2  
2 
2 
I  x t dt  
t dt 
  
4 
2  2  
2 
2 
I  t  t dt  
t dt 
  
4 
2 
2 
I dt t dt t dt 
C 
   
x 
   
 
2 
2 
I  t  
t dt 
 
2 
I x 
tdt 
x 
x dx tdt dx 
tdt 
x 
x t 
x 
I x t 
x 
I 
 
 
   
  
 
3 
3 
2 
2 2 
2 
2 
2 
2 
3 
2 2 
2 
2 
3 
5 2 
2 2 3 3 2 
3 
2 2 3 
3 
5 3 
2 
3 
3 
3 
2 
3 
3 
3 
3 
3 
3 
3 
( 1) 
3 
) 
3 
2( 
3 
2 
3 
3 2 
3 
2 ( ) 
3 
( ) 
1 
1 
1 t 1 3 
Pág. 110 
ퟑ. ∫ 
풅풙 
ퟐ + 풔풆풏풙 
= 푰 
푥 
2 
푧 = 푡푔 ( 
) 푑푥 = 
2푑푧 
1 + 푧2 
푠푒푛푥 = 
2푧 
1 + 푧2 
퐼 = ∫ 
2푑푧 
1 + 푧2 
2 + 
2푧 
1 + 푧2 
퐼 = ∫ 
2푑푧 
1 + 푧2 
2 + 2푧2 + 2푧 
1 + 푧2 
= ∫ 
2푑푧 
2푧2 + 2푧 + 2 
= ∫ 
푑푧 
푧2 + 푧 + 1 
퐼 = ∫ 
푑푧 
(푧 + 
1 
2 
1 
2 
)2 − ( 
) 
2 
+ 1 
= ∫ 
푑푧 
(푧 + 
1 
2 
2 
)2 + √3 
4 
퐼 = 
1 
√3 
4 
푎푟푐푡푔 
푧 + 
( 
1 
2 
√3 
4 ) 
= 
2 
√3 
2푧 + 1 
√3 
푎푟푐푡푔 ( 
) = 
2 
√3 
2푡푔 ( 
푎푟푐푡푔 ( 
푥 
2 
) + 1 
√3 
) + 푐
ퟕ. ∫ 
풅풙 
풔풆풏ퟐ ퟒ풙 + 풕품ퟐ ퟒ풙 
= 푰 
dt 
4(1 t ) 
 dx 
 
t tg4x 4x arctg t 
dt 
1 t 
   
4dx 
2 2  
 
 
2 
2 
t 
1 
1 t 
cos4x 
1 t 
sen4x 
 
 
 
 
dt 
1 
  
 
 
 
 
 
 
 
 
 
 
 
 
 
 
 
 
 
 
 
 
 
  
 
 
 
 
 
t 
 
2 
2 
2 
2 
2 
2 
2 
1 
1 
1 
1 t 
1 t 
4 
I 
t 
t 
t 
dt 
1 
dt 
1 
1 
 1  t 
 
2 2 4 4 2 
     
 
 
t 
  
1 t 
1 
 
t 
 
2 
2 
2 
2 
2 
2 
t 2t 
4 
t t 
4 
1 t 
1 t 
dt 
4 
I 
t 
dt 
1 
 2 2 t 2 t 
    
4 
I 
  2   2  2 
  
A t 2 t B 2 
t t Ct D 
2  2  
1 
Ct D 
B 
A 
 
2 2 2 2 2 
t  
t (2 ) 2 
t t 
t 
t 
t 
     
 
 
   
 
1  (2 ) 2  ( ) 2 2 2  A t  t  B  t  t Ct  D 
3 2 3 2 1 2At  At  Bt  2B Ct  Dt 
1 t (A C) t (B D) t(2A) 2B 3 2       
A C C 
    
0 0 
B D D 
     
0 1/ 2 
A A 
2  0   
0 
B B 
2  1   
1/ 2
 
 
dt 
 
1 
1 
1 
   2 2 
t 
2 t 
t t 
I  
 
 
 
 
 
 
 
 
 
2 
0 
2 
0 
4 
1 
2 
1 
1 
I 2 2 2 
  dt 
 
 
 
 
 
 
 
 
 
 
 
 
t  
t 
2 
4 
1 
1 
1 
dt 
dt 
   
1 
    
 
  
 
2 
2 
2 
2 2 
8 2 
8 
8 2 
8 
t 
dt 
t dt 
t 
t 
I 
 
 
 
1 1  
t 
 
 
 
 
 
 
 
 
 
  
 
 
 
 
 
 
 
1 
2 2 
1 
8 
8 1 
arctg 
t 
I 
 
 
 
1 t 
 
 
 
   
1 
8 2 2 
8 
arctg 
t 
I 
 
 
 
 
1 1 1 
t 
 
 
 
 
 
 
 
 
   
2 2 
8 
arctg 
t 
I 
c 
tg x 
 
 
 
 
4 
1 
1 
arctg x ctg I   
 
 
 
 
 
 
 
   
2 
2 
4 
8 
ퟏퟏ. ∫ 
ퟏ + 풕품풙 
ퟏ − 풕품풙 
풅풙 
푡푔푥 = 푡; 푑푥 = 
푑푡 
1 + 푡2 
1 + 푡 
1 − 푡 
퐼 = ∫ ( 
) ( 
푑푡 
1 + 푡2) = ∫ 
(1 + 푡) 
(1 − 푡)(1 + 푡2) 
퐼 = 
1 + 푡 
(1 − 푡)(1 + 푡2) 
= 
퐴 
1 + 푡 
+ 
퐵푡 + 퐶 
1 + 푡2 
⟹ 
퐴 + 퐴푡2 + 퐵푡 + 퐶 − 퐵푡2 − 퐶푡 
(1 − 푡)(1 + 푡2) 
퐴 + 퐵 = 1; 퐵 − 퐶 = 1; 퐴 − 퐵 = 0 퐴 − 퐶 = 1 
퐴 + 퐶 = 1 
퐴=1; 퐵=1; 퐶=0 
퐼 = ∫ 
푑푡 
1 − 푡 
+ ∫ 
푡푑푡 
1 + 푡2 ⟹ 푢 = 푡 − 1 ⟹ 푑푢 = 푑푡 para el primer caso ∫ 
푑푡 
1 − t 
Para el segundo caso: 푢 = 푡2 ⟹ 푑푢 = 2푡푑푡 y como 푣 = 푢 + 1 ⟹ 푑푣 = 푑푢
퐼 = − ∫ 
푑푢 
푢 
+ 
1 
2 
∫ 
푑푢 
1 + 푢 
⟹ 퐼 = − ∫ 
푑푢 
푢 
+ 
1 
2 
∫ 
푑푣 
푣 
퐼 = − ln|푢| + 
1 
2 
ln|푣| + 푐 
퐼 = − ln|푡푔푥 + 1| + ln|푡푔2 + 1| + 푐 
Pág. 112 
I 
2 
x dx 
 3 3 2 
x x 
 
1   (1  
) 
14. 
 
2 
x dx 
   
 
3 3 2 
1 x (1 x ) 
I 
3 2 2 
1    2 .  
3 
t dt 
2 
2 . 
3 
x 
dx 
x t t dt x dx 
 
t dt 
. 2 
2 
t dt 
2 . 
3 
2 
x 
x 
   
3 t  
t 
 
2 2 2 3 2 
 
 
 
