RF POWER AMPLIFIER
Class-A Amplifier
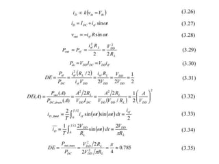
• The Class-A PA, Figure 3.5a, is the most “classical” PA with a
transistor biased so that it never turns off.
• The conduction angle is defined as the portion of the input signal
during which the transistor conducts, meaning that a Class-A PA
has a conduction angle of 360 degrees.
• The typical drain voltage and drain current waveforms are shown
in Figure 3.5b, which assume a highly linear relationship between
the signal drain current and the sinusoidal input voltage, vin(3.26).
• Due to the non-abrupt drain current, the linearity of the amplifier is
certainly high, but suffers from low efficiency due to the same
reason.
• In reality the relationship is not that perfectly linear , but the ideal
model is used since it is very tractable from an analytical
perspective.
• The basic circuit considered is shown in Figure 3.5a, with a
transistor biased at a certain voltage level with a certain bias
current, Idc, and the signal component of the drain current, irf.
• The drain current can be expressed as in (3.27). The output
voltage is the signal current multiplied with the load resistance
(3.28).
• Due to the large supply inductor, only DC current flows through
the inductor, and consequently, the signal current is just the signal
component of the drain current.
• The drain voltage is the sum of the signal voltage and DC voltage
and as the inductor is short-circuited for DC frequencies, the DC
drain voltage is the supply voltage.
• It means that the peak drain voltage is 2VDD with a peak drain
current of 2VDD/R.
• From the assumptions mentioned above, the output power can now
be stated according to (3.29) and the dissipated DC power (3.30) –
which is independent of the output RF signal.
• Eventually, the maximum efficiency of 50% can be computed
according to (3.31).
• Assuming a lower output swing (3.32) with amplitude A, the
efficiency drops significantly and more power is dissipated across
the device.
• One should also note that the efficiency of 50% in Class-A PAs is
the absolute maximum, assuming the full voltage swing is
attainable, no losses in matching network, and no amplitude
modulation is present.
Class-B Amplifier
• The ‘sister’ of Class-A PA is Class-B, which has the same type of
basic circuitry as Class-A, but is biased differently.
• In Class-B the bias voltage is adjusted such that the transistor
only conducts current half of the RF cycle, i.e. at the threshold
voltage, such that the conduction angle is 180 degrees.
• With the intermittent operation of the transistor, we can expect
more distortion on the output voltage and a high-Qtank is needed
at the output to get a fairly sinusoidal signal back.
• Similarly for the Class-B amplifier as for the Class-A amplifier,
we can analyze the drain voltage and current waveforms in
Figure 3.6, where it is assumed that the drain current is
sinusoidal for the part of the period when the transistor is
conducting, which is a quite crude approximation as the change
is abrupt.
• The fundamental component of the drain current can be
computed according to (3.33), based on Fourier coefficients.
• As the maximum output voltage is VDD, the maximum value of
the signal component of the drain current is 2VDD/RL, equal to
Class-A amplifiers.
• As the maximum output voltage is the same as for Class-A
amplifiers, the maximum output power is equal to (3.29).
• The DC supply current can also be found through Fourier
coefficients (3.34). The maximum DE of the Class-B amplifier is
found as in (3.35).
• It is clear that Class-B amplifiers achieve a significantly higher
efficiency than Class-A amplifiers, but at the expense of more
distortion.
• Class-B amplifiers are more efficient than Class-A amplifiers. The
instantaneous efficiency of a Class-B PA varies with the output
voltage and for an ideal PA reaches π/4 (78.5 %) at PEP. However
they are much less linear.
• Therefore a typical Class-B amplifier will produce quite a bit
harmonic distortion that must be filtered from the amplified signal.
Class – AB Amplifier
• This amplifier is a compromise between Class-A and Class-B in
terms of efficiency and linearity.
• The transistor is biased typically to a quiescent point, which is
somewhere in the region between the cutoff point and the Class A
bias point, at 10 to 15 percent of ICmax.
• In this case, the transistor will be ON for more than half a cycle,
but less than a full cycle of the input signal.
• Conduction angle in Class-AB is between 180 and 360 and
Efficiency is between 50 % and 78.5 %
• Class-AB has higher efficiency than Class-A at price of linearity.
• Class-AB is not a linear amplifier; a signal with an amplitude-
modulated envelope will be distorted significantly at this peak
power level.
• The reason is in fact that in Class-AB operation the conduction
angle is a function of drive level.
• Experimentally was found that Class-AB often offers a wider
dynamic range than either Class-A or Class-B operation.
• This is because gain compression in Class-AB comes from a
different, and additional, source than Class-A. Saturation effects
are primarily caused by the clipping of the RF voltage on the
supply rails.
• Running the PA in a mid-AB condition the power gain may be
3dB higher than Class-B.
• Conventional Class-AB operation incurs odd degree nonlinearities
in the process of improving efficiency.
• Theoretically to increases efficiency all the way up to 78.5 %, the
device shall generate only even order nonlinearities. Such a device
will not generate undesirable close-to-carrier intermodulation
distortion.
