Simple Harmonic Motion
Simple Harmonic Motion
A particle that moves back and forward in such a way that its
acceleration at any instant is directly proportional to its distance from
a fixed point, is said to undergo Simple Harmonic Motion (SHM)
Simple Harmonic Motion
A particle that moves back and forward in such a way that its
acceleration at any instant is directly proportional to its distance from
a fixed point, is said to undergo Simple Harmonic Motion (SHM)
                                x
                               x
Simple Harmonic Motion
A particle that moves back and forward in such a way that its
acceleration at any instant is directly proportional to its distance from
a fixed point, is said to undergo Simple Harmonic Motion (SHM)
                                 x
                                x
                                 kx
                               x
Simple Harmonic Motion
A particle that moves back and forward in such a way that its
acceleration at any instant is directly proportional to its distance from
a fixed point, is said to undergo Simple Harmonic Motion (SHM)
                                 x
                                x
                                 kx
                               x
                                  n 2 x
                               x
Simple Harmonic Motion
A particle that moves back and forward in such a way that its
acceleration at any instant is directly proportional to its distance from
a fixed point, is said to undergo Simple Harmonic Motion (SHM)
                                 x
                                x
                                 kx
                               x
                                  n 2 x (constant needs to be negative)
                               x
Simple Harmonic Motion
A particle that moves back and forward in such a way that its
acceleration at any instant is directly proportional to its distance from
a fixed point, is said to undergo Simple Harmonic Motion (SHM)
                                 x
                                x
                                 kx
                               x
                                  n 2 x (constant needs to be negative)
                               x
            If a particle undergoes SHM, then it obeys;
                                 n 2 x
                              x
Simple Harmonic Motion
A particle that moves back and forward in such a way that its
acceleration at any instant is directly proportional to its distance from
a fixed point, is said to undergo Simple Harmonic Motion (SHM)
                                 x
                                x
                                 kx
                               x
                                  n 2 x (constant needs to be negative)
                               x
            If a particle undergoes SHM, then it obeys;
                                 n 2 x
                              x

                    d 1 2 
                        v   n x
                                 2

                    dx  2 
Simple Harmonic Motion
A particle that moves back and forward in such a way that its
acceleration at any instant is directly proportional to its distance from
a fixed point, is said to undergo Simple Harmonic Motion (SHM)
                                 x
                                x
                                 kx
                               x
                                  n 2 x (constant needs to be negative)
                               x
            If a particle undergoes SHM, then it obeys;
                                 n 2 x
                              x

                    d 1 2 
                        v   n x
                                     2

                    dx  2 
                          1 2      1 2 2
                            v   n x c
                          2        2
                            v 2  n 2 x 2  c
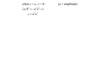
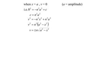
when x = a , v = 0   (a = amplitude)
when x = a , v = 0         (a = amplitude)
i.e. 0 2   n 2 a 2  c
      c  n2a 2
when x = a , v = 0             (a = amplitude)
i.e. 0 2   n 2 a 2  c
      c  n2a 2
    v 2  n 2 x 2  n 2 a 2
    v 2  n 2 a 2  x 2 
     v  n a 2  x 2
when x = a , v = 0                  (a = amplitude)
        i.e. 0 2   n 2 a 2  c
              c  n2a 2
            v 2  n 2 x 2  n 2 a 2
            v 2  n 2 a 2  x 2 
             v  n a 2  x 2

NOTE:                              v2  0
when x = a , v = 0                  (a = amplitude)
        i.e. 0 2   n 2 a 2  c
              c  n2a 2
            v 2  n 2 x 2  n 2 a 2
            v 2  n 2 a 2  x 2 
             v  n a 2  x 2

NOTE:                              v2  0
                          a2  x2  0
when x = a , v = 0                  (a = amplitude)
        i.e. 0 2   n 2 a 2  c
              c  n2a 2
            v 2  n 2 x 2  n 2 a 2
            v 2  n 2 a 2  x 2 
             v  n a 2  x 2

NOTE:                              v2  0
                         a2  x2  0
                         a  x  a
when x = a , v = 0                  (a = amplitude)
            i.e. 0 2   n 2 a 2  c
                  c  n2a 2
                v 2  n 2 x 2  n 2 a 2
                v 2  n 2 a 2  x 2 
                 v  n a 2  x 2