 
. 
(1 ) 
3 
3 
( ) 
2 
2 
t dt 
t t 
t t 
I 
 
dt 
t dt 
2 
. 
  t t 
3 1 
 
 t 
1 
2 
3 
Z 1tdz  dt 
4 
4 
 z  z t 
dz 
2 
2 
I      1 
z 
3 
3 
2 
3 
3 
4 
I    x C 3 1 1 
3 
Pág. 113 
ퟏퟗ. ∫ 
풙 − √풙 − ퟐ ퟑ 
풙ퟐ − ퟑ√(풙− ퟐ)ퟐ 
풅풙 = 푰 
퐼 = ∫ 
(푥 − √푥 − 2 3 ) 
(푥 − √푥 − 2 3 )(푥 + √푥 − 2 3 ) 
푑푥 
퐼 = ∫ 
푑푥 
푥 + √푥 − 2 3 
푥 − 2 = 푡3 → 푑푥 = 3푡2. 푑푡
푥 = 푡3 + 2 → 푡 = √푥 − 2 3 
퐼 = ∫ 
3푡2푑푡 
(푡3+ 2) + 3√푡3 = ∫ 
3푡2푑푡 
푡3 + 푡 + 2 
푢 = 푡3 + 푡 + 2 
푢 = (푡3 + 1)푑푥 
퐼 = ∫ 
(3푡2 + 1 − 1)푑푡 
푡3 + 푡 + 2 
= ∫ 
(3푡2 + 1)푑푡 
푡3 + 푡 + 2 
− ∫ 
푑푡 
푡3 + 푡 + 2 
퐼1 = ∫ 
(3푡2 + 1)푑푡 
푡3 + 푡 + 2 
= ∫ 
푑푢 
푢 
= ln|푢| = ln|푡3 + 푡 + 2| 
퐼2 = ∫ 
푑푡 
푡3 + 푡 + 2 
= ∫ 
푑푡 
(푡3 + 1) + (푡 + 1) 
푡3 + 1 = (푡 + 1)(푡2 − 푡 + 1) 
퐼2 = ∫ 
푑푡 
(푡 + 1)(푡2 − 푡 + 1) + (푡 + 1) 
= ∫ 
푑푡 
(푡 + 1)(푡2 − 푡 + 2) 
1 
(푡 + 1)(푡2 − 푡 + 2) 
= 
퐴 
(푡 + 1) 
+ 
퐵푡 + 퐶 
푡2 − 푡 + 2 
= 
퐴(푡2 − 푡 + 2) + (푡 + 1)(퐵푡 + 퐶) 
(푡 + 1)(푡2 − 푡 + 2) 
1 = 퐴(푡2 − 푡 + 2) + (푡 + 1)(퐵푡 + 퐶) 
1 = 퐴푡2 − 퐴푡 + 퐴 + 퐵푡2 + 퐶푡 + 푏푡 + 푐 
1 = 푡2(퐴 + 퐵) + 푡(−퐴 + 퐵 + 퐶) + (2퐴 + 푐) 
→ 퐴 + 퐵 = 0 … … … … … . . (∗) 
→ −퐴 + 퐵 + 퐶 = 0 … … … (∗∗) 
→ 2퐴 + 퐶 = 1 … … … … … (∗∗∗) 
(∗) + (∗∗∗) 
퐴 + 퐵 = 0 
2퐴 + 퐶 = 1 
3퐴 + 퐵 + 퐶 = 1 
… … … … … (1) 
(1)푦(∗∗) 
3퐴 + 퐵 + 퐶 = 1 
−(−퐴 + 퐵 + 퐶) = 0 
4퐴 = 1 
퐴 = 
1 
4
∎퐻푎푙푙표 퐵: 
퐴 + 퐵 = 0 → 퐵 = − 
1 
4 
∎퐻푎푙푙표 퐶: 
2퐴 + 퐶 = 1 → 퐶 = 1 − 
1 
2 
→ 퐶 = 
1 
2 
퐼2 = ∫ 
푑푡 
(푡 + 1)(푡2 − 푡 + 2) 
= ∫ [ 
1 
4 
(푡 + 1) 
+ 
− 
1 
4 
푡 + 
1 
2 
푡2 − 푡 + 2 
] 푑푡 
퐼2 = ∫ [ 
1 
4 
(푡 + 1) 
+ 
− 
1 
4 
푡 
푡2 − 푡 + 2 
+ 
1 
2 
푡2 − 푡 + 2 
]푑푡 
퐼2 = 
1 
4 
∫ 
푑푡 
푡 + 1 
− 
1 
4 
∫ 
푡푑푡 
푡2 − 푡 + 2 
+ 
1 
2 
∫ 
푑푡 
푡2 − 푡 + 2 
푎 = ∫ 
푑푡 
푡 + 1 
= ln|푡 + 1| 
푏 = ∫ 
푡푑푡 
푡2 − 푡 + 2 
= 
1 
2 
∫ 
(2푡 − 1 + 1) 
푡2 − 푡 + 2 
푑푡 = 
1 
2 
∫ 
(2푡 − 1) 
푡⏟2 − 푡 + 2 
푏1 
+ 
1 
2 
∫ 
푑푡 
⏟ 푡 2 − 푡 + 2 
푏2 
푏1 = ∫ 
(2푡 − 1) 
푡2 − 푡 + 2 
푑푡 = ln|푡2 − 푡 + 2| + 푐 
푏2 = ∫ 
푑푡 
푡2 − 푡 + 2 
= ∫ 
푑푡 
(푡 − 
1 
2 
2 = 
2 
+ √7 
) 
4 
1 
√7 
4 
푎푟푐 tan 
푡 − 
( 
1 
2 
√7 
4 ) 
푏2 = 
2 
√7 
푎푟푐 tan ( 
2푡 − 1 
√7 
) 
푏 = 
1 
2 
ln|푡2 − 푡 + 2| + 
1 
2 
[ 
2 
√7 
푎푟푐 tan [ 
2푡 − 1 
√7 
]] 
푏 = 
1 
2 
ln|푡2 − 푡 + 2| + 
1 
√7 
푎푟푐 tan [ 
2푡 − 1 
√7 
] 
푐 = ∫ 
푑푡 
푡2 − 푡 + 2 
= ∫ 
푑푡 
(푡 − 
1 
2 
2 = 
2 
+ √7 
) 
4 
1 
√7 
4 
푎푐푡 tan 
푡 − 
( 
1 
2 
√7 
4 ) 
푐 = 
2 
√7 
푎푟푐 tan ( 
2푡 − 1 
√7 
)
→ 퐼2 = 
1 
4 
ln|푡 + 1| − 
1 
4 
[ 
1 
2 
ln|푡2 − 푡 + 1| + 
1 
√7 
푎푟푐 tan ( 
2푡 − 1 
√7 
)] + 
1 
2 
[ 
2 
√7 
2푡 − 1 
√7 
푎푟푐 tan ( 
)] 
→ 퐼2 = 
1 
4 
ln|푡 + 1| − 
1 
8 
ln|푡2 − 푡 + 2| − 
1 
4√7 
푎푟푐 tan ( 
2푡 − 1 
√7 
) + 
1 
√7 
2푡 − 1 
√7 
푎푟푐 tan ( 
) 
 
  
 
ln 2 3 2 t 
arc 
  
  
 
 
   
 
  
  
 
1 
1 
          
2 1 
7 
tan 
1 
7 
2 1 
7 
tan 
1 
4 7 
ln 2 
8 
ln 1 
4 
t 
I t t t t t arc 
1 
3 2 
3 3 2 / 3 1/ 3 
  
  
1 
1 
2 1 
1 
1 
I x x x x x 
   
 
   
3 3 
x x 
 
 
 
2 2 1 
  
 
c 
 
 
 
2 2 1 
1 
 x 
  
 
  
2 1 
 x 
  
c 
arc 
 
 
 
 
 
 
 
 
 
1 
1 
1 
1 
1 
I x x x x x arc 
c 
t 
arc 
t 
I t t t t t arc 
 
 
 
 
 
 
 
 
 
 
 
 
 
 
 
 
            
 
             
   
 
  
 
   
 
  
 
          
2 2 1 
7 
1 
arctan 
7 
2 2 1 
7 
4 7 
ln 2 ( 2) 2 
8 
ln 2 1 
4 
ln 2 
7 
arctan 
7 
7 
4 7 
ln 2 ( 2) 2 
8 
ln 2 1 
4 
ln 2 2 2 
7 
7 
7 
4 7 
ln 2 
8 
ln 1 
4 
ln 2 
3 
3 
3 3 2 / 3 1/ 3 
tan 
tan 
tan tan 
ퟐퟑ. ∫ √ 
풙 
풙 − 풂 
풅풙 = 푰 
퐼 = ∫ 
푥 
√푥 − 푎√푥 
푑푥 = ∫ 
푥. 푑푥 
√푥2 − 푎푥 
푢 = 푥2 − 푎푥 
푑푢 = (2푥 − 푎)푑푥 
퐼 = 
1 
2 
∫ 
[2푥 − 푎 + 푎]푑푥 
√푥2 − 푎푥 
= 
1 
2 
∫ 
(2푥 − 푎)푑푥 
√푥2 − 푎푥 
⏟ 
퐼1 
+ 
푎 
2 
∫ 
푑푥 
√⏟푥 2 − 푎 푥 
퐼2 
퐼1 = ∫ 
(2푥 − 푎)푑푥 
√푥2 − 푎푥 
= ∫ 
푑푢 
√푢 
= [2√푢] = 2√푥2 − 푎푥 
퐼2 = ∫ 
푑푥 
√푥2 − 푎푥 
= ∫ 
푑푥 
√(푥 − 
푎 
2 
푎 
2 
)2 − ( 
)2 
푢2 = 푥 − 
푎 
2 
푑푢2 = 푑푥
퐼2 = ∫ 
푑푢 
√푢2 
푎 
2 
2 − ( 
)2 
= 퐿푛 |푢2 + √푢2 
푎 
2 
2 − ( 
)2| = 퐿푛 |푥 − 
푎 
2 
+ √푥2 − 푎푥| 
퐼 = 
1 
2 
(2√푥2 − 푎푥) + 
푎 
2 
퐿푛 |푥 − 
푎 
2 
+ √푥2 − 푎푥| 
푥 
푥 − 푎 
∴ ∫ √ 
푑푥 = √푥2 − 푎푥 + 
푎 
2 
퐿푛 |푥 − 
푎 
2 
+ √푥2 − 푎푥| + 푐 
arcSen x 
  
dx 
x 
1 2 
2 
27. 
x arcSen u 2   
dx 
x dx 
(2 ) .2. 
2 
 x 
 x x 
du 
1 2 2 1 2 
1 
2 
1/ 2 
 
 
 
 
 
1 2 
1 2 
 
I 
1 
x 
dx 
v 
x 
dx 
dv   
  
 
  
  
  
x 
dx 
I 
1 2 
1 
du 
2 
x u du dx dx 
        
1 2 2 1 1 1  
 u  x v x 
du 
1 
2 1 
1                
I 2 1 2 1 2 
u 
du 
u 
2 
2 
     
 
    
x dx 
arcSen x 
1 2 
   
 
 
x x 
dx arcSen x x 
x 
2 . 1 2 
2 . 1 2 
1 2 
2 
dx 
2 
 
2 
2 . 1 2 
I 
x 
 arcSen x  x   
  
dx 
x 
I 
2 
2 
2 2 2 
2 
2 2 
du 
 x  u du  dxdx 
du 
du 
1 
2 1 
      u  u  x 
I 2 2 
u 
u 
2 
2 
2 2 
2 2 
2 
arcSen x 
 dx arcSen x x x c 
      
 
x 
2 . 1 2 2 
1 2 
2 
Pág. 114 
ퟑퟏ. ∫ 
풔풆풏ퟐ 풙풅풙 
풂 + 풃 풄풐풔ퟐ 풙 
= 푰 
푡 = 푡푔푥 → 푥 = 푎푟푐푡푔(푡) 
푑푥 = 
−푑푡 
푡2 
푠푒푛푥 = 
푡 
√1 + 푡2 
; 푐표푠푥 = 
1 
√1 + 푡2 
퐼 = ∫ 
푠푒푛2푥. 푑푥 
푎 + 푏 푐표푠 2푥 
퐼 = ∫ 
푡2 
1 + 푡2 (– 
푑푡 
푡2) 
푎 + 
푏 
1 + 푡2 
= − ∫ 
푡2푑푡 
푡2(1 + 푡2) 
(1 + 푡2)푎 + 푏 
1 + 푡2 
= − ∫ 
푑푡 
(1 + 푡2)푎 + 푏 
퐼 = − ∫ 
푑푡 
푎푡2 + 푎 + 푏 
= − ∫ 
푑푡 
(√푎푡) 
2 
+ √푎 + 푏 
2 
푧 = √푎푡 ⟶ 푑푧 = √푎푑푡 
⟹ 퐼 = − 
1 
√푎 
∫ 
√푎푑푡 
(√푎푡) 
2 = − 
2 
+ √푎 + 푏 
1 
√푎 
∫ 
푑푧 
2 
(푧) 2 + √푎 + 푏 
⟹ 퐼 = − 
1 
√푎 
[ 
1 
√푎 + 푏 
푎푟푐푡푔 ( 
푧 
)] = − 
√푎 + 푏 
1 
√푎2푏 + 푎푏 
푎푟푐푡푔 ( 
√푎푡 
√푎 + 푏 
) 
⟹ 퐼 = − 
1 
√푎2푏 + 푎푏 
푎푟푐푡푔 ( 
√푎푡푔푥 
√푎 + 푏 
) + 푐
Pág. 115 
 
x 
4 
  
 
dx I 
x 
2 
39. 
 
