Social Network Analysis:
applications for education
research
Dr Chris Downey and Dr Christian Bokhove
Southampton Education School Seminar Series
16th March 2017
The first 33 slides make up the main talk. The rest of the slides provide details
for each of the four projects. Slide 33 functions as a ‘table of contents.
2
Contents
• What is Social Network Analysis?
• Multilevel nature
• At the classroom level
– Dynamic SNA of classroom interactions
– Peer-status measures for social and learning
relationships
• At the institutional/system level
– Support networks of trainee teachers
– Teacher knowledge and resource exchange networks
Social Network Analysis
• Social network analysis (SNA) looks at social relationships
in terms of network theory, consisting of nodes,
representing actors within the network, and ties (or edges)
which represent relationships between the actors.
History
Originally the concept of ‘social networks’ has been studied
since the early 20th century to explore relationships between
members of social systems. In more recent years, social
network analysis has found applications in various academic
disciplines, as well as practical applications such as countering
money laundering and terrorism.
Growth of Social Network Publications
Freeman (2004)
Freeman (2004) reviewed the development of SNA from its earliest
beginnings until the late 1990s. He characterizes SNA as involving
four things
I. the intuition that links among social actors are important;
II. it is based on the collection and analysis of data that record
social relations that link actors;
III. it draws heavily on graphic imagery to reveal and display the
patterning of those links, and
IV. it develops mathematical and computational models to
describe and explain those patterns.
Fictional example
The application of SNA to classroom interaction is
demonstrated by the fictional network in figure 1 of one
teacher T01, and seven students S01 to S07, six nodes in total.
The nodes can have attributes, for example gender, which is
indicated by a colour (blue=female, pink=male).
Gephi
• Show gephi with this file
Project 1
Dynamic SNA of classroom
interactions
Dr Christian Bokhove
Southampton Education School
Classroom observation
• Review classroom dialogue Howe and Abedin (2014)
– Quantitative vs Qualitative
• TIMSS (Trends in International Mathematics and Science Study) video
study (Hiebert et al., 1999)
– Video observations
– National patterns of teaching (Givvin, Hiebert, Jacobs,
Hollingsworth, & Gallimore, 2005)
• Lesson signatures
13
SNA for classroom interaction
• Case to use SNA for
classroom interaction
• Making it dynamic
– Classroom interaction
(Moody, McFarland,
& Bender-deMoll, 2005)
• Technological and methodological advances
– Observation apps
– Video recording easier
– Statistical techniques and packages to capture temporal aspects like
Gephi, ERGMs, Rsiena, Statnet, Relevent
This project
• Use dynamic social network analysis to describe classroom
interaction
• Data analysis and visualization software
– Gephi 0.8.2 beta
– R and Rstudio with the packages statnet (Handcock,
Hunter, Butts, Goodreau, & Morris, 2008) and ndtv
(Bender-deMoll, 2014)
Observation apps
There also is a video available
17
Project 2
Peer-status measures for social
and learning relationships
Dr Chris Downey, Prof Daniel Muijs, Annie Brookman
Southampton Education School
EU Daphne III Project
Turning Obstacles into Opportunities – Early Interventions for
Developing Children's Bully Proofing Abilities
19
Peer status
Establishes peer networks in a class (Coie and Dodge, 1982)
• Children make positive (‘Most Liked’) and negative (‘Least
Liked’) peer nominations of each of their peers in the class.
– Which children do you most like to play with in your
class?
– Which children do you find it hardest to play with in
your class?
• Children nominate up to 3 children in each category but
need not nominate at all
• Results are processed using some statistical analysis and
can be used to produce a social map of the class known as a
‘sociogram’
• http://www.sussex.ac.uk/Users/robinb/socio.html
20
Peer-nomination form
Name: ________________________ School:_______________________
People you like
 to play with 
1.
2.
3.
People you find it
 hard to play with 
1.
2.
3.
People you think you
 work well with 
1.
2.
3.
People you find it
 hard to work with 
1.
2.
3.
Step into the matrix…
1 2 3 4 5 6 7 8 9 10 11 12 13 14 15 16 17 18 19 20 21 22 23 24 25 26 27 28 29
1 1 1 -1 1 -1 -1
2 1 -1 1 1 -1 -1
3 -1 -1 -1 1 1 1
4 1 1 -1 -1 1 -1
5
6 1 -1 1 1 -1 -1
7
8 1 -1 1 1 -1 -1
9 -1 1 1 -1 1 -1
10 1 -1 -1 1 1 -1
11 1 -1 -1 1 -1 1
12 1 1 -1 -1 1 -1
13 1 -1 -1 1 1 -1
14 -1 1 -1 1 -1 1
15 1 1 -1 -1 -1 1
16 -1 -1 1 -1 1 1
17 1 1 1 -1 -1 -1
18 -1 1 -1 1 -1 1
19 -1 1 1 -1 1 -1
20 1 1 -1 -1 1 -1
21 1 1 -1 1 -1 -1
22 -1 1 -1 -1 1 1
23 -1 1 1 -1 -1 1
24 -1 1 -1 1 -1 1
25
26 -1 1 1 -1 1 -1
27 -1 1 1 -1 1 -1
28 -1 1 -1 1 -1 1
29 -1 -1 1 -1 1 1
30 -1 1 1 -1 -1 1
31
ML 2 1 1 3 0 3 0 9 4 6 1 3 2 2 0 9 6 4 5 2 3 2 4 1 0 1 5 2 0
LL 4 2 3 1 0 0 0 3 1 2 1 1 9 9 4 5 3 2 4 3 6 2 4 1 0 3 2 5 1
21
22
Key
popular (hi+,lo-)
controversial (hi+,
hi-)
rejected (lo+, hi-)
neglected (lo+, lo-)
average
Social networks
Project 3
Support networks of
trainee teachers
Dr Christian Bokhove and Dr Chris Downey
Southampton Education School
Context
• Teacher training in UK
• PGCE
– Provider Led (PL)
– School Direct (SD)
– NQT
• Secondary Maths and Science
– cohort size (~35)
– Uni context
– longevity of course
Data collection
Network Related factors
Peer
(whole)
External
(ego)
Trust Network
intent
Support
views
Self-efficacy
1    
2     
3      
4      
Maths (Wave 3 Example 25)
Conclusions
• Views on support (SUPPORT), network intentionality
(NETWORK) and peer trust (TRUST) were quite trait-like
and did not change much.
• Self-perceived self-efficacy (DEVELOPMENT) increased
significantly over the four waves.
• Trainees did not develop significantly less or external ties,
but they did lose internal ties and subsequently an
increased EI-index . These changes, however, did only set in
after wave 2.
Project 4
Teacher knowledge and resource
exchange networks in schools
Dr Chris Downey
Southampton Education School
29
Background
Case studies of two schools.
• judged to be outstanding by Ofsted
• also Lead Schools in a Teaching School Alliance
Cross sectional survey of all teaching staff.
Collected bounded whole networks of teaching staff.
During the last month, with who have you …
• exchanged teaching resources?
• developed your own teaching and learning?
• exchanged data about your students?
• evaluated the data about your students?
30
Primary school –
teaching resource exchange
Where’s Waldo?
31
DHT – “You think of something like MFL.
They are physically contained in one area,
one corner of a rectangle of our school and
also, by the nature of accessing their
course...”
AHT - “It’s also about other roles those
people have as well.
Secondary school –
teaching resource exchange
32
HT – “You’re Mr Data really.”
AHT – “Too much
dependency on
one person”
Secondary school –
data collaboration
What now?
• Demo Gephi – software for SNA
• More details on one of the projects?
