SECTION 11 – SPUR GEARS
Page 1 of 57
INTERMITTENT SERVICE
DESIGN PROBLEMS
631. A pair of gears with 20o
full-depth teeth are to transmit 10 hp at 1750 rpm of the
3-in. pinion; velocity ratio desired is about 3.8; intermittent service. Use a
strength reduction factor of about 1.4, with theload at the tip and teeth
commercially cut. Determine the pitch, face width, and tooth numbers if the
material is cast iron, class 20.
Solution:
( )( ) fpmfpm
nD
v
pp
m 20001374
12
17503
12
<===
ππ
hphp 2010 <
Commercially cut gears, fpmvm 2000<
t
m
d F
v
F
600
600 +
=
( ) lb
v
hp
F
m
t 240
1374
10000,33000,33
===
( ) lbFd 790240
600
1374600
=




 +
=
df
s
PK
sbY
F =
For cast-iron, class 20, un ss 4.0=
( ) psiksis 80008204.0 ===
4.1=fK
assume
dP
b
10
=
Table AT 24, Load at tip, 20o
F.D.
Assume 33.0=Y
ds FF =
( )( )( )
( )
790
4.1
33.0108000
2
=
dP
89.4=dP
use 5=dP
( )( ) 1535 === pdp DPN
289.0=Y
SECTION 11 – SPUR GEARS
Page 2 of 57
ds FF =
( )( )( )
( )( )
790
54.1
33.08000
=
b
inb 4.2=
dd P
b
P
5.128
<<
use
in
P
b
d
5.2
5
5.125.12
===
inb
2
1
2=
Summary of answers:
5=dP
inb
2
1
2=
15=pN
( ) 57158.3 ==gN
633. A pair of gears with 20o
full-depth teeth are to transmit 5 hp at 1800 rpm of the
pinion; 5.2=wm ; 18=pN teeth; commercially cut teeth; intermittent service;
45.1≈fK . (a) Determine the pitch, face width, and tooth numbers if the material
is cast iron, class 25. (b) The same as (a) except that the pinion is to be made of
phosphor gear bronze (SAE 65, Table AT 3).
Solution:
Load at tip, Table AT 24, 20o
F.D.
18=pN , 308.0=Y
( )( ) 45185.2 ==gN , 399.0=Y
12
pp
m
nD
v
π
=
dd
p
p
PP
N
D
18
==
rpmnp 1800=
( )( )
dd
m
PP
v
ππ 2700
12
180018
==
Commercially cut teeth
SECTION 11 – SPUR GEARS
Page 3 of 57
t
m
d F
v
F 




 +
=
600
600
( )
ππ 9
550
2700
5000,33 d
d
t
P
P
F =






=
( )d
ddd
d P
PPP
F 4523.19
600
3.8482
600
9
550
600
2700
600












+
=

















+
=
π
π






+=
d
dd
P
PF
1372.14
14523.19
df
s
PK
sbY
F =
assume
dP
b
10
=
(a) Cast iron, class 25,
( ) psiksiss un 000,1010254.04.0 ====
ds FF =
Pinion is weaker
( )( )( )
( )( ) 





+=
d
d
d
P
P
P
1372.14
14523.19
45.1
308.010000,10
2






+=
d
d
d P
P
P
1372.14
14523.19
241,21
2
16.7=dP
use 7=dP
Face width b
( )( )( )
( )( )
( ) 





+=
7
1372.14
174523.19
745.1
308.0000,10 b
inb 355.1=
dd P
b
P
5.128
<<
786.1143.1 << b
say inb 5.1=
Summary of answers:
7=dP
inb
2
1
1=
SECTION 11 – SPUR GEARS
Page 4 of 57
18=pN
45=gN
(b) Phosphor gear bronze , (SAE 65, Table AT 3)
ksisu 80=
( ) ksiss un 32804.04.0 ===
or ksisn 31= (Table AT 3)
use ksisn 31=
Pinion, bronze
( )( ) 9548308.0000,31 ==sY
Gear, cast iron
( )( ) 3990399.0000,10 ==sY
Therefore gear is weaker
( )( )( )
( )( ) 





+=
d
d
d
P
P
P
1372.14
14523.19
45.1
399.010000,10
2






+=
d
d
d P
P
P
1372.14
14523.19
517,27
2
8=dP
use 8=dP
Face width b
( )( )( )
( )( )
( ) 





+=
8
1372.14
184523.19
845.1
399.0000,10 b
inb 252.1=
dd P
b
P
5.128
<<
5625.11 << b
say ininb
4
1
125.1 ==
Summary of answers:
8=dP
inb
4
1
1=
18=pN
45=gN
SECTION 11 – SPUR GEARS
Page 5 of 57
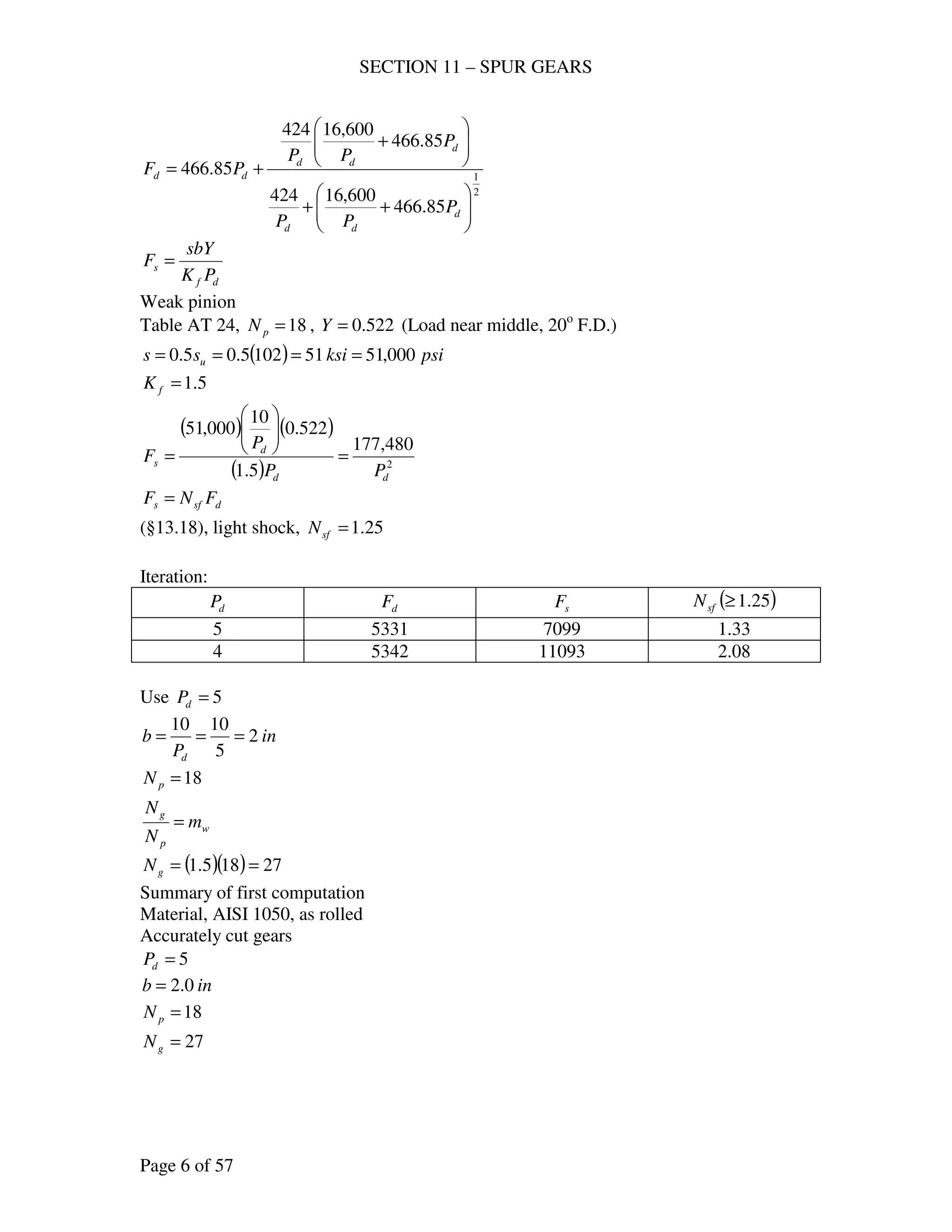
634. It is desired to transmit 120 hp at 1800 rpm of the pinion; intermittent service;
with light shock (§13.18); preferably not less than 18, 20o
-full-depth teeth on the
pinion; 5.1=fK should be conservative; 5.1=wm . Decisions must be made
concerning the material and quality of cutting the teeth. Since the design is for
strength only, it will be convenient to express tF , dF , mv , b in terms of dP and
arrange an equation containing s and dP convenient for iteration. Weak material
results in a relatively large pinion with high peripheral speed. A very strong
material may be unnecessarily expensive. On a production basesm carefully cut
teeth should have a reasonable cost. Specify material, accuracy of cutting, pitch,
face width, and tooth numbers.
Solution:
dd
p
p
PP
N
D
18
==
( )
d
dpp
m
P
PnD
v
3.8482
12
1800
18
12
=






==
π
π
( )
d
d
m
t P
P
v
hp
F 85.466
3.8482
120000,33000,33
=






==
hphp 20120 >
use Buckingham’s equation
( )
( )2
1
05.0
05.0
tm
tm
td
FCbv
FCbv
FF
++
+
+=
Assume a material of steel, as rolled AISI 1050,
ksisu 102=
For carefully cut teeth, Fig. AF 20, ine 001.0= (min.)
Table AT 25, steel on steel, 20o
F.D.
1660=C
Try
dP
b
10
=
2
1
85.466
10
1660
3.8482
05.0
85.466
10
1660
3.8482
05.0
85.466






+





+











+











+=
d
dd
d
dd
dd
P
PP
P
PP
PF
SECTION 11 – SPUR GEARS
Page 6 of 57
2
1
85.466
600,16424
85.466
600,16424
85.466






++






+
+=
d
dd
d
dd
dd
P
PP
P
PP
PF
df
s
PK
sbY
F =
Weak pinion
Table AT 24, 18=pN , 522.0=Y (Load near middle, 20o
F.D.)
( ) psiksiss u 000,51511025.05.0 ====
5.1=fK
( ) ( )
( ) 2
480,177
5.1
522.0
10
000,51
dd
d
s
PP
P
F =






=
dsfs FNF =
(§13.18), light shock, 25.1=sfN
Iteration:
dP dF sF ( )25.1≥sfN
5 5331 7099 1.33
4 5342 11093 2.08
Use 5=dP
in
P
b
d
2
5
1010
===
18=pN
w
p
g
m
N
N
=
( )( ) 27185.1 ==gN
Summary of first computation
Material, AISI 1050, as rolled
Accurately cut gears
5=dP
inb 0.2=
18=pN
27=gN
SECTION 11 – SPUR GEARS
Page 7 of 57
CHECK PROBLEMS
636. A pair of carefully cut, full depth, 20o
involute gears, made of cast iron, ASTM
30, is transmitting 5 hp at 1150 rpm of the pinion; 24=pN , 32=gN , 8=dP ,
inb
2
1
1= . For the teeth, determine (a) the endurance , (b) the dynamic load, (c)
the service factor (§13.18).
Solution: hphp 205 <
24=pN , 20o
F.D.
337.0=Y , Load at tip
assume 45.1=fK average
(a)
df
s
PK
sbY
F =
cast-iron, ( ) psiksiss u 000,1212304.04.0 ====
( )( )( )
( )( )
lbFs 523
845.1
337.05.1000,12
==
(b) t
m
d F
v
F 




 +
=
1200
1200
For carefully cut gears
12
pp
m
nD
v
π
=
in
P
N
D
d
p
p 3
8
24
===
rpmnp 1150=
( )( ) fpmvm 2.903
12
11503
==
π
( ) lb
v
hp
F
m
t 7.182
2.903
5000,33000,33
===
( ) lbF
v
F t
m
d 3207.182
1200
2.9031200
1200
1200
=




 +
=




 +
=
(c) 63.1
320
523
===
d
s
sf
F
F
N
637. A manufacturer’s catalog for cut-tooth spur gears rates a 25-tooth, cast-iron
(ASTM 25) pinion with 5-pitch, 20o
full-depth involute teeth at 16.5 hp at 900
SECTION 11 – SPUR GEARS
Page 8 of 57
rpm; inb
2
1
2= and 2=gm ; let 5.1=fK ; intermittent service; smooth load. (a)
What horsepower may these gears transmit? Do you consider the catalog rating
too high or too low? (b) The same as (a) except that the teeth are carfully cut. (c)
The same as (a) except that the pinion is to be made of phosphor bronze (SAE 65,
Table AT 3).
Solution:
hphp 205.16 <
12
pp
m
nD
v
π
=
in
P
N
D
d
p
p 5
5
25
===
rpmnp 900=
( )( ) fpmvm 1178
12
9005
==
π
(a) Using commercially cut.
t
m
d F
v
F 




 +
=
600
600
, fpmvm 2000≤
Table AT 24, Load at tip, 20o
F.D.
25=pN , 340.0=Y
( ) 50252 === pgg NmN , 408.0=Y
use 340.0=Y , weaker pinion
Cast iron, ( ) psiksiss u 000,1212304.04.0 ====
5.1=fK
5=dP
inb
2
1
2=
df
s
PK
sbY
F =
( )( )( )
( )( )
lbFs 1360
55.1
340.05.2000,12
==
dsfs FNF =
smooth load, 1=sfN
( ) tF




 +
=
600
1178600
11360
lbFt 459=
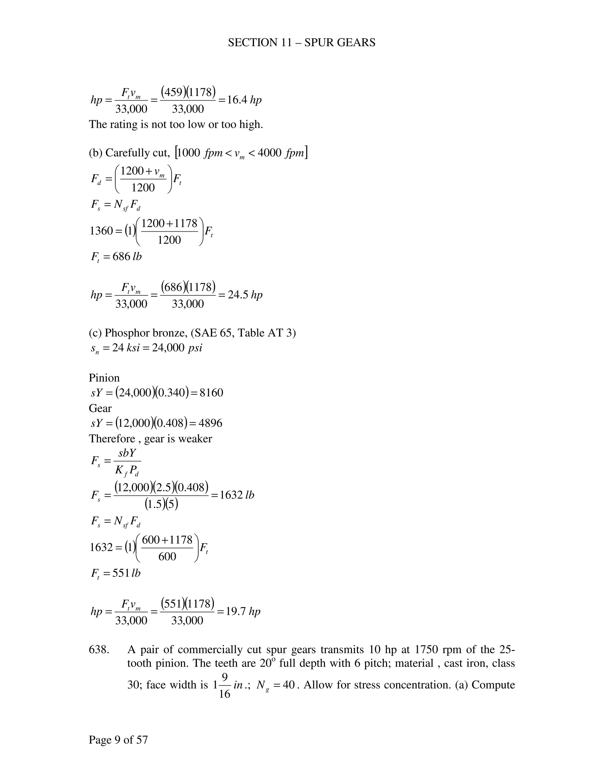
SECTION 11 – SPUR GEARS
Page 9 of 57
( )( ) hp
vF
hp mt
4.16
000,33
1178459
000,33
===
The rating is not too low or too high.
(b) Carefully cut, [ ]fpmvfpm m 40001000 <<
t
m
d F
v
F 




 +
=
1200
1200
dsfs FNF =
( ) tF




 +
=
1200
11781200
11360
lbFt 686=
( )( ) hp
vF
hp mt
5.24
000,33
1178686
000,33
===
(c) Phosphor bronze, (SAE 65, Table AT 3)
psiksisn 000,2424 ==
Pinion
( )( ) 8160340.0000,24 ==sY
Gear
( )( ) 4896408.0000,12 ==sY
Therefore , gear is weaker
df
s
PK
sbY
F =
( )( )( )
( )( )
lbFs 1632
55.1
408.05.2000,12
==
dsfs FNF =
( ) tF




 +
=
600
1178600
11632
lbFt 551=
( )( ) hp
vF
hp mt
7.19
000,33
1178551
000,33
===
638. A pair of commercially cut spur gears transmits 10 hp at 1750 rpm of the 25-
tooth pinion. The teeth are 20o
full depth with 6 pitch; material , cast iron, class
30; face width is in
16
9
1 .; 40=gN . Allow for stress concentration. (a) Compute
SECTION 11 – SPUR GEARS
Page 10 of 57
the service factor for the teeth (§13.18). (b) If the drive is for a single-cylinder
compressor, would carefully cut teeth be advisable? Show calculations.
Solution:
hphp 2010 <
in
P
N
D
d
p
p 167.4
6
25
===
12
pp
m
nD
v
π
=
( )( ) fpmvm 1909
12
1750167.4
==
π
For commercially cut gears
t
m
d F
v
F 




 +
=
600
600
( ) lb
v
hp
F
m
t 173
1909
10000,33000,33
===
( ) lbFd 4.723173
600
1909600
=




 +
=
df
s
PK
sbY
F =
Assume 45.1=fK , average, load near tip
Table AT 24, 20o
F.D.
25=pN , 340.0=Y
Cast iron, ( ) psiksiss u 000,1212304.04.0 ====
( ) ( )
( )( )
lbFs 8.732
645.1
340.0
16
9
1000,12
=






=
(a) 0.1
4.723
8.732
≈==
d
s
sf
F
F
N
(b) Carefully cut gears
( ) lbF
v
F t
m
d 2.448173
1200
19091200
1200
1200
=




 +
=




 +
=
635.1
2.448
8.732
===
d
s
sf
F
F
N
(§13.18) Single-cylinder compressore
75.15.1 << sfN
SECTION 11 – SPUR GEARS
Page 11 of 57
75.1635.15.1 <<
Therefore advisable.
CONTINUOUS SERVICE
DESIGN PROBLEMS
NOTE: When using Buckingham’s dF equation and a fK is used, as intended in design
for continuous service, use Y for load near middle.
639. The pinion of a pair of steel gears, transmitting 110 hp at 2300 rpm, is to have a
diameter of about in
3
1
4 .; 3.2≈gm ; 20o
full-depth teeth; the drive is to a
centrifugal pump, continuous service. (a) Decide upon dP , b , pN , gN , and the
material to be used. Consider the strength with the load near the middle of the
profile. (b) The same as (a) except that it is not expected that the maximum
loading will occur for more than 107
cycles, can you justify changes in your
previous answers?
Solution:
hphp 20110 >
inDp
3
1
4=
rpmnp 2300=
( )
fpm
nD
v pp
m 2609
12
2300
3
1
4
12
=






==
π
π
( ) lb
v
hp
F
m
t 1391
2609
110000,33000,33
===
( )
( )2
1
05.0
05.0
tm
tm
td
FCbv
FCbv
FF
++
+
+=
Fig. AF 19, fpmvm 2609=
Maximum permissible error = 0.0012 in
Fig. AF 20
Use carefully cut gears
Expected errors = 0.001 in
Table AT 25, steel on steel, 20o
F.D.
1660=C
Try
dP
b
10
=
SECTION 11 – SPUR GEARS
Page 12 of 57
( )
( )
2
1
1391
10
1660260905.0
1391
10
1660260905.0
1391






+





+






+





+=
d
d
d
P
P
F
2
1
1391
16600
45.130
1391
16600
45.130
1391






++






+
+=
d
d
d
P
P
F
Wear Load
gpw bQKDF =
( ) 394.1
13.2
3.22
1
2
=
+
=
+
=
g
g
m
m
Q
with 5=dP , lbFd 4478=
4=dP , lbFd 4919=
5=dP , ( ) 4478394.1
5
10
3
1
4 =











= gw KF
371=gK
4=dP , ( ) 4919394.1
4
10
3
1
4 =











= gw KF
326=gK
Table AT 26, 20o
F.D.
Use sum of BHN = 800. 366=gK
( )( )
dd
w
PP
F
109,22
366394.1
10
3
1
4 =











=
Iteration: dw FF ≥
dP dF wF
5 4478 4422
4 4919 5527
Use 5=dP ,
dd P
b
P
5.128
<<
inbin 5.26.1 <<
use inb 5.2=
SECTION 11 – SPUR GEARS
Page 13 of 57
To check for strength
df
s
PK
sbY
F =
Load near middle, ( ) 67.21
3
1
45 =