x 
4 
 dx 
   
x x 
I 
2 4 
 
x 
x 
4 
4 
 dx 
  
 
   
 
  
x x x 
dx 
x x 
I 
2 8 2 4 
(2 )(4 ) 
 
 
4 
x 
  
 
8 2 
x x 
2 I 
8 2  2 8 2 2        x x x x     811 2 x       2 2 2 2  x 1  9  9  x 1  3  (x 1) 
dx 
  
xdx 
2 2 2 3 ( 1) 8 2 
  
 
  
 
  
2 
1 
4 
I I 
x x 
x 
I 
dx 
I 1 1 
 u x du dx 
1 1 
      
2 2 
x 
3  (  
1) 
 
  
1 
  
 
 
 
  
 
 
3 
1 
3 3 
2 
1 
2 
1 
x 
arcSen 
u 
arcSen 
u 
dx 
I 
xdx 
          
I 8 2 2 2 
 u x x du x dx 
x x 
8 2 
  
2 
2 
2 
2 
2 
  
   
dx 
  
 
(2  
2 ) 
x dx 
  
  
x dx 
2  2  
2 
  
  
2 
  
a b 
x x 
x x 
x x 
I 
1 
2 2 2 
2 
2 8 2 
8 2 
2 
8 2 
1 
2 
 2  
2 
x  
dx 
du 
       
 2 
  
2 
2 
2 
2 2 8 2 
8 2 
u x x 
u 
x x 
a 
 
  
dx 
dx 
   
 
 
  
 
  
 
3 
1 
8 2 3 ( 1)2 2 2 
x 
arcSen 
x 
x x 
b 
    
 
 
 
1 2 
     
3 
1 
2 8 2 
2 
2 
x 
I x x arcSen
 
 
  
 
     
3 
1 
8 2 2 x 
x x arcSen 
 
 
 
4 2 x 
x x arcSen 
 
 
 
  
 
 
      
  
 
  
3 
1 
8 2 
3 
1 
x 
I arcSen 
 
 
4 2 x 
x x arcSen 
  
 
 
     
  
 
  
3 
1 
8 2 
3 
1 
x 
I arcSen 
 2 8 2 
x x c 
x 
 
  
arcSen I      
 
2 
1 
3 
ퟒퟑ. ∫ 
풆ퟐ풙 
ퟑ√ퟏ+ 풆풙 풅풙 = 푰 
du 
x 
x x x 
e 
1 e  u  e  u 1  e dx  du  dx  
u  
1 
e 
du 
. 
e 
     
u 
        
du 
3 
1 
3 
1 
3 
1 
3 
1 
3 
1 
u 
.du 
u 
.du I 
u 
.du I 
u 
I 
e 
u 
I 
x 
x 
2x 
3 
    2 
3 
I   u du   u du  I     3 
    
2 
3 
2 
3 
5 
3 
1 
3 
2 
2u 5 (u) 
10 
u 2u 5 I 
3 
10 
3 
u I 
2 
3 
u 
5 
 
 2 
2(1 e x ) 5  1 e 
x  3 
3 
I     
10 
2e 31 e  C 
3 
I 3 
10 
2 
x x    
Pág. 116 
ퟒퟕ. ∫ 
퐝퐱 
퐱ퟒ + 퐚ퟐ 퐱ퟐ + 퐚ퟒ = 퐈 
x a x a x ax a x ax a  identidad de Argand 4 2 2 4 2 2 2 2         
1 
Cx D 
Ax  
B 
4 2 2 4 2 2 2 2 
x a x a   
x ax a 
x ax a 
 
 
  
 
  
 Ax  B  x 2  ax  a 2    Cx  D  x 2  ax  
a 
2 
 
 x 2  ax  a 2  x 2  ax  
a 
2  
 
Ax aAx a Ax Bx aBx a B Cx aCx a Cx Dx aDx a D 3 2 2 2 2 3 2 2 2 2 1           
x A C x  aA B aC D x aB a C aD  a B a D 3 2 2 2 2 1               
  
A C 
                                 
0 1 
    
aA B aC D 
                            
0 2 
      
aB a C aD B aC D aC D B 
               
1 
  4 
1 
0 0 3 
2 
2 
2 2 
                        
a 
a B a D B D 
 aA B  B  aA 2B  02B  aA   (2) y(3) 
HALLO C 
  
    
3 
2 
1 
1 
0 
a 
C 
aC 
a 
B D aC 
  
   
: reemplazo (4) en (3) 
HALLO A 
A C 
  
A C 
1 
3 
0 
: 
a 
  
A 
  
reemplazo C en (1)
HALLOB 
2 
B aA 
1 
2 
3 
2 
1 
2 
2 
1 
2 
: 
a 
B 
a 
B 
a 
 
B  
a 
 
  
reemplazo A en ((2)y(3)) 
: 
1 
HALLOD 
   
1 1 
  
2 2 
2 1 
3 
2 
2 
2 
3 
2 
2 
a 
D 
a 
D 
a a 
D 
a 
B D 
  
 
 
reemplazo B en (4) 
1 1 
x 
x 
3 2 2 
a 
a 
a 
I a 
 2 2 
 
 
 
 
 
 
 
 
 
 
 
 
 
 
  
 
 
 
  
3 3 
2 2 
1 3 
2 
x ax a 
x ax a 
x 
1 1 
dx 
xdx 
dx 
  
3 2 2 3 2 2 3 2 2 2 
3 2 2       
  
 
  
 
  
1 3 
2 
x ax a 
x ax a a 
x ax a a 
x ax a a 
a 
I 
    
x a a dx 
2 1 
x a a dx 
2 1 
1 1 
dx 
dx 
 
 
 
 
  
  
I  
     
3 2 2 2 2 2 2 2 3 2 2 2 
  
* ** 
3 
2 
2 
2 
I I 
x ax a 
x ax a a 
x ax a a 
x ax a 
a 
 
 
 
  
 
  
  
 
 
 
  
 
  
dx 
x a 
2 2 
1 
dx 
x a dx 
*  3  2 2  2 2  2 2  2 2 
  
  
 
 
 
 
 
 
  
 
 
  
 
  
 
 
  
2 
x ax a 
a 
x ax a 
x ax a 
a 
x ax a 
a 
I 
2 2 2 
2 2 
2 2 
3 
2 
  
 
   4 2 
3 
 
 
  
2   
 
  
 
 
 
 
     
 
a a 
x 
a a 
x ax a x 
2 2 
2 2 
3 
 
 
 
 
 2  
2 
 
 
 
 
 
 
 
     
 
 
a a 
x ax a x
  
 
 
 
 
 
 
 
 
 
a 
1 2 2 2 2 
 
* 3  
a 
 
 
 
 
 
 
  
 
 
 
 
  
 
 
    
 
 
 
  
 
 
 
 
  
 
 
 
  
 
 
  
 
    
3 
2 
2 
3 
2 
ln 
3 
2 
2 
1 
3 
2 
ln 
2 
a 
x 
arctg 
a 
a 
x ax a 
a 
x 
arctg 
a 
x ax a a 
a 
I 
퐼 ∗∗= 
1 
2푎2 [ 
1 
√3 
2 
푎 
푎푟푐푡푔 ( 
푥 + 
푎 
2 
√3푎 
2 
)] + 
3 
2푎3 [ 
1 
√3푎 
2 
푎푟푐푡푔 ( 
푥 − 
푎 
2 
√3푎 
2 
)] 
퐼 = 퐼(∗) + 퐼(∗∗) 
퐼 = 
1 
2푎3 푙푛|푥 2 − 푎푥 + 푎2| − 
1 
√3푎3 
푎푟푐푡푔 ( 
2푥 + 푎 
√3푎 
) 
− 
1 
2푎3 푙푛|푥 2 − 푎푥 + 푎2 | − 
1 
√3푎3 
푎푟푐푡푔 ( 
2푥 − 푎 
√3푎 
) 
+ 
1 
√3푎3 
푎푟푐푡푔 ( 
푥 + 푎 
√3푎 
) + 
3 
√3푎4 
푎푟푐푡푔 ( 
푥 − 푎 
√3푎 
) + 푐 
51. ∫ √ퟏ − 풄풐풔풙 풅풙 = 푰 
1 Cosx dx 2Sen2  
  
1 cos x 
2 
x 
2 
 
1 cos x cos 
x 
2 
 
 
 
 
 
    
 
 
 
 
I     
 
 
 
 
 
 
x 
x 
x 
 dx 
    
 
 
 
   
 
 
 
   
 
 
 
2 
dx I 2 Sen 
2 
dx I 2 Sen 
2 
I 2Sen2 
      
du dx du 
dx 
u 
x 
2 
2 2 
I  2 2Senu.du  I  2 2Senu.du  I  2 2cosu 
 
 
 
 
  
 
 
 
   
 
 
 
 
  
 
 
 
 
     
 
 
  
 
 
 
 
 
 
 
  
1 cosx 
2 
I 2 2 
1 cosx 
2 
I 2 2 
x 
2 
I 2 2 cos 
I  2 1 cos x  C
ퟓퟓ. ∫ 
풙풆풂풙풅풙 
(ퟏ + 풂풙)ퟐ = 푰 
Integracionpor partes 
    
ax ax ax ax 
u xe du e axe dx e ax dx 
       
dx 
dx 
  
      
xe 
ax 
2 2 
 
 
    
   
xe 
ax ax 
  
a ax 
e 
ax 
dx 
a 
 
I 
  
 
 
1 
1 
      
u u 
 
       
xe 
du 
e 
ax ax 
  
e 
a 
u ax 
e 
e 
u 
2 2 
a x a a x 
x 
e 
dx 
a 
e 
e 
du 
ax 
 
 
 
 
   
 
        
 
e 
  
c 
a ax 
I 
a ax 
a ax 
e 
a ax 
e 
a ax a 
I 
I e 
a 
a ax 
I 
a 
a 
e du 
a 
du 
a 
a 
a 
I 
a 
I 
u ax du adx dx 
e ax dx 
a ax a ax 
I 
a ax 
v 
ax 
dv 
ax 
dv 
ax 
ax 
ax ax ax 
 
