Roots and Coefficients
Roots and Coefficients
     For P x   ax n  bx n 1  cx n  2 
Roots and Coefficients
           For P x   ax n  bx n 1  cx n  2 
      b
    a (sum of roots, 1 at a time i.e.        )
Roots and Coefficients
            For P x   ax n  bx n 1  cx n  2 
        b
   a (sum of roots, 1 at a time i.e.        )
        c
   
        a
           (sum of roots, 2 at a time i.e.       )
Roots and Coefficients
             For P x   ax n  bx n 1  cx n  2 
        b
    a (sum of roots, 1 at a time i.e.        )
        c
   
        a
           (sum of roots, 2 at a time i.e.       )

        d
   a (sum of roots, 3 at a time i.e.    )
Roots and Coefficients
             For P x   ax n  bx n 1  cx n  2 
         b
    a (sum of roots, 1 at a time i.e.        )
         c
    
         a
            (sum of roots, 2 at a time i.e.       )

         d
   a (sum of roots, 3 at a time i.e.    )
         e
   a (sum of roots, 4 at a time)
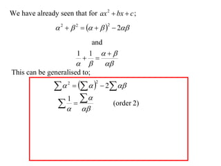
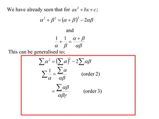
We have already seen that for ax 2  bx  c ;
                 2   2     2  2
We have already seen that for ax 2  bx  c ;
                 2   2     2  2
                          and
                       1 1 
                         
                                
We have already seen that for ax 2  bx  c ;
                 2   2     2  2
                          and
                       1 1 
                         
                                
This can be generalised to;
We have already seen that for ax 2  bx  c ;
                 2   2     2  2
                            and
                         1 1 
                           
                                  
This can be generalised to;

                           2 
                    2           2
We have already seen that for ax 2  bx  c ;
                 2   2     2  2
                            and
                         1 1 
                           
                                  
This can be generalised to;

                           2 
                    2           2



                    1  
                                (order 2)
We have already seen that for ax 2  bx  c ;
                 2   2     2  2
                            and
                         1 1 
                           
                                  
This can be generalised to;

                           2 
                    2           2



                    1  
                                (order 2)


                                     (order 3)
                          
We have already seen that for ax 2  bx  c ;
                 2   2     2  2
                            and
                         1 1 
                           
                                   
This can be generalised to;

                           2 
                    2            2



                    1  
                                 (order 2)


                                      (order 3)
                          

                                     (order 4)
                          
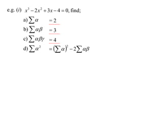
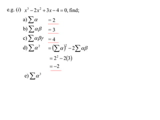
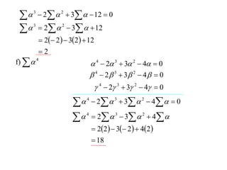
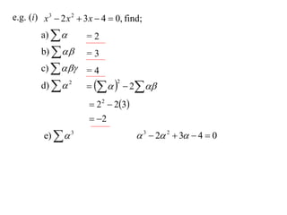
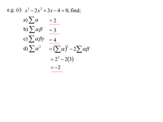
e.g. (i) x 3  2 x 2  3 x  4  0, find;
e.g. (i) x 3  2 x 2  3 x  4  0, find;
         a)  
         b)   
         c)   
e.g. (i) x 3  2 x 2  3 x  4  0, find;
         a)          =2
         b)         =3
         c)        =4
e.g. (i) x 3  2 x 2  3 x  4  0, find;
         a)          =2
         b)         =3
         c)        =4
         d)   2
e.g. (i) x 3  2 x 2  3 x  4  0, find;
         a)          =2
         b)         =3
         c)        =4
         d)   2           2 
                                 2
e.g. (i) x 3  2 x 2  3 x  4  0, find;
         a)          =2
         b)         =3
         c)        =4
         d)   2           2 
                                 2



                         2 2  23
                         2
e.g. (i) x 3  2 x 2  3 x  4  0, find;
         a)          =2
         b)         =3
         c)        =4
         d)   2           2 
                                 2



