I.

Judul Percobaan

: Titrasi Asam Basa

II.

Hari / Tanggal Percobaan

: Kamis, 14 November 2013

III.

Selesai Percobaan

: Kamis, 14 November 2013

IV.

Tujuan Percobaan

:

1. Menentukan konsentrasi larutan NaOH dengan larutan baku asam oksalat
2. Menentukan konsentrasi larutan HCl dengan larutan NaOH
V.

Tinjauan Pustaka
Titrasi asam-basa sering disebut juga dengan titrasi netralisasi. Dalam titrasi
ini, kita dapat menggunakan larutan standar asam dan larutan standar basa. Pada
prinsipnya, reaksi yang terjadi adalah reaksi netralisasi yaitu :

Reaksi netralisasi terjadi antara ion hidrogen sebagai asam dengan ion
hidroksida sebagai basa dan membentuk air yang bersifat netral. Berdasarkan
konsep lain reaksi netralisasi dapat juga dikatakan sebagai reaksi antara donor
proton (asam) dengan penerima proton (basa).
Dalam menganalisis sampel yang bersiaft basa, maka kita dapat menggunakan
larutan standar asam, metode ini dikenal dengan istilah asidimetri. Sebaliknya jika
kita menentukan sampel yang bersifat asam, kita akan menggunkan lartan standar
basa dan dikenal dengan istilah alkalimetri.
Dalam melakukan titrasi netralisasi kita perlu secara cermat mengamati
perubahan pH, khususnya pada saat akan mencapai titik akhir titrasi, hal ini
dilakukan untuk mengurangi kesalahan dimana akan terjadi perubahan warna dari
indikator lihat Gambar 15.16.
Gambar 15.16. Titrasi alkalimetri dengan larutan standar basa NaOH
Analit bersifat asam pH mula-mula rendah, penambahan basa menyebabkan
pH naik secara perlahan dan bertambah cepat ketika akan mencapai titik ekuivalen
(pH=7). Penambahan selanjutnya menyebakan larutan kelebihan basa sehingga
pH terus meningkat. Dari Gambar 15.16, juga diperoleh informasi indikator yang
tepat untuk digunakan dalam titrasi ini dengan kisaran pH pH 7 – 10 (Tabel 15.2).

Tabel 15.2. Indikator dan perubahan warnanya pada pH tertentu
Pamanfaatan teknik ini cukup luas, untuk alkalimetri telah dipergunakan untuk
menentukan kadar asam sitrat. Titrasi dilakukan dengan melarutkan sampel sekitar
300 mg kedalam 100 ml air. Titrasi dengan menggunakan larutan NaOH 0.1 N
dengan menggunakan indikator phenolftalein. Titik akhir titrasi diketahui dari
larutan tidak berwarna berubah menjadi merah muda. Selain itu alkalimetri juga
dipergunakan untuk menganalisis asam salisilat, proses titrasi dilakukan dengan
cara melarutkan 250 mg sampel kedalam 15 ml etanol 95% dan tambahkan 20 ml
air. Titrasi dengan NaOH 0.1 N menggunakan indikator phenolftalein, hingga
larutan berubah menjadi merah muda.
Titrasi adalah reaksi yang dilakukan dengan cara menambahkan satu larutan
ke larutan lain dengan sangat terkendali. Tujuannya adalah untuk menghentikan
titrasi pada titik ketika kedua reaktan telah bereaksi sempurna, suatu kondisi yang
disebut titik ekivalen titrasi. Kunci pada setiap titrasi pada titik ekivalen kedua
reaktan yang telah bergabung dalam proporsi stoikiometrik; keduanya terpakai
tanpa ada yang berlebih. Titrasi asam basa didasrkan atas reaksi netralisasi asam
dengan basa.
Larutan salah satu reaktan dimasukkan ke dalam labu Erlenmeyer kecil.
Reaktan lain, juga dalam bentuk larutan yang disebut titran, ditempatkan dalam
buret, suatu tabung panjang bertera yang dilengkapi klep sumbat. Larutan kedua
perlahan-lahan ditambahkan ke larutan pertama dengan mengatur sumbat. Ketika
sedikit zat yang ditambahkan pada campuran reaksi akan berubah warna pada atau
di dekat titik ekivalen, zat ini disebut indikator.
Salah satu prinsip penggunaan indikator asam-basa pada titrasi adalah untuk
menentukan titik ekivalen. Jika perubahan warna indikator terjadi pada titik
ekivalen, titik akhir titrasi, yaitu titik dimana terlihat perubahan warna terjadi pH
yang sama dengan titik ekivalen. Indikator umumnya adlah suatu asam atau basa
organik lemah yang akan berubah warnanya pada harga-harga daerah pH tertentu.
Titik akhir titrasi tidak selalu berimpit dengan titik ekivalen dan kesalahannya
disebut dengan kesalahan titrasi. Kesalahan titrasi dapat diperkecil dengan cara
memilih indikator yang setepat mungkin. Indikator phenolptalein daerah pH
dimana terjadi perubahan warna dari 8,2 – 10,0 dari tak berwarna menjadi warna
merah muda.
Prinsip Titrasi Asam basa
Titrasi asam basa melibatkan asam maupun basa sebagai titer ataupun titran.
Titrasi asam basa berdasarkan reaksi penetralan. Kadar larutan asam ditentukan
dengan menggunakan larutan basa dan sebaliknya.
Titran ditambahkan titer sedikit demi sedikit sampai mencapai keadaan
ekuivalen (artinya secara stoikiometri titrat dan titer tepat habis bereaksi).
Keadaan ini disebut sebagai “titik ekivalen”.
Pada saat titik ekuivalent ini maka proses titrasi dihentikan, kemudian kita
mencatat volume titer yang diperlukan untuk mencapai keadaan tersebut. Dengan
menggunakan data volume titran, volume dan konsentrasi titer maka kita bisa
menghitung kadar titran.
Cara Mengetahui Titik Ekivalen
Ada dua cara umum untuk menentukan titik ekivalen pada titrasi asam basa.
1. Memakai pH meter untuk memonitor perubahan pH selama titrasi dilakukan,
kemudian membuat plot antara pH dengan volume titrant untuk memperoleh
kurva titrasi. Titik tengah dari kurva titrasi tersebut adalah “titik ekivalen”.
2. Memakai indikator asam basa. Indikator ditambahkan pada titrant sebelum
proses titrasi dilakukan. Indikator ini akan berubah warna ketika titik ekuivalen
terjadi, pada saat inilah titrasi kita hentikan.
Pada umumnya cara kedua dipilih disebabkan kemudahan pengamatan, tidak
diperlukan alat tambahan, dan sangat praktis.
Indikator yang dipakai dalam titrasi asam basa adalah indikator yang perbahan
warnanya dipengaruhi oleh pH. Penambahan indikator diusahakan sesedikit
mungkin dan umumnya adalah dua hingga tiga tetes.
Untuk memperoleh ketepatan hasil titrasi maka titik akhir titrasi dipilih
sedekat mungkin dengan titik ekivalen, hal ini dapat dilakukan dengan memilih
indikator yang tepat dan sesuai dengan titrasi yang akan dilakukan.
Keadaan dimana titrasi dihentikan dengan cara melihat perubahan warna
indikator disebut sebagai “titik akhir titrasi”.
Rumus Umum Titrasi
Pada saat titik ekuivalen maka mol-ekuivalen asam akan sama dengan molekuivalen basa, maka hal ini dapat kita tulis sebagai berikut:

Mol-ekuivalen diperoleh dari hasil perkalian antara Normalitas dengan volume
maka rumus diatas dapat kita tulis sebagai:

Normalitas diperoleh dari hasil perkalian antara molaritas (M) dengan jumlah
ion H+ pada asam atau jumlah ion OH–pada basa, sehingga rumus diatas menjadi:

keterangan :
N = Normalitas
V = Volume
M = Molaritas
n

= jumlah ion H+ (pada asam) atau OH– (pada basa)

Data titrasi dapat digunakan untuk menentukan molaritas larutan yang dinamakan
standardisasi larutan.
VI.

Cara Kerja
1. Alat dan Bahan
Statif dan klem
Buret
Labu Erlenmeyer 250 ml
Corong
Pipet tetes
Gelas kimia 100 ml
Gelas ukur
Mortar dan alu
Kertas saring
NaOH
C2H2O4 0,1 N
HCl
Phenolptalein
Ekstrak tumbuhan rhoeo discolor
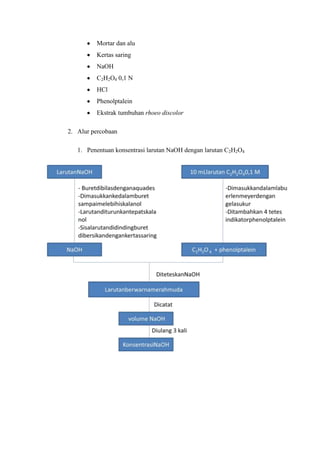
2. Alur percobaan
1. Penentuan konsentrasi larutan NaOH dengan larutan C2H2O4
2. Penentuan konsentrasi HCL dengan larutan NaOH

3. Penentuan HCL dengan ekstrak tumbuhan.
VIII. Analisis Data
Percobaan pertama
Dalam percobaan ini warna larutan C2H2O4 mula- mula adalah bening, dan juga
setelah ditambah 2 tetes phenolptalin adalah bening, tetapi setelah ditambah
NaOH warna larutan menjadi merah muda. Dalam 3 kali replikasi jumlah NaOH
yang diperlukan agar larutan berwarna merah muda tetap yaitu 10,0 mL. dengan
menggunakan rumus N1 V1 = N2 V2 kami memperoleh nilai N NaOH adalah
0,096 N
Reaksi kimianya adalah :
C2H2O4(aq) + NaOH(aq)→Na2C2O4(aq) + 2H2O(l)
Percobaan kedua
Dalam percobaan ini warna larutan HCl mula – mula berwarna bening, dan juga
setelah ditambah dengan 2 tetes phenolptalin warnanya tetap bening, tetapi setelah
NaOH lama kelamaan warna larutan adalah merah muda. Titik akhir titrasi adalah
berada pada volume 8.33 mL. . dengan menggunakan rumus N1 V1 = N2 V2 kami
memperoleh nilai rata-rata N HCl adalah 0,08 N. Reaksi kimianya adalah :
HCl(aq)+NaOH(aq)→ NaCl(aq)+H2O(l)