== pdp DPN
( )( ) 84.4967.213.2 === pgg NmN
use 50=gN , 22=pN
inDp 4.4=
inDg 10
5
50
==
For s , average BHN = 400
Use 8630 WQT 800 F, BHN = 375 gear
2330 WQT 600 F, BHN = 429 pinion
Sum of BHN = 375 + 429 = 804 800≈
Table AT 24, Load near middle, 20o
F.D.
22=pN 559.0=Y
50=gN 694.0=Y
Pinion: ( ) psis 250,107429250 ==
( )( ) psisY 953,59559.0250,107 ==
Gear: ( ) psis 750,93375250 ==
( )( ) psisY 062,65694.0750,93 ==
Pinion is weaker
( )( )
( )( ) d
df
s Flb
PK
sbY
F >=== 633,17
57.1
5.2953,59
Summary of answer:
5=dP
inb 5.2=
22=pN
50=gN
Material:
Pinion: 2330 WQT 600 F, BHN = 429
Gear: 8630 WQT 800 F, BHN = 375
(b) For 107
cycles
SECTION 11 – SPUR GEARS
Page 14 of 57
Tables AT 26, 306=<gK for the less stronger material available, therefore can’t be
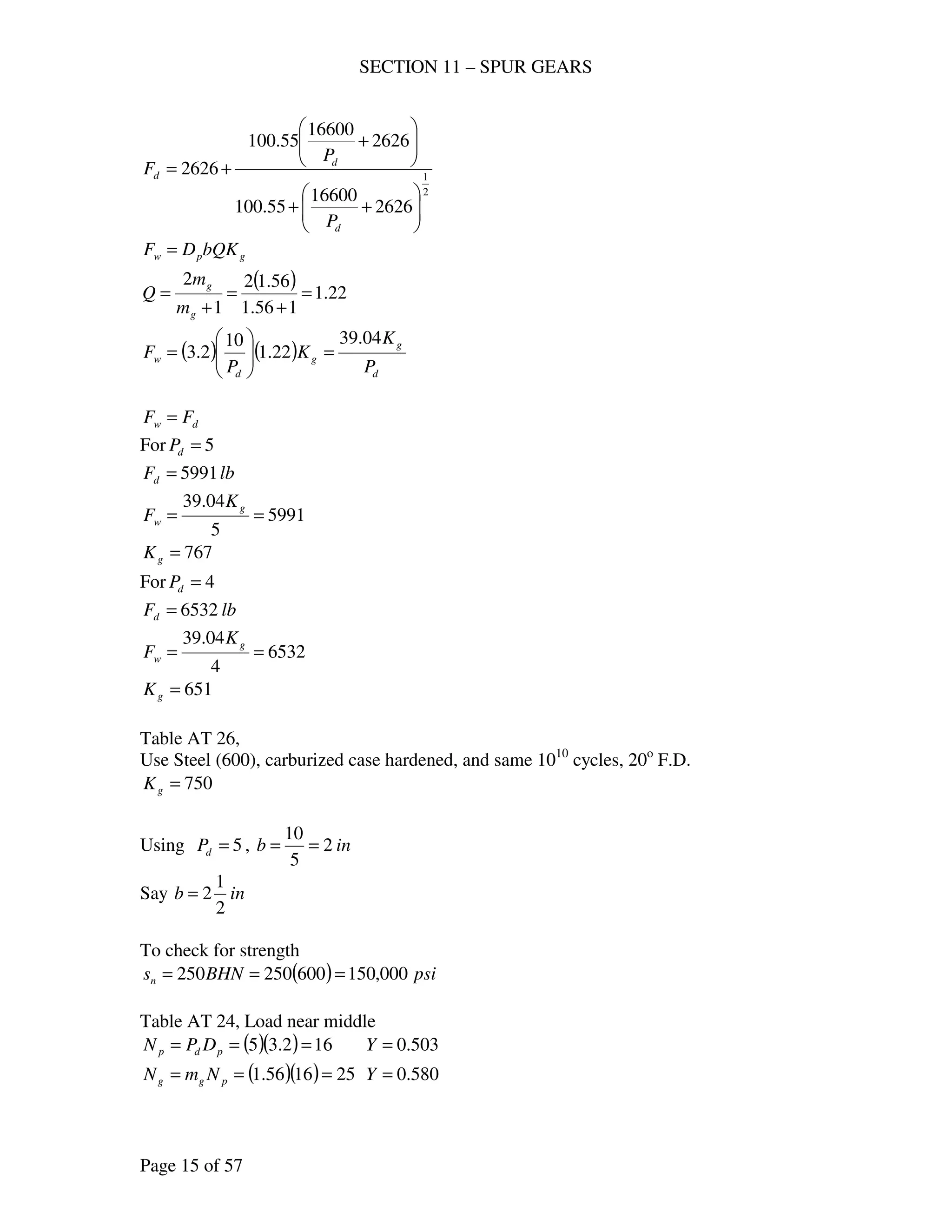
justify to change the previous answer. ( pN will become less than minimum). Using
stronger material is expensive.
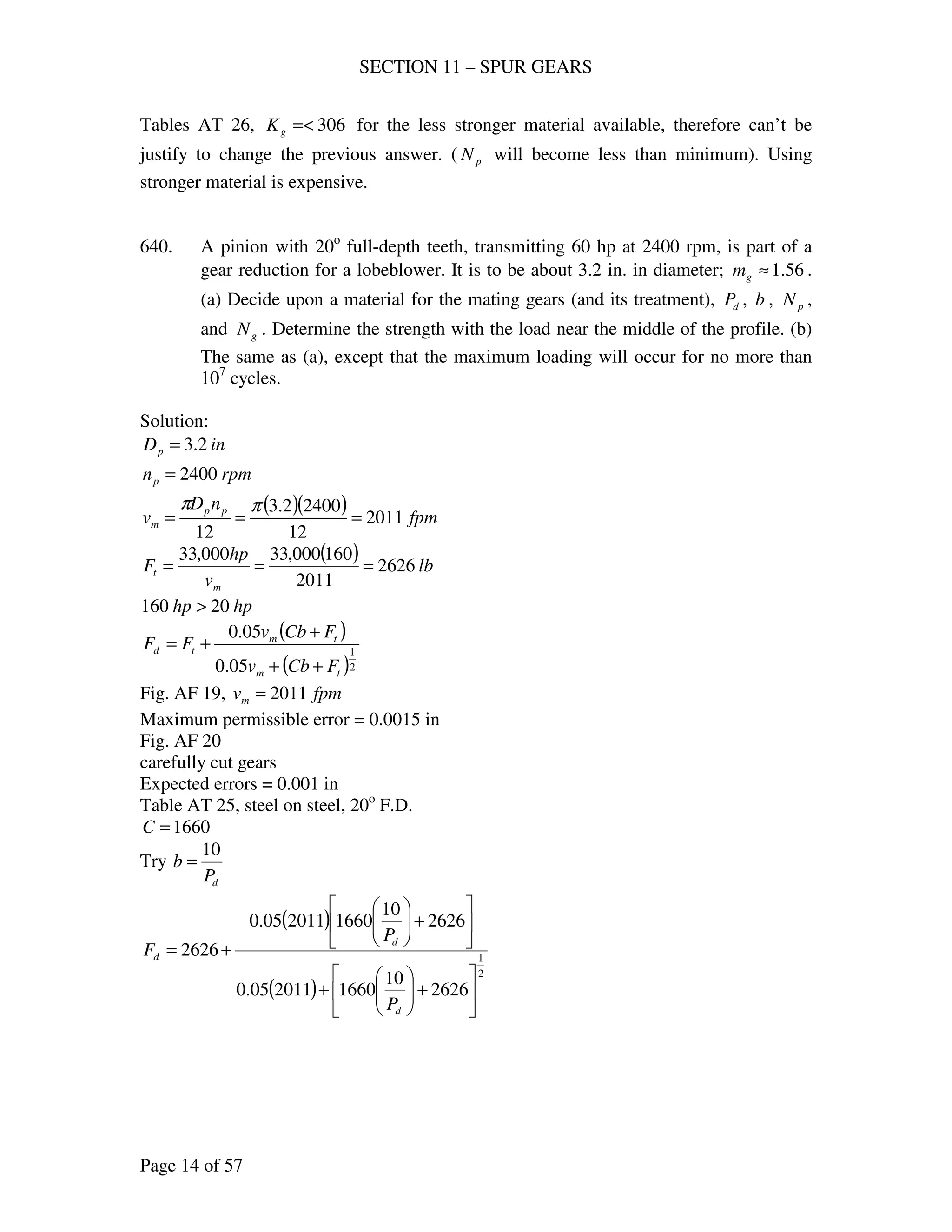
640. A pinion with 20o
full-depth teeth, transmitting 60 hp at 2400 rpm, is part of a
gear reduction for a lobeblower. It is to be about 3.2 in. in diameter; 56.1≈gm .
(a) Decide upon a material for the mating gears (and its treatment), dP , b , pN ,
and gN . Determine the strength with the load near the middle of the profile. (b)
The same as (a), except that the maximum loading will occur for no more than
107
cycles.
Solution:
inDp 2.3=
rpmnp 2400=
( )( ) fpm
nD
v pp
m 2011
12
24002.3
12
===
ππ
( ) lb
v
hp
F
m
t 2626
2011
160000,33000,33
===
hphp 20160 >
( )
( )2
1
05.0
05.0
tm
tm
td
FCbv
FCbv
FF
++
+
+=
Fig. AF 19, fpmvm 2011=
Maximum permissible error = 0.0015 in
Fig. AF 20
carefully cut gears
Expected errors = 0.001 in
Table AT 25, steel on steel, 20o
F.D.
1660=C
Try
dP
b
10
=
( )
( )
2
1
2626
10
1660201105.0
2626
10
1660201105.0
2626






+





+






+





+=
d
d
d
P
P
F
SECTION 11 – SPUR GEARS
Page 15 of 57
2
1
2626
16600
55.100
2626
16600
55.100
2626






++






+
+=
d
d
d
P
P
F
gpw bQKDF =
( ) 22.1
156.1
56.12
1
2
=
+
=
+
=
g
g
m
m
Q
( ) ( )
d
g
g
d
w
P
K
K
P
F
04.39
22.1
10
2.3 =





=
dw FF =
For 5=dP
lbFd 5991=
5991
5
04.39
== g
w
K
F
767=gK
For 4=dP
lbFd 6532=
6532
4
04.39
== g
w
K
F
651=gK
Table AT 26,
Use Steel (600), carburized case hardened, and same 1010
cycles, 20o
F.D.
750=gK
Using 5=dP , inb 2
5
10
==
Say inb
2
1
2=
To check for strength
( ) psiBHNsn 000,150600250250 ===
Table AT 24, Load near middle
( )( ) 162.35 === pdp DPN 503.0=Y
( )( ) 251656.1 === pgg NmN 580.0=Y
SECTION 11 – SPUR GEARS
Page 16 of 57
assume 7.1=fK
( )( )( )
( )( ) d
df
s Flb
PK
sbY
F >=== 191,22
57.1
503.05.2000,150
Summary of answer:
5=dP
inb 5.2=
16=pN
25=gN
(b) 107
cycles
Table AT 26, 1680=gK
( )
dd
w
PP
F
587,65168004.39
==
Iteration: dw FF ≥
dP dF wF
7 5560 9370
8 5421 8198
9 5311 7287
10 5222 6559
11 5148 5962
12 5086 5466
13 5033 5045
Use 13=dP
inb
13
10
=
( )( ) 42132.3 === dpp PDN , 667.0=Y
To check for strength
( )( )( )
( )( ) d
df
s Flb
PK
sbY
F <=== 3482
137.1
667.010000,150
2
Therefore use dsfs FNF ≥
For lobe blower, 5.125.1 << sfN
Assume 50.0=Y
SECTION 11 – SPUR GEARS
Page 17 of 57
( )( )( )
( )( ) 22
177,441
7.1
50.010000,150
dddf
s
PPPK
sbY
F ===
Iteration:
dP sF dF sfN
7 9004 5560 1.619
8 6894 5421 1.272>1.25
Use 8=dP
in
P
b
d
25.1
8
1010
===
( )( ) 6.252.38 === pdp DPN say 26
( )( ) 406.2556.1 === pgg NmN
Summary of answer:
8=dP
inb
4
1
1=
26=pN
40=gN
641. Gears with 20o
full-depth teeth are to transmit 100 hp continuously at 5000 rpm
with 4=gm ; pinion .3 inDp = ; the drive is subjected to minor shocks with
frequent starts. First calculations are to be made for carburized pinion teeth of
AISI E3310, SOQT 450F, and the gear of cast steel, SAE 0175, WQT. Decide
upon dP , b , pN , and gN .
Solution:
( )( ) fpm
nD
v pp
m 3927
12
50003
12
===
ππ
Fig. AF 19, max. per/ error. ine 00075.0=
Use precision gears, error, ine 0005.0=
Table AT 25, steel on steel, 20o
F.D.
( ) 83016605.0 ==C
( ) lb
v
hp
F
m
t 840
3927
100000,33000,33
===
dP
b
10
=
( )
( )2
1
05.0
05.0
tm
tm
td
FCbv
FCbv
FF
++
+
+=
SECTION 11 – SPUR GEARS
Page 18 of 57
( )
( )
2
1
840
10
830392705.0
840
10
830392705.0
840






+





+






+





+=
d
d
d
P
P
F
2
1
840
8300
35.196
840
8300
35.196
840






++






+
+=
d
d
d
P
P
F
For minor shock with frequent start
5.125.1 << sfN
df
s
PK
sbY
F =
Pinion: AISI E3310, SOQT 450 F, 5.57CRc = , 600=BHN
( ) psisn 000,150600250 ==
Gear: Cast Steel, SAE 0175, WQT
psiksisn 000,7777 == (Table AT 6)
use psiss n 000,77==
( )( )( )
( )( ) 22
471,226
7.1
50.010000,77
dddf
s
PPPK
sbY
F ===
Iteration:
d
s
sf
F
F
N = , 5.125.1 << sfN
dP dF sF sfN
5 2833 9059 3.2
6 2633 6291 2.4
7 2488 4622 1.9
8 2378 3539 1.49
Use 8=dP
Check for wear
dw FF =
gpw bQKDF =
( ) 6.1
14
42
1
2
=
+
=
+
=
g
g
m
m
Q
SECTION 11 – SPUR GEARS
Page 19 of 57
inb 25.1
8
10
==
( )( )( ) 23786.125.13 == gw KF
396=gK
396=gK < for carburized teeth
Therefore
8=dP
inb
4
1
1=
( )( ) 2483 === dpp PDN
( )( ) 96244 === pgg NmN
Summary of answer:
8=dP
inb
4
1
1=
24=pN
96=gN
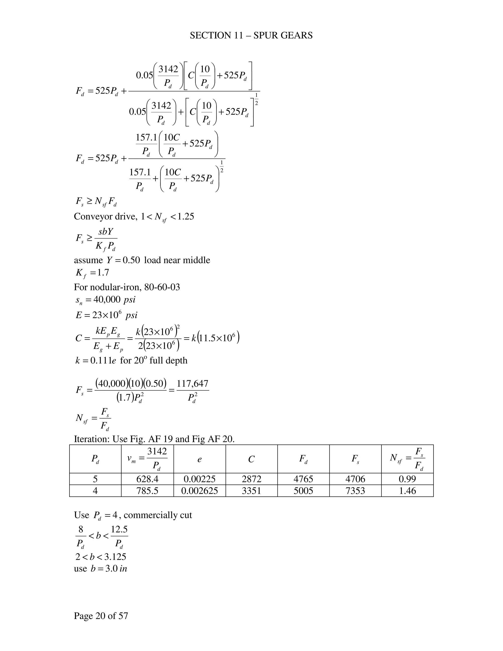
642. A 20-tooth (20o
F.D.) pinion is to transmit 50 hp at 600 rpm, the service being
indefinitely continuous in a conveyor drive; 5.2=wm . The original pplan is to
use a nodular-iron casting, 80-60-03, for each gear. Determine suitable values for
the pitch, face width, and diameters. (Warning: compute C .)
Solution:
20=pN
dd
p
p
PP
N
D
20
==
( )
d
dpp
m
P
PnD
v
3142
12
600
20
12
=






==
π
π
( )
d
d
m
t P
P
v
hp
F 525
3142
50000,33000,33
=






==
dP
b
10
=
( )
( )2
1
05.0
05.0
tm
tm
td
FCbv
FCbv
FF
++
+
+=
SECTION 11 – SPUR GEARS
Page 20 of 57
2
1
525
103142
05.0
525
103142
05.0
525






+





+











+











+=
d
dd
d
dd
dd
P
P
C
P
P
P
C
P
PF
2
1
525
101.157
525
101.157
525






++






+
+=
d
dd
d
dd
dd
P
P
C
P
P
P
C
P
PF
dsfs FNF ≥
Conveyor drive, 25.11 << sfN
df
s
PK
sbY
F ≥
assume 50.0=Y load near middle
7.1=fK
For nodular-iron, 80-60-03
psisn 000,40=
psiE 6
1023×=
( )
( ) ( )6
6
26
105.11
10232
1023
×=
×
×
=
+
= k
k
EE
EkE
C
pg
gp
ek 111.0= for 20o
full depth
( )( )( )
( ) 22
647,117
7.1
50.010000,40
dd
s
PP
F ==
d
s
sf
F
F
N =
Iteration: Use Fig. AF 19 and Fig AF 20.
dP
d
m
P
v
3142
= e C dF sF
d
s
sf
F
F
N =
5 628.4 0.00225 2872 4765 4706 0.99
4 785.5 0.002625 3351 5005 7353 1.46
Use 4=dP , commercially cut
dd P
b
P
5.128
<<
125.32 << b
use inb 0.3=
SECTION 11 – SPUR GEARS
Page 21 of 57
gpw bQKDF =
Table AT 26, 248=gK 20o
F.D.
in
P
N
D
d
p
p 5
4
20
===
( ) 43.1
15.2
5.22
1
2
=
+
=
+
=
w
w
m
m
Q
( )( )( )( ) dw FlbF >== 532024843.10.35
Summary of answer:
4=dP , commercially cut gears
inb 3=
inDp 5=
( )( ) inDmD pwg 5.1255.2 ===
643. A 4.8-in. (approximate) pinion with 20o
full-depth teeth is to transmit 40 hp at
1000 rpm; indefinitely continuous service with smooth load; 5.3=gm ; carefully
cut teeth to reduce the chance of an explosive spark, the use of a phosphor0gear-
bronze (SAE 65, Table AT 3) pinion and a cast-iron (class 35) gear is a tentative
decision. Decide upon an appropriate dP and b , using Buckingham’s average
dynamic load.
Solution:
inDd 8.4=
rpmnp 1000=
( )( ) fpm
nD
v pp
m 1257
12
10008.4
12
===
ππ
Fig. AF 19, max. permissible error, ine 00225.0=
Carefully-cut, ine 001.0=
pg
pg
EE
EkE
C
+
=
ek 111.0= for 20o
full depth
Phosphor-bronze pinion SAE 65
psisn 000,24=
psiEp
6
1016×=
Cast iron gear, class 35
( ) psiss un 000,14000,354.04.0 ===
psiEg
6
105.14 ×=
SECTION 11 – SPUR GEARS
Page 22 of 57
( )( )( )( ) 844
1016105.14
1016105.14001.0111.0
66
66
=
×+×
××
=C
Assume 4=dP
ine 00125.0=
( ) 105584425.1 ==C
( ) lb
v
hp
F
m
t 1050
1257
40000,33000,33
===
( )
( )2
1
05.0
05.0
tm
tm
td
FCbv
FCbv
FF
++
+
+=
in
P
b
dd
5.2
4
1010
===
( ) ( )[ ]
( ) ( )[ ]
lbFd 2926
10505.21055125705.0
10505.21055125705.0
1050
2
1
=
++
+
+=
df
s
PK
sbY
F =
assume 7.1=fK , load near middle, gear, 20o
F.D.
( )( ) 1948.4 === dpp PDN , 534.0=Y
use psis 000,14= , gear
( )( ) 66195.3 === pgg NmN , 7224.0=Y
( )( )( )
( )( )
lbFs 3718
47.1
7224.05.2000,14
==
dsfs FNF ≥
smooth load, 0.1=sfN
ds FF >
lblb 29263718 >
Summary
4=dP
inb 5.2=
644. The 20o
full-depth teeth for a pair of steel gears are to transmit 40 hp at 1200 rpm
of the 20-tooth pinion; 3=gm ; continuous service and indefinite life: The driven
machine is an off-and-on reciprocating compressor. (a) Determine the pitch, face
width, and steel (with treatment), considering at least three alternatives, including
carefully cut teeth. For the gear teeth decided on, what would be the power
capacity if only intermittent service (wear not considered) were required? (c) If a
limited life of 107
cycles were satisfactory?
Solution:
SECTION 11 – SPUR GEARS
Page 23 of 57
20=pN
dd
p
p
PP
N
D
20
==
rpmnp 1200=
( )
d
dpp
m
P
PnD
v
6283
12
1200
20
12
=