NOTE:                                  v2  0
                             a2  x2  0
                             a  x  a

 Particle travels back and forward between x = -a and x = a
dx
    n a 2  x 2
dt
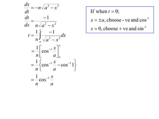
dx
    n a 2  x 2
dt                  If when t  0;
                    x   a, choose - ve and cos -1
                    x  0, choose  ve and sin -1
dx
    n a 2  x 2
dt                  If when t  0;
dt      1          x   a, choose - ve and cos -1
   
dx n a 2  x 2
                    x  0, choose  ve and sin -1
dx
    n a 2  x 2
dt                      If when t  0;
dt       1             x   a, choose - ve and cos -1
   
dx n a 2  x 2
                        x  0, choose  ve and sin -1
           1
       x
     1
 t  2            dx
     na a x     2
dx
    n a 2  x 2
dt                      If when t  0;
dt       1             x   a, choose - ve and cos -1
   
dx n a 2  x 2
                        x  0, choose  ve and sin -1
           1
       x
     1
 t  2            dx
     na a x     2

                 x
    1  1 x 
    cos 
    n     aa
dx
    n a 2  x 2
dt                            If when t  0;
dt       1                   x   a, choose - ve and cos -1
   
dx n a 2  x 2
                              x  0, choose  ve and sin -1
           1
       x
     1
 t  2            dx
     na a x     2

                 x
    1  1 x 
    cos 
    n        aa
    1  1 x              
    cos        cos 1 1
    n        a           
    1    1 x
    cos
    n       a
dx
    n a 2  x 2
dt                              If when t  0;
dt       1                     x   a, choose - ve and cos -1
   
dx n a 2  x 2
                                x  0, choose  ve and sin -1
           1
       x
     1
 t  2            dx
     na a x     2

                  x
     1  1 x 
    cos 
     n         aa
     1  1 x               
   cos           cos 1 1
     n         a           
     1        x
   cos 1
     n       a
           1 x
  nt  cos
              a
   x
      cos nt
   a
   x  a cos nt
In general;
In general;
  A particle undergoing SHM obeys
                 n 2 x
              x
In general;
  A particle undergoing SHM obeys
                      n 2 x
                   x

              v 2  n 2 a 2  x 2 
In general;
  A particle undergoing SHM obeys
                     n 2 x
                  x

              v 2  n 2 a 2  x 2   allows us to find path of the particle
In general;
  A particle undergoing SHM obeys
                     n 2 x
                  x

              v 2  n 2 a 2  x 2   allows us to find path of the particle

               x  a cos nt
In general;
  A particle undergoing SHM obeys
                     n 2 x
                  x

              v 2  n 2 a 2  x 2   allows us to find path of the particle

               x  a cos nt         OR x  a sin nt
                                    where a  amplitude
In general;
  A particle undergoing SHM obeys
                     n 2 x
                  x

              v 2  n 2 a 2  x 2   allows us to find path of the particle

               x  a cos nt         OR x  a sin nt
                                    where a  amplitude
the particle has;
In general;
  A particle undergoing SHM obeys
                     n 2 x
                  x

              v 2  n 2 a 2  x 2   allows us to find path of the particle

               x  a cos nt          OR x  a sin nt
                                     where a  amplitude
the particle has;
                           2
         period : T 
                            n
                                 1
         frequency : f 
                                 T
In general;
  A particle undergoing SHM obeys
                     n 2 x
                  x

              v 2  n 2 a 2  x 2   allows us to find path of the particle

               x  a cos nt          OR x  a sin nt
                                     where a  amplitude
the particle has;
                           2
         period : T                  (time for one oscillation)
                            n
                                 1
         frequency : f 
                                 T
In general;
  A particle undergoing SHM obeys
                     n 2 x
                  x

              v 2  n 2 a 2  x 2   allows us to find path of the particle

               x  a cos nt          OR x  a sin nt
                                     where a  amplitude
the particle has;
                           2
         period : T                  (time for one oscillation)
                            n
                                 1
         frequency : f               (number of oscillations
                                 T     per time period)
e.g. (i) A particle, P, moves on the x axis according to the law x = 4sin3t.
e.g. (i) A particle, P, moves on the x axis according to the law x = 4sin3t.
 a) Show that P is moving in SHM and state the period of motion.
e.g. (i) A particle, P, moves on the x axis according to the law x = 4sin3t.
 a) Show that P is moving in SHM and state the period of motion.
                        x  4 sin 3t
                        x  12 cos 3t
                        
