Thi thử Đại học môn Toán toanpt.net
1
SỞ GD-ĐT QUẢNG TRỊ ĐỀ THI THỬ ĐẠI HỌC (Đợt 2- 17/4/2010)
TRƯỜNG THPT CHUYÊN
LÊ QUÝ ĐÔN (Thời gian làm bài: 180 phút)
I. PHẦN CHUNG (7 điểm) (Cho tất cả các thí sinh)
Câu 1 (2đ) Cho hàm số: y = 2x3
- 3x2
+ 1 (1)
1. Khảo sát sự biến thiên và vẽ đồ thị (C) của hàm số (1)
2. Tìm trên (C) những điểm M sao cho tiếp tuyến của (C) tại M cắt trục tung tại
điểm có tung độ bằng 8.
Câu 2 (2đ) 1. Giải hệ phương trình:







2
2
3
1
9
1218
yxy
xxy
2. Giải phương trình: 9x
+ ( x - 12).3x
+ 11 - x = 0
Câu 3 (1đ) Tính thể tích khối chóp tam giác đều S.ABC có cạnh đáy bằng a và khoảng
cách giữa cạnh bên và cạnh đáy đối diện bằng m.
Câu 4 (1đ) Tính tích phân:  
2
2
0
)]4ln()2([ dxxxxI
Câu 5 (1đ) Cho tam giác ABC, với BC = a, CA = b, AB = c.
Thoả mãn hệ điều kiện:






2
2
)(
)(
cabb
bcaa
CMR:
CBA sin
1
sin
1
sin
1

II. PHẦN RIÊNG (3đ) (Thí sinh chỉ làm một trong hai phần)
Theo chương trình chuẩn:
Câu 6a (2đ)
1. Trong mặt phẳng (oxy) cho đường thẳng (d): 3x - 4y + 5 = 0 và đường tròn (C):
x2
+ y2
+ 2x - 6y + 9 = 0
Tìm những điểm M (C) và N  (d) sao cho MN có độ dài nhỏ nhất.
2. Trong không gian (oxyz) cho hai mặt phẳng:
(P1): x - 2y + 2z - 3 = 0
(P2): 2x + y - 2z - 4 = 0 và đường thẳng (d):
3
4
21
2 




 zyx
Lập phương trình mặt cầu (S) có tâm I  (d) và tiếp xúc với hai mặt phẳng (P1),
(P2).
Câu 7a (1đ)Đặt: (1 - x + x2
- x3
)4
= a0 + a1x + a2x2
+ ... + a12x12
.
Tính hệ số a7.
Theo chương trình nâng cao
Câu 6b (2đ)
1. Trong mặt phẳng (oxy) cho đường tròn (C): (x + 1)2
+ (y - 3)2
= 1 và điểm
M 





5
7
,
5
1
. Tìm trên (C) những điểm N sao cho MN có độ dài lớn nhất.
2. Trong không gian (oxyz), cho mặt cầu (S): x2
+ y2
+ z2
+ 2x - 4y - 2z + 5 = 0 và
mặt phẳng (P): x - 2y + 2z - 3 = 0.
Tìm những điểm M  (S), N (P) sao cho MN có độ dài nhỏ nhất.
Câu 7b (1đ) Dùng định nghĩa, tính đạo hàm của hàm số:
x
xx
xf
2131
)(
3

 khi x  0, và 0)0( f ; tại điểm x0 = 0.
Thi thử Đại học môn Toán toanpt.net
2
ĐÁP ÁN ĐỀ THI THỬ ĐẠI HỌC (Đợt 2- 17/4/2010)
I. PHẦN CHUNG (7 điểm) ĐIỂM
Câu 1 (2đ) y = 2x3
- 3x2
+ 1
1) Khảo sát và vẽ đồ thị (C)
* TXĐ: R
* Sự biến thiên: + Giới hạn:
x
ylim =  ,
x
ylim =  0,25đ
+ Bảng biến thiên: y’ = 6x2
- 6x = 6x (x - 1)
y' = 0 