Percobaan ketiga
Dalam percobaan ini warna larutan HCl mula – mula berwarna bening, dan
setelah ditambah dengan 2 tetes ekstrak tumbuhan rhoeo discolorwarnanya
berubah menjadi kuning kehijauan , dan setelah ditambah NaOH lama kelamaan
warna larutan akan berubah menjadi kuning pudar.

Volume NaOH yang

diperlukan agar larutan berubah warna menjadi kuning adalah 12,67 mL. . Dengan
menggunakan rumus N1 V1 = N2 V2 kami memperoleh nilai rata-rata N HCl
adalah 0,12 N. Reaksi kimianya adalah :
HCl(aq)+NaOH(aq)→ NaCl(aq)+H2O(l)
IX.Pembahasan
Pada percobaan titrasi asam basa yang telah dilakukan, telah diperoleh data
seperti diatas. Pada percobaan titrasi asam basa yang pertama antara larutan asam
oksalat (C2H2O4) yang diletakkan di dalam tabung Erlenmeyer dan telah ditetesi 2
tetes indikator phenolptalein (PP) yang memiliki trayek PH 8,3 ─10,0 dengan
larutan NaOH yang ada di dalam buret. Pada saat pencampuran dilakukan dengan
cara meneteskan tetes demi tetes larutan NaOH yang belum diketahui
konsentrasinya ke dalam larutan asam oksalat (C2H2O4) di tabung Erlenmeyer
yang telah ditetesi indikator phenolptalein (PP), terjadi perubahan warna dari tak
berwarna (jernih) menjadi berwarna pink (merah muda) yang menunjukkan bahwa
larutan C2H2O4 telah bereaksi dengan NaOH dan menghasilkan senyawa
(COONa)2(aq) dengan pH netral berdasarkan reaksi :
C2H2O4(aq)+ 2NaOH(aq)→ Na2C2O4(aq) + 2H2O(l)
Pada percobaan selanjutnya yang melibatkan larutan NaOH yang ada di dalam
buret dengan larutan HCl X molar yang ada di dalam tabung Erlenmeyer yang
telah ditetesi indikator phenolptalein (PP), terjadi perubahan warna yang sama
yaitu dari larutan tak berwarna (jernih) menjadi berwarna merah muda. Hal ini
terjadi karena pada saat diteteskan larutan NaOH dari dalam buret kedalam tabung
Erlenmeyer dengan isi larutan HCl, terjadi reaksi antara keduanya hingga terbentuk
larutan dengan PH netral yang ditunjukkan dengan terjadinya perubahan warna.
Persamaan reaksi yang terjadi adalah :
HCl(aq)+NaOH(aq)→ NaCl(aq)+H2O(l)
Sedangkan pada percobaan yang ketiga, melibatkan larutan yang sama seperti
pada percobaan kedua yaitu larutan NaOH dengan HCl yang telah diketahui
konsentrasinya, tetapi pada percobaan ketiga ini, digunakan indikator ekstrak
tumbuhan yaitu ekstrak kol ungu. Pada saat dilakukan titrasi dengan meneteskan
NaOH tetes demi tetes kedalam larutan HCl yang ada dalam tabung Erlenmeyer,
terjadi perubahan warna dari berwarna kuning kehijauankarena ditetesi ekstrak
rhoeo discolor, menjadi berwarna hijau. Hal ini dikarenakan telah terjadi reaksi
antara larutan NaOH dan larutan HCl sehingga PH larutan berubah menjadi netral
yang ditunjukkan dengan terjadinya perubahan warna diatas. Persamaan reaksinya
adalah :
HCl(aq)+NaOH(aq)→ NaCl(aq)+H2O(l)
1. Penentuan konsentrasi NaOH dengan Larutan C2H2O4
1. N1 . V1 = N2 . V2
0,1 . 10 = N2 . 9.8
N2 =
=
=

