ΧΡΗΣΙΜΑ ΘΕΩΡΗΜΑΤΑ
ΣΤΙΣ ΠΑΡΑΓΩΓΟΥΣ
Νίκος Ιωσηφίδης
Μαθηματικός - Φροντιστής, ΒΕΡΟΙΑ
e-mail: iossifid@yahoo.gr
Ορισμός
Το σύμβολο { ως άκρο ενός διαστήματος θα παριστάνει το σύμβολο ( ή το [.
Αντίστοιχα, το σύμβολο } θα παριστάνει ) ή ].
 αν Δ = [α , β] ή (α , β) ή [α , β) ή (α , β] τότε Δ0 = (α , β)
 αν Δ = (- , α] ή Δ = (- , α) τότε Δ0 = (- , α)
 αν Δ = [α , +  ) ή Δ = (α , +  ) τότε Δ0 = (α , +  )
 αν Δ = (- , +  ) =  τότε Δ0 = 
Πεδίο ορισμού της f .
Παραγώγιση σύνθετης συνάρτησης
Το πεδίο ορισμού της f  δεν μπορεί να βρεθεί από τον τύπο της
Αντίστοιχα με τη σύνθεση δύο συναρτήσεων, για να ορίζεται η
f  δεν αρκεί ο τύπος της να ορίζεται.
Για να ανήκει ένα σημείο x0 στο πεδίο ορισμού της f  πρέπει
α) Να ορίζεται η f στο x0
β) Να υπάρχει το
0
0
x x
0
f(x) f(x )
lim
x x


και να είναι πραγματικός αριθμός.
Για τη συνάρτηση f : A   με Α = (1 , 5)  {6} με f (x) = x2
είναι f (x) = 2x για
κάθε x  (1 , 5) , ενώ δεν ορίζεται το f (6) αφού η f δεν ορίζεται σε διάστημα της
μορφής (α , 6] ή [6 , α)
Έτσι πεδίο ορισμού της f  είναι το (1 , 5)
Η συνάρτηση f (x) = lnx έχει πεδίο ορισμού το Α = (0 , ) και ισχύει
f (x) =
1
x
για κάθε xA. Ο τύπος
1
x
ορίζεται και για x < 0, όμως οι τιμές αυτές δεν
ανήκουν στο πεδίο ορισμού της f .
Το πεδίο ορισμού της f  είναι το Α = (0 , )
Οι περισσότερες γνωστές συναρτήσεις είναι παραγωγίσιμες στα πεδία ορισμού
τους.
f (x) = |x| , x  δεν είναι παραγωγίσιμη στο 0.
f : [0 , )   με f (x) = x
Είναι παραγωγίσιμη στο Α = (0 , ), δεν είναι όμως παραγωγίσιμη στο 0.
Πράγματι,
x 0
f (x) f (0)
lim
x 0


=
x 0
x
lim
x

=
x 0
1
lim
x

= 
Πεδίο ορισμού της f (x) = xα
Αν αΖ
αν α  Ν*
τότε: Α = 
π.χ η f (x) = x3
ορίζεται για κάθε x 
αν α  0 τότε: Α = *
π.χ η f (x) = x-3
= 3
1
x
ορίζεται για κάθε x  *
Αν αΖ
αν α > 0 τότε Α = [0 , )
π.χ η f (x) =
5
3
x = 3 5
x ορίζεται για κάθε x ≥ 0
αν α < 0 τότε Α = (0 , )
π.χ η f (x) =
5
3
x

=
3 5
1
x
ορίζεται για κάθε x > 0
Σε όλες τις περιπτώσεις η f (x) = xα
είναι παραγωγίσιμη στο πεδίο ορισμού της Α,
εκτός από την περίπτωση 0 < α < 1 οπότε Α = [0 , ). Στην περίπτωση αυτή η f
είναι παραγωγίσιμη στο Α = (0 ,), αλλά δεν είναι παραγωγίσιμη στο 0.
Πράγματι, στην περίπτωση αυτή είναι:
x 0
f (x) f (0)
lim
x 0


=
α
x 0
x
lim
x

= 1 α
x 0
1
lim
x 

= 
Ειδική περίπτωση είναι η f (x) = x και γενικότερα η
f (x) = ν
x , ν  2
ΓΕΝΙΚΕΥΣΗ
Αν η f : A   είναι παραγωγίσιμη στο x0 και η g : B   είναι παραγωγίσιμη στο f
(x0), τότε η σύνθεση g f είναι παραγωγίσιμη στο x0 με 0 0 0(g f) (x ) g (f(x )) f (x )   
Η σύνθεση g o f μπορεί να είναι παραγωγίσιμη στο x0 και αν ακόμη δεν ισχύει
καμία από τις παραπάνω προϋποθέσεις. Μπορεί φυσικά και να μην είναι.
Παράδειγμα 1ο
Η f δεν είναι παραγωγίσιμη στο x0 , η g είναι παραγωγίσιμη στο 0f(x ) και η
σύνθεση g o f είναι παραγωγίσιμη στο x0
Η f (x) = x έχει πεδίο ορισμού το Α = [0, ) και δεν είναι παραγωγίσιμη στο 0.
Η g (x) = x2
έχει πεδίο ορισμού το Β =  και είναι παραγωγίσιμη στο , άρα και στο
f (0) = 0.
Η σύνθετη συνάρτηση g o f έχει πεδίο ορισμού το Γ = [0 , ) και είναι
(g o f)(x) =  
2
x = x για κάθε x Γ
Η g o f είναι παραγωγίσιμη σε ολόκληρο το Γ, άρα είναι παραγωγίσιμη και στο 0.
Παράδειγμα 2ο
Η f δεν είναι παραγωγίσιμη στο x0 , η g δεν είναι παραγωγίσιμη στο f (x0) και η
σύνθεση g o f είναι παραγωγίσιμη στο x0
Η συνάρτηση f (x) = |x| έχει πεδίο ορισμού το Α =  και
δεν είναι παραγωγίσιμη στο 0.
Η συνάρτηση 2
2x , αν x 0
g(x)
x 1 , αν x 0

 
 
έχει πεδίο ορισμού το  και
δεν είναι παραγωγίσιμη στο f (0) = 0, αφού δεν είναι συνεχής στο 0.
Η σύνθεσή τους g o f έχει πεδίο ορισμού το Γ =  και τύπο:
2
o(g f )(x) x 1  = x2
+ 1 για κάθε x, επομένως
είναι παραγωγίσιμη στο  , άρα και στο 0.
Παράδειγμα 3ο
Η f είναι παραγωγίσιμη στο x0, η g δεν είναι παραγωγίσιμη στο f (x0) και η
σύνθεση g o f δεν είναι παραγωγίσιμη στο x0
Η συνάρτηση h (x) = 23
(x 1) =
1
2 3
[(x 1) ]
Είναι σύνθεση των συναρτήσεων f (x) = (x-1)2
και 3
g(x) x , δηλαδή
h (x) = g (f (x)) για κάθε x.
Η f παραγωγίζεται στο , άρα και στο 1, η g όμως δεν παραγωγίζεται στο f (1) = 0.
Για τη σύνθεση h (x) = g (f (x)) = 23
(x 1) δεν προκύπτει άμεσα συμπέρασμα για την
παραγωγισιμότητά της στο 1.
Το αν η h είναι ή όχι παραγωγίσιμη στο 1 πρέπει να εξεταστεί με τη βοήθεια του
ορισμού.
Είναι:
x 1
h(x) h(1)
lim
x 1



=
23
x 1
(x 1)
lim
x 1



= 3x 1
1
lim
x 1
 
= ,
επομένως η h δεν είναι παραγωγίσιμη στο 1.
Παράδειγμα 4ο
Η f είναι παραγωγίσιμη στο x0, η g δεν είναι παραγωγίσιμη στο f (x0) και η
σύνθεση g o f είναι παραγωγίσιμη στο x0
Αντίθετα με το 3ο
παράδειγμα, η συνάρτηση
h (x) = 43
(x 1) είναι πάλι σύνθεση των
f :   με f (x) = (x-1)4
και
g : [0 , )  με g (x) = 3
x δηλ. h (x) = g (f (x))
Η f είναι παραγωγίσιμη στο 1. Η g δεν είναι παραγωγίσιμη στο f (1) = 0
Η h είναι παραγωγίσιμη στο 0x 1= αφού:
x 1
h(x) h(1)
lim
x 1



=
43
x 1
(x 1)
lim
x 1



= 3
x 1
lim x 1

 = 0
x 1
h(x) h(1)
lim
x 1



=
43
x 1
(x 1)
lim
x 1



=
43
x 1
x 1
lim
x 1


 
= 3
x 1
lim( x 1 )

  = 0
Άρα
x 1
h(x) h(1)
lim
x 1


= 0 και η h είναι παραγωγίσιμη στο 1 με h (1) = 0
ΠΡΟΣΟΧΗ
Δεν μπορούμε να γράψουμε h (1) = g (f (1))f (1) αφού δεν υπάρχει το g (f (1)) = g (0)
Παραγώγιση αθροίσματος, διαφοράς κ.λ.π δύο συναρτήσεων
Aν οι συναρτήσεις f και g είναι παραγωγίσιμες στο x0, τότε και οι συναρτήσεις
f + g , f – g , f . g ,
f
g
(με τις γνωστές προϋποθέσεις) είναι παραγωγίσιμες στο x0 με
(f + g) (x0 ) = f ( x0) + g ( x0 )
(f + g) (x0 ) = f ( x0) + g ( x0 )
(f . g) (x0 ) = f ( x0) g ( x0 ) + f ( x0) g ( x0 )
0 0 0 0
0 2
0
f (x )g(x ) f (x )g (x )f
(x )
g (g(x ))
    
 
 
Αντιπαράδειγμα:
Η συνάρτηση f (x) = x2
, x(- , 1]  [2 , + ) είναι παραγωγίσιμη στο 1 με f (1) = 2
Η συνάρτηση g (x) = 3x , x[1, + ) είναι επίσης παραγωγίσιμη στο 1
με g (1) =3
Όμως η συνάρτηση f + g ορίζεται στο [2 , + )  {1} και δεν έχει νόημα η παραγωγός
της στο 1.
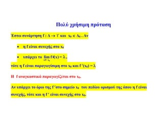
Πολύ χρήσιμη πρόταση
Έστω συνάρτηση f : Δ   και x0  Δ0 . Αν
 η f είναι συνεχής στο x0
 υπάρχει το
0x x
lim f (x)
®
¢ =  ,
τότε η f είναι παραγωγίσιμη στο x0 και f (x0) = 
Η f αναγκαστικά παραγωγίζεται στο x0.
Αν υπάρχει το όριο της f στο σημείο x0 του πεδίου ορισμού της όπου η f είναι
συνεχής, τότε και η f  είναι συνεχής στο x0.
Η μόνη περίπτωση ασυνέχειας της f  στο x0 είναι να μην υπάρχει το όριο της f 
στο x0
Απόδειξη
Για το
0
0
x x
0
f (x) f (x )
lim
x x®
-
-
εφαρμόζουμε τον κανόνα του Hospital (ισχύουν οι κατάλληλες
προϋποθέσεις).
Άρα
0
0
x x
0
f (x) f (x )
lim
x x®
-
-
=
0
0
x x
0
(f(x) f(x ))
lim
(x x )®
¢-
¢-
=
0x x
lim f (x)
¬
¢ ή
f (x0) =
0x x
lim f (x)
¬
¢ και η πρόταση αποδείχτηκε.
Παράδειγμα
Δίνεται η συνάρτηση
3
2
2x 1 αν x 1
f(x)
3x αν x 1
  
