Mapping Changes in Support:
A Longitudinal Analysis of
Networks of Preservice
Mathematics and Science
Teachers
Christopher Downey
Christian Bokhove
Social Side of Teacher Education Symposium
AERA Annual Meeting – Washington, DC 8-12 April 2016
Context
• Teacher training in UK
• PGCE
– Provider Led (PL)
– School Direct (SD)
– QTS + academic study
• Secondary Maths and Science
– cohort size (~35)
– Uni context
– longevity of course
Networks and pre-service teacher outcomes
Liou, Forbes, Hsiao, Moolenaar & Daly (2013)
• Pre-service elementary school teachers - mathematics
– Trust and self‐efficacy are positively associated with
pre‐service teacher’s outcome performance on a
mathematics teaching assessment.
– The social network position of a pre‐service teacher is
also related to performance.
• Importance of support relationships as a buffer/resilience
in a pressured environment
Liou, Y. , Forbes, C. A., Hsuao, J. , Moolenaar, N. and Daly, A. J. , (2013) "Investing in Potential: Exploring Preservice Teachers’
Social Capital and Outcomes" Paper presented at the annual meeting of the UCEA Annual Convention, Hyatt Regency,
Indianapolis, IN Online <PDF>. 2014-12-10 from http://citation.allacademic.com/meta/p674423_index.html
Approach
• Longitudinal - 4 ‘waves’ of data collection (every 2 months)
– PL and SD differences in programme structure
• Directed network question: “During the last month, to
whom have you turned for support?”
• Both instrumental and affective aspects of support
• Online questionnaire instrument
– shared instruments (San Diego & Barcelona)
Research question
RQ1: Are certain network characteristics (such as network
homophily, network intentionality, peer trust and views on
support) significantly associated with the growth in perceived
self-efficacy of these pre-service teachers?
RQ2: How do the support networks of trainee teachers vary
between Provider Led (PL) and School Direct (SD)
programmes?
Data collection
• General
– Basic demographic (sex, age)
– Programme of Study (subject, mode = PL or SD)
• Relational factors (IVs)
– Peer trust
– Views on support
– Network intentionality
• Self-perception of development as teachers (DV)
• Peer-network (bounded whole networks for Ma & Sci)
• Wider network (external actors from different categories)
Summary of relational scales (IVs)
Support Trust Network intentionality
13 items 6 items 22 items
6 point Likert 9 point Likert type 5 point Likert
Consulting about
problems makes
work more
interesting
I trust my fellow
trainees.
I actively plan out
what I want my
network to look like
Asking for help can
be seen as a sign of
weakness
I find that my fellow
trainees are open to
me.
I am enthusiastic
about my network
of contacts
Development scale (DV)
3 subscales
• Classroom Management (5 items)
– How much can you control disruptive behaviour in the
classroom?
• Student Motivation (4 items)
– How much can you help your students value learning?
• Instructional Strategies (3 items)
– How well can you implement alternative teaching
strategies in your classroom?
• 9 point Likert type scales (1= not at all to 9 = always)
9
Survey nomination items
10
Peer (internal) and other
(external) supporter nominations
Maths (Wave 3 Example 25)
Ego network metrics
Data collection
Network Related factors
Peer
(whole)
External
(ego)
Trust Network
intent
Support
views
Self-efficacy
1    
2     
3      
4      
Response Rates
Subject 1 2 3 4
Maths
(37)
35 28 29 29
95% 81% 94% 90%
Science
(40)
38 33 32 31
95% 83% 86% 83%
Total 73 61 61 60
15
Wave 1 2 3 4
M StD M StD M StD M StD
Age category 2.05 1.57 1.80 1.18 1.90 1.19 1.87 1.19
Gender 0.49 0.50 0.49 0.50 0.54 0.50 0.55 0.50
Subject 0.52 0.50 0.54 0.50 0.52 0.50 0.52 0.50
Program 0.29 0.46 0.21 0.41 0.25 0.43 0.23 0.43
SUPPORT 4.77 0.45 4.68 0.39 4.66 0.45
NETWORK 3.39 0.34 3.46 0.36 3.43 0.33
DEVELOPME
NT
4.87 1.48 5.74 1.05 6.48 0.79 6.84 0.87
TRUST 6.69 1.61 7.13 1.54 7.19 1.85
E 5.42 3.65 6.00 3.74 5.90 3.73 5.40 3.42
I 10.86 7.09 11.28 7.46 7.59 5.36 5.33 4.65
EI-index -0.25 0.46 -0.24 0.41 -0.05 0.44 0.08 0.49
• Views on support (SUPPORT), network intentionality
(NETWORK) and peer trust (TRUST) were quite trait-like
and did not change much.