 
  
 
   
 
  
 
 
   
 
  
 
 
   
 
  
 
 
 
   
 
 
   
 
 
  
  
 
 
 
 
  
 
  
 
   
 
  
 
 
   
1 
1 1 1 
1 
1 
1 
1 
1 
1 
1 
1 
1 
1 
1 
1 1 
1 
2 
3 3 2 
2 
2 
2 1 2 1 2 2 
1 
1 
1 
1 1 
1 
1 
1 1
ퟓퟗ. ∫ 퐜퐭퐠퐡−ퟏ ( 
퐱 
퐚 
) 퐝퐱 = 퐈 
xdx 
  
 
x 
x 
 
 
 
 
 
dv dx v x 
    
 
 
2 
   
xdx 
x 
 
  
1 2 2 
x  
a 
 
 
2 2 
u x a du xdx 
du 
xdx 
 
x 
x 
1 
1 
2 1 
    
x 
 
 
 
2 2 
2 
1 
x a c 
1 
2 2 
1 
1 
2 2 
1 
     
a 
x 
a 
x 
. ( ) 
 
ln 
2 
dx x ctgh 
x 
a 
ctgh 
x a c 
a 
a 
I x arcCtgh 
u x a 
u 
x a 
I 
x a 
a 
x 
a 
xarcCtg 
a 
a 
xdx 
a 
dx xarcCtg 
a 
I ctgh 
a 
a 
dx 
du 
a 
u arcCtgh 
dx 
a 
I ctgh 
 
I 
     
 
 
 
 
 
    
 
 
    
 
  
  
 
  
 
 
   
 
 
 
 
  
 
  
 
 
    
 
 
 
  
 
 
 
 
 
  
 
  
1 1 2 2 
1 
2 2 
2 
1 
2 
1 
ln 
2 
. ( ) 
ln 
2 
ln 
2 
2 
2 
2 
( ) 
1 
( ) 
1 
1 
Pág. 118 
퐬퐞퐧ퟐ퐱 
퐜퐨퐬 ퟏퟒ퐱 
ퟕퟏ. ∫ √ 
퐝퐱 = 퐈 
ퟑ
dt 
2 
dt 
t 
  
1 
2 
    
  
  
  
  
t t 
dt 
dt t t dt t dt t 
2 2 3 2 
t t 
t 
I 
    
 
 
 
3 
3 
3 
5 / 3 11/ 3 5/ 3 2 
I t t t t 
    
3 
I tg x tg x  c 
dt 
 
t 
t 
t 
t 
t 
t 
t 
I 
t 
x 
t 
t 
senx 
t 
t tgx dx 
   
1 
 
 
 
 
 
 
 
 
 
 
 
 
 
 
   
   
 
5 11 
55 
(5 11) 
55 
11 
5 
1 
1 
1 
1 
1 
1 
1 
1 
1 
1 
1 
1 
1 
, cos 
1 
1 
3 5 2 
2 2 / 3 2 / 3 8/ 3 
2 
2 
3 
2 2 6 
3 2 
2 6 
2 
3 2 
2 7 
2 
2 2 
ퟕퟓ. ∫ 
퐞퐱 (퐱ퟐ − ퟖ) 
(퐱 − ퟐ)ퟐ 퐝퐱 = 퐈 
푢 = ex (x2 − 8) 
du = (x2 − 8)ex + ex (2x) 
du = ex (x2 − 8 + 2x) 
du = ex [(x + 1)2 − 32] = ex [(x − 2)(x + 4)] 
푑푣 = 
푑푥 
(푥 − 2)2 
푣 = − 
1 
(푥 − 2) 
퐼 = 
−ex(x2 − 8) 
(푥 − 2) 
− ∫ [− 
1 
푥 − 2 
] [ex(푥 − 2)(푥 + 4)] 
퐼 = 
−ex(x2 − 8) 
(푥 − 2) 
− ∫ ex(x + 4) 
⏟ 
퐼1 
퐼1 = 푢 = (푥 + 4) 
푑푢 = 푑푥 
푑푣 = 푒푥 푑푥 
푣 = 푒푥 
퐼 = 
−ex(x2 − 8) 
(푥 − 2) 
+ (푥 + 4)푒푥 − ∫ 푒푥 푑푥
퐼 = 
−ex(x2 − 8) 
(푥 − 2) 
+ (푥 + 4)푒푥 − 푒푥 
−(푥2 + 8) 
퐼 = 푒푥 ( 
푥 − 2 
+ 푥 + 4 − 1) 
−(푥2 + 8) 
퐼 = 푒푥 ( 
푥 − 2 
+ 푥 + 3 
−푥2 + 8 + 푥2 + 3푥 − 2푥 − 6 
퐼 = 푒푥 ( 
(푥 − 2) 
) 
퐼 = 
ex(x2 + 2) 
(푥 − 2) 
+ 푐 
----------------------------------------------------------------------------------------------------------------------------------------

ejercicios de integrales indefinidas (Analisis matematico )