 

Να βρεθεί η παράγωγος της f στο 1
Λύση
Η f είναι συνεχής στο 1 και παραγωγίσιμη στο  – {1} με
2
6x αν x 1
f (x)
6x αν x 1
 
  

Επειδή
x 1 x 1
lim f(x) lim f(x) 
 
 = 6, η f είναι παραγωγίσιμη στο 1 με f (1) = 6
Παρατήρηση
Αν δεν υπάρχει το
0x x
lim f (x)

 αυτό δε σημαίνει ότι η f δεν είναι παραγωγίσιμη στο x0
2 1
x ημ αν x 0
f(x) x
0 αν x 0
ìïï ¹ï= í
ïï =ïî
λ (x) =
f(x) f(0)
x 0
-
-
= xημ
1
x
Όμως
1
xημ
x
=
1
x ημ
x
 x  - x 
1
xημ
x
 x (1)
Και επειδή
x 0
lim( x )
®
- =
x 0
lim x
®
=0, από την (1) προκύπτει ότι
x 0
1
lim(xημ )
x®
=0, άρα η f
είναι παραγωγίσιμη στο 0 με f (0)=0
Για x  0 είναι: f (x) = (x2
)ημ
1
x
+ x2
(ημ
1
x
) = 2xημ
1
x
+ x2
συν
1
x 2
1
( )
x
×- =
2xημ
1
x
- συν
1
x
Άρα η f  ορίζεται στο  με f (x)=
1 1
2xημ συν αν x 0
x x
0 αν x 0
ìïï - ¹ï
í
ïï =ïî
Πρόταση
Αν για τη συνάρτηση f ισχύει f (x) > 0 για κάθε x  (α , x0) και f (x) < 0 για κάθε x
 (x0 , β) ή αντίστροφα και η f είναι παραγωγίσιμη στο x0, τότε f (x0) = 0
Απόδειξη
Έστω f (x) > 0 στο (α , x0) και f (x) < 0 στο (x0 , β)
Επειδή f (x) > 0 στο (α , x0) και η f είναι συνεχής στο x0, η f είναι γν. αύξουσα στο
(α , x0].
Για τον ίδιο λόγο η f είναι γν. φθίνουσα στο [x0 , β). Επομένως η f στο σημείο x0
παρουσιάζει τοπικό μέγιστο. Σύμφωνα λοιπόν με το θεώρημα του Fermat θα είναι
f (x0) = 0
ΠΡΟΣΟΧΗ
Η παραγωγισιμότητα της f στο x0 δεν προκύπτει από τις υπόλοιπες συνθήκες.
Πρέπει να είναι δεδομένη για να ισχύει f (x0) = 0
Για τη συνάρτηση
2
3
2x x , αν x 1
f(x)
x 3x 1 , αν x 1
  
 
   
ισχύει: 2
2 2x , αν x 1
f (x)
3x 3, αν x 1
 
  
  
Άρα f (x) > 0 αν x  (0 , 1) και f (x) < 0 αν x  (1 , 2)
Όμως η f δεν είναι παραγωγίσιμη στο 1, αφού δεν είναι συνεχής σ’ αυτό.
Επίσης η συνέχεια της f δεν αρκεί για να είναι η f παραγωγίσιμη στο x0 όπως
προκύπτει από το επόμενο αντιπαράδειγμα.
2
2
2x x , αν x 1
f(x)
x x 1 , αν x 1
  
 
   
Εδώ πάλι είναι:
2 2x , αν x 1
f (x)
2x 1, αν x 1
 
  
  
Είναι πάλι f (x) > 0 αν x  (0 , 1) και f (x) < 0 αν x  (1 , 2), όμως η f δεν είναι
παραγωγίσιμη στο 1 όπως εύκολα μπορεί να αποδειχθεί με τη βοήθεια του ορισμού.
Θεώρημα Rolle σε ανοιχτό διάστημα:
Αν η συνάρτηση f είναι:
 συνεχής στο [α , β]
 παραγωγίσιμη στο (α , β)
 f (α) = f (β)
τότε υπάρχει σημείο ξ  (α , β) με f (ξ) = 0
Πρόταση
Αν η συνάρτηση f είναι παραγωγίσιμη στο (α , β) και
x α x β
lim f(x) lim f(x) 
 
 , τότε
υπάρχει ξ  (α , β) με f (ξ) = 0
Απόδειξη
Έστω
x α x β
lim f(x) lim f(x) 
 
 
Θεωρούμε τη συνάρτηση:
f(x) , αν x (α, β)
g(x)
, αν x α ή x β

 
 
Η g είναι συνεχής στο (α , β) αφού στο διάστημα αυτό ταυτίζεται με την f. Επίσης
x α x α
lim g(x) lim f(x) g(α) 
 
   και
x β x β
lim g(x) lim f(x) g(β) 
 
   δηλαδή η g είναι
συνεχής και στα α και β, άρα η g είναι συνεχής στο [α , β].
Η g είναι παραγωγίσιμη στο (α , β) με g (x) = f (x).
Επίσης g (α) = g (β) ( = )
Για τη συνάρτηση g ισχύουν λοιπόν όλες οι προϋποθέσεις του θ. του Rolle, άρα υπάρχει
σημείο ξ  (α , β) με g (ξ) = 0 άρα και
f (ξ) = 0 και η πρόταση αποδείχτηκε.
Θεώρημα Μέσης Τιμής Διαφορικού Λογισμού (Θ.Μ.Τ) σε
ανοιχτό διάστημα
Πρόταση
Αν η συνάρτηση f είναι παραγωγίσιμη στο (α , β) , υπάρχει ξ  (α , β) με
x β x α
lim f(x) lim f(x)
f (ξ)
β α
 
 

 

Απόδειξη
Η απόδειξη γίνεται με τον ίδιο τρόπο που αποδείξαμε το θ. του Rolle για ανοιχτό
διάστημα αρκεί να θεωρήσουμε εδώ τη συνάρτηση:
x α
x β
f(x), αν x (α,β)
g(x) lim f(x), αν x α
lim f(x), αν x β




 


 