                          36 sin 3t
                        x
e.g. (i) A particle, P, moves on the x axis according to the law x = 4sin3t.
 a) Show that P is moving in SHM and state the period of motion.
                        x  4 sin 3t
                        x  12 cos 3t
                        
                          36 sin 3t
                        x
                            9 x
e.g. (i) A particle, P, moves on the x axis according to the law x = 4sin3t.
 a) Show that P is moving in SHM and state the period of motion.
                         x  4 sin 3t
                         x  12 cos 3t
                          
                           36 sin 3t
                         x
                             9 x
                  particle moves in SHM
e.g. (i) A particle, P, moves on the x axis according to the law x = 4sin3t.
 a) Show that P is moving in SHM and state the period of motion.
                         x  4 sin 3t
                         x  12 cos 3t
                          
                           36 sin 3t
                         x
                             9 x
                  particle moves in SHM
                               2
                           T
                                3
e.g. (i) A particle, P, moves on the x axis according to the law x = 4sin3t.
 a) Show that P is moving in SHM and state the period of motion.
                         x  4 sin 3t
                         x  12 cos 3t
                          
                           36 sin 3t
                         x
                             9 x
                  particle moves in SHM
                               2
                           T
                                3
                                    2
             period of motion is        seconds
                                      3
e.g. (i) A particle, P, moves on the x axis according to the law x = 4sin3t.
 a) Show that P is moving in SHM and state the period of motion.
                           x  4 sin 3t
                           x  12 cos 3t
                           
                             36 sin 3t
                           x
                               9 x
                   particle moves in SHM
                                 2
                            T
                                  3
                                      2
               period of motion is        seconds
                                        3
  b) Find the interval in which the particle moves and determine the
     greatest speed.
e.g. (i) A particle, P, moves on the x axis according to the law x = 4sin3t.
 a) Show that P is moving in SHM and state the period of motion.
                           x  4 sin 3t
                           x  12 cos 3t
                           
                             36 sin 3t
                           x
                               9 x
                   particle moves in SHM
                                 2
                            T
                                  3
                                      2
               period of motion is        seconds
                                        3
  b) Find the interval in which the particle moves and determine the
     greatest speed.
               particle moves along the interval  4  x  4
                and the greatest speed is 12 units/s
(ii) A particle moves so that its acceleration is given by   4 x
                                                             x
     Initially the particle is 3cm to the right of O and traveling with a
     velocity of 6cm/s.
     Find the interval in which the particle moves and determine the
     greatest acceleration.
(ii) A particle moves so that its acceleration is given by   4 x
                                                             x
     Initially the particle is 3cm to the right of O and traveling with a
     velocity of 6cm/s.
     Find the interval in which the particle moves and determine the
     greatest acceleration.
           d 1 2 
               v   4 x
           dx  2 
(ii) A particle moves so that its acceleration is given by   4 x
                                                             x
     Initially the particle is 3cm to the right of O and traveling with a
     velocity of 6cm/s.
     Find the interval in which the particle moves and determine the
     greatest acceleration.
           d 1 2 
               v   4 x
           dx  2 
           1 2
             v  2 x 2  c
           2
             v 2  4 x 2  c
(ii) A particle moves so that its acceleration is given by   4 x
                                                             x
     Initially the particle is 3cm to the right of O and traveling with a
     velocity of 6cm/s.
     Find the interval in which the particle moves and determine the
     greatest acceleration.
           d 1 2 
               v   4 x
           dx  2 
           1 2
             v  2 x 2  c
           2
             v 2  4 x 2  c
        when x  3, v  6
       i.e. 6 2  43  c
                      2