  • 1.
    UNIVERSIDAD NACIONAL DELA AMAZONIA PERUANA Facultad de Ingeniería de Sistemas e Informática ANÁLISIS MATEMÁTICO II TRABAJO PRÁCTICO TEMA : EJERCICIOS DE TÓPICOS DE CALCULO (Máximo Mitacc-Luis Toro) CATEDRÁTICO : Lic. MANUEL TUESTA MORENO INTEGRANTES :  ROJAS GONZALES MIGUEL ANGEL.  HERNANDEZ JAUYA PAUL MARTÍN NIVEL : II CICLO : III IQUITOS –JULIO DEL 2009-PERÚ
  • 2.
    EL PRESENTE TRABAJOPRÁCTICO ES UNA COLECCIÓN DE PROBLEMAS DE INTEGRALES INDEFINIDAS, EXTRAIDAS DEL LIBRO: “TOPICOS DE CALCULO (VOL.II)” DE MAXIMO MITACC-LUIS TORO, CON SUS RESPECTIVAS SOLUCIONES DESARROLLADOS POR LOS ALUMNOS A CARGO.
  • 3.
    Ejercicios Pág. 83 ------------------- -----------------------------------------|SOLUCIONARIO|------------------------------------------------------- ퟏ. ∫ ퟒ풙ퟐ + ퟔ 풙ퟑ + ퟑ풙 풅풙 = ∫ 4푥 2 + 6 푥 3 + 3푥 푑푥 ∙ 1 푥(푥 2 + 1) = 퐴 푥 + 퐵(2푥) + 퐶 푥 2 + 3 = ∫ 4푥 2 푥(푥 2 + 3) 푑푥 + ∫ 6 푥(푥 2 + 3) 푑푥 1 = 퐴(푥 2 + 3) + (2퐵푥 + 퐶)푥 = 4 ∫ 푥 (푥2+3) 푑푥 + 6 ∫ 푑푥 푥(푥2+3) 1 = 퐴푥 2 + 3퐴 + 2퐵푥 2 + 퐶푥 = 4 ∫ 푥 (푥2+3) 푑푥 + 6 [1 3 ∫ 푑푥 푥 − 1 3 ∫ 푥 (푥2+3) 푑푥] 1 = 푥 2(퐴 + 2퐵) + 푥퐶 + 3퐴 = 4 ∫ 푥 (푥2+3) 푑푥 + 2 ∫ 푑푥 푥 − 2 ∫ 푥 (푥2+3) 푑푥 퐴 = 1 3 ; 퐶 = 0 ; 퐵 = − 1 6 = 2 ∫ 푑푥 푥 + 2 ∫ 푥 (푥2+3) 푑푥 푥 2 + 3 = 푢 = 2 ln|푥| + 2 ∫ 푥 푢 (푑푢 2푥 ) 2푥푑푥 = 푑푢 ⇒ 푑푥 = 푑푢 2푥 = ln|푥|2 + ln|푢| = ln(푥)2 + ln(푥 2 + 3) = ln[푥 2(푥2 + 3)] + 퐶
  • 4.
    Pág. 84 ퟓ.∫ 풙ퟐ + 풙 − ퟏ 풙ퟑ − 풙ퟐ − 풙 + ퟏ 풅풙 = ∫ 푥(푥 + 1) − 1 (푥 − 1)2(푥 + 1) 푑푥 = ∫ 푥(푥 + 1) (푥 − 1)2(푥 + 1) 푑푥 + ∫ 푑푥 (푥 − 1)2(푥 + 1) ∙ 1 (푥 − 1)2(푥 + 1) = 퐴 (푥 − 1) + 퐵 (푥 − 1)2 + 퐶 (푥 + 1) ∙ 1 = A(x − 1)(x + 1) + B(x − 1) + C(x − 1)2 ∙ 1 = Ax2 − A + Bx + B + Cx2 − 2Cx + C ∙ 1 = x2(A + C) + x(B − 2C) + (−A + B + C) 퐴 = − 1 4 ; 퐵 = 1 2 ; 퐶 = 1 4 = ∫ 푥 (푋 − 1)2 푑푥 − [− 1 4 ∫ 푑푥 (푥 − 1) + 1 2 ∫ 푑푥 (푋 − 1)2 + 1 4 ∫ 푑푥 (푥 + 1) ] = ∫ 푥 푑푥 + 1 (푋−1) 2 4 ∫ 푑푥 (푥−1) − 1 2 ∫ 푑푥 − 1 (푋−1)2 4 ∫ 푑푥 (푥+1) 푥 − 1 = 푢 ; 푥 + 1 = 푣 푥 = 푢 + 1 푑푥 = 푑푣 = ∫ 푢+1 푢2 푑푢 + 1 4 ∫ 푑푢 푢 − 1 2 ∫ 푑푢 푢2 − 1 4 ∫ 푑푣 푣 푑푥 = 푑푢 = ∫ 푢 푢2 푑푢 + ∫ 푑푢 푢2 + 1 4 ln|푥 − 1| − 1 2 (− 1 (푥−1) ) − 1 4 ln|푥 + 1| = ln|푥 − 1| − 1 (푥−1) + 1 4 ln|푥 − 1| + 1 2(푥−1) − 1 4 ln|푥 + 1| = − 1 2(푥 − 1) + 5 4 ln|푥 − 1| − 1 4 ln|푥 + 1| + 퐶
  • 5.
    ퟗ. ∫ ퟐ풙ퟐ− ퟑ풙 − ퟑ (풙 − ퟏ)(풙ퟐ − ퟐ풙 + ퟓ) 풅풙 = 푰 ∙ 푥2 − 2푥 + 5 = (푥 − 1)2 + 4 퐼 = ∫ 푥2 − 푥 − 8 + 푥2 − 2푥 + 5 (푥 − 1)(푥2 − 2푥 + 5) 푑푥 퐼 = ∫ 푥(푥 − 1) (푥 − 1)(푥2 − 2푥 + 5) − 8 ∫ 푑푥 (푥 − 1)(푥2 − 2푥 + 5) + ∫ (푥2 − 2푥 + 5) (푥 − 1)(푥2 − 2푥 + 5) 푑푥 퐼 = ∫ 푥푑푥 푥2 − 2푥 + 5 − 8 ∫ 푑푥 (푥 − 1)[(푥 − 1)2 + 4] + ∫ 푑푥 (푥 − 1) ∙ 푥 − 1 = 푢 → 푥 = 푢 + 1 ∙ 푑푥 = 푑푢 퐼 = ∫ (푢 + 1) 푢2 + 4 푑푢 − 8 ∫ 푑푥 푢(푢2 + 4) + ∫ 푑푢 푢 퐼 = ∫ 푢 푑푢 푢2 + 4 + ∫ 푑푢 푢2 + 4 − 8 ∫ 푑푢 푢(푢2 + 4) + ∫ 푑푢 푢 1 푢(푢2 + 4) = 퐴 푢 + 퐵(2푢) + 푐 푢2 + 4 ∙ 1 = 퐴(푢2 + 4) + (2퐵푢 + 푐)푢 4퐴 = 1 → 퐴 = 1 4 ∙ 1 = 퐴푢2 + 4퐴 + 2퐵푢2 + 푢퐶 퐶 = 0 ∙ 1 = 푢2(퐴 + 2퐵) + 푢퐶 + 4퐴 퐴 + 2푏 = 0 → 퐵 = − 1 8 퐼 = ∫ 푢 푑푢 푢2 + 4 + ∫ 푑푢 푢2 + 4 1 4 − 8[ ∫ 푑푢 푢 − 1 4 ∫ 푢 푑푢 푢2 + 4 ] + ∫ 푑푢 푢 퐼 = ∫ 푢 푑푢 푢2 + 4 + ∫ 푑푢 푢2 + 4 − 2 ∫ 푑푢 푢 − 2 ∫ 푢 푑푢 푢2 + 4 ] + ∫ 푑푢 푢 퐼 = 3 ∫ 푢 푑푢 푢2 + 4 − ∫ 푑푢 푢 + ∫ 푑푢 푢2 + 4 ∙ 푢2 + 4 = 푡 → 푡 = 푢2 + 4 = (푥 − 1) 2 + 4 = 푥2 − 2푥 + 5 ∙ 2푢 푑푢 = 푑푡 ∙ 푢 = (푥 − 1) ∙ 푑푢 = 푑푡 2푢
  • 6.
    퐼 = 3∫ 푢 푡 푑푢 2푢 ( ) − ∫ 푑푢 푢 + ∫ 푑푢 푢2 + 4 퐼 = 3 2 퐿푛|푡| − 푙푛|푢| + 1 2 푢 2 푎푟푐푡푔 ( ) + 푐 퐼 = 3 2 퐿푛|푥2 − 2푥 + 5| − 푙푛|푥 − 1| + 1 2 푥 − 1 2 푎푟푐푡푔 ( ) + 푐 Pág.85------------------------------------- ퟏퟑ. ∫ ퟐ풙 풙ퟒ + 풙ퟐ + ퟏ 풅풙 = 푰 퐼 = 2 ∫ 4푥 푑푥 4(푥4 + 푥2 + 1) 퐼 = 2 ∫ 4푥 푑푥 4푥4 + 4푥2 + 1 + 3 퐼 = 2 ∫ 4푥 푑푥 (2푥2 + 1) 2 + 3 푢 = 2푥2 + 1 푑푢 = 4푥푑푢 푑푥 = 푑푢 4푥 퐼 = 2 ∫ 4푥푑푢 (푢2 + 3)4푥 퐼 = 2 ∫ 푑푢 푢2 + 3 = 2 ∫ 푑푢 푢2 + (√3)2 1 √3 = 2 ( 푢 √3 푎푟푐푡푔 ( )) + 푐 퐼 = 2 √3 푎푟푐푡푔 ( 2푥2 + 1 √3 ) + 푐 ퟏퟕ. ∫ 풅풙 풙ퟖ + 풙ퟔ = 푰 퐼 = ∫ 푑푥 푥6(푥2 + 1) = ∫ 푥6 + 1 − 푥6 푥6(푥2 + 1) = ∫ (푥6 + 1)푑푥 푥6(푥2 + 1) − ∫ 푥6푑푥 푥6(푥2 + 1) 퐼 = ∫ (푥2 + 1)(푥4 − 푥2 + 1)푑푥 푥6(푥2 + 1) − ∫ 푑푥 (푥2 + 1) 퐼 = ∫ 푑푥 푥2 − ∫ 푑푥 푥4 + ∫ 푑푥 푥6 − ∫ 푑푥 푥2 + 1 퐼 = − 1 푥 + 1 3푥3 − 1 5푥5 − 푎푟푐푡푔 푥 + 푐
  • 7.
    dt   3 9 3 3 D (t 1) C      t dx B t dt 9x A t 1 1  2 3 1  At (t  1)  Bt (t  1)  C(t  1)  Dt 3 2 2 3 1 At At Bt Bt Ct C Dt dt        3 2 1  t (A  D)  t (B  A)  t(C  B)  (  C) A D B A C B C         0 0 0 1 D B A C B C        1 0 1  C 1 1     1 18(x 1) 1 dt 1 dt 1 9(x 1) dt 1 1 dt ln x 1 9 1 1   9ln x I ln x 18(x 1)  9(x 1) ln x 1 9 9 I ln x 2(x 1) (x 1) ln x 1 9 I t 1 t t t 9 I 1 1 1 1 (t 1)t 9 I x t 9 I x.t I dt 9x x 1 t x t 1 9x .dx dt dx x(x 1) 21. 9 9 2 9 9 9 2 9 9 9 9 2 9 2 3 2 3 8 8 9 9 8 9 3                                                            D A - B
  • 8.
    Pág.86  I   x Senx Senx Cosx  .dx  4 (x Cosx 4 1). 25. Cosx (x 1)( Senx) (x 1)( Senx) Cosx I 4 4   .dx            (x 1).Cosx .dx (x 1).Cosx .dx I (x 1).Cosx 4 4 4 dx 4 x 1   .dx   Senx Cosx  I I 1 2 I   Senx.Cosx Senx I 2 1 1 2    .dx u Senx Cosx.dx 2u.du       1  Sen x .dx I Cosx du 2u 2 I 2 2 (1- u )(1 u )   .du  I  2u 1- u .du I u .2u 1 u 2 4 1 4 1 2 1      1    Aplicar una identidad : 2 2  a u 1 a - u 2u a - u arctgu u  1   I 1 2 2 1 2 2 1  u 1 1 Ln 2     I  du 1 u du 1- u .du I 1 1 u 1 1 u               arctg( Senx ) Senx  1 I1  Senx 1 1 Ln 2   4 4 2 2 2 2 2          x 1 x 2x 1- 2x (x 1) ( 2x) (x 1 2x)(x 1 2x) dx x 1 I 2 2 2 4         dx I 2 2 2       (x 1 2x)(x 1 2x) C(2x 2) D A(2x  2)  B 4 2 2    A(2x  2)  B  x 2  2x  1    C(2x  2)  D  x 2  2x  1  (x 2x 1)(x 2x 1) 1 1 x 1 (x 2x 1) (x 2x 1) x 1 2 2 4              
  • 9.