                         2 2  23
                         2
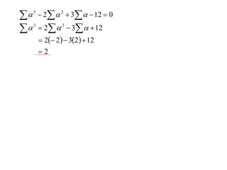
         e)   3
e.g. (i) x 3  2 x 2  3 x  4  0, find;
         a)          =2
         b)         =3
         c)        =4
         d)   2           2 
                                 2



                         2 2  23
                         2
         e)   3                       3  2 2  3  4  0
e.g. (i) x 3  2 x 2  3 x  4  0, find;
         a)          =2
         b)         =3
         c)        =4
         d)   2           2 
                                 2



                         2 2  23
                         2
         e)   3                       3  2 2  3  4  0
                                        3  2  2  3  4  0
                                         3  2 2  3  4  0
e.g. (i) x 3  2 x 2  3 x  4  0, find;
         a)          =2
         b)         =3
         c)        =4
         d)   2           2 
                                 2



                         2 2  23
                         2
         e)   3                       3  2 2  3  4  0
                                        3  2  2  3  4  0
                                         3  2 2  3  4  0

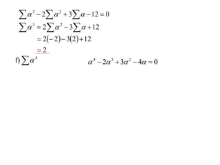
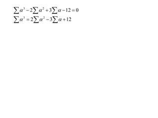
                                   3  2  2  3   12  0
  3  2  2  3   12  0
  3  2  2  3   12  0
  3  2  2  3   12
  3  2  2  3   12  0
  3  2  2  3   12
       2 2   32   12
      2
  3  2  2  3   12  0
   3  2  2  3   12
        2 2   32   12
       2
f)   4
  3  2  2  3   12  0
   3  2  2  3   12
        2 2   32   12
       2
f)   4                    4  2 3  3 2  4  0
  3  2  2  3   12  0
   3  2  2  3   12
        2 2   32   12
       2
f)   4                    4  2 3  3 2  4  0
                            4  2  3  3 2  4   0
                                 4  2 3  3 2  4  0
  3  2  2  3   12  0
   3  2  2  3   12
        2 2   32   12
       2
f)   4                    4  2 3  3 2  4  0
                            4  2  3  3 2  4   0
                                 4  2 3  3 2  4  0

                      4  2  3  3  2  4   0
  3  2  2  3   12  0
   3  2  2  3   12
        2 2   32   12
       2
f)   4                    4  2 3  3 2  4  0
                            4  2  3  3 2  4   0
                                 4  2 3  3 2  4  0

                      4  2  3  3  2  4   0

                      4  2  3  3  2  4 
  3  2  2  3   12  0
   3  2  2  3   12
        2 2   32   12
       2
f)   4                    4  2 3  3 2  4  0
                            4  2  3  3 2  4   0
                                 4  2 3  3 2  4  0

                      4  2  3  3  2  4   0

                      4  2  3  3  2  4 
                            22   3 2   42 
                            18
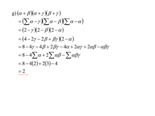
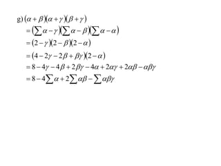
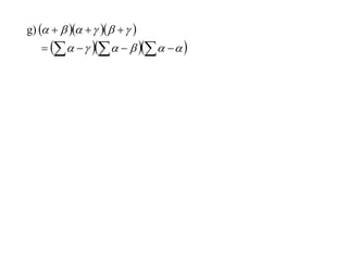
g)           
g)           
                
g)           
                
    2   2   2   
g)           
                
    2   2   2   
    4  2  2    2   
    8  4  4   2   4  2  2  
    8  4   2    
g)           
                