==
π
π
( )
d
d
m
t P
P
v
hp
F 210
6283
40000,33000,33
=






==
( )
( )2
1
05.0
05.0
tm
tm
td
FCbv
FCbv
FF
++
+
+=
For carefully cut, ine 001.0=
Table AT 25, steel on steel, 20o
F.D.
1660=C
dw FF =
gpw bQKDF =
assume
dP
b
10
=
2
1
210
10
1660
6283
05.0
210
10
1660
6283
05.0
210






+





+











+











+=
d
dd
d
dd
dd
P
PP
P
PP
PF
2
1
210
16600314
210
16600314
210






++






+
+=
d
dd
d
dd
dd
P
PP
P
PP
PF
( ) 5.1
13
32
1
2
=
+
=
+
=
w
w
m
m
Q
( )( ) g
d
g
dd
w K
P
K
PP
F 2
300
5.1
1020
=











=
5=dP
SECTION 11 – SPUR GEARS
Page 24 of 57
lbFd 3179=
( )
3179
5
300
2
== gw KF
265=gK
6=dP
lbFd 3079=
( )
3079
6
300
2
== gw KF
369=gK
(a) For indefinite life, Table AT 26
use Sum of BHN = 700, 270=gK , 5=dP
in
P
b
d
2
5
1010
===
in
P
N
D
d
p
p 4
5
20
===
( )( ) inDmD pgg 1243 ===
Material combination. (Sum of BHN = 700)
Alternatives:
(1) 4150 OQT 1200 F, gear, BHN = 331
6152 OQT 1000 F, pinion, BHN = 375
(2) 5150 OQT 1000 F, gear, BHN = 321
8620 OQT 800 F, pinion, BHN = 375
(3) 4150 OQT 1200 F, gear, BHN = 331
C1095 OQT 800 F, pinion, BHN = 363
Using Pinion: C1095, OQT 800 F, BHN = 363
( ) psisn 750,90363250 ==
Gear: 4150, OQT 1200 F, BHN = 331
( ) psisn 750,82331250 ==
Table AT 24, Load near middle, 20o
F.D.
20=pN 544.0=Y
( ) 60203 ==gN , 713.0=Y
Pinion: ( )( ) 368,49544.0750,90 ==sY
Gear: ( )( ) 000,59713.0750,82 ==sY
Therefore, pinion is weaker
SECTION 11 – SPUR GEARS
Page 25 of 57
7.1=fK
( )( )( )
( )( )
lb
PK
sbY
F
df
s 616,11
57.1
544.02750,90
===
dsfs FNF =
Reciprocating compressor, 4.1=sfN
( )
( )2
1
05.0
05.0
tm
tm
td
FCbv
FCbv
FF
++
+
+=
( )( ) fpm
nD
v pp
m 1257
12
12004
12
===
ππ
1660=C
inb 2=
( ) ( )[ ]
( ) ( )[ ]2
1
21660125705.0
21660125705.0
t
t
td
F
F
FF
++
+
+=
( )
( )2
1
332085.62
332085.62
t
t
td
F
F
FF
++
+
+=
dsfs FNF =
dF4.1616,11 =
lbFd 8297=
By trial and error method
lbFt 4900=
( )( ) hp
vF
hp mt
6.186
000,33
12574900
000,33
===
(b) 107
cycles, Table AT 26
Use 4=dP , 252=gK
Sum of BHN = 500
ine 00125.0=
( )166025.1=C
( )( )
( )( ) 2
1
210
10166025.1314
05.0
210
10166025.1314
05.0
210






++











+





+=
d
dd
d
dd
dd
P
PP
P
PP
PF
4=dP
lbFd 3870=
SECTION 11 – SPUR GEARS
Page 26 of 57
( )
( ) dw FF >== 4725252
4
300
2
Therefore 4=dP
in
P
b
d
5.2
4
1010
===
in
P
N
D
d
p
p 5
4
20
===
( )( ) inDmD pgg 1553 ===
Material combination. (Sum of BHN = 600)
(1) 8630 WQT 1100 F, gear, BHN = 285
9261 OQT 1200 F, pinion, BHN = 311
(2) 6152 OQT 1200 F, gear, BHN = 293
9840 OQT 1000 F, pinion, BHN = 302
(3) 5150 OQT 1200 F, gear, BHN = 269
4150 OQT 1200 F, pinion, BHN = 331
Using Pinion: 4150, OQT 1200 F, BHN = 331
( ) psisn 750,82331250 ==
Gear: 5150, OQT 1200 F, BHN = 269
( ) psisn 250,62269250 ==
Table AT 24, Load near middle, 20o
F.D.
20=pN 544.0=Y
( ) 60203 ==gN , 713.0=Y
Pinion: ( )( ) 016,45544.0750,82 ==sY
Gear: ( )( ) 949,47713.0750,62 ==sY
Therefore, pinion is weaker
7.1=fK
( )( )( )
( )( )
lb
PK
sbY
F
df
s 550,16
47.1
544.05.2750,82
===
( )
( )2
1
05.0
05.0
tm
tm
td
FCbv
FCbv
FF
++
+
+=
( )( ) fpm
nD
v pp
m 1571
12
12005
12
===
ππ
( ) 2075166025.1 ==C
inb 5.2=
SECTION 11 – SPUR GEARS
Page 27 of 57
( ) ( )[ ]
( ) ( )[ ]2
1
5.22075157105.0
5.22075157105.0
t
t
td
F
F
FF
++
+
+=
( )
( )2
1
5.518755.78
5.518755.78
t
t
td
F
F
FF
++
+
+=
dsfs FNF =
dF4.1550,16 =
lbFd 821,11=
By trial and error method
lbFt 6800=
( )( ) hp
vF
hp mt
324
000,33
15716800
000,33
===
645. A pair of spur gears, delivering 100 hp to a reciprocating pump at a pinion speed
of 600 rpm, is to serve continuously with indefinite life; minimum number of 20o
full-depth teeth is 18; 5.2=wm . Since low weight is highly important, it is
decided that the initial design be for carburized case-hardened teeth. (a)
Determine a suitable pitch, face width, diameters, and specify the material and its
heat treatment. (b) Use the same size teeth as determined in (a), but let the
material be flame-hardened 4150, OQT 1100 F. Compute sF and wF . If it were
decided that the maximum (specified) loading would be imposed only
occasionally, would these gears transmit more or less power than the carburized
teeth? Explain.
Solution:
18=pN
dd
p
p
PP
N
D
18
==
( )
d
dpp
m
P
PnD
v
2827
12
600
18
12
=






==
π
π
( )
d
d
m
t P
P
v
hp
F 1167
2827
100000,33000,33
=






==
( )
( )2
1
05.0
05.0
tm
tm
td
FCbv
FCbv
FF
++
+
+=
SECTION 11 – SPUR GEARS
Page 28 of 57
dP
b
10
=
assume first class commercial gears
ine 002.0=
Table AT 25,
( ) 332016602 ==C
2
1
1167
10
3320
2827
05.0
1167
10
3320
2827
05.0
1167






+





+











+











+=
d
dd
d
dd
dd
P
PP
P
PP
PF
2
1
1167
3320032.141
1167
3320035.141
1167






++






+
+=
d
dd
d
dd
dd
P
PP
P
PP
PF
gpw bQKDF =
( ) 43.1
15.2
5.22
1
2
=
+
=
+
=
g
g
m
m
Q
Table AT 26, 20o
F.D., carburized, indefinite
750=gK
( )( ) 2
050,193
75043.1
1018
ddd
w
PPP
F =











=
dw FF ≥
Iteration:
dP dF wF
5 8355 7722
6 9181 5363
Will not equal
Using precision cut gears
( ) 83016605.0 ==C
SECTION 11 – SPUR GEARS
Page 29 of 57
2
1
1167
830032.141
1167
830035.141
1167






++






+
+=
d
dd
d
dd
dd
P
PP
P
PP
PF
dP dF wF
5 7680 7722
Use 5=dP , precision cut
To check for strength
df
s
PK
sbY
F =
600=BHN
( ) psiBHNsn 000,150600250250 ===
in
P
b
d
2
5
1010
===
Table AT 24m Load near middle, 20o
F.D.
18=pN , 522.0=Y
7.1=fK
( )( )( )
( )( ) ds FlbF >== 424,18
57.1
522.02000,150
600=BHN , 5.57=Rc
E3310, SOQT 450 F
5=dP , precision cut
inb 2=
in
P
N
D
d
p
p 6.3
5
18
===
( )( ) inDmD pwg 96.35.2 ===
Material, E3310, SOQT 450 F
(b) Flame hardened, 4150 OQT 1100 F
359≈BHN
Sum of BHN = 718
287=gK
( )( )( )( ) lbbQKDF gpw 295528743.126.3 ===
SECTION 11 – SPUR GEARS
Page 30 of 57
df
s
PK
sbY
F =
( ) psis 750,89359250 ==
522.0=Y
( )( )( )
( )( )
lbFs 023,11
57.1
522.02750,89
==
For occasional loading, ds FF =
For (a) lblbFd 023,117680 <=
Therefore, these gears would transmit more power than carburized teeth for occasional
loading with continuous loading for carburized teeth.
CHECK PROBLEMS
646. A 6-ft. ball mill runs at 24.4 rpm, the drive being through 14 1/2o
involute spur
gears; 2=dP , 15=pN , 176=gN , inb 5= ., and 75=hp . The material of the
pinion is SAE 1040, BHN = 180; of the gear, 0.35% C cast steel, BHN = 180. (a)
Check for strength and wear and give your decision as to the service to be
expected. (b) The foregoing pinion wore out. Actually, the first step was to
replace it with one made of SAE 3140, OQT 1000 F. Would you expect this to
cure the trouble? (c) The drive in (b) also wore out. The following solution which
maintained the same gear diameters, pitch and face, was proposed: 20o
full-depth
teeth; pinion of SAE 3140 with BHN = 350; gear of SAE 1045 with BHN = 280.
Would you predict that these gears will give long service? What are the
approximate tempering temperatures to get the specified hardness?
Solution:
rpmng 4.24=
12
gg
m
nD
v
π
=
in
P
N
D
d
g
g 88
2
176
===
( )( ) fpmvm 3373
12
4.2488
==
π
( ) lb
v
hp
F
m
t 734
3373
75000,33000,33
===
Fig. AF 19, max. per. Error = 0.0008 in for fpmvm 3373=
Fig. AF 20, precision cut, 2=dP , inine 0008.00010.0 ≈=
Table AT 25, ine 0010.0=
1600=C , 14 1/2o
F.D.
SECTION 11 – SPUR GEARS
Page 31 of 57
( )
( )2
1
05.0
05.0
tm
tm
td
FCbv
FCbv
FF
++
+
+=
inb 5=
( ) ( )[ ]
( ) ( )[ ]
lbFd 6354
73451600337305.0
73451600337305.0
734
2
1
=
++
+
+=
(a) Wear load
gpw bQKDF =
in
P
N
D
d
p
p 5.7
2
15
===
inb 5=
( ) 843.1
17615
17622
=
+
=
+
=
gp
g
NN
N
Q
Sum of BHN = 180 + 180 = 360, 14 1/2o
F.D.
Table At 26, 3.46=gK
( )( )( )( ) lbFw 32003.46843.155.7 ==
Strength:
df
s
PK
sbY
F =
( ) psiBHNs 000,45180250250 ===
Pinion is weaker, 15=pN , 14 1/2o
F.D. (involute)
415.0=Y , Load near middle
7.1=fK
( )( )( )
( )( )
lbFs 463,27
27.1
415.05000,45
==
dw FF < , service is intermittent.
(b) Pinion, SAE 3140, OQT 1000 F, 311=BHN
( ) psiBHNsn 750,77311250250 ===
( )( ) psisY 266,32415.0750,77 ==
Gear, ( ) psiBHNsn 000,45180250250 ===
176=gN , 6376.0=Y , 14 1/2o
F.D.
( )( ) psisY 692,286376.0000,45 ==
Strength,
SECTION 11 – SPUR GEARS
Page 32 of 57
( )( )( )
( )( )
lb
PK
sbY
F
df
s 194,42
27.1
6376.05000,45
===
Wear, gpw bQKDF =
Sum of BHN = 180 + 311 = 491, 14 1/2o
F.D.
Table AT 26, 4.92=gK
( )( )( )( ) lbFw 63864.92843.155.7 ==
dw FF ≈ , this will cure the trouble.
(c) Pinion, SAE 3140, 350=BHN
( ) psiBHNsn 500,87350250250 ===
Gear, SAE 1045, 280=BHN
( ) psiBHNsn 000,70280250250 ===
Table AT 25, 20o
F.D., ine 001.0=
1660=C
( ) ( )[ ]
( ) ( )[ ]
lbFd 6512
73451660337305.0
73451660337305.0
734
2
1
=
++
+
+=
Wear load, sum of BHN = 350 + 280 = 630
Table At 26, 8.218=gK , 20o
F.D.
gpw bQKDF =
( )( )( )( ) dw FlbF >== 122,158.218843.155.7
Tempering temperatures:
Pinion: SAE 3140, BHN = 350
Fig. AF 2, OQT 995 F
Gear: SAE 1045, BHN = 280
Table AT 8, WQT 900 F, rod. Diameter = ½ in.
647. A 22-tooth pinion, transmitting 110 hp at 2300 rpm, drives a 45-tooth gear, both
steel; 20o
full depth; 5=dP , inb 5.1= .; The manufacturing process is expected
to result in a maximum effective error of ine 0016.0= . (a) Compute
Buckingham’s average dynamic load. Compute sF and wF if the material is (b)
case-carburized AISI 8620, DOQT 300 F, (c) AISI 8742, OQT 950 F, (d)
induction-hardened AISI 8742. (e) Suppose your company carries a stock of the
foregoing materials. For a minimum-service factor of 1.2, which material do you
SECTION 11 – SPUR GEARS
Page 33 of 57
recommend for (i) intermittent service, (ii) indefinitely continuous service, (iii)
cycles of loading not to exceed 107
?
Solution:
22=pN
45=gN
in
P
N
D
d
p
p 4.4
5
22
===
( )( ) fpm
nD
v pp
m 2649
12
23004.4
12
===
ππ
( ) lb
v
hp
F
m
t 1370
2649
110000,33000,33
===
(a) Dynamic Load
( )
( )2
1
05.0
05.0
tm
tm
td
FCbv
FCbv
FF
++
+
+=
For ine 0016.0= , Table AT 25, steel, 20o F.D.
( ) 265616606.1 ==C
inb 5.1=
( ) ( )[ ]
( ) ( )[ ]
lbFd 4819
13705.12656264905.0
13705.12656264905.0
1370
2
1
=
++
+
+=
(b) AISI 8620, DOQT 300 F carborized
Table AT 26, 20o
F.D.
750=gK , 1010
cycles ≈ indefinite
Table AT 11, 64CRc =
Figure AF 4, 700=BHN
( ) psisn 000,175700250 ==
22=pN
Table AT 24, Load near middle, 20o
F.D.
559.0=Y
7.1=fK
Strength
( )( )( )
( )( )
lb
PK
sbY
F
df
s 263,17
57.1
559.05.1000,175
===
Wear
gpw bQKDF =
SECTION 11 – SPUR GEARS
Page 34 of 57
( ) 3433.1
4522
4522
=
+
=
+
=
gp
g
NN
N
Q
( )( )( )( ) lbFw 66497503433.15.14.4 ==
(c) AISI 8742, OQT 950 F
5.358=BHN
sum of BHN = ( ) 7175.3582 =
Table AT 26, 20o
F.D.
286=gK
( ) psisn 625,895.358250 ==
Strength
( )( )( )
( )( )
lb
PK
sbY
F
df
s 8841
57.1
559.05.1625,89
===
Wear
gpw bQKDF =
( )( )( )( ) lbFw 25362863433.15.14.4 ==
(d) Induction hardened, AISI 8742
Table AT 26, 20o
F.D.
555=gK at 1010
cycles
( ) psisn 000,125500250 ==
Strength
( )( )( )
( )( )
lb
PK
sbY
F
df
s 331,12
57.1
559.05.1000,125
===
Wear
gpw bQKDF =
( )( )( )( ) lbFw 49215553433.15.14.4 ==
(e) (i) intermittent service
( )( ) lbFN dsf 578348192.1 ==
use AISI 8742, OQT 950 F
dsfS FNF ≥
lbFS 8841=
(ii) indefinitely continuous service
dw FF ≥
lbFd 4819=
use AISI 8620, DOQT 300 F
SECTION 11 – SPUR GEARS
Page 35 of 57
lbFw 6649=
(iii) 107
cycles
Use AISI 8742, induction hardened
1190=gK
( )( )( )( ) dw FlbF >== 550,1011903433.15.14.4
648. Two mating steel gears have 16 and 25 teeth, respectively, 20o
F.D.; inb 2= ,
5=dP ; pinion speed, 2400 rpm. The maximum effective error in the profiles is
planned to be 0.0012 in. The drive is for heavy-duty conveyer, continuous
service. Compute and specify a reasonable rated horsepower if the gear teeth are:
(a) Case carburized AISI 8620, SOQT 300 F, (b) AISI 8742, OQT 950 F and the
flame-hardened, (c) AISI 8742, OQT 800 F.
Solution:
16=pN
25=gN
in
P
N
D
d
p
p 2.3
5
16
===
( )( ) fpm
nD
v pp
m 2011
12
24002.3
12
===
ππ
( )
( )2
1
05.0
05.0
tm
tm
td
FCbv
FCbv
FF
++
+
+=
error, ine 0012.0=
Table AT 25, 20o
F.D.
( ) 199216602.1 ==C
( ) ( )[ ]
( ) ( )[ ]2
1
5.11992201105.0
5.11992201105.0
t
t
td
F
F
FF
++
+
+=
( )
( )2
1
298855.100
298855.100
t
t
td
F
F
FF
++
+
+=
(a) Case carburized AISI 8620, SOQT 300 F
750=gK
700=BHN
( ) psisn 000,175700250 ==
16=pN , 503.0=Y , Table AT 24, 20o
F.D., Load near middle
SECTION 11 – SPUR GEARS
Page 36 of 57
( ) 22.1
2516
2522
=
+
=
+
=
gp
g
NN
N
Q
Wear:
gpw bQKDF =
( )( )( )( ) lbFw 585675022.122.3 ==
Strength
( )( )( )
( )( )
lb
PK
sbY
F
df
s 712,20
57.1
503.02000,175
===
Use dw FF =
( )
( )2
1
298855.100
298855.100
5856
t
t
t
F
F
F
++
+
+=
lbFt 2635=
( )( ) hp
vF
hp mt
160
000,33
20112635
000,33
===
(b) AISI 8742, OQT 950 F, flame-hardened
555=gK
( ) psisn 000,125500250 ==
Strength
( )( )( )
( )( )
lb
PK
sbY
F
df
s 794,14
57.1
503.02000,125
===
Wear:
gpw bQKDF =
( )( )( )( ) lbFw 433355522.122.3 ==
Use dw FF =
( )
( )2
1
298855.100
298855.100
4333
t
t
t
F
F
F
++
+
+=
lbFt 1590=
( )( ) hp
vF
hp mt
97
000,33
20111590
000,33
===
(c) AISI 8742, OQT 800 F, 4.416=BHN (Table AT 9)
Sum of BHN = 2(416.4) = 832.8
Table AT 26, 5.397=gK
( ) psiBHNsn 100,1044.416250250 ===
Strength
( )( )( )
( )( )
lb
PK
sbY
F
df
s 320,12
57.1
503.02100,104
===
SECTION 11 – SPUR GEARS
Page 37 of 57
Wear:
gpw bQKDF =
( )( )( )( ) lbFw 31045.39722.122.3 ==
Use dw FF =
( )
( )2
1
298855.100
298855.100
3104
t
t
t
F
F
F
++
+
+=
lbFt 770=
( )( ) hp
vF
hp mt
47
000,33
2011770
000,33
===
649. The data for a pair of gears are: 20o
F.D. teeth, inb
4
3
1= , 6=dP , 26=pN ,
60=gN , rpmnp 2300= ; as-rolled AISI 1050; carefully cut teeth; 2.1=sfN . (a)
Strength alone considered, find the horsepower that may be transmitted. (b)
Determine the required surface hardness in order for dw FF = , and specify a
treatment that would make the gears long lasting in continuous service.
Solution:
in
P
N
D
d
p
p 333.4
6
26
===
( )( ) fpm
nD
v pp
m 2609
12
2300333.4
12
===
ππ
( )
( )2
1
05.0
05.0
tm
tm
td
FCbv
FCbv
FF
++
+
+=
For carefully cut teeth, 6=dP , 20o
F.D.
1660=C
( ) ( )[ ]
( ) ( )[ ]2
1
75.11660260905.0
75.11660260905.0
t
t
td
F
F
FF
++
+
+=
( )
( )2
1
290545.130
290545.130
t
t
td
F
F
FF
++
+
+=
(a) Strength
df
s
PK
sbY
F =
For as rolled AISI 1050, 229=BHN
( ) psisn 250,57229250 ==
or ( ) psiss un 000,51000.1025.05.0 ===
use psis 000,51=
SECTION 11 – SPUR GEARS
Page 38 of 57
26=pN
Table AT 26, 20 o F.D., load near middle
588.0=Y
7.1=fK
( )( )( )
( )( )
lbFs 5145
67.1
588.075.1000,51
==
dsfs FNF =
dF2.15145 =
lbFd 4288=
( )
( )2
1
290545.130
290545.130
4288
t
t
td
F
F
FF
++
+
+==
lbFt 1400=
( )( ) hp
vF
hp mt
110
000,33
26091400
000,33
===
(b) lbFF dw 1400==
Wear
gpw bQKDF =
( ) 395.1
6026
6022
=
+
=
+
=
gp
g
NN
N
Q
( )( )( ) lbKF gw 4288395.175.1333.4 ==
405=gK
Table of BHN = 838
2291 =BHN
6092298382 =−=BHN
Therefore use carburized teeth.
650. Gears with carefully cut, 20o
F.D. teeth have 5=dP , 2=b , 5=gm , 24=pN .
Pinion material is manganeses gear bronze (heading of Table AT 3); gear is cast
iron, class 25. Gear speed rpmng 200= ; smooth load. They are to transmit 18
hp. (a) Are the teeth strong enough for intermittent service? (b) Does the limiting
wear load indicate long life? Suggestion: Compute C for equation (13.7).
Solution:
in
P
N
D
d
p
p 8.4
5
24
===
SECTION 11 – SPUR GEARS
Page 39 of 57
( )( ) rpmnmn ggp 10002005 ===
( )( ) fpm
nD
v pp
m 1257
12
10008.4
12
===
ππ
( ) lb
v
hp
F
m
t 473
1257
18000,33000,33
===
Carefully cut:
pg
pg
EE
EkE
C
+
=
ek 111.0= for 20o
full-depth
Fig. AF 20, ine 001.0= , 5=dP
( )( )( )( ) 743
1016105.11
1016105.11001.0111.0
66
66
=
×+×
××
=C
( )
( )2
1
05.0
05.0
tm
tm
td
FCbv
FCbv
FF
++
+
+=
( ) ( )[ ]
( ) ( )[ ]
lbFd 1622
4732743125705.0
4732743125705.0
473
2
1
=
++
+
+=
(a) dsfs FNF ≥
0.1=sfN , smooth load
df
s
PK
sbY
F =
Gear: cast-iron, class 25, 20o
F.D.
( )( ) 120245 === pgg NmN
7646.0=Y , load near middle
( ) psiksisn 000,1010254.0 ===
( )( ) psiYsn 76467646.0000,10 ==
Pinion: manganese gear bronze, 20o
F.D.
24=pN
572.0=Y , load near middle
psiksisn 000,1717 ==
( )( ) psiYsn 9724572.0000,17 ==
Gear is weaker
7.1=fK
( )( )( )
( )( ) dsfs FNlbF >== 1799
57.1
7646.02000,10
SECTION 11 – SPUR GEARS
Page 40 of 57
Therefore, enough for intermittent service
(b) gpw bQKDF =
( ) 667.1
15
52
1
2
=
+
=
+
=
g
g
m
m
Q