                   1  x (2A  2C)  x (2 2C  2 2A  2A  2C  B  D)  x(2A  2C  2A  2C  2B  2D)  ( 2A  B  2C  D)     2A  2C  0 2(C  A)  B  D  0 2(D  B)  0 2(A  C)  B  D  1 1 4 y D 8 2 , C 1 4 , B 2 8 A 3 2 2x 1 2 2x 1 C(2x 2) D x 2 1 A(2x 2) B x       I  2 2 2 2 2 2x  2 2x  2 dx 1 2 dx 1                x 2x 1 4 x 2x 1 8 x 2x 1 4 .dx x 2x 1 2 8   2     arctg( 2x 1) 2 4 arctg( 2x 1) 2 4 2 x 2x 1 x 2x 1 Ln 2 8 I 2    Rpta I I I Senx  1 1 2    C 2   2 x  2x  1          arctg( 2x 1) 4 arctg( 2x 1) 4 x 2x 1 Ln 2 8 arctg( Senx) Senx 1 Ln 2 I 2 1 2
  • 10.
    Pág. 101 xdx 2. 4  x  x 5 x 2 dx     x x 5 1) 1 1 ( -1 , 2 . M .C.M (2, 5) 10 5 1 Fracciones :   10 9 dtt 10. ) t (     t [(t ) 5 1] 1 2 1 10 10 t x 9 10  dx  10t dt 5 9 t .t dt 10 10 -2    t (t 1) 14 t dt    10 1 t ( 1) 10 2 t t dt    10 1 t t ( ) 10 2 2 t 14 14 t dt 10 8 2    t (1 t ) 6 dt t t 4 10 )dt  2   t 1 10 (t 2 1 t 4     t 4 t 2 4      dt 10 t dt 10 2    1 t    )dt 10 t dt 10 (t 2 1 t 4 2 2 4 2 t dt 1 4 2     10 t dt 10 t dt 10 (1 2 10 t dt 10 t dt 10 )dt    2     1 t 1 t     4 2 dt     2 10 5 3 1      10 t dt 10 t dt 10 dt 10 t 10t 10[ arctg. ] C      1 t 2t 1 3 t 1 10 1 1 3 Rpta 2x 10 x 10 10x 10 10arctgx C 3 2 1      dx              M.C.M  5 , 4        x 1 t 4t dt dx x 1 x 1 4 3 4 4 3 5 6. 4 4 3 3 dt 4t dt 4t dt    3 2 2         3 3 5 1 t I 4 t (1 t ) I t t I C x  1  1 x 1 1 I 4ln t  1 t 1 I 4ln 4 4       
  • 11.
    Pág. 102 1ퟖ.∫ 풅풙 풙ퟐ √풙ퟐ − ퟐ풙 + ퟒ = 푰 2 1 1     tdt t t    t t  tdt t t      t t dt t dt    2         1 2 4 ( 2 8 )        1 2 8 1 2 8 2      2  8  1   dt du t dt t dt    t dt            1       1 1 3 1 2 2 1 I t t t t t 2 2 c           1 1      1 1      2 1 2 4 1 1 1           x x x x x I dt dt      x x x x x I t t t t dt t t I u t t u t t I t t t t t t I u t t du t dt I t t t tdt t t t t t t t t I t dt dx x t t x I I                                                                                                                                      2 2 2 2 2 2 2 2 2 1 2 2 2 2 2 2 2 2 2 2 2 2 2 2 2 2 2 4 1 2 ln 4 1 4 1 4 1 1 2 2 ln 2 4 4 1 1 2 4 1 2 4 2 ln 2 4 2 1 2 4 8 1 2 4 2 ln 2 4 2 2 1 2 4 2 2 1 2 4 1 2 4 4 1 2 4 1 2 4 8 1 2 4 8 1 2 4 4 2 4 1 2 4 1 2 4 1 1 2 4 1 2 1 1 1 2
  • 12.
      I dx x x x      2 4 1 22. 2    1 c dt     3 1 x dt          1 I arcSen x   1 arcSen x      arcSen t t I arcSen t dt t dt t dt t  t dt t t dt I t t t t dt t t t I t dx x t t x t x             3             3                  1                                                                 2 3 2 1 3 1 2 3 3 3 1 3 1 3 1 3 3 1 3 3 1 3 1 8 1 4 4 1 4 2 1 1 2 4 1 1 2 1 2 1 1 2 2 2 2 2 2 2 2 2 2 2   dx I x x    3 1/ 2 3 1 34. 1/ 2   1/ 3 1/ 3 x x dx I 1    1        t 1/ 2      I x t  1/ 3 2 2 2 4 2            6 5 3 6 I t t dt x t dt t t dt t dt t dt x    2 / 3 6 3 I  x   x  c dt x t x t x dx tdt dx          1/ 3 5 / 2 1/ 3 3 / 2 1/ 3 2 2 / 3 1/ 3 2 2 / 3 1 2 1 5 5 6 6 1 6 6 6 6 2 3 1
  • 13.
    Pág. 105 ퟑퟖ.∫ 풅풙 풙ퟐ (ퟏ + 풙ퟐ ) ퟑ ⁄ퟐ = ∫ 푥 −2(1 + 푥 2)−3 ⁄2 푑푥 1 + 푥2 = 푡2 푥2 ⇒ 푡 = (1+푥2 ) 1 ⁄2 푥 = − ∫(푡2 − 1)(푡2푥 2)−3 ⁄2 푡푑푡 푥−3 푡2 = 푥 −2 + 1 ⇒ 푑푥 = −푡푑푡 푥−3 = − ∫(푡2 − 1)푡−3 푡 푑푡 = − ∫(1 − 푡−2)푑푡 = − (∫ 푑푡 − ∫ 푡 −2 ) = −푡 + ( −1 푡 ) = − (1 + 푥 2)1 ⁄2 푥 − 푥 (1 + 푥 2)1 ⁄2 + 퐶 ퟒퟐ. ∫ ퟏ ⁄ퟑ √ퟏ + 풙 풙 ퟐ ⁄ퟑ 풅풙 = ∫ 푥 −2 ⁄3 (1 + 푥 1 ⁄3) 1 ⁄2 푑푥 1 + 푥 1 ⁄2 1 ⁄3 = 푡2 ⇒ 푡 = (1 + √푥 3 ) = ∫ 푥 −2 ⁄3 (푡2)1 ⁄2 6푡푑푡 푥 −2 ⁄3 1 3 푥 −2 ⁄3푑푥 = 2푡푑푡 ⇒ 푑푥 = 6푡푑푡 푥 −2 ⁄3 = 6 ∫ 푡2 푑푡 푡3 3 = 6 ( ) 1 ⁄2 = 2푡3 = 2 [(1 + √푥 3 ) 3 = 2(1 + √푥 3 ) ] 3 ⁄2 + 퐶
  • 14.
    ퟒퟔ. ∫ 풙ퟓ+ ퟐ풙ퟐ (ퟏ + 풙ퟑ )ퟑ/ퟐ 풅풙 = 푰 5 2 x 2 x (1  )      I x x dx x x dx x t x x t             (1 ) 2 (1 ) 1   tdt 2   2        2 3  2  2 2 I  x t dt  t dt   4 2  2  2 2 I  t  t dt  t dt   4 2 2 I dt t dt t dt C    x     2 2 I  t  t dt  2 I x tdt x x dx tdt dx tdt x x t x I x t x I         3 3 2 2 2 2 2 2 2 3 2 2 2 2 3 5 2 2 2 3 3 2 3 2 2 3 3 5 3 2 3 3 3 2 3 3 3 3 3 3 3 ( 1) 3 ) 3 2( 3 2 3 3 2 3 2 ( ) 3 ( ) 1 1 1 t 1 3 Pág. 110 ퟑ. ∫ 풅풙 ퟐ + 풔풆풏풙 = 푰 푥 2 푧 = 푡푔 ( ) 푑푥 = 2푑푧 1 + 푧2 푠푒푛푥 = 2푧 1 + 푧2 퐼 = ∫ 2푑푧 1 + 푧2 2 + 2푧 1 + 푧2 퐼 = ∫ 2푑푧 1 + 푧2 2 + 2푧2 + 2푧 1 + 푧2 = ∫ 2푑푧 2푧2 + 2푧 + 2 = ∫ 푑푧 푧2 + 푧 + 1 퐼 = ∫ 푑푧 (푧 + 1 2 1 2 )2 − ( ) 2 + 1 = ∫ 푑푧 (푧 + 1 2 2 )2 + √3 4 퐼 = 1 √3 4 푎푟푐푡푔 푧 + ( 1 2 √3 4 ) = 2 √3 2푧 + 1 √3 푎푟푐푡푔 ( ) = 2 √3 2푡푔 ( 푎푟푐푡푔 ( 푥 2 ) + 1 √3 ) + 푐
  • 15.
    ퟕ. ∫ 풅풙 풔풆풏ퟐ ퟒ풙 + 풕품ퟐ ퟒ풙 = 푰 dt 4(1 t )  dx  t tg4x 4x arctg t dt 1 t    4dx 2 2    2 2 t 1 1 t cos4x 1 t sen4x     dt 1                               t  2 2 2 2 2 2 2 1 1 1 1 t 1 t 4 I t t t dt 1 dt 1 1  1  t  2 2 4 4 2        t   1 t 1  t  2 2 2 2 2 2 t 2t 4 t t 4 1 t 1 t dt 4 I t dt 1  2 2 t 2 t     4 I   2   2  2   A t 2 t B 2 t t Ct D 2  2  1 Ct D B A  2 2 2 2 2 t  t (2 ) 2 t t t t t            1  (2 ) 2  ( ) 2 2 2  A t  t  B  t  t Ct  D 3 2 3 2 1 2At  At  Bt  2B Ct  Dt 1 t (A C) t (B D) t(2A) 2B 3 2       A C C     0 0 B D D      0 1/ 2 A A 2  0   0 B B 2  1   1/ 2
  • 16.
      dt  1 1 1    2 2 t 2 t t t I           2 0 2 0 4 1 2 1 1 I 2 2 2   dt             t  t 2 4 1 1 1 dt dt    1         2 2 2 2 2 8 2 8 8 2 8 t dt t dt t t I    1 1  t                   1 2 2 1 8 8 1 arctg t I    1 t       1 8 2 2 8 arctg t I     1 1 1 t            2 2 8 arctg t I c tg x     4 1 1 arctg x ctg I             2 2 4 8 ퟏퟏ. ∫ ퟏ + 풕품풙 ퟏ − 풕품풙 풅풙 푡푔푥 = 푡; 푑푥 = 푑푡 1 + 푡2 1 + 푡 1 − 푡 퐼 = ∫ ( ) ( 푑푡 1 + 푡2) = ∫ (1 + 푡) (1 − 푡)(1 + 푡2) 퐼 = 1 + 푡 (1 − 푡)(1 + 푡2) = 퐴 1 + 푡 + 퐵푡 + 퐶 1 + 푡2 ⟹ 퐴 + 퐴푡2 + 퐵푡 + 퐶 − 퐵푡2 − 퐶푡 (1 − 푡)(1 + 푡2) 퐴 + 퐵 = 1; 퐵 − 퐶 = 1; 퐴 − 퐵 = 0 퐴 − 퐶 = 1 퐴 + 퐶 = 1 퐴=1; 퐵=1; 퐶=0 퐼 = ∫ 푑푡 1 − 푡 + ∫ 푡푑푡 1 + 푡2 ⟹ 푢 = 푡 − 1 ⟹ 푑푢 = 푑푡 para el primer caso ∫ 푑푡 1 − t Para el segundo caso: 푢 = 푡2 ⟹ 푑푢 = 2푡푑푡 y como 푣 = 푢 + 1 ⟹ 푑푣 = 푑푢