                c  72
(ii) A particle moves so that its acceleration is given by   4 x
                                                             x
     Initially the particle is 3cm to the right of O and traveling with a
     velocity of 6cm/s.
     Find the interval in which the particle moves and determine the
     greatest acceleration.
           d 1 2 
               v   4 x
           dx  2 
           1 2
             v  2 x 2  c
           2
             v 2  4 x 2  c
        when x  3, v  6
       i.e. 6 2  43  c
                      2


                c  72
         v 2  4 x 2  72
(ii) A particle moves so that its acceleration is given by   4 x
                                                             x
     Initially the particle is 3cm to the right of O and traveling with a
     velocity of 6cm/s.
     Find the interval in which the particle moves and determine the
     greatest acceleration.
           d 1 2                               But v 2  0
               v   4 x
           dx  2                              4 x 2  72  0
           1 2                                     x 2  18
             v  2 x 2  c
           2
                                              3 2  x  3 2
             v 2  4 x 2  c
        when x  3, v  6
       i.e. 6 2  43  c
                      2


                c  72
         v 2  4 x 2  72
(ii) A particle moves so that its acceleration is given by   4 x
                                                             x
     Initially the particle is 3cm to the right of O and traveling with a
     velocity of 6cm/s.
     Find the interval in which the particle moves and determine the
     greatest acceleration.
           d 1 2                               But v 2  0
               v   4 x
           dx  2                              4 x 2  72  0
           1 2                                     x 2  18
             v  2 x 2  c
           2
                                              3 2  x  3 2
             v 2  4 x 2  c
        when x  3, v  6              when x  3 2,   43 2 
                                                     x
       i.e. 6 2  43  c
                      2                                   12 2
                c  72
         v 2  4 x 2  72
(ii) A particle moves so that its acceleration is given by   4 x
                                                             x
     Initially the particle is 3cm to the right of O and traveling with a
     velocity of 6cm/s.
     Find the interval in which the particle moves and determine the
     greatest acceleration.
           d 1 2                               But v 2  0
               v   4 x
           dx  2                              4 x 2  72  0
           1 2                                     x 2  18
             v  2 x 2  c
           2
                                              3 2  x  3 2
             v 2  4 x 2  c
        when x  3, v  6              when x  3 2,   43 2 
                                                     x
       i.e. 6 2  43  c
                      2                                   12 2
                c  72             greatest acceleration is 12 2 cm/s 2
         v 2  4 x 2  72
NOTE:
NOTE:   At amplitude;
             v=0
        a is maximum
NOTE:   At amplitude;
             v=0
        a is maximum



                     At centre;
                  v is maximum
                       a=0
NOTE:                      At amplitude;
                                v=0
                           a is maximum



                                           At centre;
                                        v is maximum
                                             a=0



   Exercise 3D; 1, 6, 7, 10, 12, 14ab, 15ab, 18, 19, 22, 24, 25
            (start with trig, prove SHM or are told)

Exercise 3F; 1, 4, 5b, 6b, 8, 9a, 10a, 13, 14 a, b(ii,iv), 16, 18, 19
                      (start with    n 2 x)
                                  x

12 x1 t07 03 simple harmonic motion (2012)

