Ayo Mengingat Kembali
Bilangan berpangkat (perkalian berulang) adalah perkalian yang dilakukan
secara berulang dengan factor yang sama.
Contoh:
1. 2 × 2 × 2 × 2 × 2 × 2 ditulis dengan 26
2. 15 × 15 × 15 × 15 ditulis dengan 154
3. 𝑎 × 𝑎 × 𝑎 × 𝑎 × 𝑎 × 𝑎 × 𝑎 ditulis dengan 𝑎7
DEFINISI EKSPONEN
Bilangan berpangakat
dapat dinyatakan
dengan:
DEFINISI : Pangkat Bulat Negatif
Jika 𝑎 adalah bilangan real dengan 𝑎 ≠ 0 dan 𝑛 bilangan bulat positif, maka 𝑎−𝑛 adalah kebalikan dari 𝑎𝑛 atau sebaliknya
𝑎−𝑛
=
1
𝑎𝑛 atau 𝑎𝑛
=
1
𝑎−𝑛
DEFINISI : Akar Pangkat Bilangan
Jika 𝑛 bilangan bulat positif, 𝑎 dan 𝑏 bilangan-bilangan real sehingga berlaku hubungan 𝑏𝑛 = 𝑎, maka 𝑏 disebut akar
pangkat 𝑛 dari 𝑎.
𝑏𝑛 = 𝑎 ⇒ 𝑏 = 𝑛
𝑎
DEFINISI : Pangkat Pecahan 𝑎
1
𝑛
Jika 𝑎 adalah bilangan real tidak nol (𝑎 ≠ 0) dan 𝑛 bilangan bulat positif, maka pangkat pecahan 𝑎
1
𝑛 sama dengan akar
pangkat 𝑛 dari bilangan 𝑎.
𝑎
1
𝑛 = 𝑛
𝑎
Dengan catatan 𝑛
𝑎 merupakan bilangan real.
Hubungan definisi akar
pangkat bilangan dan
pangkat pecahan 𝑎
1
𝑛
Jika 𝑎 adalah bilangan real dengan 𝑎 ≠ 0 dan 𝑛 bilangan bulat positif, maka 𝑎
1
𝑛 = 𝑝
adalah bilanagan real positif, sehingga 𝑝𝑛 = 𝑎
DEFINISI : Pangkat Pecahan 𝑎
𝑚
𝑛
Jika 𝑎 adalah bilangan real tidak nol (𝑎 ≠ 0) dan 𝑚 bilangan bulat dan 𝑛 bilangan asli ≥ 2, maka pangkat
pecahan 𝑎
𝑚
𝑛 sama dengan akar pangkat 𝑛 dari bilangan 𝑎𝑚.
𝑎
𝑚
𝑛 =
𝑛
𝑎𝑚
Dengan catatan
𝑛
𝑎𝑚 merupakan bilangan real.
Hubungan definisi akar
pangkat bilangan dan
pangkat pecahan 𝑎
𝑚
𝑛
Jika 𝑎 adalah bilangan real dengan 𝑎 ≠ 0 dan 𝑚, 𝑛 bilangan bulat positif,
maka
𝑎
𝑚
𝑛 = 𝑎
1
𝑛
𝑚
CONTOH:
1. Nyatakan bilangan-bilangan berikut ini dalam bentuk pangkat bulat positif.
a. 3−4
b.
4
𝑏−6 c.
1
5𝑏−4
2. Hitunglah
a. 3−2
b.
1
2
−3
c. 16
1
2 d. −32
1
5
e. 16
3
4 f. 243
4
5
3. Nyatakan bilangan-bilangan berikut dalam bentuk
𝑛
𝑎𝑚
a. 2
3
4 b. 𝑦
5
6
4. Nyatakan bilangan-bilangan berikut dalam bilangan berpangkat dengan bilangan
pokok 2.
a.
5
16 b.
4 1
8
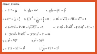
PENYELESAIAN:
1. a. 3−4 =
1
34 b.
4
𝑏−6 = 4𝑏6 c.
1
5𝑏−4 =
1
5
𝑏4 =
𝑏4
5
2. a.3−2 =
1
32 =
1
9
b.
1
2
−3
=
1
1
2
3 =
1
1
8
= 8 c. 16
1
2 =
2
16 = 16 = 42 = 4
d. −32
1
5 =
5
−32 =
5
−2 5 = −2 e. 16
3
4 = 16
1
4
3
=
4
16
3
= 23 = 8
f. 243
4
5= 243
1
5
4
=
5
243
4
= 34 = 81
3. a. 2
3
4 =
4
23 b. 𝑦
5
6=
6
𝑦5
4. a.
5
16 =
5
24 = 2
4
5 b.
4 1
8
=
4
2−3 = 2
4
5
SIFAT-SIFAT EKSPONEN
1. EKSPONEN BAGIAN 1.pptx
1. EKSPONEN BAGIAN 1.pptx

1. EKSPONEN BAGIAN 1.pptx

  • 2.