)0(;1
)1(;0
yx
yx
0,25đ
Lập BBT; nêu đúng các khoảng đơn điệu và các điểm cực trị 0,25đ
* Đồ thị: (tự vẽ), rõ ràng, đầy đủ, chính xác. 0,25đ
2) Tìm M  (C) ?
Giả sử M (x0; y0) (C) y0 = 2x0
3
- 3x0
2
+ 1
Tiếp tuyến () của (C) tại M:
y = (6x0
2
- 6x0) (x - x0) + 2x0
3
- 3x0
2
+ 1 0,25đ
() đi qua điểm P(0 ; 8)  8 = -4x0
3
+ 3x0
2
+ 1
 (x0 + 1) (4x0
2
- 7x0 + 7) = 0 0,25đ
 x0 = -1 ; (4x0
2
- 7x0 + 7 > 0,  x0) 0,25đ
Vậy, có duy nhất điểm M (-1 ; -4) cần tìm. 0,25đ
Câu 2 (2đ)
1) Giải hệ:







3232
3
1
9
320121218
2
22
xyyxyxy
xxxxy
0,25đ
1832  xyx 0,25đ
 32;32 x , tương ứng y  33;33 0,25đ
Thử lại, thoả mãn hệ đã cho
Vậy,      33;32,33;32; yx 0,25đ
2) Giải phương trình:     0113123
2
 xx xx







xx
x
113
13






(*)0113)(
0
xxf
x
x
(a + b + c = 0) 0,5đ
(*)
0)2(
,013ln3)('






f
xxf x
có nghiệm duy nhất x = 2 0,25đ
Vậy, tập nghiệm của phương trình: S = {0 ; 2} 0,25đ
Thi thử Đại học môn Toán toanpt.net
3
M
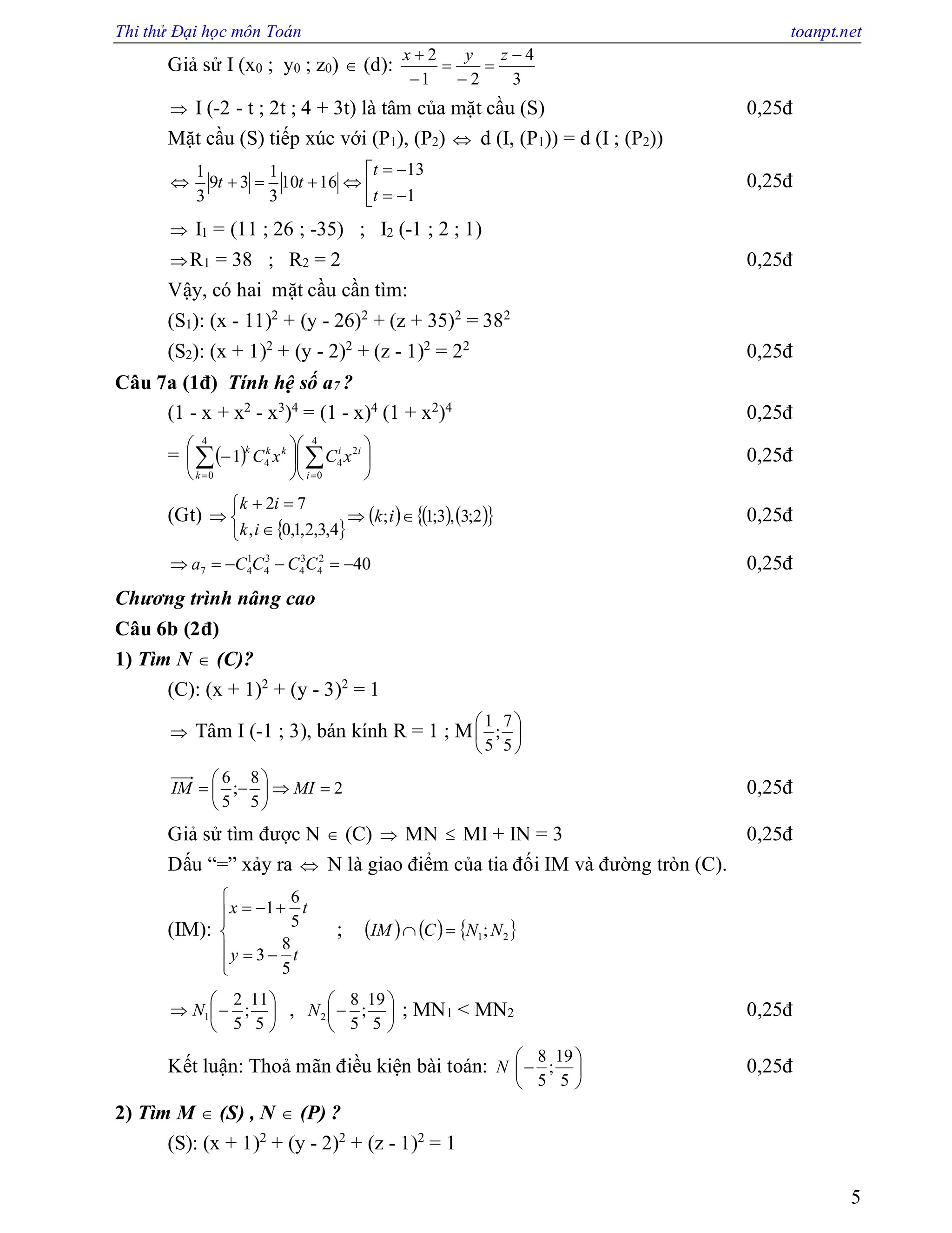
Câu 3 (1đ) S
N
A C
O
B
SO  (ABC)
S.ABC chóp  đều  O là tâm tam giác đều ABC.
MBCAO   )(SAMBC
BCSO
BCAM