– Dynamic SNA of classroom interactions
– Peer-status measures for social and learning
relationships
– Support networks of trainee teachers
– Teacher knowledge and resource exchange networks
33
Exploring classroom
interaction with dynamic
social network analysis
Dr. Christian Bokhove
University of Southampton
SUNBELT XXXV
26th June 2015
Rationale
• Dynamic model (Creemers & Kyriakides, 2008)
– Multilevel: students in classrooms in schools
– Classroom interaction
• Social networks
– Actors and interactions
– Multidisciplinary (Freeman, 2004)
Classroom observation
• Review classroom dialogue Howe and Abedin (2014)
– Quantitative vs Qualitative
• TIMSS (Trends in International Mathematics and Science Study) video
study (Hiebert et al., 1999)
– Video observations
– National patterns of teaching (Givvin, Hiebert, Jacobs,
Hollingsworth, & Gallimore, 2005)
• Lesson signatures
36
SNA for classroom interaction
• Case to use SNA for
classroom interaction
• Making it dynamic
– Classroom interaction
(Moody, McFarland,
& Bender-deMoll, 2005)
• Technological and methodological advances
– Observation apps
– Video recording easier
– Statistical techniques and packages to capture temporal aspects like
Gephi, ERGMs, Rsiena, Statnet, Relevent
This project
• Use dynamic social network analysis to describe classroom
interaction
• Data analysis and visualization software
– Gephi 0.8.2 beta
– R and Rstudio with the packages statnet (Handcock,
Hunter, Butts, Goodreau, & Morris, 2008) and ndtv
(Bender-deMoll, 2014)
Observation apps
There also is a video available
Data analyses
• Three data analyses approaches
– A: transcripts of TIMSS used ‘as is’ because low effort
with existing transcripts  Gephi
– B: TIMSS videos re-observed
to get more detail  Gephi, Rstudio (statnet and ndtv)
– C: Five observation of maths lessons in a secondary
school in the south of the United Kingdom  Using
Lesson App, Gephi (incl. animations)
Data preparation
41
Two TIMSS lessons: US1 and HK1
• US1
– USA 8th grade
– Maths: graphing linear equations
– 44m, 36 students, mainly self work and private interaction
• HK1
– Hong Kong SAR 8th grade
– Maths: square numbers and roots
– 34m, 40 students, whole class first then exercises
42
Results – analysis B
HK1 US1
Nodes 44 35
Edges 51 95
Average degree 1.159 2.714
Average weighted degree 3.273 21.4129Duration of
interaction
Analysis (US1 only) - ndtv
Results – analysis C
Lesson R1 Lesson R4
Topic
Proportions Area of triangles
Year
Year 10 Year 7
Visualisation
Nodes (*)
16 25
Edges (**)
33 75
Degree
The size of the nodes indicates the total degree
Average
degree
2.062 3.0
Av.clust.coeff.
0.334 0.322
45
46
Metrics over time
47
What might it tell us?
• Teacher student interaction
– Whole class, directionality
• Student interactions
– Groups and cliques
• Individual behaviour
– Help seeking
– Disturbances
– Central students
• Perhaps, patterns over classes, schools, countries (analogue TIMSS
video study)
Conclusions and discussion
• Proof of concept to capture classroom interaction  technology useful
• SNA methods
• Longitudinal and temporal data can be modelled
• Challenges and limitations
– Quality of data (protocols)
– Capturing (all) interactions (and whole class?)
– Nature of the interactions
– Logistics and ethical with regard to video
– Complex character of analysis methods
– Interpretation
Future work
Use more advanced models
Mainly in R
• Temporal ERGM
• Rsiena
• R packages relevent (Butts, 2015) and observR (Marcum & Butts, 2015)
Aggregate data (multilevel modelling)
• Multiple lessons into a teacher or class profile
• Multiple classes/teachers into a school
• Multiple schools into countries
50
Question
• This was an example on classroom interaction. Can you
think of other examples in education. What do the nodes
denote? What do the ties denote?
Peer-status measures for social
and learning relationships
Dr Chris Downey, Prof Daniel Muijs, Annie Brookman
Southampton Education School
EU Daphne III Project
Turning Obstacles into Opportunities – Early Interventions for
Developing Children's Bully Proofing Abilities
53
Data from teachers
Child Behaviour Scale (Ladd & Profilet, 1996)
•a measure of children’s aggressive, withdrawn,
and prosocial behaviors consisiting of 17
statements
•teachers respond with 1 = doesn’t apply, 2 =
applies sometimes, 3 = certainly applies
•two scales:
(i) aggressive with peers and (ii) prosocial with
peers
54
Data from teachers
Example statements:
•Tends to react to classmates’ distress by teasing
them or making things worse
•Seems concerned when classmates are distressed
•Taunts and teases classmates
•Threatens classmates
•Is kind toward classmates
•Listens to classmates
•Compromises in conflicts with classmates
55
Peer status
Establishes peer networks in a class (Coie and Dodge, 1982)
• Children make positive (‘Most Liked’) and negative (‘Least
Liked’) peer nominations of each of their peers in the class.
– Which children do you most like to play with in your
class?
– Which children do you find it hardest to play with in
your class?
• Children nominate up to 3 children in each category but
need not nominate at all
• Results are processed using some statistical analysis and
can be used to produce a social map of the class known as a
‘sociogram’
• http://www.sussex.ac.uk/Users/robinb/socio.html
56Source: Ofsted (2007)
57
Peer-nomination form
Name: ________________________ School:_______________________
People you like
 to play with 
1.
2.
3.
People you find it
 hard to play with 
1.
2.
3.
People you think you
 work well with 
1.
2.
3.
People you find it
 hard to work with 
1.
2.
3.
Step into the matrix…
1 2 3 4 5 6 7 8 9 10 11 12 13 14 15 16 17 18 19 20 21 22 23 24 25 26 27 28 29
1 1 1 -1 1 -1 -1
2 1 -1 1 1 -1 -1
3 -1 -1 -1 1 1 1
4 1 1 -1 -1 1 -1
5
6 1 -1 1 1 -1 -1
7
8 1 -1 1 1 -1 -1
9 -1 1 1 -1 1 -1
10 1 -1 -1 1 1 -1
11 1 -1 -1 1 -1 1
12 1 1 -1 -1 1 -1
13 1 -1 -1 1 1 -1
14 -1 1 -1 1 -1 1
15 1 1 -1 -1 -1 1
16 -1 -1 1 -1 1 1
17 1 1 1 -1 -1 -1
18 -1 1 -1 1 -1 1
19 -1 1 1 -1 1 -1
20 1 1 -1 -1 1 -1
21 1 1 -1 1 -1 -1
22 -1 1 -1 -1 1 1
23 -1 1 1 -1 -1 1
24 -1 1 -1 1 -1 1
25
26 -1 1 1 -1 1 -1
27 -1 1 1 -1 1 -1
28 -1 1 -1 1 -1 1
29 -1 -1 1 -1 1 1
30 -1 1 1 -1 -1 1
31
ML 2 1 1 3 0 3 0 9 4 6 1 3 2 2 0 9 6 4 5 2 3 2 4 1 0 1 5 2 0
LL 4 2 3 1 0 0 0 3 1 2 1 1 9 9 4 5 3 2 4 3 6 2 4 1 0 3 2 5 1
58
59
Key
popular (hi+,lo-)
controversial (hi+,
hi-)
rejected (lo+, hi-)
neglected (lo+, lo-)
average
Social networks
60
Learning networks
61
Interpreting sociograms
‘Least Liked’ score
‘Most Liked’ score
Peer-status scores
1 2 3 4 5 6 7 8 9 10 11 12 13 14 15 16 17 18 19 20
ML 4 3 2 3 1 2 3 10 3 6 5 3 1 1 1 4 5 7 0 7
LL 1 3 5 0 5 1 2 1 3 0 1 1 5 10 4 8 2 4 0 2
