Line and Surface Integrals
Ayrton John V. Bantay
EgyE 612 Tensor Analysis for Engineers
Outline
•Line Integrals
•Surface Integrals
•Divergence Theorem
2
3
Introduction
A line integral is an integral where the function to be
integrated is evaluated along a curve and a surface integral
is a generalization of multiple integrals to integration over
surfaces. It can be thought of as the double integral analog
of the line integral. Given a surface, one may integrate over
its scalar fields (that is, functions which return scalars as
values), and vector fields (that is, functions which return
vectors as values). Surface integrals have applications in
physics, particularly with the theories of classical
electromagnetism.
4
Line Integrals
5
Line Integrals
6
Line Integrals
7
Line Integrals
8
Line Integrals
9
Line Integrals
10
Definition: Line Integral of a scalar Field
11
Line Integrals
12
Line Integrals
13
Line Integrals
14
Example: Line Integrals
15
Example: Line Integrals
16
Example: Line Integrals
17
Line Integrals
18
Line Integrals
19
Line Integrals
20
Line Integrals
21
Line Integral of a Vector Field
22
Line Integral of a Vector Field
23
Line Integral of a Vector Field
24
Line Integral of a Vector Field
25
Line Integral of a Vector Field
26
Surface Integral
27
Surface Integral
28
Surface Integral
29
Surface Integral
30
Surface Integral
31
Surface Integral
32
Surface Integral
33
Surface Integral
34
Definition: Surface Integral
35
Example: Surface Integral
36
Example: Surface Integral
37
Example: Surface Integral
38
Example: Surface Integral
39
Surface Integral
40
Surface Integral
41
Definition: Surface Integral of f over Σ
surface integral of f over Σ
42
Surface Integral of f over Σ
43
Surface Integral of f over Σ
44
Surface Integral of f over Σ
45
Surface Integral of f over Σ
46
Surface Integral of f over Σ
47
Surface Integral of f over Σ
THANK YOU
48
49
Divergence Theorem
50
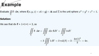
Example
51
Surface Integral
52
Surface Integral
53
Surface Integral
54
Surface Integral
THANK YOU
55

Line and Surface Integrals Report two key concepts in vector calculus