+





=
gp
g
EE
s
K
11
4.1
sin2
φ
Pinion, manganese gear bronze
ksiss u 75==
o
20=φ
( ) 205
105.11
1
1016
1
4.1
20sin000,75
66
2
=





×
+
×






=gK
( )( )( )( ) dw FlbF >== 3281205667.128.4
Therefore, indicates long life.
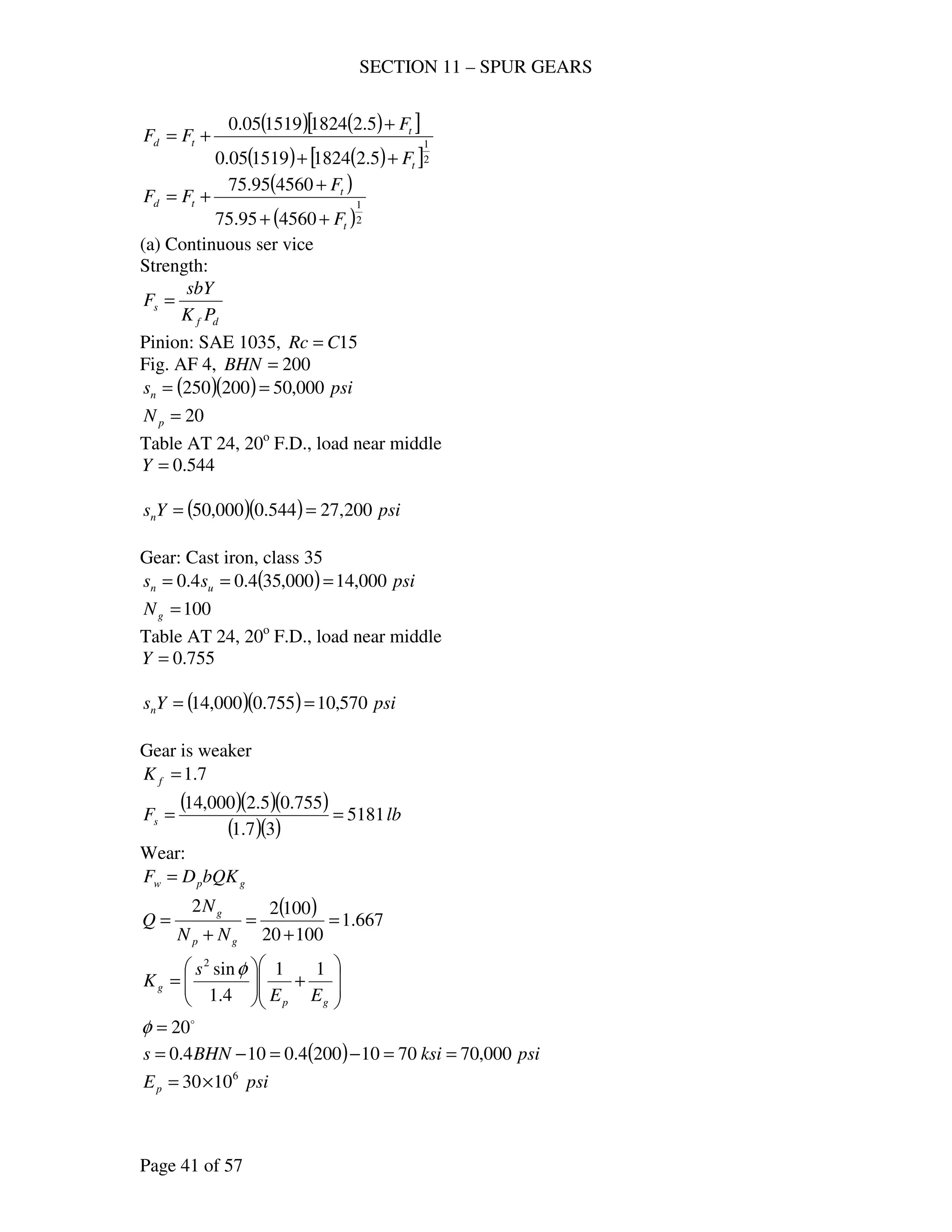
651. A 20-tooth pinion. 20o
F.D., drives a 100-tooth gear. The pinion is made of SAE
1035, heat treated to Rockwell C15; the gear is cast iron class 35, HT; 3=dP ,
inb 5.2= .; carefully cut teeth; pinion speed rpmnp 870= , smooth load. (a) For
a continuous service, indefinite life, what is a safe horsepower? (b) For
intermittent service (wear unimportant), compute the safe horsepower.
Solution:
20=pN
100=gN
in
P
N
D
d
p
p 667.6
3
20
===
( )( ) fpm
nD
v pp
m 1519
12
870667.6
12
===
ππ
( )
( )2
1
05.0
05.0
tm
tm
td
FCbv
FCbv
FF
++
+
+=
Carefully cut gears, steel and cast iron, 20o
F.D.
3=dP , Fig. AF 20, Table AT 25
ine 0016.0=
( ) 182411406.1 ==C
( )
( )2
1
05.0
05.0
tm
tm
td
FCbv
FCbv
FF
++
+
+=
SECTION 11 – SPUR GEARS
Page 41 of 57
( ) ( )[ ]
( ) ( )[ ]2
1
5.21824151905.0
5.21824151905.0
t
t
td
F
F
FF
++
+
+=
( )
( )2
1
456095.75
456095.75
t
t
td
F
F
FF
++
+
+=
(a) Continuous ser vice
Strength:
df
s
PK
sbY
F =
Pinion: SAE 1035, 15CRc =
Fig. AF 4, 200=BHN
( )( ) psisn 000,50200250 ==
20=pN
Table AT 24, 20o
F.D., load near middle
544.0=Y
( )( ) psiYsn 200,27544.0000,50 ==
Gear: Cast iron, class 35
( ) psiss un 000,14000,354.04.0 ===
100=gN
Table AT 24, 20o
F.D., load near middle
755.0=Y
( )( ) psiYsn 570,10755.0000,14 ==
Gear is weaker
7.1=fK
( )( )( )
( )( )
lbFs 5181
37.1
755.05.2000,14
==
Wear:
gpw bQKDF =
( ) 667.1
10020
10022
=
+
=
+
=
gp
g
NN
N
Q








+





=
gp
g
EE
s
K
11
4.1
sin2
φ
o
20=φ
( ) psiksiBHNs 000,7070102004.0104.0 ==−=−=
psiEp
6
1030×=
SECTION 11 – SPUR GEARS
Page 42 of 57
psiEg
6
105.14 ×=
( ) 122
105.14
1
1030
1
4.1
20sin000,70
66
2
=





×
+
×






=gK
( )( )( )( ) lbFw 3390122667.15.2667.6 ==
dw FF =
( )
( )2
1
456095.75
456095.75
3390
t
t
t
F
F
F
++
+
+=
lbFt 700=
( )( ) hp
vF
hp mt
32
000,33
1519700
000,33
===
(b) dsfs FNF =
0.1=sfN , smooth load
( )
( )2
1
456095.75
456095.75
5181
t
t
t
F
F
F
++
+
+=
lbFt 2000=
( )( ) hp
vF
hp mt
92
000,33
15192000
000,33
===
652. A pair of steel gears is defined by 8=dP , inb 5.1= , 25=pN , 75=gN ,
ine 001.0= , 20o
F.D. If these gears may transmit continuously and without
failure 75 hp at 1140 rpm of the pinion, what horsepower would be satisfactory
for rpmnp 1750= ?
Solution:
in
P
N
D
d
p
p 125.3
8
25
===
( )( ) fpm
nD
v pp
m 933
12
1140125.3
12
===
ππ
( ) lb
v
hp
F
m
t 2653
933
75000,33000,33
===
Table AT 25, ine 001.0= , 20o
F.D.
1660=C
( )
( )2
1
05.0
05.0
tm
tm
td
FCbv
FCbv
FF
++
+
+=
SECTION 11 – SPUR GEARS
Page 43 of 57
( ) ( )[ ]
( ) ( )[ ]
lbFd 4680
26535.1166093305.0
26535.1166093305.0
2653
2
1
=
++
+
+=
For rpmnp 1750=
( )( ) fpm
nD
v pp
m 1432
12
1750125.3
12
===
ππ
( ) ( )[ ]
( ) ( )[ ]
lb
F
F
FF
t
t
td 4680
5.11660143205.0
5.11660143205.0
2
1
=
++
+
+=
lbFt 2260=
( )( ) hp
vF
hp mt
98
000,33
14322260
000,33
===
654. A gear manufacturer recommends that the following gears can transmit 25 hp at
600 rpm of the pinion during continuous 24-hr. service, indefinite life, moderate
shock: 31=pN , 70=gN , inb 25.3= , 6=dP , 20o
F.D.; pinion material is SAE
2335 with BHN = 300; gear material is SAE 1040 with BHN = 250. At what
horsepower would you rate them?
Solution:
in
P
N
D
d
p
p 167.5
6
31
===
( )( ) fpm
nD
v pp
m 812
12
600167.5
12
===
ππ
( )
( )2
1
05.0
05.0
tm
tm
td
FCbv
FCbv
FF
++
+
+=
Commercial cut, ine 001.0= , 20o
F.D., 6=dP
Table AT 25
( )( ) 332016602 ==C
( ) ( )[ ]
( ) ( )[ ]2
1
25.3322081205.0
25.3322081205.0
t
t
td
F
F
FF
++
+
+=
( )
( )2
1
465,106.40
465,106.40
t
t
td
F
F
FF
++
+
+=
Strength:
Pinion: SAE 2335, 300=bhn
( ) psisn 000,75300250 ==
31=pN , Table AT 24, Load near middle, 20o
F.D.
6115.0=Y
SECTION 11 – SPUR GEARS
Page 44 of 57
( )( ) psiYsn 862,456115.0000,75 ==
Gear: SAE 1040, 250=BHN
( ) psisn 500,62250250 ==
70=gN , Table AT 24, Load near middle, 20o
F.D.
728.0=Y
( )( ) psiYsn 500,45728.0500,62 ==
Gear is weaker, 7.1=fK
( )( )( )
( )( )
lb
PK
sbY
F
df
s 498,14
67.1
728.025.3500,62
===
Wear load:
gpw bQKDF =
( ) 386.1
7031
7022
=
+
=
+
=
gp
g
NN
N
Q
Sum of BHN = 300+250 = 550
Table AT 26, 20o
F.D.
162=gK
( )( )( )( ) lbFw 3770162386.125.3167.5 ==
dw FF =
( )
( )2
1
104656.40
104656.40
3770
t
t
t
F
F
F
++
+
+=
lbFt 675=
( )( ) hp
vF
hp mt
6.16
000,33
812675
000,33
===
For carefully cut, 1660=C
( )( ) 539525.31660 ==Cb
( )
( )2
1
53956.40
53956.40
3770
t
t
t
F
F
F
++
+
+=
lbFt 1500=
( )( ) hp
vF
hp mt
9.36
000,33
8121500
000,33
=== carefully cut
use hphp 9.36= , carefully cut.
SECTION 11 – SPUR GEARS
Page 45 of 57
NONMETALLIC GEARS
655. A 4-in. Bakelite pinion meshing with a cast-iron gear, is to be on the shaft of a 12
–hp induction motor that turns at 850 rpm; 5=wm , 20o
F.D. teeth. (a) Determine
dP , b , pN , gN for indefinitely continuous service with a smooth load. Is there
serious interference in the gears you have designed? (b) Are the teeth of your
design strong enough to taje without damage an occasional 60 % overload?
Solution:
Pinion as weaker
( )
4
200
200
m
tm
d
v
Fv
F
+
+
=
( )( ) fpm
nD
v pp
m 890
12
8504
12
===
ππ
( ) lb
v
hp
F
m
t 445
890
12000,33000,33
===
( )( ) lbFd 1148
4
890
200
445890200
=
+
+
=
Strength: psis 6000=
d
s
P
sbY
F =
assume
dP
b
10
= and 33.0=Y , 20o
F.D. Load at tip.
ds FF = (smooth load)
( )( )( ) lb
P
F
d
s 1148
33.0106000
2
==
15.4=dP
use 4=dP
in
P
b
d
5.2
4
1010
===
say inb 3=
( )( ) 1644 === dpp PDN
Table At 24, 295.0=Y , 20o
F.D. Load at tip.
( )( )( ) lblbFs 11481328
4
295.036000
>==
Check:
SECTION 11 – SPUR GEARS
Page 46 of 57
Wear:
gpw bQKDF =
( ) 667.1
15
52
1
2
=
+
=
+
=
w
w
m
m
Q
Table AT 26,
Use 64=gK , 20o
F.D.
( )( )( )( ) dw FlbF >== 128064667.134 , o.k.
Then
4=dP
inb 3=
16=pN
( )( ) 80165 === pwg NmN
18<pN , there is interference.
(b) ( )( ) lbFt 7124456.1 ==
lbFd 712> , strong enough.
656. A Zytel pinion with molded teeth is to transmit 0.75 hp to a hardened-steel gear;
rpmnp 1750= , inDp 25.1≈ . Determine the pitch, face, and number of teeth on
the pinion for intermittent service.
Solution:
( )( ) fpm
nD
v pp
m 573
12
175025.1
12
===
ππ
( ) lb
v
hp
F
m
t 43
573
75.0000,33000,33
===
( ) td FVFF =
For molded teeth, fpmvm 4000<
1=VF
( )( ) lbFd 43431 ==
Load near middle, assume 50.0=Y
ds FF =
say psiksis 46006.4 == , §13.27
dP
b
10
=
( )( )( ) 43
50.0104600
2
===
dd
s
PP
sbY
F
SECTION 11 – SPUR GEARS
Page 47 of 57
23=dP
use 20=dP
inb 5.0
20
10
==
( )( ) teethPDN dpp 252025.1 ===
657. A 10-in. Textolite pinion, driving a hardened steel gear, transmits power at 400
rpm; 5.2=dP , inb 5= ., 14 1/2o
F.D. teeth. Determine the safe horsepower (a)
for smooth, continuous, indefinite service, and also (b) for limited-life
intermittent service.
Solution:
inDp 10=
rpmnp 400=
( )( ) fpm
nD
v pp
m 1047
12
40010
12
===
ππ
( )
4
200
200
m
tm
d
v
Fv
F
+
+
=
Strength
d
s
P
sbY
F =
psis 6000=
inb 5=
5.2=dP
( )( ) 25105.2 === pdp DPN
Table At 24, 14 1/2o
F.D. Load at tip.
305.0=Y
( )( )( ) lbFs 3660
5.2
305.056000
==
Wear load, Table At 26, 14 1/2o
F.D.
46=gK
gpw bQKDF =
5.1≈Q
( )( )( )( ) lbFw 3450465.1510 ==
(a) Continuous service
dw FF = (smooth)
SECTION 11 – SPUR GEARS
Page 48 of 57
( )
4
1047
200
1047200
3450
+
+
= tF
lbFs 1277=
( )( ) hp
vF
hp mt
40
000,33
10471277
000,33
===
(b) Intermittent service
ds FF =
( )
4
1047
200
1047200
3660
+
+
= tF
lbFs 1355=
( )( ) hp
vF
hp mt
43
000,33
10471355
000,33
===
658. A 16-pitch Zytel pinion, with 26, 20o
F.D. cut teeth, rotates at 600 rpm; inb
8
5
= .
(a) What safe horsepower may be transmitted for long-life? (b) For 107
cycles?
Solution:
12
pp
m
nD
v
π
=
in
P
N
D
d
p
p 625.1
16
26
===
( )( ) fpmvm 255
12
600625.1
==
π
Cut-teeth, fpmvm 4000<
2.1=VF
( ) td FVFF =
td FF =
(a) Long life, 8
105× cycles
16=dP
psiksis 23003.2 ==
d
s
P
sbY
F =
For 26=pN , 20o
F.D., Load near middle
588.0=Y
SECTION 11 – SPUR GEARS
Page 49 of 57
( ) ( )
lbFs 53
16
588.0
8
5
2300
=






