SELECTION OR SYNTHESIS OF
  HARD AND SOFT DRUGS


                Presented by,
                  J.NARESH.
SELECTION OR SYNTHESIS OF HARD
           AND SOFT DRUGS
•Drugs are divided into two types based on their
Metabolic susceptibility
•1)Hard drugs: these can be defined as drugs that are
biologically active and non metabolizable in vivo eg:
enalaprilat, lisinopril, cromolyn, and bisphophonates
•2)Soft drugs: these can be defined as drugs that
Are produce predictable and controllable in vivo
metabolism to form nontoxic product after they have
shown their therapeutic role.
• eg: cetyl pyridinium chlorides, soft cloramine
• Hard drugs:
• Hard drugs are those that are resistant to
  metabolism, hence avoid problems caused by
  reactive intermediates and some times these are
  remain unchanged in the body
• These are characterized by high lipid solubility ,
  accumulation in adipose tissue and organelles are
  high water solubility
• A few successful examples of hard drugs include
  bisphosphonates and ACE inhibitors.
• Hard drugs are divided into two types;
• 1)High lipid-soluble drugs:
• In this compounds the metabolically sensitive parts
  are blocked by “stearic packing” (or) by substitution
   of hydrogen atom with halogen
• Eg: hard celecoxib
• 2)High water -soluble drugs:
• These drugs lack substrate properties to the
  metabolizing enzymes
• Their biological half life is very short and these are
  very potent compounds
• eg:cromoglicic acid
Soft Drug
• Soft drugs are biologically active drugs
  designed to have a predictable and
  controllable metabolism to nontoxic and
  inactive products after they have achieved
  their desired pharmacological effect.
• The molecule could be deactivated and
  detoxified shortly after it has exerted its
  biological effect, the therapeutic index could
  be increased, providing a safer drug.
Feature
• It has a close structural similarity to the lead;
• It has a metabolically sensitive moiety built
  into the lead structure;
• The incorporated metabolically sensitive spot
  does not affect the overall physicochemical or
  steric properties of the lead compound
Advantages
• Elimination of toxic metabolites, thereby
  increasing the therapeutic index of the drug;
• Avoidance of pharmacologically active
  metabolites that can lead to long-term effects;
• Elimination of drug interactions resulting from
  metabolite inhibition of enzymes;
• Simplification of pharmacokinetic problems
  caused by multiple active species.
The difference between prodrugs
           and soft durgs
• The concepts of prodrugs and soft drugs are
  opposite, as follow:
• A prodrugs is an inactive compound that
  requires a metabolic conversion to the active
  form;
• A soft drug is pharmacologically active and
  uses metabolism as a means of promoting
  excretion
• However, it is possible to design a pro-soft
  drug, a modified soft drug that requires
  metabolic activation for conversion to the
  active soft drug.
• It is not possible to prepare soft-pro drug
• Classification of soft drugs:
• Soft drugs are divided by Bodor into five different
  groups
1.Soft analogs
2.Activated soft compounds
3.Natural soft Drugs
4.Soft Drugs based on active metabolite approach
5.Soft Drugs based on inactive metabolite approach
• Soft analogs:
• Soft analogs are close structural analogs of known
  active drugs or bio active compounds
• These compounds have a specific “metabolically
  sensitive spot built into their structure which
  provide their one-step controllable detoxification .
• These sensitive spots are not oxidizable alkyl chains
  or functional groups subjected to conjugation .
• The designed detoxification will take place as soon
  as possible after the desired activity is achieved
• The simplest example of the soft analog is the
  isosteric analog (II) of cetylpyridinium chloride (I)
  which is a hard quaternary antimicrobial agent
• Activated soft compounds:
• These compounds are not the analogs of known
  drugs
• These are designed by introducing a
  pharmacophoric group in a nontoxic inactive
  compound in order to activate it to exhibit a certain
  pharmacological activity.
