Geometrical Theorems about
         Parabola
Geometrical Theorems about
(1) Focal Chords
                 Parabola
Geometrical Theorems about
 (1) Focal Chords
                  Parabola
e.g. Prove that the tangents drawn from the extremities of a focal chord
     intersect at right angles on the directrix.
Geometrical Theorems about
 (1) Focal Chords
                  Parabola
e.g. Prove that the tangents drawn from the extremities of a focal chord
     intersect at right angles on the directrix.
 1 Prove pq  1
Geometrical Theorems about
 (1) Focal Chords
                  Parabola
e.g. Prove that the tangents drawn from the extremities of a focal chord
     intersect at right angles on the directrix.
 1 Prove pq  1

 2 Show that the slope of the tangent at P is p, and the slope of the
   tangent at Q is q.
Geometrical Theorems about
 (1) Focal Chords
                  Parabola
e.g. Prove that the tangents drawn from the extremities of a focal chord
     intersect at right angles on the directrix.
 1 Prove pq  1

 2 Show that the slope of the tangent at P is p, and the slope of the
   tangent at Q is q.
                             pq  1
Geometrical Theorems about
 (1) Focal Chords
                  Parabola
e.g. Prove that the tangents drawn from the extremities of a focal chord
     intersect at right angles on the directrix.
 1 Prove pq  1

 2 Show that the slope of the tangent at P is p, and the slope of the
   tangent at Q is q.
                             pq  1
                Tangents are perpendicular to each other
Geometrical Theorems about
 (1) Focal Chords
                  Parabola
e.g. Prove that the tangents drawn from the extremities of a focal chord
     intersect at right angles on the directrix.
 1 Prove pq  1

 2 Show that the slope of the tangent at P is p, and the slope of the
   tangent at Q is q.
                             pq  1
                  Tangents are perpendicular to each other
 3 Show that the point of intersection,T , of the tangents is
     a  p  q  , apq
Geometrical Theorems about
 (1) Focal Chords
                  Parabola
e.g. Prove that the tangents drawn from the extremities of a focal chord
     intersect at right angles on the directrix.
 1 Prove pq  1

 2 Show that the slope of the tangent at P is p, and the slope of the
   tangent at Q is q.
                             pq  1
                Tangents are perpendicular to each other
 3 Show that the point of intersection,T , of the tangents is
   a  p  q  , apq                 y  apq
Geometrical Theorems about
 (1) Focal Chords
                  Parabola
e.g. Prove that the tangents drawn from the extremities of a focal chord
     intersect at right angles on the directrix.
 1 Prove pq  1

 2 Show that the slope of the tangent at P is p, and the slope of the
   tangent at Q is q.
                             pq  1
                Tangents are perpendicular to each other
 3 Show that the point of intersection,T , of the tangents is
   a  p  q  , apq                 y  apq
                                      y  a       pq  1
Geometrical Theorems about
 (1) Focal Chords
                  Parabola
e.g. Prove that the tangents drawn from the extremities of a focal chord
     intersect at right angles on the directrix.
 1 Prove pq  1

 2 Show that the slope of the tangent at P is p, and the slope of the
   tangent at Q is q.
                             pq  1
                Tangents are perpendicular to each other
 3 Show that the point of intersection,T , of the tangents is
   a  p  q  , apq                 y  apq
                                      y  a      pq  1
                                Tangents meet on the directrix
(2) Reflection Property
(2) Reflection Property
Any line parallel to the axis of the parabola is reflected towards the
focus.
Any line from the focus parallel to the axis of the parabola is reflected
parallel to the axis.
Thus a line and its reflection are equally inclined to the normal, as well
as to the tangent.
(2) Reflection Property
Any line parallel to the axis of the parabola is reflected towards the
focus.
Any line from the focus parallel to the axis of the parabola is reflected
parallel to the axis.
Thus a line and its reflection are equally inclined to the normal, as well
as to the tangent.
(2) Reflection Property
Any line parallel to the axis of the parabola is reflected towards the
focus.
Any line from the focus parallel to the axis of the parabola is reflected
parallel to the axis.
Thus a line and its reflection are equally inclined to the normal, as well
as to the tangent.
                                         Prove: SPK  CPB
(2) Reflection Property
Any line parallel to the axis of the parabola is reflected towards the
focus.
Any line from the focus parallel to the axis of the parabola is reflected
parallel to the axis.
Thus a line and its reflection are equally inclined to the normal, as well
as to the tangent.
                                         Prove: SPK  CPB
                                (angle of incidence = angle of reflection)
(2) Reflection Property
Any line parallel to the axis of the parabola is reflected towards the
focus.
Any line from the focus parallel to the axis of the parabola is reflected
parallel to the axis.
Thus a line and its reflection are equally inclined to the normal, as well
as to the tangent.
                                         Prove: SPK  CPB
                                (angle of incidence = angle of reflection)
                                         Data: CP || y axis
(2) Reflection Property
Any line parallel to the axis of the parabola is reflected towards the
focus.
Any line from the focus parallel to the axis of the parabola is reflected
parallel to the axis.
Thus a line and its reflection are equally inclined to the normal, as well
as to the tangent.
                                         Prove: SPK  CPB
                                (angle of incidence = angle of reflection)
                                         Data: CP || y axis

