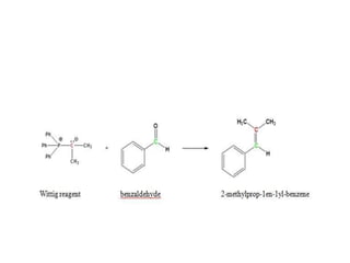
Wittig reagent
Diazopropane
BOP Reagent
BINUJA SS
FIRST YEAR M.PHARM
WITTIG REAGENT
โ€ข Triphenyl phosphine alkylidienes
Alternative names
โ€ข Triphenylphosphoniumylide
โ€ข Alkylidienephosphorane
โ€ข reagent for the synthesis of alkene from ketones
and aldehydes.
R1 = H
R2 = -CH3 , C2H5,C4H9
FORMS OF WITTIG REAGENT
โ€ข described in the phosphorane form or the ylide form:
GENERAL PREPARATION OF WITTIG REAGENT
โ€ข Ph3P + RCH2Xโ†’ [Ph3P+CH2R]Xโˆ’
Phosphonium salt
โ€ข [Ph3P+CH2R]Xโˆ’ + C4H9Li โ†’ Ph3P=CHR + LiX +
C4H10 Wittig reagent
Example :
โ€ข Triphenylphospthinemethylidine OR Methylidine
phosphoranes.
โ€ข Prepared by
โ€ข (C6H5)3P + CH3Br โ†’ [(C6H5)3P+CH3]Brโˆ’ โ†’
methyl bromide methyl phosphonium salt
(C6H5)3P=CH2 + LiBr + C6H6
Methylidiene phosphoranes
GENERAL MECHANISM OF WITTIG REAGENT
APPLICATIONS
1. Preparation of Olefins
โ€ข Wittig reagent provides a method for the
synthesis of olefins.(Wittig reaction)
SYNTHESIS OF INDOLE
โ€ข MECHANISM
Synthesis of natural products
โ€ข Synthesis of squalene
Synthesis of bisabolene
Synthesis of beta- carotene.
DIAZOPROPANE
โ€ข Diazo refers to a type of organic compound called
diazo compound that has two linked nitrogen atoms
(azo) as a terminal functional group.
โ€ข reagent is used for the cyclopropanation of alkenes.
Preparation
โ€ข 2-diazopropane is most commonly prepared by the oxidation
of Acetohydrazone with Mercury(II) Oxide in the presence of
base.
APPLICATIONS
1. Cyclopropanation of Alkenes
โ€ข prepare gem-dimethylcyclopropyl derivatives.
โ€ข This reagent will readily undergo cycloadditions
with alkenes to provide the
corresponding pyrazolines which can be induced
to lose N2 to provide the desired cyclopropanes.
Synthesis of ketone.
tropolone
8,8-dimethyl-6-((propan-2-
yl)oxy)bicyclo octan-7-one
Syntheis of aristolone
โ€ข It is a sesquiterpenes isolated from both the roots of the
Chinese fairy root and rhizome of Canadian ginger and widely
used in traditional medicine.
BENZTRIAZOL-1-YLOXY) TRIS
(DIMETHYLAMINO) PHOSPHONIUM
HEXAFLUORO-PHOSPHATE (BOP)
โ€ข commonly used in the synthesis of peptides.
โ€ข Solubility: insoluble in H2O; soluble THF,
CH2Cl2, MeCN, acetone, DMF, NMP, DMSO.
โ€ข HMPA
APPLICATIONS
1. Peptide coupling
โ€ข Peptide bond formation is a nucleophilic substitution reaction
of an amino group (nucleophile) and a carboxyl group via a
tetrahedral intermediate.
โ€ข BOP is a very efficient reagent which allows in situ
formation of hydroxybenzotriazolyl esters.
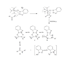
MECHANISM OF COUPLING REACTION
WITH BOP
โ€ข A tertiary amine is required to generate the carboxylate anion
of the amino acid, which then attacks the phosphorus atom of
BOP. The resulting intermediate A rearranges to form the
hydroxybenzotriazolyl ester B, which is then attacked by the
amine component to form the amide product D via the
stabilized hydrogen-bonded intermediate C.
2. Esterification
โ€ข Treatment of N-protected amino acids with phenol, and BOP
in the appropriate solvent (DCM, MeCN, DMF) affords the
corresponding phenyl esters.
3. Lactam Cyclization.
โ€ข Cyclization of b-amino acids to b-lactams is efficiently
effected by treatment with BOP .The present method appears
to be limited to the formation of b-lactams from N-
unsubstituted b-amino acids (R1 = R2 = R3 = R5 = H, R4 = Me)
4.Amidation
Preparations include
โ€ข N,O-dimethyl hydroxamates of amino acids and
peptides (precursors of chiral peptidyl aldehydes),
โ€ข heterocyclic amide fragments in the synthesis of macrolide and
porphyrin models,
โ€ข dansylglycine anhydride as a mixed sulfonic-carboxylic imide by
dehydration-cyclization of dansylglycine.
โ€ข selective monoacylation of heterocyclic diamine in carbohydrate
series.
REFERENCE
โ€ข Advanced organic chemistry reactions,mechanisms by Jerry
march, 4th edition,p.no: 956-962.
โ€ข Reactions and reagents by O.P.Agarwal, p.no.840-844
โ€ข Organic chemistry by Robert Thornton Morrison, Robert Neilson
Boyd, Saibal Kanthi Bhattacharjee, 7th edition, p:no 331-334
โ€ข https://en.wikipedia.org/wiki/Diazo#From_amines
โ€ข http://onlinelibrary.wiley.com/diazopropane
โ€ข http://www.sciencedirect.com/science/article/pii/S00086215008047
23
โ€ข http://www.brainyresort.com/en/wittig-reaction-
mechanism/
โ€ข https://www.google.co.in/search?dcr=0&q=peptide+bo
nd+characteristics
โ€ข https://en.wikipedia.org/wiki/BOP_reagent
โ€ข http://www.sciencedirect.com/science/article/pii/S0040
403900772571
THANK YOUโ€ฆโ€ฆ..

SYNTHETIC REAGENTS AND APPLICATION