APPLICATIONS OF QSAR
1
Department of
pharmaceutical chemistry
2Department of pharmaceutical chemistry
1. Information from the intercept values
2. Importance of log P0 concept
3. Bioisosterism
4. Enzyme Inhibition
5. Information on receptor site
6. Importance in Drug Research
3
Department of pharmaceutical
chemistry
1. Information from the intercept values
4
Department of pharmaceutical
chemistry
• Intercept represents the activity of the unsubstituted
compound
• The activity increases or decreases depending on the
substitution which is reflected in the slope or regression
coefficient.
• Intercept is very high and slope is low- basic nucleus or the
parent compound has high activity.
• Intercept is a measure of intrinsic activity.
5
Department of pharmaceutical
chemistry
• Similar slope or correlation coefficients.
•Intercept are different.
•Carbamates are more active.
Examples
1. Alcohol and Carbamates inhibit bacterial
luminescence
6
Department of pharmaceutical chemistry
Example 2
Esters and alkyl carbonates -their narcotic action on
tadpoles.
Carbamates are more active than
the esters.
7Department of pharmaceutical chemistry
2. Importance of log P0 concept
8Department of pharmaceutical chemistry
EXAMPLES
Analgesic activity of
Hydroxycodenone esters :
Anticonvulsant activity
(barbiturates, benzodiazepines
etc ) :
9Department of pharmaceutical chemistry
• General anesthetic activity of ethers.
10Department of pharmaceutical chemistry
11Department of pharmaceutical chemistry
The logP value of many CNS drug was around 2.0.
For example:
12Department of pharmaceutical chemistry
3. Bioisosterism
• Replacement of one fuctional group with other having similar
properties both qualitatively and quantitatively.
• Discovery of cyanoguanidine as the bioisostere of thiourea,
• Development of H2 antagonists.
13
Department of pharmaceutical
chemistry
EXAMPLE
A guanidine isostere, where C=S is replaced with C=NH, resulted
in increased basicity and reduced activity. To decrease the basicity,
an electron withdrawing group like NO2 , -CN were introduced
into the guanido group.
14
Department of pharmaceutical
chemistry
• Cyanoguanidine group – NH(C=NCN)-NH- =
ideal isoster for thiourea –NH(C=S) -NHR with
reduced basicity.
15
Department of pharmaceutical
chemistry
• Thiourea is replaced with –– NH(C=CHNO2) –NHR group.
16Department of pharmaceutical chemistry
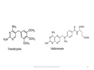
4. Enzyme Inhibition
• Dihydrofolate reductase (DHFR) most extensively
investigated enzyme.
• DHFR inhibitors are therapeutically important as highly
selective in
• Antibacterial
• Antimalarial
• Antitumor agents
17
Department of pharmaceutical
chemistry
18Department of pharmaceutical chemistry
• Replacement of one methoxy group of trimethoprim by an
acidic side chain - carboxylate group- increase in inhibitory
activities but selectivity and membrane permeability
significantly decreased.
• Replacement to sulfonyl group- Mycobacterium lufu DHFR
19
Department of pharmaceutical
chemistry
• Potent in vitro inhibitor of Escherichia coli DHFR.
• Both bacteria largely differ in the permeability of their cell
walls.
20Department of pharmaceutical chemistry
5. Information on receptor site
• Inhibition of dihydro folate reductase(DHFR) by benzyl
pyrimidines (Trimethoprim type).
• Inhibition of DHFR from bovine liver and from E.coli.
21Department of pharmaceutical
chemistry
• Mammalian enzyme –hydrophobicity
• Bacterial inhibition depends on the bulk of the substituent.
22Department of pharmaceutical chemistry
• QSAR on Quinazolines- hydrophobic parameter for the
substituent at 5 positions - a large positive coefficient.
• Hydrophobic pocket - both mammalian and bacterial DHFR.
23
Department of pharmaceutical
chemistry
• Triazines - hydrophobic pocket is larger in bacterial enzyme
than the mammalian enzyme.
24
Department of pharmaceutical
chemistry
6. Importance in Drug Research
• QSAR has correctly predicted the activity of large number of
compounds before their synthesis.
• Colchicine -anti-cancer drug - toxicity
25
Department of pharmaceutical
chemistry
• I is the indicator variable for the presence of the group -COCH3
at 10 position.
26Department of pharmaceutical chemistry
• Toxicity studies on the same data resulted in equation:
27
Department of pharmaceutical
chemistry
reference
• Medicinal chemistry by Burger, Wiley Publications Co.
• An introduction to medicinal chemistry- Graham.L.Patrick ,page no: 383
• The organic chemistry of the drug design and drug action – Richard. B. Silverman.
• QSAR: Hansch Analysis and Related Approaches- Hugo Kubinyi . vol :1, page no;
115
• QSAR - Application in Drug Design- International Journal of Pharmaceutical
Research & Allied Sciences, vol: 2. Page no: 6
• Application of QSAR in Drug Design and Drug Discovery- World Journal of
Clinical Pharmacology, Microbiology and Toxicology, Vol. 1, page no: 28.
28Department of pharmaceutical chemistry

APPLICATIONS OF QSAR

  • 1.
    APPLICATIONS OF QSAR 1 Departmentof pharmaceutical chemistry
  • 2.