0,10 N
= 0,10 M

2. N1 . V1 = N2 . V2
0,1 . 10 = N2 . 10
N2 =
=
=

0,10 N
= 0,10 M

3. N1 . V1 = N2 . V2
0,1 . 10 = N2 . 10,2
N2 =
=
=
NaOH

=

NaOH =

0,098 N
= 0,098 M

=
=

=

=
=

=

2. Penentuan konsentrasi HCL dengan larutan NaOH menggunakan indikator pp
(phenolptalein)
1.

N1 . V1 = N2 . V2
0,096 . 8,2 = N2 . 10
N2 =
=

0,079 N

=

= 0,079 M

2. N1 . V1 = N2 . V2
0,096 . 8,4 = N2 . 10
N2 =
=

0,081 N

=

= 0,081 M

3. N1 . V1 = N2 . V2
0,096 . 8,4 = N2 . 10
N2 =
=

0,081 N

=
NaOH

= 0,081 M

=

=

NaOH=

=

=

=
=

=

3. Penentuan konsentrasi HCL dengan larutan NaOH menggunakan indikator
ekstrak tumbuhan (daun rhoeo discolor)
1.

N1 . V1 = N2 . V2
0,096 . 13,4 = N2 . 10
N2 =
=

0,13 N

=

= 0,13 M

2. N1 . V1 = N2 . V2
0,096 . 13,4 = N2 . 10
N2 =
=

0,13 N
=

= 0,13 M

3. N1 . V1 = N2 . V2
0,096 . 11,5 = N2 . 10
N2 =
=
=
NaOH

=

NaOH =

X.

0,11 N
= 0,11 M

=

=
=

=
=

=

Kesimpulan
Berdasarkan percobaan titrasi asam-basa yang kami lakukan, dapat disimpulkan

bahwa:
1. Konsentrasi NaOH sebesar 0,096 M, dengan perubahan warna dari yang tidak
berwarna menjadi warna merah muda pada asam oksalat (C2H2O4).(indikator
Phenolphtalein)
2NaOH + C2H2O4 →Na2C2O4 + H2O
2. Konsentrasi HCl sebesar 0,08 M, dengan perubahan warna dari yang tidak
berwarna menjadi warna merah muda. (indikator Phenolphtalein).
NaOH + HCl → NaCl + H2O
3. Konsentrasi HCl sebesar 0,12 M, dengan perubahan warna dari warna merah
muda menjadi warna hijau. (indikator ekstrak rhoeo discolor).
NaOH + HCl → NaCl + H2O
XI. Jawaban Pertanyaan
1. Mengapa pada titrasi larutan NaOH dengan asam oksalat dengan menggunakan
indikator phenolptalein?
 Karena phenolptalein itu tergolong asam lemah dalam keadaan tidak
terionisasi, tetapi jika dalam lingkungan basa phenolptalein akan terionisasi
lebih banyak dan akan memberikan warna yang terang dan perubahan
warnanya lebih mudah untuk diamati.
2. Apa perbedaan titik ekivalen dengan titik akhir?
 Titik ekivalen adalah jumlah NaOH yang tepat bereaksi dengan C2H2O4 dan
HCl. Seharusnya angka inilah yang dihitung,tetapi dengan tidak adanya
indikator yang bisa menunjukkan kejadian ini maka tidak dapat ditentukan
harganya. Kecuali dengan menggunakan metode potensiometri.
 Titik akhir adalah titik dimana indikator berubah warna,perubahan ini terjadi
akibat adanya NaOH berlebih dalam campuran. Kelebihan ini tidak boleh
terlalu banyak,bahkan harus sangat sedikit.
3. Pada larutan di atas mana yang berfungsi sebagai larutan baku primer, larutan baku
sekunder dan larutan baku tersier?
 Yang termasuk larutan baku primer adalah larutan asam oksalat (C2H2O4)
 Yang termasuk larutan baku sekunder adalah larutan NaOH dan larutan HCl
 Yang termasuk larutan baku tersier adalah larutan indikator extra kol ungu dan
larutan phenolptalein.
4. Dapatkah daun rhoeo discolor pada praktikum ini dijadikan sebagai indikator ?
Daun tersebut dapat dijadikan indikator tetapi harus dicampur ke dalam alkohol, maka
akan diperoleh larutan dengan warna kuning kemerahan. Dalam suasana asam
warnanya berubah menjadi merah muda (pink) dan dalam suasana basa berubah
menjadi hijau. Dengan demikian larutan daun rhoeo discolor juga dapat digunakan
sebagai indikator alami.
Dalam percobaan yang kami lakukan hasilnya sangat berbada jauh dikarenakan tidak
adanya pencapuran antara ekstrak tumbuhan dengan alkohol melainkan menggunakan
aquades.

XII.

Daftar Pustaka
Tim Kimia Dasar. 2013. Petunjuk Praktikum Kimia Umum. Surabaya : Unipress.
Halaman 45-49
Petrucci, Harwood, Herring, Madura. 2011. Kimia Dasar, Prinsip-prinsip dan
Aplikasi Modern, Jilid I, Edisi Kesembilan. Jakarta : Erlangga.Halaman 308-310
Brady, James E. 2011. Kimia Universitas Asas dan Struktur, Jilid 2. Edisi Kelima.
Tangerang : Binarupa Aksara. Halaman 178
Indikator asam basa journal. http://www.gobookee.org/indikator-asam-basajournal/. Diunduh tanggal 20 November 2013. Pukul 14:45
Surabaya,.……..……………….