=
ts FF 2.153 ==
lbFt 44=
(b) 107
cycles. psiksis 42002.4 == , 16=dP
( ) ( )
lbFs 5.96
16
588.0
8
5
4200
=






=
ts FF 2.15.96 ==
lbFt 80=
( )( ) hp
vF
hp mt
34.0
000,33
25544
000,33
===
CAST-TOOTH GEARS
659. A pair of cast-iron spur gears, ASTM 20, with cast teeth, transmits 10 hp at 125
rpm of the pinion; 5=wm , inDp 8≈ . Determine cP , b , pN , gN .
Solution:
( )( ) fpm
nD
v pp
m 262
12
1258
12
===
ππ
t
m
d F
v
F
600
600 +
=
( ) lb
v
hp
F
m
t 1260
262
10000,33000,33
===
( ) lbFd 18101260
600
262600
=
+
=
cs sbPF 054.0=
say cPb 5.2=
( ) psiksiss u 80008204.04.0 ====
( )( ) 22
10805.28000054.0 ccs PPF ==
ds FF =
18101080 2
=cP
inPc 29.1=
( )( ) hp
vF
hp mt
34.0
000,33
25544
000,33
===
SECTION 11 – SPUR GEARS
Page 50 of 57
say inPc
4
1
1=
( ) inPb c 325.14.24.2 ===
( ) 20
25.1
8
===
ππ
c
p
p
P
D
N
( )( ) 100205 === pwg NmN
660. Design the cast teeth for a pair of cast-iron spur gears to transmit 35 hp at 50 rpm
of the pinion; 5.2≈wm . Decide upon a suitable grade of cast iron and find cP , b ,
pD , gD , and center distance.
Solution:
Using cast-iron, class 35
( ) psiksiss un 000,1414354.04.0 ====
( )
mmm
t
vvv
hp
F
000,155,135000,33000,33
===
t
m
d F
v
F
600
600 +
=
Try 20=pN
c
cpc
p P
PNP
D 366.6
20
===
ππ
( )( )
c
cpp
m P
PnD
v 33.83
12
50366.6
12
===
ππ
cc
t
PP
F
860,13
33.83
000,155,1
==
( )
c
c
c
c
d
P
P
P
P
F
33.836001.23860,13
600
33.83600 +
=




+
=
cs sbPF 054.0=
cPb 5.2=
( )( ) 22
18905.2000,14054.0 ccs PPF ==
ds FF =
( )
c
c
c
P
P
P
33.836001.23
1890 2 +
=
inPc 117.2=
use inPc 2=
( ) in
NP
D pc
p 73.12
220
===
ππ
SECTION 11 – SPUR GEARS
Page 51 of 57
( )( ) inDmD pwg 83.3173.125.2 ===
( ) inPb c 525.25.2 ===
( ) ( ) inDDC gp 28.2283.3173.12
2
1
2
1
=+=+=
Summary:
inPc 2=
inDp 73.12=
inDg 83.31=
inb 5=
inC 28.22=
661. A manufacturer’s catalog specifies that a pair of gray cast-iron spur gears with
cast teeth will transmit 7.01 hp at a pitch-line speed of 100 fpm; 20=pN ,
inPc 5.1= ., inb 4= . Compute the stress and specify the grade of cast iron that
should be used.
Solution:
fpmvm 100=
( ) lb
v
hp
F
m
t 3.2313
100
01.7000,33000,33
===
( ) lbF
v
F t
m
d 26993.2313
600
100600
600
600
=
+
=
+
=
cs sbPF 054.0=
ds FF =
( )( ) 26995.14054.0 =s
psis 8330=
uss 4.0≈
us4.08330 ≈
ksipsisu 21825,20 ==
use Cast Iron, ASTM 25, ksisu 25=
ARMS AND RIMS
662. A 24-in. cast-iron gear transmits 30 hp at 240 rpm; 14 1/2o
F.D. teeth, 4=dP ,
inb 5.2= . The gear is on a 2 ¼ -in. shaft. Determine (a) the hub diameter, rim
thickness, and bead, (b) the dimensions of the arms at the hub and at the pitch
circle for an elliptical-shaped section, (c) the arm dimensions for a cross shape.
SECTION 11 – SPUR GEARS
Page 52 of 57
Solution:
(a) Hub diameter = inDs
2
1
4
4
1
222 =





= , for cast iron
Rim thickness = ininPc
16
7
44.0
4
56.056.0 ≈=





=
π
Bead = ininPc
16
7
44.0
4
56.056.0 ≈=





=
π
(b) Elliptical section
use no. of arms = 4=aN , ininD 12024 <=
aN
FL
M =
in
DD
L h
75.9
2
2
1
424
2
=
−
=
−
=
dFF =
Z
M
s =
64
3
h
Z
π
=
( )
( )2
1
05.0
05.0
tm
tm
td
FCbv
FCbv
FF
++
+
+=
( )( ) fpm
nD
v pp
m 1506
12
24024
12
===
ππ
assume 800=C , 14 1/2o
F.D.
( ) lb
v
hp
F
m
t 660
1506
30000,33000,33
===
( ) ( )[ ]
( ) ( )[ ]
lbFd 2238
6605.21800150605.0
6605.2800150605.0
660
2
1
=
++
+
+=
aa Nh
FL
ZN
FL
Z
M
s 3
64
π
===
use psis 8000=
SECTION 11 – SPUR GEARS
Page 53 of 57
( )( )
( )4
75.9223864
8000 3
hπ
=
inh 4.2=
At the hub
inh 4.2=
in
h
h 2.1
2
1 ==
At the pitch circle
in
h
h 2.1
2
==′
in
h
h 2.1
2
1 ==
(c) Cross shape
2
6
h
Z
G =
GG 75.01 =
inh 4.2=
64
3
h
Z
π
= , §13.32
( ) 3
3
6786.0
64
4.2
inZ ==
π
At the hub
( )
( )
inG 71.0
4.2
6786.06
2
==
( ) inG 53.071.075.01 ==
inh 4.2=
At the pitch circle, in
h
h 2.1
2
==′
inG 71.0=
inG 53.01 =
SECTION 11 – SPUR GEARS
Page 54 of 57
INTERNAL GEARS
664. A 20-tooth pinion, with 20o
F.D. teeth , drives a 75-tooth internal gear ( 8=dP ,
inb 5.1= , rpmnp 1150= ; material, cast iron, class 20). What horsepower may
be transmitted continuously (a) if the teeth are commercially hobbed (AGMA
equation, §13.15), (b) if they are precision cut? There are minor irregularities in
the loading.
Solution:
(a) Commecially hobbed
t
m
d F
v
F
50
50 2
1
+
=
gpw bQKDF =
( ) 727.2
2075
7522
=
−
=
−
=
pg
g
NN
N
Q
From AT 26, 112=gK
in
P
N
D
d
p
p 5.2
8
20
===
( )( )( )( ) lbFw 1145112727.25.15.2 ==
For strength:
df
s
PK
sbY
F =
20=pN , 320.0=Y at the tip
Let 3.1=fK , psis 8000=
( )( )( )
( )( )
lbFs 369
83.1
320.05.18000
==
( )( ) fpm
nD
v pp
m 753
12
11505.2
12
===
ππ
ds FF =
( )
td FF
50
75350
369
2
1
+
==
lbFt 238=
( )( ) hp
vF
hp mt
43.5
000,33
753238
000,33
===
(b) Precision cut
SECTION 11 – SPUR GEARS
Page 55 of 57
t
m
d F
v
F
78
78 2
1
+
=
( )
td FF
78
75378
369
2
1
+
==
lbFt 273=
( )( ) hp
vF
hp mt
23.6
000,33
753273
000,33
===
666. A planetary gear train is composed of four gears – the sun gear B , two planet
gears C , as shown. Gears B and C have 20 teeth each, gear D has 60; 10=dP ,
inb −=
4
1
1 ., 20o
F.D. teeth, cast iron, class 20, rpmnB 1750= . (a) Determine the
speed of the arm. (b) What horsepower may be transmitted continuously? Note
that the dynamic load (AGMA equation , §13.15) depends on the speed of tooth
engagement, which is not the absolute pitch line speed of B (pitch-line speed
relative to arm for CB − ). Check the speed of tooth engagement of both CB −
and DC − . (c) If the designer wishes to increase the power transmitted by using
three planet gears, instead of two, what changes must be made in tooth numbers
so that the gears can be assembled with the planets 120o
apart?
Solution:
( )enenn aFL −+= 1
( )( )
( )( ) 3
1
6020
2020
−=
−
=e
rpmnn BF 1750== (assumed)
DL nn == 0
( ) 





++−=
3
1
11750
3
1
0 an
rpmna 5.437=
(a) Speed pf arm = 437.5 rpm
(b) For BC
( ) ( )
fpm
nn
D
N
nD
v
AB
p
p
ABp
m 687
12
5.4371750
10
20
1212
=
−





=
−








==
ππ
π
SECTION 11 – SPUR GEARS
Page 56 of 57
For BC
( ) ( )
fpm
nn
D
N
nD
v
AD
p
g
ADg
m 687
12
5.4370
10
60
1212
=
−





−
=
−








−
=
−
=
ππ
π
fpmfpmvm 1000687 <=
Use commercial teeth
t
m
d F
v
F
600
600 +
=
For cast-iron, continuous service
dsfs FNF ≥
For cast iron, assume 1=sfN
df
s
PK
sbY
F =
Let 2.1=fK
( ) psiksiss u 80008204.04.0 ====
For 20=N , 32.0=Y , load at tip, 20o
F.D.
( ) ( )
( )( )
lbFs 267
102.1
32.0
4
1
18000
=






=
ds FF =
tF
600
687600
267
+
=
lbFt 124=
( )( ) hp
vF
hp mt
6.2
000,33
687124
000,33
===
(c) For each planet gear,
( ) hphp 495.115.1
2
6.2
=





=
For 3 planet gears
( ) hphp 9.33
15.1
495.1
=





=
t
m
df
s F
v
PK
sbY
F
600
600 +
==
SECTION 11 – SPUR GEARS
Page 57 of 57
( ) lbFt 187
687
9.3000,33
==
assume 3.0=Y
( ) ( )
( )( )
( )187
600
687600
2.1
30.0
4
1
18000
+
=