zML 0.433253 0.013976 -0.4053 0.013976 -0.82458 -0.4053 0.013976 2.948914 0.013976 1.271806 0.85253 0.013976 -0.82458 -0.82458 -0.82458 0.433253 0.85253 1.691083 -1.24385 1.691083
zLL -0.82605 0 0.826047 -1.23907 0.826047 -0.82605 -0.41302 -0.82605 0 -1.23907 -0.82605 -0.82605 0.826047 2.891163 0.413023 2.065116 -0.41302 0.413023 -1.23907 -0.41302
SOCPREF 1.259299 0.013976 -1.23135 1.253046 -1.65062 0.420746 0.426999 3.774961 0.013976 2.510876 1.678576 0.840022 -1.65062 -3.71574 -1.2376 -1.63186 1.265553 1.27806 -0.00478 2.104107
SOCIMP -0.39279 0.013976 0.420746 -1.22509 0.001469 -1.23135 -0.39905 2.122867 0.013976 0.032737 0.026483 -0.81207 0.001469 2.066585 -0.41155 2.498369 0.439506 2.104107 -2.48292 1.27806
zSOCPREF 0.783217 0.008692 -0.76583 0.779327 -1.0266 0.261681 0.265571 2.347823 0.008692 1.561631 1.043985 0.522449 -1.0266 -2.31099 -0.76972 -1.01493 0.787106 0.794885 -0.00298 1.308642
zSOCIMP -0.33023 0.01175 0.35373 -1.02996 0.001235 -1.03522 -0.33549 1.784741 0.01175 0.027522 0.022265 -0.68273 0.001235 1.737423 -0.346 2.100433 0.369503 1.768968 -2.08745 1.074493
StudyID 56 57 58 59 60 61 62 63 64 65 66 67 68 69 70 71 72 73 74 75
zML>0 1 1 0 1 0 0 1 1 1 1 1 1 0 0 0 1 1 1 0 1
zML<0 0 0 1 0 1 1 0 0 0 0 0 0 1 1 1 0 0 0 1 0
zLL>0 0 0 1 0 1 0 0 0 0 0 0 0 1 1 1 1 0 1 0 0
zLL<0 1 0 0 1 0 1 1 1 0 1 1 1 0 0 0 0 1 0 1 1
zSOCPREF>1 0 0 0 0 0 0 0 1 0 1 1 0 0 0 0 0 0 0 0 1
zSOCPREF<-1 0 0 0 0 1 0 0 0 0 0 0 0 1 1 0 1 0 0 0 0
zSOCIMP>1 0 0 0 0 0 0 0 1 0 0 0 0 0 1 0 1 0 1 0 1
zSOCIMP<-1 0 0 0 1 0 1 0 0 0 0 0 0 0 0 0 0 0 0 1 0
Popular 0 0 0 0 0 0 0 1 0 1 1 0 0 0 0 0 0 0 0 1
Rejected 0 0 0 0 1 0 0 0 0 0 0 0 1 1 0 0 0 0 0 0
Controversial 0 0 0 0 0 0 0 0 0 0 0 0 0 0 0 1 0 1 0 0
Neglected 0 0 0 0 0 1 0 0 0 0 0 0 0 0 0 0 0 0 1 0
Class 1 2 3 4 5 6 7 8 9 10 11 12 13 14 15 16 17 18 19 20
62
63
Friendship network
64
Learning network
65
References
• Coie, J.D. and Dodge, K.A. (1982) Continuities and Changes in
Children's Social Status: A Five-Year Longitudinal Study, Merrill-
Palmer Quarterly, 29(3), 261-282.
• Ofsted (2007) Developing social, emotional and behavioural skills in
secondary schools: A five term longitudinal evaluation of the Secondary
National Strategy pilot, (London, Office for Standards in Education).
Mapping Changes in Support: A
Longitudinal Analysis of
Networks of Preservice
Mathematics and Science
Teachers
Christopher Downey
Christian Bokhove
Social Side of Teacher Education Symposium
AERA Annual Meeting – Washington, DC 8-12 April 2016
Context
• Teacher training in UK
• PGCE
– Provider Led (PL)
– School Direct (SD)
– NQT
• Secondary Maths and Science
– cohort size (~35)
– Uni context
– longevity of course
Role of networks
Liou, Forbes, Hsiao, Moolenaar & Daly (2013)
•Pre-service elementary school teachers - mathematics
– Trust and self‐efficacy are positively associated with
pre‐service teacher’s outcome performance on a
mathematics teaching assessment.
– The social network position of a pre‐service teacher is
also related to performance.
•Importance of support relationships as a buffer/resilience in
a pressured environment
Liou, Y. , Forbes, C. A., Hsuao, J. , Moolenaar, N. and Daly, A. J. , (2013) "Investing in Potential: Exploring Preservice Teachers’
Social Capital and Outcomes" Paper presented at the annual meeting of the UCEA Annual Convention, Hyatt Regency,
Indianapolis, IN Online <PDF>. 2014-12-10 from http://citation.allacademic.com/meta/p674423_index.html
Data
• General
– Basic demographic (sex, age)
– Programme of Study (subject, mode)
• Related factors
– Peer trust
– Self perception of development as teachers
– Views on support
– Network intentionality
• Peer-network (bounded whole networks for Ma & Sci)
• Wider network (external actors from different categories)
Approach
• Longitudinal - 4 ‘waves’ of data collection (every 2 months)
– PL and SD differences in programme structure
• Directed network question: “During the last month, to
whom have you turned for support?”
• Both instrumental and affective aspects of support
• Online questionnaire instrument
– shared instruments (San Diego & Barcelona)
Research question
RQ1: Are certain network characteristics (such as network
homophily, network intentionality, peer trust and views on
support) significantly associated with the growth in perceived
self-efficacy of these pre-service teachers?
RQ2: How do the support networks of trainee teachers vary
between Provider Led (PL) and School Direct (SD)
programmes?
General
• Gender
• Age
• Subject
• Providerled or Schooldirect
Network intentionality
• 22 questions
• 5 point Likert scale
• Example question
– I attempt to connect to people who are prominent or central in the
course/at school
– I periodically evaluate the nature of my connections and networks
within the course/at school
Ego network metrics
Data collection
Network Related factors
Peer
(whole)
External
(ego)
Trust Network
intent
Support
views
Self-efficacy
1    
2     
3      
4      
Response Rates
Subject 1 2 3 4
Maths
(37)
35 28 29 29
95% 81% 94% 90%
Science
(40)
38 33 32 31
95% 83% 86% 83%
Total 73 61 61 60
77
Wave 1 2 3 4
M StD M StD M StD M StD
Age category 2.05 1.57 1.80 1.18 1.90 1.19 1.87 1.19
Gender 0.49 0.50 0.49 0.50 0.54 0.50 0.55 0.50
Subject 0.52 0.50 0.54 0.50 0.52 0.50 0.52 0.50
Program 0.29 0.46 0.21 0.41 0.25 0.43 0.23 0.43
SUPPORT 4.77 0.45 4.68 0.39 4.66 0.45
NETWORK 3.39 0.34 3.46 0.36 3.43 0.33
DEVELOPME
NT
4.87 1.48 5.74 1.05 6.48 0.79 6.84 0.87
TRUST 6.69 1.61 7.13 1.54 7.19 1.85
E 5.42 3.65 6.00 3.74 5.90 3.73 5.40 3.42
I 10.86 7.09 11.28 7.46 7.59 5.36 5.33 4.65
EI-index -0.25 0.46 -0.24 0.41 -0.05 0.44 0.08 0.49
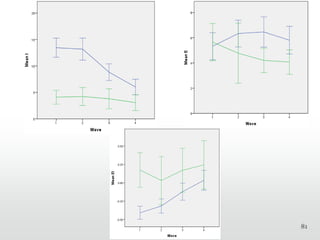
Observations repeated ANOVA
• TRUST, NETWORK, SUPPORT constant
• DEVELOPMENT increased: F(1.900, 77.925) = 21.032,
p<0.001
• E not significantly different over waves: F(2.351,
119.884)=.908, p=.419
• I and EI were different over waves but not from wave 1 to
wave 2: F(2.521, 128.578)=22.238, p<.001 and F(2.389,
119.467)=17.589, p<.001
78
Maths (Wave 3 Example 25)
80
81
Regression
B SE B β
Step 1
1 (Constant) 2.574 1.361
SUPPORT .750 .252 .392 **
NETWORK .126 .382 .047
TRUST .045 .063 .095
Step 2
2 (Constant) 2.202 1.314
SUPPORT .768 .243 .402 **
NETWORK .198 .364 .074
TRUST .019 .062 .040
NETWORKGAIN -.038 .014 -.347 *
EIGAIN -.030 .222 -.018
82
Conclusions
• Views on support (SUPPORT), network intentionality
(NETWORK) and peer trust (TRUST) were quite trait-like
and did not change much.
• Self-perceived self-efficacy (DEVELOPMENT) increased
significantly over the four waves.
• Trainees did not develop significantly less or external ties,
but they did lose internal ties and subsequently an
increased EI-index . These changes, however, did only set in
after wave 2.