Trong  SAM kẻ đường cao MN MN = m
2
3
2
3
360sin2 0
a
AOAM
aa
AO  0,25đ
3
SOSAhSO
2
222 a
hAO 
SA.MN = SO.AM   22222
3
4
43 mahma  







 am
2
3
0,25đ
22
433
2
ma
am
h

 ; và S(ABC) =
4
3
a2
0,25đ
22
3
436
).(
3
1
ma
ma
hABCSV

 







 am
2
3
0,25đ
Câu 4 (1đ) Tính tích phân
 
2
0
)2( dxxxI +  
2
0
2
)4ln( dxx = 21 II 
 
2
0
2
2
0
1
2
)1(1)2(

dxxdxxxI (sử dụng đổi biến: tx sin1 ) 0,25đ
 

2
0
2
2
2
0
2
2
0
2
2
4
2|)4ln()4ln( dx
x
x
xxdxxI (Từng phần) 0,25đ
42ln6   (đổi biến tx tan2 ) 0,25đ
2ln64
2
3
21 

III 0,25đ
Câu 5 (1đ)
ABC:






)2()(
)1()(
2
2
cabb
bcaa
(1) sin2
A + sinAsinC = sin2
B (Đl sin)
Thi thử Đại học môn Toán toanpt.net
4
sinAsinC =
2
1
(cos2A - cos2B)
 sinAsinC = sin(A + B) sin (B -A)
 sinA = sin (B - A) ; (sin (A + B) = sin C > 0)
A = B - A ; (A, B là góc của tam giác)
 B = 2A 0,25đ
Tương tự: (2) C = 2B
A + B + C =  , nên A =
7

; B =
7
2
; C =
7
4
0,25đ
Ta có:
CB sin
1
sin
1
 =
7
3
sin
7
cos
7
sin2
7
cos
7
3
sin2
7
4
sin
7
2
sin
7
2
sin
7
4
sin






0,25đ
=
Asin
1
7
sin
1


(đpcm) 0,25đ
II. PHẦN RIÊNG (3 điểm)
Chương trình cơ bản
Câu 6a (2đ)
1) Tìm M  (C), N  (d)?
(d): 3x - 4y + 5 = 0
(C): (x + 1)2
+ (y - 3)2
= 1  Tâm I (-1 ; 3), bán kính R = 1
d (I ; d) = 2 (d)  (C) = Ø
Giả sử tìm được N0  (d)  N0 là hình chiếu vuông góc của I trên (d)
 N0 = (d)   , với:
 
   