                                    1 Show tangent at P is y  px  ap 2
(2) Reflection Property
Any line parallel to the axis of the parabola is reflected towards the
focus.
Any line from the focus parallel to the axis of the parabola is reflected
parallel to the axis.
Thus a line and its reflection are equally inclined to the normal, as well
as to the tangent.
                                         Prove: SPK  CPB
                                (angle of incidence = angle of reflection)
                                         Data: CP || y axis

                                    1 Show tangent at P is y  px  ap 2

                                    2 tangent meets y axis when x = 0
(2) Reflection Property
Any line parallel to the axis of the parabola is reflected towards the
focus.
Any line from the focus parallel to the axis of the parabola is reflected
parallel to the axis.
Thus a line and its reflection are equally inclined to the normal, as well
as to the tangent.
                                         Prove: SPK  CPB
                                (angle of incidence = angle of reflection)
                                         Data: CP || y axis

                                    1 Show tangent at P is y  px  ap 2

                                    2 tangent meets y axis when x = 0
                                              K is 0,ap 2 
(2) Reflection Property
Any line parallel to the axis of the parabola is reflected towards the
focus.
Any line from the focus parallel to the axis of the parabola is reflected
parallel to the axis.
Thus a line and its reflection are equally inclined to the normal, as well
as to the tangent.
                                         Prove: SPK  CPB
                                (angle of incidence = angle of reflection)
                                         Data: CP || y axis