Mengetahui,

Praktikan,

Dosen/Asisten Pembimbing

(……………………………….……)

(……………………………….……)
LAMPIRAN
Hasil percobaan pertama

Perubahan setelah percobaan ke-2

Perubahan setelah percobaan ke3

Sebelum percobaan ke 3
Perubahan setelah percobaan ke3

Perubahan setelah percobaan ke3
v
Perubahan setelah percobaan ke3

Titrasi asam basa

  • 1.
    I. Judul Percobaan : TitrasiAsam Basa II. Hari / Tanggal Percobaan : Kamis, 14 November 2013 III. Selesai Percobaan : Kamis, 14 November 2013 IV. Tujuan Percobaan : 1. Menentukan konsentrasi larutan NaOH dengan larutan baku asam oksalat 2. Menentukan konsentrasi larutan HCl dengan larutan NaOH V. Tinjauan Pustaka Titrasi asam-basa sering disebut juga dengan titrasi netralisasi. Dalam titrasi ini, kita dapat menggunakan larutan standar asam dan larutan standar basa. Pada prinsipnya, reaksi yang terjadi adalah reaksi netralisasi yaitu : Reaksi netralisasi terjadi antara ion hidrogen sebagai asam dengan ion hidroksida sebagai basa dan membentuk air yang bersifat netral. Berdasarkan konsep lain reaksi netralisasi dapat juga dikatakan sebagai reaksi antara donor proton (asam) dengan penerima proton (basa). Dalam menganalisis sampel yang bersiaft basa, maka kita dapat menggunakan larutan standar asam, metode ini dikenal dengan istilah asidimetri. Sebaliknya jika kita menentukan sampel yang bersifat asam, kita akan menggunkan lartan standar basa dan dikenal dengan istilah alkalimetri. Dalam melakukan titrasi netralisasi kita perlu secara cermat mengamati perubahan pH, khususnya pada saat akan mencapai titik akhir titrasi, hal ini dilakukan untuk mengurangi kesalahan dimana akan terjadi perubahan warna dari indikator lihat Gambar 15.16.
  • 2.
    Gambar 15.16. Titrasialkalimetri dengan larutan standar basa NaOH Analit bersifat asam pH mula-mula rendah, penambahan basa menyebabkan pH naik secara perlahan dan bertambah cepat ketika akan mencapai titik ekuivalen (pH=7). Penambahan selanjutnya menyebakan larutan kelebihan basa sehingga pH terus meningkat. Dari Gambar 15.16, juga diperoleh informasi indikator yang tepat untuk digunakan dalam titrasi ini dengan kisaran pH pH 7 – 10 (Tabel 15.2). Tabel 15.2. Indikator dan perubahan warnanya pada pH tertentu Pamanfaatan teknik ini cukup luas, untuk alkalimetri telah dipergunakan untuk menentukan kadar asam sitrat. Titrasi dilakukan dengan melarutkan sampel sekitar 300 mg kedalam 100 ml air. Titrasi dengan menggunakan larutan NaOH 0.1 N
  • 3.
    dengan menggunakan indikatorphenolftalein. Titik akhir titrasi diketahui dari larutan tidak berwarna berubah menjadi merah muda. Selain itu alkalimetri juga dipergunakan untuk menganalisis asam salisilat, proses titrasi dilakukan dengan cara melarutkan 250 mg sampel kedalam 15 ml etanol 95% dan tambahkan 20 ml air. Titrasi dengan NaOH 0.1 N menggunakan indikator phenolftalein, hingga larutan berubah menjadi merah muda. Titrasi adalah reaksi yang dilakukan dengan cara menambahkan satu larutan ke larutan lain dengan sangat terkendali. Tujuannya adalah untuk menghentikan titrasi pada titik ketika kedua reaktan telah bereaksi sempurna, suatu kondisi yang disebut titik ekivalen titrasi. Kunci pada setiap titrasi pada titik ekivalen kedua reaktan yang telah bergabung dalam proporsi stoikiometrik; keduanya terpakai tanpa ada yang berlebih. Titrasi asam basa didasrkan atas reaksi netralisasi asam dengan basa. Larutan salah satu reaktan dimasukkan ke dalam labu Erlenmeyer kecil. Reaktan lain, juga dalam bentuk larutan yang disebut titran, ditempatkan dalam buret, suatu tabung panjang bertera yang dilengkapi klep sumbat. Larutan kedua perlahan-lahan ditambahkan ke larutan pertama dengan mengatur sumbat. Ketika sedikit zat yang ditambahkan pada campuran reaksi akan berubah warna pada atau di dekat titik ekivalen, zat ini disebut indikator. Salah satu prinsip penggunaan indikator asam-basa pada