 4;3)(
)3;1(
ud
I
0,25đ
  












5
7
;
5
1
43
31
: 0N
ty
tx
0,25đ
Rõ ràng   (C) = {M1; M2} ; M1 






5
11
;
5
2
; M2 






5
19
;
5
8
M0  (C) để M0N0 nhỏ nhất  M0  M1 và M0N0 = 1 0,25đ
Kết luận: Những điểm cần tìm thoả mãn điều kiện bài toán.
M 






5
11
;
5
2
; N 





5
7
;
5
1
0,25đ
2) Phương trình mặt cầu (S) ?
(P1): x - 2y + 2z - 3 = 0
(P2): 2x + y - 2z - 4 = 0
Thi thử Đại học môn Toán toanpt.net
5
Giả sử I (x0 ; y0 ; z0)  (d):
3
4
21
2 




 zyx
 I (-2 - t ; 2t ; 4 + 3t) là tâm của mặt cầu (S) 0,25đ
Mặt cầu (S) tiếp xúc với (P1), (P2)  d (I, (P1)) = d (I ; (P2))
 





1
13
1610
3
1
39
3
1
t
t
tt 0,25đ
 I1 = (11 ; 26 ; -35) ; I2 (-1 ; 2 ; 1)
R1 = 38 ; R2 = 2 0,25đ
Vậy, có hai mặt cầu cần tìm:
(S1): (x - 11)2
+ (y - 26)2
+ (z + 35)2
= 382
(S2): (x + 1)2
+ (y - 2)2
+ (z - 1)2
= 22
0,25đ
Câu 7a (1đ) Tính hệ số a7 ?
(1 - x + x2
- x3
)4
= (1 - x)4
(1 + x2
)4
0,25đ
=   











  
4
0
2
4
4
0
41
i
ii
k
kkk
xCxC 0,25đ
(Gt)
 
      2;3,3;1;
4,3,2,1,0,
72






 ik
ik
ik
0,25đ
402
4
3
4
3
4
1
47  CCCCa 0,25đ
Chương trình nâng cao
Câu 6b (2đ)
1) Tìm N  (C)?
(C): (x + 1)2
+ (y - 3)2
= 1
 Tâm I (-1 ; 3), bán kính R = 1 ; M 





5
7
;
5
1
2
5
8
;
5
6






 MIIM 0,25đ
Giả sử tìm được N  (C)  MN  MI + IN = 3 0,25đ
Dấu “=” xảy ra  N là giao điểm của tia đối IM và đường tròn (C).
(IM):








ty
tx
5
8
3
5
6
1
;      21;NNCIM 







5
11
;
5
2
1N , 






5
19
;
5
8
2N ; MN1 < MN2 0,25đ
Kết luận: Thoả mãn điều kiện bài toán: 






5
19
;
5
8
N 0,25đ
2) Tìm M  (S) , N  (P) ?
(S): (x + 1)2
+ (y - 2)2
+ (z - 1)2
= 1
Thi thử Đại học môn Toán toanpt.net
6
Tâm I (-1 ; 2 ; 1), bán kính R = 1
(P): x - 2y + 2z - 3 = 0  d   PI; = 2 Ø)()(  SP
Giả sử tìm được N0  (P)N0 là hình chiếu vuông góc của I trên (P) 0,25đ
   PdN  0 , với:
 






)2;2;1()()(
)1;2;1(
duPd
Id
 









tz
ty
tx
d
21
22
1
: 






3
7
;
3
2
;
3
1
0N 0,25đ
 )()( Sd {M1 ; M2}







3
5
;
3
4
;
3
2
1M , 






3
1
;
3
8
;
3
4
2M 0,25đ
M1M0 = 1 < M2M0 = 3
M0  (S) để M0N0 nhỏ nhất  M0  M1
Vậy, những điểm cần tìm thoả mãn yêu cầu bài toán.







