JULIET S. ANINO
MST-MATH
ADVANCED CALCULUS
Let a scalar field f be given in space and a coordinate system chosen so that f = f
( x ,y , z ) and is defined and differentiable in a certain domain of space; thus the
first partial derivatives of f exist in this domain. They form the components of the
vector grad f , the gradient of the scalar f . Thus one has
For example, if f = x2y - z2, then
Formula (3.5) can be written in the following symbolic form:
where the suggested multiplication actually leads to a differentiation. The
expression
in parentheses is denoted by the symbol ∇ and is called "del" or "nabla." Thus
𝛁 is a "vector differential operator." By itself, the 𝛁 has no numerical
significance; it takes on such significance when it is applied to a function, that
is, in forming
It was shown in Section 2.14 that the directional derivative of the scalar f in the
direction of the unit vector u = cos𝜶i+cos 𝜷j +cos 𝛾 k is given by
This shows that grad f has a meaning independent of the coordinate system
chosen:
It’s component in a given direction represents the rate of change off in
that direction.
In particular, grad f points in the direction of maximum increase of f.
The gradient obeys the following laws:
That is, with the 𝛁 symbol,
These hold, provided grad f and grad g exist in the domain considered.
If f is a constant c, (3.1 1 ) reduces to the simpler condition
If the terms in z are dropped, the preceding discussion specializes at once to two
dimensions. Thus for f = f( x , y), one has
The gradient obeys the following laws:
That is, with the 𝛁 symbol,
These hold, provided grad f and grad g exist in the domain considered.
If f is a constant c, (3.1 1 ) reduces to the simpler condition
If the terms in z are dropped, the preceding discussion specializes at once to two
dimensions. Thus for f = f( x , y), one has
Example. Find the gradient of the following scalar
fields:
1. f (x, y) = x2 y3
grad 𝑓 =
𝜕𝑓
𝜕𝑥
i +
𝜕𝑓
𝜕𝑦
j
grad f =
𝜕
𝜕𝑥
𝑥2
𝑦3
i +
𝜕
𝜕𝑦
(𝑥2
𝑦3
)j
grad f = 2xy3i + 3x2y2j
2. f(x, y, z)=5x2−2xy+y2−4yz+z2+3xz
grad 𝑓 =
𝜕𝑓
𝜕𝑥
i +
𝜕𝑓
𝜕𝑦
j +
𝜕𝑓
𝜕𝑧
k
grad f =
𝜕
𝜕𝑥
5x2−2xy+y2−4yz+z2+3xz i +
𝜕
𝜕𝑦
(5x2−2xy+y2−4yz+z2+3xz)j
+
𝜕
𝜕𝑧
(5x2−2xy+y2−4yz+z2+3xz)j
grad f = (10x-2y+3z)i + (-2x+2y-4z)j + (-4y+2z+3x)k
Given a vector field v in a domain D of space, one has (for a given coordinate system)
three scalar functions 𝑣𝑥, 𝑣𝑦, 𝑣𝑧. If these possess first partial derivatives in D, we can
form in all nine partial derivatives, which we arrange to form a matrix:
From three of these the scalar div v, the divergence of v, is constructed by the
formula:
It will be noted that the derivatives used form a diagonal (principal diagonal) of the
matrix and the divergence is the trace.
For example, if v = x2i – xyj + xyzk,then
Formula (3.15)can be written in the symbolic form:
For, treating nabla as a vector, one has
In fluid dynamics, divergence appears as a measure of the rate of decrease of density at a
point. More precisely, let u = u(x, y, z, t) denote the velocity vector of a fluid motion and
let 𝝆 = 𝝆(x, y, z, t) denote the density. Then v = 𝝆u is a vector whose divergence
satisfies the equation
This is in fact the "continuity equation" of fluid mechanics. If the fluid is
incompressible, this reduces to the simpler equation
The divergence also plays an important part in the theory of electromagnetic
fields. Here the divergence of the electric force vector E satisfies the equation
Where 𝝆 is the charge density. Thus, where there is no charge, one has
Type equation here.
The divergence has the basic properties:
That is, with the nabla symbol:
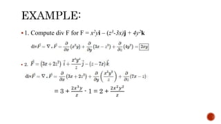
1. Compute div F for F = x2yi – (z3-3x)j + 4y2k
 2.