Differences PL and SD
• Self-perceived efficacy as represented by DEVELOPMENT
between the two groups SD and PL differed: SD starts out
higher, but PL increases more from wave 1 to 4.
• <add some more points from last page paper>
84
Selected references
Bender-deMoll, S. 2014. ndtv: Network Dynamic Temporal Visualizations. R package version 0.5.1. [Software].
Available from http://CRAN.R-project.org/package=ndtv
Butts, C.T. (2015). relevent: Relational Event Models. R package version 1.0-4, URL http:
//CRAN.R-project.org/package=relevent.
Creemers, B. P. M., & Kyriakides, L. (2008). The dynamics of educational effectiveness: A contribution to policy,
practice and theory in contemporary schools. London: Routledge
Freeman, L. (2004). The development of Social Network Analysis: A Study in the Sociology of Science. Empirical
Press.
Gephi Consortium. (2014). Gephi (Version 0.8.2 beta) [Software]. Available from https://gephi.github.io/
Givvin, K.B., Hiebert, J., Jacobs, J.K., Hollingsworth, H., & Gallimore, R. (2005). Are there national patterns of
teaching? Evidence from the TIMSS 1999 Video Study. Comparative Education Review, 49(3), 311-343.
Handcock, M.S., D. Hunter, C. Butts, S. Goodreau, P. Krivitsky, S. Bender-deMoll, and M. Morris. 2014. Statnet:
Software Tools for the Statistical Analysis of Network Data. The Statnet Project. http://www.statnet.org. R package
version 2014.2.0.
Hiebert, J., Gallimore, R., Garnier, H., Givvin, K. B., Hollingsworth, H., Jacobs, J., Chui, A. M., Wearne, D., Smith, M.,
Kersting, N., Manaster, A., Tseng, E., Etterbeek, W., Manaster, C., Gonzales, P., & Stigler, J. (2003). Teaching
Mathematics in Seven Countries: Results from the TIMSS 1999 Video Study, NCES (2003-013), U.S. Department of
Education. Washington, DC: National Center for Education Statistics.
Howe, C., & Abedin, M. (2013). Classroom dialogue: A systematic review across four decades of research, Cambridge
Journal of Education, 43(3), 325-356.
Marcum, C.S., & Butts, C.T. (2015). Constructing and Modifying Sequence Statistics for relevent Using informR in R.
Journal of Statistical Software, 64(5).
Moody, J., McFarland, D.A., & Bender-deMoll, S. (2005). Dynamic network visualization: Methods for meaning with
longitudinal network movies. American Journal of Sociology, 110, 1206-1241.
Utilising social network
approaches to determine the
roles of teachers within key
resource-sharing networks
in schools
Dr Chris Downey
Associate Professor in Education
Southampton Education School
ICSEI 2016 Glasgow 8th July 2016
87
Background
Case studies of two schools.
• judged to be outstanding by Ofsted
• also Lead Schools in a Teaching School Alliance
Cross sectional survey of all teaching staff.
Collected bounded whole networks of teaching staff.
During the last month, with who have you …
• exchanged teaching resources?
• developed your own teaching and learning?
• exchanged data about your students?
• evaluated the data about your students?
88
Network graphs - key
• each square/shape is a
teacher
• Each nomination is
represented by an arrow
(tie)
• A reciprocated nomination
is represented by a double-
headed arrow
• The size of each square
indicates how sought after
the teacher is for the
resource in question (in-
degree).
All classroom teachers and leaders in each
school were asked to nominate those
colleagues with whom they had engaged
over the previous month in four areas of
practice; two related to learning and
teaching and two related to data use.
89
Primary school –
teaching resource exchange
Where’s Waldo?
90
Primary school –
data exchange
91
Primary school –
learning & teaching collaboration
92
Primary school –
learning & teaching collaboration
“Someone told me it was because I am
approachable. I think it’s also because
I’m a classroom teacher”
Why do people come
to you?
“I was an Advanced Skills Teacher and now I’m a Specialist Leader of
Education. Next year I will be given a role out of the classroom.
I go to visit other schools and when I see new ideas I bring them back
here and share them.
“Sometimes I come back and kiss the ground and realise how grateful I
am to be working in a school like this.”
Av deg 4.6 Andy – outdegree 8 (3rd); indegree 10(1st =); betweeness 2nd
P4C - “That’s how it works. You find something and research it and 9
times out of 10 she will say yes”
“I have asked for two half days to keep
me grounded in the classroom”
How will that work
in the new role?
93
Primary school –
data collaboration
“There are two key
people I go to, and we
all go to, in making
sense of the data”
“They are the people
that have the know-how
to make sense of the
data”
“Even in this school we have our core people who are
familiar with the data and after that it falls off”
94
Primary school –
Learning & Teaching collaboration
95
DHT – “You think of something like MFL.
They are physically contained in one area,
one corner of a rectangle of our school and
also, by the nature of accessing their
course...”
AHT - “It’s also about other roles those
people have as well.
Secondary school –
teaching resource exchange
96
DHT - “The large red block, blue block and the
grey block we would hope are people one our T&L
steering group…
That’s what we would want it to be”
Secondary school –
teaching resource exchange
97
AHT – “We’d expect [teachers A, B & C] to be there.
Someone like [teacher D] would be increasingly in the middle], more over
last year.”
DHT - “ And also [teacher E]
Secondary school –
learning & teaching collaboration
98
HT–“Now that is really encouraging... Very encouraging. That has been totally
intentional.
DHT–“The Lead Teacher idea started… because we wanted to spread good
practice more widely than by just having ASTs. We grew them didn’t we?”
HT–“They were identified and promoted through as lead professionals.”
AHT-“These are people who we have identified as exemplary teachers that
also have a certain skill.”
Someone like myself would be well recognised as very, very good teachers but
don’t necessarily have that transferable skill…They have trainability. They
provide good quality training resources. They are also very accessible by the
nature of the people they are and we have grown them because they are the
people who we would hope would act as hubs.”
Secondary school –
learning & teaching collaboration
99
AHT – “This doesn’t surprise me… [science have] an internal data system
they put out there. ‘We have our own system, we set up our [data type] in a
certain way’.
This makes sense to me. Maths share their own data, ‘Because our data
doesn’t make sense to other people’.
Secondary school –
data exchange
100
AHT – “The fact that this cluster sits together it kind of aligns well with that
doesn’t it? I’ve been in a 2.5 hour meeting where we’ve discussed 20 odd kids
moving in the literacy groups poring through assessments and sheets.”
“We’ve made an ueber faculty in a very loose sense. They’ve become cousins
in a funny old way. We’ve almost forced a link with English.”
Secondary school –
data exchange
101
AHT – “I don’t think they should interplay for a funny old reason, but most
people who are slightly detached from teaching and learning think they
should interplay.
“That pedagogical discussion, why does it need to have any form of data
as a basis to it? Is it an art or a science, and it’s an art really isn't it? You
kind of feel your way around pedagogy don’t you? ...The data signposts
something.”
“If you look at our more able groups, we’ve never discussed the data of
children once, and I think that’s a healthy thing… The networks should
relate but I wouldn’t want to see them overlap.”
Secondary school –
data collaboration
102
HT – “You’re Mr Data really.”
AHT – “Too much
dependency on
one person”
Secondary school –
data collaboration
103
Secondary school –
learning & teaching collaboration
AHT – “The red that that is English is right in the centre of the diagram. So
pedagogically speaking that’s a hub in itself. We set up literacy as a key
dimension here. This suggests that our literacy programme is at the centre
of all that we do. That’s why we get interplay between these other
subjects…If you had done this 3 years ago they would actually have been
separate hubs…A couple of years ago you would probably have seen 6 or
7 people interplaying…
This is the extraordinary bit for me. It looks to me like an intended
consequence of something we chose to do”
HT – “For me the point is we set out to do something and it looks as
though we might be achieving it to some degree… I really am encouraged
through…I was always taught that structure follows strategy. That’s why
we are where we are”
Me - “This is your staff telling you what the structure for teaching and
learning is in your school. If it matches your intention I think that’s really
quite something.”
104
Global thoughts on networks…
Split site school - L&T collaboration
105
Split site school - data sense-making
106
Split site school - data sense-making Betweeenness
107
Data sense-making– all levels of impact
108
Data sense-making–impact >1
109
Data sense-making–impact >2
110
Data sense-making–impact >3
111
Data sense-making–impact >4
112

Social Network Analysis: applications for education research

  • 1.