• In vivo the activated form will lose the activating
  group and revert to the original nontoxic compound
Eg: soft chloramine are less corrosive(where the
chlorine atom attached to hetero atom) than the
conventional chloramines
Eg: chloramine-T is available in salt form so it is less
corrosive
• Natural soft drugs:
• The endogenous substances can be considerd as
  natural soft drugs since the body possesses
  efficient,fast metabolic pathways for their
  deposition without going through highly reactive
  intermediates
• Ex: neurotransmitters, steroidal hormones
Eg: the use of di esters of adrenalone to
deliver the epinephrine the eye via combined
reduction and hydrolysis process .
• Soft Drugs based on active metabolite
  approach:
• Some drugs under go step wise biotransformation
  giving intermediates and structural analogs with
  which have activity similar to that of the original
  molecules .
• According to Bodor it is preferable to use as the
  drug of choice an active species which under goes a
  one step ,singular, predictable metabolic
  deactivation.
• Eg: Oxyphenbutazone the active p-hydroxy
  metabolite of phenylbutazone
• Oxazepam the common active metabolite of
  chlordiazepoxide, halazepam, chlorazepate and
  diazepam
• Soft Drugs based on inactive metabolite
  approach:
• This is done by three steps
a)Activation stage: chemical modification of a known
  “inactive metabolite of a drug             (by iso
  sterism ), this metabolite used as a lead compound.
b)Predictable metabolism: design of structure of new
  soft analog in such a way that its metabolism will
  yield the starting inactive metabolite in one step
  without going through toxic intermediate
c)Controllable metabolism: control of transport
and binding properties as well as rate of
metabolism and pharmacokinetics by molecular
modification.
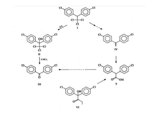
•   Eg:Chlofenotane, the acidic metabolite “v” which
    is inactive of relatively low toxicity excreted as
    water soluble species, it is lead compound for the
    inactive metabolite approach
•   That is the ethylester of clofenotane
References:
Andrejus Korolkovas ESSENTIALS OF MEDICINAL CHEMISTRY, 2ND ED
Friary, R. Jobs in the Drug Industry A Career Guide for Chemists; Academic Press:
San Diego, CA, 2000.
Thomas, G. Medicinal Chemistry An Introduction; John Wiley & Sons: New York, NY,
2000.
Williams, D. A.; Lemke, T.L. Foye's Principles of Medicinal Chemistry; Lippincott
Williams & Wilkins: Baltimore, MD, 2002.

Soft and hard drugs

  • 1.
    SELECTION OR SYNTHESISOF HARD AND SOFT DRUGS Presented by, J.NARESH.
  • 2.
    SELECTION OR SYNTHESISOF HARD AND SOFT DRUGS •Drugs are divided into two types based on their Metabolic susceptibility •1)Hard drugs: these can be defined as drugs that are biologically active and non metabolizable in vivo eg: enalaprilat, lisinopril, cromolyn, and bisphophonates •2)Soft drugs: these can be defined as drugs that Are produce predictable and controllable in vivo metabolism to form nontoxic product after they have shown their therapeutic role. • eg: cetyl pyridinium chlorides, soft cloramine
  • 3.
    • Hard drugs: •Hard drugs are those that are resistant to metabolism, hence avoid problems caused by reactive intermediates and some times these are remain unchanged in the body • These are characterized by high lipid solubility , accumulation in adipose tissue and organelles are high water solubility • A few successful examples of hard drugs include bisphosphonates and ACE inhibitors.
  • 5.
    • Hard drugsare divided into two types; • 1)High lipid-soluble drugs: • In this compounds the metabolically sensitive parts are blocked by “stearic packing” (or) by substitution of hydrogen atom with halogen • Eg: hard celecoxib
  • 6.
    • 2)High water-soluble drugs: • These drugs lack substrate properties to the metabolizing enzymes • Their biological half life is very short and these are very potent compounds • eg:cromoglicic acid
  • 7.
    Soft Drug • Softdrugs are biologically active drugs designed to have a predictable and controllable metabolism to nontoxic and inactive products after they have achieved their desired pharmacological effect. • The molecule could be deactivated and detoxified shortly after it has exerted its biological effect, the therapeutic index could be increased, providing a safer drug.
  • 8.
    Feature • It hasa close structural similarity to the lead; • It has a metabolically sensitive moiety built into the lead structure; • The incorporated metabolically sensitive spot does not affect the overall physicochemical or steric properties of the lead compound
  • 9.