3
5
;
3
4
;
3
2
M , 






3
7
;
3
2
;
3
1
N 0,25đ
Câu 7b (1đ)
Đạo hàm bằng định nghĩa:
x
fxf
x
)0()(
lim
0


= 2
3
0
2131
lim
x
xx
x


0,25đ
= 2
3
0
21)1()1(31
lim
x
xxxx
x


0,25đ
=
    xxxxxx
x
xx 21)1(
1
lim
1311)31(
3
lim
0233 20 





0,25đ
= -1 +
2
1
= -
2
1
. Vậy,
2
1
' )0( f 0,25đ

Toan pt.de083.2010

  • 1.
    Thi thử Đạihọc môn Toán toanpt.net 1 SỞ GD-ĐT QUẢNG TRỊ ĐỀ THI THỬ ĐẠI HỌC (Đợt 2- 17/4/2010) TRƯỜNG THPT CHUYÊN LÊ QUÝ ĐÔN (Thời gian làm bài: 180 phút) I. PHẦN CHUNG (7 điểm) (Cho tất cả các thí sinh) Câu 1 (2đ) Cho hàm số: y = 2x3 - 3x2 + 1 (1) 1. Khảo sát sự biến thiên và vẽ đồ thị (C) của hàm số (1) 2. Tìm trên (C) những điểm M sao cho tiếp tuyến của (C) tại M cắt trục tung tại điểm có tung độ bằng 8. Câu 2 (2đ) 1. Giải hệ phương trình:        2 2 3 1 9 1218 yxy xxy 2. Giải phương trình: 9x + ( x - 12).3x + 11 - x = 0 Câu 3 (1đ) Tính thể tích khối chóp tam giác đều S.ABC có cạnh đáy bằng a và khoảng cách giữa cạnh bên và cạnh đáy đối diện bằng m. Câu 4 (1đ) Tính tích phân:   2 2 0 )]4ln()2([ dxxxxI Câu 5 (1đ) Cho tam giác ABC, với BC = a, CA = b, AB = c. Thoả mãn hệ điều kiện:       2 2 )( )( cabb bcaa CMR: CBA sin 1 sin 1 sin 1  II. PHẦN RIÊNG (3đ) (Thí sinh chỉ làm một trong hai phần) Theo chương trình chuẩn: Câu 6a (2đ) 1. Trong mặt phẳng (oxy) cho đường thẳng (d): 3x - 4y + 5 = 0 và đường tròn (C): x2 + y2 + 2x - 6y + 9 = 0 Tìm những điểm M (C) và N  (d) sao cho MN có độ dài nhỏ nhất. 2. Trong không gian (oxyz) cho hai mặt phẳng: (P1): x - 2y + 2z - 3 = 0 (P2): 2x + y - 2z - 4 = 0 và đường thẳng (d): 3 4 21 2       zyx Lập phương trình mặt cầu (S) có tâm I  (d) và tiếp xúc với hai mặt phẳng (P1), (P2). Câu 7a (1đ)Đặt: (1 - x + x2 - x3 )4 = a0 + a1x + a2x2 + ... + a12x12 . Tính hệ số a7. Theo chương trình nâng cao Câu 6b (2đ) 1. Trong mặt phẳng (oxy) cho đường tròn (C): (x + 1)2 + (y - 3)2 = 1 và điểm M       5 7 , 5 1 . Tìm trên (C) những điểm N sao cho MN có độ dài lớn nhất. 2. Trong không gian (oxyz), cho mặt cầu (S): x2 + y2 + z2 + 2x - 4y - 2z + 5 = 0 và mặt phẳng (P): x - 2y + 2z - 3 = 0. Tìm những điểm M  (S), N (P) sao cho MN có độ dài nhỏ nhất. Câu 7b (1đ) Dùng định nghĩa, tính đạo hàm của hàm số: x xx xf 2131 )( 3   khi x  0, và 0)0( f ; tại điểm x0 = 0.
  • 2.