Σταθερή συνάρτηση
Είναι γνωστή η εξής πρόταση:
Η παράγωγος σταθερής συνάρτησης είναι ίση με 0.
Η πρόταση ισχύει μόνο για ανοιχτό διάστημα.
Η ακριβής διατύπωση της πρότασης είναι :
Αν η συνάρτηση f είναι σταθερή στο ανοιχτό διάστημα Δ τότε f (x) = 0 για κάθε
x  Δ.
Στο διπλανό σχήμα, η συνάρτηση f είναι
σταθερή στο [α , β], αλλά η παράγωγός της στα
σημεία α και β δεν υπάρχει.
Πρόταση
Έστω συνάρτηση f συνεχής στο διάστημα Δ και Α πεπερασμένο υποσύνολο του Δ0.
Αν f (x) = 0 για κάθε x  Δ0 - Α, τότε η f είναι σταθερή στο Δ.
Η πρόταση αυτή είναι ιδιαίτερα χρήσιμη σε συναρτήσεις που η παραγώγισή τους σε
κάποιο σημείο χρειάζεται ξεχωριστή μελέτη.
Σύμφωνα με την πρόταση αυτή, ΔΕΝ ΑΠΑΙΤΕΙΤΑΙ ο έλεγχος της
παραγωγισιμότητας στο σημείο αυτό.
Πρόταση
Αν για τις συναρτήσεις f και g που είναι συνεχείς στο διάστημα Δ ισχύει
f (x) = g (x) για κάθε x  Δ0 και υπάρχει x0  Δ με
f (x0) = g (x0), τότε ισχύει
f (x) = g (x) για κάθε x  Δ
Απόδειξη
Επειδή οι f και g είναι συνεχείς στο Δ και f (x) = g (x) για κάθε x  Δ0 προκύπτει
f (x) = g (x) + c για κάθε x  Δ
Για x = x0 : f (x0) = g (x0) + c και επειδή f (x0) = g (x0)  c = 0,
άρα f (x) = g (x) για κάθε x  Δ
Παράδειγμα
Βρείτε συνεχή συνάρτηση f :  που ικανοποιεί τη σχέση:
x
2
f(t)dt f(x) 1= +ò (1) για κάθε x  
Λύση
Παραγωγίζουμε την (1): f (x) = f (x) (2)
Σύμφωνα με εφαρμογή του σχολικού βιβλίου θα είναι:
x
f(x) ce= (3)
Επειδή οι σχέσεις (1) και (2) δεν είναι ισοδύναμες, δεν είναι σίγουρο ότι όλες οι λύσεις
(3) επαληθεύουν την (1), αλλά αν υπάρχει λύση της (1), τότε σίγουρα αυτή θα
περιέχεται στις λύσεις (3).
Για x = 2 η (1) γίνεται: 0 = f (2) +1  f (2) = -1
Η (3) για x = 2 δίνει: f (2) = ce2
 -1 = c e2
 c = -e-2
Επομένως η (3) δίνει: x 2
f(x) e -
= -
Αν θέσουμε g (x) =
x
2
f (t)dt και h (x) = f (x) +1, σύμφωνα με την παραπάνω λύση, η
συνάρτηση x 2
f(x) e -
= - ικανοποιεί τη σχέση g (x) = h (x) και επειδή g (2) = h (2) θα
ικανοποιεί και την g (x) = h (x) για κάθε x  , επομένως είναι η μοναδική λύση της
(1).
Μονοτονία
Πρόταση
Αν η συνάρτηση f είναι
 συνεχής στο διάστημα Δ
 f (x) > 0 (αντ. f (x) < 0 ) για κάθε x  Δ0,
τότε η f είναι γν. αύξουσα (αντ. γν. φθίνουσα)στο Δ
Παρατηρήσεις
α) Από το ότι η f είναι παραγωγίσιμη στο Δ0 προκύπτει ότι η f είναι συνεχής στο Δ0.
Επομένως το ότι η f είναι συνεχής στο Δ το μόνο που προσθέτει είναι ότι η f είναι
συνεχής (πλευρικά) στα άκρα του διαστήματος, αν φυσικά το διάστημα Δ είναι κλειστό
ή ημιανοιχτό.
Στην περίπτωση που το Δ είναι ανοιχτό διάστημα, η πρώτη συνθήκη περιττεύει.
Δηλαδή η f θα είναι υποχρεωτικά συνεχής στο Δ
β) Το αντίστροφο του θεωρήματος δεν ισχύει. Αν δηλαδή η f είναι συνεχής στο Δ,
παραγωγίσιμη στο Δ0 και γνησίως αύξουσα στο Δ, τότε δεν ισχύει υποχρεωτικά
f (x) > 0 για κάθε x Δ0, αλλά μπορεί να είναι και f (x) = 0 για κάποια x  Δ
γ) Το θεώρημα γενικεύεται ως εξής:
Αν η f είναι συνεχής στο διάστημα Δ και f (x)  0 (αντ. f (x)  0) για κάθε x Δ0 ,
και ο μηδενισμός της f  γίνεται σε πεπερασμένο αριθμό σημείων, τότε η f είναι γν.
αύξουσα (αντ. γν. φθίνουσα) στο Δ.
Αρκεί να αποδείξουμε την πρόταση για ένα σημείο μηδενισμού της f , δηλαδή να
αποδείξουμε ότι αν η f είναι παραγωγίσιμη στο (α , β) με f (x) > 0 για κάθε
x {α , x0) (x0 , β} , ενώ f (x0) = 0, τότε η f είναι γν. αύξουσα στο {α , β}
Πράγματι, στο {α , x0] η f είναι συνεχής f (x) > 0 για κάθε x(α , x0), άρα η f είναι γν.
αύξουσα στο {α , x0].
Για τον ίδιο λόγο η f είναι γν. αύξουσα στο [x0 , β}.
Επομένως η f είναι γν. αύξουσα και στην ένωση {α , x0] [x0 , β}, δηλαδή στο {α , β}
δ) Η ίδια απόδειξη ισχύει και στην περίπτωση που η f  δεν υπάρχει στο x0 ή σε
πεπερασμένο πλήθος σημείων, δηλαδή ισχύει η εξής γενικότερη
Πρόταση
Έστω συνάρτηση f συνεχής στο διάστημα Δ. Ονομάζουμε Α το σύνολο των
σημείων στα οποία η f  μηδενίζεται ή δεν υπάρχει.
Αν f (x) > 0 για κάθε x  Δ0 -Α και το Α είναι πεπερασμένο σύνολο, τότε η f είναι
γν. αύξουσα στο Δ.
Η πρόταση μπορεί να επεκταθεί ακόμη περισσότερο ως εξής:
Έστω συνάρτηση f συνεχής στο διάστημα Δ. Ονομάζουμε Α το σύνολο των
σημείων στα οποία η f  μηδενίζεται.
Αν f (x) > 0 (αντ. f (x) < 0) για κάθε x  Δ0 - Α και κανένα υποσύνολο του Α δεν
αποτελεί διάστημα, τότε η f είναι γν. αύξουσα (αντ. γν. φθίνουσα) στο Δ.
Παράδειγμα 1ο
Να μελετηθεί ως προς τη μονοτονία η συνάρτηση
f : * με f (x) =
1
x
Λύση
Η f ορίζεται στο σύνολο *
= (- , 0)  (0 , + ) που δεν είναι διάστημα.
Για κάθε x*
είναι f (x) = - 2
1
x
< 0. Επομένως η f είναι γν. φθίνουσα σε καθένα
ξεχωριστά από τα διαστήματα (- , 0) και (0 , + ).
Σύμφωνα με το σχολικό βιβλίο δεν μπορούμε να μιλάμε για μονοτονία στο *
που δεν
είναι διάστημα. Αν όμως θέλουμε να επεκτείνουμε τον ορισμό της μονοτονίας σε
οποιοδήποτε σύνολο, η f δεν είναι γν. φθίνουσα στο *
, αφού για x1 = -1 και x2 = 1,
δηλαδή x1 < x2 ισχύει f (x1) < f (x2)
Παράδειγμα 2ο
Να μελετηθεί ως προς τη μονοτονία η συνάρτηση f με
2
x 2x αν x 2
f(x)
3x 6 αν x 2
  
 
 
Λύση
Η f είναι συνεχής στο  (αποδεικνύεται εύκολα) και παραγωγίσιμη στο  – {2} με
2x 2 αν x 2
f (x)
3 αν x 2
 
  

Η f  μηδενίζεται στο 1. Κατασκευάζουμε τον παρακάτω πίνακα μεταβολών της f
Από τον πίνακα προκύπτει ότι η f είναι γν. φθίνουσα στο διάστημα (-∞ , 1] και γν.
αύξουσα στα διαστήματα [1 , 2] και [2 , +∞) (και τα δύο διαστήματα είναι κλειστά στο
2), επομένως η f είναι γν. αύξουσα και στην ένωση [1 , 2]  [2 , +∞) = [1 , +∞ ).
Παράδειγμα 3ο
Να μελετηθεί ως προς τη μονοτονία η συνάρτηση f με
4
3
x αν x 0
f(x)
x x αν x 0
 
 
  
Λύση
Η f είναι συνεχής στο  και παραγωγίσιμη στο * με
3
2
4x αν x 0
f (x)
3x 1 αν x 0
 
  
  
(για το σημείο 0 όπου η f είναι συνεχής, δε μας ενδιαφέρει η παραγωγισιμότητα)
Είναι f (x) < 0 για κάθε x(- , 0)  (0 , + ). Επομένως η f είναι γν. φθίνουσα σ’
ολόκληρο το .
Παράδειγμα 4ο
Να μελετηθεί η μονοτονία της συνάρτησης f :   με
2
x
f(x) xσυνx ημx
2
  
Λύση
Η f είναι συνεχής στο .
Εδώ είναι: f (x) = x(1 + ημx)
Επειδή 1 + ημx0 για κάθε x, θα είναι f (x) 0 για κάθε x < 0 και
f (x)  0 για κάθε x > 0.
Στο παράδειγμα αυτό η f  μηδενίζεται σε άπειρα σημεία. Όμως κανένα υποσύνολο των
σημείων μηδενισμού της f  δεν αποτελεί διάστημα. Ο μηδενισμός της f  στα σημεία
αυτά δεν επηρεάζει τη μονοτονία της δηλαδή η f είναι γν. φθίνουσα στο (- , 0] και γν.
αύξουσα στο [0 , + )
Πολλαπλότητα ριζών πολυωνυμικής εξίσωσης.
Μοναδικότητα ρίζας
Η συνήθης λύση είναι να αποδεικνύουμε με το θ. Bolzano την ύπαρξη μιας ρίζας σε ένα
διάστημα Δ και μετά τη μοναδικότητά της με το θ. του Rolle ή τη μονοτονία της.
Όταν όμως στο διάστημα αυτό υπάρχει διπλή ή γενικότερα πολλαπλή ρίζα, και οι
δύο μέθοδοι ΔΕΝ είναι σωστές.
Και αυτό επειδή στο θ. του Rolle θεωρούμε ότι υπάρχουν δύο άνισες ρίζες
α < β και εφαρμόζουμε το θεώρημα στο διάστημα [α , β].
Στην απόδειξη με τη μονοτονία αποδεικνύουμε ότι η συνάρτηση είναι γν. μονότονη στο
διάστημα Δ, κάτι που δεν εξασφαλίζει ότι μπορεί να υπάρχει πολλαπλή ρίζα στο Δ.
Ορισμός
Λέμε ότι ο αριθμός ρ είναι ρίζα του πολυωνύμου f (x) (ή ισοδύναμα της
πολυωνυμικής εξίσωσης f (x) = 0), βαθμού πολλαπλότητας κ (κ  *
) αν
(x – ρ)κ
f (x) και ( ) 
κ 1
x ρ
+
- f(x)
Ισοδύναμα: f (x) = (x – ρ)κ
π (x) , με π (ρ)  0.
Χρειάζεται τώρα προσοχή στο εξής:
Αν μία συνάρτηση f είναι γν. αύξουσα (αντ. γν. φθίνουσα) στο διάστημα Δ αυτό
ΔΕΝ αρκεί για να έχει η f μοναδική ρίζα στο Δ.
Ισχύει όμως η εξής πρόταση που εξασφαλίζει το ότι η f δεν μπορεί να έχει πολλαπλή
ρίζα στο Δ.
Πρόταση
Αν για την πολυωνυμική συνάρτηση f ισχύει:
f (x)  0 στο διάστημα Δ , τότε η f δεν μπορεί να έχει στο Δ πολλαπλή ρίζα
Πράγματι, αν ρ ρίζα της f (x) = 0, βαθμού πολλαπλότητας  2, θα είναι:
f (x) = (x – ρ)2
π (x)  f (x) =2(x – ρ)π (x) + (x – ρ)2
π (x), άρα f (ρ) = 0, άτοπο.
Ισχύει γενικότερα η εξής πρόταση που εξασφαλίζει τον βαθμό πολλαπλότητας μιας
ρίζας.
Πρόταση
Αν ρ είναι ρίζα του πολυωνύμου f (x) βαθμού πολλαπλότητας κ, τότε
f (ρ) = f (ρ) = f (ρ) = … = f (κ-1)
(ρ) = 0 , ενώ f (κ)
(ρ)  0
Αντίστροφα:
Αν f (ρ) = f (ρ) = f (ρ) = … = f (κ-1)
(ρ) = 0, ενώ f (κ)
(ρ)  0,
τότε ο αριθμός ρ είναι ρίζα του πολυωνύμου f (x) βαθμού πολλαπλότητας κ.
Ακρότατα συνάρτησης (ολικά και τοπικά)
ΠΡΟΣΟΧΗ:
Μια συνάρτηση f : [α, β] R δεν παρουσιάζει οπωσδήποτε ακρότατα στα άκρα
του διαστήματος α και β. Ακόμη και αν είναι συνεχής ή παραγωγίσιμη.
Παράδειγμα όπου η f είναι συνεχής και όχι παραγωγίσιμη στο άκρο του πεδίου
ορισμού της και δεν παρουσιάζει στο άκρο αυτό ακρότατο
0 αν x 0
f(x) 1
xημ αν x (0,1]
x


 

με πεδίο ορισμού το κλειστό διάστημα [0 , 1] , είναι συνεχής στο [0 , 1], αφού είναι
συνεχής στο (0 , 1] και
x 0 x 0
1
lim f (x) lim(xημ ) 0
x 
 