                                    1 Show tangent at P is y  px  ap 2

                                    2 tangent meets y axis when x = 0
                                              K is 0,ap 2 
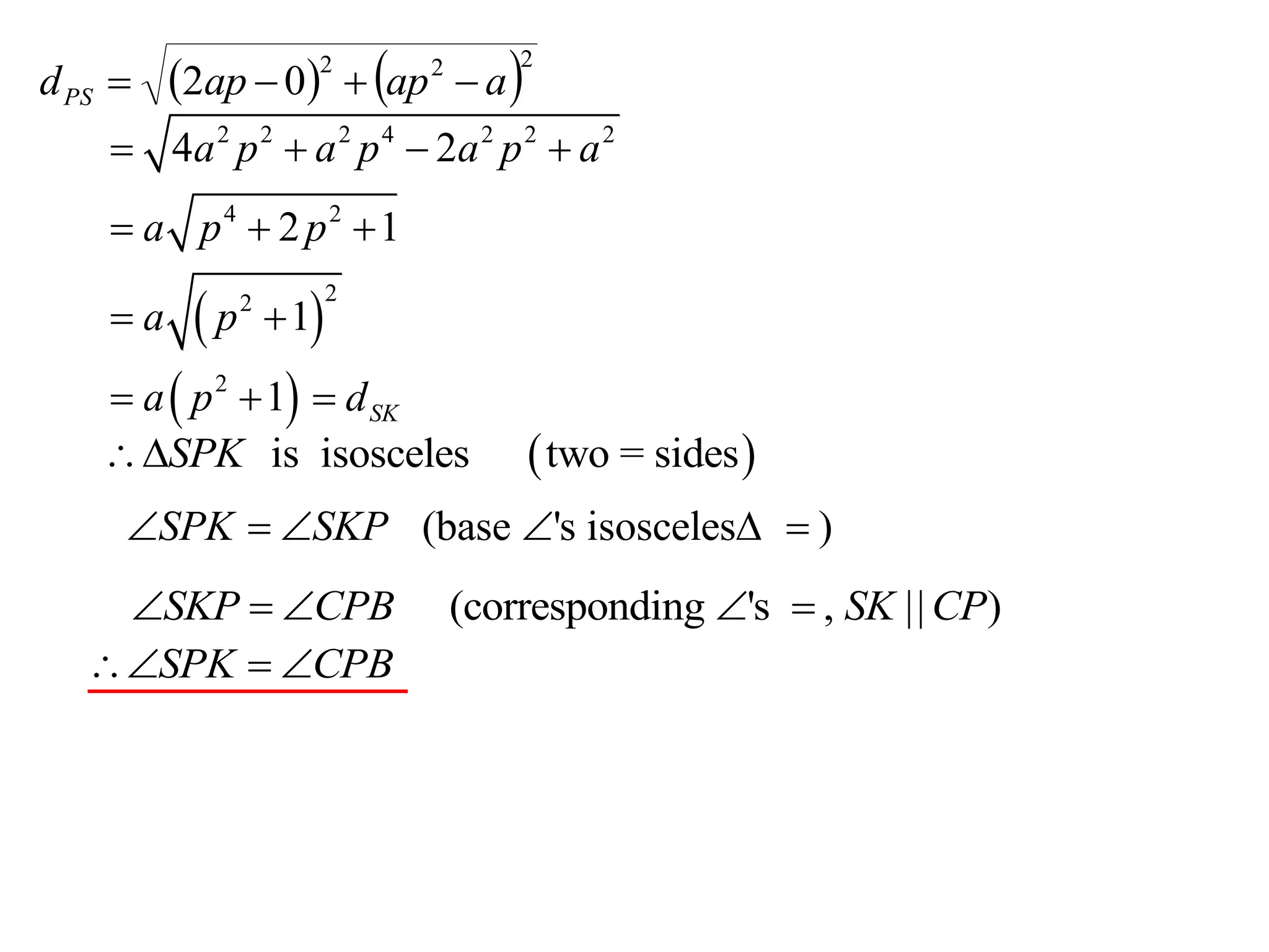
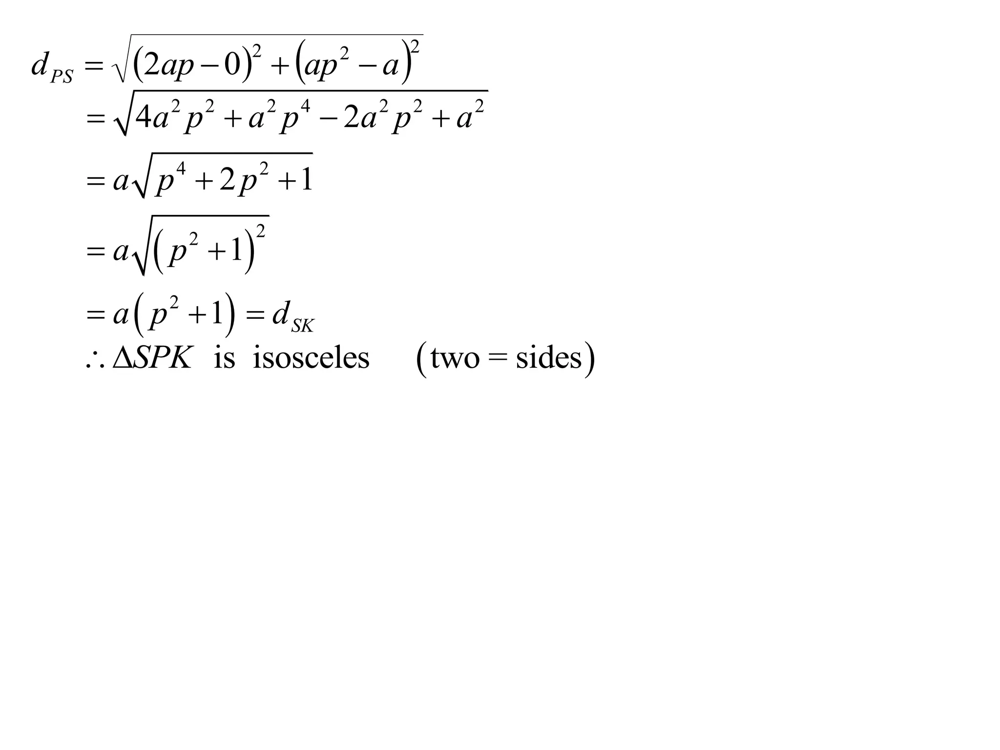
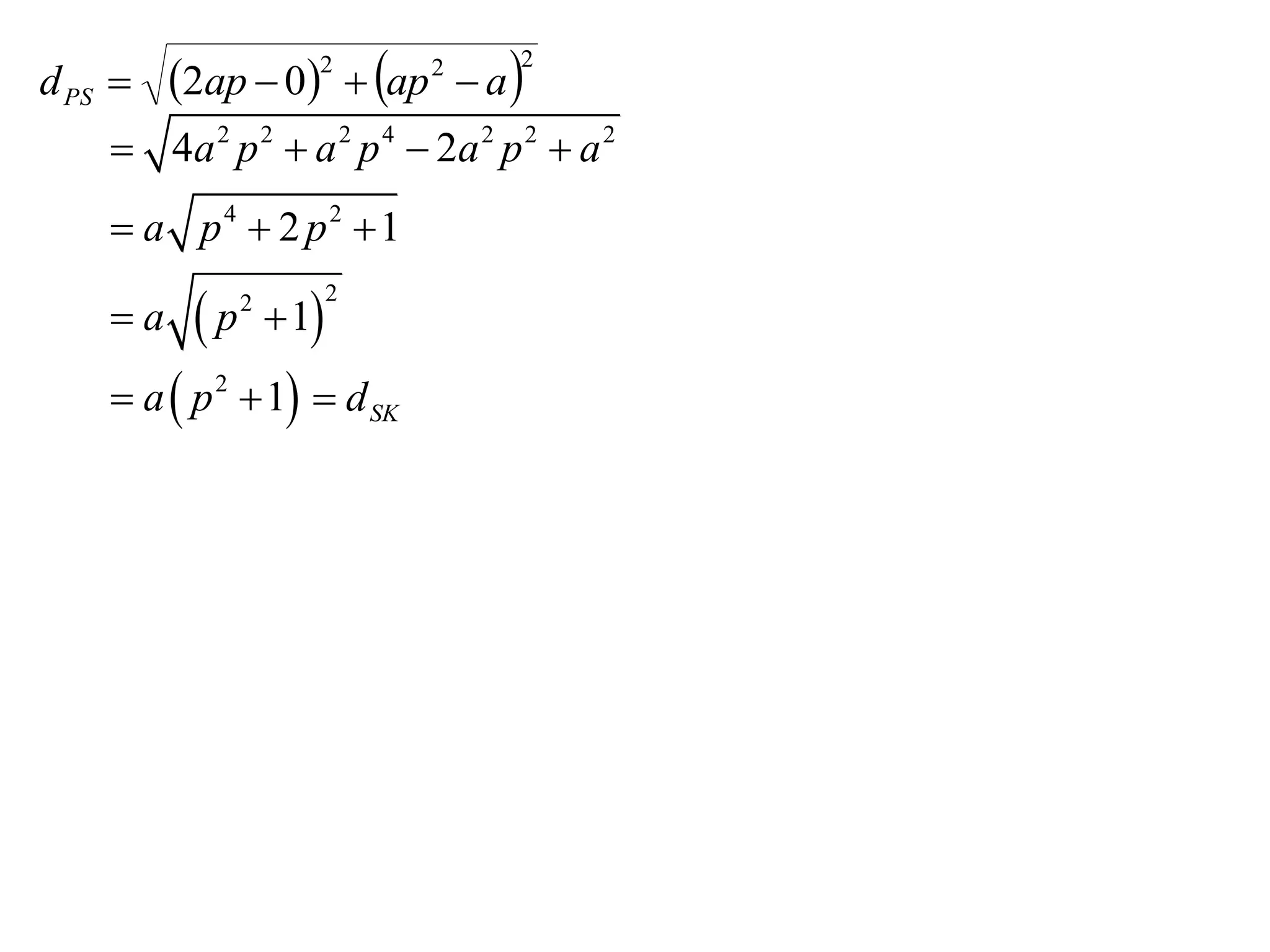
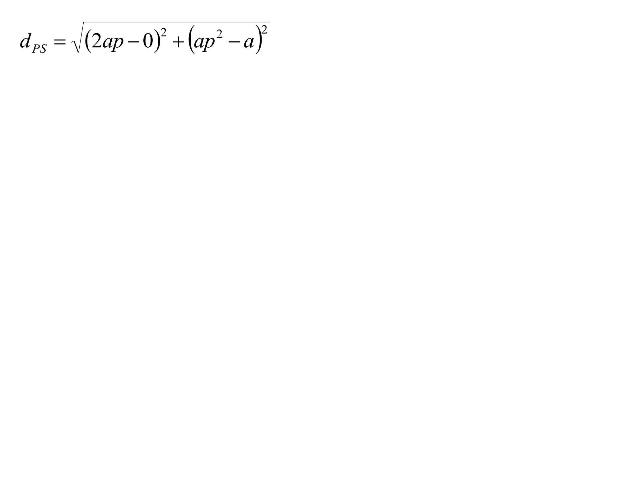
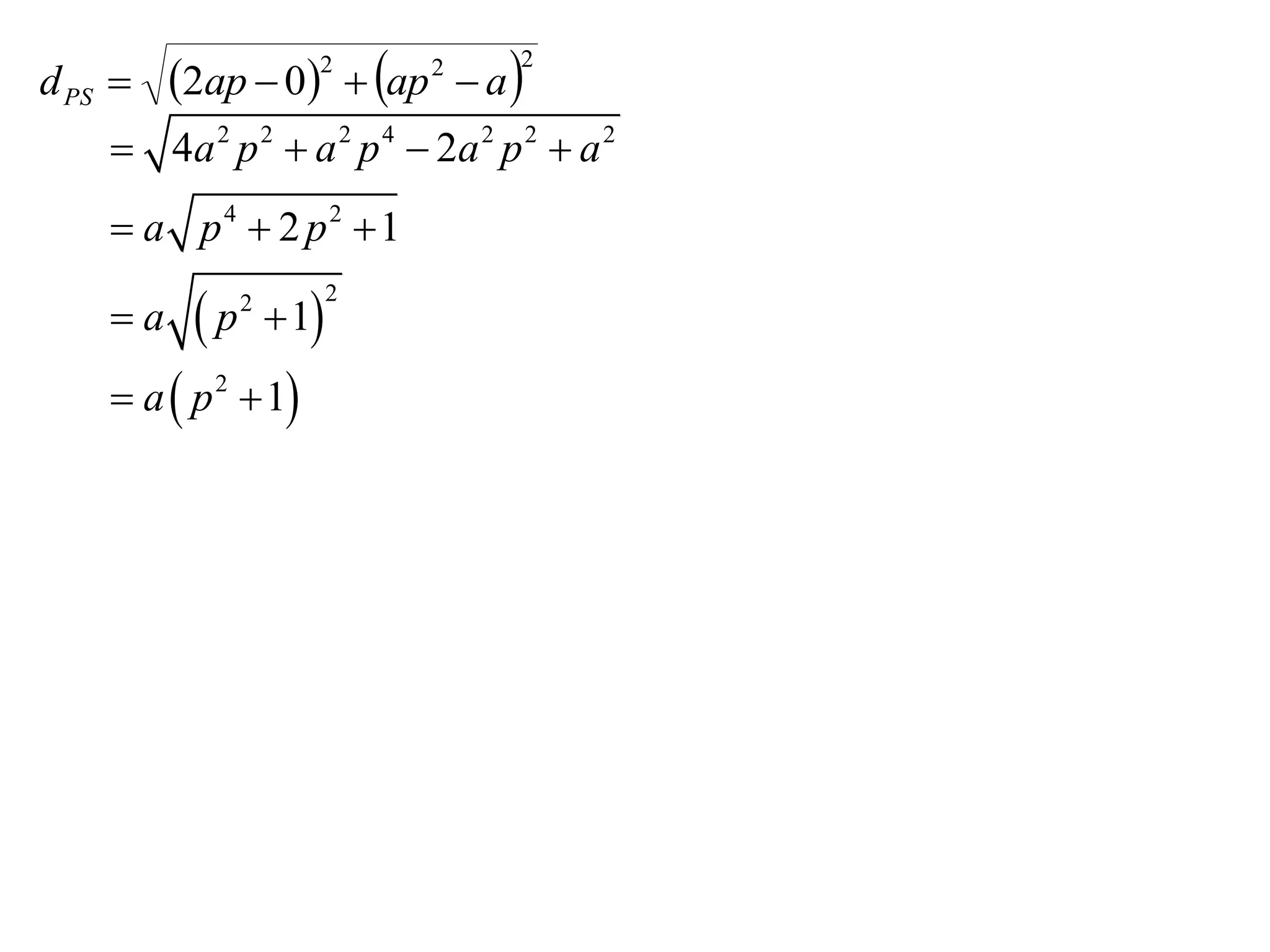
                                               d SK  a  ap 2
2ap  0  ap  a 
                             2
d PS 
                 2      2
2ap  0  ap  a 
                                  2
d PS 
                      2       2