Class-C Amplifier
• Class- C amplifier where the conduction angle for the transistor is
significantly less than 180 .
• The transistor is biased such that under steady-state conditions no
collector current flows.
• The transistor idles at cut-off.
• Linearity of the Class-C amplifier is the poorest of the classes of
amplifiers.
• The Efficiency of Class-C can approach 85 %, which is much
better than either the Class-B or the Class-A amplifier.
• In order to bias a transistor for Class-C operation, it is necessary
to reverse bias of base-emitter junction. External biasing is usually
not needed, because is possible to force the transistor to provide its
own bias, using an RF choke from base to ground.
• One of the major problems with utilizing Class-C in solid-state
applications is the large negative swing of the input voltage, which
coincides with the collector/drain output voltage peaks.
• This is the worst condition for reverse breakdown in any kind of
transistor, and even small amounts of leakage current flowing at
this point of the cycle have an important effect on the efficiency.
• For this reason true Class-C operation is not often use in solid-
state at higher RF and Microwave frequencies.
• In order to survive Class-C operation, the transistor should have a
collector voltage breakdown that is at least three times the active
device’s own DC voltage supply.
• The reason: Class-C amplifiers have low average output power but
demand very high input drive levels.
• Thus, the transistor’s main Class-C failure mode is the low value
of the active device’s own reverse breakdown voltage, which is
unfortunately exacerbated by the RF input signal voltage going
negative just as the transistor’s collector voltage reaches its
positive peak.
Class-D Amplifier
• The voltage mode Class D amplifier is defined as a switching
circuit that results in the generation of a half-sinusoidal current
waveform and a square voltage waveform.
• Class-D PAs use two or more transistors as switches to generate a
square drain-voltage waveform.
• A series-tuned output filter passes only the fundamental-
frequency component to the load, Class-D amplifiers suffer from
a number of problems that make them difficult to realize,
especially at high frequencies.
• First, the availability of suitable devices for the upper switch is
limited.
• Secondly, device parasitics such as drain-source capacitance and
lead inductance result in losses in each cycle. If realized, (they are
common at low RF and audio frequencies) Class-D amplifiers
theoretically can reach 100% efficiency, as there is no period
during a cycle where the voltage and current waveforms overlap
(current is drawn only through the transistor that is on).
• No real amplifier can be a true Class-D, as non-zero switch
resistances and capacitive as well as inductive parasitics restrict
the shape of the drain voltage waveform.
• A unique aspect of Class-D (with infinitely fast switching) is that
efficiency is not degraded by the presence of reactance in the
load.
Class-E Amplifier
• Class-E employs a single transistor operated as a switch. The
collector/drain voltage waveform is the result of the sum of the
DC and RF currents charging the drain-shunt capacitance Cp
which is parallel with transistor internal capacitance co.
• In optimum class E, the drain voltage drops to zero and has zero
slope just as the transistor turns on.
• The result is an ideal efficiency of 100 %, elimination of the
losses associated with charging the drain capacitance in class D,
reduction of switching losses, and good tolerance of component
variation.
• A Class-E amplifier will exhibit an upper limit on its frequency
of operation based on the output capacitance required for the
output matching circuit that produces the waveforms described
and shown above.
• Specifically, a Class-E amplifier for optimum efficiency requires
an upper limit on capacitance Cs.
• The radio frequency choke (RFC) is large, with the result that
only DC current Idc flows through it.
• The Q of the output circuit consisting of Ls and Cs is high enough
so that the output current io and output voltage vo consist of only
the fundamental component. That is, all harmonics are removed
by this filter.
• The transistor behaves as a perfect switch. When it is on, the
collector/drain voltage is zero, and when it is off the collector
current is zero.
• The transistor output capacitance co, and hence Cp, is
independent of voltage.
• If a given transistor has an intrinsic capacitance co greater than
Cp_max, it is not useable at the desired frequency. This Cs
requirement implies that for high power at high frequencies,
higher current densities are required, as the cross-sectional area of
the switch corresponds directly to the device’s intrinsic
capacitance.
Class-F Amplifier
• Similar to Class-E, the Class-F amplifier employs drain voltage
waveform shaping to achieve a high efficiency.
• Figure 3.13 shows a Class-F amplifier with a transmission line at
the drain and a high-Qtank in parallel with the load resistor.
• The length of the transmission line is λ/4 at the fundamental
frequency and the Q is considered high enough to short circuit all
frequencies outside the desired bandwidth.
• Due to the transmission line, the load impedance seen at the drain
can be computed through (3.47).
• From (3.47), we can conclude that the load impedance, Z load,
seen at the drain is Z2/RL at the fundamental. At all even
harmonics, the impedance seen is RL, which is zero at all
harmonics. Moreover, at all odd harmonics, the transmission line
shows aninfinitely large impedance as the equivalent RLis equal
to zero.
• Furthermore, assuming a square drive voltage with 50% duty
cycle only containing odd harmonics, consequently the square
wave would also appear at the drain and the load current is purely
sinusoidal at the fundamental frequency.