    2   2   2   
    4  2  2    2   
    8  4  4   2   4  2  2  
    8  4   2    
    8  42   23  4
   2
(ii) (1996)
     Consider the polynomial equation x 4  ax 3  bx 2  cx  d  0
     where a, b, c and d are all integers.
     Suppose the equation has a root of the form ki, where k is real
     and k  0
(ii) (1996)
     Consider the polynomial equation x 4  ax 3  bx 2  cx  d  0
     where a, b, c and d are all integers.
     Suppose the equation has a root of the form ki, where k is real
     and k  0
   a) State why the conjugate –ki is also a root.
(ii) (1996)
     Consider the polynomial equation x 4  ax 3  bx 2  cx  d  0
     where a, b, c and d are all integers.
     Suppose the equation has a root of the form ki, where k is real
     and k  0
   a) State why the conjugate –ki is also a root.
   Roots appear in conjugate pairs when the coefficients are real.
(ii) (1996)
     Consider the polynomial equation x 4  ax 3  bx 2  cx  d  0
     where a, b, c and d are all integers.
     Suppose the equation has a root of the form ki, where k is real
     and k  0
   a) State why the conjugate –ki is also a root.
   Roots appear in conjugate pairs when the coefficients are real.
 b) Show that c  k 2 a
(ii) (1996)
     Consider the polynomial equation x 4  ax 3  bx 2  cx  d  0
     where a, b, c and d are all integers.
     Suppose the equation has a root of the form ki, where k is real
     and k  0
   a) State why the conjugate –ki is also a root.
   Roots appear in conjugate pairs when the coefficients are real.
 b) Show that c  k 2 a
    x 4  ax 3  bx 2  cx  d   x  ki  x  ki x 2  px  q 
(ii) (1996)
     Consider the polynomial equation x 4  ax 3  bx 2  cx  d  0
     where a, b, c and d are all integers.
     Suppose the equation has a root of the form ki, where k is real
     and k  0
   a) State why the conjugate –ki is also a root.
   Roots appear in conjugate pairs when the coefficients are real.
 b) Show that c  k 2 a
    x 4  ax 3  bx 2  cx  d   x  ki  x  ki x 2  px  q 
                                x 2  k 2 x 2  px  q 
                                 x 4  px 3  qx 2  k 2 x 2  k 2 px  k 2 q
                                 x 4  px 3  q  k 2 x 2  k 2 px  k 2 q
(ii) (1996)
     Consider the polynomial equation x 4  ax 3  bx 2  cx  d  0
     where a, b, c and d are all integers.
     Suppose the equation has a root of the form ki, where k is real
     and k  0
   a) State why the conjugate –ki is also a root.
   Roots appear in conjugate pairs when the coefficients are real.
 b) Show that c  k 2 a
    x 4  ax 3  bx 2  cx  d   x  ki  x  ki x 2  px  q 
                                x 2  k 2 x 2  px  q 
                                 x 4  px 3  qx 2  k 2 x 2  k 2 px  k 2 q
                             x 4  px 3  q  k 2 x 2  k 2 px  k 2 q
     p  a  (1) q  k 2  b  (2) k 2 p  c  (3) k 2 q  d  (4)
(ii) (1996)
     Consider the polynomial equation x 4  ax 3  bx 2  cx  d  0
     where a, b, c and d are all integers.
     Suppose the equation has a root of the form ki, where k is real
     and k  0
   a) State why the conjugate –ki is also a root.
   Roots appear in conjugate pairs when the coefficients are real.
 b) Show that c  k 2 a
    x 4  ax 3  bx 2  cx  d   x  ki  x  ki x 2  px  q 
                                x 2  k 2 x 2  px  q 
                                 x 4  px 3  qx 2  k 2 x 2  k 2 px  k 2 q
                             x 4  px 3  q  k 2 x 2  k 2 px  k 2 q
     p  a  (1) q  k 2  b  (2) k 2 p  c  (3) k 2 q  d  (4)
      Substitute (1) into (3)
(ii) (1996)
     Consider the polynomial equation x 4  ax 3  bx 2  cx  d  0
     where a, b, c and d are all integers.
     Suppose the equation has a root of the form ki, where k is real
     and k  0
   a) State why the conjugate –ki is also a root.
   Roots appear in conjugate pairs when the coefficients are real.
 b) Show that c  k 2 a
    x 4  ax 3  bx 2  cx  d   x  ki  x  ki x 2  px  q 
                                x 2  k 2 x 2  px  q 
                                 x 4  px 3  qx 2  k 2 x 2  k 2 px  k 2 q
                             x 4  px 3  q  k 2 x 2  k 2 px  k 2 q
     p  a  (1) q  k 2  b  (2) k 2 p  c  (3) k 2 q  d  (4)
      Substitute (1) into (3)                  k 2a  c
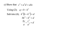
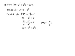
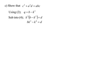
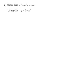
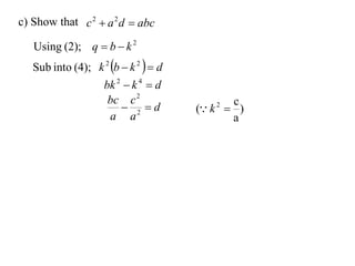
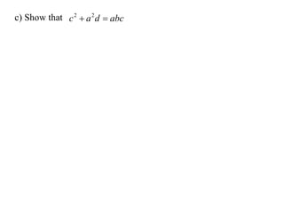
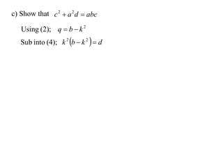
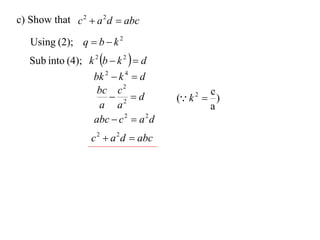
c) Show that c 2  a 2 d  abc
c) Show that c 2  a 2 d  abc