    Thi thử Đạihọc môn Toán toanpt.net 2 ĐÁP ÁN ĐỀ THI THỬ ĐẠI HỌC (Đợt 2- 17/4/2010) I. PHẦN CHUNG (7 điểm) ĐIỂM Câu 1 (2đ) y = 2x3 - 3x2 + 1 1) Khảo sát và vẽ đồ thị (C) * TXĐ: R * Sự biến thiên: + Giới hạn: x ylim =  , x ylim =  0,25đ + Bảng biến thiên: y’ = 6x2 - 6x = 6x (x - 1) y' = 0       )0(;1 )1(;0 yx yx 0,25đ Lập BBT; nêu đúng các khoảng đơn điệu và các điểm cực trị 0,25đ * Đồ thị: (tự vẽ), rõ ràng, đầy đủ, chính xác. 0,25đ 2) Tìm M  (C) ? Giả sử M (x0; y0) (C) y0 = 2x0 3 - 3x0 2 + 1 Tiếp tuyến () của (C) tại M: y = (6x0 2 - 6x0) (x - x0) + 2x0 3 - 3x0 2 + 1 0,25đ () đi qua điểm P(0 ; 8)  8 = -4x0 3 + 3x0 2 + 1  (x0 + 1) (4x0 2 - 7x0 + 7) = 0 0,25đ  x0 = -1 ; (4x0 2 - 7x0 + 7 > 0,  x0) 0,25đ Vậy, có duy nhất điểm M (-1 ; -4) cần tìm. 0,25đ Câu 2 (2đ) 1) Giải hệ:        3232 3 1 9 320121218 2 22 xyyxyxy xxxxy 0,25đ 1832  xyx 0,25đ  32;32 x , tương ứng y  33;33 0,25đ Thử lại, thoả mãn hệ đã cho Vậy,      33;32,33;32; yx 0,25đ 2) Giải phương trình:     0113123 2  xx xx        xx x 113 13       (*)0113)( 0 xxf x x (a + b + c = 0) 0,5đ (*) 0)2( ,013ln3)('       f xxf x có nghiệm duy nhất x = 2 0,25đ Vậy, tập nghiệm của phương trình: S = {0 ; 2} 0,25đ
  • 3.
    Thi thử Đạihọc môn Toán toanpt.net 3 M Câu 3 (1đ) S N A C O B SO  (ABC) S.ABC chóp  đều  O là tâm tam giác đều ABC. MBCAO   )(SAMBC BCSO BCAM       Trong  SAM kẻ đường cao MN MN = m 2 3 2 3 360sin2 0 a AOAM aa AO  0,25đ 3 SOSAhSO 2 222 a hAO  SA.MN = SO.AM   22222 3 4 43 mahma           am 2 3 0,25đ 22 433 2 ma am h   ; và S(ABC) = 4 3 a2 0,25đ 22 3 436 ).( 3 1 ma ma hABCSV            am 2 3 0,25đ Câu 4 (1đ) Tính tích phân   2 0 )2( dxxxI +   2 0 2 )4ln( dxx = 21 II    2 0 2 2 0 1 2 )1(1)2(  dxxdxxxI (sử dụng đổi biến: tx sin1 ) 0,25đ    2 0 2 2 2 0 2 2 0 2 2 4 2|)4ln()4ln( dx x x xxdxxI (Từng phần) 0,25đ 42ln6   (đổi biến tx tan2 ) 0,25đ 2ln64 2 3 21   III 0,25đ Câu 5 (1đ) ABC:       )2()( )1()( 2 2 cabb bcaa (1) sin2 A + sinAsinC = sin2 B (Đl sin)
  • 4.
    Thi thử Đạihọc môn Toán toanpt.net 4 sinAsinC = 2 1 (cos2A - cos2B)  sinAsinC = sin(A + B) sin (B -A)  sinA = sin (B - A) ; (sin (A + B) = sin C > 0) A = B - A ; (A, B là góc của tam giác)  B = 2A 0,25đ Tương tự: (2) C = 2B A + B + C =  , nên A = 7  ; B = 7 2 ; C = 7 4 0,25đ Ta có: CB sin 1 sin 1  = 7 3 sin 7 cos 7 sin2 7 cos 7 3 sin2 7 4 sin 7 2 sin 7 2 sin 7 4 sin       0,25đ = Asin 1 7 sin 1   (đpcm) 0,25đ II. PHẦN RIÊNG (3 điểm) Chương trình cơ bản Câu 6a (2đ) 1) Tìm M  (C), N  (d)? (d): 3x - 4y + 5 = 0 (C): (x + 1)2 + (y - 3)2 = 1  Tâm I (-1 ; 3), bán kính R = 1 d (I ; d) = 2 (d)  (C) = Ø Giả sử tìm được N0  (d)  N0 là hình