=
d
s
P
F
65.6=dP
use 7=dP
- end -
( )( ) teethDPN d 1472 ===

Design of machine elements - Spur gears

  • 1.
    SECTION 11 –SPUR GEARS Page 1 of 57 INTERMITTENT SERVICE DESIGN PROBLEMS 631. A pair of gears with 20o full-depth teeth are to transmit 10 hp at 1750 rpm of the 3-in. pinion; velocity ratio desired is about 3.8; intermittent service. Use a strength reduction factor of about 1.4, with theload at the tip and teeth commercially cut. Determine the pitch, face width, and tooth numbers if the material is cast iron, class 20. Solution: ( )( ) fpmfpm nD v pp m 20001374 12 17503 12 <=== ππ hphp 2010 < Commercially cut gears, fpmvm 2000< t m d F v F 600 600 + = ( ) lb v hp F m t 240 1374 10000,33000,33 === ( ) lbFd 790240 600 1374600 =      + = df s PK sbY F = For cast-iron, class 20, un ss 4.0= ( ) psiksis 80008204.0 === 4.1=fK assume dP b 10 = Table AT 24, Load at tip, 20o F.D. Assume 33.0=Y ds FF = ( )( )( ) ( ) 790 4.1 33.0108000 2 = dP 89.4=dP use 5=dP ( )( ) 1535 === pdp DPN 289.0=Y
  • 2.
    SECTION 11 –SPUR GEARS Page 2 of 57 ds FF = ( )( )( ) ( )( ) 790 54.1 33.08000 = b inb 4.2= dd P b P 5.128 << use in P b d 5.2 5 5.125.12 === inb 2 1 2= Summary of answers: 5=dP inb 2 1 2= 15=pN ( ) 57158.3 ==gN 633. A pair of gears with 20o full-depth teeth are to transmit 5 hp at 1800 rpm of the pinion; 5.2=wm ; 18=pN teeth; commercially cut teeth; intermittent service; 45.1≈fK . (a) Determine the pitch, face width, and tooth numbers if the material is cast iron, class 25. (b) The same as (a) except that the pinion is to be made of phosphor gear bronze (SAE 65, Table AT 3). Solution: Load at tip, Table AT 24, 20o F.D. 18=pN , 308.0=Y ( )( ) 45185.2 ==gN , 399.0=Y 12 pp m nD v π = dd p p PP N D 18 == rpmnp 1800= ( )( ) dd m PP v ππ 2700 12 180018 == Commercially cut teeth
  • 3.
    SECTION 11 –SPUR GEARS Page 3 of 57 t m d F v F       + = 600 600 ( ) ππ 9 550 2700 5000,33 d d t P P F =       = ( )d ddd d P PPP F 4523.19 600 3.8482 600 9 550 600 2700 600             + =                  + = π π       += d dd P PF 1372.14 14523.19 df s PK sbY F = assume dP b 10 = (a) Cast iron, class 25, ( ) psiksiss un 000,1010254.04.0 ==== ds FF = Pinion is weaker ( )( )( ) ( )( )       += d d d P P P 1372.14 14523.19 45.1 308.010000,10 2       += d d d P P P 1372.14 14523.19 241,21 2 16.7=dP use 7=dP Face width b ( )( )( ) ( )( ) ( )       += 7 1372.14 174523.19 745.1 308.0000,10 b inb 355.1= dd P b P 5.128 << 786.1143.1 << b say inb 5.1= Summary of answers: 7=dP inb 2 1 1=
  • 4.
    SECTION 11 –SPUR GEARS Page 4 of 57 18=pN 45=gN (b) Phosphor gear bronze , (SAE 65, Table AT 3) ksisu 80= ( ) ksiss un 32804.04.0 === or ksisn 31= (Table AT 3) use ksisn 31= Pinion, bronze ( )( ) 9548308.0000,31 ==sY Gear, cast iron ( )( ) 3990399.0000,10 ==sY Therefore gear is weaker ( )( )( ) ( )( )       += d d d P P P 1372.14 14523.19 45.1 399.010000,10 2       += d d d P P P 1372.14 14523.19 517,27 2 8=dP use 8=dP Face width b ( )( )( ) ( )( ) ( )       += 8 1372.14 184523.19 845.1 399.0000,10 b inb 252.1= dd P b P 5.128 << 5625.11 << b say ininb 4 1 125.1 == Summary of answers: 8=dP inb 4 1 1= 18=pN 45=gN
  • 5.
    SECTION 11 –SPUR GEARS Page 5 of 57 634. It is desired to transmit 120 hp at 1800 rpm of the pinion; intermittent service; with light shock (§13.18); preferably not less than 18, 20o -full-depth teeth on the pinion; 5.1=fK should be conservative; 5.1=wm . Decisions must be made concerning the material and quality of cutting the teeth. Since the design is for strength only, it will be convenient to express tF , dF , mv , b in terms of dP and arrange an equation containing s and dP convenient for iteration. Weak material results in a relatively large pinion with high peripheral speed. A very strong material may be unnecessarily expensive. On a production basesm carefully cut teeth should have a reasonable cost. Specify material, accuracy of cutting, pitch, face width, and tooth numbers. Solution: dd p p PP N D 18 == ( ) d dpp m P PnD v 3.8482 12 1800 18 12 =       == π π ( ) d d m t P P v hp F 85.466 3.8482 120000,33000,33 =       == hphp 20120 > use Buckingham’s equation ( ) ( )2 1 05.0 05.0 tm tm td FCbv FCbv FF ++ + += Assume a material of steel, as rolled AISI 1050, ksisu 102= For carefully cut teeth, Fig. AF 20, ine 001.0= (min.) Table AT 25, steel on steel, 20o F.D. 1660=C Try dP b 10 = 2 1 85.466 10 1660 3.8482 05.0 85.466 10 1660 3.8482 05.0 85.466       +      +            +            += d dd d dd dd P PP P PP PF
  • 6.
    SECTION 11 –SPUR GEARS Page 6 of 57 2 1 85.466 600,16424 85.466 600,16424 85.466       ++       + += d dd d dd dd P PP P PP PF df s PK sbY F = Weak pinion Table AT 24, 18=pN , 522.0=Y (Load near middle, 20o F.D.) ( ) psiksiss u 000,51511025.05.0 ==== 5.1=fK ( ) ( ) ( ) 2 480,177 5.1 522.0 10 000,51 dd d s PP P F =       = dsfs FNF = (§13.18), light shock, 25.1=sfN Iteration: dP dF sF ( )25.1≥sfN 5 5331 7099 1.33 4 5342 11093 2.08 Use 5=dP in P b d 2 5 1010 === 18=pN w p g m N N = ( )( ) 27185.1 ==gN Summary of first computation Material, AISI 1050, as rolled Accurately cut gears 5=dP inb 0.2= 18=pN 27=gN
  • 7.
    SECTION 11 –SPUR GEARS Page 7 of 57 CHECK PROBLEMS 636. A pair of carefully cut, full depth, 20o involute gears, made of cast iron, ASTM 30, is transmitting 5 hp at 1150 rpm of the pinion; 24=pN , 32=gN , 8=dP , inb 2 1 1= . For the teeth, determine (a) the endurance , (b) the dynamic load, (c) the service factor (§13.18). Solution: hphp 205 < 24=pN , 20o F.D. 337.0=Y , Load at tip assume 45.1=fK average (a) df s PK sbY F = cast-iron, ( ) psiksiss u 000,1212304.04.0 ==== ( )( )( ) ( )( ) lbFs 523 845.1 337.05.1000,12 == (b) t m d F v F       + = 1200 1200 For carefully cut gears 12 pp m nD v π = in P N D d p p 3 8 24 === rpmnp 1150= ( )( ) fpmvm 2.903 12 11503 == π ( ) lb v hp F m t 7.182 2.903 5000,33000,33 === ( ) lbF v F t m d 3207.182 1200 2.9031200 1200 1200 =      + =      + = (c) 63.1 320 523 === d s sf F F N 637. A manufacturer’s catalog for cut-tooth spur gears rates a 25-tooth, cast-iron (ASTM 25) pinion with 5-pitch, 20o full-depth involute teeth at 16.5 hp at 900
  • 8.
    SECTION 11 –SPUR GEARS Page 8 of 57 rpm; inb 2 1 2= and 2=gm ; let 5.1=fK ; intermittent service; smooth load. (a) What horsepower may these gears transmit? Do you consider the catalog rating too high or too low? (b) The same as (a) except that the teeth are carfully cut. (c) The same as (a) except that the pinion is to be made of phosphor bronze (SAE 65, Table AT 3). Solution: hphp 205.16 < 12 pp m nD v π = in P N D d p p 5 5 25 === rpmnp 900= ( )( ) fpmvm 1178 12 9005 == π (a) Using commercially cut. t m d F v F       + = 600 600 , fpmvm 2000≤ Table AT 24, Load at tip, 20o F.D. 25=pN , 340.0=Y ( ) 50252 === pgg NmN , 408.0=Y use 340.0=Y , weaker pinion Cast iron, ( ) psiksiss u 000,1212304.04.0 ==== 5.1=fK 5=dP inb 2 1 2= df s PK sbY F = ( )( )( ) ( )( ) lbFs 1360 55.1 340.05.2000,12 == dsfs FNF = smooth load, 1=sfN ( ) tF      + = 600 1178600 11360 lbFt 459=
  • 9.
    SECTION 11 –SPUR GEARS Page 9 of 57 ( )( ) hp vF hp mt 4.16 000,33 1178459 000,33 === The rating is not too low or too high. (b) Carefully cut, [ ]fpmvfpm m 40001000 << t m d F v F       + = 1200 1200 dsfs FNF = ( ) tF      + = 1200 11781200 11360 lbFt 686= ( )( ) hp vF hp mt 5.24 000,33 1178686 000,33 === (c) Phosphor bronze, (SAE 65, Table AT 3) psiksisn 000,2424 == Pinion ( )( ) 8160340.0000,24 ==sY Gear ( )( ) 4896408.0000,12 ==sY Therefore , gear is weaker df s PK sbY F = ( )( )( ) ( )( ) lbFs 1632 55.1 408.05.2000,12 == dsfs FNF = ( ) tF      + = 600 1178600 11632 lbFt 551= ( )( ) hp vF hp mt 7.19 000,33 1178551 000,33 === 638. A pair of commercially cut spur gears transmits 10 hp at 1750 rpm of the 25- tooth pinion. The teeth are 20o full depth with 6 pitch; material , cast iron, class 30; face width is in 16 9 1 .; 40=gN . Allow for stress concentration. (a) Compute
  • 10.
    SECTION 11 –SPUR GEARS Page 10 of 57 the service factor for the teeth (§13.18). (b) If the drive is for a single-cylinder compressor, would carefully cut teeth be advisable? Show calculations. Solution: hphp 2010 < in P N D d p p 167.4 6 25 === 12 pp m nD v π = ( )( ) fpmvm 1909 12 1750167.4 == π For commercially cut gears t m d F v F       + = 600 600 ( ) lb v hp F m t 173 1909 10000,33000,33 === ( ) lbFd 4.723173 600 1909600 =      + = df s PK sbY F = Assume 45.1=fK , average, load near tip Table AT 24, 20o F.D. 25=pN , 340.0=Y Cast iron, ( ) psiksiss u 000,1212304.04.0 ==== ( ) ( ) ( )( ) lbFs 8.732 645.1 340.0 16 9 1000,12 =       = (a) 0.1 4.723 8.732 ≈== d s sf F F N (b) Carefully cut gears ( ) lbF v F t m d 2.448173 1200 19091200 1200 1200 =      + =      + = 635.1 2.448 8.732 === d s sf F F N (§13.18) Single-cylinder compressore 75.15.1 << sfN
  • 11.
    SECTION 11 –SPUR GEARS Page 11 of 57 75.1635.15.1 << Therefore advisable. CONTINUOUS SERVICE DESIGN PROBLEMS NOTE: When using Buckingham’s dF equation and a fK is used, as intended in design for continuous service, use Y for load near middle. 639. The pinion of a pair of steel gears, transmitting 110 hp at 2300 rpm, is to have a diameter of about in 3 1 4 .; 3.2≈gm ; 20o full-depth teeth; the drive is to a centrifugal pump, continuous service. (a) Decide upon dP , b , pN , gN , and the material to be used. Consider the strength with the load near the middle of the profile. (b) The same as (a) except that it is not expected that the maximum loading will occur for more than 107 cycles, can you justify changes in your previous answers? Solution: hphp 20110 > inDp 3 1 4= rpmnp 2300= ( ) fpm nD v pp m 2609 12 2300 3 1 4 12 =       == π π ( ) lb v hp F m t 1391 2609 110000,33000,33 === ( ) ( )2 1 05.0 05.0 tm tm td FCbv FCbv FF ++ + += Fig. AF 19, fpmvm 2609= Maximum permissible error = 0.0012 in Fig. AF 20 Use carefully cut gears Expected errors = 0.001 in Table AT 25, steel on steel, 20o F.D. 1660=C Try dP b 10 =
  • 12.
    SECTION 11 –SPUR GEARS Page 12 of 57 ( ) ( ) 2 1 1391 10 1660260905.0 1391 10 1660260905.0 1391       +      +       +      += d d d P P F 2 1 1391 16600 45.130 1391 16600 45.130 1391       ++       + += d d d P P F Wear Load gpw bQKDF = ( ) 394.1 13.2 3.22 1 2 = + = + = g g m m Q with 5=dP , lbFd 4478= 4=dP , lbFd 4919= 5=dP , ( ) 4478394.1 5 10 3 1 4 =            = gw KF 371=gK 4=dP , ( ) 4919394.1 4 10 3 1 4 =            = gw KF 326=gK Table AT 26, 20o F.D. Use sum of BHN = 800. 366=gK ( )( ) dd w PP F 109,22 366394.1 10 3 1 4 =            = Iteration: dw FF ≥ dP dF wF 5 4478 4422 4 4919 5527 Use 5=dP , dd P b P 5.128 << inbin 5.26.1 << use inb 5.2=
  • 13.
    SECTION 11 –SPUR GEARS Page 13 of 57 To check for strength df s PK sbY F = Load near middle, ( ) 67.21 3 1 45 =      == pdp DPN ( )( ) 84.4967.213.2 === pgg NmN use 50=gN , 22=pN inDp 4.4= inDg 10 5 50 == For s , average BHN = 400 Use 8630 WQT 800 F, BHN = 375 gear 2330 WQT 600 F, BHN = 429 pinion Sum of BHN = 375 + 429 = 804 800≈ Table AT 24, Load near middle, 20o F.D. 22=pN 559.0=Y 50=gN 694.0=Y Pinion: ( ) psis 250,107429250 == ( )( ) psisY 953,59559.0250,107 == Gear: ( ) psis 750,93375250 == ( )( ) psisY 062,65694.0750,93 == Pinion is weaker ( )( ) ( )( ) d df s Flb PK sbY F >=== 633,17 57.1 5.2953,59 Summary of answer: 5=dP inb 5.2= 22=pN 50=gN Material: Pinion: 2330 WQT 600 F, BHN = 429 Gear: 8630 WQT 800 F, BHN = 375 (b) For 107 cycles
  • 14.
    SECTION 11 –SPUR GEARS Page 14 of 57 Tables AT 26, 306=<gK for the less stronger material available, therefore can’t be justify to change the previous answer. ( pN will become less than minimum). Using stronger material is expensive. 640. A pinion with 20o full-depth teeth, transmitting 60 hp at 2400 rpm, is part of a gear reduction for a lobeblower. It is to be about 3.2 in. in diameter; 56.1≈gm . (a) Decide upon a material for the mating gears (and its treatment), dP , b , pN , and gN . Determine the strength with the load near the middle of the profile. (b) The same as (a), except that the maximum loading will occur for no more than 107 cycles. Solution: inDp 2.3= rpmnp 2400= ( )( ) fpm nD v pp m 2011 12 24002.3 12 === ππ ( ) lb v hp F m t 2626 2011 160000,33000,33 === hphp 20160 > ( ) ( )2 1 05.0 05.0 tm tm td FCbv FCbv FF ++ + += Fig. AF 19, fpmvm 2011= Maximum permissible error = 0.0015 in Fig. AF 20 carefully cut gears Expected errors = 0.001 in Table AT 25, steel on steel, 20o F.D. 1660=C Try dP b 10 = ( ) ( ) 2 1 2626 10 1660201105.0 2626 10 1660201105.0 2626       +      +       +      += d d d P P F
  • 15.
    SECTION 11 –SPUR GEARS Page 15 of 57 2 1 2626 16600 55.100 2626 16600 55.100 2626       ++       + += d d d P P F gpw bQKDF = ( ) 22.1 156.1 56.12 1 2 = + = + = g g m m Q ( ) ( ) d g g d w P K K P F 04.39 22.1 10 2.3 =      = dw FF = For 5=dP lbFd 5991= 5991 5 04.39 == g w K F 767=gK For 4=dP lbFd 6532= 6532 4 04.39 == g w K F 651=gK Table AT 26, Use Steel (600), carburized case hardened, and same 1010 cycles, 20o F.D. 750=gK Using 5=dP , inb 2 5 10 == Say inb 2 1 2= To check for strength ( ) psiBHNsn 000,150600250250 === Table AT 24, Load near middle ( )( ) 162.35 === pdp DPN 503.0=Y ( )( ) 251656.1 === pgg NmN 580.0=Y
  • 16.
    SECTION 11 –SPUR GEARS Page 16 of 57 assume 7.1=fK ( )( )( ) ( )( ) d df s Flb PK sbY F >=== 191,22 57.1 503.05.2000,150 Summary of answer: 5=dP inb 5.2= 16=pN 25=gN (b) 107 cycles Table AT 26, 1680=gK ( ) dd w PP F 587,65168004.39 == Iteration: dw FF ≥ dP dF wF 7 5560 9370 8 5421 8198 9 5311 7287 10 5222 6559 11 5148 5962 12 5086 5466 13 5033 5045 Use 13=dP inb 13 10 = ( )( ) 42132.3 === dpp PDN , 667.0=Y To check for strength ( )( )( ) ( )( ) d df s Flb PK sbY F <=== 3482 137.1 667.010000,150 2 Therefore use dsfs FNF ≥ For lobe blower, 5.125.1 << sfN Assume 50.0=Y
  • 17.
    SECTION 11 –SPUR GEARS Page 17 of 57 ( )( )( ) ( )( ) 22 177,441 7.1 50.010000,150 dddf s PPPK sbY F === Iteration: dP sF dF sfN 7 9004 5560 1.619 8 6894 5421 1.272>1.25 Use 8=dP in P b d 25.1 8 1010 === ( )( ) 6.252.38 === pdp DPN say 26 ( )( ) 406.2556.1 === pgg NmN Summary of answer: 8=dP inb 4 1 1= 26=pN 40=gN 641. Gears with 20o full-depth teeth are to transmit 100 hp continuously at 5000 rpm with 4=gm ; pinion .3 inDp = ; the drive is subjected to minor shocks with frequent starts. First calculations are to be made for carburized pinion teeth of AISI E3310, SOQT 450F, and the gear of cast steel, SAE 0175, WQT. Decide upon dP , b , pN , and gN . Solution: ( )( ) fpm nD v pp m 3927 12 50003 12 === ππ Fig. AF 19, max. per/ error. ine 00075.0= Use precision gears, error, ine 0005.0= Table AT 25, steel on steel, 20o F.D. ( ) 83016605.0 ==C ( ) lb v hp F m t 840 3927 100000,33000,33 === dP b 10 = ( ) ( )2 1 05.0 05.0 tm tm td FCbv FCbv FF ++ + +=
  • 18.
    SECTION 11 –SPUR GEARS Page 18 of 57 ( ) ( ) 2 1 840 10 830392705.0 840 10 830392705.0 840       +      +       +      += d d d P P F 2 1 840 8300 35.196 840 8300 35.196 840       ++       + += d d d P P F For minor shock with frequent start 5.125.1 << sfN df s PK sbY F = Pinion: AISI E3310, SOQT 450 F, 5.57CRc = , 600=BHN ( ) psisn 000,150600250 == Gear: Cast Steel, SAE 0175, WQT psiksisn 000,7777 == (Table AT 6) use psiss n 000,77== ( )( )( ) ( )( ) 22 471,226 7.1 50.010000,77 dddf s PPPK sbY F === Iteration: d s sf F F N = , 5.125.1 << sfN dP dF sF sfN 5 2833 9059 3.2 6 2633 6291 2.4 7 2488 4622 1.9 8 2378 3539 1.49 Use 8=dP Check for wear dw FF = gpw bQKDF = ( ) 6.1 14 42 1 2 = + = + = g g m m Q
  • 19.
    SECTION 11 –SPUR GEARS Page 19 of 57 inb 25.1 8 10 == ( )( )( ) 23786.125.13 == gw KF 396=gK 396=gK < for carburized teeth Therefore 8=dP inb 4 1 1= ( )( ) 2483 === dpp PDN ( )( ) 96244 === pgg NmN Summary of answer: 8=dP inb 4 1 1= 24=pN 96=gN 642. A 20-tooth (20o F.D.) pinion is to transmit 50 hp at 600 rpm, the service being indefinitely continuous in a conveyor drive; 5.2=wm . The original pplan is to use a nodular-iron casting, 80-60-03, for each gear. Determine suitable values for the pitch, face width, and diameters. (Warning: compute C .) Solution: 20=pN dd p p PP N D 20 == ( ) d dpp m P PnD v 3142 12 600 20 12 =       == π π ( ) d d m t P P v hp F 525 3142 50000,33000,33 =       == dP b 10 = ( ) ( )2 1 05.0 05.0 tm tm td FCbv FCbv FF ++ + +=
  • 20.
    SECTION 11 –SPUR GEARS Page 20 of 57 2 1 525 103142 05.0 525 103142 05.0 525       +      +            +            += d dd d dd dd P P C P P P C P PF 2 1 525 101.157 525 101.157 525       ++       + += d dd d dd dd P P C P P P C P PF dsfs FNF ≥ Conveyor drive, 25.11 << sfN df s PK sbY F ≥ assume 50.0=Y load near middle 7.1=fK For nodular-iron, 80-60-03 psisn 000,40= psiE 6 1023×= ( ) ( ) ( )6 6 26 105.11 10232 1023 ×= × × = + = k k EE EkE C pg gp ek 111.0= for 20o full depth ( )( )( ) ( ) 22 647,117 7.1 50.010000,40 dd s PP F == d s sf F F N = Iteration: Use Fig. AF 19 and Fig AF 20. dP d m P v 3142 = e C dF sF d s sf F F N = 5 628.4 0.00225 2872 4765 4706 0.99 4 785.5 0.002625 3351 5005 7353 1.46 Use 4=dP , commercially cut dd P b P 5.128 << 125.32 << b use inb 0.3=