  = f (0) , δηλαδή είναι συνεχής και
στο 0 (απόδειξη με το κριτήριο παρεμβολής).
Παράδειγμα όπου η f είναι παραγωγίσιμη στο άκρο διαστήματος του πεδίου
ορισμού της και στο σημείο αυτό δεν παρουσιάζει ακρότατο.
2
0 αν x 0
f(x) 1
x ημ αν x (0,1]
x


 

Πρόταση
Έστω ότι η συνάρτηση f ορίζεται στο {α , β} και x0(α , β). Αν η f είναι αύξουσα
στο {α , x0] και φθίνουσα στο [x0 , β} τότε το f (x0) είναι τοπικό μέγιστο της f .
Εδώ αρκεί η μονοτονία και όχι η γνήσια μονοτονία.
Χρειάζεται προσοχή, τα διαστήματα στο x0 να είναι
κλειστά. Αν η f είναι αύξουσα στο (α , x0] και φθίνουσα
στο (x0 , β), αυτό δεν εξασφαλίζει ότι στο x0 η f
παρουσιάζει τοπικό μέγιστο στο x0 όπως δείχνει το
διπλανό σχήμα.
Η μονοτονία της f εξασφαλίζεται από το πρόσημο της f 
Επισημαίνουμε ότι δεν είναι απαραίτητο η f να είναι παραγωγίσιμη στο x0, αρκεί η
f να είναι συνεχής στο x0, θετική στο (α , x0) και αρνητική στο (x0 , β) οπότε
παρουσιάζει τοπικό μέγιστο στο x0.
Με τη βοήθεια της 1ης
παραγώγου μπορούμε να βρούμε τόσο τοπικά, όσο και ολικά
ακρότατα.
Στον πίνακα 1 , η f παρουσιάζει στο x0 ολικό μέγιστο
Στον πίνακα 2, η f παρουσιάζει στο x0 ολικό ελάχιστο
Για να εξακριβώσουμε αν το f (x1) είναι ή δεν είναι ολικό μέγιστο, πρέπει να δούμε αν
η f μπορεί να πάρει μεγαλύτερες τιμές στο διάστημα Δ1 = (x2 , β} από την τιμή f (x1)
Αν το Δ1 είναι κλειστό στο β, η μεγαλύτερη τιμή που παίρνει η f στο Δ1 είναι η f (β)
 Αν f (x1) > f (β) το f (x1) είναι το ολικό μέγιστο της f στο {α , β}
 Αν f (x1) < f (β) το f (β) είναι το ολικό μέγιστο της f στο {α , β}
 Αν f (x1) = f (β) η f παρουσιάζει ολικό μέγιστο το f (x1) = f (β) και στο x1 και
στο β.
Αν το Δ1 είναι ανοιχτό στο β, τότε η σύγκριση γίνεται μεταξύ f (x1) και
x β
lim f(x)

= 
Αν f (x1) >  το f (x1) είναι το ολικό μέγιστο της f στο {α , β}
Αν f (x1)   δεν υπάρχει ολικό μέγιστο της f στο {α , β}
Αν είναι
x β
lim f(x)

= + , τότε φυσικά η f δεν παρουσιάζει ολικό μέγιστο
Ακρότατα με τη βοήθεια της 2ης
παραγώγου
Πρόταση
Αν η συνάρτηση f είναι δύο φορές παραγωγίσιμη στο διάστημα Δ και x0 είναι μια
ρίζα της 1ης
παραγώγου, δηλαδή f (x0) = 0, τότε
 αν f (x0) > 0, η f για x = x0 παρουσιάζει τοπικό ελάχιστο, ενώ
 αν f (x0) < 0, η f για x = x0 παρουσιάζει τοπικό μέγιστο
 αν f (x0) = 0 δεν προκύπτει συμπέρασμα
Πιο ειδικά ισχύει:
Αν f (x0) = f (x0) = f (3)
(x0) = …= f (ν-1)
(x0) = 0 και
f (ν)
(x0)  0 τότε:
Αν ν = περιττός, τότε η f δεν παρουσιάζει ακρότατο στο x0 , ενώ αν
ν = άρτιος, τότε παρουσιάζει τοπικό ακρότατο στο x0 και μάλιστα
 αν f (ν)
(x0) < 0, η f παρουσιάζει στο x0 τοπικό μέγιστο, ενώ
 αν f (ν)
(x0) > 0 παρουσιάζει στο x0 τοπικό ελάχιστο.
Η πρόταση αυτή λοιπόν δεν μπορεί να χρησιμοποιηθεί για την εύρεση ολικών
ακροτάτων παρά μόνον τοπικών.
Καμπυλότητα
Για τη μονοτονία έχουμε πει ότι ισχύει η εξής
Πρόταση
Αν η συνάρτηση f είναι γν. αύξουσα στα {α , x0] και [x0 , β} τότε η f είναι γν.
αύξουσα και στην ένωση {α , x0] È [x0 , β}={α , β}.
Για την καμπυλότητα δεν ισχύει η αντίστοιχη πρόταση. Δηλαδή:
Αν η f στρέφει τα κοίλα πάνω στα {α , x0] και [x0 , β}, δεν προκύπτει συμπέρασμα
για την καμπυλότητα της f στην ένωση {α , x0] È [x0 , β} = {α , β}
Η συνάρτηση f ορίζεται ως εξής:
2
2
x , αν 1 x 1
f(x)
(x 2) , αν 1 x 3
ìï - £ £ï= í
ï - < £ïî
Η f είναι συνεχής στο πεδίο ορισμού της
Είναι:
2x, αν 1 x 1
f (x)
2(x 2), αν 1 x 3
ì - £ <ïï¢ = í
ï - < £ïî
Η f  είναι γν. αύξουσα στα (-1 , 1) και (1 , 3), άρα η f στρέφει τα κοίλα πάνω σε καθένα
από τα διαστήματα [-1 , 1] και [1 , 3], όμως η f δεν στρέφει τα κοίλα πάνω στην ένωση
[-1 , 1] È [1 , 3] = [-1 , 3], αφού η f  δεν είναι γν. αύξουσα στο (-1 , 3).
Πράγματι , f (
1
2
) = 1 και f (
3
2
) = -1, δηλαδή f (
1
2
) > f (
3
2
)
Πρόταση
Αν η f είναι συνεχής στο Δ = {α , β} , x0  Δ, και f  (x0) = 0 τότε
 αν f  (x) > 0 στο (α , x0)  (x0 , β) τότε η f στρέφει τα κοίλα πάνω στο Δ
 αν f  (x) < 0 στο (α , x0)  (x0 , β) τότε η f στρέφει τα κοίλα κάτω στο Δ
(δηλαδή ο μηδενισμός της f  σε κάποιο εσωτερικό σημείο του Δ δεν επηρεάζει την
καμπυλότητά της)
Πράγματι, επειδή f  συνεχής στο Δ0 (αφού η f  είναι παραγωγίσιμη) και
f  (x) > 0 στο (α , x0) È (x0 , β), η f  είναι γν. αύξουσα στο Δ0, οπότε η f στρέφει τα
κοίλα πάνω στο Δ
Όμοια γίνεται η απόδειξη για τη 2η
περίπτωση
Παρατηρήσεις
α) Από την παραπάνω απόδειξη προκύπτει ότι τα σημεία μηδενισμού της f  μπορούν
να είναι και περισσότερα.
β) Αποδεικνύεται (όπως αποδείξαμε και στη μονοτονία) ότι τα σημεία μηδενισμού της
f  μπορούν ακόμη να είναι και άπειρα, αρκεί κανένα υποσύνολό τους να μην αποτελεί
διάστημα.
γ) Αν η f είναι συνεχής στο Δ, παραγωγίσιμη στο Δ0 και η f  δεν υπάρχει σε
πεπερασμένο πλήθος σημείων του Δ0, στα υπόλοιπα όμως σημεία του Δ0 είναι
f (x) > 0 , η f στρέφει τα κοίλα πάνω στο Δ.
Αντίστοιχα συμπεράσματα ισχύουν και για την περίπτωση που η f στρέφει τα κοίλα
κάτω στο Δ.
Πρόταση:
Αν η f είναι συνεχής στο Δ και x0  Δ0, τότε το x0 δεν μπορεί να είναι συγχρόνως
σημείο τοπικού ακροτάτου και σημείο καμπής.
Απόδειξη
Έστω ότι το σημείο x0 είναι σημείο τοπικού μεγίστου και σημείο καμπής. Τότε, υπάρχει
δ > 0, τέτοιο ώστε f (x) £ f (x0) για κάθε xÎ (x0 – δ , x0 +δ) , f (x0) = 0 και ταυτόχρονα
η f  αλλάζει μονοτονία εκατέρωθεν του x0, π.χ η f  είναι γν. αύξουσα στο (x0 – δ , x0]
και γν. φθίνουσα στο [x0, x0 +δ).
Τότε, για xÎ (x0 – δ , x0) θα είναι: f (x) < f (x0) = 0 και για x Î (x0 , x0 + δ) θα είναι
πάλι f (x) < f (x0) = 0, δηλαδή θα είναι f (x) £ 0 για κάθε x Î (x0 – δ , x0 +δ) ,
επομένως η f θα είναι γν. φθίνουσα στο (x0 – δ , x0 +δ) και το x0 δεν μπορεί να είναι
σημείο τοπικού μεγίστου.
Καταλήξαμε σε άτοπο επειδή υποθέσαμε ότι το x0 είναι και σημείο τοπικού ακροτάτου
και σημείο καμπής.
Έτσι το x0 δεν μπορεί να είναι ταυτόχρονα και σημείο τοπικού ακροτάτου και σημείο
καμπής.
Τα παρακάτω φαίνονται εύκολα από τον πίνακα που ακολουθεί.
Θεώρημα Darboux
(αντίστοιχο του θεωρήματος Bolzano)
Αν η συνάρτηση f είναι παραγωγίσιμη στο [α , β] και ισχύει
f (α) . f (β) < 0, τότε υπάρχει ξ  (α , β) με f (ξ) = 0
Επέκταση του θ. Darboux
(αντίστοιχο του θ. ενδιαμέσων τιμών)
Αν η συνάρτηση f είναι παραγωγίσιμη στο [α , β] και f (α) ≠ f (β),
τότε για κάθε αριθμό η μεταξύ f (α) και f (β), υπάρχει ξ (α , β) με f (ξ) = η
Απόδειξη
Έστω f (α) ≠ f (β), π. χ. f (α) < f (β), οπότε f (α) < η < f (β)
Εφαρμόζουμε το θ. Darboux για τη συνάρτηση g (x) = f (x) – ηx
Η g είναι παραγωγίσιμη στο [α , β] με g (x) = f (x) – η και ισχύει
g(α) = f (α) – η < 0 και g (β) = f (β) – η > 0, άρα g (α). g (β) < 0, επομένως υπάρχει
ξ  (α , β) με g(ξ) = 0  f (ξ) = η