chiếu vuông góc của I trên (d)  N0 = (d)   , với:            4;3)( )3;1( ud I 0,25đ                5 7 ; 5 1 43 31 : 0N ty tx 0,25đ Rõ ràng   (C) = {M1; M2} ; M1        5 11 ; 5 2 ; M2        5 19 ; 5 8 M0  (C) để M0N0 nhỏ nhất  M0  M1 và M0N0 = 1 0,25đ Kết luận: Những điểm cần tìm thoả mãn điều kiện bài toán. M        5 11 ; 5 2 ; N       5 7 ; 5 1 0,25đ 2) Phương trình mặt cầu (S) ? (P1): x - 2y + 2z - 3 = 0 (P2): 2x + y - 2z - 4 = 0
  • 5.
    Thi thử Đạihọc môn Toán toanpt.net 5 Giả sử I (x0 ; y0 ; z0)  (d): 3 4 21 2       zyx  I (-2 - t ; 2t ; 4 + 3t) là tâm của mặt cầu (S) 0,25đ Mặt cầu (S) tiếp xúc với (P1), (P2)  d (I, (P1)) = d (I ; (P2))        1 13 1610 3 1 39 3 1 t t tt 0,25đ  I1 = (11 ; 26 ; -35) ; I2 (-1 ; 2 ; 1) R1 = 38 ; R2 = 2 0,25đ Vậy, có hai mặt cầu cần tìm: (S1): (x - 11)2 + (y - 26)2 + (z + 35)2 = 382 (S2): (x + 1)2 + (y - 2)2 + (z - 1)2 = 22 0,25đ Câu 7a (1đ) Tính hệ số a7 ? (1 - x + x2 - x3 )4 = (1 - x)4 (1 + x2 )4 0,25đ =                  4 0 2 4 4 0 41 i ii k kkk xCxC 0,25đ (Gt)         2;3,3;1; 4,3,2,1,0, 72        ik ik ik 0,25đ 402 4 3 4 3 4 1 47  CCCCa 0,25đ Chương trình nâng cao Câu 6b (2đ) 1) Tìm N  (C)? (C): (x + 1)2 + (y - 3)2 = 1  Tâm I (-1 ; 3), bán kính R = 1 ; M       5 7 ; 5 1 2 5 8 ; 5 6        MIIM 0,25đ Giả sử tìm được N  (C)  MN  MI + IN = 3 0,25đ Dấu “=” xảy ra  N là giao điểm của tia đối IM và đường tròn (C). (IM):         ty tx 5 8 3 5 6 1 ;      21;NNCIM         5 11 ; 5 2 1N ,        5 19 ; 5 8 2N ; MN1 < MN2 0,25đ Kết luận: Thoả mãn điều kiện bài toán:        5 19 ; 5 8 N 0,25đ 2) Tìm M  (S) , N  (P) ? (S): (x + 1)2 + (y - 2)2 + (z - 1)2 = 1
  • 6.
    Thi thử Đạihọc môn Toán toanpt.net 6 Tâm I (-1 ; 2 ; 1), bán kính R = 1 (P): x - 2y + 2z - 3 = 0  d   PI; = 2 Ø)()(  SP Giả sử tìm được N0  (P)N0 là hình chiếu vuông góc của I trên (P) 0,25đ    PdN  0 , với:         )2;2;1()()( )1;2;1( duPd Id            tz ty tx d 21 22 1 :        3 7 ; 3 2 ; 3 1 0N 0,25đ  )()( Sd {M1 ; M2}        3 5 ; 3 4 ; 3 2 1M ,        3 1 ; 3 8 ; 3 4 2M 0,25đ M1M0 = 1 < M2M0 = 3 M0  (S) để M0N0 nhỏ nhất  M0  M1 Vậy, những điểm cần tìm thoả mãn yêu cầu bài toán.        3 5 ; 3 4 ; 3 2 M ,        3 7 ; 3 2 ; 3 1 N 0,25đ Câu 7b (1đ) Đạo hàm bằng định nghĩa: x fxf x )0()( lim 0   = 2 3 0 2131 lim x xx x   0,25đ = 2 3 0 21)1()1(31 lim x xxxx x   0,25đ =     xxxxxx x xx 21)1( 1 lim 1311)31( 3 lim 0233 20       0,25đ = -1 + 2 1 = - 2 1 . Vậy, 2 1 ' )0( f 0,25đ