     4a 2 p 2  a 2 p 4  2a 2 p 2  a 2
     a p4  2 p2  1

          p        1
                          2
    a         2



     a  p 2  1
2ap  0  ap  a 
                                  2
d PS 
                      2       2


     4a 2 p 2  a 2 p 4  2a 2 p 2  a 2
     a p4  2 p2  1

          p        1
                          2
    a         2



     a  p 2  1  d SK
2ap  0  ap  a 
                                  2
d PS 
                      2       2


     4a 2 p 2  a 2 p 4  2a 2 p 2  a 2
     a p4  2 p2  1

          p        1
                          2
    a         2



     a  p 2  1  d SK
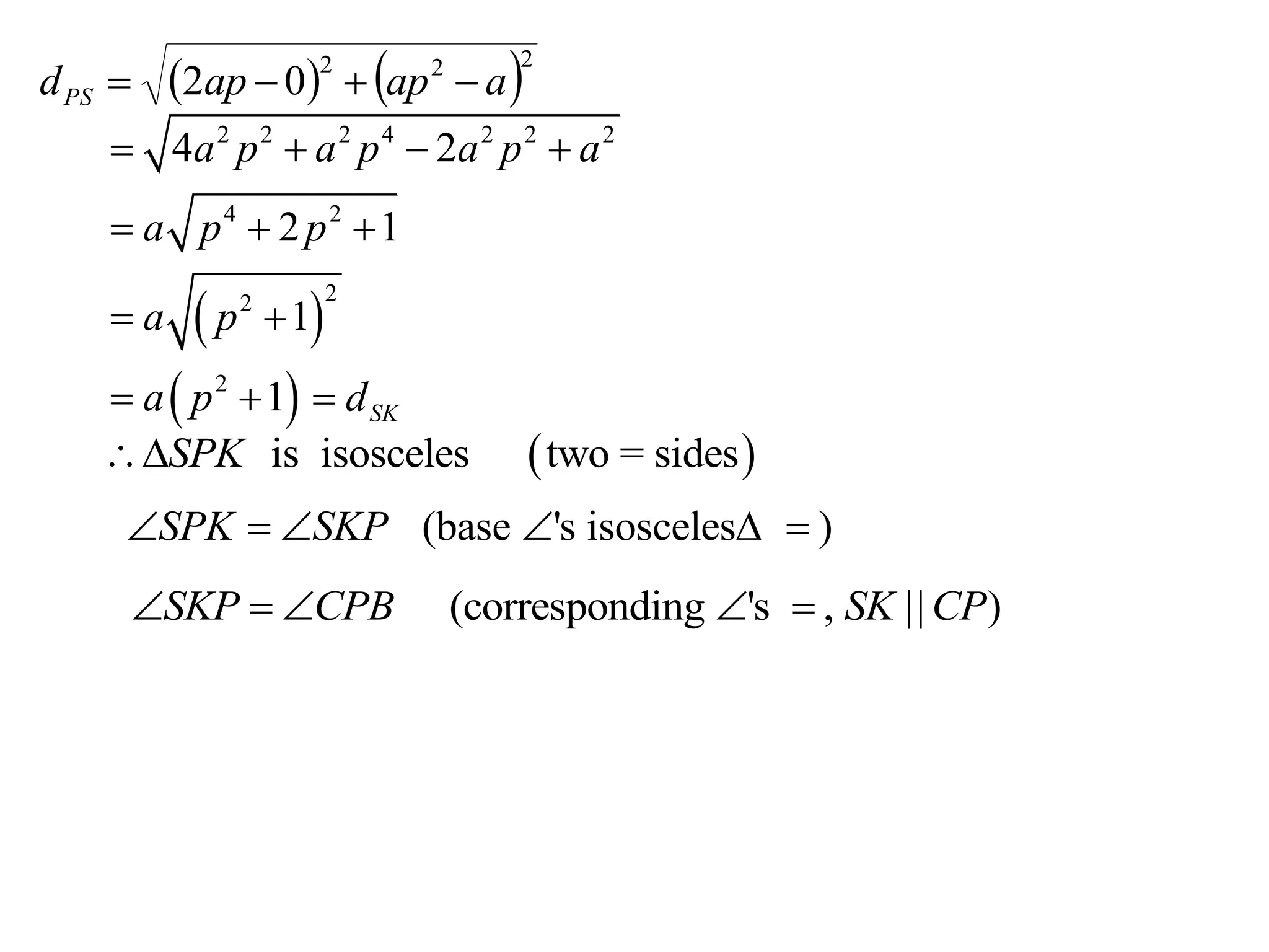
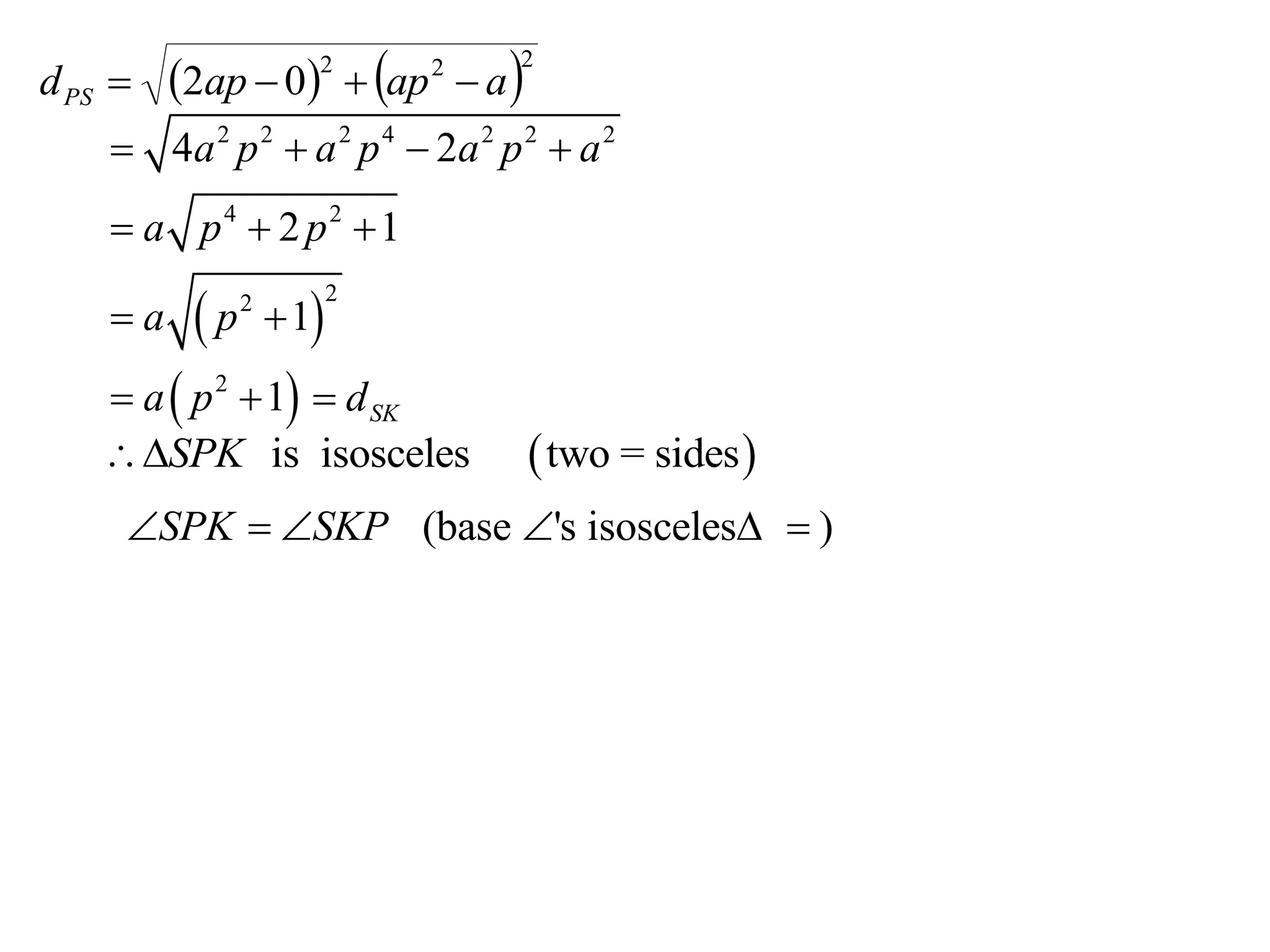
    SPK is isosceles             two = sides 
2ap  0  ap  a 
                                  2
d PS 
                      2       2


