AMITY INSTITUTE OF PHARMACY
UGI REACTION
Submitted to Submitted by
Dr. Neerupma Dhiman Firuj Ahmed
Department of Pharmaceutical Chemistry Master of Pharmacy
1st Year
Index:
1. Introduction
2. Characteristics
3. General Reaction
4. Reaction Mechanism
5. Synthetic Applications
6. General Applications
7. Reference
UGI REACTION:
A multi component reaction.
Multi Component reaction: A multi component reaction are those
reaction where three or more reactants come together in a single
reaction vessel to form a new product.
It is the most studied and used multi component reaction.
Ugi reaction takes place between a ketone or aldehyde, an amine, an
isocyanides and a carboxylic acid to form a bis amide.
Reported first by prof. Ivar Karl Ugi in the year 1959.
CHARACTERISTICS:
1.It is exothermic reaction.
2.Usually completes in minutes after isocyanide addition.
3.This is an uncatalyzed reaction.
4.Has high atom economy as only a molecule of water is lost.
5.High chemical yield.
GENERAL REACTION
Carboxylic Acid Amine Ketone or Aldehyde Isocyanide
Bis -Amide
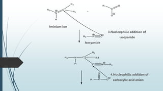
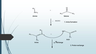
REACTION MECHANISM
STEPS :
1. Imine formation with amine vs ketone.
2. Proton exchange(formation of iminium ion)
3. Nucleophilic addition of isocyanide.
4. Nucleophilic addition of Carboxylic acid anion.
5. Mumm’s rearrangement.
Amine Ketone
1. Imine formation
Acid
Imine exchange
2. Proton exchange
Iminium ion
3.Nucleophilic addition of
isocyanide
Isocyanide
4.Nucleophilic addition of
carboxylic acid anion
Mumm’s rearrangement
5. Mumm’s
Rearrangement
Bis-Amide
SYNTHETIC APPLICATION OF THE UGI REACTION:
1.Synthesis of a synthetic opioid analgesic norsufentanil derivative: Fentanyl or fentanyl is a synthetic
opioid analgesic used as a pain medication to relieve pain after different treatments.
Novel substituted amino acid –tethered norsufentanil derivatives 2 were synthesized by Ugi reaction utilizing
the Carboxylic acid-tethered norsufentanil 1 with a variety of aldehydes, amines, and isocyanides to produce
a library of the desired norsufentanil derivatives compounds 2.
1 2
GENERAL APPLICATIONS:
1.It is used to develop chemical libraries.
2.It is used to synthesized a different number of compounds in
one reaction.
3.Crixivan(brand name for Indinavir) can be prepared by using ugi
reaction(used to treat HIV/AIDS)
4.Many of the caine-type anaesthetics are synthesized using this
reaction.
Ex– Lidocaine and Bupivacaine.
REFERENCE:
Boukis A.C., et al., “Multicomponent Reactions Provide Key
Molecules for Secret Communication”, Nature Communications,
2018, 9:1439.
https://www.organic-
chemistry.org/namedreactions/ugireaction.shtm
https://www.organic-reaction.com/organic-reaction/multi-
component-reactions/ugi-reaction/
THANK YOU

Ugi Reaction

  • 1.
    AMITY INSTITUTE OFPHARMACY UGI REACTION Submitted to Submitted by Dr. Neerupma Dhiman Firuj Ahmed Department of Pharmaceutical Chemistry Master of Pharmacy 1st Year
  • 2.
    Index: 1. Introduction 2. Characteristics 3.General Reaction 4. Reaction Mechanism 5. Synthetic Applications 6. General Applications 7. Reference
  • 3.
    UGI REACTION: A multicomponent reaction. Multi Component reaction: A multi component reaction are those reaction where three or more reactants come together in a single reaction vessel to form a new product. It is the most studied and used multi component reaction. Ugi reaction takes place between a ketone or aldehyde, an amine, an isocyanides and a carboxylic acid to form a bis amide. Reported first by prof. Ivar Karl Ugi in the year 1959.
  • 4.
    CHARACTERISTICS: 1.It is exothermicreaction. 2.Usually completes in minutes after isocyanide addition. 3.This is an uncatalyzed reaction. 4.Has high atom economy as only a molecule of water is lost. 5.High chemical yield.
  • 5.
    GENERAL REACTION Carboxylic AcidAmine Ketone or Aldehyde Isocyanide Bis -Amide
  • 6.
    REACTION MECHANISM STEPS : 1.Imine formation with amine vs ketone. 2. Proton exchange(formation of iminium ion) 3. Nucleophilic addition of isocyanide. 4. Nucleophilic addition of Carboxylic acid anion. 5. Mumm’s rearrangement.
  • 7.
    Amine Ketone 1. Imineformation Acid Imine exchange 2. Proton exchange
  • 8.
    Iminium ion 3.Nucleophilic additionof isocyanide Isocyanide 4.Nucleophilic addition of carboxylic acid anion
  • 9.
  • 10.
    SYNTHETIC APPLICATION OFTHE UGI REACTION: 1.Synthesis of a synthetic opioid analgesic norsufentanil derivative: Fentanyl or fentanyl is a synthetic opioid analgesic used as a pain medication to relieve pain after different treatments. Novel substituted amino acid –tethered norsufentanil derivatives 2 were synthesized by Ugi reaction utilizing the Carboxylic acid-tethered norsufentanil 1 with a variety of aldehydes, amines, and isocyanides to produce a library of the desired norsufentanil derivatives compounds 2. 1 2
  • 11.
    GENERAL APPLICATIONS: 1.It isused to develop chemical libraries. 2.It is used to synthesized a different number of compounds in one reaction. 3.Crixivan(brand name for Indinavir) can be prepared by using ugi reaction(used to treat HIV/AIDS) 4.Many of the caine-type anaesthetics are synthesized using this reaction. Ex– Lidocaine and Bupivacaine.
  • 12.
    REFERENCE: Boukis A.C., etal., “Multicomponent Reactions Provide Key Molecules for Secret Communication”, Nature Communications, 2018, 9:1439. https://www.organic- chemistry.org/namedreactions/ugireaction.shtm https://www.organic-reaction.com/organic-reaction/multi- component-reactions/ugi-reaction/
  • 13.