  • 21.
    SECTION 11 –SPUR GEARS Page 21 of 57 gpw bQKDF = Table AT 26, 248=gK 20o F.D. in P N D d p p 5 4 20 === ( ) 43.1 15.2 5.22 1 2 = + = + = w w m m Q ( )( )( )( ) dw FlbF >== 532024843.10.35 Summary of answer: 4=dP , commercially cut gears inb 3= inDp 5= ( )( ) inDmD pwg 5.1255.2 === 643. A 4.8-in. (approximate) pinion with 20o full-depth teeth is to transmit 40 hp at 1000 rpm; indefinitely continuous service with smooth load; 5.3=gm ; carefully cut teeth to reduce the chance of an explosive spark, the use of a phosphor0gear- bronze (SAE 65, Table AT 3) pinion and a cast-iron (class 35) gear is a tentative decision. Decide upon an appropriate dP and b , using Buckingham’s average dynamic load. Solution: inDd 8.4= rpmnp 1000= ( )( ) fpm nD v pp m 1257 12 10008.4 12 === ππ Fig. AF 19, max. permissible error, ine 00225.0= Carefully-cut, ine 001.0= pg pg EE EkE C + = ek 111.0= for 20o full depth Phosphor-bronze pinion SAE 65 psisn 000,24= psiEp 6 1016×= Cast iron gear, class 35 ( ) psiss un 000,14000,354.04.0 === psiEg 6 105.14 ×=
  • 22.
    SECTION 11 –SPUR GEARS Page 22 of 57 ( )( )( )( ) 844 1016105.14 1016105.14001.0111.0 66 66 = ×+× ×× =C Assume 4=dP ine 00125.0= ( ) 105584425.1 ==C ( ) lb v hp F m t 1050 1257 40000,33000,33 === ( ) ( )2 1 05.0 05.0 tm tm td FCbv FCbv FF ++ + += in P b dd 5.2 4 1010 === ( ) ( )[ ] ( ) ( )[ ] lbFd 2926 10505.21055125705.0 10505.21055125705.0 1050 2 1 = ++ + += df s PK sbY F = assume 7.1=fK , load near middle, gear, 20o F.D. ( )( ) 1948.4 === dpp PDN , 534.0=Y use psis 000,14= , gear ( )( ) 66195.3 === pgg NmN , 7224.0=Y ( )( )( ) ( )( ) lbFs 3718 47.1 7224.05.2000,14 == dsfs FNF ≥ smooth load, 0.1=sfN ds FF > lblb 29263718 > Summary 4=dP inb 5.2= 644. The 20o full-depth teeth for a pair of steel gears are to transmit 40 hp at 1200 rpm of the 20-tooth pinion; 3=gm ; continuous service and indefinite life: The driven machine is an off-and-on reciprocating compressor. (a) Determine the pitch, face width, and steel (with treatment), considering at least three alternatives, including carefully cut teeth. For the gear teeth decided on, what would be the power capacity if only intermittent service (wear not considered) were required? (c) If a limited life of 107 cycles were satisfactory? Solution:
  • 23.
    SECTION 11 –SPUR GEARS Page 23 of 57 20=pN dd p p PP N D 20 == rpmnp 1200= ( ) d dpp m P PnD v 6283 12 1200 20 12 =       == π π ( ) d d m t P P v hp F 210 6283 40000,33000,33 =       == ( ) ( )2 1 05.0 05.0 tm tm td FCbv FCbv FF ++ + += For carefully cut, ine 001.0= Table AT 25, steel on steel, 20o F.D. 1660=C dw FF = gpw bQKDF = assume dP b 10 = 2 1 210 10 1660 6283 05.0 210 10 1660 6283 05.0 210       +      +            +            += d dd d dd dd P PP P PP PF 2 1 210 16600314 210 16600314 210       ++       + += d dd d dd dd P PP P PP PF ( ) 5.1 13 32 1 2 = + = + = w w m m Q ( )( ) g d g dd w K P K PP F 2 300 5.1 1020 =            = 5=dP
  • 24.
    SECTION 11 –SPUR GEARS Page 24 of 57 lbFd 3179= ( ) 3179 5 300 2 == gw KF 265=gK 6=dP lbFd 3079= ( ) 3079 6 300 2 == gw KF 369=gK (a) For indefinite life, Table AT 26 use Sum of BHN = 700, 270=gK , 5=dP in P b d 2 5 1010 === in P N D d p p 4 5 20 === ( )( ) inDmD pgg 1243 === Material combination. (Sum of BHN = 700) Alternatives: (1) 4150 OQT 1200 F, gear, BHN = 331 6152 OQT 1000 F, pinion, BHN = 375 (2) 5150 OQT 1000 F, gear, BHN = 321 8620 OQT 800 F, pinion, BHN = 375 (3) 4150 OQT 1200 F, gear, BHN = 331 C1095 OQT 800 F, pinion, BHN = 363 Using Pinion: C1095, OQT 800 F, BHN = 363 ( ) psisn 750,90363250 == Gear: 4150, OQT 1200 F, BHN = 331 ( ) psisn 750,82331250 == Table AT 24, Load near middle, 20o F.D. 20=pN 544.0=Y ( ) 60203 ==gN , 713.0=Y Pinion: ( )( ) 368,49544.0750,90 ==sY Gear: ( )( ) 000,59713.0750,82 ==sY Therefore, pinion is weaker
  • 25.
    SECTION 11 –SPUR GEARS Page 25 of 57 7.1=fK ( )( )( ) ( )( ) lb PK sbY F df s 616,11 57.1 544.02750,90 === dsfs FNF = Reciprocating compressor, 4.1=sfN ( ) ( )2 1 05.0 05.0 tm tm td FCbv FCbv FF ++ + += ( )( ) fpm nD v pp m 1257 12 12004 12 === ππ 1660=C inb 2= ( ) ( )[ ] ( ) ( )[ ]2 1 21660125705.0 21660125705.0 t t td F F FF ++ + += ( ) ( )2 1 332085.62 332085.62 t t td F F FF ++ + += dsfs FNF = dF4.1616,11 = lbFd 8297= By trial and error method lbFt 4900= ( )( ) hp vF hp mt 6.186 000,33 12574900 000,33 === (b) 107 cycles, Table AT 26 Use 4=dP , 252=gK Sum of BHN = 500 ine 00125.0= ( )166025.1=C ( )( ) ( )( ) 2 1 210 10166025.1314 05.0 210 10166025.1314 05.0 210       ++            +      += d dd d dd dd P PP P PP PF 4=dP lbFd 3870=
  • 26.
    SECTION 11 –SPUR GEARS Page 26 of 57 ( ) ( ) dw FF >== 4725252 4 300 2 Therefore 4=dP in P b d 5.2 4 1010 === in P N D d p p 5 4 20 === ( )( ) inDmD pgg 1553 === Material combination. (Sum of BHN = 600) (1) 8630 WQT 1100 F, gear, BHN = 285 9261 OQT 1200 F, pinion, BHN = 311 (2) 6152 OQT 1200 F, gear, BHN = 293 9840 OQT 1000 F, pinion, BHN = 302 (3) 5150 OQT 1200 F, gear, BHN = 269 4150 OQT 1200 F, pinion, BHN = 331 Using Pinion: 4150, OQT 1200 F, BHN = 331 ( ) psisn 750,82331250 == Gear: 5150, OQT 1200 F, BHN = 269 ( ) psisn 250,62269250 == Table AT 24, Load near middle, 20o F.D. 20=pN 544.0=Y ( ) 60203 ==gN , 713.0=Y Pinion: ( )( ) 016,45544.0750,82 ==sY Gear: ( )( ) 949,47713.0750,62 ==sY Therefore, pinion is weaker 7.1=fK ( )( )( ) ( )( ) lb PK sbY F df s 550,16 47.1 544.05.2750,82 === ( ) ( )2 1 05.0 05.0 tm tm td FCbv FCbv FF ++ + += ( )( ) fpm nD v pp m 1571 12 12005 12 === ππ ( ) 2075166025.1 ==C inb 5.2=
  • 27.
    SECTION 11 –SPUR GEARS Page 27 of 57 ( ) ( )[ ] ( ) ( )[ ]2 1 5.22075157105.0 5.22075157105.0 t t td F F FF ++ + += ( ) ( )2 1 5.518755.78 5.518755.78 t t td F F FF ++ + += dsfs FNF = dF4.1550,16 = lbFd 821,11= By trial and error method lbFt 6800= ( )( ) hp vF hp mt 324 000,33 15716800 000,33 === 645. A pair of spur gears, delivering 100 hp to a reciprocating pump at a pinion speed of 600 rpm, is to serve continuously with indefinite life; minimum number of 20o full-depth teeth is 18; 5.2=wm . Since low weight is highly important, it is decided that the initial design be for carburized case-hardened teeth. (a) Determine a suitable pitch, face width, diameters, and specify the material and its heat treatment. (b) Use the same size teeth as determined in (a), but let the material be flame-hardened 4150, OQT 1100 F. Compute sF and wF . If it were decided that the maximum (specified) loading would be imposed only occasionally, would these gears transmit more or less power than the carburized teeth? Explain. Solution: 18=pN dd p p PP N D 18 == ( ) d dpp m P PnD v 2827 12 600 18 12 =       == π π ( ) d d m t P P v hp F 1167 2827 100000,33000,33 =       == ( ) ( )2 1 05.0 05.0 tm tm td FCbv FCbv FF ++ + +=
  • 28.
    SECTION 11 –SPUR GEARS Page 28 of 57 dP b 10 = assume first class commercial gears ine 002.0= Table AT 25, ( ) 332016602 ==C 2 1 1167 10 3320 2827 05.0 1167 10 3320 2827 05.0 1167       +      +            +            += d dd d dd dd P PP P PP PF 2 1 1167 3320032.141 1167 3320035.141 1167       ++       + += d dd d dd dd P PP P PP PF gpw bQKDF = ( ) 43.1 15.2 5.22 1 2 = + = + = g g m m Q Table AT 26, 20o F.D., carburized, indefinite 750=gK ( )( ) 2 050,193 75043.1 1018 ddd w PPP F =            = dw FF ≥ Iteration: dP dF wF 5 8355 7722 6 9181 5363 Will not equal Using precision cut gears ( ) 83016605.0 ==C
  • 29.
    SECTION 11 –SPUR GEARS Page 29 of 57 2 1 1167 830032.141 1167 830035.141 1167       ++       + += d dd d dd dd P PP P PP PF dP dF wF 5 7680 7722 Use 5=dP , precision cut To check for strength df s PK sbY F = 600=BHN ( ) psiBHNsn 000,150600250250 === in P b d 2 5 1010 === Table AT 24m Load near middle, 20o F.D. 18=pN , 522.0=Y 7.1=fK ( )( )( ) ( )( ) ds FlbF >== 424,18 57.1 522.02000,150 600=BHN , 5.57=Rc E3310, SOQT 450 F 5=dP , precision cut inb 2= in P N D d p p 6.3 5 18 === ( )( ) inDmD pwg 96.35.2 === Material, E3310, SOQT 450 F (b) Flame hardened, 4150 OQT 1100 F 359≈BHN Sum of BHN = 718 287=gK ( )( )( )( ) lbbQKDF gpw 295528743.126.3 ===
  • 30.
    SECTION 11 –SPUR GEARS Page 30 of 57 df s PK sbY F = ( ) psis 750,89359250 == 522.0=Y ( )( )( ) ( )( ) lbFs 023,11 57.1 522.02750,89 == For occasional loading, ds FF = For (a) lblbFd 023,117680 <= Therefore, these gears would transmit more power than carburized teeth for occasional loading with continuous loading for carburized teeth. CHECK PROBLEMS 646. A 6-ft. ball mill runs at 24.4 rpm, the drive being through 14 1/2o involute spur gears; 2=dP , 15=pN , 176=gN , inb 5= ., and 75=hp . The material of the pinion is SAE 1040, BHN = 180; of the gear, 0.35% C cast steel, BHN = 180. (a) Check for strength and wear and give your decision as to the service to be expected. (b) The foregoing pinion wore out. Actually, the first step was to replace it with one made of SAE 3140, OQT 1000 F. Would you expect this to cure the trouble? (c) The drive in (b) also wore out. The following solution which maintained the same gear diameters, pitch and face, was proposed: 20o full-depth teeth; pinion of SAE 3140 with BHN = 350; gear of SAE 1045 with BHN = 280. Would you predict that these gears will give long service? What are the approximate tempering temperatures to get the specified hardness? Solution: rpmng 4.24= 12 gg m nD v π = in P N D d g g 88 2 176 === ( )( ) fpmvm 3373 12 4.2488 == π ( ) lb v hp F m t 734 3373 75000,33000,33 === Fig. AF 19, max. per. Error = 0.0008 in for fpmvm 3373= Fig. AF 20, precision cut, 2=dP , inine 0008.00010.0 ≈= Table AT 25, ine 0010.0= 1600=C , 14 1/2o F.D.
  • 31.
    SECTION 11 –SPUR GEARS Page 31 of 57 ( ) ( )2 1 05.0 05.0 tm tm td FCbv FCbv FF ++ + += inb 5= ( ) ( )[ ] ( ) ( )[ ] lbFd 6354 73451600337305.0 73451600337305.0 734 2 1 = ++ + += (a) Wear load gpw bQKDF = in P N D d p p 5.7 2 15 === inb 5= ( ) 843.1 17615 17622 = + = + = gp g NN N Q Sum of BHN = 180 + 180 = 360, 14 1/2o F.D. Table At 26, 3.46=gK ( )( )( )( ) lbFw 32003.46843.155.7 == Strength: df s PK sbY F = ( ) psiBHNs 000,45180250250 === Pinion is weaker, 15=pN , 14 1/2o F.D. (involute) 415.0=Y , Load near middle 7.1=fK ( )( )( ) ( )( ) lbFs 463,27 27.1 415.05000,45 == dw FF < , service is intermittent. (b) Pinion, SAE 3140, OQT 1000 F, 311=BHN ( ) psiBHNsn 750,77311250250 === ( )( ) psisY 266,32415.0750,77 == Gear, ( ) psiBHNsn 000,45180250250 === 176=gN , 6376.0=Y , 14 1/2o F.D. ( )( ) psisY 692,286376.0000,45 == Strength,
  • 32.
    SECTION 11 –SPUR GEARS Page 32 of 57 ( )( )( ) ( )( ) lb PK sbY F df s 194,42 27.1 6376.05000,45 === Wear, gpw bQKDF = Sum of BHN = 180 + 311 = 491, 14 1/2o F.D. Table AT 26, 4.92=gK ( )( )( )( ) lbFw 63864.92843.155.7 == dw FF ≈ , this will cure the trouble. (c) Pinion, SAE 3140, 350=BHN ( ) psiBHNsn 500,87350250250 === Gear, SAE 1045, 280=BHN ( ) psiBHNsn 000,70280250250 === Table AT 25, 20o F.D., ine 001.0= 1660=C ( ) ( )[ ] ( ) ( )[ ] lbFd 6512 73451660337305.0 73451660337305.0 734 2 1 = ++ + += Wear load, sum of BHN = 350 + 280 = 630 Table At 26, 8.218=gK , 20o F.D. gpw bQKDF = ( )( )( )( ) dw FlbF >== 122,158.218843.155.7 Tempering temperatures: Pinion: SAE 3140, BHN = 350 Fig. AF 2, OQT 995 F Gear: SAE 1045, BHN = 280 Table AT 8, WQT 900 F, rod. Diameter = ½ in. 647. A 22-tooth pinion, transmitting 110 hp at 2300 rpm, drives a 45-tooth gear, both steel; 20o full depth; 5=dP , inb 5.1= .; The manufacturing process is expected to result in a maximum effective error of ine 0016.0= . (a) Compute Buckingham’s average dynamic load. Compute sF and wF if the material is (b) case-carburized AISI 8620, DOQT 300 F, (c) AISI 8742, OQT 950 F, (d) induction-hardened AISI 8742. (e) Suppose your company carries a stock of the foregoing materials. For a minimum-service factor of 1.2, which material do you
  • 33.
    SECTION 11 –SPUR GEARS Page 33 of 57 recommend for (i) intermittent service, (ii) indefinitely continuous service, (iii) cycles of loading not to exceed 107 ? Solution: 22=pN 45=gN in P N D d p p 4.4 5 22 === ( )( ) fpm nD v pp m 2649 12 23004.4 12 === ππ ( ) lb v hp F m t 1370 2649 110000,33000,33 === (a) Dynamic Load ( ) ( )2 1 05.0 05.0 tm tm td FCbv FCbv FF ++ + += For ine 0016.0= , Table AT 25, steel, 20o F.D. ( ) 265616606.1 ==C inb 5.1= ( ) ( )[ ] ( ) ( )[ ] lbFd 4819 13705.12656264905.0 13705.12656264905.0 1370 2 1 = ++ + += (b) AISI 8620, DOQT 300 F carborized Table AT 26, 20o F.D. 750=gK , 1010 cycles ≈ indefinite Table AT 11, 64CRc = Figure AF 4, 700=BHN ( ) psisn 000,175700250 == 22=pN Table AT 24, Load near middle, 20o F.D. 559.0=Y 7.1=fK Strength ( )( )( ) ( )( ) lb PK sbY F df s 263,17 57.1 559.05.1000,175 === Wear gpw bQKDF =
  • 34.
    SECTION 11 –SPUR GEARS Page 34 of 57 ( ) 3433.1 4522 4522 = + = + = gp g NN N Q ( )( )( )( ) lbFw 66497503433.15.14.4 == (c) AISI 8742, OQT 950 F 5.358=BHN sum of BHN = ( ) 7175.3582 = Table AT 26, 20o F.D. 286=gK ( ) psisn 625,895.358250 == Strength ( )( )( ) ( )( ) lb PK sbY F df s 8841 57.1 559.05.1625,89 === Wear gpw bQKDF = ( )( )( )( ) lbFw 25362863433.15.14.4 == (d) Induction hardened, AISI 8742 Table AT 26, 20o F.D. 555=gK at 1010 cycles ( ) psisn 000,125500250 == Strength ( )( )( ) ( )( ) lb PK sbY F df s 331,12 57.1 559.05.1000,125 === Wear gpw bQKDF = ( )( )( )( ) lbFw 49215553433.15.14.4 == (e) (i) intermittent service ( )( ) lbFN dsf 578348192.1 == use AISI 8742, OQT 950 F dsfS FNF ≥ lbFS 8841= (ii) indefinitely continuous service dw FF ≥ lbFd 4819= use AISI 8620, DOQT 300 F
  • 35.
    SECTION 11 –SPUR GEARS Page 35 of 57 lbFw 6649= (iii) 107 cycles Use AISI 8742, induction hardened 1190=gK ( )( )( )( ) dw FlbF >== 550,1011903433.15.14.4 648. Two mating steel gears have 16 and 25 teeth, respectively, 20o F.D.; inb 2= , 5=dP ; pinion speed, 2400 rpm. The maximum effective error in the profiles is planned to be 0.0012 in. The drive is for heavy-duty conveyer, continuous service. Compute and specify a reasonable rated horsepower if the gear teeth are: (a) Case carburized AISI 8620, SOQT 300 F, (b) AISI 8742, OQT 950 F and the flame-hardened, (c) AISI 8742, OQT 800 F. Solution: 16=pN 25=gN in P N D d p p 2.3 5 16 === ( )( ) fpm nD v pp m 2011 12 24002.3 12 === ππ ( ) ( )2 1 05.0 05.0 tm tm td FCbv FCbv FF ++ + += error, ine 0012.0= Table AT 25, 20o F.D. ( ) 199216602.1 ==C ( ) ( )[ ] ( ) ( )[ ]2 1 5.11992201105.0 5.11992201105.0 t t td F F FF ++ + += ( ) ( )2 1 298855.100 298855.100 t t td F F FF ++ + += (a) Case carburized AISI 8620, SOQT 300 F 750=gK 700=BHN ( ) psisn 000,175700250 == 16=pN , 503.0=Y , Table AT 24, 20o F.D., Load near middle
  • 36.
    SECTION 11 –SPUR GEARS Page 36 of 57 ( ) 22.1 2516 2522 = + = + = gp g NN N Q Wear: gpw bQKDF = ( )( )( )( ) lbFw 585675022.122.3 == Strength ( )( )( ) ( )( ) lb PK sbY F df s 712,20 57.1 503.02000,175 === Use dw FF = ( ) ( )2 1 298855.100 298855.100 5856 t t t F F F ++ + += lbFt 2635= ( )( ) hp vF hp mt 160 000,33 20112635 000,33 === (b) AISI 8742, OQT 950 F, flame-hardened 555=gK ( ) psisn 000,125500250 == Strength ( )( )( ) ( )( ) lb PK sbY F df s 794,14 57.1 503.02000,125 === Wear: gpw bQKDF = ( )( )( )( ) lbFw 433355522.122.3 == Use dw FF = ( ) ( )2 1 298855.100 298855.100 4333 t t t F F F ++ + += lbFt 1590= ( )( ) hp vF hp mt 97 000,33 20111590 000,33 === (c) AISI 8742, OQT 800 F, 4.416=BHN (Table AT 9) Sum of BHN = 2(416.4) = 832.8 Table AT 26, 5.397=gK ( ) psiBHNsn 100,1044.416250250 === Strength ( )( )( ) ( )( ) lb PK sbY F df s 320,12 57.1 503.02100,104 ===
  • 37.
    SECTION 11 –SPUR GEARS Page 37 of 57 Wear: gpw bQKDF = ( )( )( )( ) lbFw 31045.39722.122.3 == Use dw FF = ( ) ( )2 1 298855.100 298855.100 3104 t t t F F F ++ + += lbFt 770= ( )( ) hp vF hp mt 47 000,33 2011770 000,33 === 649. The data for a pair of gears are: 20o F.D. teeth, inb 4 3 1= , 6=dP , 26=pN , 60=gN , rpmnp 2300= ; as-rolled AISI 1050; carefully cut teeth; 2.1=sfN . (a) Strength alone considered, find the horsepower that may be transmitted. (b) Determine the required surface hardness in order for dw FF = , and specify a treatment that would make the gears long lasting in continuous service. Solution: in P N D d p p 333.4 6 26 === ( )( ) fpm nD v pp m 2609 12 2300333.4 12 === ππ ( ) ( )2 1 05.0 05.0 tm tm td FCbv FCbv FF ++ + += For carefully cut teeth, 6=dP , 20o F.D. 1660=C ( ) ( )[ ] ( ) ( )[ ]2 1 75.11660260905.0 75.11660260905.0 t t td F F FF ++ + += ( ) ( )2 1 290545.130 290545.130 t t td F F FF ++ + += (a) Strength df s PK sbY F = For as rolled AISI 1050, 229=BHN ( ) psisn 250,57229250 == or ( ) psiss un 000,51000.1025.05.0 === use psis 000,51=
  • 38.