Χρήσιμα θεωρήματα στις παραγώγους ,Νίκος Ιωσηφίδης

  • 1.
    ΧΡΗΣΙΜΑ ΘΕΩΡΗΜΑΤΑ ΣΤΙΣ ΠΑΡΑΓΩΓΟΥΣ ΝίκοςΙωσηφίδης Μαθηματικός - Φροντιστής, ΒΕΡΟΙΑ e-mail: iossifid@yahoo.gr
  • 2.
    Ορισμός Το σύμβολο {ως άκρο ενός διαστήματος θα παριστάνει το σύμβολο ( ή το [. Αντίστοιχα, το σύμβολο } θα παριστάνει ) ή ].  αν Δ = [α , β] ή (α , β) ή [α , β) ή (α , β] τότε Δ0 = (α , β)  αν Δ = (- , α] ή Δ = (- , α) τότε Δ0 = (- , α)  αν Δ = [α , +  ) ή Δ = (α , +  ) τότε Δ0 = (α , +  )  αν Δ = (- , +  ) =  τότε Δ0 = 
  • 3.
    Πεδίο ορισμού τηςf . Παραγώγιση σύνθετης συνάρτησης Το πεδίο ορισμού της f  δεν μπορεί να βρεθεί από τον τύπο της Αντίστοιχα με τη σύνθεση δύο συναρτήσεων, για να ορίζεται η f  δεν αρκεί ο τύπος της να ορίζεται. Για να ανήκει ένα σημείο x0 στο πεδίο ορισμού της f  πρέπει α) Να ορίζεται η f στο x0 β) Να υπάρχει το 0 0 x x 0 f(x) f(x ) lim x x   και να είναι πραγματικός αριθμός.
  • 4.
    Για τη συνάρτησηf : A   με Α = (1 , 5)  {6} με f (x) = x2 είναι f (x) = 2x για κάθε x  (1 , 5) , ενώ δεν ορίζεται το f (6) αφού η f δεν ορίζεται σε διάστημα της μορφής (α , 6] ή [6 , α) Έτσι πεδίο ορισμού της f  είναι το (1 , 5) Η συνάρτηση f (x) = lnx έχει πεδίο ορισμού το Α = (0 , ) και ισχύει f (x) = 1 x για κάθε xA. Ο τύπος 1 x ορίζεται και για x < 0, όμως οι τιμές αυτές δεν ανήκουν στο πεδίο ορισμού της f . Το πεδίο ορισμού της f  είναι το Α = (0 , ) Οι περισσότερες γνωστές συναρτήσεις είναι παραγωγίσιμες στα πεδία ορισμού τους. f (x) = |x| , x  δεν είναι παραγωγίσιμη στο 0. f : [0 , )   με f (x) = x Είναι παραγωγίσιμη στο Α = (0 , ), δεν είναι όμως παραγωγίσιμη στο 0. Πράγματι, x 0 f (x) f (0) lim x 0   = x 0 x lim x  = x 0 1 lim x  = 
  • 5.
    Πεδίο ορισμού τηςf (x) = xα Αν αΖ αν α  Ν* τότε: Α =  π.χ η f (x) = x3 ορίζεται για κάθε x  αν α  0 τότε: Α = * π.χ η f (x) = x-3 = 3 1 x ορίζεται για κάθε x  * Αν αΖ αν α > 0 τότε Α = [0 , ) π.χ η f (x) = 5 3 x = 3 5 x ορίζεται για κάθε x ≥ 0 αν α < 0 τότε Α = (0 , ) π.χ η f (x) = 5 3 x  = 3 5 1 x ορίζεται για κάθε x > 0
  • 6.
    Σε όλες τιςπεριπτώσεις η f (x) = xα είναι παραγωγίσιμη στο πεδίο ορισμού της Α, εκτός από την περίπτωση 0 < α < 1 οπότε Α = [0 , ). Στην περίπτωση αυτή η f είναι παραγωγίσιμη στο Α = (0 ,), αλλά δεν είναι παραγωγίσιμη στο 0. Πράγματι, στην περίπτωση αυτή είναι: x 0 f (x) f (0) lim x 0   = α x 0 x lim x  = 1 α x 0 1 lim x   =  Ειδική περίπτωση είναι η f (x) = x και γενικότερα η f (x) = ν x , ν  2 ΓΕΝΙΚΕΥΣΗ Αν η f : A   είναι παραγωγίσιμη στο x0 και η g : B   είναι παραγωγίσιμη στο f (x0), τότε η σύνθεση g f είναι παραγωγίσιμη στο x0 με 0 0 0(g f) (x ) g (f(x )) f (x )    Η σύνθεση g o f μπορεί να είναι παραγωγίσιμη στο x0 και αν ακόμη δεν ισχύει καμία από τις παραπάνω προϋποθέσεις. Μπορεί φυσικά και να μην είναι.
  • 7.
    Παράδειγμα 1ο Η fδεν είναι παραγωγίσιμη στο x0 , η g είναι παραγωγίσιμη στο 0f(x ) και η σύνθεση g o f είναι παραγωγίσιμη στο x0 Η f (x) = x έχει πεδίο ορισμού το Α = [0, ) και δεν είναι παραγωγίσιμη στο 0. Η g (x) = x2 έχει πεδίο ορισμού το Β =  και είναι παραγωγίσιμη στο , άρα και στο f (0) = 0. Η σύνθετη συνάρτηση g o f έχει πεδίο ορισμού το Γ = [0 , ) και είναι (g o f)(x) =   2 x = x για κάθε x Γ Η g o f είναι παραγωγίσιμη σε ολόκληρο το Γ, άρα είναι παραγωγίσιμη και στο 0.
  • 8.
    Παράδειγμα 2ο Η fδεν είναι παραγωγίσιμη στο x0 , η g δεν είναι παραγωγίσιμη στο f (x0) και η σύνθεση g o f είναι παραγωγίσιμη στο x0 Η συνάρτηση f (x) = |x| έχει πεδίο ορισμού το Α =  και δεν είναι παραγωγίσιμη στο 0. Η συνάρτηση 2 2x , αν x 0 g(x) x 1 , αν x 0      έχει πεδίο ορισμού το  και δεν είναι παραγωγίσιμη στο f (0) = 0, αφού δεν είναι συνεχής στο 0. Η σύνθεσή τους g o f έχει πεδίο ορισμού το Γ =  και τύπο: 2 o(g f )(x) x 1  = x2 + 1 για κάθε x, επομένως είναι παραγωγίσιμη στο  , άρα και στο 0.
  • 9.
    Παράδειγμα 3ο Η fείναι παραγωγίσιμη στο x0, η g δεν είναι παραγωγίσιμη στο f (x0) και η σύνθεση g o f δεν είναι παραγωγίσιμη στο x0 Η συνάρτηση h (x) = 23 (x 1) = 1 2 3 [(x 1) ] Είναι σύνθεση των συναρτήσεων f (x) = (x-1)2 και 3 g(x) x , δηλαδή h (x) = g (f (x)) για κάθε x. Η f παραγωγίζεται στο , άρα και στο 1, η g όμως δεν παραγωγίζεται στο f (1) = 0. Για τη σύνθεση h (x) = g (f (x)) = 23 (x 1) δεν προκύπτει άμεσα συμπέρασμα για την παραγωγισιμότητά της στο 1. Το αν η h είναι ή όχι παραγωγίσιμη στο 1 πρέπει να εξεταστεί με τη βοήθεια του ορισμού. Είναι: x 1 h(x) h(1) lim x 1    = 23 x 1 (x 1) lim x 1    = 3x 1 1 lim x 1   = , επομένως η h δεν είναι παραγωγίσιμη στο 1.
  • 10.
    Παράδειγμα 4ο Η fείναι παραγωγίσιμη στο x0, η g δεν είναι παραγωγίσιμη στο f (x0) και η σύνθεση g o f είναι παραγωγίσιμη στο x0 Αντίθετα με το 3ο παράδειγμα, η συνάρτηση h (x) = 43 (x 1) είναι πάλι σύνθεση των f :   με f (x) = (x-1)4 και g : [0 , )  με g (x) = 3 x δηλ. h (x) = g (f (x)) Η f είναι παραγωγίσιμη στο 1. Η g δεν είναι παραγωγίσιμη στο f (1) = 0 Η h είναι παραγωγίσιμη στο 0x 1= αφού: x 1 h(x) h(1) lim x 1    = 43 x 1 (x 1) lim x 1    = 3 x 1 lim x 1   = 0 x 1 h(x) h(1) lim x 1    = 43 x 1 (x 1) lim x 1    = 43 x 1 x 1 lim x 1     = 3 x 1 lim( x 1 )    = 0 Άρα x 1 h(x) h(1) lim x 1   = 0 και η h είναι παραγωγίσιμη στο 1 με h (1) = 0 ΠΡΟΣΟΧΗ Δεν μπορούμε να γράψουμε h (1) = g (f (1))f (1) αφού δεν υπάρχει το g (f (1)) = g (0)
  • 11.
    Παραγώγιση αθροίσματος, διαφοράςκ.λ.π δύο συναρτήσεων Aν οι συναρτήσεις f και g είναι παραγωγίσιμες στο x0, τότε και οι συναρτήσεις f + g , f – g , f . g , f g (με τις γνωστές προϋποθέσεις) είναι παραγωγίσιμες στο x0 με (f + g) (x0 ) = f ( x0) + g ( x0 ) (f + g) (x0 ) = f ( x0) + g ( x0 ) (f . g) (x0 ) = f ( x0) g ( x0 ) + f ( x0) g ( x0 ) 0 0 0 0 0 2 0 f (x )g(x ) f (x )g (x )f (x ) g (g(x ))          Αντιπαράδειγμα: Η συνάρτηση f (x) = x2 , x(- , 1]  [2 , + ) είναι παραγωγίσιμη στο 1 με f (1) = 2 Η συνάρτηση g (x) = 3x , x[1, + ) είναι επίσης παραγωγίσιμη στο 1 με g (1) =3 Όμως η συνάρτηση f + g ορίζεται στο [2 , + )  {1} και δεν έχει νόημα η παραγωγός της στο 1.
  • 12.
    Πολύ χρήσιμη πρόταση Έστωσυνάρτηση f : Δ   και x0  Δ0 . Αν  η f είναι συνεχής στο x0  υπάρχει το 0x x lim f (x) ® ¢ =  , τότε η f είναι παραγωγίσιμη στο x0 και f (x0) =  Η f αναγκαστικά παραγωγίζεται στο x0. Αν υπάρχει το όριο της f στο σημείο x0 του πεδίου ορισμού της όπου η f είναι συνεχής, τότε και η f  είναι συνεχής στο x0.
  • 13.