   Using (2); q  b  k 2
c) Show that c 2  a 2 d  abc

   Using (2); q  b  k 2
   Sub into (4); k 2 b  k 2   d
c) Show that c 2  a 2 d  abc

   Using (2); q  b  k 2
   Sub into (4); k 2 b  k 2   d
                    bk 2  k 4  d
c) Show that c 2  a 2 d  abc

   Using (2); q  b  k 2
   Sub into (4); k 2 b  k 2   d
                    bk 2  k 4  d
                     bc c 2
                         2 d
                     a a
c) Show that c 2  a 2 d  abc

   Using (2); q  b  k 2
   Sub into (4); k 2 b  k 2   d
                    bk 2  k 4  d
                     bc c 2                   c
                         2 d        ( k 2  )
                     a a                      a
c) Show that c 2  a 2 d  abc

   Using (2); q  b  k 2
   Sub into (4); k 2 b  k 2   d
                    bk 2  k 4  d
                     bc c 2                     c
                         2 d          ( k 2  )
                     a a                        a
                    abc  c 2  a 2 d
c) Show that c 2  a 2 d  abc

   Using (2); q  b  k 2
   Sub into (4); k 2 b  k 2   d
                    bk 2  k 4  d
                     bc c 2                     c
                         2 d          ( k 2  )
                     a a                        a
                    abc  c 2  a 2 d
                   c 2  a 2 d  abc
d) If 2 is also a root of the equation, and b = 0, show that c is even.
d) If 2 is also a root of the equation, and b = 0, show that c is even.
   Let  be the 4th root
d) If 2 is also a root of the equation, and b = 0, show that c is even.
  Let  be the 4th root
  As the other three roots are integer multiples, and the product of
  the roots is an integer;
   is an integer
d) If 2 is also a root of the equation, and b = 0, show that c is even.
  Let  be the 4th root
  As the other three roots are integer multiples, and the product of
  the roots is an integer;
   is an integer

  ki ki   2 ki   2ki     ki    ki   2  b
d) If 2 is also a root of the equation, and b = 0, show that c is even.
  Let  be the 4th root
  As the other three roots are integer multiples, and the product of
  the roots is an integer;
   is an integer

  ki ki   2 ki   2ki     ki    ki   2  b     
d) If 2 is also a root of the equation, and b = 0, show that c is even.
  Let  be the 4th root
  As the other three roots are integer multiples, and the product of
  the roots is an integer;
   is an integer

  ki ki   2 ki   2ki     ki    ki   2  b     
                                                 k 2  2  0
                                                       k 2  2
d) If 2 is also a root of the equation, and b = 0, show that c is even.
  Let  be the 4th root
  As the other three roots are integer multiples, and the product of
  the roots is an integer;
   is an integer