    SECTION 11 –SPUR GEARS Page 38 of 57 26=pN Table AT 26, 20 o F.D., load near middle 588.0=Y 7.1=fK ( )( )( ) ( )( ) lbFs 5145 67.1 588.075.1000,51 == dsfs FNF = dF2.15145 = lbFd 4288= ( ) ( )2 1 290545.130 290545.130 4288 t t td F F FF ++ + +== lbFt 1400= ( )( ) hp vF hp mt 110 000,33 26091400 000,33 === (b) lbFF dw 1400== Wear gpw bQKDF = ( ) 395.1 6026 6022 = + = + = gp g NN N Q ( )( )( ) lbKF gw 4288395.175.1333.4 == 405=gK Table of BHN = 838 2291 =BHN 6092298382 =−=BHN Therefore use carburized teeth. 650. Gears with carefully cut, 20o F.D. teeth have 5=dP , 2=b , 5=gm , 24=pN . Pinion material is manganeses gear bronze (heading of Table AT 3); gear is cast iron, class 25. Gear speed rpmng 200= ; smooth load. They are to transmit 18 hp. (a) Are the teeth strong enough for intermittent service? (b) Does the limiting wear load indicate long life? Suggestion: Compute C for equation (13.7). Solution: in P N D d p p 8.4 5 24 ===
  • 39.
    SECTION 11 –SPUR GEARS Page 39 of 57 ( )( ) rpmnmn ggp 10002005 === ( )( ) fpm nD v pp m 1257 12 10008.4 12 === ππ ( ) lb v hp F m t 473 1257 18000,33000,33 === Carefully cut: pg pg EE EkE C + = ek 111.0= for 20o full-depth Fig. AF 20, ine 001.0= , 5=dP ( )( )( )( ) 743 1016105.11 1016105.11001.0111.0 66 66 = ×+× ×× =C ( ) ( )2 1 05.0 05.0 tm tm td FCbv FCbv FF ++ + += ( ) ( )[ ] ( ) ( )[ ] lbFd 1622 4732743125705.0 4732743125705.0 473 2 1 = ++ + += (a) dsfs FNF ≥ 0.1=sfN , smooth load df s PK sbY F = Gear: cast-iron, class 25, 20o F.D. ( )( ) 120245 === pgg NmN 7646.0=Y , load near middle ( ) psiksisn 000,1010254.0 === ( )( ) psiYsn 76467646.0000,10 == Pinion: manganese gear bronze, 20o F.D. 24=pN 572.0=Y , load near middle psiksisn 000,1717 == ( )( ) psiYsn 9724572.0000,17 == Gear is weaker 7.1=fK ( )( )( ) ( )( ) dsfs FNlbF >== 1799 57.1 7646.02000,10
  • 40.
    SECTION 11 –SPUR GEARS Page 40 of 57 Therefore, enough for intermittent service (b) gpw bQKDF = ( ) 667.1 15 52 1 2 = + = + = g g m m Q         +      = gp g EE s K 11 4.1 sin2 φ Pinion, manganese gear bronze ksiss u 75== o 20=φ ( ) 205 105.11 1 1016 1 4.1 20sin000,75 66 2 =      × + ×       =gK ( )( )( )( ) dw FlbF >== 3281205667.128.4 Therefore, indicates long life. 651. A 20-tooth pinion. 20o F.D., drives a 100-tooth gear. The pinion is made of SAE 1035, heat treated to Rockwell C15; the gear is cast iron class 35, HT; 3=dP , inb 5.2= .; carefully cut teeth; pinion speed rpmnp 870= , smooth load. (a) For a continuous service, indefinite life, what is a safe horsepower? (b) For intermittent service (wear unimportant), compute the safe horsepower. Solution: 20=pN 100=gN in P N D d p p 667.6 3 20 === ( )( ) fpm nD v pp m 1519 12 870667.6 12 === ππ ( ) ( )2 1 05.0 05.0 tm tm td FCbv FCbv FF ++ + += Carefully cut gears, steel and cast iron, 20o F.D. 3=dP , Fig. AF 20, Table AT 25 ine 0016.0= ( ) 182411406.1 ==C ( ) ( )2 1 05.0 05.0 tm tm td FCbv FCbv FF ++ + +=
  • 41.
    SECTION 11 –SPUR GEARS Page 41 of 57 ( ) ( )[ ] ( ) ( )[ ]2 1 5.21824151905.0 5.21824151905.0 t t td F F FF ++ + += ( ) ( )2 1 456095.75 456095.75 t t td F F FF ++ + += (a) Continuous ser vice Strength: df s PK sbY F = Pinion: SAE 1035, 15CRc = Fig. AF 4, 200=BHN ( )( ) psisn 000,50200250 == 20=pN Table AT 24, 20o F.D., load near middle 544.0=Y ( )( ) psiYsn 200,27544.0000,50 == Gear: Cast iron, class 35 ( ) psiss un 000,14000,354.04.0 === 100=gN Table AT 24, 20o F.D., load near middle 755.0=Y ( )( ) psiYsn 570,10755.0000,14 == Gear is weaker 7.1=fK ( )( )( ) ( )( ) lbFs 5181 37.1 755.05.2000,14 == Wear: gpw bQKDF = ( ) 667.1 10020 10022 = + = + = gp g NN N Q         +      = gp g EE s K 11 4.1 sin2 φ o 20=φ ( ) psiksiBHNs 000,7070102004.0104.0 ==−=−= psiEp 6 1030×=
  • 42.
    SECTION 11 –SPUR GEARS Page 42 of 57 psiEg 6 105.14 ×= ( ) 122 105.14 1 1030 1 4.1 20sin000,70 66 2 =      × + ×       =gK ( )( )( )( ) lbFw 3390122667.15.2667.6 == dw FF = ( ) ( )2 1 456095.75 456095.75 3390 t t t F F F ++ + += lbFt 700= ( )( ) hp vF hp mt 32 000,33 1519700 000,33 === (b) dsfs FNF = 0.1=sfN , smooth load ( ) ( )2 1 456095.75 456095.75 5181 t t t F F F ++ + += lbFt 2000= ( )( ) hp vF hp mt 92 000,33 15192000 000,33 === 652. A pair of steel gears is defined by 8=dP , inb 5.1= , 25=pN , 75=gN , ine 001.0= , 20o F.D. If these gears may transmit continuously and without failure 75 hp at 1140 rpm of the pinion, what horsepower would be satisfactory for rpmnp 1750= ? Solution: in P N D d p p 125.3 8 25 === ( )( ) fpm nD v pp m 933 12 1140125.3 12 === ππ ( ) lb v hp F m t 2653 933 75000,33000,33 === Table AT 25, ine 001.0= , 20o F.D. 1660=C ( ) ( )2 1 05.0 05.0 tm tm td FCbv FCbv FF ++ + +=
  • 43.
    SECTION 11 –SPUR GEARS Page 43 of 57 ( ) ( )[ ] ( ) ( )[ ] lbFd 4680 26535.1166093305.0 26535.1166093305.0 2653 2 1 = ++ + += For rpmnp 1750= ( )( ) fpm nD v pp m 1432 12 1750125.3 12 === ππ ( ) ( )[ ] ( ) ( )[ ] lb F F FF t t td 4680 5.11660143205.0 5.11660143205.0 2 1 = ++ + += lbFt 2260= ( )( ) hp vF hp mt 98 000,33 14322260 000,33 === 654. A gear manufacturer recommends that the following gears can transmit 25 hp at 600 rpm of the pinion during continuous 24-hr. service, indefinite life, moderate shock: 31=pN , 70=gN , inb 25.3= , 6=dP , 20o F.D.; pinion material is SAE 2335 with BHN = 300; gear material is SAE 1040 with BHN = 250. At what horsepower would you rate them? Solution: in P N D d p p 167.5 6 31 === ( )( ) fpm nD v pp m 812 12 600167.5 12 === ππ ( ) ( )2 1 05.0 05.0 tm tm td FCbv FCbv FF ++ + += Commercial cut, ine 001.0= , 20o F.D., 6=dP Table AT 25 ( )( ) 332016602 ==C ( ) ( )[ ] ( ) ( )[ ]2 1 25.3322081205.0 25.3322081205.0 t t td F F FF ++ + += ( ) ( )2 1 465,106.40 465,106.40 t t td F F FF ++ + += Strength: Pinion: SAE 2335, 300=bhn ( ) psisn 000,75300250 == 31=pN , Table AT 24, Load near middle, 20o F.D. 6115.0=Y
  • 44.
    SECTION 11 –SPUR GEARS Page 44 of 57 ( )( ) psiYsn 862,456115.0000,75 == Gear: SAE 1040, 250=BHN ( ) psisn 500,62250250 == 70=gN , Table AT 24, Load near middle, 20o F.D. 728.0=Y ( )( ) psiYsn 500,45728.0500,62 == Gear is weaker, 7.1=fK ( )( )( ) ( )( ) lb PK sbY F df s 498,14 67.1 728.025.3500,62 === Wear load: gpw bQKDF = ( ) 386.1 7031 7022 = + = + = gp g NN N Q Sum of BHN = 300+250 = 550 Table AT 26, 20o F.D. 162=gK ( )( )( )( ) lbFw 3770162386.125.3167.5 == dw FF = ( ) ( )2 1 104656.40 104656.40 3770 t t t F F F ++ + += lbFt 675= ( )( ) hp vF hp mt 6.16 000,33 812675 000,33 === For carefully cut, 1660=C ( )( ) 539525.31660 ==Cb ( ) ( )2 1 53956.40 53956.40 3770 t t t F F F ++ + += lbFt 1500= ( )( ) hp vF hp mt 9.36 000,33 8121500 000,33 === carefully cut use hphp 9.36= , carefully cut.
  • 45.
    SECTION 11 –SPUR GEARS Page 45 of 57 NONMETALLIC GEARS 655. A 4-in. Bakelite pinion meshing with a cast-iron gear, is to be on the shaft of a 12 –hp induction motor that turns at 850 rpm; 5=wm , 20o F.D. teeth. (a) Determine dP , b , pN , gN for indefinitely continuous service with a smooth load. Is there serious interference in the gears you have designed? (b) Are the teeth of your design strong enough to taje without damage an occasional 60 % overload? Solution: Pinion as weaker ( ) 4 200 200 m tm d v Fv F + + = ( )( ) fpm nD v pp m 890 12 8504 12 === ππ ( ) lb v hp F m t 445 890 12000,33000,33 === ( )( ) lbFd 1148 4 890 200 445890200 = + + = Strength: psis 6000= d s P sbY F = assume dP b 10 = and 33.0=Y , 20o F.D. Load at tip. ds FF = (smooth load) ( )( )( ) lb P F d s 1148 33.0106000 2 == 15.4=dP use 4=dP in P b d 5.2 4 1010 === say inb 3= ( )( ) 1644 === dpp PDN Table At 24, 295.0=Y , 20o F.D. Load at tip. ( )( )( ) lblbFs 11481328 4 295.036000 >== Check:
  • 46.
    SECTION 11 –SPUR GEARS Page 46 of 57 Wear: gpw bQKDF = ( ) 667.1 15 52 1 2 = + = + = w w m m Q Table AT 26, Use 64=gK , 20o F.D. ( )( )( )( ) dw FlbF >== 128064667.134 , o.k. Then 4=dP inb 3= 16=pN ( )( ) 80165 === pwg NmN 18<pN , there is interference. (b) ( )( ) lbFt 7124456.1 == lbFd 712> , strong enough. 656. A Zytel pinion with molded teeth is to transmit 0.75 hp to a hardened-steel gear; rpmnp 1750= , inDp 25.1≈ . Determine the pitch, face, and number of teeth on the pinion for intermittent service. Solution: ( )( ) fpm nD v pp m 573 12 175025.1 12 === ππ ( ) lb v hp F m t 43 573 75.0000,33000,33 === ( ) td FVFF = For molded teeth, fpmvm 4000< 1=VF ( )( ) lbFd 43431 == Load near middle, assume 50.0=Y ds FF = say psiksis 46006.4 == , §13.27 dP b 10 = ( )( )( ) 43 50.0104600 2 === dd s PP sbY F
  • 47.
    SECTION 11 –SPUR GEARS Page 47 of 57 23=dP use 20=dP inb 5.0 20 10 == ( )( ) teethPDN dpp 252025.1 === 657. A 10-in. Textolite pinion, driving a hardened steel gear, transmits power at 400 rpm; 5.2=dP , inb 5= ., 14 1/2o F.D. teeth. Determine the safe horsepower (a) for smooth, continuous, indefinite service, and also (b) for limited-life intermittent service. Solution: inDp 10= rpmnp 400= ( )( ) fpm nD v pp m 1047 12 40010 12 === ππ ( ) 4 200 200 m tm d v Fv F + + = Strength d s P sbY F = psis 6000= inb 5= 5.2=dP ( )( ) 25105.2 === pdp DPN Table At 24, 14 1/2o F.D. Load at tip. 305.0=Y ( )( )( ) lbFs 3660 5.2 305.056000 == Wear load, Table At 26, 14 1/2o F.D. 46=gK gpw bQKDF = 5.1≈Q ( )( )( )( ) lbFw 3450465.1510 == (a) Continuous service dw FF = (smooth)
  • 48.
    SECTION 11 –SPUR GEARS Page 48 of 57 ( ) 4 1047 200 1047200 3450 + + = tF lbFs 1277= ( )( ) hp vF hp mt 40 000,33 10471277 000,33 === (b) Intermittent service ds FF = ( ) 4 1047 200 1047200 3660 + + = tF lbFs 1355= ( )( ) hp vF hp mt 43 000,33 10471355 000,33 === 658. A 16-pitch Zytel pinion, with 26, 20o F.D. cut teeth, rotates at 600 rpm; inb 8 5 = . (a) What safe horsepower may be transmitted for long-life? (b) For 107 cycles? Solution: 12 pp m nD v π = in P N D d p p 625.1 16 26 === ( )( ) fpmvm 255 12 600625.1 == π Cut-teeth, fpmvm 4000< 2.1=VF ( ) td FVFF = td FF = (a) Long life, 8 105× cycles 16=dP psiksis 23003.2 == d s P sbY F = For 26=pN , 20o F.D., Load near middle 588.0=Y
  • 49.
    SECTION 11 –SPUR GEARS Page 49 of 57 ( ) ( ) lbFs 53 16 588.0 8 5 2300 =       = ts FF 2.153 == lbFt 44= (b) 107 cycles. psiksis 42002.4 == , 16=dP ( ) ( ) lbFs 5.96 16 588.0 8 5 4200 =       = ts FF 2.15.96 == lbFt 80= ( )( ) hp vF hp mt 34.0 000,33 25544 000,33 === CAST-TOOTH GEARS 659. A pair of cast-iron spur gears, ASTM 20, with cast teeth, transmits 10 hp at 125 rpm of the pinion; 5=wm , inDp 8≈ . Determine cP , b , pN , gN . Solution: ( )( ) fpm nD v pp m 262 12 1258 12 === ππ t m d F v F 600 600 + = ( ) lb v hp F m t 1260 262 10000,33000,33 === ( ) lbFd 18101260 600 262600 = + = cs sbPF 054.0= say cPb 5.2= ( ) psiksiss u 80008204.04.0 ==== ( )( ) 22 10805.28000054.0 ccs PPF == ds FF = 18101080 2 =cP inPc 29.1= ( )( ) hp vF hp mt 34.0 000,33 25544 000,33 ===
  • 50.
    SECTION 11 –SPUR GEARS Page 50 of 57 say inPc 4 1 1= ( ) inPb c 325.14.24.2 === ( ) 20 25.1 8 === ππ c p p P D N ( )( ) 100205 === pwg NmN 660. Design the cast teeth for a pair of cast-iron spur gears to transmit 35 hp at 50 rpm of the pinion; 5.2≈wm . Decide upon a suitable grade of cast iron and find cP , b , pD , gD , and center distance. Solution: Using cast-iron, class 35 ( ) psiksiss un 000,1414354.04.0 ==== ( ) mmm t vvv hp F 000,155,135000,33000,33 === t m d F v F 600 600 + = Try 20=pN c cpc p P PNP D 366.6 20 === ππ ( )( ) c cpp m P PnD v 33.83 12 50366.6 12 === ππ cc t PP F 860,13 33.83 000,155,1 == ( ) c c c c d P P P P F 33.836001.23860,13 600 33.83600 + =     + = cs sbPF 054.0= cPb 5.2= ( )( ) 22 18905.2000,14054.0 ccs PPF == ds FF = ( ) c c c P P P 33.836001.23 1890 2 + = inPc 117.2= use inPc 2= ( ) in NP D pc p 73.12 220 === ππ
  • 51.
    SECTION 11 –SPUR GEARS Page 51 of 57 ( )( ) inDmD pwg 83.3173.125.2 === ( ) inPb c 525.25.2 === ( ) ( ) inDDC gp 28.2283.3173.12 2 1 2 1 =+=+= Summary: inPc 2= inDp 73.12= inDg 83.31= inb 5= inC 28.22= 661. A manufacturer’s catalog specifies that a pair of gray cast-iron spur gears with cast teeth will transmit 7.01 hp at a pitch-line speed of 100 fpm; 20=pN , inPc 5.1= ., inb 4= . Compute the stress and specify the grade of cast iron that should be used. Solution: fpmvm 100= ( ) lb v hp F m t 3.2313 100 01.7000,33000,33 === ( ) lbF v F t m d 26993.2313 600 100600 600 600 = + = + = cs sbPF 054.0= ds FF = ( )( ) 26995.14054.0 =s psis 8330= uss 4.0≈ us4.08330 ≈ ksipsisu 21825,20 == use Cast Iron, ASTM 25, ksisu 25= ARMS AND RIMS 662. A 24-in. cast-iron gear transmits 30 hp at 240 rpm; 14 1/2o F.D. teeth, 4=dP , inb 5.2= . The gear is on a 2 ¼ -in. shaft. Determine (a) the hub diameter, rim thickness, and bead, (b) the dimensions of the arms at the hub and at the pitch circle for an elliptical-shaped section, (c) the arm dimensions for a cross shape.
  • 52.
    SECTION 11 –SPUR GEARS Page 52 of 57 Solution: (a) Hub diameter = inDs 2 1 4 4 1 222 =      = , for cast iron Rim thickness = ininPc 16 7 44.0 4 56.056.0 ≈=      = π Bead = ininPc 16 7 44.0 4 56.056.0 ≈=      = π (b) Elliptical section use no. of arms = 4=aN , ininD 12024 <= aN FL M = in DD L h 75.9 2 2 1 424 2 = − = − = dFF = Z M s = 64 3 h Z π = ( ) ( )2 1 05.0 05.0 tm tm td FCbv FCbv FF ++ + += ( )( ) fpm nD v pp m 1506 12 24024 12 === ππ assume 800=C , 14 1/2o F.D. ( ) lb v hp F m t 660 1506 30000,33000,33 === ( ) ( )[ ] ( ) ( )[ ] lbFd 2238 6605.21800150605.0 6605.2800150605.0 660 2 1 = ++ + += aa Nh FL ZN FL Z M s 3 64 π === use psis 8000=
  • 53.
    SECTION 11 –SPUR GEARS Page 53 of 57 ( )( ) ( )4 75.9223864 8000 3 hπ = inh 4.2= At the hub inh 4.2= in h h 2.1 2 1 == At the pitch circle in h h 2.1 2 ==′ in h h 2.1 2 1 == (c) Cross shape 2 6 h Z G = GG 75.01 = inh 4.2= 64 3 h Z π = , §13.32 ( ) 3 3 6786.0 64 4.2 inZ == π At the hub ( ) ( ) inG 71.0 4.2 6786.06 2 == ( ) inG 53.071.075.01 == inh 4.2= At the pitch circle, in h h 2.1 2 ==′ inG 71.0= inG 53.01 =
  • 54.
    SECTION 11 –SPUR GEARS Page 54 of 57 INTERNAL GEARS 664. A 20-tooth pinion, with 20o F.D. teeth , drives a 75-tooth internal gear ( 8=dP , inb 5.1= , rpmnp 1150= ; material, cast iron, class 20). What horsepower may be transmitted continuously (a) if the teeth are commercially hobbed (AGMA equation, §13.15), (b) if they are precision cut? There are minor irregularities in the loading. Solution: (a) Commecially hobbed t m d F v F 50 50 2 1 + = gpw bQKDF = ( ) 727.2 2075 7522 = − = − = pg g NN N Q From AT 26, 112=gK in P N D d p p 5.2 8 20 === ( )( )( )( ) lbFw 1145112727.25.15.2 == For strength: df s PK sbY F = 20=pN , 320.0=Y at the tip Let 3.1=fK , psis 8000= ( )( )( ) ( )( ) lbFs 369 83.1 320.05.18000 == ( )( ) fpm nD v pp m 753 12 11505.2 12 === ππ ds FF = ( ) td FF 50 75350 369 2 1 + == lbFt 238= ( )( ) hp vF hp mt 43.5 000,33 753238 000,33 === (b) Precision cut
  • 55.
    SECTION 11 –SPUR GEARS Page 55 of 57 t m d F v F 78 78 2 1 + = ( ) td FF 78 75378 369 2 1 + == lbFt 273= ( )( ) hp vF hp mt 23.6 000,33 753273 000,33 === 666. A planetary gear train is composed of four gears – the sun gear B , two planet gears C , as shown. Gears B and C have 20 teeth each, gear D has 60; 10=dP , inb −= 4 1 1 ., 20o F.D. teeth, cast iron, class 20, rpmnB 1750= . (a) Determine the speed of the arm. (b) What horsepower may be transmitted continuously? Note that the dynamic load (AGMA equation , §13.15) depends on the speed of tooth engagement, which is not the absolute pitch line speed of B (pitch-line speed relative to arm for CB − ). Check the speed of tooth engagement of both CB − and DC − . (c) If the designer wishes to increase the power transmitted by using three planet gears, instead of two, what changes must be made in tooth numbers so that the gears can be assembled with the planets 120o apart? Solution: ( )enenn aFL −+= 1 ( )( ) ( )( ) 3 1 6020 2020 −= − =e rpmnn BF 1750== (assumed) DL nn == 0 ( )       ++−= 3 1 11750 3 1 0 an rpmna 5.437= (a) Speed pf arm = 437.5 rpm (b) For BC ( ) ( ) fpm nn D N nD v AB p p ABp m 687 12 5.4371750 10 20 1212 = −      = −         == ππ π
  • 56.
    SECTION 11 –SPUR GEARS Page 56 of 57 For BC ( ) ( ) fpm nn D N nD v AD p g ADg m 687 12 5.4370 10 60 1212 = −      − = −         − = − = ππ π fpmfpmvm 1000687 <= Use commercial teeth t m d F v F 600 600 + = For cast-iron, continuous service dsfs FNF ≥ For cast iron, assume 1=sfN df s PK sbY F = Let 2.1=fK ( ) psiksiss u 80008204.04.0 ==== For 20=N , 32.0=Y , load at tip, 20o F.D. ( ) ( ) ( )( ) lbFs 267 102.1 32.0 4 1 18000 =       = ds FF = tF 600 687600 267 + = lbFt 124= ( )( ) hp vF hp mt 6.2 000,33 687124 000,33 === (c) For each planet gear, ( ) hphp 495.115.1 2 6.2 =      = For 3 planet gears ( ) hphp 9.33 15.1 495.1 =      = t m df s F v PK sbY F 600 600 + ==
  • 57.
    SECTION 11 –SPUR GEARS Page 57 of 57 ( ) lbFt 187 687 9.3000,33 == assume 3.0=Y ( ) ( ) ( )( ) ( )187 600 687600 2.1 30.0 4 1 18000 + =       = d s P F 65.6=dP use 7=dP - end - ( )( ) teethDPN d 1472 ===