    Η μόνη περίπτωσηασυνέχειας της f  στο x0 είναι να μην υπάρχει το όριο της f  στο x0 Απόδειξη Για το 0 0 x x 0 f (x) f (x ) lim x x® - - εφαρμόζουμε τον κανόνα του Hospital (ισχύουν οι κατάλληλες προϋποθέσεις). Άρα 0 0 x x 0 f (x) f (x ) lim x x® - - = 0 0 x x 0 (f(x) f(x )) lim (x x )® ¢- ¢- = 0x x lim f (x) ¬ ¢ ή f (x0) = 0x x lim f (x) ¬ ¢ και η πρόταση αποδείχτηκε.
  • 14.
    Παράδειγμα Δίνεται η συνάρτηση 3 2 2x1 αν x 1 f(x) 3x αν x 1       Να βρεθεί η παράγωγος της f στο 1 Λύση Η f είναι συνεχής στο 1 και παραγωγίσιμη στο  – {1} με 2 6x αν x 1 f (x) 6x αν x 1       Επειδή x 1 x 1 lim f(x) lim f(x)     = 6, η f είναι παραγωγίσιμη στο 1 με f (1) = 6 Παρατήρηση Αν δεν υπάρχει το 0x x lim f (x)   αυτό δε σημαίνει ότι η f δεν είναι παραγωγίσιμη στο x0
  • 15.
    2 1 x ημαν x 0 f(x) x 0 αν x 0 ìïï ¹ï= í ïï =ïî λ (x) = f(x) f(0) x 0 - - = xημ 1 x Όμως 1 xημ x = 1 x ημ x  x  - x  1 xημ x  x (1) Και επειδή x 0 lim( x ) ® - = x 0 lim x ® =0, από την (1) προκύπτει ότι x 0 1 lim(xημ ) x® =0, άρα η f είναι παραγωγίσιμη στο 0 με f (0)=0 Για x  0 είναι: f (x) = (x2 )ημ 1 x + x2 (ημ 1 x ) = 2xημ 1 x + x2 συν 1 x 2 1 ( ) x ×- = 2xημ 1 x - συν 1 x Άρα η f  ορίζεται στο  με f (x)= 1 1 2xημ συν αν x 0 x x 0 αν x 0 ìïï - ¹ï í ïï =ïî
  • 16.
    Πρόταση Αν για τησυνάρτηση f ισχύει f (x) > 0 για κάθε x  (α , x0) και f (x) < 0 για κάθε x  (x0 , β) ή αντίστροφα και η f είναι παραγωγίσιμη στο x0, τότε f (x0) = 0 Απόδειξη Έστω f (x) > 0 στο (α , x0) και f (x) < 0 στο (x0 , β) Επειδή f (x) > 0 στο (α , x0) και η f είναι συνεχής στο x0, η f είναι γν. αύξουσα στο (α , x0]. Για τον ίδιο λόγο η f είναι γν. φθίνουσα στο [x0 , β). Επομένως η f στο σημείο x0 παρουσιάζει τοπικό μέγιστο. Σύμφωνα λοιπόν με το θεώρημα του Fermat θα είναι f (x0) = 0 ΠΡΟΣΟΧΗ Η παραγωγισιμότητα της f στο x0 δεν προκύπτει από τις υπόλοιπες συνθήκες. Πρέπει να είναι δεδομένη για να ισχύει f (x0) = 0
  • 17.
    Για τη συνάρτηση 2 3 2xx , αν x 1 f(x) x 3x 1 , αν x 1          ισχύει: 2 2 2x , αν x 1 f (x) 3x 3, αν x 1         Άρα f (x) > 0 αν x  (0 , 1) και f (x) < 0 αν x  (1 , 2) Όμως η f δεν είναι παραγωγίσιμη στο 1, αφού δεν είναι συνεχής σ’ αυτό.
  • 18.
    Επίσης η συνέχειατης f δεν αρκεί για να είναι η f παραγωγίσιμη στο x0 όπως προκύπτει από το επόμενο αντιπαράδειγμα. 2 2 2x x , αν x 1 f(x) x x 1 , αν x 1          Εδώ πάλι είναι: 2 2x , αν x 1 f (x) 2x 1, αν x 1         Είναι πάλι f (x) > 0 αν x  (0 , 1) και f (x) < 0 αν x  (1 , 2), όμως η f δεν είναι παραγωγίσιμη στο 1 όπως εύκολα μπορεί να αποδειχθεί με τη βοήθεια του ορισμού.
  • 19.
    Θεώρημα Rolle σεανοιχτό διάστημα: Αν η συνάρτηση f είναι:  συνεχής στο [α , β]  παραγωγίσιμη στο (α , β)  f (α) = f (β) τότε υπάρχει σημείο ξ  (α , β) με f (ξ) = 0
  • 21.
    Πρόταση Αν η συνάρτησηf είναι παραγωγίσιμη στο (α , β) και x α x β lim f(x) lim f(x)     , τότε υπάρχει ξ  (α , β) με f (ξ) = 0 Απόδειξη Έστω x α x β lim f(x) lim f(x)      Θεωρούμε τη συνάρτηση: f(x) , αν x (α, β) g(x) , αν x α ή x β      Η g είναι συνεχής στο (α , β) αφού στο διάστημα αυτό ταυτίζεται με την f. Επίσης x α x α lim g(x) lim f(x) g(α)       και x β x β lim g(x) lim f(x) g(β)       δηλαδή η g είναι συνεχής και στα α και β, άρα η g είναι συνεχής στο [α , β]. Η g είναι παραγωγίσιμη στο (α , β) με g (x) = f (x). Επίσης g (α) = g (β) ( = ) Για τη συνάρτηση g ισχύουν λοιπόν όλες οι προϋποθέσεις του θ. του Rolle, άρα υπάρχει σημείο ξ  (α , β) με g (ξ) = 0 άρα και f (ξ) = 0 και η πρόταση αποδείχτηκε.
  • 22.
    Θεώρημα Μέσης ΤιμήςΔιαφορικού Λογισμού (Θ.Μ.Τ) σε ανοιχτό διάστημα Πρόταση Αν η συνάρτηση f είναι παραγωγίσιμη στο (α , β) , υπάρχει ξ  (α , β) με x β x α lim f(x) lim f(x) f (ξ) β α         Απόδειξη Η απόδειξη γίνεται με τον ίδιο τρόπο που αποδείξαμε το θ. του Rolle για ανοιχτό διάστημα αρκεί να θεωρήσουμε εδώ τη συνάρτηση: x α x β f(x), αν x (α,β) g(x) lim f(x), αν x α lim f(x), αν x β             
  • 23.
    Σταθερή συνάρτηση Είναι γνωστήη εξής πρόταση: Η παράγωγος σταθερής συνάρτησης είναι ίση με 0. Η πρόταση ισχύει μόνο για ανοιχτό διάστημα. Η ακριβής διατύπωση της πρότασης είναι : Αν η συνάρτηση f είναι σταθερή στο ανοιχτό διάστημα Δ τότε f (x) = 0 για κάθε x  Δ. Στο διπλανό σχήμα, η συνάρτηση f είναι σταθερή στο [α , β], αλλά η παράγωγός της στα σημεία α και β δεν υπάρχει.
  • 24.
    Πρόταση Έστω συνάρτηση fσυνεχής στο διάστημα Δ και Α πεπερασμένο υποσύνολο του Δ0. Αν f (x) = 0 για κάθε x  Δ0 - Α, τότε η f είναι σταθερή στο Δ. Η πρόταση αυτή είναι ιδιαίτερα χρήσιμη σε συναρτήσεις που η παραγώγισή τους σε κάποιο σημείο χρειάζεται ξεχωριστή μελέτη. Σύμφωνα με την πρόταση αυτή, ΔΕΝ ΑΠΑΙΤΕΙΤΑΙ ο έλεγχος της παραγωγισιμότητας στο σημείο αυτό.
  • 25.
    Πρόταση Αν για τιςσυναρτήσεις f και g που είναι συνεχείς στο διάστημα Δ ισχύει f (x) = g (x) για κάθε x  Δ0 και υπάρχει x0  Δ με f (x0) = g (x0), τότε ισχύει f (x) = g (x) για κάθε x  Δ Απόδειξη Επειδή οι f και g είναι συνεχείς στο Δ και f (x) = g (x) για κάθε x  Δ0 προκύπτει f (x) = g (x) + c για κάθε x  Δ Για x = x0 : f (x0) = g (x0) + c και επειδή f (x0) = g (x0)  c = 0, άρα f (x) = g (x) για κάθε x  Δ
  • 26.
    Παράδειγμα Βρείτε συνεχή συνάρτησηf :  που ικανοποιεί τη σχέση: x 2 f(t)dt f(x) 1= +ò (1) για κάθε x   Λύση Παραγωγίζουμε την (1): f (x) = f (x) (2) Σύμφωνα με εφαρμογή του σχολικού βιβλίου θα είναι: x f(x) ce= (3) Επειδή οι σχέσεις (1) και (2) δεν είναι ισοδύναμες, δεν είναι σίγουρο ότι όλες οι λύσεις (3) επαληθεύουν την (1), αλλά αν υπάρχει λύση της (1), τότε σίγουρα αυτή θα περιέχεται στις λύσεις (3). Για x = 2 η (1) γίνεται: 0 = f (2) +1  f (2) = -1 Η (3) για x = 2 δίνει: f (2) = ce2  -1 = c e2  c = -e-2 Επομένως η (3) δίνει: x 2 f(x) e - = - Αν θέσουμε g (x) = x 2 f (t)dt και h (x) = f (x) +1, σύμφωνα με την παραπάνω λύση, η συνάρτηση x 2 f(x) e - = - ικανοποιεί τη σχέση g (x) = h (x) και επειδή g (2) = h (2) θα ικανοποιεί και την g (x) = h (x) για κάθε x  , επομένως είναι η μοναδική λύση της (1).
  • 27.
    Μονοτονία Πρόταση Αν η συνάρτησηf είναι  συνεχής στο διάστημα Δ  f (x) > 0 (αντ. f (x) < 0 ) για κάθε x  Δ0, τότε η f είναι γν. αύξουσα (αντ. γν. φθίνουσα)στο Δ
  • 28.
    Παρατηρήσεις α) Από τοότι η f είναι παραγωγίσιμη στο Δ0 προκύπτει ότι η f είναι συνεχής στο Δ0. Επομένως το ότι η f είναι συνεχής στο Δ το μόνο που προσθέτει είναι ότι η f είναι συνεχής (πλευρικά) στα άκρα του διαστήματος, αν φυσικά το διάστημα Δ είναι κλειστό ή ημιανοιχτό. Στην περίπτωση που το Δ είναι ανοιχτό διάστημα, η πρώτη συνθήκη περιττεύει. Δηλαδή η f θα είναι υποχρεωτικά συνεχής στο Δ β) Το αντίστροφο του θεωρήματος δεν ισχύει. Αν δηλαδή η f είναι συνεχής στο Δ, παραγωγίσιμη στο Δ0 και γνησίως αύξουσα στο Δ, τότε δεν ισχύει υποχρεωτικά f (x) > 0 για κάθε x Δ0, αλλά μπορεί να είναι και f (x) = 0 για κάποια x  Δ