  • 17.
    퐼 = −∫ 푑푢 푢 + 1 2 ∫ 푑푢 1 + 푢 ⟹ 퐼 = − ∫ 푑푢 푢 + 1 2 ∫ 푑푣 푣 퐼 = − ln|푢| + 1 2 ln|푣| + 푐 퐼 = − ln|푡푔푥 + 1| + ln|푡푔2 + 1| + 푐 Pág. 112 I 2 x dx  3 3 2 x x  1   (1  ) 14.  2 x dx     3 3 2 1 x (1 x ) I 3 2 2 1    2 .  3 t dt 2 2 . 3 x dx x t t dt x dx  t dt . 2 2 t dt 2 . 3 2 x x    3 t  t  2 2 2 3 2     . (1 ) 3 3 ( ) 2 2 t dt t t t t I  dt t dt 2 .   t t 3 1   t 1 2 3 Z 1tdz  dt 4 4  z  z t dz 2 2 I      1 z 3 3 2 3 3 4 I    x C 3 1 1 3 Pág. 113 ퟏퟗ. ∫ 풙 − √풙 − ퟐ ퟑ 풙ퟐ − ퟑ√(풙− ퟐ)ퟐ 풅풙 = 푰 퐼 = ∫ (푥 − √푥 − 2 3 ) (푥 − √푥 − 2 3 )(푥 + √푥 − 2 3 ) 푑푥 퐼 = ∫ 푑푥 푥 + √푥 − 2 3 푥 − 2 = 푡3 → 푑푥 = 3푡2. 푑푡
  • 18.
    푥 = 푡3+ 2 → 푡 = √푥 − 2 3 퐼 = ∫ 3푡2푑푡 (푡3+ 2) + 3√푡3 = ∫ 3푡2푑푡 푡3 + 푡 + 2 푢 = 푡3 + 푡 + 2 푢 = (푡3 + 1)푑푥 퐼 = ∫ (3푡2 + 1 − 1)푑푡 푡3 + 푡 + 2 = ∫ (3푡2 + 1)푑푡 푡3 + 푡 + 2 − ∫ 푑푡 푡3 + 푡 + 2 퐼1 = ∫ (3푡2 + 1)푑푡 푡3 + 푡 + 2 = ∫ 푑푢 푢 = ln|푢| = ln|푡3 + 푡 + 2| 퐼2 = ∫ 푑푡 푡3 + 푡 + 2 = ∫ 푑푡 (푡3 + 1) + (푡 + 1) 푡3 + 1 = (푡 + 1)(푡2 − 푡 + 1) 퐼2 = ∫ 푑푡 (푡 + 1)(푡2 − 푡 + 1) + (푡 + 1) = ∫ 푑푡 (푡 + 1)(푡2 − 푡 + 2) 1 (푡 + 1)(푡2 − 푡 + 2) = 퐴 (푡 + 1) + 퐵푡 + 퐶 푡2 − 푡 + 2 = 퐴(푡2 − 푡 + 2) + (푡 + 1)(퐵푡 + 퐶) (푡 + 1)(푡2 − 푡 + 2) 1 = 퐴(푡2 − 푡 + 2) + (푡 + 1)(퐵푡 + 퐶) 1 = 퐴푡2 − 퐴푡 + 퐴 + 퐵푡2 + 퐶푡 + 푏푡 + 푐 1 = 푡2(퐴 + 퐵) + 푡(−퐴 + 퐵 + 퐶) + (2퐴 + 푐) → 퐴 + 퐵 = 0 … … … … … . . (∗) → −퐴 + 퐵 + 퐶 = 0 … … … (∗∗) → 2퐴 + 퐶 = 1 … … … … … (∗∗∗) (∗) + (∗∗∗) 퐴 + 퐵 = 0 2퐴 + 퐶 = 1 3퐴 + 퐵 + 퐶 = 1 … … … … … (1) (1)푦(∗∗) 3퐴 + 퐵 + 퐶 = 1 −(−퐴 + 퐵 + 퐶) = 0 4퐴 = 1 퐴 = 1 4
  • 19.
    ∎퐻푎푙푙표 퐵: 퐴+ 퐵 = 0 → 퐵 = − 1 4 ∎퐻푎푙푙표 퐶: 2퐴 + 퐶 = 1 → 퐶 = 1 − 1 2 → 퐶 = 1 2 퐼2 = ∫ 푑푡 (푡 + 1)(푡2 − 푡 + 2) = ∫ [ 1 4 (푡 + 1) + − 1 4 푡 + 1 2 푡2 − 푡 + 2 ] 푑푡 퐼2 = ∫ [ 1 4 (푡 + 1) + − 1 4 푡 푡2 − 푡 + 2 + 1 2 푡2 − 푡 + 2 ]푑푡 퐼2 = 1 4 ∫ 푑푡 푡 + 1 − 1 4 ∫ 푡푑푡 푡2 − 푡 + 2 + 1 2 ∫ 푑푡 푡2 − 푡 + 2 푎 = ∫ 푑푡 푡 + 1 = ln|푡 + 1| 푏 = ∫ 푡푑푡 푡2 − 푡 + 2 = 1 2 ∫ (2푡 − 1 + 1) 푡2 − 푡 + 2 푑푡 = 1 2 ∫ (2푡 − 1) 푡⏟2 − 푡 + 2 푏1 + 1 2 ∫ 푑푡 ⏟ 푡 2 − 푡 + 2 푏2 푏1 = ∫ (2푡 − 1) 푡2 − 푡 + 2 푑푡 = ln|푡2 − 푡 + 2| + 푐 푏2 = ∫ 푑푡 푡2 − 푡 + 2 = ∫ 푑푡 (푡 − 1 2 2 = 2 + √7 ) 4 1 √7 4 푎푟푐 tan 푡 − ( 1 2 √7 4 ) 푏2 = 2 √7 푎푟푐 tan ( 2푡 − 1 √7 ) 푏 = 1 2 ln|푡2 − 푡 + 2| + 1 2 [ 2 √7 푎푟푐 tan [ 2푡 − 1 √7 ]] 푏 = 1 2 ln|푡2 − 푡 + 2| + 1 √7 푎푟푐 tan [ 2푡 − 1 √7 ] 푐 = ∫ 푑푡 푡2 − 푡 + 2 = ∫ 푑푡 (푡 − 1 2 2 = 2 + √7 ) 4 1 √7 4 푎푐푡 tan 푡 − ( 1 2 √7 4 ) 푐 = 2 √7 푎푟푐 tan ( 2푡 − 1 √7 )
  • 20.
    → 퐼2 = 1 4 ln|푡 + 1| − 1 4 [ 1 2 ln|푡2 − 푡 + 1| + 1 √7 푎푟푐 tan ( 2푡 − 1 √7 )] + 1 2 [ 2 √7 2푡 − 1 √7 푎푟푐 tan ( )] → 퐼2 = 1 4 ln|푡 + 1| − 1 8 ln|푡2 − 푡 + 2| − 1 4√7 푎푟푐 tan ( 2푡 − 1 √7 ) + 1 √7 2푡 − 1 √7 푎푟푐 tan ( )     ln 2 3 2 t arc                1 1           2 1 7 tan 1 7 2 1 7 tan 1 4 7 ln 2 8 ln 1 4 t I t t t t t arc 1 3 2 3 3 2 / 3 1/ 3     1 1 2 1 1 1 I x x x x x        3 3 x x    2 2 1    c    2 2 1 1  x      2 1  x   c arc          1 1 1 1 1 I x x x x x arc c t arc t I t t t t t arc                                                                   2 2 1 7 1 arctan 7 2 2 1 7 4 7 ln 2 ( 2) 2 8 ln 2 1 4 ln 2 7 arctan 7 7 4 7 ln 2 ( 2) 2 8 ln 2 1 4 ln 2 2 2 7 7 7 4 7 ln 2 8 ln 1 4 ln 2 3 3 3 3 2 / 3 1/ 3 tan tan tan tan ퟐퟑ. ∫ √ 풙 풙 − 풂 풅풙 = 푰 퐼 = ∫ 푥 √푥 − 푎√푥 푑푥 = ∫ 푥. 푑푥 √푥2 − 푎푥 푢 = 푥2 − 푎푥 푑푢 = (2푥 − 푎)푑푥 퐼 = 1 2 ∫ [2푥 − 푎 + 푎]푑푥 √푥2 − 푎푥 = 1 2 ∫ (2푥 − 푎)푑푥 √푥2 − 푎푥 ⏟ 퐼1 + 푎 2 ∫ 푑푥 √⏟푥 2 − 푎 푥 퐼2 퐼1 = ∫ (2푥 − 푎)푑푥 √푥2 − 푎푥 = ∫ 푑푢 √푢 = [2√푢] = 2√푥2 − 푎푥 퐼2 = ∫ 푑푥 √푥2 − 푎푥 = ∫ 푑푥 √(푥 − 푎 2 푎 2 )2 − ( )2 푢2 = 푥 − 푎 2 푑푢2 = 푑푥
  • 21.
    퐼2 = ∫ 푑푢 √푢2 푎 2 2 − ( )2 = 퐿푛 |푢2 + √푢2 푎 2 2 − ( )2| = 퐿푛 |푥 − 푎 2 + √푥2 − 푎푥| 퐼 = 1 2 (2√푥2 − 푎푥) + 푎 2 퐿푛 |푥 − 푎 2 + √푥2 − 푎푥| 푥 푥 − 푎 ∴ ∫ √ 푑푥 = √푥2 − 푎푥 + 푎 2 퐿푛 |푥 − 푎 2 + √푥2 − 푎푥| + 푐 arcSen x   dx x 1 2 2 27. x arcSen u 2   dx x dx (2 ) .2. 2  x  x x du 1 2 2 1 2 1 2 1/ 2      1 2 1 2  I 1 x dx v x dx dv            x dx I 1 2 1 du 2 x u du dx dx         1 2 2 1 1 1   u  x v x du 1 2 1 1                I 2 1 2 1 2 u du u 2 2           x dx arcSen x 1 2      x x dx arcSen x x x 2 . 1 2 2 . 1 2 1 2 2 dx 2  2 2 . 1 2 I x  arcSen x  x     dx x I 2 2 2 2 2 2 2 2 du  x  u du  dxdx 
  • 22.
    du du 1 2 1       u  u  x I 2 2 u u 2 2 2 2 2 2 2 arcSen x  dx arcSen x x x c        x 2 . 1 2 2 1 2 2 Pág. 114 ퟑퟏ. ∫ 풔풆풏ퟐ 풙풅풙 풂 + 풃 풄풐풔ퟐ 풙 = 푰 푡 = 푡푔푥 → 푥 = 푎푟푐푡푔(푡) 푑푥 = −푑푡 푡2 푠푒푛푥 = 푡 √1 + 푡2 ; 푐표푠푥 = 1 √1 + 푡2 퐼 = ∫ 푠푒푛2푥. 푑푥 푎 + 푏 푐표푠 2푥 퐼 = ∫ 푡2 1 + 푡2 (– 푑푡 푡2) 푎 + 푏 1 + 푡2 = − ∫ 푡2푑푡 푡2(1 + 푡2) (1 + 푡2)푎 + 푏 1 + 푡2 = − ∫ 푑푡 (1 + 푡2)푎 + 푏 퐼 = − ∫ 푑푡 푎푡2 + 푎 + 푏 = − ∫ 푑푡 (√푎푡) 2 + √푎 + 푏 2 푧 = √푎푡 ⟶ 푑푧 = √푎푑푡 ⟹ 퐼 = − 1 √푎 ∫ √푎푑푡 (√푎푡) 2 = − 2 + √푎 + 푏 1 √푎 ∫ 푑푧 2 (푧) 2 + √푎 + 푏 ⟹ 퐼 = − 1 √푎 [ 1 √푎 + 푏 푎푟푐푡푔 ( 푧 )] = − √푎 + 푏 1 √푎2푏 + 푎푏 푎푟푐푡푔 ( √푎푡 √푎 + 푏 ) ⟹ 퐼 = − 1 √푎2푏 + 푎푏 푎푟푐푡푔 ( √푎푡푔푥 √푎 + 푏 ) + 푐
  • 23.
    Pág. 115  x 4    dx I x 2 39.  x 4  dx    x x I 2 4  x x 4 4  dx          x x x dx x x I 2 8 2 4 (2 )(4 )   4 x    8 2 x x 2 I 8 2  2 8 2 2        x x x x     811 2 x       2 2 2 2  x 1  9  9  x 1  3  (x 1) dx   xdx 2 2 2 3 ( 1) 8 2         2 1 4 I I x x x I dx I 1 1  u x du dx 1 1       2 2 x 3  (  1)    1          3 1 3 3 2 1 2 1 x arcSen u arcSen u dx I xdx           I 8 2 2 2  u x x du x dx x x 8 2   2 2 2 2 2      dx    (2  2 ) x dx     x dx 2  2  2     2   a b x x x x x x I 1 2 2 2 2 2 8 2 8 2 2 8 2 1 2  2  2 x  dx du         2   2 2 2 2 2 8 2 8 2 u x x u x x a    dx dx            3 1 8 2 3 ( 1)2 2 2 x arcSen x x x b        1 2      3 1 2 8 2 2 2 x I x x arcSen