titrasi adalah untuk menentukan titik ekivalen. Jika perubahan warna indikator terjadi pada titik ekivalen, titik akhir titrasi, yaitu titik dimana terlihat perubahan warna terjadi pH yang sama dengan titik ekivalen. Indikator umumnya adlah suatu asam atau basa organik lemah yang akan berubah warnanya pada harga-harga daerah pH tertentu. Titik akhir titrasi tidak selalu berimpit dengan titik ekivalen dan kesalahannya disebut dengan kesalahan titrasi. Kesalahan titrasi dapat diperkecil dengan cara memilih indikator yang setepat mungkin. Indikator phenolptalein daerah pH dimana terjadi perubahan warna dari 8,2 – 10,0 dari tak berwarna menjadi warna merah muda. Prinsip Titrasi Asam basa Titrasi asam basa melibatkan asam maupun basa sebagai titer ataupun titran. Titrasi asam basa berdasarkan reaksi penetralan. Kadar larutan asam ditentukan dengan menggunakan larutan basa dan sebaliknya.
  • 4.
    Titran ditambahkan titersedikit demi sedikit sampai mencapai keadaan ekuivalen (artinya secara stoikiometri titrat dan titer tepat habis bereaksi). Keadaan ini disebut sebagai “titik ekivalen”. Pada saat titik ekuivalent ini maka proses titrasi dihentikan, kemudian kita mencatat volume titer yang diperlukan untuk mencapai keadaan tersebut. Dengan menggunakan data volume titran, volume dan konsentrasi titer maka kita bisa menghitung kadar titran. Cara Mengetahui Titik Ekivalen Ada dua cara umum untuk menentukan titik ekivalen pada titrasi asam basa. 1. Memakai pH meter untuk memonitor perubahan pH selama titrasi dilakukan, kemudian membuat plot antara pH dengan volume titrant untuk memperoleh kurva titrasi. Titik tengah dari kurva titrasi tersebut adalah “titik ekivalen”. 2. Memakai indikator asam basa. Indikator ditambahkan pada titrant sebelum proses titrasi dilakukan. Indikator ini akan berubah warna ketika titik ekuivalen terjadi, pada saat inilah titrasi kita hentikan. Pada umumnya cara kedua dipilih disebabkan kemudahan pengamatan, tidak diperlukan alat tambahan, dan sangat praktis. Indikator yang dipakai dalam titrasi asam basa adalah indikator yang perbahan warnanya dipengaruhi oleh pH. Penambahan indikator diusahakan sesedikit mungkin dan umumnya adalah dua hingga tiga tetes. Untuk memperoleh ketepatan hasil titrasi maka titik akhir titrasi dipilih sedekat mungkin dengan titik ekivalen, hal ini dapat dilakukan dengan memilih indikator yang tepat dan sesuai dengan titrasi yang akan dilakukan. Keadaan dimana titrasi dihentikan dengan cara melihat perubahan warna indikator disebut sebagai “titik akhir titrasi”.
  • 5.
    Rumus Umum Titrasi Padasaat titik ekuivalen maka mol-ekuivalen asam akan sama dengan molekuivalen basa, maka hal ini dapat kita tulis sebagai berikut: Mol-ekuivalen diperoleh dari hasil perkalian antara Normalitas dengan volume maka rumus diatas dapat kita tulis sebagai: Normalitas diperoleh dari hasil perkalian antara molaritas (M) dengan jumlah ion H+ pada asam atau jumlah ion OH–pada basa, sehingga rumus diatas menjadi: keterangan : N = Normalitas V = Volume M = Molaritas n = jumlah ion H+ (pada asam) atau OH– (pada basa) Data titrasi dapat digunakan untuk menentukan molaritas larutan yang dinamakan standardisasi larutan. VI. Cara Kerja 1. Alat dan Bahan Statif dan klem Buret Labu Erlenmeyer 250 ml Corong Pipet tetes Gelas kimia 100 ml Gelas ukur
  • 6.
    Mortar dan alu Kertassaring NaOH C2H2O4 0,1 N HCl Phenolptalein Ekstrak tumbuhan rhoeo discolor 2. Alur percobaan 1. Penentuan konsentrasi larutan NaOH dengan larutan C2H2O4
  • 7.
    2. Penentuan konsentrasiHCL dengan larutan NaOH 3. Penentuan HCL dengan ekstrak tumbuhan.
  • 8.