  • 29.
    γ) Το θεώρημαγενικεύεται ως εξής: Αν η f είναι συνεχής στο διάστημα Δ και f (x)  0 (αντ. f (x)  0) για κάθε x Δ0 , και ο μηδενισμός της f  γίνεται σε πεπερασμένο αριθμό σημείων, τότε η f είναι γν. αύξουσα (αντ. γν. φθίνουσα) στο Δ. Αρκεί να αποδείξουμε την πρόταση για ένα σημείο μηδενισμού της f , δηλαδή να αποδείξουμε ότι αν η f είναι παραγωγίσιμη στο (α , β) με f (x) > 0 για κάθε x {α , x0) (x0 , β} , ενώ f (x0) = 0, τότε η f είναι γν. αύξουσα στο {α , β} Πράγματι, στο {α , x0] η f είναι συνεχής f (x) > 0 για κάθε x(α , x0), άρα η f είναι γν. αύξουσα στο {α , x0]. Για τον ίδιο λόγο η f είναι γν. αύξουσα στο [x0 , β}. Επομένως η f είναι γν. αύξουσα και στην ένωση {α , x0] [x0 , β}, δηλαδή στο {α , β} δ) Η ίδια απόδειξη ισχύει και στην περίπτωση που η f  δεν υπάρχει στο x0 ή σε πεπερασμένο πλήθος σημείων, δηλαδή ισχύει η εξής γενικότερη
  • 30.
    Πρόταση Έστω συνάρτηση fσυνεχής στο διάστημα Δ. Ονομάζουμε Α το σύνολο των σημείων στα οποία η f  μηδενίζεται ή δεν υπάρχει. Αν f (x) > 0 για κάθε x  Δ0 -Α και το Α είναι πεπερασμένο σύνολο, τότε η f είναι γν. αύξουσα στο Δ. Η πρόταση μπορεί να επεκταθεί ακόμη περισσότερο ως εξής: Έστω συνάρτηση f συνεχής στο διάστημα Δ. Ονομάζουμε Α το σύνολο των σημείων στα οποία η f  μηδενίζεται. Αν f (x) > 0 (αντ. f (x) < 0) για κάθε x  Δ0 - Α και κανένα υποσύνολο του Α δεν αποτελεί διάστημα, τότε η f είναι γν. αύξουσα (αντ. γν. φθίνουσα) στο Δ.
  • 31.
    Παράδειγμα 1ο Να μελετηθείως προς τη μονοτονία η συνάρτηση f : * με f (x) = 1 x Λύση Η f ορίζεται στο σύνολο * = (- , 0)  (0 , + ) που δεν είναι διάστημα. Για κάθε x* είναι f (x) = - 2 1 x < 0. Επομένως η f είναι γν. φθίνουσα σε καθένα ξεχωριστά από τα διαστήματα (- , 0) και (0 , + ). Σύμφωνα με το σχολικό βιβλίο δεν μπορούμε να μιλάμε για μονοτονία στο * που δεν είναι διάστημα. Αν όμως θέλουμε να επεκτείνουμε τον ορισμό της μονοτονίας σε οποιοδήποτε σύνολο, η f δεν είναι γν. φθίνουσα στο * , αφού για x1 = -1 και x2 = 1, δηλαδή x1 < x2 ισχύει f (x1) < f (x2)
  • 32.
    Παράδειγμα 2ο Να μελετηθείως προς τη μονοτονία η συνάρτηση f με 2 x 2x αν x 2 f(x) 3x 6 αν x 2        Λύση Η f είναι συνεχής στο  (αποδεικνύεται εύκολα) και παραγωγίσιμη στο  – {2} με 2x 2 αν x 2 f (x) 3 αν x 2       Η f  μηδενίζεται στο 1. Κατασκευάζουμε τον παρακάτω πίνακα μεταβολών της f Από τον πίνακα προκύπτει ότι η f είναι γν. φθίνουσα στο διάστημα (-∞ , 1] και γν. αύξουσα στα διαστήματα [1 , 2] και [2 , +∞) (και τα δύο διαστήματα είναι κλειστά στο 2), επομένως η f είναι γν. αύξουσα και στην ένωση [1 , 2]  [2 , +∞) = [1 , +∞ ).
  • 34.
    Παράδειγμα 3ο Να μελετηθείως προς τη μονοτονία η συνάρτηση f με 4 3 x αν x 0 f(x) x x αν x 0        Λύση Η f είναι συνεχής στο  και παραγωγίσιμη στο * με 3 2 4x αν x 0 f (x) 3x 1 αν x 0         (για το σημείο 0 όπου η f είναι συνεχής, δε μας ενδιαφέρει η παραγωγισιμότητα) Είναι f (x) < 0 για κάθε x(- , 0)  (0 , + ). Επομένως η f είναι γν. φθίνουσα σ’ ολόκληρο το .
  • 35.
    Παράδειγμα 4ο Να μελετηθείη μονοτονία της συνάρτησης f :   με 2 x f(x) xσυνx ημx 2    Λύση Η f είναι συνεχής στο . Εδώ είναι: f (x) = x(1 + ημx) Επειδή 1 + ημx0 για κάθε x, θα είναι f (x) 0 για κάθε x < 0 και f (x)  0 για κάθε x > 0. Στο παράδειγμα αυτό η f  μηδενίζεται σε άπειρα σημεία. Όμως κανένα υποσύνολο των σημείων μηδενισμού της f  δεν αποτελεί διάστημα. Ο μηδενισμός της f  στα σημεία αυτά δεν επηρεάζει τη μονοτονία της δηλαδή η f είναι γν. φθίνουσα στο (- , 0] και γν. αύξουσα στο [0 , + )
  • 36.
    Πολλαπλότητα ριζών πολυωνυμικήςεξίσωσης. Μοναδικότητα ρίζας Η συνήθης λύση είναι να αποδεικνύουμε με το θ. Bolzano την ύπαρξη μιας ρίζας σε ένα διάστημα Δ και μετά τη μοναδικότητά της με το θ. του Rolle ή τη μονοτονία της. Όταν όμως στο διάστημα αυτό υπάρχει διπλή ή γενικότερα πολλαπλή ρίζα, και οι δύο μέθοδοι ΔΕΝ είναι σωστές. Και αυτό επειδή στο θ. του Rolle θεωρούμε ότι υπάρχουν δύο άνισες ρίζες α < β και εφαρμόζουμε το θεώρημα στο διάστημα [α , β]. Στην απόδειξη με τη μονοτονία αποδεικνύουμε ότι η συνάρτηση είναι γν. μονότονη στο διάστημα Δ, κάτι που δεν εξασφαλίζει ότι μπορεί να υπάρχει πολλαπλή ρίζα στο Δ.
  • 37.
    Ορισμός Λέμε ότι οαριθμός ρ είναι ρίζα του πολυωνύμου f (x) (ή ισοδύναμα της πολυωνυμικής εξίσωσης f (x) = 0), βαθμού πολλαπλότητας κ (κ  * ) αν (x – ρ)κ f (x) και ( )  κ 1 x ρ + - f(x) Ισοδύναμα: f (x) = (x – ρ)κ π (x) , με π (ρ)  0. Χρειάζεται τώρα προσοχή στο εξής: Αν μία συνάρτηση f είναι γν. αύξουσα (αντ. γν. φθίνουσα) στο διάστημα Δ αυτό ΔΕΝ αρκεί για να έχει η f μοναδική ρίζα στο Δ. Ισχύει όμως η εξής πρόταση που εξασφαλίζει το ότι η f δεν μπορεί να έχει πολλαπλή ρίζα στο Δ.
  • 38.
    Πρόταση Αν για τηνπολυωνυμική συνάρτηση f ισχύει: f (x)  0 στο διάστημα Δ , τότε η f δεν μπορεί να έχει στο Δ πολλαπλή ρίζα Πράγματι, αν ρ ρίζα της f (x) = 0, βαθμού πολλαπλότητας  2, θα είναι: f (x) = (x – ρ)2 π (x)  f (x) =2(x – ρ)π (x) + (x – ρ)2 π (x), άρα f (ρ) = 0, άτοπο. Ισχύει γενικότερα η εξής πρόταση που εξασφαλίζει τον βαθμό πολλαπλότητας μιας ρίζας. Πρόταση Αν ρ είναι ρίζα του πολυωνύμου f (x) βαθμού πολλαπλότητας κ, τότε f (ρ) = f (ρ) = f (ρ) = … = f (κ-1) (ρ) = 0 , ενώ f (κ) (ρ)  0 Αντίστροφα: Αν f (ρ) = f (ρ) = f (ρ) = … = f (κ-1) (ρ) = 0, ενώ f (κ) (ρ)  0, τότε ο αριθμός ρ είναι ρίζα του πολυωνύμου f (x) βαθμού πολλαπλότητας κ.
  • 39.
    Ακρότατα συνάρτησης (ολικάκαι τοπικά) ΠΡΟΣΟΧΗ: Μια συνάρτηση f : [α, β] R δεν παρουσιάζει οπωσδήποτε ακρότατα στα άκρα του διαστήματος α και β. Ακόμη και αν είναι συνεχής ή παραγωγίσιμη. Παράδειγμα όπου η f είναι συνεχής και όχι παραγωγίσιμη στο άκρο του πεδίου ορισμού της και δεν παρουσιάζει στο άκρο αυτό ακρότατο 0 αν x 0 f(x) 1 xημ αν x (0,1] x      με πεδίο ορισμού το κλειστό διάστημα [0 , 1] , είναι συνεχής στο [0 , 1], αφού είναι συνεχής στο (0 , 1] και x 0 x 0 1 lim f (x) lim(xημ ) 0 x      = f (0) , δηλαδή είναι συνεχής και στο 0 (απόδειξη με το κριτήριο παρεμβολής).
  • 41.
    Παράδειγμα όπου ηf είναι παραγωγίσιμη στο άκρο διαστήματος του πεδίου ορισμού της και στο σημείο αυτό δεν παρουσιάζει ακρότατο. 2 0 αν x 0 f(x) 1 x ημ αν x (0,1] x     