• Figure 3.14 also reveals that the Class-F amplifier ideally is
capable of providing 100% efficiency waveforms) and from the
basic topology presented, different circuit combinations with the
same characteristics have been presented as inverse Class-F and
Class-E/F amplifiers .
Linearization Techniques
• Linearization techniques are used to enhance the linearity of the
Power Amplifier (PA) and thereby avoid inband distortion and
adjacent band interference.
• Typically, the linearization techniques are used in conjunction
with amplification of amplitude modulated signal, such as QAM
(Quadrature Amplitude Modulation), because the PAs distorts the
envelope signal of the fundamental frequency.
• The higher harmonics of the output signal are normally not
considered as they are removed by a low-pass filter.
• Many wireless systems have non or insignificant distortion
caused by phase changes of the input signal.
• The reason for this is that the ratio of the bandwidth and the
carrier frequency is much smaller than one, and the PA practically
gives a constant group delay for all the channel frequencies.
Envelope or Negative Feedback
• Envelope feedback is a special case of the polar modulation
feedback where only the envelope of the signal is measured and
corrected.
• In the simple case, the envelope detector consist of a diode as
rectifier followed by a RC low pass filter.
• The envelope feedback method can be used if amplitude
distortion is the main cause of distortion.
• Envelope feedback is also used in conjunction with constant envelope
modulation.
• For instance in GSM this method is used to control the output power,
and turn on and off the power (ramping up or down).
• The envelope generator should be realized in the DSP together with the
IQ-generator .
• The envelope signals from the DSP should be D/A converted and
compared with the envelope of the PA.
• The power is regulated using a variable gain control (VGA) proceeding
the PA.
• In other cases the lowpass filtered signal is led directly into the power
control of the PA.
• The lowpass filter is necessary to ensure stability. Since the amplitude
information is on both inputs of the VGA this is multiplicative
feedback.
• The feedback can be based on the power of the PA output signal instead
of the envelope. In this cased the principle is called power feedback.
Feed Forward Linearization
• The Feed Forward Linearization techniques uses, similar to the
negative feedback principle, a error signal to compensate the error.
• The error is calculated as the difference between the input signal
and the attenuated output signal.
• This error is amplified and subtracted from the output of the PA.
• It may sometimes be necessary to insert delays to ensure that the
signals are in phase before a subtraction.
• The advantage of the linearization method is that a high efficiency
non-linear amplifier can be used to provide most of the needed
power, while a linear amplifier is used to amplify the error signal.
• The amplified error signal is relative small which means that
relative little power is dissipated in it, although it is a linear
amplifier.
• Feed forward is unconditional stable as no feedback is used.
• The critically aspect in this concepts is to match the gain and the
delays.
• A calibration would not suffice as the gain and the delays are
functions of the temperature.
• The method could however be used with some kind of adaptation
to ensure correct gain and delay time under all operation
conditions.
Pre and Post distortion
• Predistortion technique in its simplest form consists of a Predistorter of
preceding the nonlinear PA which has the inverse transfer
characteristics of the PA.
• Fig shows Predistortion technique in its simplest form. It is an open
loop system.
• However, most solutions presented in literature have some kind of
feedback to enable adaptation of the Predistorter.
• A large number of Predistorter networks have been reported in the
literature.
• Some networks use non-linear devices to input, while other networks
curve-fit the distortion characteristics of the PA.
• An example of RF Predistorter is Cubic Predistorter, which eliminates
the third order distortion by generating a correctly phased addition of a
cubic component to the input signal to the PA.
• The advantage of the RF Predistorter is its ability to linearize the entire
bandwidth of the PA, while the advantage of IF Predistorter is that same
design can be used for range of carrier frequencies by altering the Local
Oscillator (LO) frequency.
Envelope Elimination and Restoration
Technique
• The Envelope Elimination and Restoration (EER) linearization method was first
proposed by Kahn (Kahn, 1952).
• The envelope of the RF input is first eliminated by a limiter to generate a
constant amplitude phase signal.
• At the same time, the magnitude information is extracted by an envelope
detector.
• The magnitude and phase information are amplified separately and then
recombined to restore the desired RF output via a high efficiency switched-mode
RF PA.
• The key advantage of EER approach is that the RF PA always operates in an
efficient switched mode.
• That is why the EER system can linearize the switched-mode RF PA without
compromising its efficiency.
• Normally, the restoration is accomplished via biasing the PA’s drain voltage. As
the drain voltage is varied to correct the output amplitude of the PA, the phase
also varies.
• Too much unintended phase modulation increases spectral regrowth above
specifications.
• Another typical disadvantage of EER is the slowness of the envelope restoration
feedback loop.
• Practically, EER only has on the order of 20-30 dB of dynamic range. Even
when the bias level to the PA is zero, some AC power bleeds through.
Chireix outphasing (RCA ampliphase)
LINC Technique
• The LINC technique was presented by Donald C. Cox in 1974.
• LINC is a abbreviation for “Linear Amplification with nonlinear
components”.
• It splits the signal to be amplified, into two constant envelope
signals.