    VIII. Analisis Data Percobaanpertama Dalam percobaan ini warna larutan C2H2O4 mula- mula adalah bening, dan juga setelah ditambah 2 tetes phenolptalin adalah bening, tetapi setelah ditambah NaOH warna larutan menjadi merah muda. Dalam 3 kali replikasi jumlah NaOH yang diperlukan agar larutan berwarna merah muda tetap yaitu 10,0 mL. dengan menggunakan rumus N1 V1 = N2 V2 kami memperoleh nilai N NaOH adalah 0,096 N Reaksi kimianya adalah : C2H2O4(aq) + NaOH(aq)→Na2C2O4(aq) + 2H2O(l) Percobaan kedua Dalam percobaan ini warna larutan HCl mula – mula berwarna bening, dan juga setelah ditambah dengan 2 tetes phenolptalin warnanya tetap bening, tetapi setelah NaOH lama kelamaan warna larutan adalah merah muda. Titik akhir titrasi adalah berada pada volume 8.33 mL. . dengan menggunakan rumus N1 V1 = N2 V2 kami memperoleh nilai rata-rata N HCl adalah 0,08 N. Reaksi kimianya adalah : HCl(aq)+NaOH(aq)→ NaCl(aq)+H2O(l) Percobaan ketiga Dalam percobaan ini warna larutan HCl mula – mula berwarna bening, dan setelah ditambah dengan 2 tetes ekstrak tumbuhan rhoeo discolorwarnanya berubah menjadi kuning kehijauan , dan setelah ditambah NaOH lama kelamaan warna larutan akan berubah menjadi kuning pudar. Volume NaOH yang diperlukan agar larutan berubah warna menjadi kuning adalah 12,67 mL. . Dengan menggunakan rumus N1 V1 = N2 V2 kami memperoleh nilai rata-rata N HCl adalah 0,12 N. Reaksi kimianya adalah : HCl(aq)+NaOH(aq)→ NaCl(aq)+H2O(l)
  • 9.
    IX.Pembahasan Pada percobaan titrasiasam basa yang telah dilakukan, telah diperoleh data seperti diatas. Pada percobaan titrasi asam basa yang pertama antara larutan asam oksalat (C2H2O4) yang diletakkan di dalam tabung Erlenmeyer dan telah ditetesi 2 tetes indikator phenolptalein (PP) yang memiliki trayek PH 8,3 ─10,0 dengan larutan NaOH yang ada di dalam buret. Pada saat pencampuran dilakukan dengan cara meneteskan tetes demi tetes larutan NaOH yang belum diketahui konsentrasinya ke dalam larutan asam oksalat (C2H2O4) di tabung Erlenmeyer yang telah ditetesi indikator phenolptalein (PP), terjadi perubahan warna dari tak berwarna (jernih) menjadi berwarna pink (merah muda) yang menunjukkan bahwa larutan C2H2O4 telah bereaksi dengan NaOH dan menghasilkan senyawa (COONa)2(aq) dengan pH netral berdasarkan reaksi : C2H2O4(aq)+ 2NaOH(aq)→ Na2C2O4(aq) + 2H2O(l) Pada percobaan selanjutnya yang melibatkan larutan NaOH yang ada di dalam buret dengan larutan HCl X molar yang ada di dalam tabung Erlenmeyer yang telah ditetesi indikator phenolptalein (PP), terjadi perubahan warna yang sama yaitu dari larutan tak berwarna (jernih) menjadi berwarna merah muda. Hal ini terjadi karena pada saat diteteskan larutan NaOH dari dalam buret kedalam tabung Erlenmeyer dengan isi larutan HCl, terjadi reaksi antara keduanya hingga terbentuk larutan dengan PH netral yang ditunjukkan dengan terjadinya perubahan warna. Persamaan reaksi yang terjadi adalah : HCl(aq)+NaOH(aq)→ NaCl(aq)+H2O(l) Sedangkan pada percobaan yang ketiga, melibatkan larutan yang sama seperti pada percobaan kedua yaitu larutan NaOH dengan HCl yang telah diketahui konsentrasinya, tetapi pada percobaan ketiga ini, digunakan indikator ekstrak tumbuhan yaitu ekstrak kol ungu. Pada saat dilakukan titrasi dengan meneteskan NaOH tetes demi tetes kedalam larutan HCl yang ada dalam tabung Erlenmeyer, terjadi perubahan warna dari berwarna kuning kehijauankarena ditetesi ekstrak rhoeo discolor, menjadi berwarna hijau. Hal ini dikarenakan telah terjadi reaksi antara larutan NaOH dan larutan HCl sehingga PH larutan berubah menjadi netral yang ditunjukkan dengan terjadinya perubahan warna diatas. Persamaan reaksinya adalah : HCl(aq)+NaOH(aq)→ NaCl(aq)+H2O(l)
  • 10.
    1. Penentuan konsentrasiNaOH dengan Larutan C2H2O4 1. N1 . V1 = N2 . V2 0,1 . 10 = N2 . 9.8 N2 = = = 0,10 N = 0,10 M 2. N1 . V1 = N2 . V2 0,1 . 10 = N2 . 10 N2 = = = 0,10 N = 0,10 M 3. N1 . V1 = N2 . V2 0,1 . 10 = N2 . 10,2 N2 = = = NaOH = NaOH = 0,098 N = 0,098 M = = = = = = 2. Penentuan konsentrasi HCL dengan larutan NaOH menggunakan indikator pp (phenolptalein) 1. N1 . V1 = N2 . V2 0,096 . 8,2 = N2 . 10 N2 =
  • 11.