    Ayo Mengingat Kembali Bilanganberpangkat (perkalian berulang) adalah perkalian yang dilakukan secara berulang dengan factor yang sama. Contoh: 1. 2 × 2 × 2 × 2 × 2 × 2 ditulis dengan 26 2. 15 × 15 × 15 × 15 ditulis dengan 154 3. 𝑎 × 𝑎 × 𝑎 × 𝑎 × 𝑎 × 𝑎 × 𝑎 ditulis dengan 𝑎7 DEFINISI EKSPONEN Bilangan berpangakat dapat dinyatakan dengan:
  • 3.
    DEFINISI : PangkatBulat Negatif Jika 𝑎 adalah bilangan real dengan 𝑎 ≠ 0 dan 𝑛 bilangan bulat positif, maka 𝑎−𝑛 adalah kebalikan dari 𝑎𝑛 atau sebaliknya 𝑎−𝑛 = 1 𝑎𝑛 atau 𝑎𝑛 = 1 𝑎−𝑛 DEFINISI : Akar Pangkat Bilangan Jika 𝑛 bilangan bulat positif, 𝑎 dan 𝑏 bilangan-bilangan real sehingga berlaku hubungan 𝑏𝑛 = 𝑎, maka 𝑏 disebut akar pangkat 𝑛 dari 𝑎. 𝑏𝑛 = 𝑎 ⇒ 𝑏 = 𝑛 𝑎 DEFINISI : Pangkat Pecahan 𝑎 1 𝑛 Jika 𝑎 adalah bilangan real tidak nol (𝑎 ≠ 0) dan 𝑛 bilangan bulat positif, maka pangkat pecahan 𝑎 1 𝑛 sama dengan akar pangkat 𝑛 dari bilangan 𝑎. 𝑎 1 𝑛 = 𝑛 𝑎 Dengan catatan 𝑛 𝑎 merupakan bilangan real. Hubungan definisi akar pangkat bilangan dan pangkat pecahan 𝑎 1 𝑛 Jika 𝑎 adalah bilangan real dengan 𝑎 ≠ 0 dan 𝑛 bilangan bulat positif, maka 𝑎 1 𝑛 = 𝑝 adalah bilanagan real positif, sehingga 𝑝𝑛 = 𝑎
  • 4.
    DEFINISI : PangkatPecahan 𝑎 𝑚 𝑛 Jika 𝑎 adalah bilangan real tidak nol (𝑎 ≠ 0) dan 𝑚 bilangan bulat dan 𝑛 bilangan asli ≥ 2, maka pangkat pecahan 𝑎 𝑚 𝑛 sama dengan akar pangkat 𝑛 dari bilangan 𝑎𝑚. 𝑎 𝑚 𝑛 = 𝑛 𝑎𝑚 Dengan catatan 𝑛 𝑎𝑚 merupakan bilangan real. Hubungan definisi akar pangkat bilangan dan pangkat pecahan 𝑎 𝑚 𝑛 Jika 𝑎 adalah bilangan real dengan 𝑎 ≠ 0 dan 𝑚, 𝑛 bilangan bulat positif, maka 𝑎 𝑚 𝑛 = 𝑎 1 𝑛 𝑚
  • 5.
    CONTOH: 1. Nyatakan bilangan-bilanganberikut ini dalam bentuk pangkat bulat positif. a. 3−4 b. 4 𝑏−6 c. 1 5𝑏−4 2. Hitunglah a. 3−2 b. 1 2 −3 c. 16 1 2 d. −32 1 5 e. 16 3 4 f. 243 4 5 3. Nyatakan bilangan-bilangan berikut dalam bentuk 𝑛 𝑎𝑚 a. 2 3 4 b. 𝑦 5 6 4. Nyatakan bilangan-bilangan berikut dalam bilangan berpangkat dengan bilangan pokok 2. a. 5 16 b. 4 1 8
  • 6.
    PENYELESAIAN: 1. a. 3−4= 1 34 b. 4 𝑏−6 = 4𝑏6 c. 1 5𝑏−4 = 1 5 𝑏4 = 𝑏4 5 2. a.3−2 = 1 32 = 1 9 b. 1 2 −3 = 1 1 2 3 = 1 1 8 = 8 c. 16 1 2 = 2 16 = 16 = 42 = 4 d. −32 1 5 = 5 −32 = 5 −2 5 = −2 e. 16 3 4 = 16 1 4 3 = 4 16 3 = 23 = 8 f. 243 4 5= 243 1 5 4 = 5 243 4 = 34 = 81 3. a. 2 3 4 = 4 23 b. 𝑦 5 6= 6 𝑦5 4. a. 5 16 = 5 24 = 2 4 5 b. 4 1 8 = 4 2−3 = 2 4 5
  • 7.