• The two signals are constructed in such way that the sum of the
signals yields the original signal.
• The two signals are amplified using normal nonlinear amplifiers.
• Due to the constant envelope neither AM to PM conversion nor
AM to AM conversion occurs.
• Summing the two amplified signals yields the original signal.
• The harmonic components originating from the nonlinear
amplification are ignored as they are eliminated by a low pass
filter.
• One disadvantage of the LINC system is the power combining .
• If the combined signals are uncorrelated the insertion loss is 3dB
which degrade the power efficiency significantly.
• Although it is claimed that nearly 100% power efficiency can be
achieved it has not yet been shown.
• To achieve high efficiency it is required that the PA’s is
insensitive to variations in the load impedance.
• Most work carried out on the LINC technique have been
focusing on using a DSP to ensure a high precision when
calculating the constant envelope signal.
• But recently good results have been achieved using analog signal
processing integrated on a chip.
• This reassembles the first work carried out on the LINC system
but in a more advanced technology.
• The principle is in both cases based on feedback to calculate the
two signal components.
Polar Feedback
• This technique overcomes the inability of envelope feedback to
correct for AM-PM distortion effects.
• Polar Feedback scheme provides relatively high efficiency since
the PA can operate completely non-linearly and this method will
be robust since it has both forms of feedback.
• Since both amplitude and phase are corrected in the polar
feedback system, variations in temperature, load, and
manufacturing should be mitigated.
• For a narrowband application, the improvement in two-tone IMD
is typically around 30 dB.
• The disadvantage of polar feedback are different bandwidths
required for the amplitude and phase feedback paths, which leads
to a different level of improvement of the AM-AM and AM-PM
characteristics and a poorer overall performance than that is
achievable from an equivalent Cartesian-loop transmitter.
Cartessian Feedback
• Cartesian Feedback was first proposed by Petrovic (Petrovic,
1983).
• In this technique the I and Q components modulate the carrier
before passing it to a non-linear but efficient RF PA.
• The loop control characteristics are established by the gain and the
compensation filters.
• Synchronization between the modulator and demodulator is
essential and due to RF path differences in the forward and
feedback paths, a phase adjuster is necessary to maintain the
correct relationship between the input signals and feedback
signals.
• As shown in Fig ,the input signal is separated into I and Q and fed
to differential amplifier where input signals is subtracted from the
feedback signal.
• The error signal is upconverted to RF using a local oscillator and
then combined to produce the complex RF, which is amplified by
the PA.
• The output of the PA is sampled and down converted and separated into
I and Q using the same local oscillator used in up conversion process.
• The down convert output forms the feed back to the differential
amplifiers.
• A phase shift network is required to ensure that the up and down
conversion processes are correctly synchronized.
• The main advantages of cartesian over polar feedback is that a
significant reduction in bandwidth requirement for the feedback loop
allows more reduction of IMD and secondly simplicity of
implementation.
• Cartesian Feedback can automatically compensate for drifts in amplifier
and non-linearities due to temperature and power supply variations.
• However, this technique is only conditionally stable and the setting of
the adjuster with the aim of maintaining stability is one of the key
problems.
• Another limiting factor in this system is the non-linearities of the down
converting mixers. But the main disadvantage of this scheme is the
narrow bandwidth that is somewhat inherent in baseband feedback
systems.
Efficiency Boosting Techniques
Boot Up Bias Technique :
• The simplest and most obvious way to improve the linearity
is to drive the amplifier toward Class-A operation.
• As a result, the PA will operate in the small signal linear
region and the corresponding out-of- band emission level
will decrease.
• But this method comes with a price of lowering the overall
efficiency of the PA, while reducing the total RF output
power. Increasing the DC bias for a Class-A amplifier is an
inefficient way to linearize a PA.
• However, if the bias level can adaptively change with the
input envelope of the RF signal so that the PA dissipates as
little power as possible while it maintains a reasonable out-
of-band emission level, such a technique could be very
practical.
Dynamic Bias Technique
• In (Cripps, 1999, 2002), the Dynamic Bias method has been used.
• It is shown that this method requires a fast speed wideband
envelope detector and a DC-DC converter with high current
capability, which is currently a challenge for the power supply
industry.
• Also the performance of a Dynamic Bias system could be
corrupted by undesired phase distortion occurring when relatively
large changes in the bias level happen at a higher power level.
• Although this problem could be improved by simultaneously
adapting a phase feedback loop , this adds another dimension of
complexity, which is non-trivial in an RF application.
• Another simple way to perform linearization is to use feedback
techniques. But for RF amplification, many stages are normally
required to get enough gain, which reduces the overall efficiency
since each stage uses power.
• More importantly, the delay per RF amplifier stage will cause
instability if global feedback is used.
• Hence, not many practical applications employ RF feedback as a
linearization approach.
Doherty Amplifier
Pulse width modulation
• The class S amplifier has as an input a pulse-width
modulated(PWM) signal to turn Q1 and Q2 on or off as switches
with a switching frequency much higher than the signal frequency.