  • 1.
  • 2.
    Simple Harmonic Motion Aparticle that moves back and forward in such a way that its acceleration at any instant is directly proportional to its distance from a fixed point, is said to undergo Simple Harmonic Motion (SHM)
  • 3.
    Simple Harmonic Motion Aparticle that moves back and forward in such a way that its acceleration at any instant is directly proportional to its distance from a fixed point, is said to undergo Simple Harmonic Motion (SHM)  x x
  • 4.
    Simple Harmonic Motion Aparticle that moves back and forward in such a way that its acceleration at any instant is directly proportional to its distance from a fixed point, is said to undergo Simple Harmonic Motion (SHM)  x x   kx x
  • 5.
    Simple Harmonic Motion Aparticle that moves back and forward in such a way that its acceleration at any instant is directly proportional to its distance from a fixed point, is said to undergo Simple Harmonic Motion (SHM)  x x   kx x    n 2 x x
  • 6.
    Simple Harmonic Motion Aparticle that moves back and forward in such a way that its acceleration at any instant is directly proportional to its distance from a fixed point, is said to undergo Simple Harmonic Motion (SHM)  x x   kx x    n 2 x (constant needs to be negative) x
  • 7.
    Simple Harmonic Motion Aparticle that moves back and forward in such a way that its acceleration at any instant is directly proportional to its distance from a fixed point, is said to undergo Simple Harmonic Motion (SHM)  x x   kx x    n 2 x (constant needs to be negative) x If a particle undergoes SHM, then it obeys;    n 2 x x
  • 8.
    Simple Harmonic Motion Aparticle that moves back and forward in such a way that its acceleration at any instant is directly proportional to its distance from a fixed point, is said to undergo Simple Harmonic Motion (SHM)  x x   kx x    n 2 x (constant needs to be negative) x If a particle undergoes SHM, then it obeys;    n 2 x x d 1 2   v   n x 2 dx  2 
  • 9.
    Simple Harmonic Motion Aparticle that moves back and forward in such a way that its acceleration at any instant is directly proportional to its distance from a fixed point, is said to undergo Simple Harmonic Motion (SHM)  x x   kx x    n 2 x (constant needs to be negative) x If a particle undergoes SHM, then it obeys;    n 2 x x d 1 2   v   n x 2 dx  2  1 2 1 2 2 v   n x c 2 2 v 2  n 2 x 2  c
  • 10.
    when x =a , v = 0 (a = amplitude)
  • 11.
    when x =a , v = 0 (a = amplitude) i.e. 0 2   n 2 a 2  c c  n2a 2
  • 12.
    when x =a , v = 0 (a = amplitude) i.e. 0 2   n 2 a 2  c c  n2a 2 v 2  n 2 x 2  n 2 a 2 v 2  n 2 a 2  x 2  v  n a 2  x 2
  • 13.
    when x =a , v = 0 (a = amplitude) i.e. 0 2   n 2 a 2  c c  n2a 2 v 2  n 2 x 2  n 2 a 2 v 2  n 2 a 2  x 2  v  n a 2  x 2 NOTE: v2  0
  • 14.
    when x =a , v = 0 (a = amplitude) i.e. 0 2   n 2 a 2  c c  n2a 2 v 2  n 2 x 2  n 2 a 2 v 2  n 2 a 2  x 2  v  n a 2  x 2 NOTE: v2  0 a2  x2  0
  • 15.
    when x =a , v = 0 (a = amplitude) i.e. 0 2   n 2 a 2  c c  n2a 2 v 2  n 2 x 2  n 2 a 2 v 2  n 2 a 2  x 2  v  n a 2  x 2 NOTE: v2  0 a2  x2  0 a  x  a
  • 16.
    when x =a , v = 0 (a = amplitude) i.e. 0 2   n 2 a 2  c c  n2a 2 v 2  n 2 x 2  n 2 a 2 v 2  n 2 a 2  x 2  v  n a 2  x 2 NOTE: v2  0 a2  x2  0 a  x  a  Particle travels back and forward between x = -a and x = a
  • 17.
    dx  n a 2  x 2 dt
  • 18.
    dx  n a 2  x 2 dt If when t  0; x   a, choose - ve and cos -1 x  0, choose  ve and sin -1
  • 19.
    dx  n a 2  x 2 dt If when t  0; dt 1 x   a, choose - ve and cos -1  dx n a 2  x 2 x  0, choose  ve and sin -1
  • 20.
    dx  n a 2  x 2 dt If when t  0; dt 1 x   a, choose - ve and cos -1  dx n a 2  x 2 x  0, choose  ve and sin -1 1 x 1 t  2 dx na a x 2
  • 21.