    Advantages • Elimination oftoxic metabolites, thereby increasing the therapeutic index of the drug; • Avoidance of pharmacologically active metabolites that can lead to long-term effects; • Elimination of drug interactions resulting from metabolite inhibition of enzymes; • Simplification of pharmacokinetic problems caused by multiple active species.
  • 10.
    The difference betweenprodrugs and soft durgs • The concepts of prodrugs and soft drugs are opposite, as follow: • A prodrugs is an inactive compound that requires a metabolic conversion to the active form; • A soft drug is pharmacologically active and uses metabolism as a means of promoting excretion
  • 11.
    • However, itis possible to design a pro-soft drug, a modified soft drug that requires metabolic activation for conversion to the active soft drug. • It is not possible to prepare soft-pro drug
  • 12.
    • Classification ofsoft drugs: • Soft drugs are divided by Bodor into five different groups 1.Soft analogs 2.Activated soft compounds 3.Natural soft Drugs 4.Soft Drugs based on active metabolite approach 5.Soft Drugs based on inactive metabolite approach
  • 13.
    • Soft analogs: •Soft analogs are close structural analogs of known active drugs or bio active compounds • These compounds have a specific “metabolically sensitive spot built into their structure which provide their one-step controllable detoxification . • These sensitive spots are not oxidizable alkyl chains or functional groups subjected to conjugation . • The designed detoxification will take place as soon as possible after the desired activity is achieved
  • 14.
    • The simplestexample of the soft analog is the isosteric analog (II) of cetylpyridinium chloride (I) which is a hard quaternary antimicrobial agent
  • 16.
    • Activated softcompounds: • These compounds are not the analogs of known drugs • These are designed by introducing a pharmacophoric group in a nontoxic inactive compound in order to activate it to exhibit a certain pharmacological activity. • In vivo the activated form will lose the activating group and revert to the original nontoxic compound
  • 17.
    Eg: soft chloramineare less corrosive(where the chlorine atom attached to hetero atom) than the conventional chloramines Eg: chloramine-T is available in salt form so it is less corrosive
  • 18.
    • Natural softdrugs: • The endogenous substances can be considerd as natural soft drugs since the body possesses efficient,fast metabolic pathways for their deposition without going through highly reactive intermediates • Ex: neurotransmitters, steroidal hormones
  • 19.
    Eg: the useof di esters of adrenalone to deliver the epinephrine the eye via combined reduction and hydrolysis process .
  • 20.
    • Soft Drugsbased on active metabolite approach: • Some drugs under go step wise biotransformation giving intermediates and structural analogs with which have activity similar to that of the original molecules . • According to Bodor it is preferable to use as the drug of choice an active species which under goes a one step ,singular, predictable metabolic deactivation.
  • 21.
    • Eg: Oxyphenbutazonethe active p-hydroxy metabolite of phenylbutazone • Oxazepam the common active metabolite of chlordiazepoxide, halazepam, chlorazepate and diazepam
  • 22.
    • Soft Drugsbased on inactive metabolite approach: • This is done by three steps a)Activation stage: chemical modification of a known “inactive metabolite of a drug (by iso sterism ), this metabolite used as a lead compound. b)Predictable metabolism: design of structure of new soft analog in such a way that its metabolism will yield the starting inactive metabolite in one step without going through toxic intermediate
  • 23.
    c)Controllable metabolism: controlof transport and binding properties as well as rate of metabolism and pharmacokinetics by molecular modification. • Eg:Chlofenotane, the acidic metabolite “v” which is inactive of relatively low toxicity excreted as water soluble species, it is lead compound for the inactive metabolite approach • That is the ethylester of clofenotane
  • 26.
    References: Andrejus Korolkovas ESSENTIALSOF MEDICINAL CHEMISTRY, 2ND ED Friary, R. Jobs in the Drug Industry A Career Guide for Chemists; Academic Press: San Diego, CA, 2000. Thomas, G. Medicinal Chemistry An Introduction; John Wiley & Sons: New York, NY, 2000. Williams, D. A.; Lemke, T.L. Foye's Principles of Medicinal Chemistry; Lippincott Williams & Wilkins: Baltimore, MD, 2002.