• Lo and Co form a low pass filter that turns the PWM signal into an
analog waveform. If only positive outputs are needed, only Q1 and
D2 are required.
• For negative signals, only D1 and Q2 are necessary.
• The switching frequency must be significantly higher than the
signal frequency, this technique is not viable for amplification of
signals in the gigahertz frequency range.
THANK YOU

RF POWER AMPLIFIER INTRODUCTION POWER POINT

  • 1.
  • 13.
  • 14.
    • The Class-APA, Figure 3.5a, is the most “classical” PA with a transistor biased so that it never turns off. • The conduction angle is defined as the portion of the input signal during which the transistor conducts, meaning that a Class-A PA has a conduction angle of 360 degrees. • The typical drain voltage and drain current waveforms are shown in Figure 3.5b, which assume a highly linear relationship between the signal drain current and the sinusoidal input voltage, vin(3.26). • Due to the non-abrupt drain current, the linearity of the amplifier is certainly high, but suffers from low efficiency due to the same reason. • In reality the relationship is not that perfectly linear , but the ideal model is used since it is very tractable from an analytical perspective.
  • 15.
    • The basiccircuit considered is shown in Figure 3.5a, with a transistor biased at a certain voltage level with a certain bias current, Idc, and the signal component of the drain current, irf. • The drain current can be expressed as in (3.27). The output voltage is the signal current multiplied with the load resistance (3.28). • Due to the large supply inductor, only DC current flows through the inductor, and consequently, the signal current is just the signal component of the drain current. • The drain voltage is the sum of the signal voltage and DC voltage and as the inductor is short-circuited for DC frequencies, the DC drain voltage is the supply voltage.
  • 16.
    • It meansthat the peak drain voltage is 2VDD with a peak drain current of 2VDD/R. • From the assumptions mentioned above, the output power can now be stated according to (3.29) and the dissipated DC power (3.30) – which is independent of the output RF signal. • Eventually, the maximum efficiency of 50% can be computed according to (3.31). • Assuming a lower output swing (3.32) with amplitude A, the efficiency drops significantly and more power is dissipated across the device. • One should also note that the efficiency of 50% in Class-A PAs is the absolute maximum, assuming the full voltage swing is attainable, no losses in matching network, and no amplitude modulation is present.
  • 18.
  • 19.
    • The ‘sister’of Class-A PA is Class-B, which has the same type of basic circuitry as Class-A, but is biased differently. • In Class-B the bias voltage is adjusted such that the transistor only conducts current half of the RF cycle, i.e. at the threshold voltage, such that the conduction angle is 180 degrees. • With the intermittent operation of the transistor, we can expect more distortion on the output voltage and a high-Qtank is needed at the output to get a fairly sinusoidal signal back. • Similarly for the Class-B amplifier as for the Class-A amplifier, we can analyze the drain voltage and current waveforms in Figure 3.6, where it is assumed that the drain current is sinusoidal for the part of the period when the transistor is conducting, which is a quite crude approximation as the change is abrupt. • The fundamental component of the drain current can be computed according to (3.33), based on Fourier coefficients.
  • 20.
    • As themaximum output voltage is VDD, the maximum value of the signal component of the drain current is 2VDD/RL, equal to Class-A amplifiers. • As the maximum output voltage is the same as for Class-A amplifiers, the maximum output power is equal to (3.29). • The DC supply current can also be found through Fourier coefficients (3.34). The maximum DE of the Class-B amplifier is found as in (3.35). • It is clear that Class-B amplifiers achieve a significantly higher efficiency than Class-A amplifiers, but at the expense of more distortion. • Class-B amplifiers are more efficient than Class-A amplifiers. The instantaneous efficiency of a Class-B PA varies with the output voltage and for an ideal PA reaches π/4 (78.5 %) at PEP. However they are much less linear. • Therefore a typical Class-B amplifier will produce quite a bit harmonic distortion that must be filtered from the amplified signal.
  • 21.
    Class – ABAmplifier • This amplifier is a compromise between Class-A and Class-B in terms of efficiency and linearity. • The transistor is biased typically to a quiescent point, which is somewhere in the region between the cutoff point and the Class A bias point, at 10 to 15 percent of ICmax. • In this case, the transistor will be ON for more than half a cycle, but less than a full cycle of the input signal. • Conduction angle in Class-AB is between 180 and 360 and Efficiency is between 50 % and 78.5 % • Class-AB has higher efficiency than Class-A at price of linearity. • Class-AB is not a linear amplifier; a signal with an amplitude- modulated envelope will be distorted significantly at this peak power level. • The reason is in fact that in Class-AB operation the conduction angle is a function of drive level.
  • 23.
    • Experimentally wasfound that Class-AB often offers a wider dynamic range than either Class-A or Class-B operation. • This is because gain compression in Class-AB comes from a different, and additional, source than Class-A. Saturation effects are primarily caused by the clipping of the RF voltage on the supply rails. • Running the PA in a mid-AB condition the power gain may be 3dB higher than Class-B. • Conventional Class-AB operation incurs odd degree nonlinearities in the process of improving efficiency. • Theoretically to increases efficiency all the way up to 78.5 %, the device shall generate only even order nonlinearities. Such a device will not generate undesirable close-to-carrier intermodulation distortion.