  ki ki   2 ki   2ki     ki    ki   2  b     
                                                 k 2  2  0
                                                       k 2  2
    From c)  c  k 2 a
d) If 2 is also a root of the equation, and b = 0, show that c is even.
  Let  be the 4th root
  As the other three roots are integer multiples, and the product of
  the roots is an integer;
   is an integer

  ki ki   2 ki   2ki     ki    ki   2  b     
                                                 k 2  2  0
                                                       k 2  2
    From c)  c  k 2 a
                c  2a
d) If 2 is also a root of the equation, and b = 0, show that c is even.
  Let  be the 4th root
  As the other three roots are integer multiples, and the product of
  the roots is an integer;
   is an integer

  ki ki   2 ki   2ki     ki    ki   2  b     
                                                 k 2  2  0
                                                       k 2  2
    From c)  c  k 2 a
                c  2a
                 c  2M
d) If 2 is also a root of the equation, and b = 0, show that c is even.
  Let  be the 4th root
  As the other three roots are integer multiples, and the product of
  the roots is an integer;
   is an integer

  ki ki   2 ki   2ki     ki    ki   2  b     
                                                 k 2  2  0
                                                       k 2  2
    From c)  c  k 2 a
                c  2a
                 c  2 M  and a are both integers, M is an integer
d) If 2 is also a root of the equation, and b = 0, show that c is even.
  Let  be the 4th root
  As the other three roots are integer multiples, and the product of
  the roots is an integer;
   is an integer

  ki ki   2 ki   2ki     ki    ki   2  b     
                                                 k 2  2  0
                                                       k 2  2
    From c)  c  k 2 a
                c  2a
                 c  2 M  and a are both integers, M is an integer
        Thus c is an even number, as it is divisible by 2
Exercise 5D; 1 to 9

X2 t02 03 roots & coefficients (2012)