= 3 +
2𝑥3𝑦
𝑧
- 1 = 2 +
2𝑥2𝑦2
𝑧
The Gradient field.pptx

The Gradient field.pptx

  • 1.
  • 2.
    Let a scalarfield f be given in space and a coordinate system chosen so that f = f ( x ,y , z ) and is defined and differentiable in a certain domain of space; thus the first partial derivatives of f exist in this domain. They form the components of the vector grad f , the gradient of the scalar f . Thus one has For example, if f = x2y - z2, then Formula (3.5) can be written in the following symbolic form: where the suggested multiplication actually leads to a differentiation. The expression in parentheses is denoted by the symbol ∇ and is called "del" or "nabla." Thus
  • 3.
    𝛁 is a"vector differential operator." By itself, the 𝛁 has no numerical significance; it takes on such significance when it is applied to a function, that is, in forming It was shown in Section 2.14 that the directional derivative of the scalar f in the direction of the unit vector u = cos𝜶i+cos 𝜷j +cos 𝛾 k is given by This shows that grad f has a meaning independent of the coordinate system chosen: It’s component in a given direction represents the rate of change off in that direction. In particular, grad f points in the direction of maximum increase of f.
  • 4.
    The gradient obeysthe following laws: That is, with the 𝛁 symbol, These hold, provided grad f and grad g exist in the domain considered. If f is a constant c, (3.1 1 ) reduces to the simpler condition If the terms in z are dropped, the preceding discussion specializes at once to two dimensions. Thus for f = f( x , y), one has
  • 5.
    The gradient obeysthe following laws: That is, with the 𝛁 symbol, These hold, provided grad f and grad g exist in the domain considered. If f is a constant c, (3.1 1 ) reduces to the simpler condition If the terms in z are dropped, the preceding discussion specializes at once to two dimensions. Thus for f = f( x , y), one has
  • 6.
    Example. Find thegradient of the following scalar fields: 1. f (x, y) = x2 y3 grad 𝑓 = 𝜕𝑓 𝜕𝑥 i + 𝜕𝑓 𝜕𝑦 j grad f = 𝜕 𝜕𝑥 𝑥2 𝑦3 i + 𝜕 𝜕𝑦 (𝑥2 𝑦3 )j grad f = 2xy3i + 3x2y2j 2. f(x, y, z)=5x2−2xy+y2−4yz+z2+3xz grad 𝑓 = 𝜕𝑓 𝜕𝑥 i + 𝜕𝑓 𝜕𝑦 j + 𝜕𝑓 𝜕𝑧 k grad f = 𝜕 𝜕𝑥 5x2−2xy+y2−4yz+z2+3xz i + 𝜕 𝜕𝑦 (5x2−2xy+y2−4yz+z2+3xz)j + 𝜕 𝜕𝑧 (5x2−2xy+y2−4yz+z2+3xz)j grad f = (10x-2y+3z)i + (-2x+2y-4z)j + (-4y+2z+3x)k
  • 8.
    Given a vectorfield v in a domain D of space, one has (for a given coordinate system) three scalar functions 𝑣𝑥, 𝑣𝑦, 𝑣𝑧. If these possess first partial derivatives in D, we can form in all nine partial derivatives, which we arrange to form a matrix: From three of these the scalar div v, the divergence of v, is constructed by the formula: It will be noted that the derivatives used form a diagonal (principal diagonal) of the matrix and the divergence is the trace. For example, if v = x2i – xyj + xyzk,then
  • 9.
    Formula (3.15)can bewritten in the symbolic form: For, treating nabla as a vector, one has In fluid dynamics, divergence appears as a measure of the rate of decrease of density at a point. More precisely, let u = u(x, y, z, t) denote the velocity vector of a fluid motion and let 𝝆 = 𝝆(x, y, z, t) denote the density. Then v = 𝝆u is a vector whose divergence satisfies the equation
  • 10.
    This is infact the "continuity equation" of fluid mechanics. If the fluid is incompressible, this reduces to the simpler equation The divergence also plays an important part in the theory of electromagnetic fields. Here the divergence of the electric force vector E satisfies the equation Where 𝝆 is the charge density. Thus, where there is no charge, one has Type equation here.
  • 11.
    The divergence hasthe basic properties: That is, with the nabla symbol:
  • 12.
    1. Compute divF for F = x2yi – (z3-3x)j + 4y2k  2. = 3 + 2𝑥3𝑦 𝑧 - 1 = 2 + 2𝑥2𝑦2 𝑧