  • 24.
  • 25.
    • Class- Camplifier where the conduction angle for the transistor is significantly less than 180 . • The transistor is biased such that under steady-state conditions no collector current flows. • The transistor idles at cut-off. • Linearity of the Class-C amplifier is the poorest of the classes of amplifiers. • The Efficiency of Class-C can approach 85 %, which is much better than either the Class-B or the Class-A amplifier. • In order to bias a transistor for Class-C operation, it is necessary to reverse bias of base-emitter junction. External biasing is usually not needed, because is possible to force the transistor to provide its own bias, using an RF choke from base to ground. • One of the major problems with utilizing Class-C in solid-state applications is the large negative swing of the input voltage, which coincides with the collector/drain output voltage peaks.
  • 26.
    • This isthe worst condition for reverse breakdown in any kind of transistor, and even small amounts of leakage current flowing at this point of the cycle have an important effect on the efficiency. • For this reason true Class-C operation is not often use in solid- state at higher RF and Microwave frequencies. • In order to survive Class-C operation, the transistor should have a collector voltage breakdown that is at least three times the active device’s own DC voltage supply. • The reason: Class-C amplifiers have low average output power but demand very high input drive levels. • Thus, the transistor’s main Class-C failure mode is the low value of the active device’s own reverse breakdown voltage, which is unfortunately exacerbated by the RF input signal voltage going negative just as the transistor’s collector voltage reaches its positive peak.
  • 27.
  • 28.
    • The voltagemode Class D amplifier is defined as a switching circuit that results in the generation of a half-sinusoidal current waveform and a square voltage waveform. • Class-D PAs use two or more transistors as switches to generate a square drain-voltage waveform. • A series-tuned output filter passes only the fundamental- frequency component to the load, Class-D amplifiers suffer from a number of problems that make them difficult to realize, especially at high frequencies. • First, the availability of suitable devices for the upper switch is limited. • Secondly, device parasitics such as drain-source capacitance and lead inductance result in losses in each cycle. If realized, (they are common at low RF and audio frequencies) Class-D amplifiers theoretically can reach 100% efficiency, as there is no period during a cycle where the voltage and current waveforms overlap (current is drawn only through the transistor that is on).
  • 29.
    • No realamplifier can be a true Class-D, as non-zero switch resistances and capacitive as well as inductive parasitics restrict the shape of the drain voltage waveform. • A unique aspect of Class-D (with infinitely fast switching) is that efficiency is not degraded by the presence of reactance in the load.
  • 30.
  • 31.
    • Class-E employsa single transistor operated as a switch. The collector/drain voltage waveform is the result of the sum of the DC and RF currents charging the drain-shunt capacitance Cp which is parallel with transistor internal capacitance co. • In optimum class E, the drain voltage drops to zero and has zero slope just as the transistor turns on. • The result is an ideal efficiency of 100 %, elimination of the losses associated with charging the drain capacitance in class D, reduction of switching losses, and good tolerance of component variation. • A Class-E amplifier will exhibit an upper limit on its frequency of operation based on the output capacitance required for the output matching circuit that produces the waveforms described and shown above. • Specifically, a Class-E amplifier for optimum efficiency requires an upper limit on capacitance Cs.
  • 32.
    • The radiofrequency choke (RFC) is large, with the result that only DC current Idc flows through it. • The Q of the output circuit consisting of Ls and Cs is high enough so that the output current io and output voltage vo consist of only the fundamental component. That is, all harmonics are removed by this filter. • The transistor behaves as a perfect switch. When it is on, the collector/drain voltage is zero, and when it is off the collector current is zero. • The transistor output capacitance co, and hence Cp, is independent of voltage. • If a given transistor has an intrinsic capacitance co greater than Cp_max, it is not useable at the desired frequency. This Cs requirement implies that for high power at high frequencies, higher current densities are required, as the cross-sectional area of the switch corresponds directly to the device’s intrinsic capacitance.
  • 33.
  • 34.
    • Similar toClass-E, the Class-F amplifier employs drain voltage waveform shaping to achieve a high efficiency. • Figure 3.13 shows a Class-F amplifier with a transmission line at the drain and a high-Qtank in parallel with the load resistor. • The length of the transmission line is λ/4 at the fundamental frequency and the Q is considered high enough to short circuit all frequencies outside the desired bandwidth. • Due to the transmission line, the load impedance seen at the drain can be computed through (3.47). • From (3.47), we can conclude that the load impedance, Z load, seen at the drain is Z2/RL at the fundamental. At all even harmonics, the impedance seen is RL, which is zero at all harmonics. Moreover, at all odd harmonics, the transmission line shows aninfinitely large impedance as the equivalent RLis equal to zero.
  • 35.