    Social Network Analysis: applicationsfor education research Dr Chris Downey and Dr Christian Bokhove Southampton Education School Seminar Series 16th March 2017 The first 33 slides make up the main talk. The rest of the slides provide details for each of the four projects. Slide 33 functions as a ‘table of contents.
  • 2.
  • 3.
    Contents • What isSocial Network Analysis? • Multilevel nature • At the classroom level – Dynamic SNA of classroom interactions – Peer-status measures for social and learning relationships • At the institutional/system level – Support networks of trainee teachers – Teacher knowledge and resource exchange networks
  • 4.
    Social Network Analysis •Social network analysis (SNA) looks at social relationships in terms of network theory, consisting of nodes, representing actors within the network, and ties (or edges) which represent relationships between the actors.
  • 5.
    History Originally the conceptof ‘social networks’ has been studied since the early 20th century to explore relationships between members of social systems. In more recent years, social network analysis has found applications in various academic disciplines, as well as practical applications such as countering money laundering and terrorism.
  • 7.
    Growth of SocialNetwork Publications
  • 8.
    Freeman (2004) Freeman (2004)reviewed the development of SNA from its earliest beginnings until the late 1990s. He characterizes SNA as involving four things I. the intuition that links among social actors are important; II. it is based on the collection and analysis of data that record social relations that link actors; III. it draws heavily on graphic imagery to reveal and display the patterning of those links, and IV. it develops mathematical and computational models to describe and explain those patterns.
  • 9.
    Fictional example The applicationof SNA to classroom interaction is demonstrated by the fictional network in figure 1 of one teacher T01, and seven students S01 to S07, six nodes in total. The nodes can have attributes, for example gender, which is indicated by a colour (blue=female, pink=male).
  • 11.
    Gephi • Show gephiwith this file
  • 12.
    Project 1 Dynamic SNAof classroom interactions Dr Christian Bokhove Southampton Education School
  • 13.
    Classroom observation • Reviewclassroom dialogue Howe and Abedin (2014) – Quantitative vs Qualitative • TIMSS (Trends in International Mathematics and Science Study) video study (Hiebert et al., 1999) – Video observations – National patterns of teaching (Givvin, Hiebert, Jacobs, Hollingsworth, & Gallimore, 2005) • Lesson signatures 13
  • 14.
    SNA for classroominteraction • Case to use SNA for classroom interaction • Making it dynamic – Classroom interaction (Moody, McFarland, & Bender-deMoll, 2005) • Technological and methodological advances – Observation apps – Video recording easier – Statistical techniques and packages to capture temporal aspects like Gephi, ERGMs, Rsiena, Statnet, Relevent
  • 15.
    This project • Usedynamic social network analysis to describe classroom interaction • Data analysis and visualization software – Gephi 0.8.2 beta – R and Rstudio with the packages statnet (Handcock, Hunter, Butts, Goodreau, & Morris, 2008) and ndtv (Bender-deMoll, 2014)
  • 16.
    Observation apps There alsois a video available
  • 17.
  • 18.
    Project 2 Peer-status measuresfor social and learning relationships Dr Chris Downey, Prof Daniel Muijs, Annie Brookman Southampton Education School EU Daphne III Project Turning Obstacles into Opportunities – Early Interventions for Developing Children's Bully Proofing Abilities
  • 19.
    19 Peer status Establishes peernetworks in a class (Coie and Dodge, 1982) • Children make positive (‘Most Liked’) and negative (‘Least Liked’) peer nominations of each of their peers in the class. – Which children do you most like to play with in your class? – Which children do you find it hardest to play with in your class? • Children nominate up to 3 children in each category but need not nominate at all • Results are processed using some statistical analysis and can be used to produce a social map of the class known as a ‘sociogram’ • http://www.sussex.ac.uk/Users/robinb/socio.html
  • 20.
    20 Peer-nomination form Name: ________________________School:_______________________ People you like  to play with  1. 2. 3. People you find it  hard to play with  1. 2. 3. People you think you  work well with  1. 2. 3. People you find it  hard to work with  1. 2. 3.
  • 21.
    Step into thematrix… 1 2 3 4 5 6 7 8 9 10 11 12 13 14 15 16 17 18 19 20 21 22 23 24 25 26 27 28 29 1 1 1 -1 1 -1 -1 2 1 -1 1 1 -1 -1 3 -1 -1 -1 1 1 1 4 1 1 -1 -1 1 -1 5 6 1 -1 1 1 -1 -1 7 8 1 -1 1 1 -1 -1 9 -1 1 1 -1 1 -1 10 1 -1 -1 1 1 -1 11 1 -1 -1 1 -1 1 12 1 1 -1 -1 1 -1 13 1 -1 -1 1 1 -1 14 -1 1 -1 1 -1 1 15 1 1 -1 -1 -1 1 16 -1 -1 1 -1 1 1 17 1 1 1 -1 -1 -1 18 -1 1 -1 1 -1 1 19 -1 1 1 -1 1 -1 20 1 1 -1 -1 1 -1 21 1 1 -1 1 -1 -1 22 -1 1 -1 -1 1 1 23 -1 1 1 -1 -1 1 24 -1 1 -1 1 -1 1 25 26 -1 1 1 -1 1 -1 27 -1 1 1 -1 1 -1 28 -1 1 -1 1 -1 1 29 -1 -1 1 -1 1 1 30 -1 1 1 -1 -1 1 31 ML 2 1 1 3 0 3 0 9 4 6 1 3 2 2 0 9 6 4 5 2 3 2 4 1 0 1 5 2 0 LL 4 2 3 1 0 0 0 3 1 2 1 1 9 9 4 5 3 2 4 3 6 2 4 1 0 3 2 5 1 21
  • 22.
    22 Key popular (hi+,lo-) controversial (hi+, hi-) rejected(lo+, hi-) neglected (lo+, lo-) average Social networks
  • 23.
    Project 3 Support networksof trainee teachers Dr Christian Bokhove and Dr Chris Downey Southampton Education School
  • 24.
    Context • Teacher trainingin UK • PGCE – Provider Led (PL) – School Direct (SD) – NQT • Secondary Maths and Science – cohort size (~35) – Uni context – longevity of course
  • 25.
    Data collection Network Relatedfactors Peer (whole) External (ego) Trust Network intent Support views Self-efficacy 1     2      3       4      
  • 26.
    Maths (Wave 3Example 25)
  • 27.
    Conclusions • Views onsupport (SUPPORT), network intentionality (NETWORK) and peer trust (TRUST) were quite trait-like and did not change much. • Self-perceived self-efficacy (DEVELOPMENT) increased significantly over the four waves. • Trainees did not develop significantly less or external ties, but they did lose internal ties and subsequently an increased EI-index . These changes, however, did only set in after wave 2.
  • 28.
    Project 4 Teacher knowledgeand resource exchange networks in schools Dr Chris Downey Southampton Education School
  • 29.
    29 Background Case studies oftwo schools. • judged to be outstanding by Ofsted • also Lead Schools in a Teaching School Alliance Cross sectional survey of all teaching staff. Collected bounded whole networks of teaching staff. During the last month, with who have you … • exchanged teaching resources? • developed your own teaching and learning? • exchanged data about your students? • evaluated the data about your students?
  • 30.
    30 Primary school – teachingresource exchange Where’s Waldo?
  • 31.
    31 DHT – “Youthink of something like MFL. They are physically contained in one area, one corner of a rectangle of our school and also, by the nature of accessing their course...” AHT - “It’s also about other roles those people have as well. Secondary school – teaching resource exchange
  • 32.
    32 HT – “You’reMr Data really.” AHT – “Too much dependency on one person” Secondary school – data collaboration
  • 33.
    What now? • DemoGephi – software for SNA • More details on one of the projects? – Dynamic SNA of classroom interactions – Peer-status measures for social and learning relationships – Support networks of trainee teachers – Teacher knowledge and resource exchange networks 33
  • 34.
    Exploring classroom interaction withdynamic social network analysis Dr. Christian Bokhove University of Southampton SUNBELT XXXV 26th June 2015
  • 35.