    = 0,079 N = = 0,079M 2. N1 . V1 = N2 . V2 0,096 . 8,4 = N2 . 10 N2 = = 0,081 N = = 0,081 M 3. N1 . V1 = N2 . V2 0,096 . 8,4 = N2 . 10 N2 = = 0,081 N = NaOH = 0,081 M = = NaOH= = = = = = 3. Penentuan konsentrasi HCL dengan larutan NaOH menggunakan indikator ekstrak tumbuhan (daun rhoeo discolor) 1. N1 . V1 = N2 . V2 0,096 . 13,4 = N2 . 10 N2 = = 0,13 N = = 0,13 M 2. N1 . V1 = N2 . V2 0,096 . 13,4 = N2 . 10 N2 = = 0,13 N
  • 12.
    = = 0,13 M 3.N1 . V1 = N2 . V2 0,096 . 11,5 = N2 . 10 N2 = = = NaOH = NaOH = X. 0,11 N = 0,11 M = = = = = = Kesimpulan Berdasarkan percobaan titrasi asam-basa yang kami lakukan, dapat disimpulkan bahwa: 1. Konsentrasi NaOH sebesar 0,096 M, dengan perubahan warna dari yang tidak berwarna menjadi warna merah muda pada asam oksalat (C2H2O4).(indikator Phenolphtalein) 2NaOH + C2H2O4 →Na2C2O4 + H2O 2. Konsentrasi HCl sebesar 0,08 M, dengan perubahan warna dari yang tidak berwarna menjadi warna merah muda. (indikator Phenolphtalein). NaOH + HCl → NaCl + H2O 3. Konsentrasi HCl sebesar 0,12 M, dengan perubahan warna dari warna merah muda menjadi warna hijau. (indikator ekstrak rhoeo discolor). NaOH + HCl → NaCl + H2O XI. Jawaban Pertanyaan 1. Mengapa pada titrasi larutan NaOH dengan asam oksalat dengan menggunakan indikator phenolptalein?  Karena phenolptalein itu tergolong asam lemah dalam keadaan tidak terionisasi, tetapi jika dalam lingkungan basa phenolptalein akan terionisasi
  • 13.
    lebih banyak danakan memberikan warna yang terang dan perubahan warnanya lebih mudah untuk diamati. 2. Apa perbedaan titik ekivalen dengan titik akhir?  Titik ekivalen adalah jumlah NaOH yang tepat bereaksi dengan C2H2O4 dan HCl. Seharusnya angka inilah yang dihitung,tetapi dengan tidak adanya indikator yang bisa menunjukkan kejadian ini maka tidak dapat ditentukan harganya. Kecuali dengan menggunakan metode potensiometri.  Titik akhir adalah titik dimana indikator berubah warna,perubahan ini terjadi akibat adanya NaOH berlebih dalam campuran. Kelebihan ini tidak boleh terlalu banyak,bahkan harus sangat sedikit. 3. Pada larutan di atas mana yang berfungsi sebagai larutan baku primer, larutan baku sekunder dan larutan baku tersier?  Yang termasuk larutan baku primer adalah larutan asam oksalat (C2H2O4)  Yang termasuk larutan baku sekunder adalah larutan NaOH dan larutan HCl  Yang termasuk larutan baku tersier adalah larutan indikator extra kol ungu dan larutan phenolptalein. 4. Dapatkah daun rhoeo discolor pada praktikum ini dijadikan sebagai indikator ? Daun tersebut dapat dijadikan indikator tetapi harus dicampur ke dalam alkohol, maka akan diperoleh larutan dengan warna kuning kemerahan. Dalam suasana asam warnanya berubah menjadi merah muda (pink) dan dalam suasana basa berubah menjadi hijau. Dengan demikian larutan daun rhoeo discolor juga dapat digunakan sebagai indikator alami. Dalam percobaan yang kami lakukan hasilnya sangat berbada jauh dikarenakan tidak adanya pencapuran antara ekstrak tumbuhan dengan alkohol melainkan menggunakan aquades. XII. Daftar Pustaka Tim Kimia Dasar. 2013. Petunjuk Praktikum Kimia Umum. Surabaya : Unipress. Halaman 45-49 Petrucci, Harwood, Herring, Madura. 2011. Kimia Dasar, Prinsip-prinsip dan Aplikasi Modern, Jilid I, Edisi Kesembilan. Jakarta : Erlangga.Halaman 308-310
  • 14.
    Brady, James E.2011. Kimia Universitas Asas dan Struktur, Jilid 2. Edisi Kelima. Tangerang : Binarupa Aksara. Halaman 178 Indikator asam basa journal. http://www.gobookee.org/indikator-asam-basajournal/. Diunduh tanggal 20 November 2013. Pukul 14:45 Surabaya,.……..………………. Mengetahui, Praktikan, Dosen/Asisten Pembimbing (……………………………….……) (……………………………….……)
  • 15.
    LAMPIRAN Hasil percobaan pertama Perubahansetelah percobaan ke-2 Perubahan setelah percobaan ke3 Sebelum percobaan ke 3 Perubahan setelah percobaan ke3 Perubahan setelah percobaan ke3 v Perubahan setelah percobaan ke3