• Self-perceived self-efficacy (DEVELOPMENT) increased
significantly over the four waves.
Observations repeated ANOVA
• TRUST, NETWORK, SUPPORT constant
• DEVELOPMENT increased: F(1.900, 77.925) = 21.032,
p<0.001
• E not significantly different over waves: F(2.351,
119.884)=.908, p=.419
• I and EI were different over waves but not from wave 1 to
wave 2: F(2.521, 128.578)=22.238, p<.001 and F(2.389,
119.467)=17.589, p<.001
16
RQ1 - Associations
B SE B β
Step 1
1 (Constant) 2.574 1.361
SUPPORT .750 .252 .392 **
NETWORK .126 .382 .047
TRUST .045 .063 .095
Step 2
2 (Constant) 2.202 1.314
SUPPORT .768 .243 .402 **
NETWORK .198 .364 .074
TRUST .019 .062 .040
NETWORKGAIN -.038 .014 -.347 *
EIGAIN -.030 .222 -.018
17
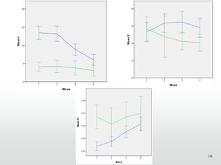
18
19
RQ2 – Programme Differences
• Trainees did not develop significantly less or external ties,
but they did lose internal ties and subsequently an
increased EI-index . These changes, however, did only set in
after wave 2.
• Self-perceived efficacy as represented by DEVELOPMENT
between the two groups SD and PL differed: SD starts out
higher, but PL increases more from wave 1 to 4.
Take away points
• Trait nature of SUPPORT, TRUST and NETWORK, but only
views on support is a predictor (positive) of perceived
DEVELOPMENT.
• Network heterogeneity increases for PL but is relatively
constant for SD. This matches programme context but is not
a predictor of DEVELOPMENT.
• NETWORKGAIN is negatively associated with
DEVELOPMENT, driven by the changes in PL support
networks.
• We assume the networks to external actors are homogenous,
but this is not the case (family, friends, mentors, colleagues)
21

Mapping changes in support

  • 1.
    Mapping Changes inSupport: A Longitudinal Analysis of Networks of Preservice Mathematics and Science Teachers Christopher Downey Christian Bokhove Social Side of Teacher Education Symposium AERA Annual Meeting – Washington, DC 8-12 April 2016
  • 2.
    Context • Teacher trainingin UK • PGCE – Provider Led (PL) – School Direct (SD) – QTS + academic study • Secondary Maths and Science – cohort size (~35) – Uni context – longevity of course
  • 3.
    Networks and pre-serviceteacher outcomes Liou, Forbes, Hsiao, Moolenaar & Daly (2013) • Pre-service elementary school teachers - mathematics – Trust and self‐efficacy are positively associated with pre‐service teacher’s outcome performance on a mathematics teaching assessment. – The social network position of a pre‐service teacher is also related to performance. • Importance of support relationships as a buffer/resilience in a pressured environment Liou, Y. , Forbes, C. A., Hsuao, J. , Moolenaar, N. and Daly, A. J. , (2013) "Investing in Potential: Exploring Preservice Teachers’ Social Capital and Outcomes" Paper presented at the annual meeting of the UCEA Annual Convention, Hyatt Regency, Indianapolis, IN Online <PDF>. 2014-12-10 from http://citation.allacademic.com/meta/p674423_index.html
  • 4.
    Approach • Longitudinal -4 ‘waves’ of data collection (every 2 months) – PL and SD differences in programme structure • Directed network question: “During the last month, to whom have you turned for support?” • Both instrumental and affective aspects of support • Online questionnaire instrument – shared instruments (San Diego & Barcelona)
  • 5.
    Research question RQ1: Arecertain network characteristics (such as network homophily, network intentionality, peer trust and views on support) significantly associated with the growth in perceived self-efficacy of these pre-service teachers? RQ2: How do the support networks of trainee teachers vary between Provider Led (PL) and School Direct (SD) programmes?
  • 6.
    Data collection • General –Basic demographic (sex, age) – Programme of Study (subject, mode = PL or SD) • Relational factors (IVs) – Peer trust – Views on support – Network intentionality • Self-perception of development as teachers (DV) • Peer-network (bounded whole networks for Ma & Sci) • Wider network (external actors from different categories)
  • 7.