    Rationale • Dynamic model(Creemers & Kyriakides, 2008) – Multilevel: students in classrooms in schools – Classroom interaction • Social networks – Actors and interactions – Multidisciplinary (Freeman, 2004)
  • 36.
    Classroom observation • Reviewclassroom dialogue Howe and Abedin (2014) – Quantitative vs Qualitative • TIMSS (Trends in International Mathematics and Science Study) video study (Hiebert et al., 1999) – Video observations – National patterns of teaching (Givvin, Hiebert, Jacobs, Hollingsworth, & Gallimore, 2005) • Lesson signatures 36
  • 37.
    SNA for classroominteraction • Case to use SNA for classroom interaction • Making it dynamic – Classroom interaction (Moody, McFarland, & Bender-deMoll, 2005) • Technological and methodological advances – Observation apps – Video recording easier – Statistical techniques and packages to capture temporal aspects like Gephi, ERGMs, Rsiena, Statnet, Relevent
  • 38.
    This project • Usedynamic social network analysis to describe classroom interaction • Data analysis and visualization software – Gephi 0.8.2 beta – R and Rstudio with the packages statnet (Handcock, Hunter, Butts, Goodreau, & Morris, 2008) and ndtv (Bender-deMoll, 2014)
  • 39.
    Observation apps There alsois a video available
  • 40.
    Data analyses • Threedata analyses approaches – A: transcripts of TIMSS used ‘as is’ because low effort with existing transcripts  Gephi – B: TIMSS videos re-observed to get more detail  Gephi, Rstudio (statnet and ndtv) – C: Five observation of maths lessons in a secondary school in the south of the United Kingdom  Using Lesson App, Gephi (incl. animations)
  • 41.
  • 42.
    Two TIMSS lessons:US1 and HK1 • US1 – USA 8th grade – Maths: graphing linear equations – 44m, 36 students, mainly self work and private interaction • HK1 – Hong Kong SAR 8th grade – Maths: square numbers and roots – 34m, 40 students, whole class first then exercises 42
  • 43.
    Results – analysisB HK1 US1 Nodes 44 35 Edges 51 95 Average degree 1.159 2.714 Average weighted degree 3.273 21.4129Duration of interaction
  • 44.
  • 45.
    Results – analysisC Lesson R1 Lesson R4 Topic Proportions Area of triangles Year Year 10 Year 7 Visualisation Nodes (*) 16 25 Edges (**) 33 75 Degree The size of the nodes indicates the total degree Average degree 2.062 3.0 Av.clust.coeff. 0.334 0.322 45
  • 46.
  • 47.
  • 48.
    What might ittell us? • Teacher student interaction – Whole class, directionality • Student interactions – Groups and cliques • Individual behaviour – Help seeking – Disturbances – Central students • Perhaps, patterns over classes, schools, countries (analogue TIMSS video study)
  • 49.
    Conclusions and discussion •Proof of concept to capture classroom interaction  technology useful • SNA methods • Longitudinal and temporal data can be modelled • Challenges and limitations – Quality of data (protocols) – Capturing (all) interactions (and whole class?) – Nature of the interactions – Logistics and ethical with regard to video – Complex character of analysis methods – Interpretation
  • 50.
    Future work Use moreadvanced models Mainly in R • Temporal ERGM • Rsiena • R packages relevent (Butts, 2015) and observR (Marcum & Butts, 2015) Aggregate data (multilevel modelling) • Multiple lessons into a teacher or class profile • Multiple classes/teachers into a school • Multiple schools into countries 50
  • 51.
    Question • This wasan example on classroom interaction. Can you think of other examples in education. What do the nodes denote? What do the ties denote?
  • 52.
    Peer-status measures forsocial and learning relationships Dr Chris Downey, Prof Daniel Muijs, Annie Brookman Southampton Education School EU Daphne III Project Turning Obstacles into Opportunities – Early Interventions for Developing Children's Bully Proofing Abilities
  • 53.
    53 Data from teachers ChildBehaviour Scale (Ladd & Profilet, 1996) •a measure of children’s aggressive, withdrawn, and prosocial behaviors consisiting of 17 statements •teachers respond with 1 = doesn’t apply, 2 = applies sometimes, 3 = certainly applies •two scales: (i) aggressive with peers and (ii) prosocial with peers
  • 54.
    54 Data from teachers Examplestatements: •Tends to react to classmates’ distress by teasing them or making things worse •Seems concerned when classmates are distressed •Taunts and teases classmates •Threatens classmates •Is kind toward classmates •Listens to classmates •Compromises in conflicts with classmates
  • 55.
    55 Peer status Establishes peernetworks in a class (Coie and Dodge, 1982) • Children make positive (‘Most Liked’) and negative (‘Least Liked’) peer nominations of each of their peers in the class. – Which children do you most like to play with in your class? – Which children do you find it hardest to play with in your class? • Children nominate up to 3 children in each category but need not nominate at all • Results are processed using some statistical analysis and can be used to produce a social map of the class known as a ‘sociogram’ • http://www.sussex.ac.uk/Users/robinb/socio.html
  • 56.
  • 57.
    57 Peer-nomination form Name: ________________________School:_______________________ People you like  to play with  1. 2. 3. People you find it  hard to play with  1. 2. 3. People you think you  work well with  1. 2. 3. People you find it  hard to work with  1. 2. 3.
  • 58.
    Step into thematrix… 1 2 3 4 5 6 7 8 9 10 11 12 13 14 15 16 17 18 19 20 21 22 23 24 25 26 27 28 29 1 1 1 -1 1 -1 -1 2 1 -1 1 1 -1 -1 3 -1 -1 -1 1 1 1 4 1 1 -1 -1 1 -1 5 6 1 -1 1 1 -1 -1 7 8 1 -1 1 1 -1 -1 9 -1 1 1 -1 1 -1 10 1 -1 -1 1 1 -1 11 1 -1 -1 1 -1 1 12 1 1 -1 -1 1 -1 13 1 -1 -1 1 1 -1 14 -1 1 -1 1 -1 1 15 1 1 -1 -1 -1 1 16 -1 -1 1 -1 1 1 17 1 1 1 -1 -1 -1 18 -1 1 -1 1 -1 1 19 -1 1 1 -1 1 -1 20 1 1 -1 -1 1 -1 21 1 1 -1 1 -1 -1 22 -1 1 -1 -1 1 1 23 -1 1 1 -1 -1 1 24 -1 1 -1 1 -1 1 25 26 -1 1 1 -1 1 -1 27 -1 1 1 -1 1 -1 28 -1 1 -1 1 -1 1 29 -1 -1 1 -1 1 1 30 -1 1 1 -1 -1 1 31 ML 2 1 1 3 0 3 0 9 4 6 1 3 2 2 0 9 6 4 5 2 3 2 4 1 0 1 5 2 0 LL 4 2 3 1 0 0 0 3 1 2 1 1 9 9 4 5 3 2 4 3 6 2 4 1 0 3 2 5 1 58
  • 59.
    59 Key popular (hi+,lo-) controversial (hi+, hi-) rejected(lo+, hi-) neglected (lo+, lo-) average Social networks
  • 60.
  • 61.
  • 62.