  • 42.
    Πρόταση Έστω ότι ησυνάρτηση f ορίζεται στο {α , β} και x0(α , β). Αν η f είναι αύξουσα στο {α , x0] και φθίνουσα στο [x0 , β} τότε το f (x0) είναι τοπικό μέγιστο της f . Εδώ αρκεί η μονοτονία και όχι η γνήσια μονοτονία. Χρειάζεται προσοχή, τα διαστήματα στο x0 να είναι κλειστά. Αν η f είναι αύξουσα στο (α , x0] και φθίνουσα στο (x0 , β), αυτό δεν εξασφαλίζει ότι στο x0 η f παρουσιάζει τοπικό μέγιστο στο x0 όπως δείχνει το διπλανό σχήμα. Η μονοτονία της f εξασφαλίζεται από το πρόσημο της f  Επισημαίνουμε ότι δεν είναι απαραίτητο η f να είναι παραγωγίσιμη στο x0, αρκεί η f να είναι συνεχής στο x0, θετική στο (α , x0) και αρνητική στο (x0 , β) οπότε παρουσιάζει τοπικό μέγιστο στο x0.
  • 43.
    Με τη βοήθειατης 1ης παραγώγου μπορούμε να βρούμε τόσο τοπικά, όσο και ολικά ακρότατα. Στον πίνακα 1 , η f παρουσιάζει στο x0 ολικό μέγιστο Στον πίνακα 2, η f παρουσιάζει στο x0 ολικό ελάχιστο
  • 44.
    Για να εξακριβώσουμεαν το f (x1) είναι ή δεν είναι ολικό μέγιστο, πρέπει να δούμε αν η f μπορεί να πάρει μεγαλύτερες τιμές στο διάστημα Δ1 = (x2 , β} από την τιμή f (x1) Αν το Δ1 είναι κλειστό στο β, η μεγαλύτερη τιμή που παίρνει η f στο Δ1 είναι η f (β)  Αν f (x1) > f (β) το f (x1) είναι το ολικό μέγιστο της f στο {α , β}  Αν f (x1) < f (β) το f (β) είναι το ολικό μέγιστο της f στο {α , β}  Αν f (x1) = f (β) η f παρουσιάζει ολικό μέγιστο το f (x1) = f (β) και στο x1 και στο β. Αν το Δ1 είναι ανοιχτό στο β, τότε η σύγκριση γίνεται μεταξύ f (x1) και x β lim f(x)  =  Αν f (x1) >  το f (x1) είναι το ολικό μέγιστο της f στο {α , β} Αν f (x1)   δεν υπάρχει ολικό μέγιστο της f στο {α , β} Αν είναι x β lim f(x)  = + , τότε φυσικά η f δεν παρουσιάζει ολικό μέγιστο
  • 45.
    Ακρότατα με τηβοήθεια της 2ης παραγώγου Πρόταση Αν η συνάρτηση f είναι δύο φορές παραγωγίσιμη στο διάστημα Δ και x0 είναι μια ρίζα της 1ης παραγώγου, δηλαδή f (x0) = 0, τότε  αν f (x0) > 0, η f για x = x0 παρουσιάζει τοπικό ελάχιστο, ενώ  αν f (x0) < 0, η f για x = x0 παρουσιάζει τοπικό μέγιστο  αν f (x0) = 0 δεν προκύπτει συμπέρασμα Πιο ειδικά ισχύει: Αν f (x0) = f (x0) = f (3) (x0) = …= f (ν-1) (x0) = 0 και f (ν) (x0)  0 τότε: Αν ν = περιττός, τότε η f δεν παρουσιάζει ακρότατο στο x0 , ενώ αν ν = άρτιος, τότε παρουσιάζει τοπικό ακρότατο στο x0 και μάλιστα  αν f (ν) (x0) < 0, η f παρουσιάζει στο x0 τοπικό μέγιστο, ενώ  αν f (ν) (x0) > 0 παρουσιάζει στο x0 τοπικό ελάχιστο. Η πρόταση αυτή λοιπόν δεν μπορεί να χρησιμοποιηθεί για την εύρεση ολικών ακροτάτων παρά μόνον τοπικών.
  • 46.
    Καμπυλότητα Για τη μονοτονίαέχουμε πει ότι ισχύει η εξής Πρόταση Αν η συνάρτηση f είναι γν. αύξουσα στα {α , x0] και [x0 , β} τότε η f είναι γν. αύξουσα και στην ένωση {α , x0] È [x0 , β}={α , β}. Για την καμπυλότητα δεν ισχύει η αντίστοιχη πρόταση. Δηλαδή: Αν η f στρέφει τα κοίλα πάνω στα {α , x0] και [x0 , β}, δεν προκύπτει συμπέρασμα για την καμπυλότητα της f στην ένωση {α , x0] È [x0 , β} = {α , β}
  • 47.
    Η συνάρτηση fορίζεται ως εξής: 2 2 x , αν 1 x 1 f(x) (x 2) , αν 1 x 3 ìï - £ £ï= í ï - < £ïî Η f είναι συνεχής στο πεδίο ορισμού της Είναι: 2x, αν 1 x 1 f (x) 2(x 2), αν 1 x 3 ì - £ <ïï¢ = í ï - < £ïî Η f  είναι γν. αύξουσα στα (-1 , 1) και (1 , 3), άρα η f στρέφει τα κοίλα πάνω σε καθένα από τα διαστήματα [-1 , 1] και [1 , 3], όμως η f δεν στρέφει τα κοίλα πάνω στην ένωση [-1 , 1] È [1 , 3] = [-1 , 3], αφού η f  δεν είναι γν. αύξουσα στο (-1 , 3). Πράγματι , f ( 1 2 ) = 1 και f ( 3 2 ) = -1, δηλαδή f ( 1 2 ) > f ( 3 2 )
  • 48.
    Πρόταση Αν η fείναι συνεχής στο Δ = {α , β} , x0  Δ, και f  (x0) = 0 τότε  αν f  (x) > 0 στο (α , x0)  (x0 , β) τότε η f στρέφει τα κοίλα πάνω στο Δ  αν f  (x) < 0 στο (α , x0)  (x0 , β) τότε η f στρέφει τα κοίλα κάτω στο Δ (δηλαδή ο μηδενισμός της f  σε κάποιο εσωτερικό σημείο του Δ δεν επηρεάζει την καμπυλότητά της) Πράγματι, επειδή f  συνεχής στο Δ0 (αφού η f  είναι παραγωγίσιμη) και f  (x) > 0 στο (α , x0) È (x0 , β), η f  είναι γν. αύξουσα στο Δ0, οπότε η f στρέφει τα κοίλα πάνω στο Δ Όμοια γίνεται η απόδειξη για τη 2η περίπτωση
  • 49.
    Παρατηρήσεις α) Από τηνπαραπάνω απόδειξη προκύπτει ότι τα σημεία μηδενισμού της f  μπορούν να είναι και περισσότερα. β) Αποδεικνύεται (όπως αποδείξαμε και στη μονοτονία) ότι τα σημεία μηδενισμού της f  μπορούν ακόμη να είναι και άπειρα, αρκεί κανένα υποσύνολό τους να μην αποτελεί διάστημα. γ) Αν η f είναι συνεχής στο Δ, παραγωγίσιμη στο Δ0 και η f  δεν υπάρχει σε πεπερασμένο πλήθος σημείων του Δ0, στα υπόλοιπα όμως σημεία του Δ0 είναι f (x) > 0 , η f στρέφει τα κοίλα πάνω στο Δ. Αντίστοιχα συμπεράσματα ισχύουν και για την περίπτωση που η f στρέφει τα κοίλα κάτω στο Δ.
  • 50.
    Πρόταση: Αν η fείναι συνεχής στο Δ και x0  Δ0, τότε το x0 δεν μπορεί να είναι συγχρόνως σημείο τοπικού ακροτάτου και σημείο καμπής. Απόδειξη Έστω ότι το σημείο x0 είναι σημείο τοπικού μεγίστου και σημείο καμπής. Τότε, υπάρχει δ > 0, τέτοιο ώστε f (x) £ f (x0) για κάθε xÎ (x0 – δ , x0 +δ) , f (x0) = 0 και ταυτόχρονα η f  αλλάζει μονοτονία εκατέρωθεν του x0, π.χ η f  είναι γν. αύξουσα στο (x0 – δ , x0] και γν. φθίνουσα στο [x0, x0 +δ). Τότε, για xÎ (x0 – δ , x0) θα είναι: f (x) < f (x0) = 0 και για x Î (x0 , x0 + δ) θα είναι πάλι f (x) < f (x0) = 0, δηλαδή θα είναι f (x) £ 0 για κάθε x Î (x0 – δ , x0 +δ) , επομένως η f θα είναι γν. φθίνουσα στο (x0 – δ , x0 +δ) και το x0 δεν μπορεί να είναι σημείο τοπικού μεγίστου. Καταλήξαμε σε άτοπο επειδή υποθέσαμε ότι το x0 είναι και σημείο τοπικού ακροτάτου και σημείο καμπής. Έτσι το x0 δεν μπορεί να είναι ταυτόχρονα και σημείο τοπικού ακροτάτου και σημείο καμπής.
  • 51.
    Τα παρακάτω φαίνονταιεύκολα από τον πίνακα που ακολουθεί.
  • 52.
    Θεώρημα Darboux (αντίστοιχο τουθεωρήματος Bolzano) Αν η συνάρτηση f είναι παραγωγίσιμη στο [α , β] και ισχύει f (α) . f (β) < 0, τότε υπάρχει ξ  (α , β) με f (ξ) = 0 Επέκταση του θ. Darboux (αντίστοιχο του θ. ενδιαμέσων τιμών) Αν η συνάρτηση f είναι παραγωγίσιμη στο [α , β] και f (α) ≠ f (β), τότε για κάθε αριθμό η μεταξύ f (α) και f (β), υπάρχει ξ (α , β) με f (ξ) = η Απόδειξη Έστω f (α) ≠ f (β), π. χ. f (α) < f (β), οπότε f (α) < η < f (β) Εφαρμόζουμε το θ. Darboux για τη συνάρτηση g (x) = f (x) – ηx Η g είναι παραγωγίσιμη στο [α , β] με g (x) = f (x) – η και ισχύει g(α) = f (α) – η < 0 και g (β) = f (β) – η > 0, άρα g (α). g (β) < 0, επομένως υπάρχει ξ  (α , β) με g(ξ) = 0  f (ξ) = η