  • 1.
  • 2.
    Roots and Coefficients For P x   ax n  bx n 1  cx n  2 
  • 3.
    Roots and Coefficients For P x   ax n  bx n 1  cx n  2  b   a (sum of roots, 1 at a time i.e.        )
  • 4.
    Roots and Coefficients For P x   ax n  bx n 1  cx n  2  b   a (sum of roots, 1 at a time i.e.        ) c    a (sum of roots, 2 at a time i.e.       )
  • 5.
    Roots and Coefficients For P x   ax n  bx n 1  cx n  2  b   a (sum of roots, 1 at a time i.e.        ) c    a (sum of roots, 2 at a time i.e.       ) d   a (sum of roots, 3 at a time i.e.    )
  • 6.
    Roots and Coefficients For P x   ax n  bx n 1  cx n  2  b   a (sum of roots, 1 at a time i.e.        ) c    a (sum of roots, 2 at a time i.e.       ) d   a (sum of roots, 3 at a time i.e.    ) e   a (sum of roots, 4 at a time)
  • 7.
    We have alreadyseen that for ax 2  bx  c ;  2   2     2  2
  • 8.
    We have alreadyseen that for ax 2  bx  c ;  2   2     2  2 and 1 1      
  • 9.
    We have alreadyseen that for ax 2  bx  c ;  2   2     2  2 and 1 1       This can be generalised to;
  • 10.
    We have alreadyseen that for ax 2  bx  c ;  2   2     2  2 and 1 1       This can be generalised to;       2  2 2
  • 11.
    We have alreadyseen that for ax 2  bx  c ;  2   2     2  2 and 1 1       This can be generalised to;       2  2 2 1      (order 2)
  • 12.
    We have alreadyseen that for ax 2  bx  c ;  2   2     2  2 and 1 1       This can be generalised to;       2  2 2 1      (order 2)   (order 3) 
  • 13.
    We have alreadyseen that for ax 2  bx  c ;  2   2     2  2 and 1 1       This can be generalised to;       2  2 2 1      (order 2)   (order 3)    (order 4) 
  • 14.
    e.g. (i) x3  2 x 2  3 x  4  0, find;
  • 15.
    e.g. (i) x3  2 x 2  3 x  4  0, find; a)   b)    c)   
  • 16.
    e.g. (i) x3  2 x 2  3 x  4  0, find; a)   =2 b)    =3 c)    =4
  • 17.
    e.g. (i) x3  2 x 2  3 x  4  0, find; a)   =2 b)    =3 c)    =4 d)   2
  • 18.
    e.g. (i) x3  2 x 2  3 x  4  0, find; a)   =2 b)    =3 c)    =4 d)   2      2  2
  • 19.
    e.g. (i) x3  2 x 2  3 x  4  0, find; a)   =2 b)    =3 c)    =4 d)   2      2  2  2 2  23  2
  • 20.
    e.g. (i) x3  2 x 2  3 x  4  0, find; a)   =2 b)    =3 c)    =4 d)   2      2  2  2 2  23  2 e)   3
  • 21.
    e.g. (i) x3  2 x 2  3 x  4  0, find; a)   =2 b)    =3 c)    =4 d)   2      2  2  2 2  23  2 e)   3  3  2 2  3  4  0
  • 22.
    e.g. (i) x3  2 x 2  3 x  4  0, find; a)   =2 b)    =3 c)    =4 d)   2      2  2  2 2  23  2 e)   3  3  2 2  3  4  0  3  2  2  3  4  0  3  2 2  3  4  0
  • 23.
    e.g. (i) x3  2 x 2  3 x  4  0, find; a)   =2 b)    =3 c)    =4 d)   2      2  2  2 2  23  2 e)   3  3  2 2  3  4  0  3  2  2  3  4  0  3  2 2  3  4  0   3  2  2  3   12  0
  • 24.
      3 2  2  3   12  0
  • 25.
      3 2  2  3   12  0   3  2  2  3   12
  • 26.
      3 2  2  3   12  0   3  2  2  3   12  2 2   32   12 2
  • 27.
      3 2  2  3   12  0   3  2  2  3   12  2 2   32   12 2 f)   4
  • 28.
      3 2  2  3   12  0   3  2  2  3   12  2 2   32   12 2 f)   4  4  2 3  3 2  4  0
  • 29.
      3 2  2  3   12  0   3  2  2  3   12  2 2   32   12 2 f)   4  4  2 3  3 2  4  0  4  2  3  3 2  4   0  4  2 3  3 2  4  0
  • 30.
      3 2  2  3   12  0   3  2  2  3   12  2 2   32   12 2 f)   4  4  2 3  3 2  4  0  4  2  3  3 2  4   0  4  2 3  3 2  4  0   4  2  3  3  2  4   0
  • 31.
      3 2  2  3   12  0   3  2  2  3   12  2 2   32   12 2 f)   4  4  2 3  3 2  4  0  4  2  3  3 2  4   0  4  2 3  3 2  4  0   4  2  3  3  2  4   0   4  2  3  3  2  4 
  • 32.
      3 2  2  3   12  0   3  2  2  3   12  2 2   32   12 2 f)   4  4  2 3  3 2  4  0  4  2  3  3 2  4   0  4  2 3  3 2  4  0   4  2  3  3  2  4   0   4  2  3  3  2  4   22   3 2   42   18
  • 33.
    g)          
  • 34.
    g)                        
  • 35.