    Peer-status scores 1 23 4 5 6 7 8 9 10 11 12 13 14 15 16 17 18 19 20 ML 4 3 2 3 1 2 3 10 3 6 5 3 1 1 1 4 5 7 0 7 LL 1 3 5 0 5 1 2 1 3 0 1 1 5 10 4 8 2 4 0 2 zML 0.433253 0.013976 -0.4053 0.013976 -0.82458 -0.4053 0.013976 2.948914 0.013976 1.271806 0.85253 0.013976 -0.82458 -0.82458 -0.82458 0.433253 0.85253 1.691083 -1.24385 1.691083 zLL -0.82605 0 0.826047 -1.23907 0.826047 -0.82605 -0.41302 -0.82605 0 -1.23907 -0.82605 -0.82605 0.826047 2.891163 0.413023 2.065116 -0.41302 0.413023 -1.23907 -0.41302 SOCPREF 1.259299 0.013976 -1.23135 1.253046 -1.65062 0.420746 0.426999 3.774961 0.013976 2.510876 1.678576 0.840022 -1.65062 -3.71574 -1.2376 -1.63186 1.265553 1.27806 -0.00478 2.104107 SOCIMP -0.39279 0.013976 0.420746 -1.22509 0.001469 -1.23135 -0.39905 2.122867 0.013976 0.032737 0.026483 -0.81207 0.001469 2.066585 -0.41155 2.498369 0.439506 2.104107 -2.48292 1.27806 zSOCPREF 0.783217 0.008692 -0.76583 0.779327 -1.0266 0.261681 0.265571 2.347823 0.008692 1.561631 1.043985 0.522449 -1.0266 -2.31099 -0.76972 -1.01493 0.787106 0.794885 -0.00298 1.308642 zSOCIMP -0.33023 0.01175 0.35373 -1.02996 0.001235 -1.03522 -0.33549 1.784741 0.01175 0.027522 0.022265 -0.68273 0.001235 1.737423 -0.346 2.100433 0.369503 1.768968 -2.08745 1.074493 StudyID 56 57 58 59 60 61 62 63 64 65 66 67 68 69 70 71 72 73 74 75 zML>0 1 1 0 1 0 0 1 1 1 1 1 1 0 0 0 1 1 1 0 1 zML<0 0 0 1 0 1 1 0 0 0 0 0 0 1 1 1 0 0 0 1 0 zLL>0 0 0 1 0 1 0 0 0 0 0 0 0 1 1 1 1 0 1 0 0 zLL<0 1 0 0 1 0 1 1 1 0 1 1 1 0 0 0 0 1 0 1 1 zSOCPREF>1 0 0 0 0 0 0 0 1 0 1 1 0 0 0 0 0 0 0 0 1 zSOCPREF<-1 0 0 0 0 1 0 0 0 0 0 0 0 1 1 0 1 0 0 0 0 zSOCIMP>1 0 0 0 0 0 0 0 1 0 0 0 0 0 1 0 1 0 1 0 1 zSOCIMP<-1 0 0 0 1 0 1 0 0 0 0 0 0 0 0 0 0 0 0 1 0 Popular 0 0 0 0 0 0 0 1 0 1 1 0 0 0 0 0 0 0 0 1 Rejected 0 0 0 0 1 0 0 0 0 0 0 0 1 1 0 0 0 0 0 0 Controversial 0 0 0 0 0 0 0 0 0 0 0 0 0 0 0 1 0 1 0 0 Neglected 0 0 0 0 0 1 0 0 0 0 0 0 0 0 0 0 0 0 1 0 Class 1 2 3 4 5 6 7 8 9 10 11 12 13 14 15 16 17 18 19 20 62
  • 63.
  • 64.
  • 65.
    65 References • Coie, J.D.and Dodge, K.A. (1982) Continuities and Changes in Children's Social Status: A Five-Year Longitudinal Study, Merrill- Palmer Quarterly, 29(3), 261-282. • Ofsted (2007) Developing social, emotional and behavioural skills in secondary schools: A five term longitudinal evaluation of the Secondary National Strategy pilot, (London, Office for Standards in Education).
  • 66.
    Mapping Changes inSupport: A Longitudinal Analysis of Networks of Preservice Mathematics and Science Teachers Christopher Downey Christian Bokhove Social Side of Teacher Education Symposium AERA Annual Meeting – Washington, DC 8-12 April 2016
  • 67.
    Context • Teacher trainingin UK • PGCE – Provider Led (PL) – School Direct (SD) – NQT • Secondary Maths and Science – cohort size (~35) – Uni context – longevity of course
  • 68.
    Role of networks Liou,Forbes, Hsiao, Moolenaar & Daly (2013) •Pre-service elementary school teachers - mathematics – Trust and self‐efficacy are positively associated with pre‐service teacher’s outcome performance on a mathematics teaching assessment. – The social network position of a pre‐service teacher is also related to performance. •Importance of support relationships as a buffer/resilience in a pressured environment Liou, Y. , Forbes, C. A., Hsuao, J. , Moolenaar, N. and Daly, A. J. , (2013) "Investing in Potential: Exploring Preservice Teachers’ Social Capital and Outcomes" Paper presented at the annual meeting of the UCEA Annual Convention, Hyatt Regency, Indianapolis, IN Online <PDF>. 2014-12-10 from http://citation.allacademic.com/meta/p674423_index.html
  • 69.
    Data • General – Basicdemographic (sex, age) – Programme of Study (subject, mode) • Related factors – Peer trust – Self perception of development as teachers – Views on support – Network intentionality • Peer-network (bounded whole networks for Ma & Sci) • Wider network (external actors from different categories)
  • 70.
    Approach • Longitudinal -4 ‘waves’ of data collection (every 2 months) – PL and SD differences in programme structure • Directed network question: “During the last month, to whom have you turned for support?” • Both instrumental and affective aspects of support • Online questionnaire instrument – shared instruments (San Diego & Barcelona)
  • 71.
    Research question RQ1: Arecertain network characteristics (such as network homophily, network intentionality, peer trust and views on support) significantly associated with the growth in perceived self-efficacy of these pre-service teachers? RQ2: How do the support networks of trainee teachers vary between Provider Led (PL) and School Direct (SD) programmes?
  • 72.
    General • Gender • Age •Subject • Providerled or Schooldirect
  • 73.
    Network intentionality • 22questions • 5 point Likert scale • Example question – I attempt to connect to people who are prominent or central in the course/at school – I periodically evaluate the nature of my connections and networks within the course/at school
  • 74.
  • 75.
    Data collection Network Relatedfactors Peer (whole) External (ego) Trust Network intent Support views Self-efficacy 1     2      3       4      
  • 76.
    Response Rates Subject 12 3 4 Maths (37) 35 28 29 29 95% 81% 94% 90% Science (40) 38 33 32 31 95% 83% 86% 83% Total 73 61 61 60
  • 77.
    77 Wave 1 23 4 M StD M StD M StD M StD Age category 2.05 1.57 1.80 1.18 1.90 1.19 1.87 1.19 Gender 0.49 0.50 0.49 0.50 0.54 0.50 0.55 0.50 Subject 0.52 0.50 0.54 0.50 0.52 0.50 0.52 0.50 Program 0.29 0.46 0.21 0.41 0.25 0.43 0.23 0.43 SUPPORT 4.77 0.45 4.68 0.39 4.66 0.45 NETWORK 3.39 0.34 3.46 0.36 3.43 0.33 DEVELOPME NT 4.87 1.48 5.74 1.05 6.48 0.79 6.84 0.87 TRUST 6.69 1.61 7.13 1.54 7.19 1.85 E 5.42 3.65 6.00 3.74 5.90 3.73 5.40 3.42 I 10.86 7.09 11.28 7.46 7.59 5.36 5.33 4.65 EI-index -0.25 0.46 -0.24 0.41 -0.05 0.44 0.08 0.49
  • 78.
    Observations repeated ANOVA •TRUST, NETWORK, SUPPORT constant • DEVELOPMENT increased: F(1.900, 77.925) = 21.032, p<0.001 • E not significantly different over waves: F(2.351, 119.884)=.908, p=.419 • I and EI were different over waves but not from wave 1 to wave 2: F(2.521, 128.578)=22.238, p<.001 and F(2.389, 119.467)=17.589, p<.001 78
  • 79.
    Maths (Wave 3Example 25)
  • 80.
  • 81.
  • 82.
    Regression B SE Bβ Step 1 1 (Constant) 2.574 1.361 SUPPORT .750 .252 .392 ** NETWORK .126 .382 .047 TRUST .045 .063 .095 Step 2 2 (Constant) 2.202 1.314 SUPPORT .768 .243 .402 ** NETWORK .198 .364 .074 TRUST .019 .062 .040 NETWORKGAIN -.038 .014 -.347 * EIGAIN -.030 .222 -.018 82
  • 83.
    Conclusions • Views onsupport (SUPPORT), network intentionality (NETWORK) and peer trust (TRUST) were quite trait-like and did not change much. • Self-perceived self-efficacy (DEVELOPMENT) increased significantly over the four waves. • Trainees did not develop significantly less or external ties, but they did lose internal ties and subsequently an increased EI-index . These changes, however, did only set in after wave 2.
  • 84.