    dx  n a 2  x 2 dt If when t  0; dt 1 x   a, choose - ve and cos -1  dx n a 2  x 2 x  0, choose  ve and sin -1 1 x 1 t  2 dx na a x 2 x 1  1 x   cos  n aa
  • 22.
    dx  n a 2  x 2 dt If when t  0; dt 1 x   a, choose - ve and cos -1  dx n a 2  x 2 x  0, choose  ve and sin -1 1 x 1 t  2 dx na a x 2 x 1  1 x   cos  n aa 1  1 x   cos  cos 1 1 n a  1 1 x  cos n a
  • 23.
    dx  n a 2  x 2 dt If when t  0; dt 1 x   a, choose - ve and cos -1  dx n a 2  x 2 x  0, choose  ve and sin -1 1 x 1 t  2 dx na a x 2 x 1  1 x   cos  n aa 1  1 x   cos  cos 1 1 n a  1 x  cos 1 n a 1 x nt  cos a x  cos nt a x  a cos nt
  • 24.
  • 25.
    In general; A particle undergoing SHM obeys    n 2 x x
  • 26.
    In general; A particle undergoing SHM obeys    n 2 x x v 2  n 2 a 2  x 2 
  • 27.
    In general; A particle undergoing SHM obeys    n 2 x x v 2  n 2 a 2  x 2   allows us to find path of the particle
  • 28.
    In general; A particle undergoing SHM obeys    n 2 x x v 2  n 2 a 2  x 2   allows us to find path of the particle x  a cos nt
  • 29.
    In general; A particle undergoing SHM obeys    n 2 x x v 2  n 2 a 2  x 2   allows us to find path of the particle x  a cos nt OR x  a sin nt where a  amplitude
  • 30.
    In general; A particle undergoing SHM obeys    n 2 x x v 2  n 2 a 2  x 2   allows us to find path of the particle x  a cos nt OR x  a sin nt where a  amplitude the particle has;
  • 31.
    In general; A particle undergoing SHM obeys    n 2 x x v 2  n 2 a 2  x 2   allows us to find path of the particle x  a cos nt OR x  a sin nt where a  amplitude the particle has; 2 period : T  n 1 frequency : f  T
  • 32.
    In general; A particle undergoing SHM obeys    n 2 x x v 2  n 2 a 2  x 2   allows us to find path of the particle x  a cos nt OR x  a sin nt where a  amplitude the particle has; 2 period : T  (time for one oscillation) n 1 frequency : f  T
  • 33.
    In general; A particle undergoing SHM obeys    n 2 x x v 2  n 2 a 2  x 2   allows us to find path of the particle x  a cos nt OR x  a sin nt where a  amplitude the particle has; 2 period : T  (time for one oscillation) n 1 frequency : f  (number of oscillations T per time period)
  • 34.
    e.g. (i) Aparticle, P, moves on the x axis according to the law x = 4sin3t.
  • 35.
    e.g. (i) Aparticle, P, moves on the x axis according to the law x = 4sin3t. a) Show that P is moving in SHM and state the period of motion.
  • 36.
    e.g. (i) Aparticle, P, moves on the x axis according to the law x = 4sin3t. a) Show that P is moving in SHM and state the period of motion. x  4 sin 3t x  12 cos 3t    36 sin 3t x
  • 37.
    e.g. (i) Aparticle, P, moves on the x axis according to the law x = 4sin3t. a) Show that P is moving in SHM and state the period of motion. x  4 sin 3t x  12 cos 3t    36 sin 3t x  9 x
  • 38.
    e.g. (i) Aparticle, P, moves on the x axis according to the law x = 4sin3t. a) Show that P is moving in SHM and state the period of motion. x  4 sin 3t x  12 cos 3t    36 sin 3t x  9 x  particle moves in SHM
  • 39.
    e.g. (i) Aparticle, P, moves on the x axis according to the law x = 4sin3t. a) Show that P is moving in SHM and state the period of motion. x  4 sin 3t x  12 cos 3t    36 sin 3t x  9 x  particle moves in SHM 2 T 3
  • 40.
    e.g. (i) Aparticle, P, moves on the x axis according to the law x = 4sin3t. a) Show that P is moving in SHM and state the period of motion. x  4 sin 3t x  12 cos 3t    36 sin 3t x  9 x  particle moves in SHM 2 T 3 2  period of motion is seconds 3
  • 41.
    e.g. (i) Aparticle, P, moves on the x axis according to the law x = 4sin3t. a) Show that P is moving in SHM and state the period of motion. x  4 sin 3t x  12 cos 3t    36 sin 3t x  9 x  particle moves in SHM 2 T 3 2  period of motion is seconds 3 b) Find the interval in which the particle moves and determine the greatest speed.