    • Furthermore, assuminga square drive voltage with 50% duty cycle only containing odd harmonics, consequently the square wave would also appear at the drain and the load current is purely sinusoidal at the fundamental frequency. • Figure 3.14 also reveals that the Class-F amplifier ideally is capable of providing 100% efficiency waveforms) and from the basic topology presented, different circuit combinations with the same characteristics have been presented as inverse Class-F and Class-E/F amplifiers .
  • 37.
    Linearization Techniques • Linearizationtechniques are used to enhance the linearity of the Power Amplifier (PA) and thereby avoid inband distortion and adjacent band interference. • Typically, the linearization techniques are used in conjunction with amplification of amplitude modulated signal, such as QAM (Quadrature Amplitude Modulation), because the PAs distorts the envelope signal of the fundamental frequency. • The higher harmonics of the output signal are normally not considered as they are removed by a low-pass filter. • Many wireless systems have non or insignificant distortion caused by phase changes of the input signal. • The reason for this is that the ratio of the bandwidth and the carrier frequency is much smaller than one, and the PA practically gives a constant group delay for all the channel frequencies.
  • 39.
    Envelope or NegativeFeedback • Envelope feedback is a special case of the polar modulation feedback where only the envelope of the signal is measured and corrected. • In the simple case, the envelope detector consist of a diode as rectifier followed by a RC low pass filter. • The envelope feedback method can be used if amplitude distortion is the main cause of distortion.
  • 40.
    • Envelope feedbackis also used in conjunction with constant envelope modulation. • For instance in GSM this method is used to control the output power, and turn on and off the power (ramping up or down). • The envelope generator should be realized in the DSP together with the IQ-generator . • The envelope signals from the DSP should be D/A converted and compared with the envelope of the PA. • The power is regulated using a variable gain control (VGA) proceeding the PA. • In other cases the lowpass filtered signal is led directly into the power control of the PA. • The lowpass filter is necessary to ensure stability. Since the amplitude information is on both inputs of the VGA this is multiplicative feedback. • The feedback can be based on the power of the PA output signal instead of the envelope. In this cased the principle is called power feedback.
  • 41.
    Feed Forward Linearization •The Feed Forward Linearization techniques uses, similar to the negative feedback principle, a error signal to compensate the error. • The error is calculated as the difference between the input signal and the attenuated output signal. • This error is amplified and subtracted from the output of the PA. • It may sometimes be necessary to insert delays to ensure that the signals are in phase before a subtraction.
  • 42.
    • The advantageof the linearization method is that a high efficiency non-linear amplifier can be used to provide most of the needed power, while a linear amplifier is used to amplify the error signal. • The amplified error signal is relative small which means that relative little power is dissipated in it, although it is a linear amplifier. • Feed forward is unconditional stable as no feedback is used. • The critically aspect in this concepts is to match the gain and the delays. • A calibration would not suffice as the gain and the delays are functions of the temperature. • The method could however be used with some kind of adaptation to ensure correct gain and delay time under all operation conditions.
  • 43.
    Pre and Postdistortion
  • 44.
    • Predistortion techniquein its simplest form consists of a Predistorter of preceding the nonlinear PA which has the inverse transfer characteristics of the PA. • Fig shows Predistortion technique in its simplest form. It is an open loop system. • However, most solutions presented in literature have some kind of feedback to enable adaptation of the Predistorter. • A large number of Predistorter networks have been reported in the literature. • Some networks use non-linear devices to input, while other networks curve-fit the distortion characteristics of the PA. • An example of RF Predistorter is Cubic Predistorter, which eliminates the third order distortion by generating a correctly phased addition of a cubic component to the input signal to the PA. • The advantage of the RF Predistorter is its ability to linearize the entire bandwidth of the PA, while the advantage of IF Predistorter is that same design can be used for range of carrier frequencies by altering the Local Oscillator (LO) frequency.
  • 45.
    Envelope Elimination andRestoration Technique
  • 46.
    • The EnvelopeElimination and Restoration (EER) linearization method was first proposed by Kahn (Kahn, 1952). • The envelope of the RF input is first eliminated by a limiter to generate a constant amplitude phase signal. • At the same time, the magnitude information is extracted by an envelope detector. • The magnitude and phase information are amplified separately and then recombined to restore the desired RF output via a high efficiency switched-mode RF PA. • The key advantage of EER approach is that the RF PA always operates in an efficient switched mode. • That is why the EER system can linearize the switched-mode RF PA without compromising its efficiency. • Normally, the restoration is accomplished via biasing the PA’s drain voltage. As the drain voltage is varied to correct the output amplitude of the PA, the phase also varies. • Too much unintended phase modulation increases spectral regrowth above specifications. • Another typical disadvantage of EER is the slowness of the envelope restoration feedback loop. • Practically, EER only has on the order of 20-30 dB of dynamic range. Even when the bias level to the PA is zero, some AC power bleeds through.
  • 47.
  • 50.
  • 51.
    • The LINCtechnique was presented by Donald C. Cox in 1974. • LINC is a abbreviation for “Linear Amplification with nonlinear components”. • It splits the signal to be amplified, into two constant envelope signals. • The two signals are constructed in such way that the sum of the signals yields the original signal. • The two signals are amplified using normal nonlinear amplifiers. • Due to the constant envelope neither AM to PM conversion nor AM to AM conversion occurs. • Summing the two amplified signals yields the original signal. • The harmonic components originating from the nonlinear amplification are ignored as they are eliminated by a low pass filter.