  • 24.
             3 1 8 2 2 x x x arcSen    4 2 x x x arcSen                   3 1 8 2 3 1 x I arcSen   4 2 x x x arcSen               3 1 8 2 3 1 x I arcSen  2 8 2 x x c x    arcSen I       2 1 3 ퟒퟑ. ∫ 풆ퟐ풙 ퟑ√ퟏ+ 풆풙 풅풙 = 푰 du x x x x e 1 e  u  e  u 1  e dx  du  dx  u  1 e du . e      u         du 3 1 3 1 3 1 3 1 3 1 u .du u .du I u .du I u I e u I x x 2x 3     2 3 I   u du   u du  I     3     2 3 2 3 5 3 1 3 2 2u 5 (u) 10 u 2u 5 I 3 10 3 u I 2 3 u 5   2 2(1 e x ) 5  1 e x  3 3 I     10 2e 31 e  C 3 I 3 10 2 x x    
  • 25.
    Pág. 116 ퟒퟕ.∫ 퐝퐱 퐱ퟒ + 퐚ퟐ 퐱ퟐ + 퐚ퟒ = 퐈 x a x a x ax a x ax a  identidad de Argand 4 2 2 4 2 2 2 2         1 Cx D Ax  B 4 2 2 4 2 2 2 2 x a x a   x ax a x ax a         Ax  B  x 2  ax  a 2    Cx  D  x 2  ax  a 2   x 2  ax  a 2  x 2  ax  a 2   Ax aAx a Ax Bx aBx a B Cx aCx a Cx Dx aDx a D 3 2 2 2 2 3 2 2 2 2 1           x A C x  aA B aC D x aB a C aD  a B a D 3 2 2 2 2 1                 A C                                  0 1     aA B aC D                             0 2       aB a C aD B aC D aC D B                1   4 1 0 0 3 2 2 2 2                         a a B a D B D  aA B  B  aA 2B  02B  aA   (2) y(3) HALLO C       3 2 1 1 0 a C aC a B D aC      : reemplazo (4) en (3) HALLO A A C   A C 1 3 0 : a   A   reemplazo C en (1)
  • 26.
    HALLOB 2 BaA 1 2 3 2 1 2 2 1 2 : a B a B a  B  a    reemplazo A en ((2)y(3)) : 1 HALLOD    1 1   2 2 2 1 3 2 2 2 3 2 2 a D a D a a D a B D     reemplazo B en (4) 1 1 x x 3 2 2 a a a I a  2 2                      3 3 2 2 1 3 2 x ax a x ax a x 1 1 dx xdx dx   3 2 2 3 2 2 3 2 2 2 3 2 2               1 3 2 x ax a x ax a a x ax a a x ax a a a I     x a a dx 2 1 x a a dx 2 1 1 1 dx dx         I       3 2 2 2 2 2 2 2 3 2 2 2   * ** 3 2 2 2 I I x ax a x ax a a x ax a a x ax a a                   dx x a 2 2 1 dx x a dx *  3  2 2  2 2  2 2  2 2                        2 x ax a a x ax a x ax a a x ax a a I 2 2 2 2 2 2 2 3 2       4 2 3     2                a a x a a x ax a x 2 2 2 2 3      2  2               a a x ax a x
  • 27.
               a 1 2 2 2 2  * 3  a                                              3 2 2 3 2 ln 3 2 2 1 3 2 ln 2 a x arctg a a x ax a a x arctg a x ax a a a I 퐼 ∗∗= 1 2푎2 [ 1 √3 2 푎 푎푟푐푡푔 ( 푥 + 푎 2 √3푎 2 )] + 3 2푎3 [ 1 √3푎 2 푎푟푐푡푔 ( 푥 − 푎 2 √3푎 2 )] 퐼 = 퐼(∗) + 퐼(∗∗) 퐼 = 1 2푎3 푙푛|푥 2 − 푎푥 + 푎2| − 1 √3푎3 푎푟푐푡푔 ( 2푥 + 푎 √3푎 ) − 1 2푎3 푙푛|푥 2 − 푎푥 + 푎2 | − 1 √3푎3 푎푟푐푡푔 ( 2푥 − 푎 √3푎 ) + 1 √3푎3 푎푟푐푡푔 ( 푥 + 푎 √3푎 ) + 3 √3푎4 푎푟푐푡푔 ( 푥 − 푎 √3푎 ) + 푐 51. ∫ √ퟏ − 풄풐풔풙 풅풙 = 푰 1 Cosx dx 2Sen2    1 cos x 2 x 2  1 cos x cos x 2              I           x x x  dx                    2 dx I 2 Sen 2 dx I 2 Sen 2 I 2Sen2       du dx du dx u x 2 2 2 I  2 2Senu.du  I  2 2Senu.du  I  2 2cosu                                         1 cosx 2 I 2 2 1 cosx 2 I 2 2 x 2 I 2 2 cos I  2 1 cos x  C
  • 28.
    ퟓퟓ. ∫ 풙풆풂풙풅풙 (ퟏ + 풂풙)ퟐ = 푰 Integracionpor partes     ax ax ax ax u xe du e axe dx e ax dx        dx dx         xe ax 2 2          xe ax ax   a ax e ax dx a  I     1 1       u u         xe du e ax ax   e a u ax e e u 2 2 a x a a x x e dx a e e du ax                  e   c a ax I a ax a ax e a ax e a ax a I I e a a ax I a a e du a du a a a I a I u ax du adx dx e ax dx a ax a ax I a ax v ax dv ax dv ax ax ax ax ax                                                                  1 1 1 1 1 1 1 1 1 1 1 1 1 1 1 1 1 1 2 3 3 2 2 2 2 1 2 1 2 2 1 1 1 1 1 1 1 1 1
  • 29.
    ퟓퟗ. ∫ 퐜퐭퐠퐡−ퟏ( 퐱 퐚 ) 퐝퐱 = 퐈 xdx    x x      dv dx v x       2    xdx x    1 2 2 x  a   2 2 u x a du xdx du xdx  x x 1 1 2 1     x    2 2 2 1 x a c 1 2 2 1 1 2 2 1      a x a x . ( )  ln 2 dx x ctgh x a ctgh x a c a a I x arcCtgh u x a u x a I x a a x a xarcCtg a a xdx a dx xarcCtg a I ctgh a a dx du a u arcCtgh dx a I ctgh  I                                                                1 1 2 2 1 2 2 2 1 2 1 ln 2 . ( ) ln 2 ln 2 2 2 2 ( ) 1 ( ) 1 1 Pág. 118 퐬퐞퐧ퟐ퐱 퐜퐨퐬 ퟏퟒ퐱 ퟕퟏ. ∫ √ 퐝퐱 = 퐈 ퟑ
  • 30.
    dt 2 dt t   1 2             t t dt dt t t dt t dt t 2 2 3 2 t t t I        3 3 3 5 / 3 11/ 3 5/ 3 2 I t t t t     3 I tg x tg x  c dt  t t t t t t t I t x t t senx t t tgx dx    1                      5 11 55 (5 11) 55 11 5 1 1 1 1 1 1 1 1 1 1 1 1 1 , cos 1 1 3 5 2 2 2 / 3 2 / 3 8/ 3 2 2 3 2 2 6 3 2 2 6 2 3 2 2 7 2 2 2 ퟕퟓ. ∫ 퐞퐱 (퐱ퟐ − ퟖ) (퐱 − ퟐ)ퟐ 퐝퐱 = 퐈 푢 = ex (x2 − 8) du = (x2 − 8)ex + ex (2x) du = ex (x2 − 8 + 2x) du = ex [(x + 1)2 − 32] = ex [(x − 2)(x + 4)] 푑푣 = 푑푥 (푥 − 2)2 푣 = − 1 (푥 − 2) 퐼 = −ex(x2 − 8) (푥 − 2) − ∫ [− 1 푥 − 2 ] [ex(푥 − 2)(푥 + 4)] 퐼 = −ex(x2 − 8) (푥 − 2) − ∫ ex(x + 4) ⏟ 퐼1 퐼1 = 푢 = (푥 + 4) 푑푢 = 푑푥 푑푣 = 푒푥 푑푥 푣 = 푒푥 퐼 = −ex(x2 − 8) (푥 − 2) + (푥 + 4)푒푥 − ∫ 푒푥 푑푥
  • 31.
    퐼 = −ex(x2− 8) (푥 − 2) + (푥 + 4)푒푥 − 푒푥 −(푥2 + 8) 퐼 = 푒푥 ( 푥 − 2 + 푥 + 4 − 1) −(푥2 + 8) 퐼 = 푒푥 ( 푥 − 2 + 푥 + 3 −푥2 + 8 + 푥2 + 3푥 − 2푥 − 6 퐼 = 푒푥 ( (푥 − 2) ) 퐼 = ex(x2 + 2) (푥 − 2) + 푐 ----------------------------------------------------------------------------------------------------------------------------------------