    g)                          2   2   2   
  • 36.
    g)                          2   2   2     4  2  2    2     8  4  4   2   4  2  2    8  4   2    
  • 37.
    g)                          2   2   2     4  2  2    2     8  4  4   2   4  2  2    8  4   2      8  42   23  4 2
  • 38.
    (ii) (1996) Consider the polynomial equation x 4  ax 3  bx 2  cx  d  0 where a, b, c and d are all integers. Suppose the equation has a root of the form ki, where k is real and k  0
  • 39.
    (ii) (1996) Consider the polynomial equation x 4  ax 3  bx 2  cx  d  0 where a, b, c and d are all integers. Suppose the equation has a root of the form ki, where k is real and k  0 a) State why the conjugate –ki is also a root.
  • 40.
    (ii) (1996) Consider the polynomial equation x 4  ax 3  bx 2  cx  d  0 where a, b, c and d are all integers. Suppose the equation has a root of the form ki, where k is real and k  0 a) State why the conjugate –ki is also a root. Roots appear in conjugate pairs when the coefficients are real.
  • 41.
    (ii) (1996) Consider the polynomial equation x 4  ax 3  bx 2  cx  d  0 where a, b, c and d are all integers. Suppose the equation has a root of the form ki, where k is real and k  0 a) State why the conjugate –ki is also a root. Roots appear in conjugate pairs when the coefficients are real. b) Show that c  k 2 a
  • 42.
    (ii) (1996) Consider the polynomial equation x 4  ax 3  bx 2  cx  d  0 where a, b, c and d are all integers. Suppose the equation has a root of the form ki, where k is real and k  0 a) State why the conjugate –ki is also a root. Roots appear in conjugate pairs when the coefficients are real. b) Show that c  k 2 a x 4  ax 3  bx 2  cx  d   x  ki  x  ki x 2  px  q 
  • 43.
    (ii) (1996) Consider the polynomial equation x 4  ax 3  bx 2  cx  d  0 where a, b, c and d are all integers. Suppose the equation has a root of the form ki, where k is real and k  0 a) State why the conjugate –ki is also a root. Roots appear in conjugate pairs when the coefficients are real. b) Show that c  k 2 a x 4  ax 3  bx 2  cx  d   x  ki  x  ki x 2  px  q   x 2  k 2 x 2  px  q   x 4  px 3  qx 2  k 2 x 2  k 2 px  k 2 q  x 4  px 3  q  k 2 x 2  k 2 px  k 2 q
  • 44.
    (ii) (1996) Consider the polynomial equation x 4  ax 3  bx 2  cx  d  0 where a, b, c and d are all integers. Suppose the equation has a root of the form ki, where k is real and k  0 a) State why the conjugate –ki is also a root. Roots appear in conjugate pairs when the coefficients are real. b) Show that c  k 2 a x 4  ax 3  bx 2  cx  d   x  ki  x  ki x 2  px  q   x 2  k 2 x 2  px  q   x 4  px 3  qx 2  k 2 x 2  k 2 px  k 2 q  x 4  px 3  q  k 2 x 2  k 2 px  k 2 q  p  a  (1) q  k 2  b  (2) k 2 p  c  (3) k 2 q  d  (4)
  • 45.
    (ii) (1996) Consider the polynomial equation x 4  ax 3  bx 2  cx  d  0 where a, b, c and d are all integers. Suppose the equation has a root of the form ki, where k is real and k  0 a) State why the conjugate –ki is also a root. Roots appear in conjugate pairs when the coefficients are real. b) Show that c  k 2 a x 4  ax 3  bx 2  cx  d   x  ki  x  ki x 2  px  q   x 2  k 2 x 2  px  q   x 4  px 3  qx 2  k 2 x 2  k 2 px  k 2 q  x 4  px 3  q  k 2 x 2  k 2 px  k 2 q  p  a  (1) q  k 2  b  (2) k 2 p  c  (3) k 2 q  d  (4) Substitute (1) into (3)
  • 46.
    (ii) (1996) Consider the polynomial equation x 4  ax 3  bx 2  cx  d  0 where a, b, c and d are all integers. Suppose the equation has a root of the form ki, where k is real and k  0 a) State why the conjugate –ki is also a root. Roots appear in conjugate pairs when the coefficients are real. b) Show that c  k 2 a x 4  ax 3  bx 2  cx  d   x  ki  x  ki x 2  px  q   x 2  k 2 x 2  px  q   x 4  px 3  qx 2  k 2 x 2  k 2 px  k 2 q  x 4  px 3  q  k 2 x 2  k 2 px  k 2 q  p  a  (1) q  k 2  b  (2) k 2 p  c  (3) k 2 q  d  (4) Substitute (1) into (3) k 2a  c