  • 42.
    e.g. (i) Aparticle, P, moves on the x axis according to the law x = 4sin3t. a) Show that P is moving in SHM and state the period of motion. x  4 sin 3t x  12 cos 3t    36 sin 3t x  9 x  particle moves in SHM 2 T 3 2  period of motion is seconds 3 b) Find the interval in which the particle moves and determine the greatest speed.  particle moves along the interval  4  x  4 and the greatest speed is 12 units/s
  • 43.
    (ii) A particlemoves so that its acceleration is given by   4 x x Initially the particle is 3cm to the right of O and traveling with a velocity of 6cm/s. Find the interval in which the particle moves and determine the greatest acceleration.
  • 44.
    (ii) A particlemoves so that its acceleration is given by   4 x x Initially the particle is 3cm to the right of O and traveling with a velocity of 6cm/s. Find the interval in which the particle moves and determine the greatest acceleration. d 1 2   v   4 x dx  2 
  • 45.
    (ii) A particlemoves so that its acceleration is given by   4 x x Initially the particle is 3cm to the right of O and traveling with a velocity of 6cm/s. Find the interval in which the particle moves and determine the greatest acceleration. d 1 2   v   4 x dx  2  1 2 v  2 x 2  c 2 v 2  4 x 2  c
  • 46.
    (ii) A particlemoves so that its acceleration is given by   4 x x Initially the particle is 3cm to the right of O and traveling with a velocity of 6cm/s. Find the interval in which the particle moves and determine the greatest acceleration. d 1 2   v   4 x dx  2  1 2 v  2 x 2  c 2 v 2  4 x 2  c when x  3, v  6 i.e. 6 2  43  c 2 c  72
  • 47.
    (ii) A particlemoves so that its acceleration is given by   4 x x Initially the particle is 3cm to the right of O and traveling with a velocity of 6cm/s. Find the interval in which the particle moves and determine the greatest acceleration. d 1 2   v   4 x dx  2  1 2 v  2 x 2  c 2 v 2  4 x 2  c when x  3, v  6 i.e. 6 2  43  c 2 c  72 v 2  4 x 2  72
  • 48.
    (ii) A particlemoves so that its acceleration is given by   4 x x Initially the particle is 3cm to the right of O and traveling with a velocity of 6cm/s. Find the interval in which the particle moves and determine the greatest acceleration. d 1 2  But v 2  0  v   4 x dx  2   4 x 2  72  0 1 2 x 2  18 v  2 x 2  c 2 3 2  x  3 2 v 2  4 x 2  c when x  3, v  6 i.e. 6 2  43  c 2 c  72 v 2  4 x 2  72
  • 49.
    (ii) A particlemoves so that its acceleration is given by   4 x x Initially the particle is 3cm to the right of O and traveling with a velocity of 6cm/s. Find the interval in which the particle moves and determine the greatest acceleration. d 1 2  But v 2  0  v   4 x dx  2   4 x 2  72  0 1 2 x 2  18 v  2 x 2  c 2 3 2  x  3 2 v 2  4 x 2  c when x  3, v  6 when x  3 2,   43 2  x i.e. 6 2  43  c 2  12 2 c  72 v 2  4 x 2  72
  • 50.
    (ii) A particlemoves so that its acceleration is given by   4 x x Initially the particle is 3cm to the right of O and traveling with a velocity of 6cm/s. Find the interval in which the particle moves and determine the greatest acceleration. d 1 2  But v 2  0  v   4 x dx  2   4 x 2  72  0 1 2 x 2  18 v  2 x 2  c 2 3 2  x  3 2 v 2  4 x 2  c when x  3, v  6 when x  3 2,   43 2  x i.e. 6 2  43  c 2  12 2 c  72  greatest acceleration is 12 2 cm/s 2 v 2  4 x 2  72
  • 51.
  • 52.
    NOTE: At amplitude; v=0 a is maximum
  • 53.
    NOTE: At amplitude; v=0 a is maximum At centre; v is maximum a=0
  • 54.
    NOTE: At amplitude; v=0 a is maximum At centre; v is maximum a=0 Exercise 3D; 1, 6, 7, 10, 12, 14ab, 15ab, 18, 19, 22, 24, 25 (start with trig, prove SHM or are told) Exercise 3F; 1, 4, 5b, 6b, 8, 9a, 10a, 13, 14 a, b(ii,iv), 16, 18, 19 (start with    n 2 x) x