  • 3.
    1. Information fromthe intercept values 2. Importance of log P0 concept 3. Bioisosterism 4. Enzyme Inhibition 5. Information on receptor site 6. Importance in Drug Research 3 Department of pharmaceutical chemistry
  • 4.
    1. Information fromthe intercept values 4 Department of pharmaceutical chemistry
  • 5.
    • Intercept representsthe activity of the unsubstituted compound • The activity increases or decreases depending on the substitution which is reflected in the slope or regression coefficient. • Intercept is very high and slope is low- basic nucleus or the parent compound has high activity. • Intercept is a measure of intrinsic activity. 5 Department of pharmaceutical chemistry
  • 6.
    • Similar slopeor correlation coefficients. •Intercept are different. •Carbamates are more active. Examples 1. Alcohol and Carbamates inhibit bacterial luminescence 6 Department of pharmaceutical chemistry
  • 7.
    Example 2 Esters andalkyl carbonates -their narcotic action on tadpoles. Carbamates are more active than the esters. 7Department of pharmaceutical chemistry
  • 8.
    2. Importance oflog P0 concept 8Department of pharmaceutical chemistry
  • 9.
    EXAMPLES Analgesic activity of Hydroxycodenoneesters : Anticonvulsant activity (barbiturates, benzodiazepines etc ) : 9Department of pharmaceutical chemistry
  • 10.
    • General anestheticactivity of ethers. 10Department of pharmaceutical chemistry
  • 11.
  • 12.
    The logP valueof many CNS drug was around 2.0. For example: 12Department of pharmaceutical chemistry
  • 13.
    3. Bioisosterism • Replacementof one fuctional group with other having similar properties both qualitatively and quantitatively. • Discovery of cyanoguanidine as the bioisostere of thiourea, • Development of H2 antagonists. 13 Department of pharmaceutical chemistry
  • 14.
    EXAMPLE A guanidine isostere,where C=S is replaced with C=NH, resulted in increased basicity and reduced activity. To decrease the basicity, an electron withdrawing group like NO2 , -CN were introduced into the guanido group. 14 Department of pharmaceutical chemistry
  • 15.
    • Cyanoguanidine group– NH(C=NCN)-NH- = ideal isoster for thiourea –NH(C=S) -NHR with reduced basicity. 15 Department of pharmaceutical chemistry
  • 16.
    • Thiourea isreplaced with –– NH(C=CHNO2) –NHR group. 16Department of pharmaceutical chemistry
  • 17.
    4. Enzyme Inhibition •Dihydrofolate reductase (DHFR) most extensively investigated enzyme. • DHFR inhibitors are therapeutically important as highly selective in • Antibacterial • Antimalarial • Antitumor agents 17 Department of pharmaceutical chemistry
  • 18.
  • 19.
    • Replacement ofone methoxy group of trimethoprim by an acidic side chain - carboxylate group- increase in inhibitory activities but selectivity and membrane permeability significantly decreased. • Replacement to sulfonyl group- Mycobacterium lufu DHFR 19 Department of pharmaceutical chemistry
  • 20.
    • Potent invitro inhibitor of Escherichia coli DHFR. • Both bacteria largely differ in the permeability of their cell walls. 20Department of pharmaceutical chemistry
  • 21.
    5. Information onreceptor site • Inhibition of dihydro folate reductase(DHFR) by benzyl pyrimidines (Trimethoprim type). • Inhibition of DHFR from bovine liver and from E.coli. 21Department of pharmaceutical chemistry
  • 22.
    • Mammalian enzyme–hydrophobicity • Bacterial inhibition depends on the bulk of the substituent. 22Department of pharmaceutical chemistry
  • 23.
    • QSAR onQuinazolines- hydrophobic parameter for the substituent at 5 positions - a large positive coefficient. • Hydrophobic pocket - both mammalian and bacterial DHFR. 23 Department of pharmaceutical chemistry
  • 24.
    • Triazines -hydrophobic pocket is larger in bacterial enzyme than the mammalian enzyme. 24 Department of pharmaceutical chemistry
  • 25.
    6. Importance inDrug Research • QSAR has correctly predicted the activity of large number of compounds before their synthesis. • Colchicine -anti-cancer drug - toxicity 25 Department of pharmaceutical chemistry
  • 26.
    • I isthe indicator variable for the presence of the group -COCH3 at 10 position. 26Department of pharmaceutical chemistry
  • 27.
    • Toxicity studieson the same data resulted in equation: 27 Department of pharmaceutical chemistry
  • 28.
    reference • Medicinal chemistryby Burger, Wiley Publications Co. • An introduction to medicinal chemistry- Graham.L.Patrick ,page no: 383 • The organic chemistry of the drug design and drug action – Richard. B. Silverman. • QSAR: Hansch Analysis and Related Approaches- Hugo Kubinyi . vol :1, page no; 115 • QSAR - Application in Drug Design- International Journal of Pharmaceutical Research & Allied Sciences, vol: 2. Page no: 6 • Application of QSAR in Drug Design and Drug Discovery- World Journal of Clinical Pharmacology, Microbiology and Toxicology, Vol. 1, page no: 28. 28Department of pharmaceutical chemistry