     4a 2 p 2  a 2 p 4  2a 2 p 2  a 2
     a p4  2 p2  1

          p        1
                          2
    a         2



     a  p 2  1  d SK
    SPK is isosceles             two = sides 
     SPK  SKP (base 's isosceles  )
2ap  0  ap  a 
                                      2
d PS 
                      2       2


     4a 2 p 2  a 2 p 4  2a 2 p 2  a 2
     a p4  2 p2  1

          p        1
                          2
    a         2



     a  p 2  1  d SK
    SPK is isosceles                 two = sides 
     SPK  SKP (base 's isosceles  )
     SKP  CPB                  (corresponding 's  , SK || CP)
2ap  0  ap  a 
                                      2
d PS 
                      2       2


     4a 2 p 2  a 2 p 4  2a 2 p 2  a 2
     a p4  2 p2  1

          p        1
                          2
    a         2



     a  p 2  1  d SK
    SPK is isosceles                 two = sides 
     SPK  SKP (base 's isosceles  )
     SKP  CPB                  (corresponding 's  , SK || CP)
    SPK  CPB
2ap  0  ap  a 
                                      2
d PS 
                      2       2


     4a 2 p 2  a 2 p 4  2a 2 p 2  a 2
     a p4  2 p2  1

          p        1
                          2
    a         2



     a  p 2  1  d SK
    SPK is isosceles                 two = sides 
     SPK  SKP (base 's isosceles  )
     SKP  CPB                  (corresponding 's  , SK || CP)
    SPK  CPB


                    Exercise 9I; 1, 2, 4, 7, 11, 12, 17, 18, 21

11 x1 t11 08 geometrical theorems (2012)