  • 52.
    • One disadvantageof the LINC system is the power combining . • If the combined signals are uncorrelated the insertion loss is 3dB which degrade the power efficiency significantly. • Although it is claimed that nearly 100% power efficiency can be achieved it has not yet been shown. • To achieve high efficiency it is required that the PA’s is insensitive to variations in the load impedance. • Most work carried out on the LINC technique have been focusing on using a DSP to ensure a high precision when calculating the constant envelope signal. • But recently good results have been achieved using analog signal processing integrated on a chip. • This reassembles the first work carried out on the LINC system but in a more advanced technology. • The principle is in both cases based on feedback to calculate the two signal components.
  • 53.
  • 54.
    • This techniqueovercomes the inability of envelope feedback to correct for AM-PM distortion effects. • Polar Feedback scheme provides relatively high efficiency since the PA can operate completely non-linearly and this method will be robust since it has both forms of feedback. • Since both amplitude and phase are corrected in the polar feedback system, variations in temperature, load, and manufacturing should be mitigated. • For a narrowband application, the improvement in two-tone IMD is typically around 30 dB. • The disadvantage of polar feedback are different bandwidths required for the amplitude and phase feedback paths, which leads to a different level of improvement of the AM-AM and AM-PM characteristics and a poorer overall performance than that is achievable from an equivalent Cartesian-loop transmitter.
  • 55.
  • 56.
    • Cartesian Feedbackwas first proposed by Petrovic (Petrovic, 1983). • In this technique the I and Q components modulate the carrier before passing it to a non-linear but efficient RF PA. • The loop control characteristics are established by the gain and the compensation filters. • Synchronization between the modulator and demodulator is essential and due to RF path differences in the forward and feedback paths, a phase adjuster is necessary to maintain the correct relationship between the input signals and feedback signals. • As shown in Fig ,the input signal is separated into I and Q and fed to differential amplifier where input signals is subtracted from the feedback signal. • The error signal is upconverted to RF using a local oscillator and then combined to produce the complex RF, which is amplified by the PA.
  • 57.
    • The outputof the PA is sampled and down converted and separated into I and Q using the same local oscillator used in up conversion process. • The down convert output forms the feed back to the differential amplifiers. • A phase shift network is required to ensure that the up and down conversion processes are correctly synchronized. • The main advantages of cartesian over polar feedback is that a significant reduction in bandwidth requirement for the feedback loop allows more reduction of IMD and secondly simplicity of implementation. • Cartesian Feedback can automatically compensate for drifts in amplifier and non-linearities due to temperature and power supply variations. • However, this technique is only conditionally stable and the setting of the adjuster with the aim of maintaining stability is one of the key problems. • Another limiting factor in this system is the non-linearities of the down converting mixers. But the main disadvantage of this scheme is the narrow bandwidth that is somewhat inherent in baseband feedback systems.
  • 58.
    Efficiency Boosting Techniques BootUp Bias Technique : • The simplest and most obvious way to improve the linearity is to drive the amplifier toward Class-A operation. • As a result, the PA will operate in the small signal linear region and the corresponding out-of- band emission level will decrease. • But this method comes with a price of lowering the overall efficiency of the PA, while reducing the total RF output power. Increasing the DC bias for a Class-A amplifier is an inefficient way to linearize a PA. • However, if the bias level can adaptively change with the input envelope of the RF signal so that the PA dissipates as little power as possible while it maintains a reasonable out- of-band emission level, such a technique could be very practical.
  • 59.
    Dynamic Bias Technique •In (Cripps, 1999, 2002), the Dynamic Bias method has been used. • It is shown that this method requires a fast speed wideband envelope detector and a DC-DC converter with high current capability, which is currently a challenge for the power supply industry. • Also the performance of a Dynamic Bias system could be corrupted by undesired phase distortion occurring when relatively large changes in the bias level happen at a higher power level. • Although this problem could be improved by simultaneously adapting a phase feedback loop , this adds another dimension of complexity, which is non-trivial in an RF application. • Another simple way to perform linearization is to use feedback techniques. But for RF amplification, many stages are normally required to get enough gain, which reduces the overall efficiency since each stage uses power.
  • 60.
    • More importantly,the delay per RF amplifier stage will cause instability if global feedback is used. • Hence, not many practical applications employ RF feedback as a linearization approach.
  • 61.
  • 65.
    Pulse width modulation •The class S amplifier has as an input a pulse-width modulated(PWM) signal to turn Q1 and Q2 on or off as switches with a switching frequency much higher than the signal frequency. • Lo and Co form a low pass filter that turns the PWM signal into an analog waveform. If only positive outputs are needed, only Q1 and D2 are required. • For negative signals, only D1 and Q2 are necessary. • The switching frequency must be significantly higher than the signal frequency, this technique is not viable for amplification of signals in the gigahertz frequency range.
  • 66.