  • 47.
    c) Show thatc 2  a 2 d  abc
  • 48.
    c) Show thatc 2  a 2 d  abc Using (2); q  b  k 2
  • 49.
    c) Show thatc 2  a 2 d  abc Using (2); q  b  k 2 Sub into (4); k 2 b  k 2   d
  • 50.
    c) Show thatc 2  a 2 d  abc Using (2); q  b  k 2 Sub into (4); k 2 b  k 2   d bk 2  k 4  d
  • 51.
    c) Show thatc 2  a 2 d  abc Using (2); q  b  k 2 Sub into (4); k 2 b  k 2   d bk 2  k 4  d bc c 2  2 d a a
  • 52.
    c) Show thatc 2  a 2 d  abc Using (2); q  b  k 2 Sub into (4); k 2 b  k 2   d bk 2  k 4  d bc c 2 c  2 d ( k 2  ) a a a
  • 53.
    c) Show thatc 2  a 2 d  abc Using (2); q  b  k 2 Sub into (4); k 2 b  k 2   d bk 2  k 4  d bc c 2 c  2 d ( k 2  ) a a a abc  c 2  a 2 d
  • 54.
    c) Show thatc 2  a 2 d  abc Using (2); q  b  k 2 Sub into (4); k 2 b  k 2   d bk 2  k 4  d bc c 2 c  2 d ( k 2  ) a a a abc  c 2  a 2 d c 2  a 2 d  abc
  • 55.
    d) If 2is also a root of the equation, and b = 0, show that c is even.
  • 56.
    d) If 2is also a root of the equation, and b = 0, show that c is even. Let  be the 4th root
  • 57.
    d) If 2is also a root of the equation, and b = 0, show that c is even. Let  be the 4th root As the other three roots are integer multiples, and the product of the roots is an integer;  is an integer
  • 58.
    d) If 2is also a root of the equation, and b = 0, show that c is even. Let  be the 4th root As the other three roots are integer multiples, and the product of the roots is an integer;  is an integer  ki ki   2 ki   2ki     ki    ki   2  b
  • 59.
    d) If 2is also a root of the equation, and b = 0, show that c is even. Let  be the 4th root As the other three roots are integer multiples, and the product of the roots is an integer;  is an integer  ki ki   2 ki   2ki     ki    ki   2  b   
  • 60.
    d) If 2is also a root of the equation, and b = 0, show that c is even. Let  be the 4th root As the other three roots are integer multiples, and the product of the roots is an integer;  is an integer  ki ki   2 ki   2ki     ki    ki   2  b    k 2  2  0 k 2  2
  • 61.
    d) If 2is also a root of the equation, and b = 0, show that c is even. Let  be the 4th root As the other three roots are integer multiples, and the product of the roots is an integer;  is an integer  ki ki   2 ki   2ki     ki    ki   2  b    k 2  2  0 k 2  2 From c)  c  k 2 a
  • 62.
    d) If 2is also a root of the equation, and b = 0, show that c is even. Let  be the 4th root As the other three roots are integer multiples, and the product of the roots is an integer;  is an integer  ki ki   2 ki   2ki     ki    ki   2  b    k 2  2  0 k 2  2 From c)  c  k 2 a c  2a
  • 63.
    d) If 2is also a root of the equation, and b = 0, show that c is even. Let  be the 4th root As the other three roots are integer multiples, and the product of the roots is an integer;  is an integer  ki ki   2 ki   2ki     ki    ki   2  b    k 2  2  0 k 2  2 From c)  c  k 2 a c  2a c  2M
  • 64.
    d) If 2is also a root of the equation, and b = 0, show that c is even. Let  be the 4th root As the other three roots are integer multiples, and the product of the roots is an integer;  is an integer  ki ki   2 ki   2ki     ki    ki   2  b    k 2  2  0 k 2  2 From c)  c  k 2 a c  2a c  2 M  and a are both integers, M is an integer
  • 65.
    d) If 2is also a root of the equation, and b = 0, show that c is even. Let  be the 4th root As the other three roots are integer multiples, and the product of the roots is an integer;  is an integer  ki ki   2 ki   2ki     ki    ki   2  b    k 2  2  0 k 2  2 From c)  c  k 2 a c  2a c  2 M  and a are both integers, M is an integer Thus c is an even number, as it is divisible by 2
  • 66.