    Summary of relationalscales (IVs) Support Trust Network intentionality 13 items 6 items 22 items 6 point Likert 9 point Likert type 5 point Likert Consulting about problems makes work more interesting I trust my fellow trainees. I actively plan out what I want my network to look like Asking for help can be seen as a sign of weakness I find that my fellow trainees are open to me. I am enthusiastic about my network of contacts
  • 8.
    Development scale (DV) 3subscales • Classroom Management (5 items) – How much can you control disruptive behaviour in the classroom? • Student Motivation (4 items) – How much can you help your students value learning? • Instructional Strategies (3 items) – How well can you implement alternative teaching strategies in your classroom? • 9 point Likert type scales (1= not at all to 9 = always) 9
  • 9.
    Survey nomination items 10 Peer(internal) and other (external) supporter nominations
  • 10.
    Maths (Wave 3Example 25)
  • 11.
  • 12.
    Data collection Network Relatedfactors Peer (whole) External (ego) Trust Network intent Support views Self-efficacy 1     2      3       4      
  • 13.
    Response Rates Subject 12 3 4 Maths (37) 35 28 29 29 95% 81% 94% 90% Science (40) 38 33 32 31 95% 83% 86% 83% Total 73 61 61 60
  • 14.
    15 Wave 1 23 4 M StD M StD M StD M StD Age category 2.05 1.57 1.80 1.18 1.90 1.19 1.87 1.19 Gender 0.49 0.50 0.49 0.50 0.54 0.50 0.55 0.50 Subject 0.52 0.50 0.54 0.50 0.52 0.50 0.52 0.50 Program 0.29 0.46 0.21 0.41 0.25 0.43 0.23 0.43 SUPPORT 4.77 0.45 4.68 0.39 4.66 0.45 NETWORK 3.39 0.34 3.46 0.36 3.43 0.33 DEVELOPME NT 4.87 1.48 5.74 1.05 6.48 0.79 6.84 0.87 TRUST 6.69 1.61 7.13 1.54 7.19 1.85 E 5.42 3.65 6.00 3.74 5.90 3.73 5.40 3.42 I 10.86 7.09 11.28 7.46 7.59 5.36 5.33 4.65 EI-index -0.25 0.46 -0.24 0.41 -0.05 0.44 0.08 0.49 • Views on support (SUPPORT), network intentionality (NETWORK) and peer trust (TRUST) were quite trait-like and did not change much. • Self-perceived self-efficacy (DEVELOPMENT) increased significantly over the four waves.
  • 15.
    Observations repeated ANOVA •TRUST, NETWORK, SUPPORT constant • DEVELOPMENT increased: F(1.900, 77.925) = 21.032, p<0.001 • E not significantly different over waves: F(2.351, 119.884)=.908, p=.419 • I and EI were different over waves but not from wave 1 to wave 2: F(2.521, 128.578)=22.238, p<.001 and F(2.389, 119.467)=17.589, p<.001 16
  • 16.
    RQ1 - Associations BSE B β Step 1 1 (Constant) 2.574 1.361 SUPPORT .750 .252 .392 ** NETWORK .126 .382 .047 TRUST .045 .063 .095 Step 2 2 (Constant) 2.202 1.314 SUPPORT .768 .243 .402 ** NETWORK .198 .364 .074 TRUST .019 .062 .040 NETWORKGAIN -.038 .014 -.347 * EIGAIN -.030 .222 -.018 17
  • 17.
  • 18.
  • 19.
    RQ2 – ProgrammeDifferences • Trainees did not develop significantly less or external ties, but they did lose internal ties and subsequently an increased EI-index . These changes, however, did only set in after wave 2. • Self-perceived efficacy as represented by DEVELOPMENT between the two groups SD and PL differed: SD starts out higher, but PL increases more from wave 1 to 4.
  • 20.
    Take away points •Trait nature of SUPPORT, TRUST and NETWORK, but only views on support is a predictor (positive) of perceived DEVELOPMENT. • Network heterogeneity increases for PL but is relatively constant for SD. This matches programme context but is not a predictor of DEVELOPMENT. • NETWORKGAIN is negatively associated with DEVELOPMENT, driven by the changes in PL support networks. • We assume the networks to external actors are homogenous, but this is not the case (family, friends, mentors, colleagues) 21