  • 1.
  • 2.
    Geometrical Theorems about (1)Focal Chords Parabola
  • 3.
    Geometrical Theorems about (1) Focal Chords Parabola e.g. Prove that the tangents drawn from the extremities of a focal chord intersect at right angles on the directrix.
  • 4.
    Geometrical Theorems about (1) Focal Chords Parabola e.g. Prove that the tangents drawn from the extremities of a focal chord intersect at right angles on the directrix. 1 Prove pq  1
  • 5.
    Geometrical Theorems about (1) Focal Chords Parabola e.g. Prove that the tangents drawn from the extremities of a focal chord intersect at right angles on the directrix. 1 Prove pq  1 2 Show that the slope of the tangent at P is p, and the slope of the tangent at Q is q.
  • 6.
    Geometrical Theorems about (1) Focal Chords Parabola e.g. Prove that the tangents drawn from the extremities of a focal chord intersect at right angles on the directrix. 1 Prove pq  1 2 Show that the slope of the tangent at P is p, and the slope of the tangent at Q is q. pq  1
  • 7.
    Geometrical Theorems about (1) Focal Chords Parabola e.g. Prove that the tangents drawn from the extremities of a focal chord intersect at right angles on the directrix. 1 Prove pq  1 2 Show that the slope of the tangent at P is p, and the slope of the tangent at Q is q. pq  1 Tangents are perpendicular to each other
  • 8.
    Geometrical Theorems about (1) Focal Chords Parabola e.g. Prove that the tangents drawn from the extremities of a focal chord intersect at right angles on the directrix. 1 Prove pq  1 2 Show that the slope of the tangent at P is p, and the slope of the tangent at Q is q. pq  1 Tangents are perpendicular to each other 3 Show that the point of intersection,T , of the tangents is a  p  q  , apq
  • 9.
    Geometrical Theorems about (1) Focal Chords Parabola e.g. Prove that the tangents drawn from the extremities of a focal chord intersect at right angles on the directrix. 1 Prove pq  1 2 Show that the slope of the tangent at P is p, and the slope of the tangent at Q is q. pq  1 Tangents are perpendicular to each other 3 Show that the point of intersection,T , of the tangents is a  p  q  , apq y  apq
  • 10.
    Geometrical Theorems about (1) Focal Chords Parabola e.g. Prove that the tangents drawn from the extremities of a focal chord intersect at right angles on the directrix. 1 Prove pq  1 2 Show that the slope of the tangent at P is p, and the slope of the tangent at Q is q. pq  1 Tangents are perpendicular to each other 3 Show that the point of intersection,T , of the tangents is a  p  q  , apq y  apq  y  a  pq  1
  • 11.
    Geometrical Theorems about (1) Focal Chords Parabola e.g. Prove that the tangents drawn from the extremities of a focal chord intersect at right angles on the directrix. 1 Prove pq  1 2 Show that the slope of the tangent at P is p, and the slope of the tangent at Q is q. pq  1 Tangents are perpendicular to each other 3 Show that the point of intersection,T , of the tangents is a  p  q  , apq y  apq  y  a  pq  1 Tangents meet on the directrix
  • 12.
  • 13.
    (2) Reflection Property Anyline parallel to the axis of the parabola is reflected towards the focus. Any line from the focus parallel to the axis of the parabola is reflected parallel to the axis. Thus a line and its reflection are equally inclined to the normal, as well as to the tangent.
  • 14.
    (2) Reflection Property Anyline parallel to the axis of the parabola is reflected towards the focus. Any line from the focus parallel to the axis of the parabola is reflected parallel to the axis. Thus a line and its reflection are equally inclined to the normal, as well as to the tangent.
  • 15.
    (2) Reflection Property Anyline parallel to the axis of the parabola is reflected towards the focus. Any line from the focus parallel to the axis of the parabola is reflected parallel to the axis. Thus a line and its reflection are equally inclined to the normal, as well as to the tangent. Prove: SPK  CPB
  • 16.
    (2) Reflection Property Anyline parallel to the axis of the parabola is reflected towards the focus. Any line from the focus parallel to the axis of the parabola is reflected parallel to the axis. Thus a line and its reflection are equally inclined to the normal, as well as to the tangent. Prove: SPK  CPB (angle of incidence = angle of reflection)
  • 17.
    (2) Reflection Property Anyline parallel to the axis of the parabola is reflected towards the focus. Any line from the focus parallel to the axis of the parabola is reflected parallel to the axis. Thus a line and its reflection are equally inclined to the normal, as well as to the tangent. Prove: SPK  CPB (angle of incidence = angle of reflection) Data: CP || y axis
  • 18.
    (2) Reflection Property Anyline parallel to the axis of the parabola is reflected towards the focus. Any line from the focus parallel to the axis of the parabola is reflected parallel to the axis. Thus a line and its reflection are equally inclined to the normal, as well as to the tangent. Prove: SPK  CPB (angle of incidence = angle of reflection) Data: CP || y axis 1 Show tangent at P is y  px  ap 2
  • 19.
    (2) Reflection Property Anyline parallel to the axis of the parabola is reflected towards the focus. Any line from the focus parallel to the axis of the parabola is reflected parallel to the axis. Thus a line and its reflection are equally inclined to the normal, as well as to the tangent. Prove: SPK  CPB (angle of incidence = angle of reflection) Data: CP || y axis 1 Show tangent at P is y  px  ap 2 2 tangent meets y axis when x = 0
  • 20.
    (2) Reflection Property Anyline parallel to the axis of the parabola is reflected towards the focus. Any line from the focus parallel to the axis of the parabola is reflected parallel to the axis. Thus a line and its reflection are equally inclined to the normal, as well as to the tangent. Prove: SPK  CPB (angle of incidence = angle of reflection) Data: CP || y axis 1 Show tangent at P is y  px  ap 2 2 tangent meets y axis when x = 0  K is 0,ap 2 
  • 21.
    (2) Reflection Property Anyline parallel to the axis of the parabola is reflected towards the focus. Any line from the focus parallel to the axis of the parabola is reflected parallel to the axis. Thus a line and its reflection are equally inclined to the normal, as well as to the tangent. Prove: SPK  CPB (angle of incidence = angle of reflection) Data: CP || y axis 1 Show tangent at P is y  px  ap 2 2 tangent meets y axis when x = 0  K is 0,ap 2  d SK  a  ap 2
  • 22.
    2ap  0 ap  a  2 d PS  2 2
  • 23.
    2ap  0 ap  a  2 d PS  2 2  4a 2 p 2  a 2 p 4  2a 2 p 2  a 2  a p4  2 p2  1 p  1 2 a 2  a  p 2  1
  • 24.
    2ap  0 ap  a  2 d PS  2 2  4a 2 p 2  a 2 p 4  2a 2 p 2  a 2  a p4  2 p2  1 p  1 2 a 2  a  p 2  1  d SK
  • 25.
    2ap  0 ap  a  2 d PS  2 2  4a 2 p 2  a 2 p 4  2a 2 p 2  a 2  a p4  2 p2  1 p  1 2 a 2  a  p 2  1  d SK SPK is isosceles  two = sides 
  • 26.
    2ap  0 ap  a  2 d PS  2 2  4a 2 p 2  a 2 p 4  2a 2 p 2  a 2  a p4  2 p2  1 p  1 2 a 2  a  p 2  1  d SK SPK is isosceles  two = sides  SPK  SKP (base 's isosceles  )
  • 27.
    2ap  0 ap  a  2 d PS  2 2  4a 2 p 2  a 2 p 4  2a 2 p 2  a 2  a p4  2 p2  1 p  1 2 a 2  a  p 2  1  d SK SPK is isosceles  two = sides  SPK  SKP (base 's isosceles  ) SKP  CPB (corresponding 's  , SK || CP)
  • 28.
    2ap  0 ap  a  2 d PS  2 2  4a 2 p 2  a 2 p 4  2a 2 p 2  a 2  a p4  2 p2  1 p  1 2 a 2  a  p 2  1  d SK SPK is isosceles  two = sides  SPK  SKP (base 's isosceles  ) SKP  CPB (corresponding 's  , SK || CP)  SPK  CPB
  • 29.
    2ap  0 ap  a  2 d PS  2 2  4a 2 p 2  a 2 p 4  2a 2 p 2  a 2  a p4  2 p2  1 p  1 2 a 2  a  p 2  1  d SK SPK is isosceles  two = sides  SPK  SKP (base 's isosceles  ) SKP  CPB (corresponding 's  , SK || CP)  SPK  CPB Exercise 9I; 1, 2, 4, 7, 11, 12, 17, 18, 21