    Differences PL andSD • Self-perceived efficacy as represented by DEVELOPMENT between the two groups SD and PL differed: SD starts out higher, but PL increases more from wave 1 to 4. • <add some more points from last page paper> 84
  • 85.
    Selected references Bender-deMoll, S.2014. ndtv: Network Dynamic Temporal Visualizations. R package version 0.5.1. [Software]. Available from http://CRAN.R-project.org/package=ndtv Butts, C.T. (2015). relevent: Relational Event Models. R package version 1.0-4, URL http: //CRAN.R-project.org/package=relevent. Creemers, B. P. M., & Kyriakides, L. (2008). The dynamics of educational effectiveness: A contribution to policy, practice and theory in contemporary schools. London: Routledge Freeman, L. (2004). The development of Social Network Analysis: A Study in the Sociology of Science. Empirical Press. Gephi Consortium. (2014). Gephi (Version 0.8.2 beta) [Software]. Available from https://gephi.github.io/ Givvin, K.B., Hiebert, J., Jacobs, J.K., Hollingsworth, H., & Gallimore, R. (2005). Are there national patterns of teaching? Evidence from the TIMSS 1999 Video Study. Comparative Education Review, 49(3), 311-343. Handcock, M.S., D. Hunter, C. Butts, S. Goodreau, P. Krivitsky, S. Bender-deMoll, and M. Morris. 2014. Statnet: Software Tools for the Statistical Analysis of Network Data. The Statnet Project. http://www.statnet.org. R package version 2014.2.0. Hiebert, J., Gallimore, R., Garnier, H., Givvin, K. B., Hollingsworth, H., Jacobs, J., Chui, A. M., Wearne, D., Smith, M., Kersting, N., Manaster, A., Tseng, E., Etterbeek, W., Manaster, C., Gonzales, P., & Stigler, J. (2003). Teaching Mathematics in Seven Countries: Results from the TIMSS 1999 Video Study, NCES (2003-013), U.S. Department of Education. Washington, DC: National Center for Education Statistics. Howe, C., & Abedin, M. (2013). Classroom dialogue: A systematic review across four decades of research, Cambridge Journal of Education, 43(3), 325-356. Marcum, C.S., & Butts, C.T. (2015). Constructing and Modifying Sequence Statistics for relevent Using informR in R. Journal of Statistical Software, 64(5). Moody, J., McFarland, D.A., & Bender-deMoll, S. (2005). Dynamic network visualization: Methods for meaning with longitudinal network movies. American Journal of Sociology, 110, 1206-1241.
  • 86.
    Utilising social network approachesto determine the roles of teachers within key resource-sharing networks in schools Dr Chris Downey Associate Professor in Education Southampton Education School ICSEI 2016 Glasgow 8th July 2016
  • 87.
    87 Background Case studies oftwo schools. • judged to be outstanding by Ofsted • also Lead Schools in a Teaching School Alliance Cross sectional survey of all teaching staff. Collected bounded whole networks of teaching staff. During the last month, with who have you … • exchanged teaching resources? • developed your own teaching and learning? • exchanged data about your students? • evaluated the data about your students?
  • 88.
    88 Network graphs -key • each square/shape is a teacher • Each nomination is represented by an arrow (tie) • A reciprocated nomination is represented by a double- headed arrow • The size of each square indicates how sought after the teacher is for the resource in question (in- degree). All classroom teachers and leaders in each school were asked to nominate those colleagues with whom they had engaged over the previous month in four areas of practice; two related to learning and teaching and two related to data use.
  • 89.
    89 Primary school – teachingresource exchange Where’s Waldo?
  • 90.
  • 91.
    91 Primary school – learning& teaching collaboration
  • 92.
    92 Primary school – learning& teaching collaboration “Someone told me it was because I am approachable. I think it’s also because I’m a classroom teacher” Why do people come to you? “I was an Advanced Skills Teacher and now I’m a Specialist Leader of Education. Next year I will be given a role out of the classroom. I go to visit other schools and when I see new ideas I bring them back here and share them. “Sometimes I come back and kiss the ground and realise how grateful I am to be working in a school like this.” Av deg 4.6 Andy – outdegree 8 (3rd); indegree 10(1st =); betweeness 2nd P4C - “That’s how it works. You find something and research it and 9 times out of 10 she will say yes” “I have asked for two half days to keep me grounded in the classroom” How will that work in the new role?
  • 93.
    93 Primary school – datacollaboration “There are two key people I go to, and we all go to, in making sense of the data” “They are the people that have the know-how to make sense of the data” “Even in this school we have our core people who are familiar with the data and after that it falls off”
  • 94.
    94 Primary school – Learning& Teaching collaboration
  • 95.
    95 DHT – “Youthink of something like MFL. They are physically contained in one area, one corner of a rectangle of our school and also, by the nature of accessing their course...” AHT - “It’s also about other roles those people have as well. Secondary school – teaching resource exchange
  • 96.
    96 DHT - “Thelarge red block, blue block and the grey block we would hope are people one our T&L steering group… That’s what we would want it to be” Secondary school – teaching resource exchange
  • 97.
    97 AHT – “We’dexpect [teachers A, B & C] to be there. Someone like [teacher D] would be increasingly in the middle], more over last year.” DHT - “ And also [teacher E] Secondary school – learning & teaching collaboration
  • 98.
    98 HT–“Now that isreally encouraging... Very encouraging. That has been totally intentional. DHT–“The Lead Teacher idea started… because we wanted to spread good practice more widely than by just having ASTs. We grew them didn’t we?” HT–“They were identified and promoted through as lead professionals.” AHT-“These are people who we have identified as exemplary teachers that also have a certain skill.” Someone like myself would be well recognised as very, very good teachers but don’t necessarily have that transferable skill…They have trainability. They provide good quality training resources. They are also very accessible by the nature of the people they are and we have grown them because they are the people who we would hope would act as hubs.” Secondary school – learning & teaching collaboration
  • 99.
    99 AHT – “Thisdoesn’t surprise me… [science have] an internal data system they put out there. ‘We have our own system, we set up our [data type] in a certain way’. This makes sense to me. Maths share their own data, ‘Because our data doesn’t make sense to other people’. Secondary school – data exchange
  • 100.
    100 AHT – “Thefact that this cluster sits together it kind of aligns well with that doesn’t it? I’ve been in a 2.5 hour meeting where we’ve discussed 20 odd kids moving in the literacy groups poring through assessments and sheets.” “We’ve made an ueber faculty in a very loose sense. They’ve become cousins in a funny old way. We’ve almost forced a link with English.” Secondary school – data exchange
  • 101.
    101 AHT – “Idon’t think they should interplay for a funny old reason, but most people who are slightly detached from teaching and learning think they should interplay. “That pedagogical discussion, why does it need to have any form of data as a basis to it? Is it an art or a science, and it’s an art really isn't it? You kind of feel your way around pedagogy don’t you? ...The data signposts something.” “If you look at our more able groups, we’ve never discussed the data of children once, and I think that’s a healthy thing… The networks should relate but I wouldn’t want to see them overlap.” Secondary school – data collaboration
  • 102.
    102 HT – “You’reMr Data really.” AHT – “Too much dependency on one person” Secondary school – data collaboration
  • 103.
    103 Secondary school – learning& teaching collaboration
  • 104.
    AHT – “Thered that that is English is right in the centre of the diagram. So pedagogically speaking that’s a hub in itself. We set up literacy as a key dimension here. This suggests that our literacy programme is at the centre of all that we do. That’s why we get interplay between these other subjects…If you had done this 3 years ago they would actually have been separate hubs…A couple of years ago you would probably have seen 6 or 7 people interplaying… This is the extraordinary bit for me. It looks to me like an intended consequence of something we chose to do” HT – “For me the point is we set out to do something and it looks as though we might be achieving it to some degree… I really am encouraged through…I was always taught that structure follows strategy. That’s why we are where we are” Me - “This is your staff telling you what the structure for teaching and learning is in your school. If it matches your intention I think that’s really quite something.” 104 Global thoughts on networks…
  • 105.
    Split site school- L&T collaboration 105
  • 106.
    Split site school- data sense-making 106
  • 107.
    Split site school- data sense-making Betweeenness 107
  • 108.
    Data sense-making– alllevels of impact 108
  • 109.
  • 110.
  • 111.
  • 112.